ИНГИБИТОРЫ MASP-2 И СПОСОБЫ ИХ ПРИМЕНЕНИЯ Российский патент 2024 года по МПК C07D207/00 C07D205/04 C07D213/00 C07D211/80 C07D401/12 C07D417/12 C07D403/04 A61K31/472 A61K31/445 A61K31/517 A61K31/397 A61P13/12 A61P29/00 

Описание патента на изобретение RU2832708C2

ПЕРЕКРЕСТНАЯ ССЫЛКА НА РОДСТВЕННЫЕ ЗАЯВКИ

По настоящей заявке испрашивается приоритет на основании предварительной патентной заявки США с серийным номером 62677472, поданной 29 мая 2018 г., предварительной патентной заявки США с серийным номером 62677538, поданной 29 мая 2018 г., предварительной патентной заявки США с серийным номером 62677495, поданной 29 мая 2018 г., и предварительной патентной заявки США с серийным номером 62677514, поданной 29 мая 2018 г. Каждая из перечисленных родственных заявок включена в настоящий документ посредством ссылки в полном объеме.

ЗАЯВЛЕНИЕ, ОТНОСЯЩЕЕСЯ К СПИСКУ ПОСЛЕДОВАТЕЛЬНОСТЕЙ

Список последовательностей, связанный с настоящей заявкой, предоставлен в текстовом формате вместо бумажной копии и включен в настоящую спецификацию посредством ссылки. Текстовый файл, содержащий список последовательностей, носит название MP_1_0281_PCT_SequenceListing_20190528. Текстовый файл имеет размер 7 кбайт, был создан 28 мая 2019 г. и подан через EFS-Web при подаче заявки.

ОБЛАСТЬ ТЕХНИКИ, К КОТОРОЙ ОТНОСИТСЯ ИЗОБРЕТЕНИЕ

Настоящее изобретение относится, в целом, к композициям и способам, полезным в области медицины. Более конкретно, изобретение относится к низкомолекулярным синтетическим ингибиторам маннансвязывающей лектин-ассоциированной сериновой протеазы 2 (MASP-2), включая низкомолекулярные ингибиторы, которые являются избирательными для MASP-2 относительно тромбина, их композициям, а также способам их производства и применения.

ПРЕДПОСЫЛКИ СОЗДАНИЯ ИЗОБРЕТЕНИЯ

Система комплемента играет определенную роль в воспалительном ответе и активируется вследствие повреждения тканей или микробной инфекции. Активация комплемента должна жестко регулироваться для гарантии избирательного нацеливания на внедрившиеся микроорганизмы и избегания повреждения собственных тканей организма (Ricklin et al., Nat. Immunol. 11:785-797, 2010). В настоящее время широко признано, что система комплемента может быть активирована тремя различными путями: классическим путем, лектиновым путем и альтернативным путем. Классический путь, как правило, запускается комплексом, состоящим из антител хозяина, связанных с инородной частицей (то есть, антигеном), и, как правило, необходимо предварительное воздействие антигена для развития специфического ответа в виде продуцирования антител. Поскольку активация классического пути зависит от предшествующего адаптивного иммунного ответа хозяина, классический путь является частью приобретенной иммунной системы. Напротив, как лектиновый, так и альтернативный пути не зависят от адаптивного иммунитета и являются частью врожденной иммунной системы.

Показано, что маннансвязывающая лектин-ассоциированная сериновая протеаза 2 (MASP-2) необходима для функционирования лектинового пути, одного из основных путей активации комплемента (Vorup-Jensen et al., J. Immunol 165:2093-2100, 2000; Ambrus et al., J Immunol. 170: 1374-1382, 2003; Schwaeble et al., PNAS 108:7523-7528, 2011). Важно, что ингибирование MASP-2, судя по всему, не является препятствием для зависимого от антител классического пути активации комплемента, который является крайне важным компонентом приобретенного иммунного ответа на инфекцию. В патенте США № 9011860 (выданном корпорации Omeros), который включен в настоящий документ посредством ссылки, раскрыто созданное полностью человеческое моноклональное антитело, нацеленное на MASP-2, которое связывает MASP-2 человека с высокой аффинностью и блокирует активность лектинового пути комплемента, являясь, таким образом, полезным для лечения различных заболеваний и нарушений, связанных с лектиновым путем комплемента.

MASP-2-зависимую активацию комплемента считают вносящей определенный вклад в патогенез многочисленных острых и хронических болезненных состояний. Таким образом, существует потребность в низкомолекулярных соединениях, подходящих для введения с целью лечения субъектов, страдающих от заболеваний и нарушений, связанных с MASP-2-зависимым путем активации комплемента.

Важным белком для иммунитета млекопитающих является маннансвязывающая лектин-ассоциированная сериновая протеаза 2 (MASP-2), которая, как показано, необходима для функционирования лектинового пути, одного из основных путей активации комплемента (Vorup-Jensen et al., J. Immunol 165:2093-2100, 2000; Ambrus et al., J Immunol. 170: 1374-1382, 2003; Schwaeble et al., PNAS 108:7523-7528, 2011). Ингибирование MASP-2, судя по всему, не является препятствием для зависимого от антител классического пути активации комплемента, который является крайне важным компонентом приобретенного иммунного ответа на инфекцию. Ингибирование MASP-2 человека для блокирования активности лектинового пути комплемента полезно для лечения различных заболеваний и нарушений, связанных с лектиновым путем комплемента.

Существует потребность в терапевтических соединениях и способах идентификации низкомолекулярных ингибиторов MASP-2, поскольку они важны для лечения различных заболеваний и нарушений, связанных с лектиновым путем комплемента, включая заболевания, для которых не подходит, или является неэффективным, лечение высокомолекулярными биологическими ингибиторами.

СУЩНОСТЬ ИЗОБРЕТЕНИЯ

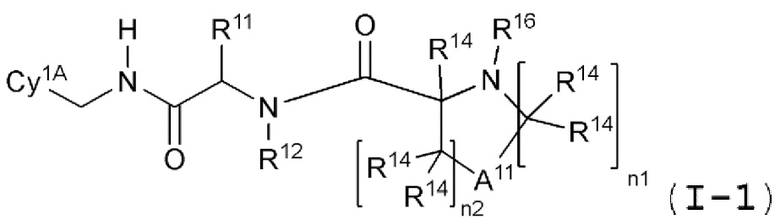
Настоящее изобретение относится, в частности, к соединениям формул (I-1) и (I-2):

или их солям; при этом переменные являются такими, как описано ниже.

Настоящее изобретение также относится к фармацевтической композиции, содержащей соединение формулы (I-1) или (I-2), или его фармацевтически приемлемую соль, и по меньшей мере один фармацевтически приемлемый носитель или эксципиент.

Соединения формулы (I-1) или (I-2) могут быть использованы в лечении MASP-2-связанных заболеваний и нарушений, а также в производстве лекарственных препаратов для лечения MASP-2-связанных заболеваний и нарушений. Настоящее изобретение также относится к способам лечения MASP-2-связанного заболевания и нарушения, включающим введение пациенту терапевтически эффективного количества соединения формулы (I-1) или (I-2), или его соли.

Настоящее изобретение относится, в частности, к соединениям формул (IIA) и (IIB):

или их солям; при этом переменные являются такими, как описано ниже. Также описаны различные варианты осуществления соединений формул (IIA) или (IIB).

Настоящее изобретение также относится к фармацевтической композиции, содержащей соединение формулы (IIA) или (IIB), или его фармацевтически приемлемую соль, и по меньшей мере один фармацевтически приемлемый носитель или эксципиент.

Соединения формул (IIA) или (IIB) могут быть использованы в лечении MASP-2-связанных заболеваний и нарушений, а также в производстве лекарственных препаратов для лечения MASP-2-связанных заболеваний и нарушений. Настоящее изобретение также относится к способам лечения MASP-2-связанного заболевания и нарушения, включающим введение пациенту терапевтически эффективного количества соединения формулы (IIA) или (IIB), или его соли.

Настоящее изобретение относится, в частности, к соединениям формулы (III):

или их солям; при этом переменные являются такими, как описано ниже. Также описаны различные варианты осуществления соединений формулы (III).

Настоящее изобретение также относится к фармацевтической композиции, содержащей соединение формулы (III), или его фармацевтически приемлемую соль, и по меньшей мере один фармацевтически приемлемый носитель или эксципиент.

Соединения формулы (III) могут быть использованы в лечении MASP-2-связанных заболеваний и нарушений, а также в производстве лекарственных препаратов для лечения MASP-2-связанных заболеваний и нарушений. Настоящее изобретение также относится к способам лечения MASP-2-связанного заболевания и нарушения, включающим введение пациенту терапевтически эффективного количества соединения формулы (III), или его соли.

Настоящее изобретение относится, в частности, к соединениям формулы (IV):

или их солям; при этом переменные являются такими, как описано ниже. Также описаны различные варианты осуществления соединений формулы (IV).

Настоящее изобретение также относится к фармацевтической композиции, содержащей соединение формулы (IV), или его фармацевтически приемлемую соль, и по меньшей мере один фармацевтически приемлемый носитель или эксципиент.

Соединения формулы (IV) могут быть использованы в качестве ингибиторов MASP-2. Соединения формулы (IV) могут быть использованы в терапии. Соединения формулы (IV) могут быть использованы в лечении MASP-2-связанных заболеваний и нарушений, а также в производстве лекарственных препаратов для лечения MASP-2-связанных заболеваний и нарушений. Настоящее изобретение также относится к способам лечения MASP-2-связанного заболевания и нарушения, включающим введение пациенту терапевтически эффективного количества соединения формулы (IV), или его соли.

Настоящее изобретение относится, в частности, к соединениям формул (VA) или (VB):

,

или их солям; при этом переменные являются такими, как описано ниже. Также описаны различные варианты осуществления соединений формул (VA) или (VB).

Настоящее изобретение также относится к фармацевтической композиции, содержащей соединение формулы (VA) или (VB), или его фармацевтически приемлемую соль, и по меньшей мере один фармацевтически приемлемый носитель или эксципиент.

Соединения формул (VA) и (VB) могут быть использованы в качестве ингибиторов MASP-2. Соединения формул (VA) и (VB) могут быть использованы в терапии. Соединения формул (VA) и (VB) могут быть использованы в лечении MASP-2-связанных заболеваний и нарушений, а также в производстве лекарственных препаратов для лечения MASP-2-связанных заболеваний и нарушений. Настоящее изобретение также относится к способам лечения MASP-2-связанного заболевания и нарушения, включающим введение пациенту терапевтически эффективного количества соединения формулы (VA) или (VB), или его соли.

Настоящее изобретение относится, в частности, к соединениям формул (VIA) или (VIB):

или их солям; при этом переменные являются такими, как описано ниже. Также описаны различные варианты осуществления соединений формул (VIA) или (VIB).

Настоящее изобретение также относится к фармацевтической композиции, содержащей соединение формулы (VIA) или (VIB), или его фармацевтически приемлемую соль, и по меньшей мере один фармацевтически приемлемый носитель или эксципиент.

Соединения формул (VIA) и (VIB) могут быть использованы в качестве ингибиторов MASP-2. Соединения формул (VIA) и (VIB) могут быть использованы в терапии. Соединения формул (VIA) и (VIB) могут быть использованы в лечении MASP-2-связанных заболеваний и нарушений, а также в производстве лекарственных препаратов для лечения MASP-2-связанных заболеваний и нарушений. Настоящее изобретение также относится к способам лечения MASP-2-связанного заболевания и нарушения, включающим введение пациенту терапевтически эффективного количества соединения формулы (VIA) или (VIB), или его соли.

Настоящее изобретение относится, в частности, к соединениям формул (VIIA) или (VIIB):

,

,

или их солям; при этом переменные являются такими, как описано ниже. Также описаны различные варианты осуществления соединений формул (VIIA) или (VIIB).

Настоящее изобретение также относится к фармацевтической композиции, содержащей соединение формулы (VIIA) или (VIIB), или его фармацевтически приемлемую соль, и по меньшей мере один фармацевтически приемлемый носитель или эксципиент.

Соединения формул (VIIA) и (VIIB) могут быть использованы в качестве ингибиторов MASP-2. Соединения формул (VIIA) и (VIIB) могут быть использованы в терапии. Соединения формул (VIIA) и (VIIB) могут быть использованы в лечении MASP-2-связанных заболеваний и нарушений, а также в производстве лекарственных препаратов для лечения MASP-2-связанных заболеваний и нарушений. Настоящее изобретение также относится к способам лечения MASP-2-связанного заболевания и нарушения, включающим введение пациенту терапевтически эффективного количества соединения формулы (VIIA) или (VIIB), или его соли.

Настоящее изобретение относится, в частности, к низкомолекулярным соединениям, имеющим MASP-2-ингибирующую активность, в частности, для терапевтического применения. Низкомолекулярное соединение с MASP-2-ингибирующей активностью взаимодействует с доменом сериновой протеазы MASP-2 в комплексе фермент-ингибитор со множеством межмолекулярных взаимодействий. В конкретных аспектах малая молекула описана с полной специфичностью и описанием числа и типа(ов) межмолекулярных взаимодействий в сайте связывания MASP-2, с использованием эмпирически полученного набора правил. Ингибиторы следуют одному или более из правил взаимодействия.

В конкретных аспектах настоящее изобретение относится к низкомолекулярному соединению с MASP-2-ингибирующей активностью для терапевтического применения, которое имеет одно или более, например, 1, 2, 3, 4 или 5, из следующих взаимодействий (a) - (e):

a) соединение связывается посредством H-связей с одним или более из PRO 606, ASP 627, SER 628, ARG 630, SER 633, SER 654, GLY 656, SER 657, CYS 660 и GLN 665 в MASP-2;

b) соединение связывается посредством ионных или электростатических взаимодействий, или водородных связей с одним или более из ASP 627 и ARG 630 в MASP-2;

c) соединение взаимодействует через молекулу воды в MASP-2 с одним или более из TYR 602, TYR 607, ASP 627, SER 628, SER 657, ASN 659, GLU 662, TRP 655, GLY656, CYS660, GLN 665, TYR 666, VAL 668 и ARG 630 в MASP-2;

d) соединение взаимодействует посредством п-п взаимодействий с одним или более из PHE 529, TYR 607 и TRP 655 в MASP-2; и

e) соединение взаимодействует посредством ван-дер-ваальсовых контактов с одним или более из ALA 468, ALA 469, HIS 483, ASP 526, ALA 527, GLY 528, PHE 529, LEU 575, PRO 606, TYR 607, PRO 608, SER 611, ASP 627, SER 628, CYS 629, ARG 630, GLY 631, ASP 632, SER 633, GLY 634, GLY 635, VAL 653, SER 654, TRP 655, GLY656, SER 657, MET 658, ASN 659, CYS 660, GLN 665, GLY 667 и TYR 669 в MASP-2.

В некоторых вариантах осуществления соединение не является эндогенным лигандом MASP-2.

В некоторых вариантах осуществления соединение представляет собой синтетический низкомолекулярный ингибитор MASP-2.

В некоторых вариантах осуществления соединение избирательно ингибирует MASP-2 в сравнении с тромбином.

Описаны различные варианты осуществления изобретения, характеризующиеся правилами взаимодействия. Изобретение относится к композиции, содержащей такое соединение, или его фармацевтически приемлемую соль, и по меньшей мере один фармацевтически приемлемый носитель или эксципиент. Соединения могут быть использованы в качестве ингибиторов MASP-2. Соединения могут быть использованы в терапии. Соединения могут быть использованы в лечении MASP-2-связанных заболеваний и нарушений, а также в производстве лекарственных препаратов для лечения MASP-2-связанных заболеваний и нарушений. Настоящее изобретение также относится к способам лечения MASP-2-связанного заболевания и нарушения, включающим введение пациенту терапевтически эффективного количества соединения, характеризующегося правилами взаимодействия, приведенными в настоящем документе.

Настоящее изобретение относится, в частности, к соединениям формулы (VIII):

.

или их солям; при этом элементы формулы могут иметь значения, описанные ниже. Также описаны различные варианты осуществления соединений формулы (VIII). Настоящее изобретение также относится к фармацевтической композиции, содержащей соединение формулы (VIII), или его фармацевтически приемлемую соль, и по меньшей мере один фармацевтически приемлемый носитель или эксципиент. Соединения формулы (VIII) могут быть использованы в качестве ингибиторов MASP-2. Соединения формулы (VIII) могут быть использованы в терапии. Соединения формулы (VIII) могут быть использованы в лечении MASP-2-связанных заболеваний и нарушений, а также в производстве лекарственных препаратов для лечения MASP-2-связанных заболеваний и нарушений. Настоящее изобретение также относится к способам лечения MASP-2-связанного заболевания и нарушения, включающим введение пациенту терапевтически эффективного количества соединения формулы (VIII), или его соли.

Настоящее изобретение относится, в частности, к фармакофорной модели для описания низкомолекулярных соединений, включая синтетические соединения, которые ингибируют MASP-2, и соединения, характеризующиеся специфичностью, исходя из такой фармакофорной модели.

В некоторых вариантах осуществления соединения, активные в качестве ингибиторов MASP-2, могут включать один, или сочетания, из 2, 3, 4, 5, 6, 7, 8, 9, 10, 11, 12, 13, 14, 15, 16, 17, 18, 19, 20, 21 или 22 фармакофорных элементов, предпочтительно сочетания из 3, 4, 5, 6, 7, 8, 9, 10, 11, 12, 13 или 14 фармакофорных элементов, приведенных в Таблице 1. В некоторых вариантах осуществления соединения могут иметь фармакофорные элементы, соответствующие тем, которые перечислены в Таблице 1, при этом координаты (x, y, z) фармакофорных элементов находятся в пределах четырех стандартных отклонений, предпочтительно в пределах трех стандартных отклонений, более предпочтительно в пределах двух стандартных отклонений, и наиболее предпочтительно в пределах одного стандартного отклонения от перечисленных в Таблице 1.

В некоторых вариантах осуществления предложено соединение, содержащее сочетание фармакофорных элементов, включающее:

(a) фармакофорную группу S1, включающую фармакофорные элементы CA1 и N1 или фармакофорные элементы CA1 и C5; и/или

(b) фармакофорную группу S2, включающую фармакофорные элементы H4 и O2; и/или

(c) фармакофорную группу S3, включающую фармакофорный элемент C2 и фармакофорный элемент N2 или H3;

при этом:

C2 и C5 представляют собой гидрофобные группы;

CA1 представляет собой ароматическое кольцо;

H3 и H4 представляют собой доноры водородной связи;

N1 и N2 представляют собой положительные ионогенные группы; и

O2 представляет собой акцептор водородной связи;

при этом C2, C5, CA1, H3, H4, N1, N2 и O2 имеют координаты в диапазонах, приведенных в Таблице 3, 4 или 5, ниже.

В некоторых вариантах осуществления предложено соединение, содержащее сочетание фармакофорных элементов, включающее:

(a) фармакофорную группу S1, включающую фармакофорные элементы CA1 и N1 или фармакофорные элементы CA1 и C5;

(b) фармакофорную группу S2, включающую фармакофорные элементы H4 и O2; и

(c) фармакофорную группу S3, включающую фармакофорный элемент C2 и фармакофорный элемент N2 или H3.

Описаны различные варианты осуществления низкомолекулярных соединений, определяемых фармакофорной моделью. Изобретение относится к композиции, содержащей такое соединение, или его фармацевтически приемлемую соль, и по меньшей мере один фармацевтически приемлемый носитель или эксципиент. Соединения могут быть использованы в качестве ингибиторов MASP-2. Соединения могут быть использованы в терапии. Соединения могут быть использованы в лечении MASP-2-связанных заболеваний и нарушений, а также в производстве лекарственных препаратов для лечения MASP-2-связанных заболеваний и нарушений. Настоящее изобретение также относится к способам лечения MASP-2-связанного заболевания и нарушения, включающим введение пациенту терапевтически эффективного количества соединения, определяемого фармакофорной моделью.

Настоящее изобретение также относится к низкомолекулярным соединениям с MASP-2-ингибирующей активностью, которые взаимодействуют с сайтом связывания MASP-2, причем соединения определяют со ссылкой на «правила связывания» или «наборы правил», полученные с использованием виртуальных моделей стыковки кристаллографических структур сокристалла фермента MASP-2 и сайтов связывания в ферменте MASP-2. В конкретных аспектах описаны аминокислоты, и их соответствующие атомы, сайта связывания MASP-2, которые доступны для низкомолекулярных ингибиторов MASP-2. С использованием различных соединений и их межмолекулярных взаимодействий можно разрабатывать набор «правил связывания» или «набор правил», на основании которых конкретно описаны ингибиторы MASP-2.

В конкретных аспектах низкомолекулярный ингибитор MASP-2 описан на основании набора правил. Соединение с MASP-2-ингибирующей активностью взаимодействует с сайтом связывания MASP-2, например, в виде комплекса фермент-ингибитор, со множеством межмолекулярных взаимодействий. В конкретных аспектах молекула описана с полной специфичностью и полным описанием числа и типа(ов) in silico межмолекулярных взаимодействий между атомами аминокислотных остатков сайта связывания MASP-2 и атомами молекулы ингибитора. Эти правила эмпирически получены с использованием виртуальных моделей стыковки кристаллографических структур сокристалла фермента MASP-2 и сайтов связывания в ферменте MASP-2. В некоторых случаях можно использовать множество моделей фермент-ингибитор для MASP-2, например, 1, 2, 3, 4, 5, 6, 7, 8, 9, 10, 11, 12, 13, 14, 15, 16, 17, 18, 19, 20, 21, 22, 23, 24, 25, 26, 27, 28, 29 или 30, или даже более, белковых моделей, для создания набора правил.

В некоторых вариантах осуществления настоящее изобретение относится к соединению с MASP-2-ингибирующей активностью, которое взаимодействует с сайтом связывания, при этом взаимодействия представляют собой одно или более из (a) - (e):

a) соединение взаимодействует посредством H-связей с одним или более аминокислотными остатками в сайте связывания MASP-2 (SEQ ID NO: 1);

b) соединение взаимодействует посредством ионных или электростатических взаимодействий, или водородных связей в сайте связывания SEQ ID NO: 1;

c) соединение взаимодействует через молекулу воды в сайте связывания SEQ ID NO: 1;

d) соединение взаимодействует посредством п-п взаимодействий с одним или более аминокислотными остатками в сайте связывания SEQ ID NO: 1; и/или

e) соединение взаимодействует посредством ван-дер-ваальсовых контактов с одним или более аминокислотными остатками в сайте связывания SEQ ID NO: 1, при этом соединение не является эндогенным лигандом или субстратом.

В конкретных аспектах соединение имеет 1, 2, 3, 4 или 5 из взаимодействий (a)-(e).

В другом варианте осуществления настоящее изобретение относится к способу идентификации малой молекулы, способной ингибировать MASP-2, включающему:

a) скрининг библиотек малых молекул с использованием in silico стыковки для малых молекул-кандидатов, которые избирательно идентифицируют по их способности нацеливаться на, и связывать, MASP-2 в сайте связывания модели MASP-2; и

b) тестирование/оценку средств-кандидатов, идентифицированных на этапе (a), в одном или более in vitro анализов на их способность нацеливаться на, и связывать, сайт связывания MASP-2, для идентификации, таким образом, малой молекулы, способной ингибировать MASP-2.

В конкретных аспектах малые молекулы-кандидаты имеют уникальные химические каркасы, определяемые на этапе (b), и оптимизированы в отношении их способности ингибировать MASP-2.

Эти и другие аспекты, цели и варианты осуществления станут более понятными после ознакомления с подробным описанием и фигурами, которые приведены далее.

КРАТКОЕ ОПИСАНИЕ ЧЕРТЕЖЕЙ

На ФИГ. 1 представлено схематическое изображение одного варианта осуществления атомов ингибирующего соединения (1129) с атомами аминокислот MASP-2, при расчетах с помощью настроек программы LigPlot+ для параметров расчета водородных связей (3,35 для максимального расстояния между донором и акцептором водородной связи; и параметров несвязанных контактов от гидрофобных до любых контактов, например, ван-дер-ваальсовых взаимодействий, с максимальным расстоянием при контакте 3,90 ) с использованием моделей, созданных на основании соответствующих кристаллографических совместных структур MASP-2-соединение.

На ФИГ. 2 представлено схематическое изображение одного варианта осуществления атомов ингибирующего соединения (1034) с атомами аминокислот MASP-2, при расчетах с помощью настроек программы LigPlot+ для параметров расчета водородных связей (3,35 для максимального расстояния между донором и акцептором водородной связи; и параметров несвязанных контактов от гидрофобных до любых контактов, например, ван-дер-ваальсовых взаимодействий, с максимальным расстоянием при контакте 3,90 ) с использованием моделей, созданных на основании соответствующих кристаллографических совместных структур MASP-2-соединение.

На ФИГ. 3 представлено схематическое изображение одного варианта осуществления атомов ингибирующего соединения (1024) с атомами аминокислот MASP-2, при расчетах с помощью настроек программы LigPlot+ для параметров расчета водородных связей (3,35 для максимального расстояния между донором и акцептором водородной связи; и параметров несвязанных контактов от гидрофобных до любых контактов, например, ван-дер-ваальсовых взаимодействий, с максимальным расстоянием при контакте 3,90 ) с использованием моделей, созданных на основании соответствующих кристаллографических совместных структур MASP-2-соединение.

На ФИГ. 4 представлено схематическое изображение одного варианта осуществления атомов ингибирующего соединения (1059) с атомами аминокислот MASP-2, при расчетах с помощью настроек программы LigPlot+ для параметров расчета водородных связей (3,35 для максимального расстояния между донором и акцептором водородной связи; и параметров несвязанных контактов от гидрофобных до любых контактов, например, ван-дер-ваальсовых взаимодействий, с максимальным расстоянием при контакте 3,90 ) с использованием моделей, созданных на основании соответствующих кристаллографических совместных структур MASP-2-соединение.

На ФИГ. 5 представлено схематическое изображение одного варианта осуществления атомов ингибирующего соединения (1088) с атомами аминокислот MASP-2, при расчетах с помощью настроек программы LigPlot+ для параметров расчета водородных связей (3,35 для максимального расстояния между донором и акцептором водородной связи; и параметров несвязанных контактов от гидрофобных до любых контактов, например, ван-дер-ваальсовых взаимодействий, с максимальным расстоянием при контакте 3,90 ) с использованием моделей, созданных на основании соответствующих кристаллографических совместных структур MASP-2-соединение.

На ФИГ. 6 представлено схематическое изображение одного варианта осуществления атомов ингибирующего соединения (1036) с атомами аминокислот MASP-2, при расчетах с помощью настроек программы LigPlot+ для параметров расчета водородных связей (3,35 для максимального расстояния между донором и акцептором водородной связи; и параметров несвязанных контактов от гидрофобных до любых контактов, например, ван-дер-ваальсовых взаимодействий, с максимальным расстоянием при контакте 3,90 ) с использованием моделей, созданных на основании соответствующих кристаллографических совместных структур MASP-2-соединение.

На ФИГ. 7 представлено схематическое изображение одного варианта осуществления атомов ингибирующего соединения (1081) с атомами аминокислот MASP-2, при расчетах с помощью настроек программы LigPlot+ для параметров расчета водородных связей (3,35 для максимального расстояния между донором и акцептором водородной связи; и параметров несвязанных контактов от гидрофобных до любых контактов, например, ван-дер-ваальсовых взаимодействий, с максимальным расстоянием при контакте 3,90 ) с использованием моделей, созданных на основании соответствующих кристаллографических совместных структур MASP-2-соединение.

На ФИГ. 8 представлено схематическое изображение одного варианта осуществления атомов ингибирующего соединения (1063) с атомами аминокислот MASP-2, при расчетах с помощью настроек программы LigPlot+ для параметров расчета водородных связей (3,35 для максимального расстояния между донором и акцептором водородной связи; и параметров несвязанных контактов от гидрофобных до любых контактов, например, ван-дер-ваальсовых взаимодействий, с максимальным расстоянием при контакте 3,90 ) с использованием моделей, созданных на основании соответствующих кристаллографических совместных структур MASP-2-соединение.

На ФИГ. 9 представлено схематическое изображение одного варианта осуществления атомов ингибирующего соединения (1065) с атомами аминокислот MASP-2, при расчетах с помощью настроек программы LigPlot+ для параметров расчета водородных связей (3,35 для максимального расстояния между донором и акцептором водородной связи; и параметров несвязанных контактов от гидрофобных до любых контактов, например, ван-дер-ваальсовых взаимодействий, с максимальным расстоянием при контакте 3,90 ) с использованием моделей, созданных на основании соответствующих кристаллографических совместных структур MASP-2-соединение.

На ФИГ. 10 представлено схематическое изображение одного варианта осуществления атомов ингибирующего соединения (1030) с атомами аминокислот MASP-2, при расчетах с помощью настроек программы LigPlot+ для параметров расчета водородных связей (3,35 для максимального расстояния между донором и акцептором водородной связи; и параметров несвязанных контактов от гидрофобных до любых контактов, например, ван-дер-ваальсовых взаимодействий, с максимальным расстоянием при контакте 3,90 ) с использованием моделей, созданных на основании соответствующих кристаллографических совместных структур MASP-2-соединение.

На ФИГ. 11 представлено схематическое изображение одного варианта осуществления атомов ингибирующего соединения (1037) с атомами аминокислот MASP-2, при расчетах с помощью настроек программы LigPlot+ для параметров расчета водородных связей (3,35 для максимального расстояния между донором и акцептором водородной связи; и параметров несвязанных контактов от гидрофобных до любых контактов, например, ван-дер-ваальсовых взаимодействий, с максимальным расстоянием при контакте 3,90 ) с использованием моделей, созданных на основании соответствующих кристаллографических совместных структур MASP-2-соединение.

На ФИГ. 12 представлено схематическое изображение одного варианта осуществления атомов ингибирующего соединения (1118) с атомами аминокислот MASP-2, при расчетах с помощью настроек программы LigPlot+ для параметров расчета водородных связей (3,35 для максимального расстояния между донором и акцептором водородной связи; и параметров несвязанных контактов от гидрофобных до любых контактов, например, ван-дер-ваальсовых взаимодействий, с максимальным расстоянием при контакте 3,90 ) с использованием моделей, созданных на основании соответствующих кристаллографических совместных структур MASP-2-соединение.

На ФИГ. 13 представлено схематическое изображение одного варианта осуществления атомов ингибирующего соединения (1090) с атомами аминокислот MASP-2, при расчетах с помощью настроек программы LigPlot+ для параметров расчета водородных связей (3,35 для максимального расстояния между донором и акцептором водородной связи; и параметров несвязанных контактов от гидрофобных до любых контактов, например, ван-дер-ваальсовых взаимодействий, с максимальным расстоянием при контакте 3,90 ) с использованием моделей, созданных на основании соответствующих кристаллографических совместных структур MASP-2-соединение.

На ФИГ. 14 представлено схематическое изображение одного варианта осуществления атомов ингибирующего соединения (1007) с атомами аминокислот MASP-2, при расчетах с помощью настроек программы LigPlot+ для параметров расчета водородных связей (3,35 для максимального расстояния между донором и акцептором водородной связи; и параметров несвязанных контактов от гидрофобных до любых контактов, например, ван-дер-ваальсовых взаимодействий, с максимальным расстоянием при контакте 3,90 ) с использованием моделей, созданных на основании соответствующих кристаллографических совместных структур MASP-2-соединение.

На ФИГ. 15 представлено схематическое изображение одного варианта осуществления атомов ингибирующего соединения (1021) с атомами аминокислот MASP-2, при расчетах с помощью настроек программы LigPlot+ для параметров расчета водородных связей (3,350 для максимального расстояния между донором и акцептором водородной связи; и параметров несвязанных контактов от гидрофобных до любых контактов, например, ван-дер-ваальсовых взаимодействий, с максимальным расстоянием при контакте 3,90 ) с использованием моделей, созданных на основании соответствующих кристаллографических совместных структур MASP-2-соединение.

На ФИГ. 16 представлено схематическое изображение одного варианта осуществления атомов ингибирующего соединения (1097) с атомами аминокислот MASP-2, при расчетах с помощью настроек программы LigPlot+ для параметров расчета водородных связей (3,35 для максимального расстояния между донором и акцептором водородной связи; и параметров несвязанных контактов от гидрофобных до любых контактов, например, ван-дер-ваальсовых взаимодействий, с максимальным расстоянием при контакте 3,90 ) с использованием моделей, созданных на основании соответствующих кристаллографических совместных структур MASP-2-соединение.

На ФИГ. 17 представлено схематическое изображение одного варианта осуществления атомов ингибирующего соединения (1089) с атомами аминокислот MASP-2, при расчетах с помощью настроек программы LigPlot+ для параметров расчета водородных связей (3,35 для максимального расстояния между донором и акцептором водородной связи; и параметров несвязанных контактов от гидрофобных до любых контактов, например, ван-дер-ваальсовых взаимодействий, с максимальным расстоянием при контакте 3,90 ) с использованием моделей, созданных на основании соответствующих кристаллографических совместных структур MASP-2-соединение.

На ФИГ. 18 представлено схематическое изображение одного варианта осуществления атомов ингибирующего соединения мелагатрана с атомами аминокислот MASP-2, при расчетах с помощью настроек программы LigPlot+ для параметров расчета водородных связей (3,35 для максимального расстояния между донором и акцептором водородной связи; и параметров несвязанных контактов от гидрофобных до любых контактов, например, ван-дер-ваальсовых взаимодействий, с максимальным расстоянием при контакте 3,90 ) с использованием моделей, созданных на основании соответствующих кристаллографических совместных структур MASP-2-соединение.

На ФИГ. 19 представлен график, иллюстрирующий связывание соединения (14) с MASP-2, показывающий водородные связи, рассчитанные при помощи программы LigPlot+.

На ФИГ. 20 представлен график, иллюстрирующий связывание соединения (54) с MASP-2, показывающий водородные связи, рассчитанные при помощи программы LigPlot+.

На ФИГ. 21 представлен график, иллюстрирующий связывание соединения (1042) с MASP-2, показывающий водородные связи, рассчитанные при помощи программы LigPlot+.

На ФИГ. 22 представлен график, иллюстрирующий связывание соединения (2018) с MASP-2, показывающий водородные связи, рассчитанные при помощи программы LigPlot+.

На ФИГ. 23 представлен график, иллюстрирующий связывание соединения (1149) с MASP-2, показывающий водородные связи, рассчитанные при помощи программы LigPlot+.

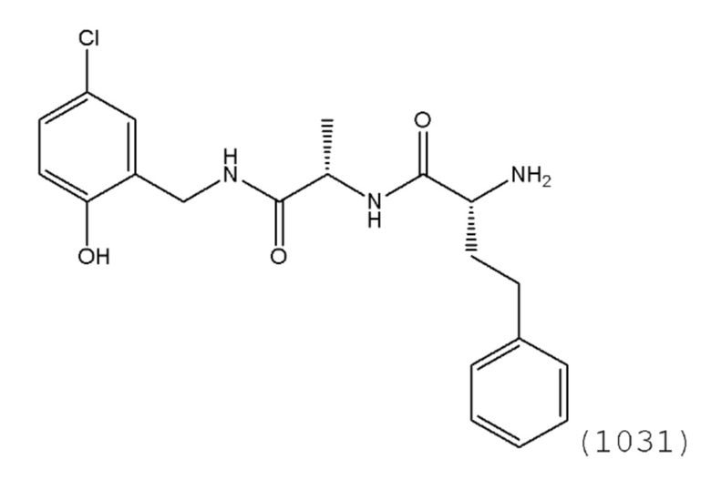
На ФИГ. 24 представлен график, иллюстрирующий связывание соединения (1031) с MASP-2, показывающий водородные связи, рассчитанные при помощи программы LigPlot+.

На ФИГ. 25 представлен график, иллюстрирующий связывание соединения (1153) с MASP-2, показывающий водородные связи, рассчитанные при помощи программы LigPlot+.

На ФИГ. 26 представлен график, иллюстрирующий связывание соединения (1025) с MASP-2, показывающий водородные связи, рассчитанные при помощи программы LigPlot+.

На ФИГ. 27 представлен график, иллюстрирующий связывание соединения (1012) с MASP-2, показывающий водородные связи, рассчитанные при помощи программы LigPlot+.

На ФИГ. 28 представлен график, иллюстрирующий связывание соединения (1078) с MASP-2, показывающий водородные связи, рассчитанные при помощи программы LigPlot+.

На ФИГ. 29 представлен график, иллюстрирующий связывание соединения (1145) с MASP-2, показывающий водородные связи, рассчитанные при помощи программы LigPlot+.

На ФИГ. 30 представлен график, иллюстрирующий связывание соединения (1050) с MASP-2, показывающий водородные связи, рассчитанные при помощи программы LigPlot+.

На ФИГ. 31 представлен график, иллюстрирующий связывание соединения (1253) с MASP-2, показывающий водородные связи, рассчитанные при помощи программы LigPlot+.

На ФИГ. 32 представлен график, иллюстрирующий связывание соединения (1257) с MASP-2, показывающий водородные связи, рассчитанные при помощи программы LigPlot+.

На ФИГ. 33 представлен график, иллюстрирующий связывание соединения (1297) с MASP-2, показывающий водородные связи, рассчитанные при помощи программы LigPlot+.

На ФИГ. 34 представлен график, иллюстрирующий связывание соединения (1304) с MASP-2, показывающий водородные связи, рассчитанные при помощи программы LigPlot+.

На ФИГ. 35 представлен график, иллюстрирующий связывание соединения (1306) с MASP-2, показывающий водородные связи, рассчитанные при помощи программы LigPlot+.

На ФИГ. 36 представлен график, иллюстрирующий связывание соединения (1307) с MASP-2, показывающий водородные связи, рассчитанные при помощи программы LigPlot+.

На ФИГ. 37 представлен график, иллюстрирующий связывание соединения (1328) с MASP-2, показывающий водородные связи, рассчитанные при помощи программы LigPlot+.

На ФИГ. 38 представлен график, иллюстрирующий связывание соединения (1334) с MASP-2, показывающий водородные связи, рассчитанные при помощи программы LigPlot+.

На ФИГ. 39 представлен график, иллюстрирующий связывание соединения (1335) с MASP-2, показывающий водородные связи, рассчитанные при помощи программы LigPlot+.

На ФИГ. 40 представлен график, иллюстрирующий связывание соединения (1338) с MASP-2, показывающий водородные связи, рассчитанные при помощи программы LigPlot+.

На ФИГ. 41 представлен график, иллюстрирующий связывание соединения (1345) с MASP-2, показывающий водородные связи, рассчитанные при помощи программы LigPlot+.

На ФИГ. 42 представлен график, иллюстрирующий связывание соединения (1351) с MASP-2, показывающий водородные связи, рассчитанные при помощи программы LigPlot+.

На ФИГ. 43 представлен график, иллюстрирующий связывание соединения (1353) с MASP-2, показывающий водородные связи, рассчитанные при помощи программы LigPlot+.

На ФИГ. 44 представлен график, иллюстрирующий связывание соединения (1360) с MASP-2, показывающий водородные связи, рассчитанные при помощи программы LigPlot+.

На ФИГ. 45 представлен график, иллюстрирующий связывание соединения (1367) с MASP-2, показывающий водородные связи, рассчитанные при помощи программы LigPlot+.

На ФИГ. 46 представлен график, иллюстрирующий связывание соединения (1368) с MASP-2, показывающий водородные связи, рассчитанные при помощи программы LigPlot+.

На ФИГ. 47 представлен график, иллюстрирующий связывание соединения (1371) с MASP-2, показывающий водородные связи, рассчитанные при помощи программы LigPlot+.

На ФИГ. 48 представлен график, иллюстрирующий связывание соединения (1372) с MASP-2, показывающий водородные связи, рассчитанные при помощи программы LigPlot+.

На ФИГ. 49 представлен график, иллюстрирующий связывание соединения (1373) с MASP-2, показывающий водородные связи, рассчитанные при помощи программы LigPlot+.

На ФИГ. 50 представлен график, иллюстрирующий связывание соединения (1492) с MASP-2, показывающий водородные связи, рассчитанные при помощи программы LigPlot+.

На ФИГ. 51 представлен график, иллюстрирующий связывание соединения (1399) с MASP-2, показывающий водородные связи, рассчитанные при помощи программы LigPlot+.

На ФИГ. 52 представлен график, иллюстрирующий связывание соединения (1406) с MASP-2, показывающий водородные связи, рассчитанные при помощи программы LigPlot+.

На ФИГ. 53 представлен график, иллюстрирующий связывание соединения (1411) с MASP-2, показывающий водородные связи, рассчитанные при помощи программы LigPlot+.

На ФИГ. 54 представлен график, иллюстрирующий связывание соединения (1433) с MASP-2, показывающий водородные связи, рассчитанные при помощи программы LigPlot+.

На ФИГ. 55 представлен график, иллюстрирующий связывание соединения (1435) с MASP-2, показывающий водородные связи, рассчитанные при помощи программы LigPlot+.

На ФИГ. 56 представлен график, иллюстрирующий связывание соединения (1441) с MASP-2, показывающий водородные связи, рассчитанные при помощи программы LigPlot+.

На ФИГ. 57 представлен график, иллюстрирующий связывание соединения (1450) с MASP-2, показывающий водородные связи, рассчитанные при помощи программы LigPlot+.

На ФИГ. 58 представлено графическое изображение мелагатрана, связанного с тромбином.

На ФИГ. 59 представлено графическое изображение мелагатрана, связанного с тромбином, с наложением изображения соединения, избирательного для MASP-2 (1065), связанного с MASP-2.

На ФИГ. 60 представлено графическое изображение соединения (1065), связанного с SP-доменом MASP-2.

На ФИГ. 61 представлено графическое изображение соединения (1334), связанного с тромбином.

На ФИГ. 62 представлено графическое изображение соединения (1334), связанного с SP-доменом MASP-2.

На ФИГ. 63 представлено графическое изображение соединения (1334), связанного с MASP-2, с наложением изображения соединения (1334), связанного с тромбином.

На ФИГ. 64 представлено графическое изображение связывающих карманов S3-S4 MASP-2.

На ФИГ. 65 представлено графическое изображение связывающих карманов S3-S4 тромбина.

На ФИГ. 66 представлено графическое изображение связывающих суб-карманов MASP-2.

На ФИГ. 67 показаны расстояния между фармакофорными элементами для областей S1 и S2. Область S2 включает H4, O1, O2 и CA6. Площадь области S1 состоит из H2, O4, CA1, C3, C5, C7 и N1. Показаны расстояния, упомянутые в тексте.

На ФИГ. 68 представлен график, показывающий углы между фармакофорными элементами для областей S1 и S2.

На ФИГ. 69 представлено графическое изображение, показывающее определения углов вращения, используемые в тексте.

На ФИГ. 70 представлено графическое изображение, показывающее определения углов вращения, используемые в тексте.

На ФИГ. 71 представлено графическое изображение, показывающее определения углов вращения, используемые в тексте.

На ФИГ. 72 представлено графическое изображение, показывающее расстояния между фармакофорными элементами для областей S2, S4 и RM.

На ФИГ. 73 представлено графическое изображение, показывающее определения углов, используемые в тексте.

На ФИГ. 74 представлено графическое изображение, показывающее определения углов вращения, используемые в тексте.

На ФИГ. 75 представлено графическое изображение, показывающее определения углов вращения, используемые в тексте.

На ФИГ. 76 Представлена блок-схема, иллюстрирующая один вариант осуществления способа по настоящему изобретению.

ОПИСАНИЕ ИЗОБРЕТЕНИЯ

I. Определения

Если нет иных указаний, все технические и научные термины, используемые в настоящем документе, имеют то значение, которое им обычно придают специалисты в области, к которой относится настоящее изобретение. Хотя способы и материалы, аналогичные или эквивалентные тем, которые описаны в настоящем документе, могут быть использованы при применении на практике или при тестировании настоящего изобретения, подходящие способы и материалы описаны ниже. Кроме того, материалы, способы и примеры являются исключительно иллюстративными и не должны быть ограничивающими.

В приведенном выше кратком изложении, настоящем описании и приведенной ниже формуле изобретения упоминаются конкретные признаки и аспекты изобретения, включая этапы способов. Раскрытие изобретения в данной спецификации включает все возможные сочетания таких конкретных признаков в раскрытых вариантах осуществления изобретения, по меньшей мере в той степени, в которой такие сочетания не являются противоречащими. Например, если в описании представлены аспекты A, B и C варианта осуществления, понятно, что в нем также раскрыты конкретные варианты осуществления, включающие оба аспекта A и B, оба аспекта B и C, и оба аспекта A и C, а также вариант осуществления с аспектами A, B и C.

a. Общие определения

Форма единственного числа терминов не только включает аспекты с одним объектом, но также включает аспекты с более чем одним объектом. Например, форма единственного числе терминов включает соответствующую форму множественного числа, если из контекста явно не следует иное. Таким образом, например, ссылка на «клетку» охватывает множество таких клеток, и ссылка на «средство» включает ссылку на одно или более средств, известных специалистам в данной области.

Термины «примерно» и «приблизительно» относятся к приемлемой степени погрешности для измеряемого количества с учетом характера или точности измерений. Как правило, иллюстративная степень погрешности находится в пределах 20 процентов (%); предпочтительно, в пределах 10%; и более предпочтительно, в пределах 5% от конкретного значения или диапазона значений. Любое упоминание «примерно X» конкретно указывает на по меньшей мере значения X, 0,95X, 0,96X, 0,97X, 0,98X, 0,99X, 1,01X, 1,02X, 1,03X, 1,04X и 1,05X. Таким образом, термин «примерно X» предназначен для указания на, и письменного подтверждения, ограничения заявленной величины, например, «0,98X». Альтернативно, в биологических системах термины «примерно» и «приблизительно» могут относиться к значениям, которые находятся в пределах порядка величины, предпочтительно в пределах 5-кратного, и более предпочтительно в пределах 2-кратного значения конкретной величины. Приведенные в настоящем документе числовые величины являются приблизительными, если не указано иное, это означает, что термин «примерно» или «приблизительно» может подразумеваться, если даже специально не упомянут. Когда термин «примерно» используют в начале числового диапазона, он относится к обеим границам диапазона. Таким образом, «от примерно 5 до 20%» эквивалентно «от примерно 5% до примерно 20%». Когда термин «примерно» применяют к первому значению набора значений, он относится ко всем значениям в данном наборе. Таким образом, «примерно 7, 9 или 11 мг/кг» эквивалентно выражению «примерно 7, примерно 9 или примерно 11 мг/кг».

Термин «MASP-2» относится к маннансвязывающей лектин-ассоциированной сериновой протеазе 2. Белок MASP-2 человека с регистрационным номером UniProt O00187 (SEQ ID NO: 1). Домен сериновой протеазы («B-цепь» = B-цепь маннансвязывающей лектин-ассоциированной сериновой протеазы 2, в соответствии с UniProtKB - O00187 (MASP-2_HUMAN)), включает остатки 445-686 (или состоит из остатков 445-686).

Термин «MASP-2-зависимая активация комплемента» относится к MASP-2-зависимой активации лектинового пути, которая происходит в физиологических условиях (то есть, в присутствии Ca++), приводя к образованию C3-конвертазы C4b2a лектинового пути, и после накопления продукта расщепления C3, C3b, к образованию C5-конвертазы C4b2a(C3b)n.

Термин «MASP-2-зависимое связанное с комплементом заболевание или нарушение» означает заболевание или нарушение, которое связано с MASP-2-зависимой активацией комплемента.

Термин «MASP-2-связанное заболевание или нарушение» означает заболевание или нарушение, которое связано с активацией или активностью MASP-2, включая MASP-2-зависимое связанное с комплементом заболевание или нарушение, и при этом ингибирование MASP-2 является, или ожидается, терапевтически полезным.

Термин «лектиновый путь» означает активацию комплемента, которая происходит через специфическое связывание сывороточных и не сывороточных углевод-связывающих белков, включая маннан-связывающий лектин (MBL), CL-11 и фиколины (H-фиколин, M-фиколин или L-фиколин).

Термин «классический путь» означает активацию комплемента, которая запускается антителом, связанным с инородной частицей, и нуждается в связывании молекулы узнавания Clq.

Аминокислотные остатки имеют следующие сокращенные обозначения: аланин (Ala; A), аспарагин (Asn; N), аспарагиновая кислота (Asp; D), аргинин (Arg; R), цистеин (Cys; C), глутаминовая кислота (Glu; E), глутамин (Gln; Q), глицин (Gly; G), гистидин (His; H), изолейцин (Ile), лейцин (Leu), лизин (Lys; K), метионин (Met; M), фенилаланин (Phe; F), пролин (Pro; P), серин (Ser; S), треонин (Thr; T), триптофан (Trp; W), тирозин (Tyr; Y) и валин (Val; V).

В самом широком смысле, существующие в природе аминокислоты могут быть разделены на группы на основании химических характеристик боковых цепей соответствующих аминокислот. «Гидрофобная» аминокислота означает His, Leu, Met, Phe, Trp, Tyr, Val, Ala, Cys или Pro. «Гидрофильная» аминокислота означает Gly, Asn, Gln, Ser, Thr, Asp, Glu, Lys, Arg или His. Эта группа аминокислот может быть дополнительно подразделена следующим образом: «незаряженная гидрофильная» аминокислота означает Ser, Thr, Asn или Gln. «Кислая» аминокислота означает Glu или Asp. «Основная» аминокислота означает Lys, Arg или His.

Термин «консервативная аминокислотная замена» относится к взаимной замене аминокислот в одной из следующих групп: (1) глицин, аланин, валин, лейцин и изолейцин, (2) фенилаланин, тирозин и триптофан, (3) серин и треонин, (4) аспартат и глутамат, (5) глутамин и аспарагин, а также (6) лизин, аргинин и гистидин.

Термин «субъект» охватывает всех млекопитающих, включая, без ограничения, людей, приматов, собак, кошек, лошадей, овец, коз, коров, кроликов, свиней и грызунов.

Термины «малая молекула» и «малая органическая молекула» относится к небольшой углеродсодержащей молекуле, которая имеет молекулярную массу 2500 дальтон или менее. В некоторых вариантах осуществления малая молекула имеет молекулярную массу примерно 2000 дальтон или менее. В некоторых вариантах осуществления малая молекула имеет молекулярную массу примерно 1500 дальтон или менее. В некоторых вариантах осуществления малая молекула имеет молекулярную массу примерно 1000 дальтон или менее. В некоторых вариантах осуществления малая молекула имеет молекулярную массу примерно 750 дальтон или менее. В некоторых вариантах осуществления малая молекула имеет молекулярную массу примерно 500 дальтон или менее. В некоторых вариантах осуществления малая молекула имеет молекулярную массу примерно 50 дальтон или более. В некоторых вариантах осуществления малая молекула имеет молекулярную массу примерно 75 дальтон или более. В некоторых вариантах осуществления малая молекула имеет молекулярную массу примерно 100 дальтон или более. В некоторых вариантах осуществления малая молекула имеет молекулярную массу примерно 150 дальтон или более. В некоторых вариантах осуществления малая молекула имеет молекулярную массу примерно 250 дальтон или более. В некоторых вариантах осуществления малые молекулы могут иметь молекулярную массу в диапазоне от примерно 50 дальтон до примерно 500 дальтон, от примерно 50 дальтон до примерно 750 дальтон, от примерно 50 дальтон до примерно 1000 дальтон, от примерно 50 дальтон до примерно 1500 дальтон, от примерно 50 дальтон до примерно 2000 дальтон или от примерно 50 дальтон до примерно 2500 дальтон. При использовании в настоящем документе термин «соединение» явно предназначен для включения низкомолекулярных соединений, определение которым дано в настоящем документе (включая любой из их вариантов осуществления).

Используемый в настоящем документе термин «фармацевтически приемлемый» относится к таким соединениям, материалам, композициям и/или лекарственным формам, которые являются, в рамках здравого медицинского заключения, подходящими для использования в контакте с тканями людей и животных, без избыточной токсичности, раздражения, аллергической реакции или других проблем или осложнений, при разумном соотношении польза/риск.

Термины «нарушение», «заболевание» и «состояние» используют взаимозаменяемо для обозначения состояния субъекта. Нарушение представляет собой нарушение или расстройство, которое влияет на нормальную функцию организма субъекта. Заболевание представляет собой патологическое состояние органа, части или системы тела, возникающее в силу разных причин, таких как инфекция, генетический дефект или экологический стресс, которое характеризуется идентифицируемой группой симптомов.

Термин «эффективное количество», или «эффективная доза», означает количество, достаточное для достижения желаемого результата, и, соответственно, будет зависеть от ингредиента и желаемого результата от него. Тем не менее, после определения желаемого эффекта, определение эффективного количества находится в пределах компетенции специалиста в данной области.

Термин «подкожное введение» означает введение препарата под все слои кожи субъекта.

Термин «гистидин» конкретно означает L-гистидин, если не указано иное.

Термин «изотонический» относится к препарату, который имеет практически такое же осмотическое давление, как кровь человека. Изотонические препараты, как правило, будут иметь осмотическое давление от примерно 250 до примерно 350 мОсмол/л. Изотоничность можно определять с использованием парового осмометра или осмометра, измеряющего снижение температуры замерзания, например.

Термин «гипертонический» относится к препарату с осмотическим давлением, превышающим таковое у человека (то есть, превышающим 350 мОсмол/л).

Термин «водородная связь» означает частично электростатическое притяжение атома водорода (H), который связывается с более электроотрицательным атомом, таким как азот (N) или кислород (O), и еще одним соседним атомом, несущим неподеленную пару электронов. Например, если указано, что азот действует в качестве «донора водородной связи», это означает, что для водорода (H), связанного с азотом (N), азот является донором, при этом он электростатически притягивается или акцептируется соседним атомом, несущим неподеленную пару электронов, таким как кислород. Аналогично, если указано, что кислород действует в качестве «акцептора водородной связи», это означает, что водород (H), связанный с более электроотрицательным атомом, таким как азот (N), электростатически притягивается или «акцептируется» соседним атомом, таким как кислород, несущим неподеленную пару электронов. Иногда связанные через водород атомы называют без четкого указания на происхождение и присутствие промежуточного атома водорода. Термин «водородная связь» используется везде, где программа LigPlot+ предсказывает взаимодействие посредством водородной связи с использованием ее алгоритма и применяет параметры, соответствующие 3,35 для максимального расстояния между донором и акцептором водородной связи. Не все водородные связи могут существовать одновременно; это очевидно для атомов, которые, как показано, образуют 4 предполагаемых водородных связи, где, однако, в любой момент времени химически возможны только 3 водородные связи. Как правило, хотя кристаллические структуры, например, структурная информация сокристалла в данном документе, напрямую не показывают или не обнаруживают водородные связи, программа, используемая для описания сокристалла, действительно предсказывает, что такая водородная связь существует. Таким образом, в тексте заявки, когда H-связь присутствует и описана, может быть сказано, что ее наличие «предсказано» программой.

Термин «ионная связь» означает тип химической связи, которая включает электростатическое притяжение между противоположно заряженными ионами, и является основным взаимодействием, имеющим место в ионных соединениях.

Термин «ван-дер-ваальсовы» взаимодействия означает слабые, близкодействующие силы электростатического притяжения между незаряженными молекулами, возникающие в результате взаимодействия постоянных или переходных электрических дипольных моментов. Как определено программой LigPlot+, использующей модели, полученные на основании соответствующих кристаллографических совместных структур соединения MASP-2, такие взаимодействия включают все контакты, рассчитанные с использованием параметров несвязанных контактов от гидрофобных до любых контактов, для взаимодействий с максимальным расстоянием при контакте, составляющим 3,90 .

Термин «п-п взаимодействие», или «п-п стэкинг», означает нековалентные взаимодействия притяжения между ароматическими кольцами, ориентированными либо примерно параллельно, либо примерно перпендикулярно (например, взаимодействия «ребро-к-плоскости») друг другу, поскольку они содержат п-связи.

Как правило, активный сайт сериновых протеаз, таких как MASP-2, имеет форму щели, в которой связывается полипептидный субстрат или ингибитор. Schechter и Berger маркировали аминокислотные остатки от N к C-концу полипептидного субстрата следующим образом: Pi,..., P3, P2, P1, P1', P2', P3',..., Pj), и их соответствующие подсайты связывания Si,..., S3, S2, S1, S1', S2', S3',..., Sj. Расщепление катализируется между P1 и P1' (Schechter, I. & Berger, A. On the size of the active site in proteases. I. Papain. Biochem. Biophys. Res. Commun. 27 (1967)).

Термин «сайт связывания» означает область на белке, в которой малая молекула может взаимодействовать с такой областью на поверхности MASP-2, данная область не перекрывается, или лишь частично перекрывается, с активным сайтом, но тем не менее, молекула MASP-2 становится менее активной или неактивной.

Термин «или» относится к альтернативному варианту и, как правило, должен толковаться неисключительно. Например, заявление «композиция, содержащая A или B», как правило, будет относиться к аспекту с композицией, содержащей и A, и B. Однако «или», следует толковать как исключение тех представленных аспектов, которые не могут быть объединены без противоречия (например, значение pH композиции, составляющее от 9 до 10 или от 7 до 8).

Группа «A или B» эквивалентна группе «выбранных из группы, состоящей из A и B».

Связывающий термин «содержащие», или «содержат», является не закрытым. Например, «композиция, содержащая A» должна включать по меньшей мере компонент A, но она также может включать один или более других компонентов (например, B; B и C; B, C и D; и тому подобное). Таким образом, термин «содержащие», как правило, следует толковать как не исключающий дополнительные ингредиенты. Например, заявление «композиция, содержащая A» будет охватывать композиции, которые включают A и B; A, B и C; A, B, C и D; A, B, C, D и E; и тому подобное.

Термин «гипертонический» относится к препарату с осмотическим давлением, превышающим таковое у человека (то есть, превышающим 350 мОсмол/кг).

Термин «средство» означает соединение, или смесь соединений, которое при добавлении к композиции, как правило, оказывает конкретный эффект на свойства композиции. Например, композиция, содержащая загуститель, скорее всего, будет более вязкой, чем в остальном такая же сравнительная композиция без загустителя.

Термин «субъект» охватывает всех млекопитающих, включая, без ограничения, людей, приматов, собак, кошек, лошадей, овец, коз, коров, кроликов, свиней и грызунов.

Термин «синтетическое» соединение означает соединение, которое не существует в природе, и которое было синтезировано человеком. Ссылку на соединение в настоящем документе можно понимать как включающую ссылку на синтетические соединения, если из контекста явно не следует иное.

Термины «лечить», «лечение» или «терапия» включают введение или применение композиции (например, композиции, описанной в настоящем документе) в таком количестве, таком режиме (например, схема введения) и таким образом (например, путь введения), которые эффективны для уменьшения заболевания или его симптома, или для предотвращения, задержки или замедления прогрессирования заболевания или его симптома. Такое уменьшение может включать, но без ограничения, облегчение или ослабление одного или более симптомов или состояний, снижение степени тяжести заболевания, стабилизацию (то есть, отсутствие ухудшения) болезненного состояния, предотвращение передачи или распространения заболевания, отсрочку или замедление прогрессирования заболевания, ослабление или временное облегчение болезненного состояния, снижение вероятности рецидива заболевания, а также ремиссию, частичную или полную, поддающуюся, или не поддающуюся, обнаружению.

Термины «лечение» и «терапия» также включают профилактическое лечение. В конкретных вариантах осуществления способы лечения включают введение субъекту терапевтически эффективного количества активного средства. Этап введения может состоять из одного введения, или может включать серию введений. Длительность периода лечения зависит от различных факторов, таких как степень тяжести состояния, возраст субъекта, концентрация активного средства, активность композиций, используемых в лечении, или их сочетание. Следует также понимать, что эффективную дозу средства, используемого для лечения или профилактики, можно увеличивать или уменьшать на протяжении курса конкретного режима лечения или профилактики. Изменения дозы могут приводить к результатам, которые определяют стандартными диагностическими тестами, известными в данной области. В одном аспекте может быть необходимым хроническое введение. Например, композиции вводят субъекту в количестве, и в течение времени, которые достаточны для лечения субъекта.

Используемые в настоящем документе выражения «температура окружающей среды» и «комнатная температура» известны в данной области и, как правило, означают температуру, например, температуру реакции, которая примерно соответствует температуре комнаты, в которой проводят реакцию, например, температуре от примерно 20°C до примерно 30°C.

b. Химические определения

В разных частях настоящей спецификации конкретные характеристики соединений раскрыты в группах или в диапазонах. Специально предполагается, что такое раскрытие включает все, и каждые, отдельные субкомбинации членов таких групп и диапазонов. Например, термины «C1-6 алкил» и «C1-C6 алкил» специально предназначены для отдельного описания (без ограничений) метила, этила, C3 алкила, C4 алкила, C5 алкила и C6 алкила.

В разных частях настоящей спецификации описаны переменные, определяющие двухвалентные связывающие группы. Специально предполагается, что каждый связывающий заместитель включает как прямую, так и обратную, формы связывающего заместителя. Например, -NR(CR'R'')n- включает как -NR(CR'R'')n-, так и -(CR'R'')nNR-, и раскрытие должно относиться к каждой форме индивидуально. Если структуре необходима связывающая группа, понятно, что переменные Маркуша, перечисленные для данной группы, являются связывающими группами. Например, если структуре необходима связывающая группа, и определение группы Маркуша для данной переменной включает «алкил» или «арил», тогда понятно, что «алкил» или «арил» представляет собой связывающую алкиленовую группу или ариленовую группу, соответственно.

Термин «замещенные» означает, что атом, или группа атомов, формально заменяет водород в качестве «заместителя», связанного с другой группой. Термин «замещенные», если нет иных указаний, относится к любому уровню замещения, например, моно-, ди-, три-, тетра- или пента-замещению, когда такое замещение допустимо. Заместители выбирают независимо, и замещение может иметь место в любом химически доступном положении. Следует понимать, что замещение на конкретном атоме ограничено валентностью. Выражение «необязательно замещенные» означает замещенные или незамещенные. Термин «замещенные» означает, что атом водорода формально удален и заменен заместителем. Один двухвалентный заместитель, например, кислород, может заменять два атома водорода.

Термины «Cn-m» и «Cn-Cm», где n и m являются целыми числами, означает группу, которая содержит от n до m атомов углерода. Примеры включают C1-4, C1-6 и тому подобное. Термин предназначен специально раскрывать каждый член в диапазоне, то есть, Cn, Cn+1, Cn+2 … Cm-2, Cm-1, Cm. Например, C1-6 должен раскрывать C1, C2, C3, C4, C5 и C6. «Cn-m» означает то же, что и «Cn-Cm».

Термин «алкил», используемый отдельно или в сочетании с другими терминами, означает насыщенную углеводородную группу, которая может быть неразветвленной или разветвленной. Термины «Cn-m алкил» и «Cn-Cm алкил» означают алкильную группу, имеющую n-m атомом углерода. Например, C1-C12 показывает, что группа может иметь от 1 до 12 (включительно) атомов углерода. Если не указано иное, алкильная группа имеет от примерно 1 до примерно 20 атомов углерода. Алкильная группа формально соответствует алкану с одной C-H связью, замененной точкой присоединения алкильной группы к остальной части соединения. В некоторых вариантах осуществления алкильная группа содержит от 1 до 6 атомов углерода, от 1 до 4 атомов углерода, от 1 до 3 атомов углерода, от или 1 до 2 атомов углерода. Примеры алкильных фрагментов включают, но без ограничения, такие химические группы, как метил, этил, н-пропил, изопропил, н-бутил, трет-бутил, изобутил, втор-бутил; высшие гомологи, такие как 2-метил-1-бутил, 1,1-диметилпропил, н-пентил, 3-пентил, н-гексил, 1,2,2-триметилпропил, гексил, гептил, октил, нонил, децил, додецил и тому подобное. Термин «низший алкил» относится к алкильным группам, имеющим от 1 до 6 атомов углерода в цепи. «Замещенная алкильная» группа представляет собой алкильную группу, которая замещена одним или более заместителями.

Термин «алкенил», используемый отдельно или в сочетании с другими терминами, относится к неразветвленной или разветвленной углеводородной группе, соответствующей алкильной группе, имеющей одну или более двойных углерод-углеродных связей. Алкенильная группа формально соответствует алкену с одной C-H связью, замененной точкой присоединения алкенильной группы к остальной части соединения. Термины «Cn-m алкенил» и «Cн-Cm алкенил» относятся к алкенильной группе, имеющей n-m атомов углерода. В некоторых вариантах осуществления алкенильный фрагмент содержит 2-6, 2-4 или 2-3 атомов углерода. Примеры алкенильных групп включают, но без ограничения, этенил, н-пропенил, изопропенил, н-бутенил, втор-бутенил и тому подобное.

Термин «алкинил», используемый отдельно или в сочетании с другими терминами, относится к неразветвленной или разветвленной углеводородной группе, соответствующей алкильной группе, имеющей одну или более тройных углерод-углеродных связей. Алкинильная группа формально соответствует алкину с одной C-H связью, замененной точкой присоединения алкильной группы к остальной части соединения. Термины «Cn-m алкинил» и «Cн-Cm алкинил» относятся к алкинильной группе, имеющей n-m атомов углерода. Примеры алкинильных групп включают, но без ограничения, этинил, пропин-1-ил, пропин-2-ил и тому подобное. В некоторых вариантах осуществления алкинильный фрагмент содержит 2-6, 2-4 или 2-3 атомов углерода.

Термин «алкилен», используемый отдельно или в сочетании с другими терминами, относится к двухвалентной алкильной связывающей группе. Алкиленовая группа формально соответствует алкану с двумя C-H связями, замененными точками присоединения алкиленовой группы к остальной части соединения. Термин «Cn-m алкилен» относится к алкиленовой группе, имеющей n-m атомов углерода. Примеры алкиленовых групп включают, но без ограничения, метилен, этaн-1,2-диил, пропaн-1,3-диил, пропaн-1,2-диил, бутан-1,4-диил, бутан-1,3-диил, бутан-1,2-диил, 2-метилпропан-1,3-диил и тому подобное. В некоторых вариантах осуществления термин «Cn-m алкилен» может относиться к цепи из n-m метиленовых (CH2) групп, -(CH2)n-m-, например, -CH2-, -CH2CH2-, -CH2CH2CH2- и так далее.

Термин «алкокси», используемый отдельно или в сочетании с другими терминами, относится к группе формулы -O-алкил, при этом алкильная группа соответствует приведенному выше определению. Термин «Cn-m алкокси» относится к алкокси группе, алкильная группа которой имеет n-m атомов углерода. Примеры алкокси групп включают метокси, этокси, пропокси (например, н-пропокси и изопропокси), трет-бутокси и тому подобное. В некоторых вариантах осуществления алкильная группа имеет 1-6, 1-4 или 1-3 атомов углерода.

Термин «алкоксиалкил» относится к алкильной группе, в которой один или более атомов водорода заменены алкокси группой. Термин «Cn-m алкокси-Cp-q алкил» относится к Cp-q алкильной группе, замещенной Cn-m алкокси группой. В некоторых вариантах осуществления гидроксиалкильная группа имеет одну алкокси группу. В некоторых вариантах осуществления алкоксиалкильная группа имеет одну или две алкокси группы, на разных атомах углерода. Примеры могут включают, но без ограничения, метоксиметил, этоксиметил, 3-этоксиэтил и 1-метоксиэтил.

Термин «амино» относится к группе формулы -NH2.

Термин «карбамил» относится к группе формулы -C(O)NH2.

Термин «карбонил», используемый отдельно или в сочетании с другими терминами, относится к -C(=O)- группе, которая также может быть записана как C(O).

Термин «циано» или «нитрил» относится к группе формулы -C≡N, которая также может быть записана как -CN.

Термины «гало» или «галоген», используемые отдельно или в сочетании с другими терминами, относятся к фтору, хлору, брому и иоду. В некоторых вариантах осуществления «гало» относится к атому галогена, выбранному из F, Cl или Br. В некоторых вариантах осуществления гало представляет собой F.

Термин «галоалкил» относится к алкильной группе, в которой один или более атомов водорода заменены атомом галогена. Термин «Cn-m галоалкил» относится к Cn-m алкильной группе, имеющей n-m атомов углерода и от по меньшей мере одного вплоть до {2(n-m)+1} атомов галогена, которые могут быть либо одинаковыми, либо разными. В некоторых вариантах осуществления атомы галогена представляет собой атомы фтора. В некоторых вариантах осуществления галоалкильная группа имеет 1-6 или 1-4 атомов углерода. Примеры галоалкильных групп включают CF3, C2F5, CHF2, CCl3, CHCl2, C2Cl5 и тому подобное. В некоторых вариантах осуществления галоалкильная группа представляет собой фторалкильную группу.

Термин «галоалкокси», используемый отдельно или в сочетании с другими терминами, относится к группе формулы -O-галоалкил, при этом галоалкильная группа соответствует приведенному выше определению. Термин «Cn-m галоалкокси» относится к галоалкокси группе, галоалкильная группа которой имеет n-m атомов углерода. Примеры галоалкокси групп включают трифторметокси и тому подобное. В некоторых вариантах осуществления галоалкокси группа имеет 1-6, 1-4 или 1-3 атомов углерода.

Термин «гидроксиалкил» относится к алкильной группе, в которой один или более атомов водорода заменены гидроксилом. Термин «Cn-m гидроксиалкил» относится к Cn-m алкильной группе, имеющей n-m атомов углерода и по меньшей мере одну гидроксильную группу. В некоторых вариантах осуществления гидроксиалкильная группа имеет одну спиртовую группу. В конкретных аспектах гидроксиалкильная группа имеет одну или более спиртовых групп, все на разных атомах углерода. В конкретных аспектах гидроксиалкильная группа имеет 1, 2, 3, 4, 5 или 6 спиртовых групп. Примеры могут включать, но без ограничения, гидроксиметил, 2-гидроксиэтил и 1-гидроксиэтил.

Термин «оксо» относится к атому кислорода в качестве двухвалентного заместителя, образующего карбонильную группу в случае присоединения к углероду, или в случае присоединения к гетероатому образующего сульфоксидную или сульфоновую группу, или Н-оксидную группу.

Термин «сульфидо» относится к атому серы в качестве двухвалентного заместителя, образующего тиокарбонильную группу (C=S) в случае присоединения к углероду.

Термин «n-членные», где n представляет собой целое число, как правило, означает количество кольцевых атомов в функциональных группах, в которых число кольцевых атомов равно n. Термин «n-m-членные», где n и m представляют собой целые числа, означает диапазон, в котором число кольцевых атомов составляет от n до m. Например, пиперидинил является примером 6-членного гетероциклоалкильного кольца, пиразолил является примером 5-членного гетероарильного кольца, пиридил является примером 6-членного гетероарильного кольца и 1,2,3,4-тетрагидро-нафталин является примером 10-членной циклоалкильной группы.

Термин «ароматическое» относится к углеродному кольцу, или гетероциклу, имеющему одно или более полиненасыщенных колец, имеющих ароматический характер (то есть, имеющих (4n+2) делокализованных п (pi) электронов, при этом n представляет собой целое число).

Термин «арил», используемый отдельно или в сочетании с другими терминами, относится к ароматической углеводородной группе, которая может быть моноциклической или полициклической (например, имеющей 2, 3 или 4 сочлененных кольца). Термин «Cn-m арил» относится к арильной группе, имеющей n-m кольцевых атомов углерода. Арильные группы включают, например, фенил, нафтил, антраценил, фенантренил, инданил, инденил, тетраценил и тому подобное. В некоторых вариантах осуществления арильные группы имеют от 6 до примерно 20 атомов углерода, от 6 до примерно 18 атомов углерода, от 6 до примерно 15 атомов углерода или от 6 до примерно 10 атомов углерода. В некоторых вариантах осуществления арильная группа представляет собой фенил.

Термин «арилалкил», или «аралкил», или «алкиларил», используемый отдельно или в сочетании с другими терминами, относится к группе формулы -алкилен-арил, и относится к алкильной группе, определение которой дано в настоящем документе, при этом по меньшей мере один атом водорода был заменен арильной группой, определение которой дано в настоящем документе. В некоторых вариантах осуществления арилалкил представляет собой C6-10 арил-C1-3 алкил. В некоторых вариантах осуществления арилалкил представляет собой C6-10 арил-C1-4 алкил. В некоторых вариантах осуществления арилалкил представляет собой C6-10 арил-C1-3 алкил. В некоторых вариантах осуществления арилалкил представляет собой фенил-C1-3 алкил. Примеры включают, но без ограничения, бензил, 1-фенилэтил, 4-метилбензил и 1,1,-диметил-1-фенилметил. В некоторых вариантах осуществления арилалкил представляет собой бензил.

Термин «гетероарил», или «гетероароматический», используемый отдельно или в сочетании с другими терминами, относится к моноциклическому или полициклическому ароматическому гетероциклу, имеющему по меньшей мере один гетероатом кольца, выбранный из серы, кислорода и азота. Термин «n-членный гетероарил» или «n-членный гетероароматический», где n представляет собой целое число, относится к гетероарилу, имеющему n кольцевых атомов. Термин «n-m-членный гетероарил» или «n-m-членный гетероароматический», где n и m представляют собой целые числа, относится к гетероарилу, имеющему n-m кольцевых атомов. Число атомов углерода в кольце меньше, чем число кольцевых атомов, на число гетероатомов. Таким образом, в некоторых вариантах осуществления n-членный гетероарил может иметь n-1, n-2, n-3 или n-4 кольцевых атомов углерода и n-m-членный гетероарил может иметь от n-1, n-2, n-3 или n-4 кольцевых атомов углерода до m-1, m-2, m-3 или m-4 кольцевых атомов углерода. В некоторых вариантах осуществления n-m-членный гетероарил может иметь от 1 до m-1 кольцевых атомов углерода. В некоторых вариантах осуществления гетероарильное кольцо имеет 1, 2, 3 или 4 гетероатома кольца, независимо выбранных из азота, серы и кислорода. В некоторых вариантах осуществления любой кольцевой N в гетероарильной группе может представлять собой N-оксид. В некоторых вариантах осуществления гетероарил имеет 5-10 кольцевых атомов, включая атомы углерода и 1, 2, 3 или 4 гетероатома кольца, независимо выбранных из азота, серы и кислорода. В некоторых вариантах осуществления гетероарил имеет 5-6 кольцевых атомов и 1 или 2 гетероатома кольца, независимо выбранных из азота, серы и кислорода. В некоторых вариантах осуществления гетероарил представляет собой пятичленное или шестичленное гетероарильное кольцо. В других вариантах осуществления гетероарил представляет собой восьмичленное, девятичленное или десятичленное конденсированное бициклическое гетероарильное кольцо. Примеры гетероарильных групп включают, но без ограничения, пиридин, пиримидин, пиразин, пиридазин, пиррол, пиразол, азолил, оксазол, изоксазол, тиазол, изотиазол, имидазол, фуран, тиофен, хинолин, изохинолин, нафтиридин (включая 1,2-, 1,3-, 1,4-, 1,5-, 1,6-, 1,7-, 1,8-, 2,3- и 2,6-нафтиридин), индол, азаиндол, бензотиофен, бензофуран, бензизоксазол, бензимидазол, имидазо[1,2-b]тиазол, пурин, фуразен, триазол, тетразол, 1,2,4-тиадиазол, хиназолин, фталазин, имидазо[1,2-a]пиридин, имидазо[2,1-b]тиазолил или тому подобное.

Пятичленное гетероарильное кольцо представляет собой гетероарильную группу, имеющую пять кольцевых атомов, в которой один или более (например, 1, 2 или 3) кольцевых атомов независимо выбирают из N, O и S. Иллюстративные пятичленные кольцевые гетероарилы включают тиенил, фурил, пирролил, имидазолил, тиазолил, оксазолил, пиразолил, изотиазолил, изоксазолил, 1,2,3-триазолил, тетразолил, 1,2,3-тиадиазолил, 1,2,3-оксадиазолил, 1,2,4-триазолил, 1,2,4-тиадиазолил, 1,2,4-оксадиазолил, 1,3,4-триазолил, 1,3,4-тиадиазолил и 1,3,4-оксадиазолил.

Шестичленное гетероарильное кольцо представляет собой гетероарильную группу, имеющую шесть кольцевых атомов, в которой один или более (например, 1, 2 или 3) кольцевых атомов независимо выбирают из N, O и S. Иллюстративные шестичленные кольцевые гетероарилы представляют собой пиридил, пиразинил, пиримидинил, триазинил и пиридазинил.

Термин «гетероарилалкил», используемый отдельно или в сочетании с другими терминами, относится к группе формулы -алкилен-гетероарил. Термин «n-членный гетероарилалкил», где n представляет собой целое число, относится к гетероарилалкильной группе, в которой гетероарил является n-членным. Термин «n-m-членный Cp-q алкил», где n, m, p и q представляют собой целые числа, относится к гетероарилалкильной группе, в которой гетероарил является n-m-членным, и алкил имеет от p до q атомов углерода. В некоторых вариантах осуществления гетероарилалкил представляет собой 5-10-членный гетероарил-C1-3 алкил или C1-9 гетероарил-C1-3 алкил, при этом гетероарильная часть является моноциклической или бициклической и имеет 1, 2, 3, 4 или 5 кольцевых гетероатомов, независимо выбранных из азота, серы и кислорода. В некоторых вариантах осуществления гетероарилалкил представляет собой C1-9 гетероарил-C1-4 алкил, при этом гетероарильная часть является моноциклической или бициклической и имеет 1, 2, 3 или 4 гетероатома кольца, независимо выбранных из азота, серы и кислорода. Примеры включают пиридилметил, такой как 2-пиридилметил, 3-пиридилметил или 4-пиридилметил.

Термин «циклоалкил», используемый отдельно или в сочетании с другими терминами, относится к неароматической, насыщенной, моноциклической, бициклической или полициклической углеводородной кольцевой системе. Термин включает циклизированные алкильные и алкенильные группы. Термин «Cn-m циклоалкил» означает циклоалкил, который имеет n-m кольцевых атомов углерода. Циклоалкильные группы могут включать моно- или полициклические (например, имеющие 2, 3 или 4 сочлененных кольца) группы и спироциклы. Циклоалкильные группы могут иметь 3, 4, 5, 6 или 7 кольцевых атомов углерода (C3-7). В некоторых вариантах осуществления циклоалкильная группа имеет 3-6 членов кольца, 3-5 членов кольца или 3-4 членов кольца. В некоторых вариантах осуществления циклоалкильная группа является моноциклической. В некоторых вариантах осуществления циклоалкильная группа является моноциклической или бициклической. В некоторых вариантах осуществления циклоалкильная группа представляет собой C3-6 моноциклическую циклоалкильную группу. Кольцевые атомы углерода циклоалкильной группы могут, необязательно, быть окислены, с образованием оксо или сульфидо групп. Циклоалкильные группы также включают циклоалкилидены. В некоторых вариантах осуществления циклоалкил представляет собой циклопропил, циклобутил, циклопентил или циклогексил. Под определение циклоалкила также попадают группы, имеющие одно или более ароматических колец, конденсированных (то есть, имеющих общую связь) с циклоалкильным кольцом, например, бензо или тиенильные производные циклопентана, циклогексана и тому подобное. Циклоалкильная группа, содержащая конденсированное ароматическое кольцо, может быть присоединена через любой кольцевой атом, включая кольцевой атом конденсированного ароматического кольца. Примеры циклоалкильных групп включают циклопропил, циклобутил, циклопентил, циклогексил, 4,4-диметилциклогексил, циклогептил, циклопентенил, циклогексенил, циклогексадиенил, циклогептатриенил, норборнил, норпинил, норкарнил, бицикло[1,1,1]пентанил, бицикло[2,1,1]гексанил и тому подобное. В некоторых вариантах осуществления циклоалкильная группа представляет собой циклопропил, циклобутил, циклопентил или циклогексил.

Термин «циклоалкилалкил», используемый отдельно или в сочетании с другими терминами, относится к группе формулы -алкилен-циклоалкил. Термин «Cn-m циклоалкил-Cp-q алкил», где n, m, p и q представляют собой целые числа, относится к циклоалкильной группе, имеющей n-m атомов углерода, присоединенных к алкильной группе, имеющей от p до q атомов углерода. В некоторых вариантах осуществления циклоалкилалкил представляет собой C3-7 циклоалкил-C1-3 алкил, при этом циклоалкильная часть является моноциклической или бициклической. Примеры включают циклопропилметил, циклобутилметил, циклопентанметил и циклогексилметил.

Термин «гетероциклоалкил», используемый отдельно или в сочетании с другими терминами, относится к неароматическому кольцу, или кольцевой системе, которое может, необязательно, содержать одну или более алкениленовых групп в виде части кольцевой структуры, которая имеет по меньшей мере один гетероатом кольца, независимо выбранный из азота, серы и кислорода. Термин «n-членный гетероциклоалкил», где n представляет собой целое число, относится к гетероарилу, имеющему n кольцевых атомов. Термин «n-m-членный гетероциклоалкил», где n и m представляют собой целые числа, относится к гетероциклоалкилу, имеющему n-m кольцевых атомов. Число атомов углерода в кольце меньше, чем число кольцевых атомов, на число гетероатомов. Таким образом, в некоторых вариантах осуществления n-членный гетероциклоалкил может иметь n-1, n-2, n-3 или n-4 кольцевых атомов углерода, и n-m-членный гетероциклоалкил может иметь от n-1, n-2, n-3 или n-4 кольцевых атомов углерода до m-1, m-2, m-3 или m-4 кольцевых атомов углерода. В некоторых вариантах осуществления n-m-членный гетероциклоалкил может иметь от 1 до m-1 кольцевых атомов углерода. В некоторых вариантах осуществления гетероциклоалкил имеет 4-12 членов кольца, 4-10 членов кольца, 4-7 членов кольца или 4-6 членов кольца. В гетероциклоалкильные группы включены моноциклические 4-, 5-, 6- и 7-членные гетероциклоалкильные группы. Гетероциклоалкильные группы могут включать моно- или бициклические (например, имеющие два конденсированных или соединенных внутренним мостиком кольца) кольцевые системы. В некоторых вариантах осуществления гетероциклоалкильная группа представляет собой моноциклическую группу, имеющую 1, 2 или 3 гетероатома, независимо выбранных из азота, серы и кислорода. Кольцевые атомы углерода и гетероатомы гетероциклоалкильной группы могут быть, необязательно, окислены, с образованием оксо или сульфидной группы, или другой окисленной связи (например, C(O), S(O), C(S) или S(O)2, N-оксид и так далее), или атом азота может быть кватернизованным. Гетероциклоалкильная группа может быть присоединена через кольцевой атом углерода или кольцевой гетероатом. В некоторых вариантах осуществления гетероциклоалкильная группа содержит 0-3 двойные связи. В некоторых вариантах осуществления гетероциклоалкильная группа содержит 0-2 двойные связи. Под определение гетероциклоалкила также попадают группы, которые имеют одно или более ароматических колец, конденсированных (то есть, имеющих общую связь) с гетероциклоалкильным кольцом, например, бензо или тиенильными производными пиперидина, морфолина, азепина и так далее. Гетероциклоалкильная группа, содержащая конденсированное ароматическое кольцо, может быть присоединена через любой кольцевой атом, включая кольцевой атом конденсированного ароматического кольца. Примеры гетероциклоалкильных групп включают азетидин, азепан, дигидробензофуран, дигидрофуран, дигидропиран, морфолин, 3-окса-9-азаспиро[5,5]ундекан, 1-окса-8-азаспиро[4,5]декан, пиперидин, пиперазин, пиран, пирролидин, хинуклидин, тетрагидрофуран, тетрагидропиран, 1,2,3,4-тетрагидрохинолин, тропан и тиоморфолин.

В настоящем документе термин «гетероциклоалкилалкил», используемый отдельно или в сочетании с другими терминами, относится к группе формулы -алкилен-гетероциклоалкил. Термин «n-членный гетероциклоалкилалкил», где n представляет собой целое число, относится к гетероарилалкилалкильной группе, в которой гетероциклоалкил является n-членным. Термин «n-m-членный Cp-q алкил, где n, m, p и q представляют собой целые числа, относится к гетероциклоалкилалкилоной группе, в которой гетероциклоалкил является n-m-членным, и алкил имеет от p до q атомов углерода. В некоторых вариантах осуществления гетероциклоалкилалкил представляет собой 4-10-членный гетероциклоалкил-C1-3 алкил или C1-9 гетероциклоалкил-C1-3 алкил, при этом гетероциклоалкильная часть является моноциклической или бициклической и имеет 1, 2, 3, 4 или 5 кольцевых гетероатомов, независимо выбранных из азота, серы и кислорода. В некоторых вариантах осуществления гетероциклоалкилалкил представляет собой C2-9 гетероциклоалкил-C1-4 алкил или C2-9 гетероциклоалкил-C1-3 алкил, при этом гетероциклоалкильная часть является моноциклической или бициклической и имеет 1, 2, 3 или 4 кольцевых гетероатома, независимо выбранных из азота, серы и кислорода.

В некоторых случаях определения или варианты осуществления могут относиться к конкретным кольцам (например, азетидиновому кольцу, пиридиновому кольцу и так далее). Если нет иных указаний, эти кольца могут быть присоединены к любому члену кольца, при условии, что валентность атома не превышается. Например, азетидиновое кольцо может быть присоединено в любом положении кольца, в то время как азетидин-3-ильное кольцо присоединено в 3-положении.

Когда любые две группы, или два представителя одной и той же группы, заместителей «независимо выбирают» из списка альтернативных вариантов, группы могут быть одинаковыми или разными. Например, если Ra и Rb независимо выбирают из группы, состоящей из алкила, фтора, амино и гидроксиалкила, тогда в молекуле с двумя группами Ra и двумя группами Rb все группы могут представлять собой алкильные группы (например, четыре разные алкильные группы). Альтернативно, первый Ra может представлять собой алкил, второй Ra может представлять собой фтор, первый Rb может представлять собой гидроксиалкил, и второй Rb может представлять собой амино (или любые другие заместители из данной группы). Альтернативно, как Ra, так и первый Rb, может представлять собой фтор, в то время как второй Rb может представлять собой алкил (то есть, некоторые пары из групп заместителей могут быть одинаковыми, в то время как другие пары могут быть разными). Если нет иных указаний, в случае присутствия двух или более групп, попадающих под одно определение, но определение предусматривает альтернативы, следует понимать, что каждого представителя одной и той же группы независимо выбирают из возможных альтернативных вариантов. Например, если в соединении присутствуют две или более групп Ra, и определение Ra предусматривает, что Ra может представлять собой A, B или C, следует понимать, что каждую группу Ra, присутствующую в соединении, независимо выбирают из A, B и C, так что группы Ra, присутствующие в соединении, могут быть одинаковыми или разными.

Соединения, описанные в настоящем документе, могут быть асимметричными (например, имеющими один или более стереоцентров). Предусмотрены все стереоизомеры, такие как энантиомеры и диастереомеры, если нет иных указаний. Соединения, описанные в настоящем документе, которые содержат асимметрично замещенные атомы углерода, могут быть выделены в оптически активных или рацемических формах. Способы получения оптически активных форм из оптически неактивных исходных материалов известны в данной области, например, путем разделения рацемических смесей или путем стереоселективного синтеза. Многие геометрические изомеры олефинов, C=N двойные связи, и тому подобное, также могут присутствовать в соединениях, описанных в настоящем документе, и все такие стабильные изомеры предусмотрены по настоящему изобретению. Цис и транс геометрические изомеры соединений по настоящему изобретению описаны и могут быть выделены в виде смеси изомеров или в виде разделенных изомерных форм.

Разделение рацемических смесей соединений можно проводить любым из множества способов, известных в данной области. Один способ включает фракционную перекристаллизацию с использованием хиральной расщепляющей кислоты, которая представляет собой оптически активную солеобразующую органическую кислоту. Подходящими разделяющими средствами для способов фракционной перекристаллизации являются, например, оптически активные кислоты, такие как D- и L-формы виннокаменной кислоты, диацетилвиннокаменная кислота, дибензоилвиннокаменная кислота, миндальная кислота, яблочная кислота, молочная кислота или различные оптически активные камфорсульфоновые кислоты, такие как β-камфорсульфоновая кислота. Другие разделяющие средства, подходящие для способа фракционной кристаллизации, включают стереоизомерно чистые формы α-метилбензиламина (например, S и R формы, или диастереомерно чистые формы), 2-фенилглицинол, норэфедрин, эфедрин, N-метилэфедрин, циклогексилэтиламин, 1,2-диаминоциклогексан и тому подобное.

Разделение рацемических смесей также можно проводить путем элюирования с колонки, упакованной оптически активным разделяющим средством (например, динитробензоилфенилглицином). Подходящий состав растворителя для элюции может определять специалист в данной области.

В некоторых вариантах осуществления соединения по изобретению имеют (R)-конфигурацию. В других вариантах осуществления соединения имеют (S)-конфигурацию. В соединениях с более чем одним хиральным центром каждый из хиральных центров в соединении может независимо представлять собой (R) или (S), если нет иных указаний.

Соединения, описанные в настоящем документе, также могут включать таутомерные формы. Таутомерные формы возникают в результате замены одиночной связи соседней двойной связью, наряду с сопутствующей миграцией протона. Таутомерные формы включают прототропные таутомеры, которые представляют собой изомерные состояния протонирования, имеющие одну и ту же эмпирическую формулу и общий заряд. Примеры прототропных таутомеров включают пары кетон - фенол, пары амид - имидокислота, пары лактам - лактим, пары енамин - имин, и кольцевые формы, в которых протон может занимать два или более положений гетероциклической системы, например, 1H- и 3H-имидазол, 1H-, 2H- и 4H-1,2,4-триазол, 1H- и 2H-изоиндол и 1H- и 2H-пиразол. Таутомерные формы могут находиться в равновесии или быть стерически связаны в одну форму путем соответствующей замены. Изобретение должно охватывать все такие таутомеры описанных соединений.

Соединения, описанные в настоящем документе, также могут включать все изотопы атомов, присутствующих в промежуточных или конечных соединениях. Изотопы представляют собой атомы, имеющие тот же атомный номер, но разные массовые числа. Например, изотопы водорода включают тритий и дейтерий.

Используемый в настоящем документе термин «соединение» должен включать все стереоизомеры, геометрические изомеры, таутомеры и изотопы указанных структур.

Соединения, описанные в настоящем документе, могут включать кислые и/или основные группы и быть способны к образованию солей. Следует понимать, что настоящее изобретение должно охватывать все соли соединений, которые способны к образованию солей, независимо от того, описано ли специально возможное существование солей, включая соли соединения как с кислотой, так и с основанием. Кроме того, когда описано соединение, которое является солью, понятно, что описание соединения должно включать все формы соединения, в том числе свободное основание или свободную кислоту, а также его альтернативные солевые формы. Термин «соль» относится к производным раскрытых соединений, когда исходное соединение модифицируют путем превращения существующей молекулы кислоты или основания в ее солевую форму. Примеры солей включают, но без ограничения, соли с минеральными или органическими кислотами основных остатков, таких как амины; щелочные или органические соли кислотных остатков, таких как карбоновые кислоты; и тому подобное. Термины «его соль», или «его соли» могут быть применены к любому предшествующему представителю связанной группы Маркуша. Например, группа, состоящая из A, B, C и их солей, будет включать варианты осуществления, которые представляют собой соль A, варианты осуществления, которые представляют собой соль B, и варианты осуществления, которые представляют собой соль C.

Соли соединений, раскрытых в настоящем документе, включают фармацевтически приемлемые соли. Термин «фармацевтически приемлемые соли» относится к нетоксичным солям исходного соединения, образованным, например, из нетоксичных неорганических или органических кислот. Фармацевтически приемлемые соли по настоящему изобретению могут быть синтезированы из исходного соединения, которое содержит основную или кислотную группу, общепринятыми химическими методами. Как правило, такие соли могут быть получены путем проведения реакции свободных кислотных или основных форм данных соединений со стехиометрическим количеством соответствующего основания или кислоты в воде или в органическом растворителе, или в смеси из них; как правило, неводные среды, такие как эфир, этилацетат, спирты (например, метанол, этанол, изопропанол или бутанол) или ацетонитрил (MeCN) являются предпочтительными. Списки подходящих солей можно найти в Remington's Pharmaceutical Sciences, 17-е издание, (Mack Publishing Company, Easton, 1985), p. 1418, Berge et al., J. Pharm. Sci., 1977, 66(1), 1-19, и в Stahl et al., Handbook of Pharmaceutical Salts: Properties, Selection, and Use, (Wiley, 2002). В некоторых вариантах осуществления соединения, описанные в настоящем документе, включают N-оксидные формы. Дополнительную информацию о подходящих фармацевтически приемлемых солях можно найти в сборнике Remington's, Pharmaceutical Sciences (современное издание), Mack Publishing Co., Easton, PA, содержание которого включено в настоящий документ посредством ссылки.

Соединения, и их соли, включая фармацевтически приемлемые соли, могут находиться в сочетании с другими веществами, такими как вода и растворители (например, гидраты и сольваты), или могут быть выделенными. Находящиеся в твердом состоянии соединения, описанные в настоящем документе, и их соли, могут иметь различные формы и могут, например, принимать форму сольватов, включая гидраты. Соединения могут находиться в любой твердотельной форме, например, полиморфных формах или в виде сольватов, так что, если явно не указано иное, ссылку на соединения и их соли следует понимать, как включающую любую твердотельную форму соединения.

В некоторых вариантах осуществления соединения, описанные в настоящем документе, или их соли, являются практически выделенными. Выражение «практически выделенные» означает, что соединение по меньшей мере частично, или в значительной степени, отделено от компонентов окружения, в котором оно образовано или обнаружено. Частично выделенной может быть, например, композиция, обогащенная соединениями по изобретению. Практически выделенными могут быть композиции, содержащие по меньшей мере примерно 50%, по меньшей мере примерно 60%, по меньшей мере примерно 70%, по меньшей мере примерно 80%, по меньшей мере примерно 90%, по меньшей мере примерно 95%, по меньшей мере примерно 97% или по меньшей мере примерно 99% по массе соединений по изобретению, или их солей.

c. Сокращения

Следующие сокращения могут быть использованы в настоящем документе и, если нет иных указаний, иметь значения, приведенные ниже: мк (микро); °C (градусы Цельсия); Ac (ацетил); ACN (ацетонитрил); безводн. (безводный); водн. (водный); атм. (атмосфера); Bn (бензил); Boc (трет-бутоксикарбонил); Bu (бутил); рассч. (рассчетный); Cbz (бензилоксикарбонил); хром. (хроматография); CPME (циклопентил-метиловый эфир); CH2Cl2 (дихлорметан); конц-ый (концентрированный); конц. (концентрация); DCC (N, N'-дициклогексилкарбодиимид); DIAD (диизопропилазодикарбоксилат); DIEA (N, N-диизопропилэтиламин); DMAP (4-(N, N-диметиламино)пиридин); DMF (диметилформамид); DMSO (диметилсульфоксид); EDC (N-(3-диметиламинопропил)-N′-этилкарбодиимид гидрохлорид); эквив. (эквивалент); ES (электрораспыление); Et (этил); Et2O (диэтиловый эфир); г (грамм(ы)); ч (час(ы)); HATU (N-[(диметиламино)-1H-1,2,3-триазолo-[4,5-b]пиридин-1-илметилен]-N-метилметанаминия гексафторфосфат N-оксид); HBTU (O-(бензотриазол-1-ил)-N, N,N′,N′-тетраметил-O-(1H-бензотриазол-1-ил)урония гексафторфосфат); ВЭЖХ (высокоэффективная жидкостная хроматография); HOBt (1-гидроксибензотриазол гидрат); л (литр(ы)); м (милли); м- (мета); M (молярный); MeCN (ацетонитрил); мин (минута(ы)); мл (миллилитр); мол. (моль; молекулярный (в случае мол. масса)); Ms (метансульфонил); MS (масс-спектрометрия); ММ (молекулярная масса); NBS (N-бромсукцинимид); NCS (N-хлорсукцинимид); NIS (N-иодсукцинимид); NHS (N-гидроксисукцинимид); NMM (4-метилморфолин); NMR (ядерный магнитный резонанс); о- (орто); наблюд. (наблюдаемый); п- (пара); Ph (фенил); Phth (фталимид); ппт (преципитат); Pr (пропил); psi (фунтов на квадратный дюйм); темп. (температура); TFA (трифторуксусная кислота); THF (тетрагидрофуран); TPP (трифенилфосфин) и Tr (тритил). Другие сокращения также могут быть использованы и иметь значение, понятное специалистам в данной области.

II. Соединения

A. Соединения формулы I-1

В конкретных аспектах настоящее изобретение относится к соединению формулы (I-1):

или его соли, где:

Cy1A представляет собой незамещенный или замещенный C6-10 арил, или незамещенный или замещенный 5-10-членный гетероарил; при этом кольцевые атомы 5-10-членного гетероарила, образующего Cy1A, состоят из атомов углерода и 1, 2 или 3 гетероатомов, выбранных из O, N и S; при этом замещенный C6-10 арил или замещенный 5-10-членный гетероарил, образующие Cy1A, замещены 1, 2, 3, 4 или 5 заместителями, каждый из которых независимо выбирают из RCy1A, галогена, C1-6 галоалкила, CN, ORa11, SRa11, C(O)Rb11, C(O)NRc11Rd11, C(O)ORa11, OC(O)Rb11, OC(O)NRc11Rd11, NRc11Rd11, NRc11C(O)Rb11, NRc11C(O)NRc11Rd11, NRc11C(O)ORa11, C(=NRe11)NRc11Rd11, C(=NORa11)NRc11Rd11, C(=NOC(O)Rb11)NRc11Rd11, C(=NRe11)NRc11C(O)ORa11, NRc11C(=NRe11)NRc11Rd11, S(O)Rb11, S(O)NRc11Rd11, S(O)2Rb11, NRc11S(O)2Rb11, S(O)2NRc11Rd11 и оксо;

каждый RCy1A независимо выбирают из C1-6 алкила, C2-6 алкенила, C2-6 алкинила, C6-10 арила, 5-10-членного гетероарила, C3-10 циклоалкила и 4-10-членного гетероциклоалкила, при этом кольцевые атомы 5-10-членного гетероарила или 4-10-членного гетероциклоалкила, образующего RCy1A, состоят из атомов углерода и 1, 2, 3 или 4 гетероатомов, выбранных из O, N и S, при этом каждый C1-6 алкил, C2-6 алкенил или C2-6 алкинил, образующий RCy1A, независимо является незамещенным или замещенным 1, 2 или 3 заместителями, независимо выбранными из галогена, CN, ORa11, SRa11, C(O)Rb11, C(O)NRc11Rd11, C(O)ORa11, OC(O)Rb11, OC(O)NRc11Rd11, NRc11Rd11, NRc11C(O)Rb11, NRc11C(O)NRc11Rd11, NRc11C(O)ORa11, C(=NRe11)NRc11Rd11, NRc11C(=NRe11)NRc11Rd11, S(O)Rb11, S(O)NRc11Rd11, S(O)2Rb11, NRc11S(O)2Rb11, S(O)2NRc11Rd11 и оксо, и при этом каждый C6-10 арил, 5-10-членный гетероарил, C3-10 циклоалкил и 4-10-членный гетероциклоалкил, образующий RCy1A, независимо является незамещенным или замещенным 1, 2 или 3 заместителями, независимо выбранными из галогена, C1-6 алкила, C2-6 алкенила, C2-6 алкинила, C1-6 галоалкила, CN, ORa11, SRa11, C(O)Rb11, C(O)NRc11Rd11, C(O)ORa11, OC(O)Rb11, OC(O)NRc11Rd11, NRc11Rd11, NRc11C(O)Rb11, NRc11C(O)NRc11Rd11, NRc11C(O)ORa11, C(=NRe11)NRc11Rd11, NRc11C(=NRe11)NRc11Rd11, S(O)Rb11, S(O)NRc11Rd11, S(O)2Rb11, NRc11S(O)2Rb11, S(O)2NRc11Rd11 и оксо;

R11 представляет собой H или C1-6 алкил, C6-10 арил-C1-6 алкил или 5-10-членный гетероарил-C1-6 алкил, при этом C1-6 алкил, образующий R11, является незамещенным или замещенным 1, 2 или 3 заместителями, независимо выбранными из галогена, CN, ORa11, SRa11, C(O)Rb11, C(O)NRc11Rd11, C(O)ORa11, OC(O)Rb11, OC(O)NRc11Rd11, NRc11Rd11, NRc11C(O)Rb11, NRc11C(O)NRc11Rd11, NRc11C(O)ORa11, C(=NRe11)NRc11Rd11, NRc11C(=NRe11)NRc11Rd11, S(O)Rb11, S(O)NRc11Rd11, S(O)2Rb11, NRc11S(O)2Rb11, S(O)2NRc11Rd11 и оксо, и при этом C6-10 арил-C1-6 алкил или 5-10-членный гетероарил-C1-6 алкил, образующий R11, является незамещенным или замещенным 1, 2 или 3 заместителями, независимо выбранными из C1-6 алкила, C2-6 алкенила, C2-6 алкинила, C1-6 галоалкила, CN, ORa11, SRa11, C(O)Rb11, C(O)NRc11Rd11, C(O)ORa11, OC(O)Rb11, OC(O)NRc11Rd11, NRc11Rd11, NRc11C(O)Rb11, NRc11C(O)NRc11Rd11, NRc11C(O)ORa11, C(=NRe11)NRc11Rd11, NRc11C(=NRe11)NRc11Rd11, S(O)Rb11, S(O)NRc11Rd11, S(O)2Rb11, NRc11S(O)2Rb11, S(O)2NRc11Rd11 и оксо;

R12 представляет собой H или C1-6 алкил; или

R11 и R12, вместе с группами, к которым они присоединены, образуют 4-6-членное гетероциклоалкильное кольцо;

A11 представляет собой CR13R15 или N;

каждый R13 независимо представляет собой Cy1B, (CR13AR13B)n3Cy1B, (C1-6 алкилен)Cy1B, (C2-6 алкенилен)Cy1B, (C2-6 алкинилен)Cy1B или OCy1B, при этом компонент C1-6 алкилена, C2-6 алкенилена или C2-6 алкинилена в R13 является незамещенным или замещенным 1, 2, 3, 4 или 5 заместителями, каждый из которых независимо выбирают из группы, состоящей из галогена, CN, ORa11, SRa11, C(O)Rb11, C(O)NRc11Rd11, C(O)ORa11, OC(O)Rb11, OC(O)NRc11Rd11, NRc11Rd11, NRc11C(O)Rb11, NRc11C(O)NRc11Rd11, NRc11C(O)ORa11, C(=NRe11)NRc11Rd11, NRc11C(=NRe11)NRc11Rd11, S(O)Rb11, S(O)NRc11Rd11, S(O)2Rb11, NRc11S(O)2Rb11, S(O)2NRc11Rd11 и оксо;

каждый R14 независимо выбирают из H и C1-6 алкила;

R15 выбирают из H, R13, C1-6 алкила и OH;

пара групп R14, присоединенных к соседним атомам углерода, или спаренные группы R14 и R15, присоединенные к соседним атомам углерода, могут, независимо от других представителей R14, быть заменены связью, соединяющей соседние атомы углерода, к которым присоединена пара групп R14, или спаренные группы R14 и R15, так что соседние атомы углерода соединены двойной связью; или

пара групп R14, присоединенных к одному и тому же атому углерода, или спаренные группы R13 и R15, присоединенные к одному и тому же атому углерода, могут, независимо от других представителей R14, и совместно с атомом углерода, к которому присоединена пара групп R14, или спаренные группы R13 и R15, совместно образовывать спиро-конденсированное C3-10 циклоалкильное или 4-10-членное гетероциклоалкильное кольцо, при этом кольцевые атомы образовавшегося 4-10-членного гетероциклоалкильного кольца состоят из атомов углерода и 1, 2 или 3 гетероатомов, выбранных из O, N и S, при этом образовавшееся спиро-конденсированное C3-10 циклоалкильное или 4-10-членное гетероциклоалкильное кольцо, необязательно, дополнительно замещено 1, 2 или 3 заместителями, независимо выбранными из галогена, C1-6 алкила, C2-6 алкенила, C2-6 алкинила, галоалкила, CN, ORa11, SRa11, C(O)Rb11, C(O)NRc11Rd11, C(O)ORa11, OC(O)Rb11, OC(O)NRc11Rd11, NRc11Rd11, NRc11C(O)Rb11, NRc11C(O)NRc11Rd11, NRc11C(O)ORa11, C(=NRe11)NRc11Rd11, NRc11C(=NRe11)NRc11Rd11, S(O)Rb11, S(O)NRc11Rd11, S(O)2Rb11, NRc11S(O)2Rb11, S(O)2NRc11Rd11 и оксо; или

пара групп R14, присоединенных к соседним атомам углерода, или спаренные группы R14 и R15, присоединенные к соседним атомам углерода, могут, независимо от других представителей R14, совместно с атомами углерода, к которым присоединена пара групп R14, или спаренные группы R14 и R15, образовывать конденсированное C3-10 циклоалкильное или 4-10-членное гетероциклоалкильное кольцо, при этом кольцевые атомы образовавшегося 4-10-членного гетероциклоалкильного кольца состоят из атомов углерода и 1, 2, или 3 гетероатомов, выбранных из O, N и S, при этом образовавшееся C3-10 циклоалкильное или 4-10-членное гетероциклоалкильное кольцо, необязательно, дополнительно замещено 1, 2 или 3 заместителями, независимо выбранными из галогена, C1-6 алкила, C2-6 алкенила, C2-6 алкинила, галоалкила, CN, ORa11, SRa11, C(O)Rb11, C(O)NRc11Rd11, C(O)ORa11, OC(O)Rb11, OC(O)NRc11Rd11, NRc11Rd11, NRc11C(O)Rb11, NRc11C(O)NRc11Rd11, NRc11C(O)ORa11, C(=NRe11)NRc11Rd11, NRc11C(=NRe11)NRc11Rd11, S(O)Rb11, S(O)NRc11Rd11, S(O)2Rb11, NRc11S(O)2Rb11, S(O)2NRc11Rd11 и оксо; или

группировка из четырех групп R14, присоединенных к двум соседним атомам углерода, или группировка из двух R14, одной R13 и одной R15 групп, присоединенных к двум соседним атомам углерода, могут, независимо от других представителей R14, совместно с соседними атомами углерода, к которым присоединена группировка из четырех групп R14, или группировка из двух R14, одной R13 и одной R15 групп, образовывать конденсированное C6-10 арильное или 5-10-членное гетероарильное, C3-10 циклоалкильное или 4-10-членное гетероциклоалкильное кольцо, при этом кольцевые атомы образовавшегося 5-10-членного гетероарильного или 4-10-членного гетероциклоалкильного кольца состоят из атомов углерода и 1, 2, или 3 гетероатомов, выбранных из O, N и S, и при этом образовавшееся конденсированное C6-10 арильное или 5-10-членное гетероарильное, C3-10 циклоалкильное или 4-10-членное гетероциклоалкильное кольцо, необязательно, дополнительно замещено 1, 2 или 3 заместителями, независимо выбранными из галогена, C1-6 алкила, C2-6 алкенила, C2-6 алкинила, галоалкила, CN, ORa11, SRa11, C(O)Rb11, C(O)NRc11Rd11, C(O)ORa11, OC(O)Rb11, OC(O)NRc11Rd11, NRc11Rd11, NRc11C(O)Rb11, NRc11C(O)NRc11Rd11, NRc11C(O)ORa11, C(=NRe11)NRc11Rd11, NRc11C(=NRe11)NRc11Rd11, S(O)Rb11, S(O)NRc11Rd11, S(O)2Rb11, NRc11S(O)2Rb11, S(O)2NRc11Rd11 и оксо;

n1 равен 1 или 2;

n2 равен 0, 1 или 2;

при условии, что сумма n1 и n2 равна 1, 2 или 3;

при условии, что, если n1 равен 1 или n2 равен 0, тогда A11 представляет собой CR13R15;

n3 равен 0, 1 или 2;

каждый R13A независимо представляет собой H или C1-6 алкил;

каждый R13B независимо представляет собой H или C1-6 алкил; или

R13A и R13B, присоединенные к одному и тому же атому углерода, независимо от любых других групп R13A и R13B, совместно могут образовывать -(CH2)2-5-, тем самым образуя 3-6-членное циклоалкильное кольцо;

Cy1B представляет собой незамещенный или замещенный C6-10 арил, незамещенный или замещенный 5-10-членный гетероарил, незамещенный или замещенный C3-10 циклоалкил, или незамещенный или замещенный 4-10-членный гетероциклоалкил; при этом кольцевые атомы 5-10-членного гетероарила или 4-10-членного гетероциклоалкила, образующего Cy1B, состоят из атомов углерода и 1, 2 или 3 гетероатомов, выбранных из O, N и S; и

при этом замещенный C6-10 арил, замещенный 5-10-членный гетероарил, замещенный C3-10 циклоалкил или замещенный 4-10-членный гетероциклоалкил, образующий Cy1B, замещен 1, 2, 3, 4 или 5 заместителями, каждый из которых независимо выбирают из RCy1B, галогена, C1-6 галоалкила, CN, ORa11, SRa11, C(O)Rb11, C(O)NRc11Rd11, C(O)ORa11, OC(O)Rb11, OC(O)NRc11Rd11, NRc11Rd11, NRc11C(O)Rb11, NRc11C(O)NRc11Rd11, NRc11C(O)ORa11, C(=NRe11)NRc11Rd11, C(=NORa11)NRc11Rd11, C(=NOC(O)Rb11)NRc11Rd11, C(=NRe11)NRc11C(O)ORa11, NRc11C(=NRe11)NRc11Rd11, S(O)Rb11, S(O)NRc11Rd11, S(O)2Rb11, NRc11S(O)2Rb11, S(O)2NRc11Rd11 и оксо;

при этом каждый RCy1B независимо выбирают из C1-6 алкила, C2-6 алкенила, C2-6 алкинила, C6-10 арила, 5-10-членного гетероарила, C3-10 циклоалкила и 4-10-членного гетероциклоалкила, при этом кольцевые атомы 5-10-членного гетероарила или 4-10-членного гетероциклоалкила, образующего RCy1B, состоят из атомов углерода и 1, 2 или 3 гетероатомов, выбранных из O, N и S; при этом каждый C1-6 алкил, C2-6 алкенил или C2-6 алкинил, образующий RCy1B, независимо является незамещенным или замещенным 1, 2 или 3 заместителями, независимо выбранными из галогена, CN, ORa11, SRa11, C(O)Rb11, C(O)NRc11Rd11, C(O)ORa11, OC(O)Rb11, OC(O)NRc11Rd11, NRc11Rd11, NRc11C(O)Rb11, NRc11C(O)NRc11Rd11, NRc11C(O)ORa11, C(=NRe11)NRc11Rd11, NRc11C(=NRe11)NRc11Rd11, S(O)Rb11, S(O)NRc11Rd11, S(O)2Rb11, NRc11S(O)2Rb11, S(O)2NRc11Rd11 и оксо; и при этом каждый C6-10 арил, 5-10-членный гетероарил, C3-10 циклоалкил и 4-10-членный гетероциклоалкил, образующий RCy1B, независимо является незамещенным или замещенным 1, 2 или 3 заместителями, независимо выбранными из галогена, C1-6 алкила, C2-6 алкенила, C2-6 алкинила, C1-6 галоалкила, CN, ORa11, SRa11, C(O)Rb11, C(O)NRc11Rd11, C(O)ORa11, OC(O)Rb11, OC(O)NRc11Rd11, NRc11Rd11, NRc11C(O)Rb11, NRc11C(O)NRc11Rd11, NRc11C(O)ORa11, C(=NRe11)NRc11Rd11, NRc11C(=NRe11)NRc11Rd11, S(O)Rb11, S(O)NRc11Rd11, S(O)2Rb11, NRc11S(O)2Rb11, S(O)2NRc11Rd11 и оксо;

R16 представляет собой H, Cy1C, C1-6 алкил, C2-6 алкенил или C2-6 алкинил, при этом C1-6 алкил, C2-6 алкенил или C2-6 алкинил, образующий R16, является незамещенным или замещенным 1, 2, 3, 4 или 5 заместителями, выбранными из группы, состоящей из Cy1C, галогена, CN, ORa11, SRa11, C(O)Rb11, C(O)NRc11Rd11, C(O)ORa11, OC(O)Rb11, OC(O)NRc11Rd11, NRc11Rd11, NRc11C(O)Rb11, NRc11C(O)NRc11Rd11, NRc11C(O)ORa11, C(=NRe11)NRc11Rd11, NRc11C(=NRe11)NRc11Rd11, S(O)Rb11, S(O)NRc11Rd11, S(O)2Rb11, NRc11S(O)2Rb11, S(O)2NRc11Rd11 и оксо, при условии, что не более, чем один из заместителей R16 представляет собой Cy1C;

Cy1C представляет собой незамещенный или замещенный C6-10 арил, незамещенный или замещенный 5-10-членный гетероарил, незамещенный или замещенный C3-10 циклоалкил, или незамещенный или замещенный 4-10-членный гетероциклоалкил; при этом кольцевые атомы 5-10-членного гетероарила или 4-10-членного гетероциклоалкила, образующего Cy1C, состоят из атомов углерода и 1, 2 или 3 гетероатомов, выбранных из O, N и S; и

при этом замещенный C6-10 арил, замещенный 5-10-членный гетероарил, замещенный C3-10 циклоалкил или замещенный 4-10-членный гетероциклоалкил, образующий Cy1C, замещен 1, 2, 3, 4 или 5 заместителями, каждый из которых независимо выбирают из RCy1C, галогена, C1-6 галоалкила, CN, ORa11, SRa11, C(O)Rb11, C(O)NRc11Rd11, C(O)ORa11, OC(O)Rb11, OC(O)NRc11Rd11, NRc11Rd11, NRc11C(O)Rb11, NRc11C(O)NRc11Rd11, NRc11C(O)ORa11, C(=NRe11)NRc11Rd11, C(=NORa11)NRc11Rd11, C(=NOC(O)Rb11)NRc11Rd11, C(=NRe11)NRc11C(O)ORa11, NRc11C(=NRe11)NRc11Rd11, S(O)Rb11, S(O)NRc11Rd11, S(O)2Rb11, NRc11S(O)2Rb11, S(O)2NRc11Rd11 и оксо;

при этом каждый RCy1C независимо выбирают из C1-6 алкила, C2-6 алкенила, C2-6 алкинила, C6-10 арила, 5-10-членного гетероарила, C3-10 циклоалкила и 4-10-членного гетероциклоалкила, при этом кольцевые атомы 5-10-членного гетероарила или 4-10-членного гетероциклоалкила, образующего RCy1C, состоят из атомов углерода и 1, 2 или 3 гетероатомов, выбранных из O, N и S; при этом каждый C1-6 алкил, C2-6 алкенил или C2-6 алкинил, образующий RCy1C, независимо является незамещенным или замещенным 1, 2 или 3 заместителями, независимо выбранными из галогена, CN, ORa11, SRa11, C(O)Rb11, C(O)NRc11Rd11, C(O)ORa11, OC(O)Rb11, OC(O)NRc11Rd11, NRc11Rd11, NRc11C(O)Rb11, NRc11C(O)NRc11Rd11, NRc11C(O)ORa11, C(=NRe11)NRc11Rd11, NRc11C(=NRe11)NRc11Rd11, S(O)Rb11, S(O)NRc11Rd11, S(O)2Rb11, NRc11S(O)2Rb11, S(O)2NRc11Rd11 и оксо; и при этом каждый C6-10 арил, 5-10-членный гетероарил, C3-10 циклоалкил и 4-10-членный гетероциклоалкил, образующий RCy1C, независимо является незамещенным или замещенным 1, 2 или 3 заместителями, независимо выбранными из галогена, C1-6 алкила, C2-6 алкенила, C2-6 алкинила, C1-6 галоалкила, CN, ORa11, SRa11, C(O)Rb11, C(O)NRc11Rd11, C(O)ORa11, OC(O)Rb11, OC(O)NRc11Rd11, NRc11Rd11, NRc11C(O)Rb11, NRc11C(O)NRc11Rd11, NRc11C(O)ORa11, C(=NRe11)NRc11Rd11, NRc11C(=NRe11)NRc11Rd11, S(O)Rb11, S(O)NRc11Rd11, S(O)2Rb11, NRc11S(O)2Rb11, S(O)2NRc11Rd11 и оксо;

Ra11, Rb11, Rc11 и Rd11 каждый независимо выбирают из H, C1-6 алкила, C2-6 алкенила, C2-6 алкинила, C6-10 арила, C3-7 циклоалкила, 5-10-членного гетероарила, 4-10-членного гетероциклоалкила, C6-10 арил-C1-3 алкила, 5-10-членного гетероарил-C1-3 алкила, C3-7 циклоалкил-C1-3 алкила и 4-10-членного гетероциклоалкил-C1-3 алкила, при этом указанный C1-6 алкил, C2-6 алкенил, C2-6 алкинил, C6-10 арил, C3-7 циклоалкил, 5-10-членный гетероарил, 4-10-членный гетероциклоалкил, C6-10 арил-C1-3 алкил, 5-10-членный гетероарил-C1-3 алкил, C3-7 циклоалкил-C1-3 алкил и 4-10-членный гетероциклоалкил-C1-3 алкил, образующие Ra11, Rb11, Rc11 и Rd11, каждый, необязательно, замещен 1, 2, 3, 4 или 5 заместителями, независимо выбранными из C1-6 алкила, гало, CN, ORa12, SRa12, C(O)Rb12, C(O)NRc12Rd12, C(O)ORa12, OC(O)Rb12, OC(O)NRc12Rd12, NRc12Rd12, NRc12C(O)Rb12, NRc12C(O)NRc12Rd12, NRc12C(O)ORa12, C(=NRe12)NRc12Rd12, NRc12C(=NRe12)NRc12Rd12, S(O)Rb12, S(O)NRc12Rd12, S(O)2Rb12, NRc12S(O)2Rb12, S(O)2NRc12Rd12 и оксо;

или Rc11 и Rd11, присоединенные к одному и тому же атому N, вместе с атомом N, к которому они оба присоединены, образуют 4-, 5-, 6- или 7-членную гетероциклоалкильную группу или 5-членную гетероарильную группу, каждую, необязательно, замещенную 1, 2 или 3 заместителями, независимо выбранными из C1-6 алкила, гало, CN, ORa12, SRa12, C(O)Rb12, C(O)NRc12Rd12, C(O)ORa12, OC(O)Rb12, OC(O)NRc12Rd12, NRc12Rd12, NRc12C(O)Rb12, NRc12C(O)NRc12Rd12, NRc12C(O)ORa12, C(=NRe12)NRc12Rd12, NRc12C(=NRe12)NRc12Rd12, S(O)Rb12, S(O)NRc12Rd12, S(O)2Rb12, NRc12S(O)2Rb12, S(O)2NRc12Rd12 и оксо;

Ra12, Rb12, Rc12 и Rd12 каждый независимо выбирают из H, C1-6 алкила, C1-6 галоалкила, C2-6 алкенила, C2-6 алкинила, фенила, C3-7 циклоалкила, 5-6-членного гетероарила, 4-7-членного гетероциклоалкила, фенил-C1-3 алкила, 5-6-членного гетероарил-C1-3 алкила, C3-7 циклоалкил-C1-3 алкила и 4-7-членного гетероциклоалкил-C1-3 алкила, при этом указанный C1-6 алкил, C1-6 галоалкил, C2-6 алкенил, C2-6 алкинил, фенил, C3-7 циклоалкил, 5-6-членный гетероарил, 4-7-членный гетероциклоалкил, фенил-C1-3 алкил, 5-6-членный гетероарил-C1-3 алкил, C3-7 циклоалкил-C1-3 алкил и 4-7-членный гетероциклоалкил-C1-3 алкил, образующие Ra12, Rb12, Rc12 и Rd12, каждый, необязательно, замещен 1, 2 или 3 заместителями, независимо выбранными из OH, CN, амино, NH(C1-6 алкила), N(C1-6 алкил)2, гало, C1-6 алкила, C1-6 алкокси, C1-6 галоалкила, C1-6 галоалкокси и оксо;

или Rc12 и Rd12, присоединенные к одному и тому же атому N, вместе с атомом N, к которому они оба присоединены, образуют 4-, 5-, 6- или 7-членную гетероциклоалкильную группу или 5-членную гетероарильную группу, каждая из которых является незамещенной или замещенной 1, 2 или 3 заместителями, независимо выбранными из OH, CN, амино, NH(C1-6 алкила), N(C1-6 алкил)2, гало, C1-6 алкила, C1-6 алкокси, C1-6 галоалкила, C1-6 галоалкокси и оксо; и

Re11 и Re12 каждый независимо представляет собой H, CN или NO2.

В некоторых вариантах осуществления соединение имеет формулу (I-2):

В некоторых вариантах осуществления Cy1A представляет собой незамещенный или замещенный арил.

В некоторых вариантах осуществления Cy1A представляет собой незамещенный или замещенный фенил.

В некоторых вариантах осуществления Cy1A представляет собой замещенный фенил.

В некоторых вариантах осуществления Cy1A замещен по меньшей мере одним ORa11 или по меньшей мере одним C(=NRe11)NRc11Rd11, C(=NORa11)NRc11Rd11, C(=NOC(O)Rb11)NRc11Rd11 или C(=NRe11)NRc11C(O)ORa11.

В некоторых вариантах осуществления Cy1A замещен по меньшей мере одним ORa11 и по меньшей мере одним дополнительным заместителем, выбранным из группы, состоящей из C1-6 алкила, C1-6 галоалкила и галогена.

В некоторых вариантах осуществления Cy1A замещен по меньшей мере одним OH и по меньшей мере одним дополнительным заместителем, выбранным из группы, состоящей из C1-6 алкила, C1-6 галоалкила и галогена.

В некоторых вариантах осуществления Cy1A замещен по меньшей мере одним C(=NRe11)NRc11Rd11, C(=NORa11)NRc11Rd11, C(=NOC(O)Rb11)NRc11Rd11, C(=NRe11)NRc11C(O)ORa11, предпочтительно в положении 4.

В некоторых вариантах осуществления Cy1A замещен по меньшей мере одним C(=NRe11)NRc11Rd11, предпочтительно в положении 4.

В некоторых вариантах осуществления Cy1A замещен по меньшей мере одним C(=NH)NH2, предпочтительно в положении 4.

В некоторых вариантах осуществления Cy1A имеет любую из следующих формул:

В некоторых вариантах осуществления в формуле, определяющей Cy1A, каждый RCy1A независимо представляет собой C1-6 алкил, такой как метил, или галоген, такой как Cl или Br, или амино.

В некоторых вариантах осуществления Cy1A имеет любую из следующих формул:

.

В некоторых вариантах осуществления в формуле, определяющей Cy1A, Ra11 представляет собой C1-6 алкил, такой как метил, Rb11 представляет собой C1-6 алкил, такой как метил, Rb11 представляет собой C1-6 галоалкил, такой как трифторметил, и Rc11 представляет собой алкил, такой как метил.

В некоторых вариантах осуществления Cy1A представляет собой незамещенный или замещенный гетероарил.

В некоторых вариантах осуществления Cy1A представляет собой незамещенный или замещенный пиридин-3-ил, 1H-пирроло[2,3-b]пиридин-5-ил или 1H-бензо[d]имидазол-6-ил.

В некоторых вариантах осуществления Cy1A имеет любую из следующих формул:

В некоторых вариантах осуществления каждый RCy1A в формуле, определяющей Cy1A, независимо представляет собой C1-6 алкил, такой как метил или этил, предпочтительно метил, или галоген, такой как F, Cl или Br, предпочтительно Cl, или амино.

В некоторых вариантах осуществления каждый RCy1A, присоединенный к азоту в формуле, определяющей Cy1A, представляет собой C1-6 алкил, такой как метил или этил.

В некоторых вариантах осуществления R11 представляет собой C1-6 алкил.

В некоторых вариантах осуществления R11 представляет собой метил.

В некоторых вариантах осуществления R11 представляет собой H.

В некоторых вариантах осуществления R12 представляет собой H.

В некоторых вариантах осуществления R12 представляет собой C1-6 алкил, такой как метил или этил, предпочтительно метил.

В некоторых вариантах осуществления R11 и R12, вместе с группами, к которым они присоединены, образуют 4-6-членное гетероциклоалкильное кольцо.

В некоторых вариантах осуществления n1 равен 1.

В некоторых вариантах осуществления n1 равен 2.

В некоторых вариантах осуществления n2 равен 0.

В некоторых вариантах осуществления n2 равен 1.

В некоторых вариантах осуществления n2 равен 2.

В некоторых вариантах осуществления соединение имеет любую из следующих формул (I-1a) - (I-1f) и (I-2a) - (I-2r):

В некоторых вариантах осуществления соединение имеет любую из следующих формул (I-1g) - (I-1o) и (I-2aa) - (I-2az):

В некоторых вариантах осуществления соединение имеет любую из следующих формул (I-3) - (I-9):

В некоторых вариантах осуществления соединение имеет любую из следующих формул (I-3a) - (I-3k):

В некоторых вариантах осуществления соединение имеет любую из следующих формул (I-4a) - (I-4bf):

В некоторых вариантах осуществления соединение имеет любую из следующих формул (I-5a) - (I-5u):

В некоторых вариантах осуществления соединение имеет любую из следующих формул (I-6a) - (I-6cw):

В некоторых вариантах осуществления соединение имеет любую из следующих формул (I-7a) - (I-7co):

В некоторых вариантах осуществления соединение имеет любую из следующих формул (I-8a) - (I-8z):

В некоторых вариантах осуществления соединение имеет любую из следующих формул (I-9a) - (I-9z):

В некоторых вариантах осуществления R13 представляет собой Cy1B.

В некоторых вариантах осуществления R13 представляет собой (C1-6 алкилен)Cy1B, (C2-6 алкенилен)Cy1B или (C2-6 алкинилен)Cy1B. В некоторых вариантах осуществления компонент C1-6 алкилена, C2-6 алкенилена или C2-6 алкинилена в R13 является незамещенным.

В некоторых вариантах осуществления R13 представляет собой (CR13AR13B)n3Cy1B.

В некоторых вариантах осуществления каждый R13A представляет собой H.

В некоторых вариантах осуществления каждый R13B представляет собой H.

В некоторых вариантах осуществления n3 равен 0.

В некоторых вариантах осуществления n3 равен 1.

В некоторых вариантах осуществления n3 равен 2.

В некоторых вариантах осуществления R13 представляет собой (CH2)0-2Cy1B.

В некоторых вариантах осуществления R13 представляет собой CH2Cy1B.

В некоторых вариантах осуществления R13 представляет собой CH2CH2Cy1B.

В некоторых вариантах осуществления R13 представляет собой OCy1B.

В некоторых вариантах осуществления Cy1B представляет собой незамещенный C6-10 арил.

В некоторых вариантах осуществления Cy1B представляет собой незамещенный фенил.

В некоторых вариантах осуществления Cy1B представляет собой незамещенный нафтил, такой как 1-нафтил или 2-нафтил.

В некоторых вариантах осуществления Cy1B представляет собой незамещенный 5-10-членный гетероарил.

В некоторых вариантах осуществления Cy1B представляет собой незамещенный пиридил, такой как незамещенный 2-, 3- или 4-пиридил, или незамещенный хинолил, такой как незамещенный 2-, 3-, 4-, 5-, 6-, 7- или 8-хинолил.

В некоторых вариантах осуществления Cy1B представляет собой замещенный C6-10 арил.

В некоторых вариантах осуществления Cy1B представляет собой замещенный фенил.

В некоторых вариантах осуществления Cy1B представляет собой бифенилил (то есть, фенил, замещенный фенилом), такой как 2-, 3- или 4-бифенилил.

В некоторых вариантах осуществления Cy1B представляет собой замещенный нафтил, такой как 1-нафтил или 2-нафтил.

В некоторых вариантах осуществления Cy1B представляет собой замещенный 5-10-членный гетероарил.

В некоторых вариантах осуществления Cy1B представляет собой замещенный пиридил, такой как замещенный 2-, 3- или 4-пиридил, или замещенный хинолил, такой как замещенный 2-, 3-, 4-, 5-, 6-, 7- или 8-хинолил.

В некоторых вариантах осуществления Cy1B замещен 1, 2, 3, 4 или 5 заместителями, каждый из которых независимо выбирают из RCy1B, галогена и C1-6 галоалкила; при этом каждый RCy1B независимо выбирают из C1-6 алкила, C2-6 алкенила, C2-6 алкинила и C6-10 арила или 5-10-членного гетероарила, при этом каждый C6-10 арил или 5-10-членный гетероарил, образующий RCy1B, является незамещенным или замещенным 1, 2 или 3 заместителями, независимо выбранными из галогена, C1-6 алкила, C2-6 алкенила, C2-6 алкинила и галоалкила.

В некоторых вариантах осуществления R13 выбирают из групп следующих формул:

В некоторых вариантах осуществления RCy1B в формуле, представляющей R13, представляет собой C1-6 алкил, такой как метил или этил, предпочтительно метил, или галоген, такой как фтор или хлор, предпочтительно фтор.

В некоторых вариантах осуществления RCy1B в формуле, представляющей R13, представляет собой C1-6 алкил, такой как метил или этил, предпочтительно метил.

В некоторых вариантах осуществления RCy1B в формуле, представляющей R13, представляет собой галоген, такой как фтор или хлор, предпочтительно фтор.

В некоторых вариантах осуществления не более чем один R14 не является водородом.

В некоторых вариантах осуществления не более чем один R14 не является водородом, и один R14 представляет собой C1-6 алкил, такой как метил.

В некоторых вариантах осуществления каждый R14 представляет собой водород.

В некоторых вариантах осуществления A11 представляет собой N.

В некоторых вариантах осуществления R15 представляет собой водород.

В некоторых вариантах осуществления R15 представляет собой C1-6 алкил, такой как метил.

В некоторых вариантах осуществления R15 представляет собой гидроксил.

В некоторых вариантах осуществления R16 представляет собой водород.

В некоторых вариантах осуществления R16 представляет собой незамещенный или замещенный C1-6 алкил, C2-6 алкенил или C2-6 алкинил.

В некоторых вариантах осуществления R16 представляет собой незамещенный C1-6 алкил, такой как метил.

В некоторых вариантах осуществления R16 представляет собой замещенный C1-6 алкил.

В некоторых вариантах осуществления замещенный C1-6 алкил, образующий R16, замещен 1, 2, 3, 4 или 5, например, 1, 2 или 3, или, предпочтительно, 1, заместителями, выбранными из группы, состоящей из галогена, CN, C(O)NRc11Rd11 и C(O)ORa11.

В некоторых вариантах осуществления R16 представляет собой (CH2)1-6C(O)ORa11.

В некоторых вариантах осуществления Ra11, определяющий R16, представляет собой H или C1-6 алкил, такой как метил.

В некоторых вариантах осуществления Ra11, определяющий R16, представляет собой H.

В некоторых вариантах осуществления Ra11, Rb11, Rc11 и Rd11, Ra12, Rb12, Rc12 и Rd12 каждый независимо выбирают из H и C1-6 алкила.

В некоторых вариантах осуществления каждый Re11 и каждый Re12 представляет собой H.

В некоторых вариантах осуществления соединения формулы (I-1), и их варианты осуществления, могут иметь форму соли, такой как фармацевтически приемлемая соль.

Соединения формулы (I-1), и их варианты осуществления, полезны в качестве ингибиторов MASP-2 и для терапевтического применения. Соединения формулы (I-1), и их варианты осуществления, могут быть использованы в лечении MASP-2-связанных заболеваний и нарушений, а также в производстве лекарственных препаратов для лечения MASP-2-связанных заболеваний и нарушений. Настоящее изобретение также относится к способам лечения MASP-2-связанного заболевания и нарушения, включающим введение пациенту терапевтически эффективного количества соединения формулы (I-1), или его варианта осуществления, необязательно, в форме соли.

В некоторых вариантах осуществления соединение формулы (I-1), или его вариант осуществления, предоставляют в форме фармацевтической композиции, содержащей соединение или его соль, такую как фармацевтически приемлемая соль, и по меньшей мере один фармацевтически приемлемый носитель или эксципиент.

В конкретных аспектах соединение представляет собой одно или более соединений, выбранных из соединений формулы (I-1), описанных в примерах, включая соединения, приведенные в Таблице 31 (например, соединения с избирательностью для MASP-2 относительно тромбина). В конкретных аспектах одну или более из переменных, определяющих соединения формулы (I) (таких как Cy1A; RCy1A; R11; R12; A11; R13; R14; R15; n1; n2; n3; R13A; R13B; Cy1B; R16; R16A; R16B; Cy1C; RCy1C; Ra11, Rb11, Rc11; Rd11; Re11, Ra12, Rb12, Rc12; Rd12 и Re11), выбирают из соответствующих заместителей в соединениях формулы (I-1) в примерах, включая соединения, перечисленные в Таблице 31, предпочтительно, соединения с избирательностью для MASP-2 относительно тромбина.

В конкретных аспектах изобретения предложен стереохимически чистый энантиомер или диастереомер (например, оптически активное соединение с одним или более хиральными центрами). Если специально не указано иное, для любого соединения по изобретению с одним или более стереоцентрами настоящее изобретение должно включать и описывать как чистые (+) и (-) энантиомеры, любые другие диастереомеры, смеси, обогащенные по энантиомеру или диастереомеру (например, имеющие 10%, 20%, 30%, 40%, 50%, 60%, 70% 75%, 80%, 85, 90% или 95% энантиомерный или диастереомерный избыток), так и рацемическую смесь энантиомеров или диастереомеров.

В конкретных аспектах изобретения предложена фармацевтически приемлемая соль указанной химической структуры (например, гидрогалогенид, такой как гидрохлорид или дигидрохлорид). Примеры фармацевтически приемлемых солей приведены, например, в публикации Burge, S. M. et al., J. Pharm. Sci 1977, 66, 1-19. Они включают хлориды, бромиды, иодиды, форматы, ацетаты, пропионаты, оксалаты, малонаты, сукцинаты, фумараты, малеаты, тартраты, цитраты, бензоаты, фталаты, сульфонаты, арилсульфонаты, алкилсульфонаты, соли жирных кислот, и тому подобное. Соли могут быть получены различными способами, известными квалифицированному специалисту, включая осаждение конъюгированной кислотой или основанием (например, обработку газообразной HCl или раствором HCl).

В конкретных аспектах изобретения предложено пролекарство. Пролекарство представляет собой соединение, которое превращается в биологически активную форму в физиологических условиях, часто в результате гидролиза, окисления или восстановления (например, сложного эфира в форму кислоты; карбамата в амино- или гидроксильную группу; гидроксиамидина в амидин). Иллюстративные пролекарства приведены, например, в публикациях Tilley, J.W., «Prodrugs of Benzamide», Prodrugs 2007, 191-222; Peterlin-Masic et al. Curr. Pharma. Design 2006, 12, 73-91. Пролекарства для амидиновой группы включают амидоксимы, O-алкиламидоксимы, ациламидины, карбаматы, 1,2,4-оксадиазолин-4-оны, и тому подобное.

В конкретных аспектах соединение может быть использовано для избирательного ингибирования MASP-2 относительно тромбина, при этом способ включает введение соединения, описанного в настоящем документе. В конкретных аспектах соотношение избирательности для пары MASP-2:тромбин составляет по меньшей мере 1,1:1, 1,25:1, 1,5:1, 1,75:1, 2:1, 3:1, 4:1, 5:1, 6:1, 7:1, 8:1, 9:1, 10:1, 11:1, 12:1, 13:1, 14:1, 15:1, 16:1, 17:1, 18:1, 19:1, 20:1, 21:1, 22:1, 23:1, 24:1, 25:1 или 30:1.

B. Соединения формулы IIA и IIB

В конкретных аспектах настоящее изобретение относится к соединению формулы (IIA) и (IIB):

или его соли, где:

Cy2A представляет собой незамещенный или замещенный C6-10 арил, или незамещенный или замещенный 5-10-членный гетероарил; при этом кольцевые атомы 5-10-членного гетероарила, образующего Cy2A, состоят из атомов углерода и 1, 2, или 3 гетероатомов, выбранных из O, N и S; при этом замещенный C6-10 арил или замещенный 5-10-членный гетероарил, образующие Cy2A, замещены 1, 2, 3, 4 или 5 заместителями, каждый из которых независимо выбирают из RCy2A, галогена, C1-6 галоалкила, CN, ORa21, SRa21, C(O)Rb21, C(O)NRc21Rd21, C(O)ORa21, OC(O)Rb21, OC(O)NRc21Rd21, NRc21Rd21, NRc21C(O)Rb21, NRc21C(O)NRc21Rd21, NRc21C(O)ORa21, C(=NRe21)NRc21Rd21, C(=NORa21)NRc21Rd21, C(=NOC(O)Rb21)NRc21Rd21, C(=NRe21)NRc21C(O)ORa21, NRc21C(=NRe21)NRc21Rd21, S(O)Rb21, S(O)NRc21Rd21, S(O)2Rb21, NRc21S(O)2Rb21, S(O)2NRc21Rd21 и оксо;

каждый RCy2A независимо выбирают из C1-6 алкила, C2-6 алкенила, C2-6 алкинила, C6-10 арила, 5-10-членного гетероарила, C3-10 циклоалкила и 4-10-членного гетероциклоалкила, при этом кольцевые атомы 5-10-членного гетероарила или 4-10-членного гетероциклоалкила, образующего RCy2A, состоят из атомов углерода и 1, 2, 3 или 4 гетероатомов, выбранных из O, N и S, при этом каждый C1-6 алкил, C2-6 алкенил, или C2-6 алкинил, образующий RCy2A, независимо является незамещенным или замещенным 1, 2 или 3 заместителями, независимо выбранными из галогена, CN, ORa21, SRa21, C(O)Rb21, C(O)NRc21Rd21, C(O)ORa21, OC(O)Rb21, OC(O)NRc21Rd21, NRc21Rd21, NRc21C(O)Rb21, NRc21C(O)NRc21Rd21, NRc21C(O)ORa21, C(=NRe21)NRc21Rd21, NRc21C(=NRe21)NRc21Rd21, S(O)Rb21, S(O)NRc21Rd21, S(O)2Rb21, NRc21S(O)2Rb21, S(O)2NRc21Rd21 и оксо, и при этом каждый C6-10 арил, 5-10-членный гетероарил, C3-10 циклоалкил и 4-10-членный гетероциклоалкил, образующий RCy2A, независимо является незамещенным или замещенным 1, 2 или 3 заместителями, независимо выбранными из галогена, C1-6 алкила, C2-6 алкенила, C2-6 алкинила, C1-6 галоалкила, CN, ORa21, SRa21, C(O)Rb21, C(O)NRc21Rd21, C(O)ORa21, OC(O)Rb21, OC(O)NRc21Rd21, NRc21Rd21, NRc21C(O)Rb21, NRc21C(O)NRc21Rd21, NRc21C(O)ORa21, C(=NRe21)NRc21Rd21, NRc21C(=NRe21)NRc21Rd21, S(O)Rb21, S(O)NRc21Rd21, S(O)2Rb21, NRc21S(O)2Rb21, S(O)2NRc21Rd21 и оксо;

R21 представляет собой H или C1-6 алкил, C6-10 арил-C1-6 алкил или 5-10-членный гетероарил-C1-6 алкил, при этом C1-6 алкил, образующий R21, является незамещенным или замещенным 1, 2 или 3 заместителями, независимо выбранными из галогена, CN, ORa21, SRa21, C(O)Rb21, C(O)NRc21Rd21, C(O)ORa21, OC(O)Rb21, OC(O)NRc21Rd21, NRc21Rd21, NRc21C(O)Rb21, NRc21C(O)NRc21Rd21, NRc21C(O)ORa21, C(=NRe21)NRc21Rd21, NRc21C(=NRe21)NRc21Rd21, S(O)Rb21, S(O)NRc21Rd21, S(O)2Rb21, NRc21S(O)2Rb21, S(O)2NRc21Rd21 и оксо, и при этом C6-10 арил-C1-6 алкил или 5-10-членный гетероарил-C1-6 алкил, образующий R21, является незамещенным или замещенным 1, 2 или 3 заместителями, независимо выбранными из C1-6 алкила, C2-6 алкенила, C2-6 алкинила, C1-6 галоалкила, CN, ORa21, SRa21, C(O)Rb21, C(O)NRc21Rd21, C(O)ORa21, OC(O)Rb21, OC(O)NRc21Rd21, NRc21Rd21, NRc21C(O)Rb21, NRc21C(O)NRc21Rd21, NRc21C(O)ORa21, C(=NRe21)NRc21Rd21, NRc21C(=NRe21)NRc21Rd21, S(O)Rb21, S(O)NRc21Rd21, S(O)2Rb21, NRc21S(O)2Rb21, S(O)2NRc21Rd21 и оксо;

R22 представляет собой H или C1-6 алкил; или

R21 и R22, вместе с группами, к которым они присоединены, образуют 4-6-членное гетероциклоалкильное кольцо;

A23 представляет собой N или NR23;

A24 представляет собой CR24; N или NR24;

A26 представляет собой CR26 или S;

при условии, что

A23, A24 и A26 в формуле (IIA) выбирают так, что кольцо, включающее A23, A24 и A26, представляет собой гетероарильное кольцо, и символ означает (нормализованную) связь ароматического кольца;

R23.представляет собой H или C1-6 алкил;

R24 представляет собой H; C1-6 алкил или фенил;

R25 представляет собой Cy2B, (CR25AR25B)n25Cy2B, (C1-6 алкилен)Cy2B, (C2-6 алкенилен)Cy2B или (C2-6 алкинилен)Cy2B, при этом компонент C1-6 алкилена, C2-6 алкенилена или C2-6 алкинилена в R25 является незамещенным или замещенным 1, 2, 3, 4 или 5 заместителями, каждый из которых независимо выбирают из группы, состоящей из галогена, CN, ORa21, SRa21, C(O)Rb21, C(O)NRc21Rd21, C(O)ORa21, OC(O)Rb21, OC(O)NRc21Rd21, NRc21Rd21, NRc21C(O)Rb21, NRc21C(O)NRc21Rd21, NRc21C(O)ORa21, C(=NRe21)NRc21Rd21, NRc21C(=NRe21)NRc21Rd21, S(O)Rb21, S(O)NRc21Rd21, S(O)2Rb21, NRc21S(O)2Rb21, S(O)2NRc21Rd21 и оксо;

R26 представляет собой H или C1-6 алкил;

каждый R25A представляет собой H или C1-6 алкил;

каждый R25B представляет собой H или C1-6 алкил;

n25 равен 0, 1 или 2;

Cy2B представляет собой незамещенный или замещенный C6-10 арил, незамещенный или замещенный 5-10-членный гетероарил, незамещенный или замещенный C3-10 циклоалкил, или незамещенный или замещенный 4-10-членный гетероциклоалкил; при этом кольцевые атомы 5-10-членного гетероарила или 4-10-членного гетероциклоалкила, образующего Cy2B, состоят из атомов углерода и 1, 2 или 3 гетероатомов, выбранных из O, N и S; и

при этом замещенный C6-10 арил, замещенный 5-10-членный гетероарил, замещенный C3-10 циклоалкил или замещенный 4-10-членный гетероциклоалкил, образующий Cy2B, замещен 1, 2, 3, 4 или 5 заместителями, каждый из которых независимо выбирают из RCy2B, галогена, C1-6 галоалкила, CN, ORa21, SRa21, C(O)Rb21, C(O)NRc21Rd21, C(O)ORa21, OC(O)Rb21, OC(O)NRc21Rd21, NRc21Rd21, NRc21C(O)Rb21, NRc21C(O)NRc21Rd21, NRc21C(O)ORa21, C(=NRe21)NRc21Rd21, C(=NORa21)NRc21Rd21, C(=NOC(O)Rb21)NRc21Rd21, C(=NRe21)NRc21C(O)ORa21, NRc21C(=NRe21)NRc21Rd21, S(O)Rb21, S(O)NRc21Rd21, S(O)2Rb21, NRc21S(O)2Rb21, S(O)2NRc21Rd21 и оксо;

при этом каждый RCy2B независимо выбирают из C1-6 алкила, C2-6 алкенила, C2-6 алкинила, C6-10 арила, 5-10-членного гетероарила, C3-10 циклоалкила и 4-10-членного гетероциклоалкила, при этом кольцевые атомы 5-10-членного гетероарила или 4-10-членного гетероциклоалкила, образующего RCy2B, состоят из атомов углерода и 1, 2 или 3 гетероатомов, выбранных из O, N и S; при этом каждый C1-6 алкил, C2-6 алкенил или C2-6 алкинил, образующий RCy2B, независимо является незамещенным или замещенным 1, 2 или 3 заместителями, независимо выбранными из галогена, CN, ORa21, SRa21, C(O)Rb21, C(O)NRc21Rd21, C(O)ORa21, OC(O)Rb21, OC(O)NRc21Rd21, NRc21Rd21, NRc21C(O)Rb21, NRc21C(O)NRc21Rd21, NRc21C(O)ORa21, C(=NRe21)NRc21Rd21, NRc21C(=NRe21)NRc21Rd21, S(O)Rb21, S(O)NRc21Rd21, S(O)2Rb21, NRc21S(O)2Rb21, S(O)2NRc21Rd21 и оксо; и при этом каждый C6-10 арил, 5-10-членный гетероарил, C3-10 циклоалкил и 4-10-членный гетероциклоалкил, образующий RCy2B, независимо является незамещенным или замещенным 1, 2 или 3 заместителями, независимо выбранными из галогена, C1-6 алкила, C2-6 алкенила, C2-6 алкинила, C1-6 галоалкила, CN, ORa21, SRa21, C(O)Rb21, C(O)NRc21Rd21, C(O)ORa21, OC(O)Rb21, OC(O)NRc21Rd21, NRc21Rd21, NRc21C(O)Rb21, NRc21C(O)NRc21Rd21, NRc21C(O)ORa21, C(=NRe21)NRc21Rd21, NRc21C(=NRe21)NRc21Rd21, S(O)Rb21, S(O)NRc21Rd21, S(O)2Rb21, NRc21S(O)2Rb21, S(O)2NRc21Rd21 и оксо;

Ra21, Rb21, Rc21 и Rd21 каждый независимо выбирают из H, C1-6 алкила, C2-6 алкенила, C2-6 алкинила, C6-10 арила, C3-7 циклоалкила, 5-10-членного гетероарила, 4-10-членного гетероциклоалкила, C6-10 арил-C1-3 алкила, 5-10-членного гетероарил-C1-3 алкила, C3-7 циклоалкил-C1-3 алкила и 4-10-членного гетероциклоалкил-C1-3 алкила, при этом указанный C1-6 алкил, C2-6 алкенил, C2-6 алкинил, C6-10 арил, C3-7 циклоалкил, 5-10-членный гетероарил, 4-10-членный гетероциклоалкил, C6-10 арил-C1-3 алкил, 5-10-членный гетероарил-C1-3 алкил, C3-7 циклоалкил-C1-3 алкил и 4-10-членный гетероциклоалкил-C1-3 алкил, образующий Ra21, Rb21, Rc21 и Rd21, каждый, необязательно, замещен 1, 2, 3, 4 или 5 заместителями, независимо выбранными из C1-6 алкила, гало, CN, ORa22, SRa22, C(O)Rb22, C(O)NRc22Rd22, C(O)ORa22, OC(O)Rb22, OC(O)NRc22Rd22, NRc22Rd22, NRc22C(O)Rb22, NRc22C(O)NRc22Rd22, NRc22C(O)ORa22, C(=NRe22)NRc22Rd22, NRc22C(=NRe22)NRc22Rd22, S(O)Rb22, S(O)NRc22Rd22, S(O)2Rb22, NRc22S(O)2Rb22, S(O)2NRc22Rd22 и оксо;

или Rc21 и Rd21, присоединенные к одному и тому же атому N, вместе с атомом N, к которому они оба присоединены, образуют 4-, 5-, 6- или 7-членную гетероциклоалкильную группу или 5-членную гетероарильную группу, каждая из которых, необязательно, замещена 1, 2 или 3 заместителями, независимо выбранными из C1-6 алкила, гало, CN, ORa22, SRa22, C(O)Rb22, C(O)NRc22Rd22, C(O)ORa22, OC(O)Rb22, OC(O)NRc22Rd22, NRc22Rd22, NRc22C(O)Rb22, NRc22C(O)NRc22Rd22, NRc22C(O)ORa22, C(=NRe22)NRc22Rd22, NRc22C(=NRe22)NRc22Rd22, S(O)Rb22, S(O)NRc22Rd22, S(O)2Rb22, NRc22S(O)2Rb22, S(O)2NRc22Rd22 и оксо;

Ra22, Rb22, Rc22 и Rd22 каждый независимо выбирают из H, C1-6 алкила, C1-6 галоалкила, C2-6 алкенила, C2-6 алкинила, фенила, C3-7 циклоалкила, 5-6-членного гетероарила, 4-7-членного гетероциклоалкила, фенил-C1-3 алкила, 5-6-членного гетероарил-C1-3 алкила, C3-7 циклоалкил-C1-3 алкила и 4-7-членного гетероциклоалкил-C1-3 алкила, при этом указанный C1-6 алкил, C1-6 галоалкил, C2-6 алкенил, C2-6 алкинил, фенил, C3-7 циклоалкил, 5-6-членный гетероарил, 4-7-членный гетероциклоалкил, фенил-C1-3 алкил, 5-6-членный гетероарил-C1-3 алкил, C3-7 циклоалкил-C1-3 алкил и 4-7-членный гетероциклоалкил-C1-3 алкил, образующий Ra22, Rb22, Rc22 и Rd22, каждый, необязательно, замещен 1, 2 или 3 заместителями, независимо выбранными из OH, CN, амино, NH(C1-6 алкила), N(C1-6 алкил)2, гало, C1-6 алкила, C1-6 алкокси, C1-6 галоалкила, C1-6 галоалкокси и оксо;

или Rc22 и Rd22, присоединенные к одному и тому же атому N, вместе с атомом N, к которому они оба присоединены, образуют 4-, 5-, 6- или 7-членную гетероциклоалкильную группу или 5-членную гетероарильную группу, каждая из которых является незамещенной или замещенной 1, 2 или 3 заместителями, независимо выбранными из OH, CN, амино, NH(C1-6 алкила), N(C1-6 алкил)2, гало, C1-6 алкила, C1-6 алкокси, C1-6 галоалкила, C1-6 галоалкокси и оксо; и

Re21 и Re22 каждый независимо представляет собой H, CN или NO2.

В некоторых вариантах осуществления Cy2A представляет собой незамещенный или замещенный арил.

В некоторых вариантах осуществления Cy2A представляет собой незамещенный или замещенный фенил.

В некоторых вариантах осуществления Cy2A представляет собой замещенный фенил.

В некоторых вариантах осуществления Cy2A замещен по меньшей мере одним ORa21 или по меньшей мере одним C(=NRe21)NRc21Rd21, C(=NORa21)NRc21Rd21, C(=NOC(O)Rb21)NRc21Rd21 или C(=NRe21)NRc21C(O)ORa21.

В некоторых вариантах осуществления Cy2A замещен по меньшей мере одним ORa21 и по меньшей мере одним дополнительным заместителем, выбранным из группы, состоящей из C1-6 алкила, C1-6 галоалкила и галогена.

В некоторых вариантах осуществления Cy2A замещен по меньшей мере одним OH и по меньшей мере одним дополнительным заместителем, выбранным из группы, состоящей из C1-6 алкила, C1-6 галоалкила и галогена.

В некоторых вариантах осуществления Cy2A замещен по меньшей мере одним C(=NRe21)NRc21Rd21, C(=NORa21)NRc21Rd21, C(=NOC(O)Rb21)NRc21Rd21, C(=NRe21)NRc21C(O)ORa21, предпочтительно в положении 4.

В некоторых вариантах осуществления Cy2A замещен по меньшей мере одним C(=NRe21)NRc21Rd21, предпочтительно в положении 4.

В некоторых вариантах осуществления Cy2A замещен по меньшей мере одним C(=NH)NH2, предпочтительно в положении 4.

В некоторых вариантах осуществления Cy2A имеет любую из следующих формул:

В некоторых вариантах осуществления в формуле, определяющей Cy2A, каждый RCy2A независимо представляет собой C1-6 алкил, такой как метил, или галоген, такой как Cl или Br, или амино.

В некоторых вариантах осуществления Cy2A имеет любую из следующих формул:

В некоторых вариантах осуществления Ra21 представляет собой C1-6 алкил, и Rb21 представляет собой C1-6 алкил.

В некоторых вариантах осуществления Cy2A представляет собой незамещенный или замещенный гетероарил, такой как пиридин-3-ил, 1H-пирроло[2,3-b]пиридин-5-ил или 1H-бензо[d]имидазол-6-ил.

В некоторых вариантах осуществления Cy2A имеет любую из следующих формул:

В некоторых вариантах осуществления каждый RCy2A в формуле, определяющей Cy2A, независимо представляет собой C1-6 алкил, такой как метил или этил, предпочтительно метил, или галоген, такой как F, Cl или Br, предпочтительно Cl.

В некоторых вариантах осуществления каждый RCy2A, присоединенный к азоту в формуле, определяющей Cy2A, представляет собой C1-6 алкил, такой как метил или этил.

В некоторых вариантах осуществления R21 представляет собой C1-6 алкил.

В некоторых вариантах осуществления R21 представляет собой метил.

В некоторых вариантах осуществления R21 представляет собой H.

В некоторых вариантах осуществления R22 представляет собой H.

В некоторых вариантах осуществления R22 представляет собой C1-6 алкил.

В некоторых вариантах осуществления R22 представляет собой метил.

В некоторых вариантах осуществления R21 и R22, вместе с группами, к которым они присоединены, образуют 4-6-членное гетероциклоалкильное кольцо.

В некоторых вариантах осуществления соединение имеет формулу (IIA).

В некоторых вариантах осуществления соединение имеет любую из следующих формул (IIA-1a) или (IIA-1b):

В некоторых вариантах осуществления соединение имеет любую из следующих формул (IIA-2) - (IIA-5):

В некоторых вариантах осуществления соединение имеет любую из следующих формул (IIA-2a) - (IIA-5b):

В некоторых вариантах осуществления соединение имеет формулу (IIB).

В некоторых вариантах осуществления соединение имеет любую из следующих формул (IIB-1a) или (IIB-1b):

В некоторых вариантах осуществления R23.представляет собой H.

В некоторых вариантах осуществления R23.представляет собой C1-6 алкил.

В некоторых вариантах осуществления R24.представляет собой H.

В некоторых вариантах осуществления R24.представляет собой C1-6 алкил.

В некоторых вариантах осуществления R24.представляет собой фенил.

В некоторых вариантах осуществления R25.представляет собой Cy2B.

В некоторых вариантах осуществления R25.представляет собой (C1-6 алкилен)Cy2B, (C2-6 алкенилен)Cy2B или (C2-6 алкинилен)Cy2B, при этом компонент C1-6 алкилена, C2-6 алкенилена или C2-6 алкинилена в R25 является незамещенным или замещенным.

В некоторых вариантах осуществления R25.представляет собой (C1-6 алкилен)Cy2B, (C2-6 алкенилен)Cy2B или (C2-6 алкинилен)Cy2B, при этом компонент C1-6 алкилена, C2-6 алкенилена или C2-6 алкинилена в R25 является незамещенным.

В некоторых вариантах осуществления R25.представляет собой (CR25AR25B)n25Cy2B.

В некоторых вариантах осуществления каждый R25A представляет собой H.

В некоторых вариантах осуществления каждый R25B представляет собой H.

В некоторых вариантах осуществления n25 равен 0.

В некоторых вариантах осуществления n25 равен 1.

В некоторых вариантах осуществления n25 равен 2.

В некоторых вариантах осуществления R25 представляет собой CH2Cy2B.

В некоторых вариантах осуществления R25 представляет собой CH2CH2Cy2B.

В некоторых вариантах осуществления Cy2B представляет собой незамещенный C6-10 арил.

В некоторых вариантах осуществления Cy2B представляет собой незамещенный фенил.

В некоторых вариантах осуществления Cy2B представляет собой незамещенный нафтил, такой как 1-нафтил или 2-нафтил.

В некоторых вариантах осуществления Cy2B представляет собой незамещенный 5-10-членный гетероарил.

В некоторых вариантах осуществления Cy2B представляет собой незамещенный пиридил, такой как незамещенный 2-, 3- или 4-пиридил, или незамещенный хинолил, такой как незамещенный 2-, 3-, 4-, 5-, 6-, 7- или 8-хинолил.

В некоторых вариантах осуществления Cy2B представляет собой замещенный C6-10 арил.

В некоторых вариантах осуществления Cy2B представляет собой замещенный фенил.

В некоторых вариантах осуществления Cy2B представляет собой бифенилил (то есть, фенил, замещенный фенилом), такой как 2-, 3- или 4-бифенилил.

В некоторых вариантах осуществления Cy2B представляет собой замещенный нафтил, такой как 1-нафтил или 2-нафтил.

В некоторых вариантах осуществления Cy2B представляет собой замещенный 5-10-членный гетероарил.

В некоторых вариантах осуществления Cy2B представляет собой замещенный пиридил, такой как замещенный 2-, 3- или 4-пиридил, или замещенный хинолил, такой как замещенный 2-, 3-, 4-, 5-, 6-, 7- или 8-хинолил.

В некоторых вариантах осуществления Cy2B замещен 1, 2, 3, 4 или 5 заместителями, каждый из которых независимо выбирают из RCy2B, галогена и C1-6 галоалкила; при этом каждый RCy2B независимо выбирают из C1-6 алкила, C2-6 алкенила, C2-6 алкинила и C6-10 арила или 5-10-членного гетероарила, при этом каждый C6-10 арил или 5-10-членный гетероарил, образующий RCy2B, является незамещенным или замещенным 1, 2 или 3 заместителями, независимо выбранными из галогена, C1-6 алкила, C2-6 алкенила, C2-6 алкинила и галоалкила.

В некоторых вариантах осуществления R25 выбирают из групп следующих формул:

В некоторых вариантах осуществления RCy2B в формуле, представляющей R25, представляет собой C1-6 алкил, такой как метил или этил, предпочтительно метил, или галоген, такой как фтор или хлор, предпочтительно фтор.

В некоторых вариантах осуществления RCy2B в формуле, представляющей R25, представляет собой C1-6 алкил, такой как метил или этил, предпочтительно метил.

В некоторых вариантах осуществления RCy2B в формуле, представляющей R25, представляет собой галоген, такой как фтор или хлор, предпочтительно фтор.

В некоторых вариантах осуществления Ra21, Rb21, Rc21, Rd21, Ra22, Rb22, Rc22, Rd22 каждый независимо выбирают из H, C1-6 алкила.

В некоторых вариантах осуществления каждый Re21 и каждый Re22 представляет собой H.

Соединения формулы (IIA) и (IIB), и их варианты осуществления, полезны в качестве ингибиторов MASP-2 и для терапевтического применения.

В некоторых вариантах осуществления соединения формулы (IIA) и (IIB), и их варианты осуществления, могут иметь форму соли, такой как фармацевтически приемлемая соль.

Соединения формулы (IIA) и (IIB), и их варианты осуществления, полезны в качестве ингибиторов MASP-2 и для терапевтического применения. Соединения формулы (IIA) и (IIB), и их варианты осуществления, могут быть использованы в лечении MASP-2-связанных заболеваний и нарушений, а также в производстве лекарственных препаратов для лечения MASP-2-связанных заболеваний и нарушений. Настоящее изобретение также относится к способам лечения MASP-2-связанного заболевания и нарушения, включающим введение пациенту терапевтически эффективного количества соединения формулы (IIA) или (IIB), или его варианта осуществления, необязательно, в форме соли.

В некоторых вариантах осуществления соединение формулы (IIA) или (IIB), или его вариант осуществления, предоставляют в форме фармацевтической композиции, содержащей соединение или его соль, такую как фармацевтически приемлемая соль, и по меньшей мере один фармацевтически приемлемый носитель или эксципиент.

В конкретных аспектах соединение представляет собой одно или более соединений, выбранных из соединений формул (IIA) и (IIB), описанных в примерах, включая соединения, перечисленные в Таблице 31, например, соединения с избирательностью для MASP-2 относительно тромбина. В конкретных аспектах одну или более из переменных, определяющих соединения формул (IIA) и (IIB) (например, Cy2A, RCy2A, Cy2B, RCy2B, A23, A24, A26, R21, R22, R23, R24, R25, R26, n25, Ra21, Rb21, Rc21, Rd21, Re21, Ra22, Rb22, Rc22, Rd22 и Re22), выбирают из соответствующих заместителей в соединениях формул (IIA) и (IIB), описанных в примерах, включая соединения, перечисленные в Таблице 31, предпочтительно, соединения с избирательностью для MASP-2 относительно тромбина.

В конкретных аспектах изобретения предложен стереохимически чистый энантиомер или диастереомер (например, оптически активное соединение с одним или более хиральными центрами). Если специально не указано иное, для любого соединения по изобретению с одним или более стереоцентрами настоящее изобретение должно включать и описывать как чистые (+) и (-) энантиомеры, любые другие диастереомеры, смеси, обогащенные по энантиомеру или диастереомеру (например, имеющие 10%, 20%, 30%, 40%, 50%, 60%, 70% 75%, 80%, 85, 90% или 95% энантиомерный или диастереомерный избыток), так и рацемическую смесь энантиомеров или диастереомеров.

В конкретных аспектах изобретения предложена фармацевтически приемлемая соль указанной химической структуры (например, гидрогалогенид, такой как гидрохлорид или дигидрохлорид). Примеры фармацевтически приемлемых солей приведены, например, в публикации Burge, S. M. et al., J. Pharm. Sci 1977, 66, 1-19. Они включают хлориды, бромиды, иодиды, форматы, ацетаты, пропионаты, оксалаты, малонаты, сукцинаты, фумараты, малеаты, тартраты, цитраты, бензоаты, фталаты, сульфонаты, арилсульфонаты, алкилсульфонаты, соли жирных кислот, и тому подобное. Соли могут быть получены различными способами, известными квалифицированному специалисту, включая осаждение конъюгированной кислотой или основанием (например, обработку газообразной HCl или раствором HCl).

В конкретных аспектах изобретения предложено пролекарство. Пролекарство представляет собой соединение, которое превращается в биологически активную форму в физиологических условиях, часто в результате гидролиза, окисления или восстановления (например, сложного эфира в форму кислоты; карбамата в амино- или гидроксильную группу; гидроксиамидина в амидин). Иллюстративные пролекарства приведены, например, в публикациях Tilley, J.W., «Prodrugs of Benzamide», Prodrugs 2007, 191-222; Peterlin-Masic et al. Curr. Pharma. Design 2006, 12, 73-91. Пролекарства для амидиновой группы включают амидоксимы, O-алкиламидоксимы, ациламидины, карбаматы, 1,2,4-оксадиазолин-4-оны, и тому подобное.

В конкретных аспектах соединение может быть использовано для избирательного ингибирования MASP-2 относительно тромбина, при этом способ включает введение соединения, описанного в настоящем документе. В конкретных аспектах соотношение избирательности для пары MASP-2:тромбин составляет по меньшей мере 1,1:1, 1,25:1, 1,5:1, 1,75:1, 2:1, 3:1, 4:1, 5:1, 6:1, 7:1, 8:1, 9:1, 10:1, 11:1, 12:1, 13:1, 14:1, 15:1, 16:1, 17:1, 18:1, 19:1, 20:1, 21:1, 22:1, 23:1, 24:1, 25:1 или 30:1.

C. Соединения формулы III

В конкретных аспектах настоящее изобретение относится к соединению формулы (III)

или его соли, для применения в лечении MASP-2-связанного заболевания или нарушения, где:

Cy3A представляет собой незамещенный или замещенный C6-10 арил, или незамещенный или замещенный 5-10-членный гетероарил; при этом кольцевые атомы 5-10-членного гетероарила, образующего Cy3A, состоят из атомов углерода и 1, 2, или 3 гетероатомов, выбранных из O, N и S; при этом замещенный C6-10 арил или замещенный 5-10-членный гетероарил, образующие Cy3A, замещены 1, 2, 3, 4 или 5 заместителями, каждый из которых независимо выбирают из RCy3A, галогена, C1-6 галоалкила, CN, ORa31, SRa31, C(O)Rb31, C(O)NRc31Rd31, C(O)ORa31, OC(O)Rb31, OC(O)NRc31Rd31, NRc31Rd31, NRc31C(O)Rb31, NRc31C(O)NRc31Rd31, NRc31C(O)ORa31, C(=NRe31)NRc31Rd31, C(=NORa31)NRc31Rd31, C(=NOC(O)Rb31)NRc31Rd31, C(=NRe31)NRc31C(O)ORa31, NRc31C(=NRe31)NRc31Rd31, S(O)Rb31, S(O)NRc31Rd31, S(O)2Rb31, NRc31S(O)2Rb31, S(O)2NRc31Rd31 и оксо;

каждый RCy3A независимо выбирают из C1-6 алкила, C2-6 алкенила, C2-6 алкинила, C6-10 арила, 5-10-членного гетероарила, C3-10 циклоалкила и 4-10-членного гетероциклоалкила, при этом кольцевые атомы 5-10-членного гетероарила или 4-10-членного гетероциклоалкила, образующего RCy3A, состоят из атомов углерода и 1, 2, 3 или 4 гетероатомов, выбранных из O, N и S, при этом каждый C1-6 алкил, C2-6 алкенил или C2-6 алкинил, образующий RCy3A, независимо является незамещенным или замещенным 1, 2 или 3 заместителями, независимо выбранными из галогена, CN, ORa31, SRa31, C(O)Rb31, C(O)NRc31Rd31, C(O)ORa31, OC(O)Rb31, OC(O)NRc31Rd31, NRc31Rd31, NRc31C(O)Rb31, NRc31C(O)NRc31Rd31, NRc31C(O)ORa31, C(=NRe31)NRc31Rd31, NRc31C(=NRe31)NRc31Rd31, S(O)Rb31, S(O)NRc31Rd31, S(O)2Rb31, NRc31S(O)2Rb31, S(O)2NRc31Rd31 и оксо, и при этом каждый C6-10 арил, 5-10-членный гетероарил, C3-10 циклоалкилый и 4-10-членный гетероциклоалкил, образующий RCy3A, независимо является незамещенным или замещенным 1, 2 или 3 заместителями, независимо выбранными из галогена, C1-6 алкила, C2-6 алкенила, C2-6 алкинила, C1-6 галоалкила, CN, ORa31, SRa31, C(O)Rb31, C(O)NRc31Rd31, C(O)ORa31, OC(O)Rb31, OC(O)NRc31Rd31, NRc31Rd31, NRc31C(O)Rb31, NRc31C(O)NRc31Rd31, NRc31C(O)ORa31, C(=NRe31)NRc31Rd31, NRc31C(=NRe31)NRc31Rd31, S(O)Rb31, S(O)NRc31Rd31, S(O)2Rb31, NRc31S(O)2Rb31, S(O)2NRc31Rd31 и оксо;

R31 представляет собой H или C1-6 алкил, C6-10 арил-C1-6 алкил или 5-10-членный гетероарил-C1-6 алкил, при этом C1-6 алкил, образующий R31, является незамещенным или замещенным 1, 2 или 3 заместителями, независимо выбранными из галогена, CN, ORa31, SRa31, C(O)Rb31, C(O)NRc31Rd31, C(O)ORa31, OC(O)Rb31, OC(O)NRc31Rd31, NRc31Rd31, NRc31C(O)Rb31, NRc31C(O)NRc31Rd31, NRc31C(O)ORa31, C(=NRe31)NRc31Rd31, NRc31C(=NRe31)NRc31Rd31, S(O)Rb31, S(O)NRc31Rd31, S(O)2Rb31, NRc31S(O)2Rb31, S(O)2NRc31Rd31 и оксо, и при этом C6-10 арил-C1-6 алкил или 5-10-членный гетероарил-C1-6 алкил, образующий R31, является незамещенным или замещенным 1, 2 или 3 заместителями, независимо выбранными из C1-6 алкила, C2-6 алкенила, C2-6 алкинила, C1-6 галоалкила, CN, ORa31, SRa31, C(O)Rb31, C(O)NRc31Rd31, C(O)ORa31, OC(O)Rb31, OC(O)NRc31Rd31, NRc31Rd31, NRc31C(O)Rb31, NRc31C(O)NRc31Rd31, NRc31C(O)ORa31, C(=NRe31)NRc31Rd31, NRc31C(=NRe31)NRc31Rd31, S(O)Rb31, S(O)NRc31Rd31, S(O)2Rb31, NRc31S(O)2Rb31, S(O)2NRc31Rd31 и оксо;

R32 представляет собой H или C1-6 алкил; или

R31 и R32, вместе с группами, к которым они присоединены, образуют 4-6-членное гетероциклоалкильное кольцо;

R33 представляет собой Cy3B, (CR33AR33B)n33Cy3B, (C1-6 алкилен)Cy3B, (C2-6 алкенилен)Cy3B или (C2-6 алкинилен)Cy3B, при этом компонент C1-6 алкилена, C2-6 алкенилена или C2-6 алкинилена в R35 является незамещенным или замещенным 1, 2, 3, 4 или 5 заместителями, каждый из которых независимо выбирают из группы, состоящей из галогена, CN, ORa31, SRa31, C(O)Rb31, C(O)NRc31Rd31, C(O)ORa31, OC(O)Rb31, OC(O)NRc31Rd31, NRc31Rd31, NRc31C(O)Rb31, NRc31C(O)NRc31Rd31, NRc31C(O)ORa31, C(=NRe31)NRc31Rd31, NRc31C(=NRe31)NRc31Rd31, S(O)Rb31, S(O)NRc31Rd31, S(O)2Rb31, NRc31S(O)2Rb31, S(O)2NRc31Rd31 и оксо;

каждый R33A независимо представляет собой H или C1-6 алкил;

каждый R33B независимо представляет собой H или C1-6 алкил; или

или R33A и R33B, присоединенные к одному и тому же атому углерода, независимо от любых других групп R33A и R33B, совместно могут образовывать -(CH2)2-5-, тем самым образуя 3-6-членное циклоалкильное кольцо;

n33 равен 0, 1, 2 или 3;

Cy3B представляет собой незамещенный или замещенный C6-10 арил, незамещенный или замещенный 5-10-членный гетероарил, незамещенный или замещенный C3-10 циклоалкил, или незамещенный или замещенный 4-10-членный гетероциклоалкил; при этом кольцевые атомы 5-10-членного гетероарила или 4-10-членного гетероциклоалкила, образующего Cy3B, состоят из атомов углерода и 1, 2 или 3 гетероатомов, выбранных из O, N и S; и

при этом замещенный C6-10 арил, замещенный 5-10-членный гетероарил, замещенный C3-10 циклоалкил или замещенный 4-10-членный гетероциклоалкил, образующий Cy3B, замещен 1, 2, 3, 4 или 5 заместителями, каждый из которых независимо выбирают из RCy3B, галогена, C1-6 галоалкила, CN, ORa31, SRa31, C(O)Rb31, C(O)NRc31Rd31, C(O)ORa31, OC(O)Rb31, OC(O)NRc31Rd31, NRc31Rd31, NRc31C(O)Rb31, NRc31C(O)NRc31Rd31, NRc31C(O)ORa31, C(=NRe31)NRc31Rd31, C(=NORa31)NRc31Rd31, C(=NOC(O)Rb31)NRc31Rd31, C(=NRe31)NRc31C(O)ORa31, NRc31C(=NRe31)NRc31Rd31, S(O)Rb31, S(O)NRc31Rd31, S(O)2Rb31, NRc31S(O)2Rb31, S(O)2NRc31Rd31 и оксо;

при этом каждый RCy3B независимо выбирают из C1-6 алкила, C2-6 алкенила, C2-6 алкинила, C6-10 арила, 5-10-членного гетероарила, C3-10 циклоалкила и 4-10-членного гетероциклоалкила, при этом кольцевые атомы 5-10-членного гетероарила или 4-10-членного гетероциклоалкила, образующего RCy3B, состоят из атомов углерода и 1, 2 или 3 гетероатомов, выбранных из O, N и S; при этом каждый C1-6 алкил, C2-6 алкенил или C2-6 алкинил, образующий RCy3B, независимо является незамещенным или замещенным 1, 2 или 3 заместителями, независимо выбранными из галогена, CN, ORa31, SRa31, C(O)Rb31, C(O)NRc31Rd31, C(O)ORa31, OC(O)Rb31, OC(O)NRc31Rd31, NRc31Rd31, NRc31C(O)Rb31, NRc31C(O)NRc31Rd31, NRc31C(O)ORa31, C(=NRe31)NRc31Rd31, NRc31C(=NRe31)NRc31Rd31, S(O)Rb31, S(O)NRc31Rd31, S(O)2Rb31, NRc31S(O)2Rb31, S(O)2NRc31Rd31 и оксо; и при этом каждый C6-10 арил, 5-10-членный гетероарил, C3-10 циклоалкил и 4-10-членный гетероциклоалкил, образующий RCy3B, независимо является незамещенным или замещенным 1, 2 или 3 заместителями, независимо выбранными из галогена, C1-6 алкила, C2-6 алкенила, C2-6 алкинила, C1-6 галоалкила, CN, ORa31, SRa31, C(O)Rb31, C(O)NRc31Rd31, C(O)ORa31, OC(O)Rb31, OC(O)NRc31Rd31, NRc31Rd31, NRc31C(O)Rb31, NRc31C(O)NRc31Rd31, NRc31C(O)ORa31, C(=NRe31)NRc31Rd31, NRc31C(=NRe31)NRc31Rd31, S(O)Rb31, S(O)NRc31Rd31, S(O)2Rb31, NRc31S(O)2Rb31, S(O)2NRc31Rd31 и оксо;

R34 выбирают из H и C1-6 алкила;

R35 выбирают из H, незамещенного или замещенного C1-6 алкила и Cy3C, при этом замещенный C1-6 алкил, образующий R35, замещен 1, 2, 3, 4 или 5 заместителями, выбранными из группы, состоящей из Cy3C, галогена, CN, ORa31, SRa31, C(O)Rb31, C(O)NRc31Rd31, C(O)ORa31, OC(O)Rb31, OC(O)NRc31Rd31, NRc31Rd31, NRc31C(O)Rb31, NRc31C(O)NRc31Rd31, NRc31C(O)ORa31, C(=NRe31)NRc31Rd31, NRc31C(=NRe31)NRc31Rd31, S(O)Rb31, S(O)NRc31Rd31, S(O)2Rb31, NRc31S(O)2Rb31, S(O)2NRc31Rd31 и оксо; при условии, что не более, чем один из заместителей R35 представляет собой Cy3C;

Cy3C представляет собой незамещенный или замещенный C6-10 арил, незамещенный или замещенный 5-10-членный гетероарил, незамещенный или замещенный C3-10 циклоалкил, или незамещенный или замещенный 4-10-членный гетероциклоалкил; при этом кольцевые атомы 5-10-членного гетероарила или 4-10-членного гетероциклоалкила, образующего Cy3C, состоят из атомов углерода и 1, 2 или 3 гетероатомов, выбранных из O, N и S; и

при этом замещенный C6-10 арил, замещенный 5-10-членный гетероарил, замещенный C3-10 циклоалкил или замещенный 4-10-членный гетероциклоалкил, образующий Cy3C, замещен 1, 2, 3, 4 или 5 заместителями, каждый из которых независимо выбирают из RCy3C, галогена, C1-6 галоалкила, CN, ORa31, SRa31, C(O)Rb31, C(O)NRc31Rd31, C(O)ORa31, OC(O)Rb31, OC(O)NRc31Rd31, NRc31Rd31, NRc31C(O)Rb31, NRc31C(O)NRc31Rd31, NRc31C(O)ORa31, C(=NRe31)NRc31Rd31, C(=NORa31)NRc31Rd31, C(=NOC(O)Rb31)NRc31Rd31, C(=NRe31)NRc31C(O)ORa31, NRc31C(=NRe31)NRc31Rd31, S(O)Rb31, S(O)NRc31Rd31, S(O)2Rb31, NRc31S(O)2Rb31, S(O)2NRc31Rd31 и оксо;

при этом каждый RCy3C независимо выбирают из C1-6 алкила, C2-6 алкенила, C2-6 алкинила, C6-10 арила, 5-10-членного гетероарила, C3-10 циклоалкила и 4-10-членного гетероциклоалкила, при этом кольцевые атомы 5-10-членного гетероарила или 4-10-членного гетероциклоалкила, образующего RCy3C, состоят из атомов углерода и 1, 2 или 3 гетероатомов, выбранных из O, N и S; при этом каждый C1-6 алкил, C2-6 алкенил или C2-6 алкинил, образующий RCy3C, независимо является незамещенным или замещенным 1, 2 или 3 заместителями, независимо выбранными из галогена, CN, ORa31, SRa31, C(O)Rb31, C(O)NRc31Rd31, C(O)ORa31, OC(O)Rb31, OC(O)NRc31Rd31, NRc31Rd31, NRc31C(O)Rb31, NRc31C(O)NRc31Rd31, NRc31C(O)ORa31, C(=NRe31)NRc31Rd31, NRc31C(=NRe31)NRc31Rd31, S(O)Rb31, S(O)NRc31Rd31, S(O)2Rb31, NRc31S(O)2Rb31, S(O)2NRc31Rd31 и оксо; и при этом каждый C6-10 арил, 5-10-членный гетероарил, C3-10 циклоалкил и 4-10-членный гетероциклоалкил, образующий RCy3C, независимо является незамещенным или замещенным 1, 2 или 3 заместителями, независимо выбранными из галогена, C1-6 алкила, C2-6 алкенила, C2-6 алкинила, C1-6 галоалкила, CN, ORa31, SRa31, C(O)Rb31, C(O)NRc31Rd31, C(O)ORa31, OC(O)Rb31, OC(O)NRc31Rd31, NRc31Rd31, NRc31C(O)Rb31, NRc31C(O)NRc31Rd31, NRc31C(O)ORa31, C(=NRe31)NRc31Rd31, NRc31C(=NRe31)NRc31Rd31, S(O)Rb31, S(O)NRc31Rd31, S(O)2Rb31, NRc31S(O)2Rb31, S(O)2NRc31Rd31 и оксо;

R36 выбирают из H и C1-6 алкила;

Ra31, Rb31, Rc31 и Rd31 каждый независимо выбирают из H, C1-6 алкила, C2-6 алкенила, C2-6 алкинила, C6-10 арила, C3-7 циклоалкила, 5-10-членного гетероарила, 4-10-членного гетероциклоалкила, C6-10 арил-C1-3 алкила, 5-10-членного гетероарил-C1-3 алкила, C3-7 циклоалкил-C1-3 алкила и 4-10-членного гетероциклоалкил-C1-3 алкила, при этом указанный C1-6 алкил, C2-6 алкенил, C2-6 алкинил, C6-10 арил, C3-7 циклоалкил, 5-10-членный гетероарил, 4-10-членный гетероциклоалкил, C6-10 арил-C1-3 алкил, 5-10-членный гетероарил-C1-3 алкил, C3-7 циклоалкил-C1-3 алкил и 4-10-членный гетероциклоалкил-C1-3 алкил, образующий Ra31, Rb31, Rc31 и Rd31, каждый, необязательно, замещен 1, 2, 3, 4 или 5 заместителями, независимо выбранными из C1-6 алкила, гало, CN, ORa32, SRa32, C(O)Rb32, C(O)NRc32Rd32, C(O)ORa32, OC(O)Rb32, OC(O)NRc32Rd32, NRc32Rd32, NRc32C(O)Rb32, NRc32C(O)NRc32Rd32, NRc32C(O)ORa32, C(=NRe32)NRc32Rd32, NRc32C(=NRe32)NRc32Rd32, S(O)Rb32, S(O)NRc32Rd32, S(O)2Rb32, NRc32S(O)2Rb32, S(O)2NRc32Rd32 и оксо;

или Rc31 и Rd31, присоединенные к одному и тому же атому N, вместе с атомом N, к которому они оба присоединены, образуют 4-, 5-, 6- или 7-членную гетероциклоалкильную группу или 5-членную гетероарильную группу, каждая из которых, необязательно, замещена 1, 2 или 3 заместителями, независимо выбранными из C1-6 алкила, гало, CN, ORa32, SRa32, C(O)Rb32, C(O)NRc32Rd32, C(O)ORa32, OC(O)Rb32, OC(O)NRc32Rd32, NRc32Rd32, NRc32C(O)Rb32, NRc32C(O)NRc32Rd32, NRc32C(O)ORa32, C(=NRe32)NRc32Rd32, NRc32C(=NRe32)NRc32Rd32, S(O)Rb32, S(O)NRc32Rd32, S(O)2Rb32, NRc32S(O)2Rb32, S(O)2NRc32Rd32 и оксо;

Ra32, Rb32, Rc32 и Rd32 каждый независимо выбирают из H, C1-6 алкила, C1-6 галоалкила, C2-6 алкенила, C2-6 алкинила, фенила, C3-7 циклоалкила, 5-6-членного гетероарила, 4-7-членного гетероциклоалкила, фенил-C1-3 алкила, 5-6-членного гетероарил-C1-3 алкила, C3-7 циклоалкил-C1-3 алкила и 4-7-членного гетероциклоалкил-C1-3 алкила, при этом указанный C1-6 алкил, C1-6 галоалкил, C2-6 алкенил, C2-6 алкинил, фенил, C3-7 циклоалкил, 5-6-членный гетероарил, 4-7-членный гетероциклоалкил, фенил-C1-3 алкил, 5-6-членный гетероарил-C1-3 алкил, C3-7 циклоалкил-C1-3 алкил и 4-7-членный гетероциклоалкил-C1-3 алкил, образующий Ra32, Rb32, Rc32 и Rd32, каждый, необязательно, замещен 1, 2 или 3 заместителями, независимо выбранными из OH, CN, амино, NH(C1-6 алкила), N(C1-6 алкил)2, гало, C1-6 алкила, C1-6 алкокси, C1-6 галоалкила, C1-6 галоалкокси и оксо;

или Rc32 и Rd32, присоединенные к одному и тому же атому N, вместе с атомом N, к которому они оба присоединены, образуют 4-, 5-, 6- или 7-членную гетероциклоалкильную группу или 5-членную гетероарильную группу, каждая из которых является незамещенной или замещенной 1, 2 или 3 заместителями, независимо выбранными из OH, CN, амино, NH(C1-6 алкила), N(C1-6 алкил)2, гало, C1-6 алкила, C1-6 алкокси, C1-6 галоалкила, C1-6 галоалкокси и оксо; и

Re31 и Re32 каждый независимо представляет собой H, CN или NO2.

В некоторых вариантах осуществления Cy3A представляет собой незамещенный или замещенный арил.

В некоторых вариантах осуществления Cy3A представляет собой незамещенный или замещенный фенил.

В некоторых вариантах осуществления Cy3A представляет собой замещенный фенил.

В некоторых вариантах осуществления Cy3A замещен по меньшей мере одним ORa31 или по меньшей мере одним C(=NRe31)NRc31Rd31, C(=NORa31)NRc31Rd31, C(=NOC(O)Rb31)NRc31Rd31, или C(=NRe31)NRc31C(O)ORa31.

В некоторых вариантах осуществления Cy3A замещен по меньшей мере одним ORa31 и по меньшей мере одним дополнительным заместителем, выбранным из группы, состоящей из C1-6 алкила, C1-6 галоалкила и галогена.

В некоторых вариантах осуществления Cy3A замещен по меньшей мере одним OH и по меньшей мере одним дополнительным заместителем, выбранным из группы, состоящей из C1-6 алкила, C1-6 галоалкила и галогена.

В некоторых вариантах осуществления Cy3A замещен по меньшей мере одним C(=NRe31)NRc31Rd31, C(=NORa31)NRc31Rd31, C(=NOC(O)Rb31)NRc31Rd31, C(=NRe31)NRc31C(O)ORa31, предпочтительно в положении 4.

В некоторых вариантах осуществления Cy3A замещен по меньшей мере одним C(=NRe31)NRc31Rd31, предпочтительно в положении 4.

В некоторых вариантах осуществления Cy3A замещен по меньшей мере одним C(=NH)NH2, предпочтительно в положении 4.

В некоторых вариантах осуществления Cy3A имеет любую из следующих формул:

В некоторых вариантах осуществления Cy3A имеет любую из следующих формул:

В некоторых вариантах осуществления в формуле, определяющей Cy3A, Ra31 представляет собой C1-6 алкил, такой как метил; Rb31 представляет собой C1-6 алкил, такой как метил, или Rb31 представляет собой C1-6 галоалкил, такой как трифторметил, и Rc31 представляет собой алкил, такой как метил.

В некоторых вариантах осуществления Cy3A представляет собой незамещенный или замещенный гетероарил.

В некоторых вариантах осуществления Cy3A представляет собой незамещенный или замещенный пиридин-3-ил, 1H-пирроло[2,3-b]пиридин-5-ил или 1H-бензо[d]имидазол-6-ил.

В некоторых вариантах осуществления Cy3A имеет любую из следующих формул:

В некоторых вариантах осуществления каждый RCy3A в формуле, определяющей Cy3A, независимо представляет собой C1-6 алкил, такой как метил или этил, предпочтительно метил, или галоген, такой как F, Cl или Br, предпочтительно Cl, или амино.

В некоторых вариантах осуществления каждый RCy3A, присоединенный к азоту в формуле, определяющей Cy3A, представляет собой C1-6 алкил, такой как метил или этил.

В некоторых вариантах осуществления R31 представляет собой C1-6 алкил.

В некоторых вариантах осуществления R31 представляет собой метил.

В некоторых вариантах осуществления R31 представляет собой H.

В некоторых вариантах осуществления R32 представляет собой H.

В некоторых вариантах осуществления R32 представляет собой C1-6 алкил.

В некоторых вариантах осуществления R32 представляет собой метил.

В некоторых вариантах осуществления R31 и R32, вместе с группами, к которым они присоединены, образуют 4-6-членное гетероциклоалкильное кольцо.

В некоторых вариантах осуществления соединение имеет любую из следующих формул (III-1a) - (III-1h):

В некоторых вариантах осуществления R33 представляет собой Cy3B.

В некоторых вариантах осуществления R33 представляет собой (C1-6 алкилен)Cy3B, (C2-6 алкенилен)Cy3B или (C2-6 алкинилен)Cy3B, при этом компонент C1-6 алкилена, C2-6 алкенилена или C2-6 алкинилена в R35 является незамещенным.

В некоторых вариантах осуществления R33 представляет собой (C1-6 алкилен)Cy3B, (C2-6 алкенилен)Cy3B или (C2-6 алкинилен)Cy3B, при этом компонент C1-6 алкилена, C2-6 алкенилена или C2-6 алкинилена в R35 замещен 1, 2, 3, 4 или 5 заместителями, каждый из которых независимо выбирают из группы, состоящей из галогена, CN, ORa31, SRa31, C(O)Rb31, C(O)NRc31Rd31, C(O)ORa31, OC(O)Rb31, OC(O)NRc31Rd31, NRc31Rd31, NRc31C(O)Rb31, NRc31C(O)NRc31Rd31, NRc31C(O)ORa31, C(=NRe31)NRc31Rd31, NRc31C(=NRe31)NRc31Rd31, S(O)Rb31, S(O)NRc31Rd31, S(O)2Rb31, NRc31S(O)2Rb31, S(O)2NRc31Rd31 и оксо.

В некоторых вариантах осуществления R33 представляет собой Cy3B, (CR33AR33B)n33Cy3B.

В некоторых вариантах осуществления каждый R33A представляет собой H.

В некоторых вариантах осуществления каждый R33B представляет собой H.

В некоторых вариантах осуществления n33 равен 0.

В некоторых вариантах осуществления n33 равен 1.

В некоторых вариантах осуществления n33 равен 2.

В некоторых вариантах осуществления n33 равен 3.

В некоторых вариантах осуществления R33 представляет собой CH2Cy3B.

В некоторых вариантах осуществления R33 представляет собой CH2CH2Cy3B.

В некоторых вариантах осуществления соединение имеет любую из следующих формул (III-2) - (III-4):

В некоторых вариантах осуществления соединение имеет любую из следующих формул (III-2a) - (III-2h):

В некоторых вариантах осуществления соединение имеет любую из следующих формул (III-3a) - (III-3h):

В некоторых вариантах осуществления соединение имеет любую из следующих формул (III-4a) - (III-4h):

В некоторых вариантах осуществления R33 представляет собой CH2CH2CH2Cy3B.

В некоторых вариантах осуществления Cy3B представляет собой незамещенный C6-10 арил.

В некоторых вариантах осуществления Cy3B представляет собой незамещенный фенил.

В некоторых вариантах осуществления R33 представляет собой CH2CH2Ph.

В некоторых вариантах осуществления Cy3B представляет собой незамещенный нафтил, такой как 1-нафтил или 2-нафтил.

В некоторых вариантах осуществления R33 представляет собой CH2CH2-1-нафтил или CH2CH2-2-нафтил.

В некоторых вариантах осуществления Cy3B представляет собой незамещенный 5-10-членный гетероарил.

В некоторых вариантах осуществления Cy3B представляет собой незамещенный пиридил, такой как незамещенный 2-, 3- или 4-пиридил, незамещенный хинолил, такой как незамещенный 2-, 3-, 4-, 5-, 6-, 7- или 8-хинолил, незамещенный бензо[b]тиофенил, такой как незамещенный 2-, 3-, 4-, 5-, 6- или 7-бензо[b]тиофенил, или незамещенный индолил, такой как незамещенный индол-2-ил, -3-ил, -4-ил, -5-ил, -6-ил или -7-ил.

В некоторых вариантах осуществления Cy3B представляет собой незамещенный C3-10 циклоалкил.

В некоторых вариантах осуществления Cy3B представляет собой незамещенный циклопентил, циклогексил или циклогептил.

В некоторых вариантах осуществления Cy3B представляет собой незамещенный 4-10-членный гетероциклоалкил.

В некоторых вариантах осуществления Cy3B представляет собой замещенный C6-10 арил.

В некоторых вариантах осуществления Cy3B представляет собой замещенный фенил.

В некоторых вариантах осуществления Cy3B представляет собой замещенный нафтил, такой как 1-нафтил или 2-нафтил.

В некоторых вариантах осуществления Cy3B представляет собой замещенный 5-10-членный гетероарил.

В некоторых вариантах осуществления Cy3B представляет собой замещенный пиридил, такой как замещенный 2-, 3- или 4-пиридил, замещенный хинолил, такой как замещенный 2-, 3-, 4-, 5-, 6-, 7- или 8-хинолил, замещенный бензо[b]тиофенил, такой как замещенный 2-, 3-, 4-, 5-, 6- или 7-бензо[b]тиофенил, или замещенный индолил, такой как замещенный индол-2-ил, -3-ил, -4-ил, -5-ил, -6-ил или -7-ил.

В некоторых вариантах осуществления Cy3B представляет собой замещенный C3-10 циклоалкил.

В некоторых вариантах осуществления Cy3B представляет собой замещенный циклопентил, циклогексил или циклогептил.

В некоторых вариантах осуществления Cy3B представляет собой замещенный 4-10-членный гетероциклоалкил.

В некоторых вариантах осуществления Cy3B замещен 1, 2, 3, 4 или 5 заместителями, каждый из которых независимо выбирают из RCy3B, галогена и C1-6 галоалкила; при этом каждый RCy3B независимо выбирают из C1-6 алкила, C2-6 алкенила, C2-6 алкинила и C6-10 арила или 5-10-членного гетероарила, при этом каждый C6-10 арил или 5-10-членный гетероарил, образующий RCy3B, является незамещенным или замещенным 1, 2 или 3 заместителями, независимо выбранными из галогена, C1-6 алкила, C2-6 алкенила, C2-6 алкинила и галоалкила.

В некоторых вариантах осуществления R33 выбирают из следующих групп: фенил; бензил; 2-фенилэтил; 2,3-дигидро-1H-инден-2-ил; 2-(2-метилфенил)этил; 2-(3-метилфенил)этил; 2-(4-метилфенил)этил; 2-(2,4-диметилфенил)этил; 2-(2,5-диметилфенил)этил; 2-(3,5-диметилфенил)этил; 2-(2-этилфенил)этил; 2-(3-этилфенил)этил; 2-(4-этилфенил)этил; 2-(2,4-диэтилфенил)этил; 2-(2,5-диметилфенил)этил; 2-(3,5-диметилфенил)этил; 2-(2-трифторметилфенил)этил; 2-(3-трифторметилфенил)этил; 2-(4-трифторметилфенил)этил; 2-(2-фторфенил)этил; 2-(3-фторфенил)этил; 2-(4-фторфенил)этил; 2-(2,4-дифторфенил)этил; 2-(2,5-дифторфенил)этил; 2-(3,5-дифторфенил)этил; 2-(2-хлорфенил)этил; 2-(3-хлорфенил)этил; 2-(4-хлорфенил)этил; 2-(2,4-дихлорфенил)этил; 2-(2,5-дихлорфенил)этил; 2-(3,5-дихлорфенил)этил; 2-(2-метоксифенил)этил; 2-(3-метоксифенил)этил; 2-(4-метоксифенил)этил; 2-(2,4-диметоксифенил)этил; 2-(2,5-диметоксифенил)этил; 2-(3,5-диметоксифенил)этил; 2-(циклопентил)этил; 2-(циклогексил)этил; 2-(циклогептил)этил; 2-(2-(аминометил)фенил)этил; 2-(3-(аминометил)фенил)этил; 2-(4-(аминометил)фенил)этил; 2-(2-цианофенил)этил; 2-(3-цианофенил)этил; и 2-(4-цианофенил)этил; и групп следующих формул:

В некоторых вариантах осуществления R34 представляет собой водород.

В некоторых вариантах осуществления R34 представляет собой C1-6 алкил, такой как метил.

В некоторых вариантах осуществления R35 представляет собой H.

В некоторых вариантах осуществления R35 представляет собой Cy3C.

В некоторых вариантах осуществления R35 представляет собой незамещенный C1-6 алкил.

В некоторых вариантах осуществления R35 представляет собой замещенный C1-6 алкил.

В некоторых вариантах осуществления замещенный C1-6 алкил, образующий R35, замещен по меньшей мере одним заместителем, при этом заместители R35 независимо выбирают из: 1, 2 или 3 заместителей, выбранных из группы, состоящей из Cy3C, галогена, CN, ORa31, SRa31, C(O)Rb31, C(O)NRc31Rd31, C(O)ORa31, OC(O)Rb31, OC(O)NRc31Rd31, NRc31Rd31, NRc31C(O)Rb31, NRc31C(O)NRc31Rd31, NRc31C(O)ORa31, C(=NRe31)NRc31Rd31, NRc31C(=NRe31)NRc31Rd31, S(O)Rb31, S(O)NRc31Rd31, S(O)2Rb31, NRc31S(O)2Rb31, S(O)2NRc31Rd31 и оксо.

В некоторых вариантах осуществления замещенный C1-6 алкил, образующий R35, замещен по меньшей мере одним заместителем, при этом заместители включают Cy3C.

В некоторых вариантах осуществления замещенный C1-6 алкил, образующий R35, замещен одним заместителем, при этом заместитель представляет собой Cy3C.

В некоторых вариантах осуществления R35 представляет собой (CH2)1-5Cy3C.

В некоторых вариантах осуществления R35 представляет собой CH2Cy3C.

В некоторых вариантах осуществления Cy3C представляет собой незамещенный C6-10 арил.

В некоторых вариантах осуществления Cy3C представляет собой незамещенный фенил или нафтил, такой как 1-нафтил или 2-нафтил.

В некоторых вариантах осуществления Cy3C представляет собой незамещенный 5-10-членный гетероарил.

В некоторых вариантах осуществления Cy3C представляет собой незамещенный пиридил, такой как незамещенный 2-, 3- или 4-пиридил, незамещенный хинолил, такой как незамещенный 2-, 3-, 4-, 5-, 6-, 7- или 8-хинолил, незамещенный бензо[b]тиофенил, такой как незамещенный 2-, 3-, 4-, 5-, 6- или 7-бензо[b]тиофенил, или незамещенный индолил, такой как незамещенный индол-2-ил, -3-ил, -4-ил, -5-ил, -6-ил или -7-ил.

В некоторых вариантах осуществления Cy3C представляет собой незамещенный C3-10 циклоалкил, такой как циклопропил, циклобутил, циклопентил, циклогексил или циклогептил.

В некоторых вариантах осуществления Cy3C представляет собой незамещенный 4-10-членн гетероциклоалкил.

В некоторых вариантах осуществления Cy3C представляет собой замещенный C6-10 арил.

В некоторых вариантах осуществления Cy3C представляет собой замещенный фенил или замещенный нафтил, такой как замещенный 1-нафтил или 2-нафтил.

В некоторых вариантах осуществления Cy3C представляет собой замещенный 5-10-членный гетероарил.

В некоторых вариантах осуществления Cy3C представляет собой замещенный пиридил, такой как замещенный 2-, 3- или 4-пиридил, замещенный хинолил, такой как замещенный 2-, 3-, 4-, 5-, 6-, 7- или 8-хинолил, замещенный бензо[b]тиофенил, такой как замещенный 2-, 3-, 4-, 5-, 6- или 7-бензо[b]тиофенил, или замещенный индолил, такой как замещенный индол-2-ил, -3-ил, -4-ил, -5-ил, -6-ил или -7-ил.

В некоторых вариантах осуществления Cy3C представляет собой замещенный C3-10 циклоалкил, такой как замещенный циклопропил, циклобутил, циклопентил, циклогексил или циклогептил.

В некоторых вариантах осуществления Cy3C представляет собой замещенный 4-10-членный гетероциклоалкил.

В некоторых вариантах осуществления R36 представляет собой H.

В некоторых вариантах осуществления R36 представляет собой C1-6 алкил, такой как метил.

В некоторых вариантах осуществления Ra31, Rb31, Rc31, Rd31, Ra32, Rb32, Rc32 и Rd32 каждый независимо выбирают из H и C1-6 алкила.

В некоторых вариантах осуществления каждый Re31 и каждый Re32 представляет собой H.

Соединения формулы (III), и их варианты осуществления, полезны в качестве ингибиторов MASP-2 и для терапевтического применения.

В некоторых вариантах осуществления соединения формулы (III), и их варианты осуществления, могут иметь форму соли, такой как фармацевтически приемлемая соль.

Соединения формулы (III), и их варианты осуществления, полезны в качестве ингибиторов MASP-2 и для терапевтического применения. Соединения формулы (III), и их варианты осуществления, могут быть использованы в лечении MASP-2-связанных заболеваний и нарушений, а также в производстве лекарственных препаратов для лечения MASP-2-связанных заболеваний и нарушений. Настоящее изобретение также относится к способам лечения MASP-2-связанного заболевания и нарушения, включающим введение пациенту терапевтически эффективного количества соединения формулы (III), или его варианта осуществления, необязательно, в форме соли.

В некоторых вариантах осуществления соединение формулы (III), или его вариант осуществления, предоставляют в форме фармацевтической композиции, содержащей соединение или его соль, такую как фармацевтически приемлемая соль, и по меньшей мере один фармацевтически приемлемый носитель или эксципиент.

В конкретных аспектах соединение представляет собой одно или более соединений, выбранных из соединений формулы (III), описанных в примерах, включая соединения, перечисленные в Таблице 31, например, соединения с избирательностью для MASP-2 относительно тромбина. В конкретных аспектах одну или более из переменных, определяющих соединения формулы (III) (например, Cy3A, RCy3A, Cy3B, RCy3B, Cy3C, RCy3C, R31, R32, R33, R33A, R33B, R34, R35, R36, n33, Ra31, Rb31, Rc31, Rd31, Re31, Ra32, Rb32, Rc32, Rd32 и Re32), выбирают из соответствующих заместителей в соединениях формулы (III), описанных в примерах, включая соединения, перечисленные в Таблице 31, предпочтительно, соединения с избирательностью для MASP-2 относительно тромбина.

В конкретных аспектах изобретения предложен стереохимически чистый энантиомер или диастереомер (например, оптически активное соединение с одним или более хиральными центрами). Если специально не указано иное, для любого соединения по изобретению с одним или более стереоцентрами настоящее изобретение должно включать и описывать как чистые (+) и (-) энантиомеры, любые другие диастереомеры, смеси, обогащенные по энантиомеру или диастереомеру (например, имеющие 10%, 20%, 30%, 40%, 50%, 60%, 70% 75%, 80%, 85, 90% или 95% энантиомерный или диастереомерный избыток), так и рацемическую смесь энантиомеров или диастереомеров.

В конкретных аспектах изобретения предложена фармацевтически приемлемая соль указанной химической структуры (например, гидрогалогенид, такой как гидрохлорид или дигидрохлорид). Примеры фармацевтически приемлемых солей приведены, например, в публикации Burge, S. M. et al., J. Pharm. Sci 1977, 66, 1-19. Они включают хлориды, бромиды, иодиды, форматы, ацетаты, пропионаты, оксалаты, малонаты, сукцинаты, фумараты, малеаты, тартраты, цитраты, бензоаты, фталаты, сульфонаты, арилсульфонаты, алкилсульфонаты, соли жирных кислот, и тому подобное. Соли могут быть получены различными способами, известными квалифицированному специалисту, включая осаждение конъюгированной кислотой или основанием (например, обработку газообразной HCl или раствором HCl).

В конкретных аспектах изобретения предложено пролекарство. Пролекарство представляет собой соединение, которое превращается в биологически активную форму в физиологических условиях, часто в результате гидролиза, окисления или восстановления (например, сложного эфира в форму кислоты; карбамата в амино- или гидроксильную группу; гидроксиамидина в амидин). Иллюстративные пролекарства приведены, например, в публикациях Tilley, J.W., «Prodrugs of Benzamide», Prodrugs 2007, 191-222; Peterlin-Masic et al. Curr. Pharma. Design 2006, 12, 73-91. Пролекарства для амидиновой группы включают амидоксимы, O-алкиламидоксимы, ациламидины, карбаматы, 1,2,4-оксадиазолин-4-оны, и тому подобное.

В конкретных аспектах соединение может быть использовано для избирательного ингибирования MASP-2 относительно тромбина, при этом способ включает введение соединения, описанного в настоящем документе. В конкретных аспектах соотношение избирательности для пары MASP-2:тромбин составляет по меньшей мере 1,1:1, 1,25:1, 1,5:1, 1,75:1, 2:1, 3:1, 4:1, 5:1, 6:1, 7:1, 8:1, 9:1, 10:1, 11:1, 12:1, 13:1, 14:1, 15:1, 16:1, 17:1, 18:1, 19:1, 20:1, 21:1, 22:1, 23:1, 24:1, 25:1 или 30:1.

D. Соединения формулы IV

В конкретных аспектах настоящее изобретение относится к соединению формулы (IV)

или его соли, для применения в лечении MASP-2-связанного заболевания или нарушения, где:

Cy4A представляет собой незамещенный или замещенный C6-10 арил, или незамещенный или замещенный 5-10-членный гетероарил; при этом кольцевые атомы 5-10-членного гетероарила, образующего Cy4A, состоят из атомов углерода и 1, 2 или 3 гетероатомов, выбранных из O, N и S; при этом замещенный C6-10 арил или замещенный 5-10-членный гетероарил, образующие Cy4A, замещены 1, 2, 3, 4 или 5 заместителями, каждый из которых независимо выбирают из RCy4A, галогена, C1-6 галоалкила, CN, ORa41, SRa41, C(O)Rb41, C(O)NRc41Rd41, C(O)ORa41, OC(O)Rb41, OC(O)NRc41Rd41, NRc41Rd41, NRc41C(O)Rb41, NRc41C(O)NRc41Rd41, NRc41C(O)ORa41, C(=NRe41)NRc41Rd41, C(=NORa41)NRc41Rd41, C(=NOC(O)Rb41)NRc41Rd41, C(=NRe41)NRc41C(O)ORa41, NRc41C(=NRe41)NRc41Rd41, S(O)Rb41, S(O)NRc41Rd41, S(O)2Rb41, NRc41S(O)2Rb41, S(O)2NRc41Rd41 и оксо;

каждый RCy4A независимо выбирают из C1-6 алкила, C2-6 алкенила, C2-6 алкинила, C6-10 арила, 5-10-членного гетероарила, C3-10 циклоалкила и 4-10-членного гетероциклоалкила, при этом кольцевые атомы 5-10-членного гетероарила или 4-10-членного гетероциклоалкила, образующего RCy4A, состоят из атомов углерода и 1, 2, 3 или 4 гетероатомов, выбранных из O, N и S, при этом каждый C1-6 алкил, C2-6 алкенил или C2-6 алкинил, образующий RCy4A, независимо является незамещенным или замещенным 1, 2 или 3 заместителями, независимо выбранными из галогена, CN, ORa41, SRa41, C(O)Rb41, C(O)NRc41Rd41, C(O)ORa41, OC(O)Rb41, OC(O)NRc41Rd41, NRc41Rd41, NRc41C(O)Rb41, NRc41C(O)NRc41Rd41, NRc41C(O)ORa41, C(=NRe41)NRc41Rd41, NRc41C(=NRe41)NRc41Rd41, S(O)Rb41, S(O)NRc41Rd41, S(O)2Rb41, NRc41S(O)2Rb41, S(O)2NRc41Rd41 и оксо, и при этом каждый C6-10 арил, 5-10-членный гетероарил, C3-10 циклоалкил и 4-10-членный гетероциклоалкил, образующий RCy4A, независимо является незамещенным или замещенным 1, 2 или 3 заместителями, независимо выбранными из галогена, C1-6 алкила, C2-6 алкенила, C2-6 алкинила, C1-6 галоалкила, CN, ORa41, SRa41, C(O)Rb41, C(O)NRc41Rd41, C(O)ORa41, OC(O)Rb41, OC(O)NRc41Rd41, NRc41Rd41, NRc41C(O)Rb41, NRc41C(O)NRc41Rd41, NRc41C(O)ORa41, C(=NRe41)NRc41Rd41, NRc41C(=NRe41)NRc41Rd41, S(O)Rb41, S(O)NRc41Rd41, S(O)2Rb41, NRc41S(O)2Rb41, S(O)2NRc41Rd41 и оксо;

R41 представляет собой H или C1-6 алкил, C6-10 арил-C1-6 алкил или 5-10-членный гетероарил-C1-6 алкил, при этом C1-6 алкил, образующий R41, является незамещенным или замещенным 1, 2 или 3 заместителями, независимо выбранными из галогена, CN, ORa41, SRa41, C(O)Rb41, C(O)NRc41Rd41, C(O)ORa41, OC(O)Rb41, OC(O)NRc41Rd41, NRc41Rd41, NRc41C(O)Rb41, NRc41C(O)NRc41Rd41, NRc41C(O)ORa41, C(=NRe41)NRc41Rd41, NRc41C(=NRe41)NRc41Rd41, S(O)Rb41, S(O)NRc41Rd41, S(O)2Rb41, NRc41S(O)2Rb41, S(O)2NRc41Rd41 и оксо, и при этом C6-10 арил-C1-6 алкил или 5-10-членный гетероарил-C1-6 алкил, образующий R41, является незамещенным или замещенным 1, 2 или 3 заместителями, независимо выбранными из C1-6 алкила, C2-6 алкенила, C2-6 алкинила, C1-6 галоалкила, CN, ORa41, SRa41, C(O)Rb41, C(O)NRc41Rd41, C(O)ORa41, OC(O)Rb41, OC(O)NRc41Rd41, NRc41Rd41, NRc41C(O)Rb41, NRc41C(O)NRc41Rd41, NRc41C(O)ORa41, C(=NRe41)NRc41Rd41, NRc41C(=NRe41)NRc41Rd41, S(O)Rb41, S(O)NRc41Rd41, S(O)2Rb41, NRc41S(O)2Rb41, S(O)2NRc41Rd41 и оксо;

R42 представляет собой H, C1-6 алкил, C2-6 алкенил, C2-6 алкинил или Cy4B; при этом каждый из C1-6 алкила, C2-6 алкенила или C2-6 алкинила, образующий R42, является незамещенным или замещенным 1, 2, 3, 4 или 5 заместителями, выбранными из группы, состоящей из Cy4B, галогена, CN, ORa41, SRa41, C(O)Rb41, C(O)NRc41Rd41, C(O)ORa41, OC(O)Rb41, OC(O)NRc41Rd41, NRc41Rd41, NRc41C(O)Rb41, NRc41C(O)NRc41Rd41, NRc41C(O)ORa41, C(=NRe41)NRc41Rd41, NRc41C(=NRe41)NRc41Rd41, S(O)Rb41, S(O)NRc41Rd41, S(O)2Rb41, NRc41S(O)2Rb41, S(O)2NRc41Rd41 и оксо; при условии, что не более чем один из заместителей представляет собой Cy4B;

Cy4B представляет собой незамещенный или замещенный C6-10 арил, незамещенный или замещенный 5-10-членный гетероарил, незамещенный или замещенный C3-10 циклоалкил, или незамещенный или замещенный 4-10-членный гетероциклоалкил; при этом кольцевые атомы 5-10-членного гетероарила, или незамещенного или замещенного 4-10-членного гетероциклоалкила, образующего Cy4B, состоят из атомов углерода и 1, 2 или 3 гетероатомов, выбранных из O, N и S; и при этом замещенный C6-10 арил, замещенный 5-10-членный гетероарил, замещенный C3-10 циклоалкил или 4-10-членный гетероциклоалкил, образующий Cy4B, замещен 1, 2, 3, 4 или 5 заместителями, каждый из которых независимо выбирают из RCy4B, галогена, C1-6 галоалкила, CN, ORa41, SRa41, C(O)Rb41, C(O)NRc41Rd41, C(O)ORa41, OC(O)Rb41, OC(O)NRc41Rd41, NRc41Rd41, NRc41C(O)Rb41, NRc41C(O)NRc41Rd41, NRc41C(O)ORa41, C(=NRe41)NRc41Rd41, C(=NORa41)NRc41Rd41, C(=NOC(O)Rb41)NRc41Rd41, C(=NRe41)NRc41C(O)ORa41, NRc41C(=NRe41)NRc41Rd41, S(O)Rb41, S(O)NRc41Rd41, S(O)2Rb41, NRc41S(O)2Rb41, S(O)2NRc41Rd41 и оксо;

при этом каждый RCy4B независимо выбирают из C1-6 алкила, C2-6 алкенила, C2-6 алкинила, C6-10 арила, 5-10-членного гетероарила, C3-10 циклоалкила и 4-10-членного гетероциклоалкила, при этом кольцевые атомы 5-10-членного гетероарила или 4-10-членного гетероциклоалкила, образующего RCy4B, состоят из атомов углерода и 1, 2 или 3 гетероатомов, выбранных из O, N и S, и при этом каждый C1-6 алкил, C2-6 алкенил или C2-6 алкинил, образующий RCy4B, независимо является незамещенным или замещенным 1, 2 или 3 заместителями, независимо выбранными из галогена, CN, ORa41, SRa41, C(O)Rb41, C(O)NRc41Rd41, C(O)ORa41, OC(O)Rb41, OC(O)NRc41Rd41, NRc41Rd41, NRc41C(O)Rb41, NRc41C(O)NRc41Rd41, NRc41C(O)ORa41, C(=NRe41)NRc41Rd41, NRc41C(=NRe41)NRc41Rd41, S(O)Rb41, S(O)NRc41Rd41, S(O)2Rb41, NRc41S(O)2Rb41, S(O)2NRc41Rd41 и оксо; и каждый C6-10 арил, 5-10-членный гетероарил, C3-10 циклоалкил и 4-10-членный гетероциклоалкил, образующий каждый RCy4B, независимо является незамещенным или замещенным 1, 2 или 3 заместителями, независимо выбранными из галогена, C1-6 алкила, C2-6 алкенила, C2-6 алкинила, C1-6 галоалкила, CN, ORa41, SRa41, C(O)Rb41, C(O)NRc41Rd41, C(O)ORa41, OC(O)Rb41, OC(O)NRc41Rd41, NRc41Rd41, NRc41C(O)Rb41, NRc41C(O)NRc41Rd41, NRc41C(O)ORa41, C(=NRe41)NRc41Rd41, NRc41C(=NRe41)NRc41Rd41, S(O)Rb41, S(O)NRc41Rd41, S(O)2Rb41, NRc41S(O)2Rb41, S(O)2NRc41Rd41 и оксо;

или R41 и R42, совместно с атомами, к которым они присоединены, и атомом азота, связывающим атомы, к которым R41 и R42 присоединены, образуют 4-7-членное гетероциклоалкильное кольцо; которое, необязательно, дополнительно замещено 1, 2, 3, 4 или 5 заместителями, каждый из которых независимо выбирают из RCy4B, галогена, C1-6 галоалкила, CN, ORa41, SRa41, C(O)Rb41, C(O)NRc41Rd41, C(O)ORa41, OC(O)Rb41, OC(O)NRc41Rd41, NRc41Rd41, NRc41C(O)Rb41, NRc41C(O)NRc41Rd41, NRc41C(O)ORa41, C(=NRe41)NRc41Rd41, C(=NORa41)NRc41Rd41, C(=NOC(O)Rb41)NRc41Rd41, C(=NRe41)NRc41C(O)ORa41, NRc41C(=NRe41)NRc41Rd41, S(O)Rb41, S(O)NRc41Rd41, S(O)2Rb41, NRc41S(O)2Rb41, S(O)2NRc41Rd41 и оксо;

R43 представляет собой H, C1-6 алкил, C2-6 алкенил, C2-6 алкинил или Cy4C; при этом каждый из C1-6 алкила, C2-6 алкенила или C2-6 алкинила, образующего R43, является незамещенным или замещенным 1, 2, 3, 4 или 5 заместителями, каждый из которых независимо выбирают из: 0, 1, 2, 3, 4 или 5 заместителей, выбранных из группы, состоящей из Cy4C, галогена, CN, ORa41, SRa41, C(O)Rb41, C(O)NRc41Rd41, C(O)ORa41, OC(O)Rb41, OC(O)NRc41Rd41, NRc41Rd41, NRc41C(O)Rb41, NRc41C(O)NRc41Rd41, NRc41C(O)ORa41, C(=NRe41)NRc41Rd41, NRc41C(=NRe41)NRc41Rd41, S(O)Rb41, S(O)NRc41Rd41, S(O)2Rb41, NRc41S(O)2Rb41, S(O)2NRc41Rd41 и оксо, при условии, что не более чем один заместитель C1-6 алкила, C2-6 алкенила или C2-6 алкинила, образующий R43, представляет собой Cy4C;

Cy4C представляет собой незамещенный или замещенный C6-10 арил, незамещенный или замещенный 5-10-членный гетероарил, незамещенный или замещенный C3-10 циклоалкил, или незамещенный или замещенный 4-10-членный гетероциклоалкил; при этом кольцевые атомы 5-10-членного гетероарила, или незамещенного или замещенного 4-10-членного гетероциклоалкила, образующего Cy4B, состоят из атомов углерода и 1, 2 или 3 гетероатомов, выбранных из O, N и S; и при этом замещенный C6-10 арил, замещенный 5-10-членный гетероарил, замещенный C3-10 циклоалкил или 4-10-членный гетероциклоалкил, образующий Cy4C, замещен 1, 2, 3, 4 или 5 заместителями, каждый из которых независимо выбирают из RCy4C, галогена, C1-6 галоалкила, CN, ORa41, SRa41, C(O)Rb41, C(O)NRc41Rd41, C(O)ORa41, OC(O)Rb41, OC(O)NRc41Rd41, NRc41Rd41, NRc41C(O)Rb41, NRc41C(O)NRc41Rd41, NRc41C(O)ORa41, C(=NRe41)NRc41Rd41, C(=NORa41)NRc41Rd41, C(=NOC(O)Rb41)NRc41Rd41, C(=NRe41)NRc41C(O)ORa41, NRc41C(=NRe41)NRc41Rd41, S(O)Rb41, S(O)NRc41Rd41, S(O)2Rb41, NRc41S(O)2Rb41, S(O)2NRc41Rd41 и оксо;

каждый RCy4C независимо выбирают из C1-6 алкила, C2-6 алкенила, C2-6 алкинила, C6-10 арила, 5-10-членного гетероарила, C3-10 циклоалкила и 4-10-членного гетероциклоалкила, при этом кольцевые атомы 5-10-членного гетероарила или 4-10-членного гетероциклоалкила, образующего RCy4C, состоят из атомов углерода и 1, 2 или 3 гетероатомов, выбранных из O, N и S, при этом каждый C1-6 алкил, C2-6 алкенил или C2-6 алкинил, образующий RCy4C, независимо является незамещенным или замещенным 1, 2 или 3 заместителями, независимо выбранными из галогена, CN, ORa41, SRa41, C(O)Rb41, C(O)NRc41Rd41, C(O)ORa41, OC(O)Rb41, OC(O)NRc41Rd41, NRc41Rd41, NRc41C(O)Rb41, NRc41C(O)NRc41Rd41, NRc41C(O)ORa41, C(=NRe41)NRc41Rd41, NRc41C(=NRe41)NRc41Rd41, S(O)Rb41, S(O)NRc41Rd41, S(O)2Rb41, NRc41S(O)2Rb41, S(O)2NRc41Rd41 и оксо; и при этом каждый C6-10 арил, 5-10-членный гетероарил, C3-10 циклоалкил и 4-10-членный гетероциклоалкил, образующий каждый RCy4A, независимо является незамещенным или замещенным 1, 2 или 3 заместителями, независимо выбранными из галогена, C1-6 алкила, C2-6 алкенила, C2-6 алкинила, C1-6 галоалкила, CN, ORa41, SRa41, C(O)Rb41, C(O)NRc41Rd41, C(O)ORa41, OC(O)Rb41, OC(O)NRc41Rd41, NRc41Rd41, NRc41C(O)Rb41, NRc41C(O)NRc41Rd41, NRc41C(O)ORa41, C(=NRe41)NRc41Rd41, NRc41C(=NRe41)NRc41Rd41, S(O)Rb41, S(O)NRc41Rd41, S(O)2Rb41, NRc41S(O)2Rb41, S(O)2NRc41Rd41 и оксо;

Ra41, Rb41, Rc41 и Rd41 каждый независимо выбирают из H, C1-6 алкила, C2-6 алкенила, C2-6 алкинила, C6-10 арила, C3-7 циклоалкила, 5-10-членного гетероарила, 4-10-членного гетероциклоалкила, C6-10 арил-C1-3 алкила, 5-10-членного гетероарил-C1-3 алкила, C3-7 циклоалкил-C1-3 алкила и 4-10-членного гетероциклоалкил-C1-3 алкила, при этом указанный C1-6 алкил, C2-6 алкенил, C2-6 алкинил, C6-10 арил, C3-7 циклоалкил, 5-10-членный гетероарил, 4-10-членный гетероциклоалкил, C6-10 арил-C1-3 алкил, 5-10-членный гетероарил-C1-3 алкил, C3-7 циклоалкил-C1-3 алкил и 4-10-членный гетероциклоалкил-C1-3 алкил, образующий Ra41, Rb41, Rc41 и Rd41, каждый, необязательно, замещен 1, 2, 3, 4 или 5 заместителями, независимо выбранными из C1-6 алкила, гало, CN, ORa42, SRa42, C(O)Rb42, C(O)NRc42Rd42, C(O)ORa42, OC(O)Rb42, OC(O)NRc42Rd42, NRc42Rd42, NRc42C(O)Rb42, NRc42C(O)NRc42Rd42, NRc42C(O)ORa42, C(=NRe42)NRc42Rd42, NRc42C(=NRe42)NRc42Rd42, S(O)Rb42, S(O)NRc42Rd42, S(O)2Rb42, NRc42S(O)2Rb42, S(O)2NRc42Rd42 и оксо;

или Rc41 и Rd41, присоединенные к одному и тому же атому N, вместе с атомом N, к которому они оба присоединены, образуют 4-, 5-, 6- или 7-членную гетероциклоалкильную группу или 5-членную гетероарильную группу, каждая из которых, необязательно, замещена 1, 2 или 3 заместителями, независимо выбранными из C1-6 алкила, гало, CN, ORa42, SRa42, C(O)Rb42, C(O)NRc42Rd42, C(O)ORa42, OC(O)Rb42, OC(O)NRc42Rd42, NRc42Rd42, NRc42C(O)Rb42, NRc42C(O)NRc42Rd42, NRc42C(O)ORa42, C(=NRe42)NRc42Rd42, NRc42C(=NRe42)NRc42Rd42, S(O)Rb42, S(O)NRc42Rd42, S(O)2Rb42, NRc42S(O)2Rb42, S(O)2NRc42Rd42 и оксо;

Ra42, Rb42, Rc42 и Rd42 каждый независимо выбирают из H, C1-6 алкила, C1-6 галоалкила, C2-6 алкенила, C2-6 алкинила, фенила, C3-7 циклоалкила, 5-6-членного гетероарила, 4-7-членного гетероциклоалкила, фенил-C1-3 алкила, 5-6-членного гетероарил-C1-3 алкила, C3-7 циклоалкил-C1-3 алкила и 4-7-членного гетероциклоалкил-C1-3 алкила, при этом указанный C1-6 алкил, C1-6 галоалкил, C2-6 алкенил, C2-6 алкинил, фенил, C3-7 циклоалкил, 5-6-членный гетероарил, 4-7-членный гетероциклоалкил, фенил-C1-3 алкил, 5-6-членный гетероарил-C1-3 алкил, C3-7 циклоалкил-C1-3 алкил и 4-7-членный гетероциклоалкил-C1-3 алкил, образующий Ra42, Rb42, Rc42 и Rd42, каждый, необязательно, замещен 1, 2 или 3 заместителями, независимо выбранными из OH, CN, амино, NH(C1-6 алкила), N(C1-6 алкил)2, гало, C1-6 алкила, C1-6 алкокси, C1-6 галоалкила, C1-6 галоалкокси и оксо;

или Rc42 и Rd42, присоединенные к одному и тому же атому N, вместе с атомом N, к которому они оба присоединены, образуют 4-, 5-, 6- или 7-членную гетероциклоалкильную группу или 5-членную гетероарильную группу, каждая из которых является незамещенной или замещенной 1, 2 или 3 заместителями, независимо выбранными из OH, CN, амино, NH(C1-6 алкила), N(C1-6 алкил)2, гало, C1-6 алкила, C1-6 алкокси, C1-6 галоалкила, C1-6 галоалкокси и оксо; и

Re41 и Re42 каждый независимо представляет собой H, CN или NO2.

В некоторых вариантах осуществления Cy4A представляет собой незамещенный или замещенный арил.

В некоторых вариантах осуществления Cy4A представляет собой незамещенный или замещенный фенил.

В некоторых вариантах осуществления Cy4A представляет собой замещенный фенил.

В некоторых вариантах осуществления Cy4A замещен по меньшей мере одним ORa41 или по меньшей мере одним C(=NRe41)NRc41Rd41, C(=NORa41)NRc41Rd41, C(=NOC(O)Rb41)NRc41Rd41 или C(=NRe41)NRc41C(O)ORa41.

В некоторых вариантах осуществления Cy4A замещен по меньшей мере одним ORa41 и по меньшей мере одним дополнительным заместителем, выбранным из группы, состоящей из C1-6 алкила, C1-6 галоалкила и галогена.

В некоторых вариантах осуществления Cy4A замещен по меньшей мере одним OH и по меньшей мере одним дополнительным заместителем, выбранным из группы, состоящей из C1-6 алкила, C1-6 галоалкила и галогена.

В некоторых вариантах осуществления Cy4A замещен по меньшей мере одним C(=NRe41)NRc41Rd41, C(=NORa41)NRc41Rd41, C(=NOC(O)Rb41)NRc41Rd41, C(=NRe41)NRc41C(O)ORa41, предпочтительно в положении 4.

В некоторых вариантах осуществления Cy4A замещен по меньшей мере одним C(=NRe41)NRc41Rd41, таким как C(=NH)NH2, предпочтительно в положении 4.

В некоторых вариантах осуществления Cy4A имеет любую из следующих формул:

В некоторых вариантах осуществления в формуле, определяющей Cy4A, Ra41 представляет собой C1-6 алкил, такой как метил, Rb41 представляет собой C1-6 алкил, такой как метил, Rb41 представляет собой C1-6 галоалкил, такой как трифторметил, и Rc41 представляет собой алкил, такой как метил.

В некоторых вариантах осуществления Cy4A представляет собой незамещенный или замещенный гетероарил.

В некоторых вариантах осуществления Cy4A представляет собой незамещенный или замещенный пиридин-3-ил, 1H-пирроло[2,3-b]пиридин-5-ил или 1H-бензо[d]имидазол-6-ил.

В некоторых вариантах осуществления Cy4A имеет любую из следующих формул:

В некоторых вариантах осуществления каждый RCy4A в формуле, определяющей Cy4A, независимо представляет собой C1-6 алкил, такой как метил или этил, предпочтительно метил, или галоген, такой как F, Cl или Br, предпочтительно Cl.

В некоторых вариантах осуществления каждый RCy4A, присоединенный к азоту в формуле, определяющей Cy4A, представляет собой C1-6 алкил, такой как метил или этил.

В некоторых вариантах осуществления R41 представляет собой C1-6 алкил.

В некоторых вариантах осуществления R41 представляет собой H.

В некоторых вариантах осуществления R41 представляет собой метил.

В некоторых вариантах осуществления R42 представляет собой H.

В некоторых вариантах осуществления R42 представляет собой незамещенный C1-6 алкил, такой как метил.

В некоторых вариантах осуществления R42 представляет собой Cy4B.

В некоторых вариантах осуществления R42 представляет собой замещенный C1-6 алкил, C2-6 алкенил или C2-6 алкинил.

В некоторых вариантах осуществления R42 представляет собой замещенный C1-6 алкил.

В некоторых вариантах осуществления R42 представляет собой замещенный C1-6 алкил, при этом C1-6 алкил, образующий R42, замещен 1, 2 или 3 заместителями, выбранными из группы, состоящей из Cy4B, галогена, CN, ORa41, SRa41, C(O)Rb41, C(O)NRc41Rd41, C(O)ORa41, OC(O)Rb41, OC(O)NRc41Rd41, NRc41Rd41, NRc41C(O)Rb41, NRc41C(O)NRc41Rd41, NRc41C(O)ORa41, C(=NRe41)NRc41Rd41, NRc41C(=NRe41)NRc41Rd41, S(O)Rb41, S(O)NRc41Rd41, S(O)2Rb41, NRc41S(O)2Rb41, S(O)2NRc41Rd41 и оксо; при условии, что не более чем один из заместителей представляет собой Cy4B.

В некоторых вариантах осуществления замещенный C1-6 алкил, образующий R42, замещен по меньшей мере одним заместителем, при этом заместители включают Cy4B.

В некоторых вариантах осуществления замещенный C1-6 алкил, образующий R35, замещен одним заместителем, при этом заместитель представляет собой Cy4B.

В некоторых вариантах осуществления R42 представляет собой (CH2)1-5Cy4B.

В некоторых вариантах осуществления R42 представляет собой CH2Cy4B.

В некоторых вариантах осуществления Cy4B представляет собой незамещенный C6-10 арил, такой как незамещенный фенил или нафтил, например, 1-нафтил или 2-нафтил, Cy4B представляет собой незамещенный 5-10-членный гетероарил, такой как незамещенный пиридил, например, незамещенный 2-, 3- или 4-пиридил, незамещенный хинолил, такой как незамещенный 2-, 3-, 4-, 5-, 6-, 7- или 8-хинолил, незамещенный бензо[b]тиофенил, такой как незамещенный 2-, 3-, 4-, 5-, 6- или 7-бензо[b]тиофенил, или незамещенный индолил, такой как незамещенный индол-2-ил, -3-ил, -4-ил, -5-ил, -6-ил или -7-ил, Cy4B представляет собой незамещенный C3-10 циклоалкил, такой как циклопропил, циклобутил, циклопентил, циклогексил или циклогептил, или Cy4B представляет собой незамещенный 4-10-членный гетероциклоалкил.

В некоторых вариантах осуществления Cy4B представляет собой замещенный C6-10 арил, такой как замещенный фенил или нафтил, например, 1-нафтил или 2-нафтил, Cy4B представляет собой замещенный 5-10-членный гетероарил, такой как замещенный пиридил, например, замещенный 2-, 3- или 4-пиридил, замещенный хинолил, такой как замещенный 2-, 3-, 4-, 5-, 6-, 7- или 8-хинолил, замещенный бензо[b]тиофенил, такой как замещенный 2-, 3-, 4-, 5-, 6- или 7-бензо[b]тиофенил, или замещенный индолил, такой как замещенный индол-2-ил, -3-ил, -4-ил, -5-ил, -6-ил или -7-ил, Cy4B представляет собой замещенный C3-10 циклоалкил, такой как циклопропил, циклобутил, циклопентил, циклогексил или циклогептил, или Cy4B представляет собой замещенный 4-10-членный гетероциклоалкил.

В некоторых вариантах осуществления R41 и R42, совместно с атомами, к которым они присоединены, и атомом азота, связывающим атомы, к которым R41 и R42 присоединены, образуют 4-7-членное гетероциклоалкильное кольцо; которое, необязательно, дополнительно замещено 1, 2, 3, 4 или 5 заместителями, каждый из которых независимо выбирают из RCy4B, галогена, C1-6 галоалкила, CN, ORa41, SRa41, C(O)Rb41, C(O)NRc41Rd41, C(O)ORa41, OC(O)Rb41, OC(O)NRc41Rd41, NRc41Rd41, NRc41C(O)Rb41, NRc41C(O)NRc41Rd41, NRc41C(O)ORa41, C(=NRe41)NRc41Rd41, C(=NORa41)NRc41Rd41, C(=NOC(O)Rb41)NRc41Rd41, C(=NRe41)NRc41C(O)ORa41, NRc41C(=NRe41)NRc41Rd41, S(O)Rb41, S(O)NRc41Rd41, S(O)2Rb41, NRc41S(O)2Rb41, S(O)2NRc41Rd41 и оксо.

В некоторых вариантах осуществления R41 и R42, совместно с атомами, к которым они присоединены, и атомом азота, связывающим атомы, к которым R41 и R42 присоединены, образуют 5 или 6-членное гетероциклоалкильное кольцо.

В некоторых вариантах осуществления соединение имеет любую из следующих формул (IV-1), (IV-2), (IV-1a), (IV-1b), (IV-2a) или (IV-2b).

В некоторых вариантах осуществления R43 представляет собой Cy4C.

В некоторых вариантах осуществления R43 представляет собой незамещенный C1-6 алкил.

В некоторых вариантах осуществления R43 представляет собой замещенный C1-6 алкил.

В некоторых вариантах осуществления замещенный C1-6 алкил, образующий R43, замещен по меньшей мере одним заместителем, независимо выбранным из: 1, 2 или 3 заместителей, выбранных из группы, состоящей из Cy4C, галогена, CN, ORa41, SRa41, C(O)Rb41, C(O)NRc41Rd41, C(O)ORa41, OC(O)Rb41, OC(O)NRc41Rd41, NRc41Rd41, NRc41C(O)Rb41, NRc41C(O)NRc41Rd41, NRc41C(O)ORa41, C(=NRe41)NRc41Rd41, NRc41C(=NRe41)NRc41Rd41, S(O)Rb41, S(O)NRc41Rd41, S(O)2Rb41, NRc41S(O)2Rb41, S(O)2NRc41Rd41 и оксо.

В некоторых вариантах осуществления замещенный C1-6 алкил, образующий R43, замещен по меньшей мере одним заместителем, при этом заместители включают Cy4C.

В некоторых вариантах осуществления замещенный C1-6 алкил, образующий R43, замещен одним заместителем, при этом заместитель представляет собой Cy4C.

В некоторых вариантах осуществления R43 представляет собой (CH2)1-5Cy4C.

В некоторых вариантах осуществления R43 представляет собой CH2Cy4C.

В некоторых вариантах осуществления R43 представляет собой CH2CH2Cy4C.

В некоторых вариантах осуществления R43 представляет собой CF2Cy4C или CF2CH2Cy4C.

В некоторых вариантах осуществления Cy4C представляет собой незамещенный C6-10 арил, такой как фенил, 1-нафтил или 2-нафтил.

В некоторых вариантах осуществления Cy4C представляет собой незамещенный 5-10-членный гетероарил, такой как незамещенный пиридил, например, незамещенный 2-, 3- или 4-пиридил, незамещенный хинолил, такой как незамещенный 2-, 3-, 4-, 5-, 6-, 7- или 8-хинолил, незамещенный бензо[b]тиофенил, такой как незамещенный 2-, 3-, 4-, 5-, 6- или 7-бензо[b]тиофенил, или незамещенный индолил, такой как незамещенный индол-2-ил, -3-ил, -4-ил, -5-ил, -6-ил или -7-ил.

В некоторых вариантах осуществления Cy4C представляет собой незамещенный C3-10 циклоалкил, такой как циклопропил, циклобутил, циклопентил, циклогексил или циклогептил.

В некоторых вариантах осуществления Cy4C представляет собой незамещенный 4-10-членный гетероциклоалкил.

В некоторых вариантах осуществления Cy4C представляет собой замещенный C6-10 арил, такой как замещенный фенил, замещенный 1-нафтил или замещенный 2-нафтил.

В некоторых вариантах осуществления Cy4C представляет собой замещенный 5-10-членный гетероарил, такой как замещенный пиридил, например, замещенный 2-, 3- или 4-пиридил, замещенный хинолил, такой как замещенный 2-, 3-, 4-, 5-, 6-, 7- или 8-хинолил, замещенный бензо[b]тиофенил, такой как замещенный 2-, 3-, 4-, 5-, 6- или 7-бензо[b]тиофенил, или замещенный индолил, такой как замещенный индол-2-ил, -3-ил, -4-ил, -5-ил, -6-ил или -7-ил.

В некоторых вариантах осуществления Cy4C представляет собой замещенный C3-10 циклоалкил, такой как замещенный циклопропил, циклобутил, циклопентил, циклогексил или циклогептил.

В некоторых вариантах осуществления Cy4C представляет собой замещенный 4-10-членный гетероциклоалкил.

В некоторых вариантах осуществления соединение имеет любую из следующих формул (IV-3)-(IV-7), (IV-3a), (IV-3b), (IV-5a), (IV-5b), (IV-7a) или (IV-7b):

В некоторых вариантах осуществления Ra41, Rb41, Rc41, Rd41, Ra42, Rb42, Rc42 и Rd42 каждый независимо выбирают из H и C1-6 алкила.

В некоторых вариантах осуществления каждый Re41 и каждый Re42 представляет собой H.

В некоторых вариантах осуществления соединения формулы (IV), и их варианты осуществления, могут иметь форму соли, такой как фармацевтически приемлемая соль.

Соединения формулы (IV), и их варианты осуществления, полезны в качестве ингибиторов MASP-2 и для терапевтического применения. Соединения формулы (IV), и их варианты осуществления, могут быть использованы в лечении MASP-2-связанных заболеваний и нарушений, а также в производстве лекарственных препаратов для лечения MASP-2-связанных заболеваний и нарушений. Настоящее изобретение также относится к способам лечения MASP-2-связанного заболевания и нарушения, включающим введение пациенту терапевтически эффективного количества соединения формулы (IV), или его варианта осуществления, необязательно, в форме соли.

В некоторых вариантах осуществления соединение формулы (IV), или его вариант осуществления, предоставляют в форме фармацевтической композиции, содержащей соединение или его соль, такую как фармацевтически приемлемая соль, и по меньшей мере один фармацевтически приемлемый носитель или эксципиент.

В конкретных аспектах соединение представляет собой одно или более соединений, выбранных из соединений формулы (IV), описанных в примерах, включая соединения, перечисленные в Таблице 31 (например, соединения с избирательностью для MASP-2 относительно тромбина). В конкретных аспектах одну или более из переменных, определяющих соединения формулы (IV) (например, Cy4A, RCy4A, Cy4B, RCy4B, Cy4C, RCy4C, R41, R42, R43, Ra41, Rb41, Rc41, Rd41, Re41, Ra42, Rb42, Rc42, Rd42 и Re42), выбирают из соответствующих заместителей в соединениях формулы (IV), описанных в примерах, включая соединения, перечисленные в Таблице 31, предпочтительно, соединения с избирательностью для MASP-2 относительно тромбина.

В конкретных аспектах изобретения предложен стереохимически чистый энантиомер или диастереомер (например, оптически активное соединение с одним или более хиральными центрами). Если специально не указано иное, для любого соединения по изобретению с одним или более стереоцентрами настоящее изобретение должно включать и описывать как чистые (+) и (-) энантиомеры, любые другие диастереомеры, смеси, обогащенные по энантиомеру или диастереомеру (например, имеющие 10%, 20%, 30%, 40%, 50%, 60%, 70% 75%, 80%, 85, 90% или 95% энантиомерный или диастереомерный избыток), так и рацемическую смесь энантиомеров или диастереомеров.

В конкретных аспектах изобретения предложена фармацевтически приемлемая соль указанной химической структуры (например, гидрогалогенид, такой как гидрохлорид или дигидрохлорид). Примеры фармацевтически приемлемых солей приведены, например, в публикации Burge, S. M. et al., J. Pharm. Sci 1977, 66, 1-19. Они включают хлориды, бромиды, иодиды, форматы, ацетаты, пропионаты, оксалаты, малонаты, сукцинаты, фумараты, малеаты, тартраты, цитраты, бензоаты, фталаты, сульфонаты, арилсульфонаты, алкилсульфонаты, соли жирных кислот, и тому подобное. Соли могут быть получены различными способами, известными квалифицированному специалисту, включая осаждение конъюгированной кислотой или основанием (например, обработку газообразной HCl или раствором HCl).

В конкретных аспектах изобретения предложено пролекарство. Пролекарство представляет собой соединение, которое превращается в биологически активную форму в физиологических условиях, часто в результате гидролиза, окисления или восстановления (например, сложного эфира в форму кислоты; карбамата в амино- или гидроксильную группу; гидроксиамидина в амидин). Иллюстративные пролекарства приведены, например, в публикациях Tilley, J.W., «Prodrugs of Benzamide», Prodrugs 2007, 191-222; Peterlin-Masic et al. Curr. Pharma. Design 2006, 12, 73-91. Пролекарства для амидиновой группы включают амидоксимы, O-алкиламидоксимы, ациламидины, карбаматы, 1,2,4-оксадиазолин-4-оны, и тому подобное.

В конкретных аспектах соединение может быть использовано для избирательного ингибирования MASP-2 относительно тромбина, при этом способ включает введение соединения, описанного в настоящем документе. В конкретных аспектах соотношение избирательности для пары MASP-2:тромбин составляет по меньшей мере 1,1:1, 1,25:1, 1,5:1, 1,75:1, 2:1, 3:1, 4:1, 5:1, 6:1, 7:1, 8:1, 9:1, 10:1, 11:1, 12:1, 13:1, 14:1, 15:1, 16:1, 17:1, 18:1, 19:1, 20:1, 21:1, 22:1, 23:1, 24:1, 25:1 или 30:1.

E. Соединения формул VA, VB, VIA, VIB, VIIA и VIIB.

1. Дополнительные химические определения

Следующие определения применяют в настоящем разделе (II) (E) настоящего документа и в формуле изобретения, относящейся к соединениям формул (VA), (VB), (VIA), (VIB), (VIIA) и (VIIB), раскрытым в настоящем документе.

Термин «алкокси» относится к насыщенному или ненасыщенному углеводороду с неразветвленной или разветвленной цепью, содержащему по меньшей мере один атом кислорода в эфирной группе (например, EtO-). Цепь может содержать указанное количество атомов углерода. Например, «C1-C12 алкокси» указывает, что группа может иметь от 1 до 12 (включительно) атомов углерода и по меньшей мере один атом кислорода. Примеры C1-C12 алкокси групп включают, но без ограничения, метокси, этокси, изопропокси, бутокси, н-пентокси, изопентокси, неопентокси и гексокси.

Термин «алкил» означает алифатическую углеводородную цепь, которая может быть неразветвленной или разветвленной. Цепь может иметь указанное количество атомов углерода: например, C1-C12 указывает, что группа может иметь от 1 до 12 (включительно) атомов углерода. Если не указано иное, алкильная группа имеет от примерно 1 до примерно 20 атомов углерода. В одном аспекте алкильные группы имеют от 1 до примерно 12 атомов углерода в цепи. В другом аспекте алкильные группы («низший алкил») имеют от 1 до примерно 6 атомов углерода в цепи. Примеры могут включать, но без ограничения, метил, этил, пропил, изопропил (iPr), 1-бутил, 2-бутил, изобутил (iBu), трет-бутил, пентил, 2-метилбутил, 1,1-диметилпропил, гексил, гептил, октил, нонил, децил, додецил, циклопентил или циклогексил. В одном аспекте алкильная группа может исключать метил (например, 2-6 атомов углерода в цепи).

Используемый в настоящем документе термин «арил» означает циклические ароматические углеродные кольцевые системы, содержащие от 6 до 18 атомов углерода. Примеры арильной группы включают, но без ограничения, фенил, нафтил, антраценил, тетраценил, бифенил и фенантренил.

Термины «арилалкил» и «аралкил», используемые взаимозаменяемо, означают алкильную группу, определение которой дано в настоящем документе, в которой по меньшей мере один водородный заместитель был заменен арильной группой, определение которой дано в настоящем документе. Примеры включают, но без ограничения, бензил, 1-фенилэтил, 4-метилбензил и 1,1,-диметил-1-фенилметил.

Используемый в настоящем документе термин «циклоалкил» означает циклицескую углеводородную группу, которая может содержать указанное количество атомов углерода: например, C3-C12 указывает, что группа может иметь от 3 до 12 (включительно) атомов углерода. Если не указано иное, циклоалкильная группа включает от примерно 3 до примерно 20 атомов углерода. В одном аспекте циклоалкильные группы имеют от 3 до примерно 12 атомов углерода в группе. В другом аспекте циклоалкильные группы имеют от 3 до примерно 7 атомов углерода в группе. Примеры могут включать, но без ограничения, циклопропил, циклобутил, циклопентил, циклогексил, 4,4-диметилциклогексил и циклогептил.

Используемый в настоящем документе термин «гало», или «галоген», означает фтор, хлор, бром или иод. В одном аспекте термин «гало» означает фтор или хлор (предпочтительно хлор).

Термин «гетероарил» означает моно- и бициклические ароматические группы, содержащие от примерно 4 до примерно 14 кольцевых атомов (например, 4-10 или 5-10 атомов), включающих по меньшей мере один гетероатом. Гетероатом, при использовании в термине «гетероарил», означает кислород, серу и азот. Атом азота гетероарила, необязательно, окислен до соответствующего N-оксида. Примеры включают, но без ограничения, пиразинил, фуранил, тиенил, пиридил, пиримидинил, изоксазолил, изотиазолил, оксазолил, тиазолил, пиразолил, фуразанил, пирролил, пиразолил, триазолил, 1,2,4-тиадиазолил, пиразинил, пиридазинил, хиноксалинил, фталазинил, имидазо[1,2-a]пиридин, имидазо[2,1-b]тиазолил, бензофуразанил, индолил, азаиндолил, бензимидазолил, бензотиенил, хинолинил, имидазолил, тиенопиридил, хиназолинил, тиенопиримидил, пирролопиридил, имидазопиридил, изохинолинил, бензоазаиндолил, 1,2,4-триазинил и бензотиазолил.

Используемый в настоящем документе термин «гетероциклил» означает неароматическую насыщенную моноциклическую или полициклическую кольцевую систему, имеющую от примерно 4 до примерно 10 кольцевых атомов (например, от 5 до примерно 8 кольцевых атомов или от 5 до примерно 6 кольцевых атомов), при этом один или более из атомов в кольцевой системе представляет собой элемент, или элементы, отличные от углерода, например, азот, кислород или серу. Гетероциклильная группа, необязательно, содержит по меньшей мере один sp2-гибридизованный атом (например, кольцо, имеющее в составе карбонил, эндоциклический олефин или экзоциклический олефин). В некоторых вариантах осуществления атом азота или серы в гетероциклиле, необязательно, окислен до соответствующего N-оксида, S-оксида или S, S-диоксида. Примеры моноциклических гетероциклильных колец включают, но без ограничения, пиперидил, пирролидинил, пиперазинил, морфолинил, тиоморфолинил, тиазолидинил, 1,3-диоксоланил, 1,4-диоксанил, тетрагидрофуранил, тетрагидротиофенил и тетрагидротиопиранил.

Используемый в настоящем документе термин «гидроксиалкил» означает алкильную группу, в которой по меньшей мере один водородный заместитель заменен спиртовой (-OH) группой. В конкретных аспектах гидроксиалкильная группа имеет одну спиртовую группу. В конкретных аспектах гидроксиалкильная группа имеет одну или две спиртовые группы, все на разных атомах углерода. В конкретных аспектах гидроксиалкильная группа имеет 1, 2, 3, 4, 5 или 6 спиртовых групп. Примеры могут включать, но без ограничения, гидроксиметил, 2-гидроксиэтил и 1-гидроксиэтил.

Термин «гипертонический» относится к препарату с осмотическим давлением, превышающим таковое у человека (то есть, превышающим 350 мОсмол/кг).

Когда любые две группы, или два представителя одной и той же группы, заместителей «независимо выбирают» из списка альтернативных вариантов, группы могут быть одинаковыми или разными. Например, если Ra и Rb независимо выбирают из группы, состоящей из алкила, фтора, амино и гидроксиалкила, тогда в молекуле с двумя группами Ra и двумя группами Rb все группы могут представлять собой алкильные группы (например, четыре разные алкильные группы). Альтернативно, первый Ra может представлять собой алкил, второй Ra может представлять собой фтор, первый Rb может представлять собой гидроксиалкил, и второй Rb может представлять собой амино (или любые другие заместители из данной группы). Альтернативно, как Ra, так и первый Rb, может представлять собой фтор, в то время как второй Rb может представлять собой алкил (то есть, некоторые пары из групп заместителей могут быть одинаковыми, в то время как другие пары могут быть разными).

Используемый в настоящем документе термин «соль» означает кислотную или основную соль соединения, например, ZNA или другой 2-(ациламино)имидазол. Иллюстративными примерами фармацевтически приемлемых солей являются катионные соли, такие как соли щелочных и щелочноземельных металлов (таких как натрий, литий, калий, кальций и магний), соли аммония (аммония, триметиламмония, диэтиламмония и трис(гидроксиметил)метиламмония), соли минеральной кислоты (хлористоводородной кислоты, бромистоводородной кислоты, фосфорной кислоты и тому подобное), соли органической карбоновой кислоты (уксусной кислоты, пропионовой кислоты, глутаминовой кислоты, лимонной кислоты и тому подобное), соли органической сульфоновой кислоты (метансульфоновой кислоты) и соли четвертичного аммония (метилиодид, этилиодид и тому подобное). Дополнительную информацию о подходящих фармацевтически приемлемых солях можно найти в сборнике Remington's, Pharmaceutical Sciences (current edition), Mack Publishing Co., Easton, PA, содержание которого включено в настоящий документ посредством ссылки.

Термины «его соль» или «его соли» могут быть применены к любому предшествующему представителю связанной группы Маркуша. Например, группа, состоящая из A, B, C и их солей, будет включать варианты осуществления, которые представляют собой соль A, варианты осуществления, которые представляют собой соль B, и варианты осуществления, которые представляют собой соль C.

2. Соединения формулы VA и VB

В конкретных аспектах настоящее изобретение относится к соединению формулы (VA) или (VB):

или его соли; где:

A1 представляет собой компонент, выбранный из группы, состоящей из -(C=NH)-, -(C=NORa)-, -[C=NO(C=O)Ra]-, -[C=N[O(C=O)ZRb]}-, конденсированного 5- или 6-членного гетероциклила и конденсированного 5- или 6-членного гетероарила;

когда A1 представляет собой -(C=NH)-, Y1 выбирают из группы, состоящей из -NH2, -NH(C=O)Ra и - NH(C=O)ZRb;

когда A1 представляет собой -(C=NORa)-, -[C=NO(C=O)Ra]- или -{C=N[O(C=O)ZRb]}-, Y1 представляет собой -NH2;

когда A1 представляет собой конденсированный гетероциклил или гетероарил, Y1 представляет собой -NH2 или гало, и A1 замещен m дополнительными группами R1;

каждый Ra и Rb независимо выбирают из группы, состоящей из C1-C6 алкила, C3-C10 циклоалкила, C6-C10 арила и C7-C12 арилалкила; при этом Ra имеет m заместителей, выбранных из группы, состоящей из C1-C6 алкила, гидроксила, гидроксил(C1-C6 алкила), C1-C6 алкокси, C2-C9 алкоксиалкила, амино, C1-C6 алкиламино и гало; или, альтернативно, Ra и Rb соединяются, образуя гетероциклильное кольцо с m заместителями, выбранными из группы, состоящей из C1-C6 алкила, гидроксила, C1-C6 алкокси и гало;

каждый Z независимо выбирают из группы, состоящей из O и S;

A2 представляет собой компонент, выбранный из группы, состоящей из C3-C6 гетероарила, C6 арила и C2-C6 алкила;

когда A2 представляет собой C3-C6 гетероарил, Y2 выбирают из группы, состоящей из -NH2, - CH2NH2, хлора, -(C=NH)NH2, -(C=NH)NH(C=O)Ra, -(C=NH)NH(C=O)ZRb, -(C=NORa)NH2, -[C=NO(C=O)Ra]NH2, и -{C=N[O(C=O)ZRb]}NH2; и A2 замещен m дополнительными группами R1;

когда A2 представляет собой C6 арил, Y2 выбирают из группы, состоящей из аминометила, гидрокси и гало, и A2 замещен m дополнительными группами R1;

когда A2 представляет собой C2-C6 алкил, Y2 выбирают из группы, состоящей из -NH(C=NH)NH2, -NH(C=NH)NH(C=O)Ra и -NH(C=NH)NH(C=O)ZRb;

каждый R1 представляет собой компонент, независимо выбранный из группы, состоящей из C1-C6 алкила, гидроксила, C1-C6 алкокси, амино, C1-C6 алкиламино и гало;

каждый m и n представляет собой независимо выбранное целое число от 0 до 3;

L представляет собой -(O)p-(C(R2a)(R2b))q-,

каждый R2a или R2b представляет собой компонент, независимо выбранный из группы, состоящей из водорода и фтора;

p представляет собой целое число от 0 до 1;

q представляет собой целое число от 1 до 2;

R3 представляет собой компонент, выбранный из группы, состоящей из водорода, C1-C6 алкила, C1-C6 фторалкила и карбокси(C1-C6 алкила); или, альтернативно, R3 и R4 соединяются, образуя азетидиновое, пирролидиновое или пиперидиновое кольцо;

R4 представляет собой компонент, выбранный из группы, состоящей из водорода и C1-C6 алкила; или, альтернативно, R4 и R3 соединяются, образуя азетидиновое, пирролидиновое или пиперидиновое кольцо;

R5 представляет собой компонент, выбранный из группы, состоящей из C3-C7 циклоалкила, C4-C8 циклоалкилалкила, гетероарила, а также C7-C12 арилалкила или гетероарилалкила, с 0-3 заместителями R13; или, альтернативно R5 и R6 соединяются, образуя гетероциклическое кольцо с 0-3 заместителями R13;

R6 представляет собой компонент, выбранный из группы, состоящей из водорода, C1-C6 алкила, C3-C7 циклоалкила, карбокси(C1-C6 алкила), C7-C12 арилалкила или гетероарилалкила с 0-3 заместителями R13, амино(C1-C8 алкила); и амидо(C1-C8 алкила); или, альтернативно, R6 и R5 соединяются, образуя гетероциклильное кольцо с 0-3 заместителями R13; и

каждый R13 представляет собой компонент, независимо выбранный из группы, состоящей из C1-C6 алкила, C6-C10 арила, (C6-C10 арил)C1-C6 алкила, карбокси(C1-C6 алкилокси), гетероарила, (C6-C10 гетероарил)C1-C6 алкила, гетероциклила, гидроксила, гидроксил(C1-C6 алкила), C1-C6 алкокси, C2-C9 алкоксиалкила, амино, C1-C6 амидо, C1-C6 алкиламино и гало; или, альтернативно, две группы R13 соединяются, образуя конденсированное C6-C10 арильное, C6-C10 гетероарильное или C5-C7 циклоалкильное кольцо.

В конкретных аспектах настоящее изобретение относится к соединению формулы (VA) или (VB):

или его соли; где:

A1 представляет собой компонент, выбранный из группы, включающей -(C=NH)-, -(C=NORa)-, -[C=NO(C=O)Ra]-, -[C=N[O(C=O)ZRb]}-, конденсированный 5- или 6-членный гетероциклил и конденсированный 5- или 6-членный гетероарил;

когда A1 представляет собой -(C=NH)-, Y1 выбирают из группы, включающей -NH2, -NH(C=O)Ra и - NH(C=O)ZRb;

когда A1 представляет собой -(C=NORa)-, -[C=NO(C=O)Ra]- или -{C=N[O(C=O)ZRb]}-, Y1 представляет собой -NH2;

когда A1 представляет собой конденсированный гетероциклил или гетероарил, Y1 представляет собой -NH2 или гало, и A1 замещен m дополнительными группами R1;

каждый Ra и Rb независимо выбирают из группы, включающей C1-C6 алкил, C3-C10 циклоалкил, C6-C10 арил и C7-C12 арилалкил; при этом Ra имеет m заместителей, выбранных из группы, включающей C1-C6 алкил, гидроксил, гидроксил(C1-C6 алкил), C1-C6 алкокси, C2-C9 алкоксиалкил, амино, C1-C6 алкиламино и гало; или, альтернативно, Ra и Rb соединяются, образуя гетероциклильное кольцо с m заместителями, выбранными из группы, включающей C1-C6 алкил, гидроксил, C1-C6 алкокси и гало;

каждый Z независимо выбирают из группы, включающей O и S;

A2 представляет собой компонент, выбранный из группы, включающей C3-C6 гетероарил, C6 арил и C2-C6 алкил;

когда A2 представляет собой C3-C6 гетероарил, Y2 выбирают из группы, включающей -NH2, - CH2NH2, хлор, -(C=NH)NH2, -(C=NH)NH(C=O)Ra, -(C=NH)NH(C=O)ZRb, -(C=NORa)NH2, -[C=NO(C=O)Ra]NH2 и -{C=N[O(C=O)ZRb]}NH2; и A2 замещен m дополнительными группами R1;

когда A2 представляет собой C6 арил, Y2 выбирают из группы, включающей аминометил, гидрокси и гало, и A2 замещен m дополнительными группами R1;

когда A2 представляет собой C2-C6 алкил, Y2 выбирают из группы, включающей -NH(C=NH)NH2, -NH(C=NH)NH(C=O)Ra и -NH(C=NH)NH(C=O)ZRb;

каждый R1 представляет собой компонент, независимо выбранный из группы, включающей C1-C6 алкил, гидроксил, C1-C6 алкокси, амино, C1-C6 алкиламино и гало;

каждый m и n представляет собой независимо выбранное целое число от 0 до 3;

L представляет собой -(O)p-(C(R2a)(R2b))q-,

каждый R2a или R2b представляет собой компонент, независимо выбранный из группы, включающей водород и фтор;

p представляет собой целое число от 0 до 1;

q представляет собой целое число от 1 до 2;

R3 представляет собой компонент, выбранный из группы, включающей водород, C1-C6 алкил, C1-C6 фторалкил и карбокси(C1-C6 алкил); или, альтернативно, R3 и R4 соединяются, образуя азетидиновое, пирролидиновое или пиперидиновое кольцо;

R4 представляет собой компонент, выбранный из группы, включающей водород и C1-C6 алкил; или, альтернативно, R4 и R3 соединяются, образуя азетидиновое, пирролидиновое или пиперидиновое кольцо;

R5 представляет собой компонент, выбранный из группы, включающей C3-C7 циклоалкил, C4-C8 циклоалкилалкил, гетероарил и C7-C12 арилалкил или гетероарилалкил с 0-3 заместителями R13; или, альтернативно, R5 и R6 соединяются, образуя гетероциклическое кольцо с 0-3 заместителями R13;

R6 представляет собой компонент, выбранный из группы, включающей водород, C1-C6 алкил, C3-C7 циклоалкил, карбокси(C1-C6 алкил), C7-C12 арилалкил или гетероарилалкил с 0-3 заместителями R13, амино(C1-C8 алкил) и амидо(C1-C8 алкил); или, альтернативно, R6 и R5 соединяются, образуя гетероциклическое кольцо с 0-3 заместителями R13; и

каждый R13 представляет собой компонент, независимо выбранный из группы, включающей C1-C6 алкил, C6-C10 арил, карбокси(C1-C6 алкилокси), гетероарил, гетероциклил, гидроксил, гидроксил(C1-C6 алкил), C1-C6 алкокси, C2-C9 алкоксиалкил, амино, C1-C6 амидо, C1-C6 алкиламино и гало; или, альтернативно, две группы R13 соединяются, образуя конденсированное C6-C10 арильное, C6-C10 гетероарильное или C5-C7 циклоалкильное кольцо,

при условии, что соединение не является мелагатраном.

В конкретных аспектах соединение имеет формулу VA.

В конкретных аспектах A1 представляет собой -(C=NH)-. В конкретных аспектах A1 представляет собой -NH(C=O)Ra. В конкретных аспектах A1 представляет собой - NH(C=O)ZRb. В конкретных аспектах Z представляет собой O, S или N.

В конкретных аспектах A1 представляет собой -(C=NH)-. В конкретных аспектах Y1 представляет собой -NH2. В конкретных аспектах Y1 представляет собой -NH(C=O)Ra. В конкретных аспектах Y1 представляет собой - NH(C=O)ZRb.

В конкретных аспектах A1 представляет собой -(C=NORa)-. В конкретных аспектах Y1 представляет собой -NH2. В конкретных аспектах Y1 представляет собой -NH(C=O)Ra. В конкретных аспектах Y1 представляет собой - NH(C=O)ZRb.

В конкретных аспектах Ra или Rb представляет собой C1-C6 алкил, такой как метил, этил, н-пропил, изопропил, н-бутил или трет-бутил. В конкретных аспектах Ra или Rb представляет собой C3-C10 циклоалкил, такой как циклогексил, циклопентил или циклопропил. В конкретных аспектах Ra или Rb представляет собой C6-C10 арил, такой как фенил или замещенный фенил (например, 4-метоксифенил). В конкретных аспектах Ra или Rb представляет собой C7-C12 арилалкил, такой как бензил или 4-метоксибензил.

В конкретных аспектах A1 представляет собой конденсированный гетероарил. В конкретных аспектах A1 представляет собой хинолон. В конкретных аспектах A1 представляет собой изохинолин. В конкретных аспектах A1 представляет собой бензимидазол. В конкретных аспектах Y1 представляет собой -NH2.

В конкретных аспектах Y1 представляет собой-NH2.

В конкретных аспектах соединение имеет формулу VB.

В конкретных аспектах A2 представляет собой C6 арил. В конкретных аспектах A2 представляет собой C3-C6 гетероарил.

В конкретных аспектах A2 замещен m дополнительными группами R1, такими как гало, гидроксил, C2-C6 алкил или C1-C4 метокси.

В конкретных аспектах Y2 представляет собой гало (например, хлор). В конкретных аспектах Y2 представляет собой 3-хлор. В конкретных аспектах Y2 представляет собой аминометил (например, 4-аминометил).

В конкретных аспектах A2 представляет собой C2-C6 алкил.

В конкретных аспектах Y2 представляет собой -NH(C=NH)NH2.

В конкретных аспектах Y2 выбирают из группы, состоящей из -NH(C=NH)NH2, -NH(C=NH)NH(C=O)Ra и -NH(C=NH)NH(C=O)ZRb. В конкретных аспектах Y2 представляет собой -NH(C=NH)NH2. В конкретных аспектах Y2 представляет собой -NH(C=NH)NH(C=O)Ra. В конкретных аспектах Y2 представляет собой -NH(C=NH)NH(C=O)ZRb.

В конкретных аспектах соединение имеет R3 стереохимию

В конкретных аспектах R3 представляет собой компонент, выбранный из группы, включающей водород или метил. В конкретных аспектах R3 представляет собой водород. В конкретных аспектах R3 представляет собой метил.

В конкретных аспектах R4 представляет собой компонент, выбранный из группы, включающей водород или метил. В конкретных аспектах R4 представляет собой водород.

В конкретных аспектах R3 и R4 соединяются, образуя азетидиновое, пирролидиновое или пиперидиновое кольцо. В конкретных аспектах R3 и R4 соединяются, образуя пирролидиновое кольцо. В конкретных аспектах R3 и R4 соединяются, образуя пиперидиновое кольцо.

В конкретных аспектах R5 представляет собой компонент, выбранный из группы, включающей 2,3-дигидро-1H-инден-2-ил, циклогексил, циклогексилметил, фенил, бензил, фенэтил и фенпропил с 0-3 заместителями R13.

В конкретных аспектах R5 представляет собой компонент, выбранный из группы, включающей фенэтил, 4-метилфенэтил, 4-хлорфенэтил, 4-фторфенэтил и фенпропил. В конкретных аспектах R5 представляет собой компонент, выбранный из группы, включающей фенэтил, 4-метилфенэтил, 4-хлорфенэтил, 4-фторфенэтил, 3-метилфенэтил, 3-хлорфенэтил, 3-фторфенэтил, 2-метилфенэтил, 2-хлорфенэтил, 2-фторфенэтил, фенпропил, 4-метилфенпропил, 4-хлорфенпропил, 4-фторфенпропил, 3-метилфенпропил, 3-хлорфенпропил, 3-фторфенпропил, 2-метилфенпропил, 2-хлорфенпропил и 2-фторфенпропил.

В конкретных аспектах R6 представляет собой компонент, выбранный из группы, включающей амино(C1-C8 алкил) и C7-C12 арилалкил с 0-3 заместителями R13.

В конкретных аспектах R6 представляет собой компонент, выбранный из группы, включающей водород и карбоксиметил.

В конкретных аспектах R6 и R5 соединяются, образуя пирролидиновое, октагидро-1H-индольное, 3-фенилпирролидиновое, пиперидиновое, 1,2,3,4-тетрагидроизохинолиновое, 2,5-дигидро-1H-пиррольное или 1,2,3,6-тетрагидропиридиновое кольцо.

В конкретных аспектах R1 представляет собой гидроксил или C1-C6 алкокси. В конкретных аспектах R1 представляет собой гидроксил (например, 2-гидрокси; 3-гидрокси). В конкретных аспектах R1 представляет собой метокси (например, 2-метокси).

В конкретных аспектах m равен 0. В конкретных аспектах m равен 1. В конкретных аспектах n равен 0. В конкретных аспектах n равен 1. В конкретных аспектах и m, и n равны 0.

В конкретных аспектах p равен 0. В конкретных аспектах p равен 1.

В конкретных аспектах q равен 1. В конкретных аспектах p равен 0, и q равен 1.

В конкретных аспектах каждый R2a или R2b представляет собой водород. В конкретных аспектах L представляет собой метилен. В конкретных аспектах L представляет собой этилен.

В конкретных аспектах соединение формулы (VA) выбирают из соединений формул (VC), (VD), (VE) и (VF):

и их солей; где:

R7 представляет собой компонент, выбранный из группы, включающей водород, гидроксил и C1-C6 алкил;

R8 представляет собой компонент, выбранный из группы, включающей водород и C1-C6 алкил; и

каждый m и n представляет собой независимо выбранное целое число от 0 до 2.

В конкретных аспектах соединение имеет формулу (VC). В конкретных аспектах соединение имеет формулу (VD). В конкретных аспектах соединение имеет формулу (VE). В конкретных аспектах соединение имеет формулу (VF).

В конкретных аспектах R7 представляет собой водород. В конкретных аспектах R8 представляет собой водород.

Соединения формул (VA) и (VB), и их варианты осуществления, включая соединения формул (VC), (VD), (VE) и (VF), полезны в качестве ингибиторов MASP-2 и для терапевтического применения. Соединения формул (VA) и (VB), и их варианты осуществления, могут быть использованы в лечении MASP-2-связанных заболеваний и нарушений, а также в производстве лекарственных препаратов для лечения MASP-2-связанных заболеваний и нарушений. Настоящее изобретение также относится к способам лечения MASP-2-связанного заболевания и нарушения, включающим введение пациенту терапевтически эффективного количества соединения формулы (VA) или (VB), или его варианта осуществления, необязательно, в форме соли.

В некоторых вариантах осуществления соединение формулы (VA) или (VB), или его вариант осуществления, предоставляют в форме фармацевтической композиции, содержащей соединение или его соль, такую как фармацевтически приемлемая соль, и по меньшей мере один фармацевтически приемлемый носитель или эксципиент.

В конкретных аспектах соединение представляет собой одно или более соединений, выбранных из соединений формул (VA) и (VB), описанных в примерах, включая соединения, перечисленные в Таблице 31, например, соединения с избирательностью для MASP-2 относительно тромбина. В конкретных аспектах один или более из R1, Ra, Rb, R2a, R2b, R3, R4, R5, R6 или R13 выбирают из соответствующих заместителей в соединениях (VA) и (VB), описанных в примерах, включая соединения, перечисленные в Таблице 31, предпочтительно, соединения с избирательностью для MASP-2 относительно тромбина.

В конкретных аспектах изобретения предложен стереохимически чистый энантиомер или диастереомер (например, оптически активное соединение с одним или более хиральными центрами). Если специально не указано иное, для любого соединения по изобретению с одним или более стереоцентрами настоящее изобретение должно включать и описывать как чистые (+) и (-) энантиомеры, любые другие диастереомеры, смеси, обогащенные по энантиомеру или диастереомеру (например, имеющие 10%, 20%, 30%, 40%, 50%, 60%, 70% 75%, 80%, 85, 90% или 95% энантиомерный или диастереомерный избыток), так и рацемическую смесь энантиомеров или диастереомеров.

В конкретных аспектах изобретения предложена фармацевтически приемлемая соль указанной химической структуры (например, гидрогалогенид, такой как гидрохлорид или дигидрохлорид). Примеры фармацевтически приемлемых солей приведены, например, в публикации Burge, S. M. et al., J. Pharm. Sci 1977, 66, 1-19. Они включают хлориды, бромиды, иодиды, форматы, ацетаты, пропионаты, оксалаты, малонаты, сукцинаты, фумараты, малеаты, тартраты, цитраты, бензоаты, фталаты, сульфонаты, арилсульфонаты, алкилсульфонаты, соли жирных кислот, и тому подобное. Соли могут быть получены различными способами, известными квалифицированному специалисту, включая осаждение конъюгированной кислотой или основанием (например, обработку газообразной HCl или раствором HCl).

В конкретных аспектах изобретения предложено пролекарство. Пролекарство представляет собой соединение, которое превращается в биологически активную форму в физиологических условиях, часто в результате гидролиза, окисления или восстановления (например, сложного эфира в форму кислоты; карбамата в амино- или гидроксильную группу; гидроксиамидина в амидин). Иллюстративные пролекарства приведены, например, в публикациях Tilley, J.W., «Prodrugs of Benzamide», Prodrugs 2007, 191-222; Peterlin-Masic et al. Curr. Pharma. Design 2006, 12, 73-91. Пролекарства для амидиновой группы включают амидоксимы, O-алкиламидоксимы, ациламидины, карбаматы, 1,2,4-оксадиазолин-4-оны, и тому подобное.

В конкретных аспектах соединение может быть использовано для избирательного ингибирования MASP-2 относительно тромбина, при этом способ включает введение соединения, описанного в настоящем документе. В конкретных аспектах соотношение избирательности для пары MASP-2:тромбин составляет по меньшей мере 1,1:1, 1,25:1, 1,5:1, 1,75:1, 2:1, 3:1, 4:1, 5:1, 6:1, 7:1, 8:1, 9:1, 10:1, 11:1, 12:1, 13:1, 14:1, 15:1, 16:1, 17:1, 18:1, 19:1, 20:1, 21:1, 22:1, 23:1, 24:1, 25:1 или 30:1.

3. Соединения формул (VIA) и (VIB)

В конкретных аспектах настоящее изобретение относится к MASP-2-ингибирующему соединению для терапевтического применения, которое имеет формулу (VIA) или (VIB):

или его соли; где:

A1 представляет собой компонент, выбранный из группы, состоящей из -(C=NH)-, -(C=NORa)-, -[C=NO(C=O)Ra]-, -[C=N[O(C=O)ZRb]}-, конденсированного 5- или 6-членного гетероциклила и конденсированного 5- или 6-членного гетероарила;

когда A1 представляет собой -(C=NH)-, Y1 выбирают из группы, состоящей из -NH2, -NH(C=O)Ra и - NH(C=O)ZRb;

когда A1 представляет собой -(C=NORa)-, -[C=NO(C=O)Ra]- или -{C=N[O(C=O)ZRb]}-, Y1 представляет собой -NH2;

когда A1 представляет собой конденсированный гетероциклил или гетероарил, Y1 представляет собой -NH2 или гало, и A1 замещен m дополнительными группами R1;

каждый Ra и Rb независимо выбирают из группы, состоящей из C1-C6 алкила, C3-C10 циклоалкила, C6-C10 арила и C7-C12 арилалкила; при этом Ra имеет m заместителей, выбранных из группы, состоящей из C1-C6 алкила, гидроксила, гидроксил(C1-C6 алкила), C1-C6 алкокси, C2-C9 алкоксиалкила, амино, C1-C6 алкиламино и гало; или, альтернативно, Ra и Rb соединяются, образуя гетероциклильное кольцо с m заместителями, выбранными из группы, состоящей из C1-C6 алкила, гидроксила, C1-C6 алкокси и гало;

каждый Z независимо выбирают из группы, состоящей из O и S;

A2 представляет собой компонент, выбранный из группы, состоящей из C3-C6 гетероарила и C2-C6 алкила;

когда A2 представляет собой C3-C6 гетероарил, Y2 выбирают из группы, состоящей из -NH2, - CH2NH2, хлора, -(C=NH)NH2, -(C=NH)NH(C=O)Ra, -(C=NH)NH(C=O)ZRb, -(C=NORa)NH2, -[C=NO(C=O)Ra]NH2, и -{C=N[O(C=O)ZRb]}NH2; и A2 замещен m дополнительными группами R1;

когда A2 представляет собой C2-C6 алкил, Y2 выбирают из группы, состоящей из -NH(C=NH)NH2, -NH(C=NH)NH(C=O)Ra и -NH(C=NH)NH(C=O)ZRb;

каждый R1 представляет собой компонент, независимо выбранный из группы, состоящей из C1-C6 алкила, гидроксила, C1-C6 алкокси, амино, C1-C6 алкиламино и гало;

каждый m и n представляет собой независимо выбранное целое число от 0 до 3;

X и X2 каждый является компонентом, выбранным из группы, состоящей из NR8, CH и CR10 (предпочтительно, NR8); или, альтернативно, R10 группы X и X2 соединяются, образуя конденсированное C6 арильное, гетероарильное или C5-C7 циклоалкильное кольцо с 0-3 заместителями R13;

каждый R8 представляет собой компонент, независимо выбранный из группы, состоящей из водорода и C1-C6 алкила;

каждый R10 представляет собой компонент, независимо выбранный из группы, состоящей из C1-C6 алкила, гетероарила или C6-C10 арила с 0-3 заместителями R13, гидроксила, гидроксил(C1-C6 алкила), C1-C6 алкокси, C2-C9 алкоксиалкила, амино, C1-C6 алкиламино и гало; или, альтернативно, две группы R10 соединяются, образуя конденсированное C6 арильное, гетероарильное или C5-C7 циклоалкильное кольцо с 0-3 заместителями R13;

r представляет собой целое число от 0 до 4; и

каждый R13 представляет собой компонент, независимо выбранный из группы, состоящей из C1-C6 алкила, C6-C10 арила, карбокси(C1-C6 алкилокси), гетероарила, гетероциклила, гидроксила, гидроксил(C1-C6 алкила), C1-C6 алкокси, C2-C9 алкоксиалкила, амино, C1-C6 амидо, C1-C6 алкиламино и гало; или, альтернативно, две группы R13 соединяются, образуя конденсированное C6-C10 арильное, C6-C10 гетероарильное или C5-C7 циклоалкильное кольцо, или его соль.

В конкретных аспектах соединение имеет формулу (VIA).

В конкретных аспектах соединение имеет формулу (VIB).

В конкретных аспектах соединение имеет формулу (VIC) или (VID):

или его соли.

В конкретных аспектах каждый R7 представляет собой компонент, выбранный из группы, состоящей из водорода, гидроксила и C1-C6 алкила; и m представляет собой целое число от 0 до 2.

В конкретных аспектах (i) соединение имеет формулу (VIA) или его соли, и m равен 0; или (ii) соединение имеет формулу (VIB) или его соли, и r равен 0.

В конкретных аспектах X представляет собой NR8.

В конкретных аспектах R8 представляет собой водород.

В конкретных аспектах X2 представляет собой CH или CR10.

В конкретных аспектах R10 представляет собой компонент, независимо выбранный из группы, состоящей из C1-C6 алкила, C6 арила с 0-3 заместителями R13, C1-C6 алкокси и C2-C9 алкоксиалкила.

В конкретных аспектах две группы R10 соединяются, образуя конденсированное C6 арильное кольцо с 0-3 заместителями R13.

В конкретных аспектах R7 представляет собой водород.

В конкретных аспектах R3 представляет собой компонент, выбранный из группы, состоящей из водорода или метила. В конкретных аспектах R3 представляет собой метил.

В конкретных аспектах Z представляет собой O.

В конкретных аспектах R11 представляет собой (R14)(R14)N(CO)-.

В конкретных аспектах R11 представляет собой (R14)(H)N(CO)-.

В конкретных аспектах R14 представляет собой C1-C6 алкил, C3-C7 циклоалкил или C4-C8 циклоалкилалкил.

В конкретных аспектах R12 представляет собой водород или C7-C14 арилалкил.

В конкретных аспектах R1 представляет собой гидроксил или C1-C6 алкокси.

В конкретных аспектах каждый R2a или R2b представляет собой водород.

В конкретных аспектах L представляет собой метилен.

В конкретных аспектах A1 представляет собой -(C=NH)-. В конкретных аспектах Y1 представляет собой -NH2. В конкретных аспектах Y1 представляет собой -NH(C=O)Ra. В конкретных аспектах Y1 представляет собой - NH(C=O)ZRb.

В конкретных аспектах A1 представляет собой -(C=NORa)-. В конкретных аспектах Y1 представляет собой -NH2. В конкретных аспектах Y1 представляет собой -NH(C=O)Ra. В конкретных аспектах Y1 представляет собой - NH(C=O)ZRb.

В конкретных аспектах A1 представляет собой -(C=NH)-. В конкретных аспектах A1 представляет собой -NH(C=O)Ra. В конкретных аспектах A1 представляет собой - NH(C=O)ZRb. В конкретных аспектах Z представляет собой O, S или N.

В конкретных аспектах A1 представляет собой конденсированный гетероарил. В конкретных аспектах A1 представляет собой хинолон. В конкретных аспектах A1 представляет собой изохинолин. В конкретных аспектах A1 представляет собой бензимидазол. В конкретных аспектах Y1 представляет собой -NH2.

В конкретных аспектах Ra или Rb представляет собой C1-C6 алкил, такой как метил, этил, н-пропил, изопропил, н-бутил или трет-бутил. В конкретных аспектах Ra или Rb представляет собой C3-C10 циклоалкил, такой как циклогексил, циклопентил или циклопропил. В конкретных аспектах Ra или Rb представляет собой C6-C10 арил, такой как фенил или замещенный фенил (например, 4-метоксифенил). В конкретных аспектах Ra или Rb представляет собой C7-C12 арилалкил, такой как бензил или 4-метоксибензил.

В конкретных аспектах R7 представляет собой водород.

В конкретных аспектах соединение имеет формулу (VIB).

В конкретных аспектах A2 представляет собой C3-C6 гетероарил.

В конкретных аспектах A2 замещен m дополнительными группами R1, такими как гало, C2-C6 алкил или C1-C4 метокси.

В конкретных аспектах Y2 выбирают из группы, состоящей из -NH(C=NH)NH2, -NH(C=NH)NH(C=O)Ra и -NH(C=NH)NH(C=O)ZRb. В конкретных аспектах Y2 представляет собой -NH(C=NH)NH2. В конкретных аспектах Y2 представляет собой -NH(C=NH)NH(C=O)Ra. В конкретных аспектах Y2 представляет собой -NH(C=NH)NH(C=O)ZRb.

В конкретных аспектах Y2 представляет собой гало (например, хлор, такой как 3-хлор). В конкретных аспектах Y2 представляет собой аминометил (например, 4-аминометил).

В конкретных аспектах A2 представляет собой C2-C6 алкил.

В конкретных аспектах X представляет собой NR8 (например, NH или NMe). В конкретных аспектах X представляет собой CH. В конкретных аспектах X представляет собой CR10 (например, CMe).

В конкретных аспектах каждый Z представляет собой компонент, независимо выбранный из группы, состоящей из O и NR8; и каждый R8 представляет собой компонент, независимо выбранный из группы, состоящей из водорода и C1-C6 алкила. В конкретных аспектах один Z, или каждый Z, представляет собой NR8. В конкретных аспектах каждый R8 представляет собой водород.

В конкретных аспектах X2 представляет собой NR8 (например, NH или NMe). В конкретных аспектах B представляет собой CH. В конкретных аспектах X2 представляет собой CR10 (например, CMe).

В конкретных аспектах соединение имеет R3 стереохимию

.

В конкретных аспектах R3 представляет собой компонент, выбранный из группы, состоящей из водорода или метила. В конкретных аспектах R3 представляет собой водород. В конкретных аспектах R3 представляет собой метил.

В конкретных аспектах R1 представляет собой гидроксил или C1-C6 алкокси. В конкретных аспектах R1 представляет собой гидроксил (например, 2-гидрокси; 3-гидрокси). В конкретных аспектах R1 представляет собой метокси (например, 2-метокси).

В конкретных аспектах m равен 0. В конкретных аспектах m равен 1. В конкретных аспектах n равен 0. В конкретных аспектах n равен 1. В конкретных аспектах и m, и n равны 0.

В конкретных аспектах p равен 0. В конкретных аспектах p равен 1.

В конкретных аспектах q равен 1. В конкретных аспектах p равен 0, и q равен 1.

В конкретных аспектах каждый R2a или R2b представляет собой водород. В конкретных аспектах L представляет собой метилен. В конкретных аспектах L представляет собой этилен.

В конкретных аспектах каждый R10 представляет собой компонент, независимо выбранный из группы, состоящей из C1-C6 алкила, гетероарила или C6-C10 арила с 0-3 заместителями R13, гидроксила, гидроксил(C1-C6 алкила), C1-C6 алкокси, C2-C9 алкоксиалкила, амино, C1-C6 алкиламино и гало; или, альтернативно, две группы R10 соединяются, образуя конденсированное C6 арильное, гетероарильное или C5-C7 циклоалкильное кольцо с 0-3 заместителями R13. В конкретных аспектах R10 представляет собой амино. В конкретных аспектах R10 и R1 представляют собой амино.

В конкретных аспектах r представляет собой целое число от 0 до 5 (то есть, 0, 1, 2, 3, 4 или 5). В конкретных аспектах r представляет собой целое число от 0 до 4 (то есть, 0, 1, 2, 3 и 4). В конкретных аспектах r представляет собой целое число от 0 до 3 (то есть, 0, 1, 2 или 3).

В конкретных аспектах каждый R13 представляет собой компонент, независимо выбранный из группы, состоящей из C1-C6 алкила, C6-C10 арила, карбокси(C1-C6 алкилокси), гетероарила, гетероциклила, гидроксила, гидроксил(C1-C6 алкила), C1-C6 алкокси, C2-C9 алкоксиалкила, амино, C1-C6 амидо, C1-C6 алкиламино и гало; или, альтернативно, две группы R13 соединяются, образуя конденсированное C6-C10 арильное, C6-C10 гетероарильное или C5-C7 циклоалкильное кольцо, или его соль. В конкретных аспектах R13 представляет собой фенил. В конкретных аспектах R13 представляет собой замещенный фенил.

Соединения формул (VIA) и (VIB), и их варианты осуществления, включая соединения формул (VIC) и (VID), полезны в качестве ингибиторов MASP-2 и для терапевтического применения. Соединения формул (VIA) и (VIB), и их варианты осуществления, могут быть использованы в лечении MASP-2-связанных заболеваний и нарушений, а также в производстве лекарственных препаратов для лечения MASP-2-связанных заболеваний и нарушений. Настоящее изобретение также относится к способам лечения MASP-2-связанного заболевания и нарушения, включающим введение пациенту терапевтически эффективного количества соединения формулы (VIA) и (VIB), или его варианта осуществления, необязательно, в форме соли.

В некоторых вариантах осуществления соединение формулы (VIA) и (VIB), или его вариант осуществления, предоставляют в форме фармацевтической композиции, содержащей соединение или его соль, такую как фармацевтически приемлемая соль, и по меньшей мере один фармацевтически приемлемый носитель или эксципиент.

В конкретных аспектах соединение представляет собой одно или более соединений, выбранных из соединений формул (VIA) и (VIB), описанных в примерах, включая соединения, перечисленные в Таблице 31, например, соединения с избирательностью для MASP-2 относительно тромбина. В конкретных аспектах один или более из R1, Ra, Rb, R2a, R2b, R3, R4, R5, R6 или R13 выбирают из соответствующих заместителей в соединениях (VIA) и (VIB), описанных в примерах, включая соединения, перечисленные в Таблице 31, предпочтительно, соединения с избирательностью для MASP-2 относительно тромбина.

В конкретных аспектах изобретения предложен стереохимически чистый энантиомер или диастереомер (например, оптически активное соединение с одним или более хиральными центрами). Если специально не указано иное, для любого соединения по изобретению с одним или более стереоцентрами настоящее изобретение должно включать и описывать как чистые (+) и (-) энантиомеры, любые другие диастереомеры, смеси, обогащенные по энантиомеру или диастереомеру (например, имеющие 10%, 20%, 30%, 40%, 50%, 60%, 70% 75%, 80%, 85, 90% или 95% энантиомерный или диастереомерный избыток), так и рацемическую смесь энантиомеров или диастереомеров.

В конкретных аспектах изобретения предложена фармацевтически приемлемая соль указанной химической структуры (например, гидрогалогенид, такой как гидрохлорид или дигидрохлорид). Примеры фармацевтически приемлемых солей приведены, например, в публикации Burge, S. M. et al., J. Pharm. Sci 1977, 66, 1-19. Они включают хлориды, бромиды, иодиды, форматы, ацетаты, пропионаты, оксалаты, малонаты, сукцинаты, фумараты, малеаты, тартраты, цитраты, бензоаты, фталаты, сульфонаты, арилсульфонаты, алкилсульфонаты, соли жирных кислот, и тому подобное. Соли могут быть получены различными способами, известными квалифицированному специалисту, включая осаждение конъюгированной кислотой или основанием (например, обработку газообразной HCl или раствором HCl).

В конкретных аспектах изобретения предложено пролекарство. Пролекарство представляет собой соединение, которое превращается в биологически активную форму в физиологических условиях, часто в результате гидролиза, окисления или восстановления (например, сложного эфира в форму кислоты; карбамата в амино- или гидроксильную группу; гидроксиамидина в амидин). Иллюстративные пролекарства приведены, например, в публикациях Tilley, J.W., «Prodrugs of Benzamide», Prodrugs 2007, 191-222; Peterlin-Masic et al. Curr. Pharma. Design 2006, 12, 73-91. Пролекарства для амидиновой группы включают амидоксимы, O-алкиламидоксимы, ациламидины, карбаматы, 1,2,4-оксадиазолин-4-оны, и тому подобное.

В конкретных аспектах соединение может быть использовано для избирательного ингибирования MASP-2 относительно тромбина, при этом способ включает введение соединения, описанного в настоящем документе. В конкретных аспектах соотношение избирательности для пары MASP-2:тромбин составляет по меньшей мере 1,1:1, 1,25:1, 1,5:1, 1,75:1, 2:1, 3:1, 4:1, 5:1, 6:1, 7:1, 8:1, 9:1, 10:1, 11:1, 12:1, 13:1, 14:1, 15:1, 16:1, 17:1, 18:1, 19:1, 20:1, 21:1, 22:1, 23:1, 24:1, 25:1 или 30:1.

4. Соединения формул VIIA и VIIB

В конкретных аспектах настоящее изобретение относится a MASP-2-ингибирующему соединению для терапевтического применения, имеющему формулу (VIIA) или (VIIB):

или его соли; где:

A1 представляет собой компонент, выбранный из группы, состоящей из -(C=NH)-, -(C=NORa)-, -[C=NO(C=O)Ra]-, -[C=N[O(C=O)ZRb]}-, конденсированного 5- или 6-членного гетероциклила и конденсированного 5- или 6-членного гетероарила;

когда A1 представляет собой -(C=NH)-, Y1 выбирают из группы, состоящей из -NH2, -NH(C=O)Ra и - NH(C=O)ZRb;

когда A1 представляет собой -(C=NORa)-, -[C=NO(C=O)Ra]- или -{C=N[O(C=O)ZRb]}-, Y1 представляет собой -NH2;

когда A1 представляет собой конденсированный гетероциклил или гетероарил, Y1 представляет собой -NH2 или гало, и A1 замещен m дополнительными группами R1;

каждый Ra и Rb независимо выбирают из группы, состоящей из C1-C6 алкила, C3-C10 циклоалкила, C6-C10 арила и C7-C12 арилалкила; при этом Ra имеет m заместителей, выбранных из группы, состоящей из C1-C6 алкила, гидроксила, гидроксил(C1-C6 алкила), C1-C6 алкокси, C2-C9 алкоксиалкила, амино, C1-C6 алкиламино и гало; или, альтернативно, Ra и Rb соединяются, образуя гетероциклильное кольцо с m заместителями, выбранными из группы, состоящей из C1-C6 алкила, гидроксила, C1-C6 алкокси и гало;

каждый Z независимо выбирают из группы, состоящей из O и S;

A2 представляет собой компонент, выбранный из группы, состоящей из C3-C6 гетероарила и C2-C6 алкила;

когда A2 представляет собой C3-C6 гетероарил, Y2 выбирают из группы, состоящей из -NH2, -CH2NH2, хлора, -(C=NH)NH2, -(C=NH)NH(C=O)Ra, -(C=NH)NH(C=O)ZRb, -(C=NORa)NH2, -[C=NO(C=O)Ra]NH2 и -{C=N[O(C=O)ZRb]}NH2; и A2 замещен m дополнительными группами R1;

когда A2 представляет собой C2-C6 алкил, Y2 выбирают из группы, состоящей из -NH(C=NH)NH2, -NH(C=NH)NH(C=O)Ra и -NH(C=NH)NH(C=O)ZRb;

каждый R1 представляет собой компонент, независимо выбранный из группы, состоящей из C1-C6 алкила, гидроксила, C1-C6 алкокси, амино, C1-C6 алкиламино и гало;

каждый m и n представляет собой независимо выбранное целое число от 0 до 3;

L представляет собой -(O)p-(C(R2a)(R2b))q-,

каждый R2a или R2b представляет собой компонент, независимо выбранный из группы, состоящей из водорода и фтора;

p представляет собой целое число от 0 до 1;

q представляет собой целое число от 1 до 2;

R3 представляет собой компонент, выбранный из группы, состоящей из водорода, C1-C6 алкила и карбокси(C1-C6 алкила);

каждый R11 представляет собой компонент, независимо выбранный из группы, состоящей из C1-C6 алкила, гидроксила, C1-C6 алкокси, амино, C1-C6 алкиламино, гало и (R14)(R14)N(CO)-; или, альтернативно, две группы R11 соединяются, образуя конденсированное C6 арильное, гетероарильное или C5-C7 циклоалкильное кольцо с 0-3 заместителями R13;

r представляет собой целое число от 0 до 4; и

каждый Z представляет собой компонент, независимо выбранный из группы, состоящей из O и NR8;

каждый R8 представляет собой компонент, независимо выбранный из группы, состоящей из водорода и C1-C6 алкила;

каждый R12 представляет собой компонент, независимо выбранный из группы, состоящей из водорода, C1-C6 алкила и C7-C14 арилалкила с 0-3 заместителями R13;

каждый R13 представляет собой компонент, независимо выбранный из группы, состоящей из C1-C6 алкила, гидроксила, гидроксил(C1-C6 алкила), C1-C6 алкокси, C2-C9 алкоксиалкила, амино, C1-C6 алкиламино и гало; или, альтернативно, две группы R13 соединяются, образуя конденсированное C6 арильное, гетероарильное или C5-C7 циклоалкильное кольцо; и

каждый R14 представляет собой компонент, независимо выбранный из группы, состоящей из водорода, C1-C6 алкила, C3-C7 циклоалкила, C4-C8 циклоалкилалкила, C7-C14 арилалкила и гетероарил(C1-C6 алкила); или, альтернативно, две группы R13 соединяются, образуя конденсированное гетероциклильное кольцо.

В конкретных аспектах соединение имеет формулу (VIIA).

В конкретных аспектах соединение имеет формулу (VIIB).

В конкретных аспектах соединение имеет формулу (VIIC):

,

в которой каждый R7 представляет собой компонент, выбранный из группы, состоящей из водорода, гидроксила и C1-C6 алкила.

В конкретных аспектах R7 представляет собой водород.

В конкретных аспектах X представляет собой NR8.

В конкретных аспектах R8 представляет собой водород.

В конкретных аспектах X2 представляет собой CH или CR10.

В конкретных аспектах R10 представляет собой компонент, независимо выбранный из группы, состоящей из C1-C6 алкила, C6 арила с 0-3 заместителями R13, C1-C6 алкокси и C2-C9 алкоксиалкила.

В конкретных аспектах две группы R10 соединяются, образуя конденсированное C6 арильное кольцо с 0-3 заместителями R13.

В конкретных аспектах R7 представляет собой водород.

В конкретных аспектах R3 представляет собой компонент, выбранный из группы, состоящей из водорода или метила. В конкретных аспектах R3 представляет собой метил.

В конкретных аспектах Z представляет собой O.

В конкретных аспектах R11 представляет собой (R14)(R14)N(CO)-.

В конкретных аспектах R11 представляет собой (R14)(H)N(CO)-.

В конкретных аспектах R14 представляет собой C1-C6 алкил, C3-C7 циклоалкил или C4-C8 циклоалкилалкил.

В конкретных аспектах R12 представляет собой водород или C7-C14 арилалкил.

В конкретных аспектах R1 представляет собой гидроксил или C1-C6 алкокси.

В конкретных аспектах каждый R2a или R2b представляет собой водород.

В конкретных аспектах L представляет собой метилен.

В конкретных аспектах A1 представляет собой -(C=NH)-. В конкретных аспектах Y1 представляет собой -NH2. В конкретных аспектах Y1 представляет собой -NH(C=O)Ra. В конкретных аспектах Y1 представляет собой - NH(C=O)ZRb.

В конкретных аспектах A1 представляет собой -(C=NORa)-. В конкретных аспектах Y1 представляет собой -NH2. В конкретных аспектах Y1 представляет собой -NH(C=O)Ra. В конкретных аспектах Y1 представляет собой - NH(C=O)ZRb.

В конкретных аспектах A1 представляет собой -(C=NH)-. В конкретных аспектах A1 представляет собой -NH(C=O)Ra. В конкретных аспектах A1 представляет собой - NH(C=O)ZRb. В конкретных аспектах Z представляет собой O, S или N.

В конкретных аспектах A1 представляет собой конденсированный гетероарил. В конкретных аспектах A1 представляет собой хинолон. В конкретных аспектах A1 представляет собой изохинолин. В конкретных аспектах A1 представляет собой бензимидазол. В конкретных аспектах Y1 представляет собой -NH2.

В конкретных аспектах Ra или Rb представляет собой C1-C6 алкил, такой как метил, этил, н-пропил, изопропил, н-бутил или трет-бутил. В конкретных аспектах Ra или Rb представляет собой C3-C10 циклоалкил, такой как циклогексил, циклопентил или циклопропил. В конкретных аспектах Ra или Rb представляет собой C6-C10 арил, такой как фенил или замещенный фенил (например, 4-метоксифенил). В конкретных аспектах Ra или Rb представляет собой C7-C12 арилалкил, такой как бензил или 4-метоксибензил.

В конкретных аспектах R7 представляет собой водород.

В конкретных аспектах соединение имеет формулу (VIIB).

В конкретных аспектах A2 представляет собой C3-C6 гетероарил.

В конкретных аспектах A2 замещен m дополнительными группами R1, такими как гало, C2-C6 алкил или C1-C4 метокси.

В конкретных аспектах Y2 выбирают из группы, состоящей из -NH(C=NH)NH2, -NH(C=NH)NH(C=O)Ra и -NH(C=NH)NH(C=O)ZRb. В конкретных аспектах Y2 представляет собой -NH(C=NH)NH2. В конкретных аспектах Y2 представляет собой -NH(C=NH)NH(C=O)Ra. В конкретных аспектах Y2 представляет собой -NH(C=NH)NH(C=O)ZRb.

В конкретных аспектах Y2 представляет собой гало (например, хлор, такой как 3-хлор). В конкретных аспектах Y2 представляет собой аминометил (например, 4-аминометил).

В конкретных аспектах A2 представляет собой C2-C6 алкил.

В конкретных аспектах X представляет собой NR8 (например, NH или NMe). В конкретных аспектах X представляет собой CH. В конкретных аспектах X представляет собой CR10 (например, CMe).

В конкретных аспектах каждый Z представляет собой компонент, независимо выбранный из группы, состоящей из O и NR8; и каждый R8 представляет собой компонент, независимо выбранный из группы, состоящей из водорода и C1-C6 алкила. В конкретных аспектах один Z, или каждый Z, представляет собой NR8. В конкретных аспектах каждый R8 представляет собой водород.

В конкретных аспектах X2 представляет собой NR8 (например, NH или NMe). В конкретных аспектах B представляет собой CH. В конкретных аспектах X2 представляет собой CR10 (например, CMe).

В конкретных аспектах соединение имеет R3 стереохимию

В конкретных аспектах R3 представляет собой компонент, выбранный из группы, состоящей из водорода или метила. В конкретных аспектах R3 представляет собой водород. В конкретных аспектах R3 представляет собой метил.

В конкретных аспектах R1 представляет собой гидроксил или C1-C6 алкокси. В конкретных аспектах R1 представляет собой гидроксил (например, 2-гидрокси; 3-гидрокси). В конкретных аспектах R1 представляет собой метокси (например, 2-метокси).

В конкретных аспектах m равен 0. В конкретных аспектах m равен 1. В конкретных аспектах n равен 0. В конкретных аспектах n равен 1. В конкретных аспектах и m, и n равны 0.

В конкретных аспектах p равен 0. В конкретных аспектах p равен 1.

В конкретных аспектах q равен 1. В конкретных аспектах p равен 0, и q равен 1.

В конкретных аспектах каждый R2a или R2b представляет собой водород. В конкретных аспектах L представляет собой метилен. В конкретных аспектах L представляет собой этилен.

В конкретных аспектах каждый R10 представляет собой компонент, независимо выбранный из группы, состоящей из C1-C6 алкила, гетероарила или C6-C10 арила с 0-3 заместителями R13, гидроксила, гидроксил(C1-C6 алкила), C1-C6 алкокси, C2-C9 алкоксиалкила, амино, C1-C6 алкиламино и гало; или, альтернативно, две группы R10 соединяются, образуя конденсированное C6 арильное, гетероарильное или C5-C7 циклоалкильное кольцо с 0-3 заместителями R13. В конкретных аспектах R10 представляет собой амино. В конкретных аспектах R10 и R1 представляют собой амино.

В конкретных аспектах r представляет собой целое число от 0 до 5 (то есть, 0, 1, 2, 3, 4 или 5). В конкретных аспектах r представляет собой целое число от 0 до 4 (то есть, 0, 1, 2, 3 и 4). В конкретных аспектах r представляет собой целое число от 0 до 3 (то есть, 0, 1, 2 или 3).

В конкретных аспектах каждый R13 представляет собой компонент, независимо выбранный из группы, состоящей из C1-C6 алкила, C6-C10 арила, карбокси(C1-C6 алкилокси), гетероарила, гетероциклила, гидроксила, гидроксил(C1-C6 алкила), C1-C6 алкокси, C2-C9 алкоксиалкила, амино, C1-C6 амидо, C1-C6 алкиламино и гало; или, альтернативно, две группы R13 соединяются, образуя конденсированное C6-C10 арильное, C6-C10 гетероарильное или C5-C7 циклоалкильное кольцо, или его соль. В конкретных аспектах R13 представляет собой фенил. В конкретных аспектах R13 представляет собой замещенный фенил.

Соединения формул (VIIA) и (VIIB), и их варианты осуществления, включая соединения формул (VIIC) и (VIID), полезны в качестве ингибиторов MASP-2 и для терапевтического применения. Соединения формул (VIIA) и (VIIB), и их варианты осуществления, могут быть использованы в лечении MASP-2-связанных заболеваний и нарушений, а также в производстве лекарственных препаратов для лечения MASP-2-связанных заболеваний и нарушений. Настоящее изобретение также относится к способам лечения MASP-2-связанного заболевания и нарушения, включающим введение пациенту терапевтически эффективного количества соединения формулы (VIIA) и (VIIB), или его варианта осуществления, необязательно, в форме соли.

В некоторых вариантах осуществления соединение формулы (VIIA) и (VIIB), или его вариант осуществления, предоставляют в форме фармацевтической композиции, содержащей соединение или его соль, такую как фармацевтически приемлемая соль, и по меньшей мере один фармацевтически приемлемый носитель или эксципиент.

В конкретных аспектах соединение представляет собой одно или более соединений, выбранных из соединений формул (VIIA) и (VIIB), описанных в примерах, включая соединения, перечисленные в Таблице 31, например, соединения с избирательностью для MASP-2 относительно тромбина. В конкретных аспектах один или более из R1, Ra, Rb, R2a, R2b, R3, R4, R5, R6 или R13 выбирают из соответствующих заместителей в соединениях (VIIA) и (VIIB), описанных в примерах, включая соединения, перечисленные в Таблице 31, предпочтительно, соединения с избирательностью для MASP-2 относительно тромбина.

В конкретных аспектах изобретения предложен стереохимически чистый энантиомер или диастереомер (например, оптически активное соединение с одним или более хиральными центрами). Если специально не указано иное, для любого соединения по изобретению с одним или более стереоцентрами настоящее изобретение должно включать и описывать как чистые (+) и (-) энантиомеры, любые другие диастереомеры, смеси, обогащенные по энантиомеру или диастереомеру (например, имеющие 10%, 20%, 30%, 40%, 50%, 60%, 70% 75%, 80%, 85, 90% или 95% энантиомерный или диастереомерный избыток), так и рацемическую смесь энантиомеров или диастереомеров.

В конкретных аспектах изобретения предложена фармацевтически приемлемая соль указанной химической структуры (например, гидрогалогенид, такой как гидрохлорид или дигидрохлорид). Примеры фармацевтически приемлемых солей приведены, например, в публикации Burge, S. M. et al., J. Pharm. Sci 1977, 66, 1-19. Они включают хлориды, бромиды, иодиды, форматы, ацетаты, пропионаты, оксалаты, малонаты, сукцинаты, фумараты, малеаты, тартраты, цитраты, бензоаты, фталаты, сульфонаты, арилсульфонаты, алкилсульфонаты, соли жирных кислот, и тому подобное. Соли могут быть получены различными способами, известными квалифицированному специалисту, включая осаждение конъюгированной кислотой или основанием (например, обработку газообразной HCl или раствором HCl).

В конкретных аспектах изобретения предложено пролекарство. Пролекарство представляет собой соединение, которое превращается в биологически активную форму в физиологических условиях, часто в результате гидролиза, окисления или восстановления (например, сложного эфира в форму кислоты; карбамата в амино- или гидроксильную группу; гидроксиамидина в амидин). Иллюстративные пролекарства приведены, например, в публикациях Tilley, J.W., «Prodrugs of Benzamide», Prodrugs 2007, 191-222; Peterlin-Masic et al. Curr. Pharma. Design 2006, 12, 73-91. Пролекарства для амидиновой группы включают амидоксимы, O-алкиламидоксимы, ациламидины, карбаматы, 1,2,4-оксадиазолин-4-оны, и тому подобное.

В конкретных аспектах соединение может быть использовано для избирательного ингибирования MASP-2 относительно тромбина, при этом способ включает введение соединения, описанного в настоящем документе. В конкретных аспектах соотношение избирательности для пары MASP-2:тромбин составляет по меньшей мере 1,1:1, 1,25:1, 1,5:1, 1,75:1, 2:1, 3:1, 4:1, 5:1, 6:1, 7:1, 8:1, 9:1, 10:1, 11:1, 12:1, 13:1, 14:1, 15:1, 16:1, 17:1, 18:1, 19:1, 20:1, 21:1, 22:1, 23:1, 24:1, 25:1 или 30:1.

F. Соединения, определяемые на основании правил связывания

В конкретных аспектах настоящее изобретение относится к соединениям, имеющим MASP-2-ингибирующую активность, в частности, для терапевтического применения. Соединение с MASP-2-ингибирующей активностью взаимодействует с доменом сериновой протеазы MASP-2 в комплексе фермент-ингибитор со множеством межмолекулярных взаимодействий. В конкретных аспектах молекула описана с полной специфичностью и описанием числа и типа(ов) межмолекулярных взаимодействий в сайте связывания MASP-2, с использованием эмпирически полученного набора правил, такого как набор правил взаимодействия.

В конкретных аспектах соединения с MASP-2-ингибирующей активностью взаимодействуют с доменом сериновой протеазы MASP-2 в виде комплекса фермент-ингибитор. Соединение, имеющее MASP-2-ингибирующую активность, имеет от 1 до 100 межмолекулярных взаимодействий между ним и MASP-2, например, 1, 2, 3, 4, 5, 6, 7, 8, 9, 10, 11, 12, 13, 14, 15, 16, 17, 18, 19, 20, 21, 22, 23, 24, 25, 26, 27, 28, 29, 30, 31, 32, 33, 34, 35, 36, 37, 38, 39, 40, 41, 42, 43, 44, 45, 46, 47, 48, 49, 50, 51, 52, 53, 54, 55, 56, 57, 58, 59, 60, 61, 62, 63, 64, 65, 66, 67, 68, 69, 70, 71, 72, 73, 74, 75, 76, 77, 78, 79, 80, 81, 82, 83, 84, 85, 86, 87, 88, 89, 90, 91, 92, 93, 94, 95, 96, 97, 98, 99, 100 или более межмолекулярных взаимодействий с доменом сериновой протеазы MASP-2 (остатки 445-686 в SEQ ID NO: 1). Эти типы межмолекулярных взаимодействий могут представлять собой водородную связь, ионную связь, электростатическую связь, п-п взаимодействия, ван-дер-ваальсовы взаимодействия, связывание молекулы воды, или их сочетания. Количества межмолекулярных взаимодействий в пределах разных типов подсчитывают для получения суммарного количества.

В конкретных аспектах существует множество межмолекулярных взаимодействий одного и того же типа. Например, комплекс фермент-ингибитор может иметь 1-40 водородных связей, 1-40 ионных связей, 1-40 электростатических связей, 1-40 п-п взаимодействий, 1-40 ван-дер-ваальсововых взаимодействий, 1-40 связываний молекул воды, а также их сочетания, при этом каждый из упомянутых диапазонов 1-40 означает 1, 2, 3, 4, 5, 6, 7, 8, 9, 10, 11, 12, 13, 14, 15, 16, 17, 18, 19, 20, 21, 22, 23, 24, 25, 26, 27, 28, 29, 30, 31, 32, 33, 34, 35, 36, 37, 38, 39, 40 или более взаимодействий. В конкретных аспектах множество или несколько межмолекулярных взаимодействий могут иметь место с одной и той же аминокислотой в пределах сайта связывания.

В некоторых случаях ингибирующая молекула описана на основании набора правил. Соединение с MASP-2-ингибирующей активностью взаимодействует с доменом сериновой протеазы MASP-2 в комплексе фермент-ингибитор со множеством межмолекулярных взаимодействий, или правил. В конкретных аспектах молекула описана с полной структурной и функциональной специфичностью и описанием числа и типа(ов) межмолекулярных взаимодействий. Эти правила были эмпирически выведены и обнаружены с использованием кристаллографических данных, полученных для целого ряда сокристаллов комплекса фермент-ингибитор. В некоторых случаях кристаллографические данные получены для по меньшей мере 1, 10, 20, 30, 40, 50, вплоть до 100 кристаллов комплекса фермент-ингибитор. Например, можно использовать 30 сокристаллов, например, 1, 2, 3, 4, 5, 6, 7, 8, 9, 10, 11, 12, 13, 14, 15, 16, 17, 18, 19, 20, 21, 22, 23, 24, 25, 26, 27, 28, 29 или 30, или даже больше, кристаллов комплекса фермент-ингибитор для получения набора правил. С использованием структурной информации для сокристаллов можно описывать сайт связывания и ингибирующие соединения в подробностях с указанием количества ангстремов.

В некоторых случаях многие аминокислоты в домене сериновой протеазы MASP-2 вовлечены в межмолекулярные взаимодействия. Аминокислоты в домене сериновой протеазы MASP-2 (аминокислотные остатки 445-686 в SEQ ID NO: 1) включают, но без ограничения, ASP 627, SER 628, SER 654, GLY 656, GLN 665, SER 657, PHE 529, TYR 607, TRP 655, GLY 667, SER 633, ARG 630, CYS 629, HIS 483, PRO 606, PRO 608, SER 611, VAL 653, MET 658, TYR 669, ASN 659, CYS 660, GLN 665.

В конкретных аспектах число аминокислот в домене сериновой протеазы, которые взаимодействуют с соединением, имеющим MASP-2-ингибирующую активность, или которые соответствуют набору правил, составляет примерно 1-50 или 1, 2, 3, 4, 5, 6, 7, 8, 9, 10, 11, 12, 13, 14, 15, 16, 17, 18, 19, 20, 21, 22, 23, 24, 25, 26, 27, 28, 29, 30, 31, 32, 33, 34, 35, 36, 37, 38, 39, 40, 41, 42, 43, 44, 45, 46, 47, 48, 49 или 50 аминокислотных остатков в домене сериновой протеазы MASP-2.

В некоторых случаях ингибитор по настоящему изобретению связывается с MASP-2, инактивируя MASP-2. Аминокислоты MASP-2 взаимодействуют посредством межмолекулярных взаимодействий с соединением ингибитора, и типы взаимодействий далее описаны более подробно.

В конкретных аспектах тип взаимодействий включает водородную связь (H-связь). Комплекс фермент-ингибитор может включать 1-40 межмолекулярных H-связей с одной или более из следующих 8 аминокислот: ASP 627, SER 628, SER 654, GLY 656, GLN 665, ARG 630, PRO 606 и SER 657. Комплекс фермент-ингибитор может включать 1-40 межмолекулярных H-связей с одной или более из следующих 6 аминокислот: ASP 627, SER 628, SER 654, GLY 656, GLN 665 и SER 657. 1-40 межмолекулярных H-связей могут включать связь одного или более атомов ингибитора с одним или более атомами ASP 627, SER 628, SER 654, GLY 656, GLN 665, ARG 630, PRO 606 и SER 657. 1-40 межмолекулярных H-связей могут включать связь одного или более атомов ингибитора с одним или более атомами ASP 627, SER 628, SER 654, GLY 656, GLN 665 и SER 657. Каждая аминокислота может иметь более одного взаимодействия в виде H-связи с ингибитором. В некоторых случаях один и тот же атом может быть связан водородной связью с одним или более партнерами. Иными словами, единственный атом ингибирующей молекулы может взаимодействовать с 2 или более атомами на белке. В некоторых случаях имеется 1-10 H-связей или 2-8 H-связей, или 1, 2, 3, 4, 5, 6, 7, 8, 9 или 10 H-связей на соединения.

В конкретных аспектах тип взаимодействий включает ионные и/или электростатические взаимодействия. Комплекс фермент-ингибитор может включать 1-10 межмолекулярных ионных и/или электростатических взаимодействий с ASP 627 или ARG 630. Комплекс фермент-ингибитор может включать 1-10 межмолекулярных ионных и/или электростатических взаимодействий с ASP 627. ASP 627 может иметь более одного ионного и или электростатического взаимодействия с ингибитором.

В некоторых других аспектах тип взаимодействия представляет собой связывание молекулы воды с ASP 627, GLN 665, SER 657, ASN 659, SER 628, GLU 662, ARG 630, VAL 668, TYR 602, TYR 607. Комплекс фермент-ингибитор может включать 1-30 связанных молекул воды, 1, 2, 3, 4, 5, 6, 7, 8, 9, 10, 11, 12, 13, 14, 15, 16, 17, 18, 19, 20, 21, 22, 23, 24, 25, 26, 27, 28, 29 или 30, с разными аминокислотами, другими молекулами воды, с соединениями или их сочетаниями.

В некоторых других случаях тип взаимодействия включает одно или более (например, множество или 1-40) п-п взаимодействий с одной или более из следующих аминокислот PHE 529, TYR 607 и/или TRP 655, 1, 2 или 3 аминокислотами. Каждая из вышеописанных аминокислот может иметь более одного п-п взаимодействия.

В конкретных аспектах тип взаимодействия также включает одно или более, например, 1-40, ван-дер-ваальсовых взаимодействий с ALA 468, ALA 469, HIS 483, ASP 526, ALA 527, GLY 528, PHE 529, LEU 575, PRO 606, TYR 607, PRO 608, SER 611, ASP627, SER 628, CYS 629, ARG 630, GLY 631, ASP 632, SER 633, GLY634, GLY 635, VAL 653, SER 654, TRP 655, GLY656, SER 657, MET 658, ASN 659, CYS 660, GLN 665, GLY 667, TYR 669, и их сочетанием, каковые взаимодействия являются специфическими для аминокислот MASP-2 в домене сериновой протеазы MASP-2.

В конкретных аспектах тип взаимодействия также включает одно или более, например, 1-40, ван-дер-ваальсовых взаимодействий с HIS 483, PHE 529, PRO 606, TYR 607, PRO 608, SER 611, ASP 627, SER 628, CYS 629, ARG 630, SER 633, VAL 653, SER 654, TRP 655, GLY 656, SER 657, MET 658, ASN 659, CYS 660, GLN 665, GLY 667 и TYR 669, а также их сочетаниями, каковые взаимодействия являются специфическими для аминокислот MASP-2 в домене сериновой протеазы MASP-2.

В конкретных аспектах MASP-2-ингибирующее соединение может представлять собой соединение, описанное в других разделах настоящего документа, включая соединения формул (I), (II), (III), (IV), (V), (VI) или (VII), или любые из их вариантов осуществления.

В конкретных аспектах соединения, имеющие MASP-2-ингибирующую активность, включают соединения формулы (VIII):

В конкретных аспектах соединения по изобретению могут иметь 5 сегментов, обозначенных M1, M2, M3, M4 и M5. Сегменты, или области, связывают активный сайт связывания MASP-2. В конкретных аспектах разные сегменты связываются с активным сайтом с определенной аффинностью. Сайт узнавания ингибитора, или карман, включает сайт связывания для ингибитора. С использованием номенклатуры Шечтера и Бергера, P1-P1' обозначает пептидные остатки неустойчивой связи субстрата (ингибитора), в то время как S1-S1' обозначает соответствующий связывающий карман фермента для этих сегментов. Взаимодействие ингибитор-MASP-2 продолжается за пределы сайта S1 и включает дополнительное связывание ингибитора с MASP-2. В одном аспекте M1-M5 могут в значительной степени связываться с одним или более связывающими карманами MASP-2. Эти связывающие карманы соответствуют S1', S1, S2, S3 и S4'.

В конкретных аспектах изобретение относится к соединениям, в которых M1 представляет собой компонент, выбранный из группы, состоящей из:

,

где каждый R1 представляет собой компонент, независимо выбранный из группы, состоящей из C1-C6 алкила, гидроксила, C1-C6 алкокси, амино, C1-C6 алкиламино и гало (например, хлора);

каждый n представляет собой независимо выбранное целое число от 0 до 4;

R7 представляет собой компонент, выбранный из группы, состоящей из водорода, гидроксила и C1-C6 алкила; и

R8 представляет собой компонент, выбранный из группы, состоящей из водорода и C1-C6 алкила.

В конкретных аспектах M5 имеет формулу:

R5 представляет собой компонент, выбранный из группы, включающей C3-C7 циклоалкил, C4-C8 циклоалкилалкил, гетероарил и C7-C12 арилалкил или гетероарилалкил с 0-3 заместителями R13; или, альтернативно, R5 и R6 соединяются, образуя гетероциклическое кольцо с 0-3 заместителями R13;

R6 представляет собой компонент, выбранный из группы, состоящей из водорода, C1-C6 алкила, C3-C7 циклоалкила, карбокси(C1-C6 алкила), C7-C12 арилалкила или гетероарилалкила с 0-3 заместителями R13, амино(C1-C8 алкила) и амидо(C1-C8 алкила); или, альтернативно, R6 и R5 соединяются, образуя гетероциклическое кольцо с 0-3 заместителями R13; и

каждый R13 представляет собой компонент, независимо выбранный из группы, включающей C1-C6 алкил, C6-C10 арил, карбокси(C1-C6 алкилокси), гетероарил, гетероциклил, гидроксил, гидроксил(C1-C6 алкил), C1-C6 алкокси, C2-C9 алкоксиалкил, амино, C1-C6 амидо, C1-C6 алкиламино и гало; или, альтернативно, две группы R13 соединяются, образуя конденсированное C6-C10 арильное, C6-C10 гетероарильное или C5-C7 циклоалкильное кольцо.

В конкретных аспектах M2-4 имеет формулу:

где R3 представляет собой компонент, выбранный из группы, включающей водород, C1-C6 алкил, C1-C6 фторалкил и карбокси(C1-C6 алкил); или, альтернативно, R3 и R4 соединяются, образуя азетидиновое, пирролидиновое или пиперидиновое кольцо; и

R4 представляет собой компонент, выбранный из группы, включающей водород и C1-C6 алкил; или, альтернативно, R4 и R3 соединяются, образуя азетидиновое, пирролидиновое или пиперидиновое кольцо.

В конкретных аспектах соединения, имеющие MASP-2-ингибирующую активность, формулы VIII имеют следующую формулу VIIIA:

Между соединением формулы VIIIA и активным сайтом MASP-2 могут существовать разные взаимодействия, показанные ниже на схемах 1 и 2:

Сегмент M1 соединений формулы (VIIIA) может иметь взаимодействие, которое представляет собой взаимодействие ионного типа, между карбоксильной группой ASP 627 и положительным (протонируемая группа) фрагментом в соединении формулы (VIIIA). Например, как показано выше, азот на амидине может быть протонируемым фрагментом и взаимодействовать посредством ионной связи с ASP 627.

В некоторых других аспектах, что касается анализа водородных связей, некоторые из соединений по изобретению взаимодействуют через межмолекулярные водородные связи с одной или более из следующих аминокислот: ASP 627, SER 628, SER 654, GLY 656, GLN 665, ARG630, PRO606, SER 633, CYS660 и SER 657 в MASP-2. В конкретных аспектах соединения взаимодействуют через межмолекулярные водородные связи с одной или более из следующих аминокислот: ASP 627, SER 628, SER 654, GLY 656, GLN 665 и SER 657 в MASP-2.

В конкретных аспектах соединение связывается посредством H-связей с 1, 2, 3, 4, 5 или всеми из следующих остатков: ASP 627, SER 628, SER 654, GLY 656, GLN 665, ARG630, PRO606, SER 633, CYS660 и SER 657. В конкретных аспектах соединение связывается посредством H-связей с 1, 2, 3, 4, 5 или всеми из следующих остатков: ASP 627, SER 628, SER 654, GLY 656, GLN 665 и SER 657. Может иметь место более одной H-связи на аминокислоту. В конкретных аспектах число водородных связей между ингибирующей молекулой и активным сайтом может составлять 1-40. В конкретных аспектах одна аминокислота (например, GLY 656) может иметь более 1 водородной связи. Соединение по изобретению может иметь от примерно 1 до примерно 10 водородных связей, например, 2, 3, 4, 5, 6, 7, 8, 9 или 10 H-связей.

Как правило, хотя структурная информация о кристалле непосредственно не показывает или не обнаруживает водородные связи, программа LigPlot+, используемая для описания структурной информации о сокристалле, включает алгоритмы для оценки присутствия (или «предсказания») таких H-связей на основании, например, длин химических связей. Таким образом, в тексте заявки, когда говорится, что H-связь имеется и описана, может быть сказано, что она имеется по оценке программы на основании кристаллографических связей.

В конкретных аспектах соединение связывается посредством ионных или электростатических взаимодействий, или водородных связей с ASP 627 или ARG630. В конкретных аспектах соединение не связывается посредством ионных взаимодействий с ASP 627 или ARG630. В конкретных аспектах соединение связывается посредством ионных взаимодействий с ASP 627 или ARG630. В конкретных аспектах соединение связывается посредством ионных или электростатических взаимодействий, или водородных связей с ASP 627. В конкретных аспектах соединение не связывается посредством ионных взаимодействий с ASP 627. В конкретных аспектах соединение связывается посредством ионных взаимодействий с ASP 627.

Как показано выше, водород из соединения формулы (VIIIA) в сегменте M1 связывается водородной связью с SER 628, и другой водород из соединения связывается водородной связью с SER 657. Кроме того, атомы водорода на SER 628 и другие на SER 657 связываются водородной связью с атомами азота на соединении в сегменте M1. Как правило, водородная связь представляет собой частично электростатическое притяжение между водородом (H), который связан с более электроотрицательным атомом, таким как азот (N) или кислород (O), и другим соседним атомом, несущим неподеленную пару электронов.

Как показано, в конкретных аспектах атомы в сегменте M3 взаимодействуют с SER 654. В конкретных аспектах атом, такой как азот, в сегменте M3 связывается водородной связью с SER 654. Кроме того, в конкретных аспектах атом, такой как азот, в M3 является как акцептором, так и донором водородной связи с GLY 656. В другом аспекте атом, такой как кислород, в сегменте M3 взаимодействует с молекулой воды.

В конкретных аспектах ингибирующее соединение взаимодействует через молекулу воды. Молекула воды может быть связана как с соединением, так и с аминокислотным остатком, только с соединениями, только с аминокислотой, или их сочетанием. Молекула воды может создавать мостик путем связывания M1 и 1, 2, 3, 4, 5, 6 или 7 остатков MASP-2 ASP 627, GLN 665, SER 657, ASN 659, SER 628, GLU 662, ARG 630, VAL 668, TYR 602, TYR 607, VAL 668.

В конкретных аспектах сегмент M4 соединения взаимодействует посредством взаимодействий п-п стэкинга или с TYR 607, и/или с PHE 529, и вблизи TRP 655. В некоторых других аспектах соединение взаимодействует посредством п-п взаимодействий с 1, 2, 3 или всеми из следующих остатков: PHE 529, TYR 607 и TRP 655. В конкретных аспектах имеют место п-п взаимодействия типа ребро-к-плоскости или T-типа.

В некоторых других аспектах для минимизации взаимодействий с сериновыми протеазами, отличными от MASP-2, такими как тромбин, объемные ароматические группы в сегменте M4 соединений повышают специфичность для MASP-2 относительно тромбина.

В некоторых других аспектах для минимизации взаимодействий с сериновыми протеазами, отличными от MASP-2, такими как тромбин, метилированные хлоразаиндольные сегменты M1 соединений повышают специфичность для MASP-2 относительно тромбина.

В некоторых других аспектах для минимизации взаимодействий с сериновыми протеазами, отличными от MASP-2, такими как тромбин, крупные заместители, такие как глутаминильные производные, или небольшие заместители, такие как фтор, на углероде глицина или замещения на атоме азота центрального глицина фрагментов M3 повышают специфичность для MASP-2 относительно тромбина.

В некоторых других аспектах для минимизации взаимодействий с сериновыми протеазами, отличными от MASP-2, такими как тромбин, плоские ароматические группы, такие как 5-членные кольца, например, пиразол, соединяющие область M3 с сегментами M4 соединений, повышают специфичность для MASP-2 относительно тромбина.

В конкретных аспектах соединение связывается через 3 H-связи с 2 остатками: SER 654 и GLY 656. В конкретных аспектах имеют место две (2) H-связи с GLY 656. Например, в некоторых случаях только 3 водородные связи существуют между соединением и активным сайтом MASP-2. В конкретных аспектах взаимодействие п-п стэкинга (T-типа или ребро-к-плоскости) может происходить с TYR 607 или PHE 529 и вблизи TRP 655. В других аспектах ионные связи отсутствуют между ингибирующим соединением и активным сайтом MASP-2. В других аспектах ионные связи существуют между ингибирующим соединением и активным сайтом MASP-2.

В конкретных аспектах на ФИГ. 1-57 показаны некоторые аминокислоты MASP-2, имеющие дуги с расходящимися линиями, показывающими взаимодействия, такие как ван-дер-ваальсовы взаимодействия, с атомами ингибиторов по настоящему изобретению.

В конкретных аспектах соединение взаимодействует посредством ван-дер-ваальсовых контактов с 1, 2, 3, 4, 5, 6, 7, 8, 9, 10, 11, 12, 13, 14, 15, 16, 17, 18, 19, 20, 21 или всеми из следующих остатков: ALA 468, ALA 469, HIS 483, ASP 526, ALA527, GLY528, PHE 529, LEU 575, PRO 606, TYR 607, PRO608, SER 611, ASP627, SER 628, CYS 629, ARG 630, GLY 631, ASP 632, SER 633, GLY634, GLY 635, VAL 653, SER 654, TRP 655, GLY656, SER 657, MET 658, ASN 659, CYS 660, GLN 665, GLY 667, TYR 669, а также их сочетаниями.

В конкретных аспектах соединение взаимодействует посредством ван-дер-ваальсовых контактов с 1, 2, 3, 4, 5, 6, 7, 8, 9, 10, 11, 12, 13, 14, 15, 16, 17, 18, 19, 20, 21 или всеми из следующих остатков: GLY 667, SER 657, GLY 656, TRP 655, SER 654, SER 633, ARG 630, CYS 629, SER 628, ASP 627, PHE 529, HIS 483, PRO 606, TYR 607, PRO 608, SER 611, VAL 653, MET 658, TYR 669, ASN 659, CYS 660, GLN 665, а также их сочетаниями.

На ФИГ. 1-57 представлены 2D схемы взаимодействия лиганд-MASP-2 для конкретных соединений по настоящему изобретению. Эти фигуры являются схематическими изображениями атомов из разных соединений с атомами аминокислот MASP-2 в результате расчетов на основании настроек программы LigPlot+ для параметров расчета водородных связей с использованием моделей, полученных из соответствующих кристаллографических совместных структур MASP-2-соединение. Показаны атомы для аминокислот, которые взаимодействуют с атомами соединений, а также атомы соединений, которые имеют достаточную 2fo-fc электронную плотность на основании кристаллографических данных. Нумерация аминокислотных остатков MASP-2 (MASP-2 ак №) произведена в соответствии с регистрационным кодом Uniprot O00187, нумерация атомов для аминокислот (ак атом) произведена в соответствии с условными обозначениями, установленными в базе данных белков, и соответствует нумерации в Таблице A1 (Приложение). Водородные связи и полярные взаимодействия показаны прерывистыми линиями с расстояниями, приведенными в единицах ангстрем.

ФИГ. 1 иллюстрирует взаимодействия аминокислот MASP-2 CCP2-SP с (1129) посредством водородных связей.

Как показано, шесть разных водородных связей имеются между атомами соединения (1129) и атомами аминокислотных остатков MASP-2. Кроме того, показано, что всего четыре молекулы воды в данной области активного сайта включены в кристаллическую структуру, две из которых, как показано, участвуют в образовании водородной связи либо с одним или более атомами соединения (1129), либо в виде мостиковой молекулы воды между конкретными атомами соединения (1129) и атомами аминокислотных остатков MASP-2. Как показано, азот N19 амидина взаимодействует с кислородом OD1 в ASP 627 в качестве донора водородной связи. В настоящем документе, когда заявлено, что азот действует в качестве «донора водородной связи», это означает, что водород (H), связанный с более электроотрицательным атомом, таким как азот (N), электростатически притягивается к соседнему атому, несущему неподеленную пару электронов, такому как кислород. Азот N19 также взаимодействует с кислородом SER628 в качестве донора водородной связи. Кроме того, N20 амидина взаимодействует с кислородом OE1 в GLN 665 и O в SER 657 в качестве донора водородной связи. Азот N10 амидной связи взаимодействует посредством H-связи в качестве донора с кислородом SER 654. Кроме того, кислород O07 взаимодействует посредством H-связи с азотом GLY 656 в качестве акцептора водородной связи. Аналогично тому, что указано выше, когда заявлено, что кислород действует в качестве «акцептора водородной связи», это означает, что водород (H), связанный с более электроотрицательным атомом, таким как азот (N), электростатически притягивается или «акцептируется» соседним атомом, таким как кислород, несущим неподеленную пару электронов. Кислород O08 взаимодействует с молекулой воды вблизи TRP 655. Кислород O26 взаимодействует с молекулой воды, как и вторичный амин N21, при этом та же самая молекула воды дополнительно взаимодействует с кислородом O3 близлежащей буферной молекулы янтарной кислоты (Sin1). Кроме того, соединение связывается посредством ионных или электростатических взаимодействий с ASP 627 (не показано).

ФИГ. 2 иллюстрирует взаимодействия аминокислот MASP-2 CCP2-SP с (1034) посредством водородных связей. Как показано, имеется семь разных водородных связей между атомами соединения (1034) и атомами аминокислотных остатков MASP-2. На фигуре не показано присутствие каких-либо молекул воды в кристаллической структуре. Азот N19 амидина взаимодействует с кислородом SER 657 в качестве донора водородной связи. N19 также взаимодействует с кислородом OE1 GLN 665 в качестве донора водородной связи. Азот N20 взаимодействует с кислородом OE1 GLN 665, кислородом SER 628 и кислородом OD1 ASP 627 в качестве донора водородной связи. Азот N10 взаимодействует с кислородом SER 654 посредством H-связи в качестве донора. Кислород O07 взаимодействует с азотом на GLY 656 посредством H-связи в качестве акцептора. Кроме того, соединение связывается посредством ионных или электростатических взаимодействий с ASP 627 (не показано).

ФИГ. 3 иллюстрирует взаимодействия аминокислот MASP-2 CCP2-SP с (1024) посредством водородных связей. Как показано, имеется пять разных водородных связей между атомами соединения (1024) и атомами остатка MASP-2. Кроме того, показано всего шесть молекул воды в активном сайте, включенных в кристаллическую структуру, четыре из которых, как показано, участвуют в образовании водородной связи либо с одним или более атомами соединения (1024), либо в виде мостиковой молекулы воды между конкретными атомами соединения (1024) и атомами аминокислотных остатков MASP-2. Как показано, кислород O2 взаимодействует с азотом GLY 656 в качестве акцептора водородной связи. Азот N1 взаимодействует с двумя разными молекулами воды вблизи TRP 655, одна из которых также взаимодействует с кислородом O1. Азот N2 взаимодействует с другой молекулой воды. Азот N3 взаимодействует с кислородом SER 654 в качестве донора водородной связи. Азот амидина N4 взаимодействует с кислородом SER 628 посредством H-связи в качестве донора, и кислородом OD2 ASP 627 посредством H-связи в качестве донора. Другой азот N5 амидина взаимодействует с кислородом SER 657 в качестве донора водородной связи и с соседней молекулой воды. Та же молекула воды, которая взаимодействует с азотом N5, также взаимодействует с кислородом OG SER 657, кислородом GLN 665 посредством водородной связи, и кислородом OD2 ASP 627 в качестве мостиковой молекулы воды. Кроме того, соединение связывается посредством ионного или электростатического взаимодействия с ASP 627 (не показано).

ФИГ. 4 иллюстрирует взаимодействия аминокислот MASP-2 CCP2-SP с (1059) посредством водородных связей. Как показано, имеется восемь разных H-связей между атомами соединения (1059) и атомами остатка MASP-2. Кроме того, показано всего шесть молекул воды в активном сайте, включенных в кристаллическую структуру, четыре из которых, как показано, участвуют в образовании водородной связи либо с одним или более атомами соединения (1059), либо в виде мостиковой молекулы воды между конкретными атомами соединения (1059) и атомами аминокислотных остатков MASP-2. Как показано, азот амина бензимидазольного фрагмента, N6, образует водородные связи в качестве донора с кислородом OD2 ASP 627, кислородом GLN 665 и кислородом OG SER 657. Азот N6 также может взаимодействовать с молекулой воды. Та же молекула воды, которая взаимодействует с азотом N6, также взаимодействует с кислородом OG SER 657 и кислородом ASN 659 в качестве мостиковой молекулы воды. Водород бензимидазола может таутомеризоваться между N4 и N5. Хотя там имеется только один водород, программа показывает, что азот N4 бензимидазола взаимодействует в качестве донора H-связи с кислородом OD1 ASP 627, и другой азот N5 имидазола взаимодействует с кислородом SER 657 в качестве донора водородной связи. Азот N1 взаимодействует с кислородом SER 654 в качестве донора водородной связи. Кислород O1 взаимодействует с соседней молекулой воды, являющейся мостиковой молекулой воды, которая также взаимодействует с азотом NH1 ARG 630 (обведенный крест) и азотом N3 (1059). Азот N3 взаимодействует с другой молекулой воды вблизи TRP 655, а также кислородом GLY 656 в качестве донора водородной связи. Кислород O2 взаимодействует с азотом GLY 656 в качестве акцептора водородной связи. Азот N2 взаимодействует с молекулой воды вблизи PHE 529. Кроме того, соединение связывается посредством ионных или электростатических взаимодействий с ASP 627 (не показано). Молекула, маркированная So41, обозначает сульфат-ион.

ФИГ. 5 иллюстрирует взаимодействия аминокислот MASP-2 CCP2-SP с (1088) посредством водородных связей. Как показано, имеется пять разных водородных связей между атомами соединения (1088) и атомами аминокислотных остатков MASP-2. Кроме того, показано, что всего 17 молекул воды находятся в активном сайте кристаллической структуры, семь из которых, как показано, участвуют в образовании водородных связей с соединением (1088), либо с одним или более атомами (1088), либо в качестве мостиковой молекулы воды между конкретными атомами соединения (1088) и атомами аминокислотных остатков MASP-2. Как показано, азот N31, азот первичного амина изохинолинового фрагмента, взаимодействует с кислородом OG SER 628 и кислородом OD1 ASP 627 в качестве донора водородной связи. Азот N31 также взаимодействует с соседней молекулой воды. Та же молекула воды, которая взаимодействует с азотом N31, также взаимодействует с кислородом OG SER 628 и кислородом VAL 668 в качестве мостиковой молекулы воды. Азот изохинолинового кольца, N29, образует водородную связь в качестве донора с кислородом OD2 ASP 627 и также взаимодействует с соседней молекулой воды. Та же молекула воды, которая взаимодействует с азотом N29, также взаимодействует с кислородом OD2 ASP 627, и азотом, и кислородом OG SER 657, и атомом кислорода GLN 665 в качестве мостиковой молекулы воды. Азот N01 взаимодействует с кислородом SER 654 в качестве донора водородной связи. Азот N05 взаимодействует с молекулой воды вблизи GLY 656 и PHE 529, и кислород O03 также взаимодействует с двумя разными молекулами воды, которые расположены между PHE 529 и SER 654. Кислород O07 взаимодействует с азотом GLY 656 в качестве акцептора водородной связи. Азот N18 взаимодействует с двумя разными молекулами воды, при этом одна из молекул воды также взаимодействует с азотом NH1 ARG 630 в качестве мостиковой молекулы воды. Кроме того, соединение связывается посредством ионных или электростатических взаимодействий с ASP 627 (не показано).

ФИГ. 6 иллюстрирует взаимодействия аминокислот MASP-2 CCP2-SP с (1036) посредством водородных связей. Как показано, имеется шесть разных водородных связей между атомами соединения (1036) и атомами остатков MASP-2. Кроме того, показано, что всего четыре молекулы воды включены в кристаллическую структуру, три из которых, как показано, участвуют в образовании водородной связи либо с одним или более атомами соединения (1036), либо в виде мостиковой молекулы воды между конкретными атомами соединения (1036) и атомами аминокислотных остатков MASP-2. Как показано, азот N26 амидина взаимодействует с кислородом SER 657 в качестве донора водородной связи. Азот N26 также взаимодействует с молекулой воды. Та же молекула воды, которая взаимодействует с азотом N26, также взаимодействует с кислородом OG SER 657, кислородом ASN 659, кислородом GLN 665 и кислородом OD2 ASP 627 в качестве мостиковой молекулы воды. Кроме того, N27 амидина образует водородные связи в качестве донора с кислородом OD2 ASP 627 и кислородом SER 628. Азот N17 взаимодействует с кислородом SER 654 в качестве донора водородной связи, и кислород O16 взаимодействует с молекулой воды, расположенной между ARG 630 и SER 654. Кислород O29 взаимодействует с азотом GLY 656 в качестве акцептора водородной связи, и азот пирролидинового фрагмента, N03, взаимодействует с молекулой воды. Кроме того, соединение связывается посредством ионных или электростатических взаимодействий с ASP 627 (не показано).

ФИГ. 7 иллюстрирует взаимодействия аминокислот MASP-2 CCP2-SP с (1081) посредством водородных связей. Как показано, имеется четыре разных водородных связи между атомами соединения (1081) и атомами аминокислотных остатков MASP-2. Кроме того, показано, что одна молекула воды включена в кристаллическую структуру, которая, как показано, участвует в образовании водородной связи в качестве мостиковой молекулы воды между одним атомом соединения и несколькими атомами аминокислотных остатков MASP-2. Как показано, азот N26 амидина взаимодействует с кислородом SER 657 в качестве донора водорода. Азот N26 также взаимодействует с молекулой воды. Та же молекула воды, которая взаимодействует с азотом N26, также взаимодействует с кислородом OG SER 657, атомом кислорода GLN 665, атомом кислорода ASN 659 и кислородом OD2 ASP 627 в качестве мостиковой молекулы воды. Другой азот амидина, N27, взаимодействует с кислородом SER 628 в качестве донора водородной связи. Азот N17 взаимодействует с кислородом SER 654 в качестве донора водородной связи, и азот N03 взаимодействует с кислородом GLY 656 в качестве донора водородной связи. Кроме того, соединение связывается посредством ионных или электростатических взаимодействий с ASP 627 (не показано).

ФИГ. 8 иллюстрирует взаимодействия аминокислот MASP-2 CCP2-SP с (1063) посредством водородных связей. Как показано, имеется четыре разных водородных связи между атомами соединения (1063) и атомами аминокислотных остатков MASP-2. Кроме того, показано, что всего две молекулы воды включены в кристаллическую структуру, одна из которых, как показано, участвует в образовании водородной связи с одним атомом соединения (1063). Как показано, азот N5 амидина взаимодействует с кислородом SER 657 в качестве донора водородной связи, и другой азот амидина N4 взаимодействует с кислородом SER 628 в качестве донора водородной связи. Азот N3 взаимодействует с кислородом SER 654 в качестве донора водородной связи, кислород O2 взаимодействует с соседней молекулой воды, и кислород O1 взаимодействует с азотом GLY 656 в качестве акцептора водородной связи. Кроме того, соединение связывается посредством ионных или электростатических взаимодействий с ASP 627 (не показано).

ФИГ. 9 иллюстрирует взаимодействия аминокислот MASP-2 CCP2-SP с (1065) посредством водородных связей. Как показано, имеется четыре разных водородных связи между атомами соединения (1065) и атомами остатка MASP-2. Кроме того, показано, что всего семь молекул воды включены в кристаллическую структуру, пять из которых, как показано, участвуют в образовании водородной связи либо с одним или более атомами соединения (1065), либо в виде мостиковой молекулы воды между конкретными атомами соединения (1065) и атомами аминокислотных остатков MASP-2. Как показано, азот N28 амидина взаимодействует с двумя разными мостиковыми молекулами воды, при этом одна из указанных молекул воды также взаимодействует с атомом кислорода SER 657, при этом вторая молекула воды взаимодействует с атомом азота SER 657, кислородом OH TYR 602, атомом кислорода GLN 665 и кислородом OD2 ASP 627. Азот N28 также образует водородную связь в качестве донора с кислородом OD2 ASP 627. Другой азот N29 амидина взаимодействует в качестве донора водородной связи с кислородом OD1 ASP627. Азот N29 также взаимодействует с соседней молекулой воды, образующей мостик между N29, атомом кислорода VAL 668 и кислородом OG SER6 28. Азот N14 взаимодействует с кислородом SER 654 в качестве донора водородной связи, и кислород O13 взаимодействует с молекулой воды. Та же молекула воды, которая взаимодействует с O13, также взаимодействует с атомом кислорода ARG 630 в качестве мостиковой молекулы воды. Кислород O09 взаимодействует с азотом GLY 656 в качестве акцептора водородной связи, и азот пиперидинового фрагмента, N06, взаимодействует с соседней молекулой воды. Кроме того, соединение связывается посредством ионных или электростатических взаимодействий с ASP 627 (не показано).

ФИГ. 10 иллюстрирует взаимодействия аминокислот MASP-2 CCP2-SP с (1030) посредством водородных связей. Как показано, имеется пять разных H-связей между атомами соединения (1030) и атомами MASP-2. Кроме того, показано, что всего три молекулы воды включены в кристаллическую структуру, две из которых, как показано, участвуют в образовании водородных связей с двумя разными атомами соединения. Как показано, азот амидина N4 взаимодействует с кислородом SER 657 в качестве донора водородной связи, и другой азот N5 амидина взаимодействует с кислородом OG SER 628 в качестве донора водородной связи. Азот N3 взаимодействует с кислородом SER 654 в качестве донора водородной связи, кислород O1 взаимодействует с молекулой воды вблизи PHE 529, и азот N2 взаимодействует с другой соседней молекулой воды. Кислород O2 взаимодействует с азотом GLY 656 в качестве акцептора водородной связи, при этом азот пиррольного фрагмента, N1, взаимодействует с кислородом GLY 656 в качестве донора водородной связи. Кроме того, соединение связывается посредством ионных или электростатических взаимодействий с ASP 627 (не показано).

ФИГ. 11 иллюстрирует взаимодействия аминокислот MASP-2 CCP2-SP с (1037) посредством водородных связей. Как показано, имеется четыре разных водородных связи между атомами молекулы (1037) и атомами аминокислотных остатков MASP-2. На фигуре не показано присутствие каких-либо молекул воды в кристаллической структуре. Азот N18 амидина взаимодействует с кислородом SER 657 в качестве донора водородной связи. Другой азот N19 амидина образует водородную связь в качестве донора с кислородом OD2 ASP 627. Азот 09 взаимодействует с кислородом SER 654 в качестве донора водорода, и кислород O04 взаимодействует относительно слабо в качестве акцептора водородной связи с азотом GLY 656. Кроме того, соединение связывается посредством ионных или электростатических взаимодействий с ASP 627 (не показано).

ФИГ. 12 иллюстрирует взаимодействия аминокислот MASP-2 CCP2-SP с (1118) посредством водородных связей. Как показано, имеется пять разных водородных связей между атомами (1118) и атомами аминокислот MASP-2. Кроме того, показано, что всего 17 молекул воды включены в кристаллическую структуру, пять из которых как показано, участвуют в образовании водородных связей, либо с отдельными атомами (1118), либо в виде мостиковой молекулы воды между конкретными атомами соединения (1118) и атомами аминокислотных остатков MASP-2. Как показано, один из атомов азота амидина, N4, взаимодействует с кислородом SER 657 в качестве донора водородной связи. Азот N4 также взаимодействует с мостиковой молекулой воды, образующей мостик между N4, кислородом OG SER 657, атомом кислорода GLN 665, кислородом OD2 ASP 627 и атомом кислорода ASN 659. Другой азот N5 амидина взаимодействует с кислородом OG SER 628 в качестве донора водородной связи. Азот N3 образует водородную связь в качестве донора с кислородом SER 654, и кислород O2 взаимодействует с двумя разными молекулами воды вблизи PHE 529. Азот N2 также взаимодействует с соседней молекулой воды. Кислород O1 взаимодействует с атомом азота GLY 656 в качестве акцептора водородной связи, при этом азот N1 взаимодействует с атомом кислорода GLY 656 в качестве донора водородной связи. Азот N1 также взаимодействует с молекулой воды. Кроме того, соединение связывается посредством ионных или электростатических взаимодействий с ASP 627 (не показано).

ФИГ. 13 иллюстрирует взаимодействия аминокислот MASP-2 CCP2-SP с (1090) посредством водородных связей. Как показано, имеется пять разных водородных связей между атомами (1090) и атомами остатка MASP-2. Кроме того, показано, что всего две молекулы воды включены в кристаллическую структуру, обе из которых, как показано, участвуют в образовании водородных связей, либо с одиночным атомом (1090), либо в виде мостиковой молекулы воды между одним атомом соединения (1090) и несколькими атомами аминокислотных остатков MASP-2. Как показано, азот N5, азот амина изохинолинового фрагмента, взаимодействует с соседней молекулой воды. Эта молекула воды также взаимодействует с кислородом OG SER 657 и атомом кислорода GLN 665 в качестве мостиковой молекулы воды. Азот N5 также взаимодействует с кислородом SER 657 в качестве донора водородной связи. Азот изохинолинового кольца, N4, взаимодействует с кислородом OD2 ASP 627 в качестве донора водородной связи. Азот N2 взаимодействует с кислородом SER 654 в качестве донора водородной связи, и кислород O1 взаимодействует с соседней молекулой воды, расположенной вблизи SER 654. Кислород O2 взаимодействует с атомом азота GLY 656 в качестве акцептора водородной связи, и азот пирролидинового фрагмента, N1, взаимодействует с атомом кислорода GLY 656 в качестве донора водородной связи.

ФИГ. 14 иллюстрирует взаимодействия аминокислот MASP-2 CCP2-SP с (1007) посредством водородных связей. Как показано, имеется четыре разных водородных связи между атомами соединения (1007) и атомами аминокислотных остатков MASP-2. Кроме того, показано, что всего три молекулы воды включены в кристаллическую структуру, все из которых, как показано, участвуют в образовании водородных связей, либо с отдельными атомами (1007), либо в виде мостиковой молекулы воды между конкретными атомами соединения (1007) и атомами аминокислотных остатков MASP-2. Как показано, азот N5, азот амина пиридинового фрагмента, взаимодействует с кислородом OD2 ASP 627 и кислородом SER 657 в качестве донора водородной связи. Азот пиридинового кольца, N1, взаимодействует с кислородом SER 628 в качестве донора водородной связи. Азот N1 также взаимодействует с молекулой воды. Эта молекула воды является мостиком между N1 (1007), кислородом OD1 ASP 627, кислородом OG SER 628, а также другим атомом кислорода SER628. Атом азота N2 взаимодействует с кислородом SER 654 в качестве донора водородной связи, и атом азота N4 взаимодействует с двумя разными молекулами воды, одна из которых является мостиковой молекулой воды, которая взаимодействует с NH1 ARG 630. Кроме того, соединение связывается посредством ионных или электростатических взаимодействий с ASP 627 (не показано).

ФИГ. 15 иллюстрирует взаимодействия аминокислот MASP-2 CCP2-SP с (1021) посредством водородных связей. Как показано, имеется две разных водородных связи между (1021) и атомами аминокислот MASP-2. Кроме того, показано, что одна молекула воды включена в кристаллическую структуру, которая, как показано, участвует в образовании водородной связи в качестве молекулы воды, являющейся мостиком между одним атомом соединения (1021) и атомом аминокислотного остатка MASP-2. Как показано, азот амида N1 взаимодействует с кислородом SER 654 в качестве донора водородной связи. Азот аминогруппы N3 взаимодействует с мостиковой молекулой воды, которая также взаимодействует с фенольной OH-группой TYR 607. Кислород O1 взаимодействует с азотом GLY 656 в качестве акцептора водородной связи. Кроме того, соединение не связывается посредством ионных или электростатических взаимодействий с ASP 627.

ФИГ. 16 иллюстрирует взаимодействия аминокислот MASP-2 CCP2-SP с (1097) посредством водородных связей. Как показано, имеется шесть разных H-связей между атомами соединения (1097) и атомами остатка MASP-2. Кроме того, показано, что всего пять молекул воды включены в кристаллическую структуру, четыре из которых, как показано, участвуют в образовании водородной связи либо с одним или более атомами соединения (1097), либо в виде мостиковой молекулы воды между конкретными атомами соединения (1097) и атомами аминокислотных остатков MASP-2. Как показано, азот амидина, N6, взаимодействует с кислородом SER 657 в качестве донора водородной связи. Азот N6 также взаимодействует с мостиковой молекулой воды, которая расположена между, и взаимодействует с, кислородом OG SER 657 и атомом кислорода GLN665. Кроме того, N5 амидина взаимодействует с кислородом OD2 ASP 627 и атомом кислорода SER 628 в качестве донора водородной связи. Азот N4 образует водородную связь в качестве донора с кислородом SER 654, и азот N3 взаимодействует с соседней молекулой воды. Кислород O1 (в каркасе) и азот N1 в пиперидинильном кольце конденсированной тетрагидропиридоиндольной системы взаимодействует с той же самой мостиковой молекулой воды, расположенной между HIS 483 и GLY 656. Азот N1 также взаимодействует с кислородом GLY 656 в качестве донора водородной связи, и кислород O2 взаимодействует с атомом азота GLY 656 в качестве акцептора водородной связи. Азот N2 в индольном кольце конденсированной тетрагидропиридоиндольной системы взаимодействует с молекулой воды, находящейся между TRP 655 и SER 657. Кроме того, соединение связывается посредством ионных или электростатических взаимодействий с ASP 627 (не показано).

ФИГ. 17 иллюстрирует взаимодействия аминокислот MASP-2 CCP2-SP с (1089) посредством водородных связей. Как показано, имеется пять разных водородных связей между атомами соединения (1089) и атомами аминокислотных остатков MASP-2. Кроме того, показано, что всего девять молекул воды включены в кристаллическую структуру, три из которых, как показано, участвуют в образовании водородных связей, либо с отдельными атомами (1089), либо в виде мостиковой молекулы воды между конкретными атомами соединения (1089) и атомами аминокислотных остатков MASP-2. Как показано, азот N5, азот первичного амина изохинолинового фрагмента, взаимодействует с атомом кислорода SER 657 в качестве донора водородной связи. Азот N5 также взаимодействует с мостиковой молекулой воды, которая расположена между, и взаимодействует с, кислородом OG SER 657, атомом кислорода GLN 665 и кислородом OD2 ASP627. Азот изохинолинового кольца, N4, взаимодействует с кислородом OD2 ASP 627 в качестве донора водородной связи. Азот N3 образует водородную связь в качестве донора с кислородом SER 654, и кислород O1 взаимодействует с соседней молекулой воды. Кислород O2 образует водородную связь в качестве акцептора с атомом азота GLY 656, при этом пирролидинильный азот N1 взаимодействует с атомом кислорода GLY 656 в качестве донора водородной связи. Азот N1 также взаимодействует с соседней молекулой воды. Кроме того, соединение связывается посредством ионных или электростатических взаимодействий с ASP 627 (не показано).

ФИГ. 18 иллюстрирует взаимодействия аминокислот MASP-2 CCP2-SP с мелагатраном посредством водородных связей. Как показано, имеется две разных H-связи между атомами мелагатрана и атомами остатков MASP-2. На фигуре не показано присутствие каких-либо молекул воды в кристаллической структуре. Один азот амидина, N25, взаимодействует с кислородом SER 657 в качестве донора водородной связи, и другой азот амидина N24 взаимодействует с кислородом SER 628 в качестве донора водородной связи. Кроме того, соединение связывается посредством ионных или электростатических взаимодействий, или водородных связей с ASP 627 (не показано).

ФИГ. 19 иллюстрирует взаимодействия аминокислот MASP-2 CCP2-SP с соединением 14 посредством водородных связей. Соединение связывается ковалентно с SER 633, с размыканием оксазин-4-онового кольца. Карбонильный атом кислорода O2 полученной сложноэфирной связи образует водородную связь с азотом NE2 HIS 483 в качестве акцептора водородной связи. Более того, тот же карбонильный атом кислорода также образует водородную связь с молекулой воды 66 в качестве акцептора водородной связи.

ФИГ. 20 иллюстрирует взаимодействия аминокислот MASP-2 CCP2-SP с соединением (54) посредством водородных связей. Как показано, имеется две разных H-связи между атомами соединения (54) и атомами остатков MASP-2. Карбонильный атом кислорода O09 взаимодействует с кислородом SER 628 в качестве акцептора водородной связи, и атом азота N15 аминогруппы взаимодействует с карбонильным кислородом SER 657 в качестве донора водородной связи. Кроме того, одна молекула воды включена в кристаллическую структуру, которая, как показано, участвует в качестве мостиковой молекулы воды между карбонильным атомом кислорода O09 соединения (54) и атомами аминокислотных остатков MASP-2 SER 628, TRP 655 и VAL 668.

ФИГ. 21 иллюстрирует взаимодействия аминокислот MASP-2 CCP2-SP с соединением (1042) посредством водородных связей. Как показано, имеется четыре разных водородных связи между атомами соединения (1042) и атомами аминокислотных остатков MASP-2. Как показано, азот амидина N21 взаимодействует с карбонильным кислородом O SER 657 в качестве донора водородной связи. Другой азот амидина N22 взаимодействует с карбонильным кислородом O SER 628 в качестве донора водородной связи и с кислородом OD1 карбоксилатной группы ASP 627 в качестве донора водородной связи. Азот аминогруппы N03 взаимодействует с карбонильным кислородом GLY 656 в качестве донора водородной связи.

ФИГ. 22 иллюстрирует взаимодействия аминокислот MASP-2 CCP2-SP с соединением (2018) посредством водородных связей. Как показано, имеется шесть разных водородных связей между атомами соединения (2018) и атомами аминокислотных остатков MASP-2. Как показано, один азот амидина, N4, взаимодействует с карбонильным кислородом O SER 657 в качестве донора водородной связи и с карбонильным кислородом OE1 SER 657 в качестве донора водородной связи. Другой азот амидина N5 взаимодействует с кислородом SER 628 в качестве донора водородной связи. Азот амида N3 взаимодействует с карбонильным кислородом O SER 654 в качестве донора водородной связи и с гидроксильным кислородом OG SER 633 в качестве акцептора водородной связи. Карбонильный кислород O2 взаимодействует с азотом N GLY 656 в качестве акцептора водородной связи. Показано, что всего четыре молекулы воды присутствуют в данной области активного сайта, и включаются в кристаллическую структуру, две из которых, как показано, участвуют в образовании водородных связей с одним или более атомами соединения (2018), либо в виде мостиковой молекулы воды между конкретными атомами соединения (2018) и атомами аминокислотных остатков MASP-2. Сульфат-ион также присутствует в кристаллической структуре и взаимодействует с азотом амида N6 соединения (2018) в качестве акцептора водородной связи.

ФИГ. 23 иллюстрирует взаимодействия аминокислот MASP-2 CCP2-SP с соединением (1149) посредством водородных связей. Как показано, имеется шесть разных водородных связей между атомами соединения (1149) и атомами аминокислотных остатков MASP-2. Как показано, азот амидина N1 взаимодействует с карбоксилатным кислородом OD2 ASP 627 в качестве донора водородной связи. Другой азот амидина N2 взаимодействует с карбонильным кислородом O SER 657 в качестве донора водородной связи и может взаимодействовать с гидроксильным кислородом OG SER 657 в качестве донора водородной связи, или с атомом серы SG CYS 660 в качестве донора водородной связи. Азот амида N3 взаимодействует с карбонильным кислородом O SER 654 в качестве донора водородной связи. Карбонильный кислород O2 взаимодействует с атомом азота GLY 656 в качестве акцептора водородной связи. Кроме того, показано, что одна молекула воды включена в кристаллическую структуру в данной области активного сайта, которая участвует в образовании водородной связи с карбонильным кислородом O1 соединения (1149).

ФИГ. 24 иллюстрирует взаимодействия аминокислот MASP-2 CCP2-SP с соединением (1031) посредством водородных связей. Как показано, имеется три разных водородных связи между соединением (1031) и атомами аминокислотных остатков MASP-2. Карбонильный кислород O04 взаимодействует с азотом гуанидина NE ARG 630 в качестве акцептора водородной связи. Карбонильный кислород O09 взаимодействует с азотом гуанидина NH1 ARG 630 в качестве акцептора водородной связи. Азот аминогруппы N11 взаимодействует с карбонильным кислородом O GLY 656 в качестве донора водородной связи.

ФИГ. 25 иллюстрирует взаимодействия аминокислот MASP-2 CCP2-SP с соединением (1153) посредством водородных связей. Как показано, имеется шесть разных водородных связей между атомами соединения (1153) и атомами аминокислотных остатков MASP-2. Как показано, азот амидина N1 взаимодействует с карбонильным кислородом O SER 657 в качестве донора водородной связи и с карбоксилатным кислородом OD2 ASP 627 в качестве донора водородной связи. Другой азот амидина N2 взаимодействует с гидроксильным кислородом OG SER 628 в качестве донора водородной связи. Карбонильный кислород O1 взаимодействует с азотом гуанидина NH2 ARG 630 в качестве акцептора водородной связи. Азот амина N5 взаимодействует с карбонильным кислородом GLY 656 в качестве донора водородной связи. Карбонильный кислород O2 взаимодействует с атомом азота GLY 656 в качестве акцептора водородной связи. Кроме того, показано, что одна молекула воды включена в кристаллическую структуру в данной области активного сайта, которая участвует в образовании водородной связи с азотом амида N3 соединения (1153).

ФИГ. 26 иллюстрирует взаимодействия аминокислот MASP-2 CCP2-SP с соединением (1025) посредством водородных связей. Как показано, имеется три разных водородных связи между атомами соединения (1025) и атомами аминокислотных остатков MASP-2. Азот амина N09 взаимодействует с карбоксилатным кислородом OD2 ASP 627 в качестве донора водородной связи, а также с карбонильным кислородом O SER 628 в качестве донора водородной связи. Азот пиридина N05 также взаимодействует с карбонильным кислородом O SER 628 в качестве донора водородной связи.

ФИГ. 27 иллюстрирует взаимодействия аминокислот MASP-2 CCP2-SP с соединением (1012) посредством водородных связей. Как показано, имеется пять разных водородных связей между атомами соединения (1012) и атомами аминокислотных остатков MASP-2. Как показано, азот амина N5 взаимодействует с карбоксилатным кислородом OD2 ASP 627 в качестве донора водородной связи, а также с карбонильным кислородом O SER 657 в качестве донора водородной связи. Азот амида N3 взаимодействует с карбонильным кислородом SER 654 в качестве донора водородной связи. Азот пирролидина N1 взаимодействует с карбонильным кислородом GLY 656 в качестве донора водородной связи. Карбонильный кислород O1 взаимодействует с атомом азота GLY 656 в качестве акцептора водородной связи. Кроме того, показано, что всего одиннадцать молекул воды в данной области активного сайта включены в кристаллическую структуру, три из которых, как показано, участвуют в образовании водородных связей, либо с одним или более атомами соединения (1012), либо в качестве мостиковой молекулы воды между конкретными атомами соединения (1012) и атомами аминокислотных остатков MASP-2. Один из атомов воды образует мостик между азотом пиридина N4 и карбоксилатным углеродом OD1 ASP 627 и гидроксильным кислородом OG SER 628. Хлорид-ион также присутствует в кристаллической структуре, соединяя мостиком N1 соединения (1012) с NH2 ARG 630 и молекулой воды 141.

ФИГ. 28 иллюстрирует взаимодействия аминокислот MASP-2 CCP2-SP с соединением (1078) посредством водородных связей. Как показано, имеется три разных водородных связи между атомами соединения (1078) и атомами аминокислотных остатков MASP-2. Карбонильный кислород O2 взаимодействует с азотом гуанидина NH2 ARG 630 в качестве акцептора водородной связи. Азот амида N2 также взаимодействует с азотом гуанидина NH2 ARG 630, но в качестве донора водородной связи. Азот амида N1 взаимодействует с карбонильным кислородом O SER 654 в качестве донора водородной связи. Карбонильный кислород O1 взаимодействует с азотом N GLY 656 в качестве акцептора водородной связи.

ФИГ. 29 иллюстрирует взаимодействия аминокислот MASP-2 CCP2-SP с соединением (1145) посредством водородных связей. Как показано, имеется пять разных водородных связей между атомами соединения (1145) и атомами аминокислотных остатков MASP-2. Как показано, азот амидина N5 взаимодействует с карбонильным кислородом O SER 657 в качестве донора водородной связи. Другой азот амидина N4 взаимодействует с карбонильным кислородом O SER 628 в качестве донора водородной связи. Азот амида N1 взаимодействует с карбонильным атомом кислорода O SER 654 в качестве донора водородной связи. Азот амина N3 взаимодействует с карбонильным кислородом GLY 656 в качестве донора водородной связи. Карбонильный кислород O2 взаимодействует с атомом азота GLY 656 в качестве акцептора водородной связи. Кроме того, показано, что две молекулы воды включены в кристаллическую структуру в данной области активного сайта, которые участвуют в образовании водородной связи с фенольным гидроксилом O1 и азотом амида N2 соединения (1145).

ФИГ. 30 иллюстрирует взаимодействия аминокислот MASP-2 CCP2-SP с соединением (1050) посредством водородных связей. Как показано, имеется четыре разных водородных связи между атомами соединения (1050) и атомами аминокислотных остатков MASP-2. Как показано, азот амидина N4 взаимодействует с карбонильным кислородом O SER 657 в качестве донора водородной связи. Азот амида N2 взаимодействует с карбонильным кислородом O SER 654 в качестве донора водородной связи. Азот аминогруппы N5 взаимодействует с карбонильным кислородом GLY 656 в качестве донора водородной связи. Карбонильный кислород O2 взаимодействует с атомом азота GLY 656 в качестве акцептора водородной связи. Кроме того, показано, что три молекулы воды включены в кристаллическую структуру в данной области активного сайта, каждая из которых участвует в образовании водородной связи с соединением (1050).

ФИГ. 31 иллюстрирует взаимодействия аминокислот MASP-2 CCP2-SP с соединением (1253) посредством водородных связей. Как показано, имеется шесть разных водородных связей между атомами соединения (1253) и атомами аминокислотных остатков MASP-2. Азот амина N07 взаимодействует с карбоксилатным кислородом OD2 ASP 627 в качестве донора водородной связи, а также с карбонильным кислородом O SER 657 в качестве донора водородной связи. Азот пиридина N01 может взаимодействовать с карбонильным кислородом O SER 628 в качестве донора водородной связи, и находится на расстоянии H-связи от молекулы воды 16, с которой он может взаимодействовать в качестве акцептора или донора. Азот амида N10 взаимодействует с карбонильным кислородом O SER 654 в качестве донора водородной связи. Азот пиперидина N22 взаимодействует с карбонильным кислородом O GLY 656 в качестве донора водородной связи. Карбонильный кислород O17 взаимодействует с азотом N GLY 656 в качестве акцептора водородной связи. Шесть молекул воды, как показано, включены в кристаллическую структуру в данной области активного сайта, четыре из которых вовлечены в водородные связи, либо с одним или более атомами соединения (1253), либо в качестве мостиковой молекулы воды между конкретными атомами соединения (1253) и атомами аминокислотных остатков MASP-2.

ФИГ. 32 иллюстрирует взаимодействия аминокислот MASP-2 CCP2-SP с соединением (1257) посредством водородных связей. Как показано, имеется четыре разных водородных связи между атомами соединения (1257) и атомами аминокислотных остатков MASP-2. Как показано, азот амина N08 взаимодействует с карбонильным кислородом O SER 657 в качестве донора водородной связи. Азот пиридина N01 может взаимодействовать с карбонильным кислородом O SER 628 в качестве донора водородной связи и находится на расстоянии H-связи от молекулы воды, с которой он может взаимодействовать в качестве акцептора или донора. Азот амида N10 взаимодействует с карбонильным кислородом SER 654 в качестве донора водородной связи. Азот пирролидина N18 взаимодействует с карбонильным кислородом GLY 656 в качестве донора водородной связи. Кроме того, показано, что всего тринадцать молекул воды в данной области активного сайта включены в кристаллическую структуру, четыре из которых, как показано, участвуют в образовании водородных связей, либо с одним или более атомами соединения (1257), либо в качестве мостиковой молекулы воды между конкретными атомами соединения (1257) и атомами аминокислотных остатков MASP-2

ФИГ. 33 иллюстрирует взаимодействия аминокислот MASP-2 CCP2-SP с соединением (1297) посредством водородных связей. Как показано, имеется шесть разных водородных связей между атомами соединения (1297) и атомами аминокислотных остатков MASP-2. Азот аминогруппы N5 взаимодействует с кислородом карбоксильной группы OD2 ASP 627 в качестве донора водородной связи, а также с кислородом карбонильной группы O SER 657 в качестве донора водородной связи. Азот пиридина N4 взаимодействует с карбонильным кислородом O SER 628 в качестве донора водородной связи. Азот амида N3 взаимодействует с карбонильным кислородом SER 654 в качестве донора водородной связи. Азот пиперидина N1 взаимодействует с карбонильным кислородом GLY 656 в качестве донора водородной связи. Карбонильный кислород O1 взаимодействует с атомом азота GLY 656 в качестве акцептора водородной связи. Кроме того, показано, что всего четыре молекулы воды в данной области активного сайта включены в кристаллическую структуру, которые, как показано, участвуют в образовании водородных связей либо с одним или более атомами соединения (1297), либо в качестве мостиковой молекулы воды между конкретными атомами соединения (1297) и атомами аминокислотных остатков MASP-2.

ФИГ. 34 иллюстрирует взаимодействия аминокислот MASP-2 CCP2-SP с соединением (1304) посредством водородных связей. Как показано, имеется шесть разных водородных связей между атомами соединения (1304) и атомами аминокислотных остатков MASP-2. Азот амина N5 взаимодействует с кислородом карбоксильной группы OD2 ASP 627 в качестве донора водородной связи, а также с карбонильным кислородом O SER 657 в качестве донора водородной связи. Азот пиридина N4 может взаимодействовать с карбонильным кислородом O SER 628 в качестве донора водородной связи и находится на расстоянии H-связи от молекулы воды, с которой он может взаимодействовать в качестве акцептора или донора. Азот амида N3 взаимодействует с карбонильным кислородом SER 654 в качестве донора водородной связи. Азот пирролидина N2 взаимодействует с карбонильным кислородом GLY 656 в качестве донора водородной связи. Карбонильный кислород O1 взаимодействует с атомом азота GLY 656 в качестве акцептора водородной связи. Кроме того, показано, что всего одиннадцать молекул воды включены в кристаллическую структуру в данной области активного сайта, три из которых, как показано, участвуют в образовании водородных связей, либо с одним или более атомами соединения (1304), либо в качестве мостиковой молекулы воды между конкретными атомами соединения (1304) и атомами аминокислотных остатков MASP-2. Хлорид-ион также присутствует в кристаллической структуре в данной области активного сайта, который взаимодействует с азотом пирролидина N2 в качестве акцептора водородной связи.

ФИГ. 35 иллюстрирует взаимодействия аминокислот MASP-2 CCP2-SP с соединением (1306) посредством водородных связей. Как показано, имеется пять разных водородных связей между атомами соединения (1306) и атомами аминокислотных остатков MASP-2. Как показано, один азот амидина, N5, взаимодействует с карбонильным кислородом SER 657 в качестве донора водородной связи, и другой азот амидина N4 взаимодействует с кислородом карбонильной группы SER 628 в качестве донора водородной связи и с кислородом карбоксильной группы OD2 ASP 627 в качестве донора водородной связи. Азот пирролидина N2 взаимодействует с карбонильным кислородом GLY 656 в качестве донора водородной связи. Карбонильный кислород O1 взаимодействует с атомом азота GLY 656 в качестве акцептора водородной связи.

ФИГ. 36 иллюстрирует взаимодействия аминокислот MASP-2 CCP2-SP с соединением (1307) посредством водородных связей. Как показано, имеется три разных водородных связи между атомами соединения (1307) и атомами аминокислотных остатков MASP-2. Азот амида N3 взаимодействует с карбонильным кислородом SER 654 в качестве донора водородной связи. Азот пирролидина N2 взаимодействует с карбонильным кислородом GLY 656 в качестве донора водородной связи. Карбонильный кислород O1 взаимодействует с атомом азота GLY 656 в качестве акцептора водородной связи. Показано, что две молекулы воды включены в кристаллическую структуру в данной области активного сайта, обе из которых, как показано, участвуют в образовании водородных связей, либо с одним или более атомами соединения (1307), либо в качестве мостиковой молекулы воды между конкретными атомами соединения (1307) и атомами аминокислотных остатков MASP-2. Фенольный атом кислорода образует внутримолекулярную H-связь с O2, служа в качестве донора H-связи, и он взаимодействует в качестве акцептора водородной связи с молекулой воды, которая также взаимодействует с атомом азота NH1 ARG 630 в качестве акцептора водородной связи и карбонильным кислородом SER 657 в качестве донора водородной связи.

ФИГ. 37 иллюстрирует взаимодействия аминокислот MASP-2 CCP2-SP с соединением (1328) посредством водородных связей. Как показано, имеется пять разных водородных связей между атомами соединения (1328) и атомами аминокислотных остатков MASP-2. Азот аминогруппы N5 взаимодействует с карбонильным кислородом O SER 657 в качестве донора водородной связи. Азот пиридина N4 взаимодействует с карбонильным кислородом O SER 628 в качестве донора водородной связи. Азот амида N3 взаимодействует с карбонильным кислородом SER 654 в качестве донора водородной связи. Азот пирролидина N2 взаимодействует с карбонильным кислородом GLY 656 в качестве донора водородной связи. Карбонильный кислород O1 взаимодействует с атомом азота GLY 656 в качестве акцептора водородной связи. Кроме того, показано, что одна молекула воды в данной области активного сайта включена в кристаллическую структуру, которая участвует в образовании водородной связи с азотом пирролидина (N2) соединения (1328).

ФИГ. 38 иллюстрирует взаимодействия аминокислот MASP-2 CCP2-SP с соединением (1334) посредством водородных связей. Как показано, имеется три разных водородных связи между атомами соединения (1334) и атомами аминокислотных остатков MASP-2. Азот амида N3 взаимодействует с карбонильным кислородом SER 654 в качестве донора водородной связи. Азот пирролидина N2 взаимодействует с карбонильным кислородом GLY 656 в качестве донора водородной связи. Карбонильный кислород O1 взаимодействует с атомом азота GLY 656 в качестве акцептора водородной связи. Показано, что девять молекул воды включены в кристаллическую структуру в данной области активного сайта, пять из которых, как показано, участвуют в образовании водородных связей, либо с одним или более атомами соединения (1334), либо в качестве мостиковой молекулы воды между конкретными атомами соединения (1334) и атомами аминокислотных остатков MASP-2.

ФИГ. 39 иллюстрирует взаимодействия аминокислот MASP-2 CCP2-SP с соединением (1335) посредством водородных связей. Как показано, имеется шесть разных водородных связей между атомами соединения (1335) и атомами аминокислотных остатков MASP-2. Азот амидина N6 взаимодействует с карбонильным кислородом O SER 657 в качестве донора водородной связи и карбонильным кислородом OE1 амидной группы GLN 665 в качестве донора водородной связи. Другой азот амидина N5 взаимодействует с кислородом гидроксильной группы OG SER 628 в качестве донора водородной связи. Азот амида N1 взаимодействует с карбонильным кислородом SER 654 в качестве донора водородной связи. Азот аминогруппы N3 взаимодействует с карбонильным кислородом GLY 656 в качестве донора водородной связи. Карбонильный кислород O1 взаимодействует с атомом азота GLY 656 в качестве акцептора водородной связи. Кроме того, показано, что четыре молекулы воды в данной области активного сайта включены в кристаллическую структуру, три из которых, как показано, участвуют в образовании водородных связей, либо с одним или более атомами соединения (1335), либо в качестве мостиковой молекулы воды между конкретными атомами соединения (1335) и атомами аминокислотных остатков MASP-2.

ФИГ. 40 иллюстрирует взаимодействия аминокислот MASP-2 CCP2-SP с соединением (1338) посредством водородных связей. Как показано, имеется шесть разных водородных связей между атомами соединения (1338) и атомами аминокислотных остатков MASP-2. Азот аминогруппы N5 взаимодействует с кислородом карбоксильной группы OD2 ASP 627 в качестве донора водородной связи, а также с карбонильным кислородом O SER 657 в качестве донора водородной связи. Азот пиридина N4 может взаимодействовать с карбонильным кислородом O SER 628 в качестве донора водородной связи и находится на расстоянии H-связи от молекулы воды, с которой он может взаимодействовать в качестве акцептора или донора. Азот амида N3 взаимодействует с карбонильным кислородом SER 654 в качестве донора водородной связи. Азот пирролидина N2 взаимодействует с карбонильным кислородом GLY 656 в качестве донора водородной связи. Карбонильный кислород O1 взаимодействует с атомом азота GLY 656 в качестве акцептора водородной связи. Кроме того, показано, что всего семнадцать молекул воды включены в кристаллическую структуру в данной области активного сайта, три из которых, как показано, участвуют в образовании водородных связей, либо с одним или более атомами соединения (1338), либо в качестве мостиковой молекулы воды между конкретными атомами соединения (1338) и атомами аминокислотных остатков MASP-2.

ФИГ. 41 иллюстрирует взаимодействия аминокислот MASP-2 CCP2-SP с соединением (1345) посредством водородных связей. Как показано, имеется семь разных водородных связей между атомами соединения (1345) и атомами аминокислотных остатков MASP-2. Азот амидина N6 взаимодействует с карбонильным кислородом O SER 657 в качестве донора водородной связи и с карбонильным кислородом OE1 GLN 665 в качестве донора водородной связи. Другой азот амидина N5 взаимодействует с карбонильным кислородом O SER 628 в качестве донора водородной связи. Азот амида N1 взаимодействует с карбонильным кислородом O SER 654 в качестве донора водородной связи. Азот вторичного амина N3 взаимодействует с карбонильным кислородом GLY 656 в качестве донора водородной связи. Карбонильный кислород O1 взаимодействует с азотом гуанидина NH1 ARG 630 в качестве акцептора водородной связи. Карбонильный кислород O2 взаимодействует с атомом азота GLY 656 в качестве акцептора водородной связи. Кроме того, показано, что одна молекула воды включена в кристаллическую структуру в данной области активного сайта, которая участвует в образовании водородной связи в качестве донора водородной связи с карбонильным кислородом O3 соединения (1345).

ФИГ. 42 иллюстрирует взаимодействия аминокислот MASP-2 CCP2-SP с соединением (1351) посредством водородных связей. Как показано, имеется пять разных водородных связей между атомами соединения (1351) и атомами аминокислотных остатков MASP-2. Азот аминогруппы N5 взаимодействует с кислородом карбоксилатной группы OD2 ASP 627 в качестве донора водородной связи, а также с карбонильным кислородом O SER 657 в качестве донора водородной связи. Азот амида N3 взаимодействует с карбонильным кислородом SER 654 в качестве донора водородной связи. Азот пирролидина N2 взаимодействует с карбонильным кислородом GLY 656 в качестве донора водородной связи. Карбонильный кислород O1 взаимодействует с атомом азота GLY 656 в качестве акцептора водородной связи. Кроме того, показано, что всего восемь молекул воды включены в кристаллическую структуру в данной области активного сайта, пять из которых, как показано, участвуют в образовании водородных связей, либо с одним или более атомами соединения (1351), либо в качестве мостиковой молекулы воды между конкретными атомами соединения (1351) и атомами аминокислотных остатков MASP-2.

ФИГ. 43 иллюстрирует взаимодействия аминокислот MASP-2 CCP2-SP с соединением (1353) посредством водородных связей. Как показано, имеется пять разных водородных связей между атомами соединения (1353) и атомами аминокислотных остатков MASP-2. Как показано, азот аминогруппы N5 взаимодействует с кислородом карбоксилатной группы OD2 ASP 627 в качестве донора водородной связи, а также с карбонильным кислородом O SER 657 в качестве донора водородной связи. Азот амида N3 взаимодействует с карбонильным кислородом SER 654 в качестве донора водородной связи. Азот пиперидина N1 взаимодействует с карбонильным кислородом GLY 656 в качестве донора водородной связи. Карбонильный кислород O1 взаимодействует с атомом азота GLY 656 в качестве акцептора водородной связи. Показано, что всего тринадцать молекул воды включены в кристаллическую структуру в данной области активного сайта, четыре из которых, как показано, участвуют в образовании водородных связей, либо с одним или более атомами соединения (1353), либо в качестве мостиковой молекулы воды между конкретными атомами соединения (1353) и атомами аминокислотных остатков MASP-2. Кроме того, присутствует хлорид-ион, который взаимодействует с азотом пиперидина N1 в качестве акцептора водородной связи. Также присутствует сульфат-ион.

ФИГ. 44 иллюстрирует взаимодействия аминокислот MASP-2 CCP2-SP с соединением (1360) посредством водородных связей. Как показано, имеется шесть разных водородных связей между атомами соединения (1360) и атомами аминокислотных остатков MASP-2. Азот аминогруппы N5 взаимодействует с кислородом карбоксилатной группы OD2 ASP 627 в качестве донора водородной связи, а также с карбонильным кислородом O SER 657 в качестве донора водородной связи. Азот амида N3 взаимодействует с карбонильным кислородом SER 654 в качестве донора водородной связи. Азот пиридина N4 взаимодействует с карбонильным кислородом SER 628 в качестве донора водородной связи и находится на расстоянии H-связи от молекулы воды, с которой он может взаимодействовать в качестве акцептора или донора. Азот пирролидина N2 взаимодействует с карбонильным кислородом GLY 656 в качестве донора водородной связи. Карбонильный кислород O1 взаимодействует с атомом азота GLY 656 в качестве акцептора водородной связи. Кроме того, показано, что всего семь молекул воды включены в кристаллическую структуру в данной области активного сайта, четыре из которых, как показано, участвуют в образовании водородных связей, либо с одним или более атомами соединения (1360), либо в качестве мостиковой молекулы воды между конкретными атомами соединения (1360) и атомами аминокислотных остатков MASP-2. Также присутствуют сульфат-ион и хлорид-ион.

ФИГ. 45 иллюстрирует взаимодействия аминокислот MASP-2 CCP2-SP с соединением (1367) посредством водородных связей. Как показано, имеется шесть разных водородных связей между атомами соединения (1367) и атомами аминокислотных остатков MASP-2. Азот аминогруппы N4 взаимодействует с кислородом карбоксилатной группы OD2 ASP 627 в качестве донора водородной связи, а также с карбонильным кислородом O SER 657 в качестве донора водородной связи. Азот пиридина N3 может взаимодействовать с карбонильным кислородом O SER 628 в качестве донора водородной связи и находится на расстоянии H-связи от молекулы воды, с которой он может взаимодействовать в качестве акцептора или донора. Азот амида N2 взаимодействует с карбонильным кислородом SER 654 в качестве донора водородной связи. Азот пиразола N6 взаимодействует с карбонильным кислородом GLY 656 в качестве донора водородной связи. Карбонильный кислород O2 взаимодействует с атомом азота GLY 656 в качестве акцептора водородной связи. Кроме того, показано, что всего семь молекул воды включены в кристаллическую структуру в данной области активного сайта, три из которых, как показано, участвуют в образовании водородных связей, либо с одним или более атомами соединения (1367), либо в качестве мостиковой молекулы воды между конкретными атомами соединения (1367) и атомами аминокислотных остатков MASP-2.

ФИГ. 46 иллюстрирует взаимодействия аминокислот MASP-2 CCP2-SP с соединением (1368) посредством водородных связей. Как показано, имеется шесть разных водородных связей между атомами соединения (1368) и атомами аминокислотных остатков MASP-2. Как показано, азот аминогруппы N38 взаимодействует с карбонильным кислородом O SER 657 в качестве донора водородной связи, а также с кислородом карбоксильной группы OD2 ASP 627 в качестве донора водородной связи. Азот пиридина N34 может взаимодействовать с карбонильным кислородом O SER 628 в качестве донора водородной связи и находится на расстоянии H-связи от молекулы воды, с которой он может взаимодействовать в качестве акцептора или донора. Азот амида N01 взаимодействует с карбонильным кислородом SER 654 в качестве донора водородной связи. Карбонильный кислород O29 взаимодействует с азотом GLY 656 в качестве акцептора водородной связи. Азот ацетамидной группы N17 взаимодействует с карбонильным кислородом PRO 606 в качестве донора водородной связи. Кроме того, показано, что всего пятнадцать молекул воды в данной области активного сайта включены в кристаллическую структуру, пять из которых, как показано, участвуют в образовании водородных связей, либо с одним или более атомами соединения (1368), либо в качестве мостиковой молекулы воды между конкретными атомами соединения (1368) и атомами аминокислотных остатков MASP-2. Также присутствует сульфат-ион.

ФИГ. 47 иллюстрирует взаимодействия аминокислот MASP-2 CCP2-SP с соединением (1371) посредством водородных связей. Как показано, имеется четыре разных водородных связи между атомами соединения (1371) и атомами аминокислотных остатков MASP-2. Азот амида N3 взаимодействует с карбонильным кислородом SER 654 в качестве донора водородной связи. Азот пирролидина N2 взаимодействует с карбонильным кислородом GLY 656 в качестве донора водородной связи. Карбонильный кислород O1 взаимодействует с атомом азота GLY 656 в качестве акцептора водородной связи. Азот тетразола N7 взаимодействует с молекулой воды в качестве акцептора водородной связи. C23 взаимодействует с карбонильным кислородом O SER657 в качестве донора водородной связи. Показано, что одна молекула воды в данной области активного сайта включена в кристаллическую структуру, которая участвует в образовании водородной связи с азотом тетразола N6 соединения (1371).

ФИГ. 48 иллюстрирует взаимодействия аминокислот MASP-2 CCP2-SP с соединением (1372) посредством водородных связей. Как показано, имеется восемь разных водородных связей между атомами соединения (1372) и атомами аминокислотных остатков MASP-2. Азот аминогруппы N4 взаимодействует с карбонильным кислородом O SER 657 в качестве донора водородной связи и с атомом кислорода карбоксильной группы O2 ASP 627 в качестве донора водородной связи. Азот пиридина N3 может взаимодействовать с карбонильным кислородом O SER 628 в качестве донора водородной связи и находится на расстоянии H-связи от молекулы воды, с которой он может взаимодействовать в качестве акцептора или донора. Азот амида N2 взаимодействует с карбонильным кислородом SER 654 в качестве донора водородной связи. Азот пирролидина N5 взаимодействует с карбонильным кислородом GLY 656 в качестве донора водородной связи. Карбонильный кислород O2 взаимодействует с атомом азота GLY 656 в качестве акцептора водородной связи. Кроме того, показано, что всего восемь молекул воды включены в кристаллическую структуру в данной области активного сайта, четыре из которых, как показано, участвуют в образовании водородных связей, либо с одним или более атомами соединения (1372), либо в качестве мостиковой молекулы воды между конкретными атомами соединения (1372) и атомами аминокислотных остатков MASP-2. Также присутствует сульфат-ион.

ФИГ. 49 иллюстрирует взаимодействия аминокислот MASP-2 CCP2-SP с соединением (1373) посредством водородных связей. Как показано, имеется шесть разных водородных связей между атомами соединения (1373) и атомами аминокислотных остатков MASP-2. Азот аминогруппы N5 взаимодействует с карбонильным кислородом O SER 657 в качестве донора водородной связи и с атомом кислорода карбоксилатной группы OD2 ASP 627 в качестве донора водородной связи. Азот пиридина N3 может взаимодействовать с карбонильным кислородом O SER 628 в качестве донора водородной связи и находится на расстоянии H-связи от молекулы воды, с которой он может взаимодействовать в качестве акцептора или донора. Азот амида N3 взаимодействует с карбонильным кислородом SER 654 в качестве донора водородной связи. Азот пирролидина N2 взаимодействует с карбонильным кислородом GLY 656 в качестве донора водородной связи. Карбонильный кислород O1 взаимодействует с атомом азота GLY 656 в качестве акцептора водородной связи. Кроме того, показано, что всего семнадцать молекул воды в данной области активного сайта включены в кристаллическую структуру, три из которых, как показано, участвуют в образовании водородных связей, либо с одним или более атомами соединения (1373), либо в качестве мостиковой молекулы воды между конкретными атомами соединения (1373) и атомами аминокислотных остатков MASP-2. Также присутствуют хлорид- и сульфат-ионы.

ФИГ. 50 иллюстрирует взаимодействия аминокислот MASP-2 CCP2-SP с соединением (1492) посредством водородных связей. Как показано, имеется семь разных водородных связей между атомами соединения (1492) и атомами аминокислотных остатков MASP-2. Азот бензимидазола N5 взаимодействует с карбонильным кислородом O SER 657 в качестве донора водородной связи. Азот бензимидазола ND6 взаимодействует с атомом кислорода карбоксильной группы OD1 ASP 627 в качестве донора водородной связи. Азот аминогруппы N7 взаимодействует с атомом кислорода карбоксильной группы OD2 ASP 627 в качестве донора водородной связи, а также с карбонильным атомом кислорода O GLN 665 в качестве донора водородной связи. Азот амида N4 взаимодействует с карбонильным кислородом SER 654 в качестве донора водородной связи. Азот N3 взаимодействует с карбонильным кислородом GLY 656 в качестве донора водородной связи. Карбонильный кислород O1 взаимодействует с атомом азота GLY 656 в качестве акцептора водородной связи.

ФИГ. 51 иллюстрирует взаимодействия аминокислот MASP-2 CCP2-SP с соединением (1399) посредством водородных связей. Как показано, имеется шесть разных водородных связей между атомами соединения (1399) и атомами аминокислотных остатков MASP-2. Азот аминогруппы N5 взаимодействует с карбонильным кислородом O SER 657 в качестве донора водородной связи и с карбоксилатным атомом кислорода OD2 ASP 627 в качестве донора водородной связи. Азот пиридина N4 может взаимодействовать с карбонильным кислородом O SER 628 в качестве донора водородной связи и находится на расстоянии H-связи от молекулы воды, с которой он может взаимодействовать в качестве акцептора или донора. Азот амида N3 взаимодействует с карбонильным кислородом SER 654 в качестве донора водородной связи. Азот пирролидина N1 взаимодействует с карбонильным кислородом GLY 656 в качестве донора водородной связи. Карбонильный кислород O1 взаимодействует с атомом азота GLY 656 в качестве акцептора водородной связи. Кроме того, показано, что всего одиннадцать молекул воды в данной области активного сайта включены в кристаллическую структуру, четыре из которых, как показано, участвуют в образовании водородных связей, либо с одним или более атомами соединения (1399), либо в качестве мостиковой молекулы воды между конкретными атомами соединения (1399) и атомами аминокислотных остатков MASP-2. Хлорид- и сульфат-ионы также присутствуют и, как показано, взаимодействуют в водородной связи с водой в кристаллической структуре.

ФИГ. 52 иллюстрирует взаимодействия аминокислот MASP-2 CCP2-SP с соединением (1406) посредством водородных связей. Как показано, имеется пять разных водородных связей между атомами соединения (1406) и атомами аминокислотных остатков MASP-2. Азот аминогруппы N5 взаимодействует с карбонильным кислородом O SER 657 в качестве донора водородной связи и с атомом кислорода карбоксильной группы OD2 ASP 627 в качестве донора водородной связи. Азот амида N3 взаимодействует с карбонильным кислородом SER 654 в качестве донора водородной связи. Азот пирролидина N2 взаимодействует с карбонильным кислородом GLY 656 в качестве донора водородной связи. Карбонильный кислород O1 взаимодействует с атомом азота GLY 656 в качестве акцептора водородной связи. Кроме того, показано, что всего восемь молекул воды в данной области активного сайта включены в кристаллическую структуру, четыре из которых, как показано, участвуют в образовании водородных связей, либо с одним или более атомами соединения (1406), либо в качестве мостиковой молекулы воды между конкретными атомами соединения (1406) и атомами аминокислотных остатков MASP-2.

ФИГ. 53 иллюстрирует взаимодействия аминокислот MASP-2 CCP2-SP с соединением (1411) посредством водородных связей. Как показано, имеется шесть разных водородных связей между атомами соединения (1411) и атомами аминокислотных остатков MASP-2. Азот аминогруппы N5 взаимодействует с карбонильным кислородом O SER 657 в качестве донора водородной связи и с атомом кислорода карбоксильной группы OD2 ASP 627 в качестве донора водородной связи. Азот пиридина N4 может взаимодействовать с карбонильным кислородом O SER 628 в качестве донора водородной связи и находится на расстоянии H-связи от молекулы воды, с которой он может взаимодействовать в качестве акцептора или донора. Азот амида N1 взаимодействует с карбонильным кислородом SER 654 в качестве донора водородной связи. Карбонильный кислород O2 взаимодействует с атомом азота GLY 656 в качестве акцептора водородной связи. Кислород карбоксилата O3 взаимодействует с азотом гуанидина NH2 ARG 630 в качестве акцептора водородной связи. Кроме того, показано, что всего четыре молекулы воды в данной области активного сайта включены в кристаллическую структуру, три из которых, как показано, участвуют в образовании водородных связей, либо с одним или более атомами соединения (1411), либо в качестве мостиковой молекулы воды между конкретными атомами соединения (1411) и атомами аминокислотных остатков MASP-2.

ФИГ. 54 иллюстрирует взаимодействия аминокислот MASP-2 CCP2-SP с соединением (1433) посредством водородных связей. Как показано, имеется три разных водородных связи между атомами соединения (1433) и атомами аминокислотных остатков MASP-2. Азот амида N3 взаимодействует с карбонильным кислородом O SER 654 в качестве донора водородной связи. Азот пиперидина N5 взаимодействует с карбонильным кислородом O GLY 656 в качестве донора водородной связи. Карбонильный кислород O2 взаимодействует с азотом N GLY 656 в качестве акцептора водородной связи. Показано, что шесть молекул воды включены в кристаллическую структуру в данной области активного сайта, четыре из которых вовлечены в водородную связь либо с одним или более атомами соединения (1433), либо в качестве мостиковой молекулы воды между конкретными атомами соединения (1433) и атомами аминокислотных остатков MASP-2.

ФИГ. 55 иллюстрирует взаимодействия аминокислот MASP-2 CCP2-SP с соединением (1435) посредством водородных связей. Как показано, имеется пять разных водородных связей между атомами соединения (1435) и атомами аминокислотных остатков MASP-2. Азот аминогруппы N5 взаимодействует с карбоксилатным кислородом OD2 ASP 627 в качестве донора водородной связи и с карбонильным кислородом O SER 657 в качестве донора водородной связи. Азот амида N3 взаимодействует с карбонильным кислородом SER 654 в качестве донора водородной связи. Азот пирролидина N2 взаимодействует с карбонильным кислородом GLY 656 в качестве донора водородной связи. Карбонильный кислород O1 взаимодействует с атомом азота GLY 656 в качестве акцептора водородной связи. Кроме того, показано, что восемь молекул воды в данной области активного сайта включены в кристаллическую структуру, три из которых вовлечены в водородную связь, либо с одним или более атомами соединения (1435), либо в качестве мостиковой молекулы воды между конкретными атомами соединения (1435) и атомами аминокислотных остатков MASP-2. Также присутствует хлорид-ион, который может участвовать в образовании водородной связи с азотом пирролидина N2.

ФИГ. 56 иллюстрирует взаимодействия аминокислот MASP-2 CCP2-SP с соединением (1441) посредством водородных связей. Как показано, имеется пять разных водородных связей между атомами соединения (1441) и атомами аминокислотных остатков MASP-2. Азот аминогруппы N5 взаимодействует с карбонильным кислородом O SER 657 в качестве донора водородной связи и с атомом кислорода карбоксильной группы OD2 ASP 627 в качестве донора водородной связи. Азот пиридина N4 может взаимодействовать с карбонильным кислородом O SER 628 в качестве донора водородной связи и находится на расстоянии H-связи от молекулы воды, с которой он может взаимодействовать в качестве акцептора или донора. Азот амида N1 взаимодействует с карбонильным кислородом SER 654 в качестве донора водородной связи. Карбонильный кислород O1 взаимодействует с атомом азота GLY 656 в качестве акцептора водородной связи. Кроме того, показано, что всего двенадцать молекул воды в данной области активного сайта включены в кристаллическую структуру, три из которых, как показано, участвуют в образовании водородных связей либо с одним или более атомами соединения (1441), либо в качестве мостиковой молекулы воды между конкретными атомами соединения (1441) и атомами аминокислотных остатков MASP-2.

ФИГ. 57 иллюстрирует взаимодействия аминокислот MASP-2 CCP2-SP с соединением (1450) посредством водородных связей. Как показано, имеется три разных водородных связи между атомами соединения (1450) и атомами аминокислотных остатков MASP-2. Азот амида N3 взаимодействует с карбонильным кислородом O SER 654 в качестве донора водородной связи. Азот пирролидина N2 взаимодействует с карбонильным кислородом O GLY 656 в качестве донора водородной связи. Карбонильный кислород O1 взаимодействует с азотом N GLY 656 в качестве акцептора водородной связи. Показано, что девять молекул воды включены в кристаллическую структуру в данной области активного сайта, три из которых вовлечены в водородную связь либо с одним или более атомами соединения (1450), либо в качестве мостиковой молекулы воды между конкретными атомами соединения (1450) и атомами аминокислотных остатков MASP-2. Также присутствует хлорид-ион, который участвует в образовании водородной связи с атомом азота пирролидина N2.

В конкретных аспектах настоящее изобретение относится к соединению с MASP-2-ингибирующей активностью для терапевтического применения в лечении MASP-2-связанного заболевания или нарушения, имеющему одно или более, например, 1, 2, 3, 4 или 5, из следующих взаимодействий (a) - (e):

a) соединение связывается посредством H-связей с одним или более из PRO 606, ASP 627, SER 628, ARG 630, SER 633, SER 654, GLY 656, SER 657, CYS 660 и GLN 665 в MASP-2;

b) соединение связывается посредством ионных или электростатических взаимодействий, или водородных связей с одним или более из ASP 627 и ARG 630 в MASP-2;

c) соединение взаимодействует через молекулу воды в MASP-2 с одним или более из TYR 602, TYR 607, ASP 627, SER 628, SER 657, ASN 659, GLU 662, TRP 655, GLY656, CYS660, GLN 665, TYR 666, VAL 668 и ARG 630 в MASP-2;

d) соединение взаимодействует посредством п-п взаимодействий с одним или более из PHE 529, TYR 607 и TRP 655 в MASP-2; и

e) соединение взаимодействует посредством ван-дер-ваальсовых контактов с одним или более из ALA 468, ALA 469, HIS 483, ASP 526, ALA 527, GLY 528, PHE 529, LEU 575, PRO 606, TYR 607, PRO 608, SER 611, ASP 627, SER 628, CYS 629, ARG 630, GLY 631, ASP 632, SER 633, GLY 634, GLY 635, VAL 653, SER 654, TRP 655, GLY656, SER 657, MET 658, ASN 659, CYS 660, GLN 665, GLY 667 и TYR 669 в MASP-2,

при этом соединение не является эндогенным лигандом или субстратом MASP-2.

В конкретных аспектах настоящее изобретение относится к соединению с MASP-2-ингибирующей активностью для терапевтического применения в лечении MASP-2-связанного заболевания или нарушения, имеющему одно или более, например, 1, 2, 3, 4 или 5, из следующих взаимодействий (a) - (e):

a) соединение связывается посредством H-связей с 1, 2, 3, 4, 5, 6 или 7 из PRO 606, ARG 630, SER 633, SER 654, SER 657, CYS 660 и GLN 665 в MASP-2;

b) соединение взаимодействует посредством ван-дер-ваальсовых контактов с 1, 2, 3, 4, 5, 6, 7 или 8 из ALA 469, GLY 634, GLY 635, SER 657, ASN 659, CYS 660, GLN 665 и TYR 669 в MASP-2.

Регистрационный код базы данных белков 3TVJ. Были идентифицированы следующие остатки MASP-2, связывающиеся с пептидом SGMI-2 посредством водородных связей: GLY 656 (2 H-связи), ASP 627, SER 628 (2 H-связи), SER 633 (2 H-связи), GLY 631, THR 467 (3 H-связи), GLY 464, GLY 465, MET 658, и посредством ван-дер-ваальсовых взаимодействий с PRO 608, PHE 529, TYR 602, TYR 607, TRP 655, HIS 483, ALA 484, VAL 653, LEU 575, LEU 581, ALA 468, THR 466 и ARG 630. Анализ связанной структуры 3TVJ с использованием программы LigPlot Plus показал, что следующие аминокислоты вовлечены в несвязанные контакты: GLY 464, GLY 465, THR 466, THR 467, ALA 468, HIS 483, ALA 484, HIS 525, ASP 526, ALA 527, GLY 528, PHE 529, LEU 575, LEU 581, TYR 602, PRO 606, TYR 607, PRO 608, ARG 609, GLY 610, SER 611, ASP 627, SER 628, CYS 629, ARG 630, GLY 631, ASP 632, SER 633, VAL 653, SER 654, TRP655, GLY 656, MET 658, GLY 667.

В конкретных аспектах настоящее изобретение относится к соединению с MASP-2-ингибирующей активностью для терапевтического применения в лечении MASP-2-связанного заболевания или нарушения, имеющему одно или более, например, 1, 2, 3, 4 или 5, из следующих взаимодействий (a) - (e):

a) соединение связывается посредством H-связей с одним или более из ASP 627, SER 628, SER 654, GLY 656, GLN 665 и SER 657 в MASP-2;

b) соединение связывается посредством ионных или электростатических взаимодействий, или водородных связей с ASP 627 в MASP-2;

c) соединение взаимодействует через молекулу воды в MASP-2 с одним или более из ASP 627, GLN 665, SER 657, ASN 659, SER 628, GLU 662, VAL 668, TYR607, TYR602, ARG630 в MASP-2;

d) соединение взаимодействует посредством п-п взаимодействий с одним или более из PHE 529, TYR 607 и TRP 655 в MASP-2; и

e) соединение взаимодействует посредством ван-дер-ваальсовых контактов с одним или более из HIS 483, PHE 529, PRO 606, TYR 607, PRO 608, SER 611, ASP 627, SER 628, CYS 629, ARG 630, SER 633, VAL 653, SER 654, TRP 655, GLY 656, SER 657, MET 658, ASN 659, CYS 660, GLN 665, GLY 667 и TYR 669 в MASP-2,

при этом соединение не является эндогенным лигандом или субстратом MASP-2.

В конкретных аспектах соединение взаимодействует с 1, 2, 3, 4 или 5 из признаков (a) - (e), приведенных выше, в любом сочетании. Соединение не является эндогенным лигандом или субстратом MASP-2.

В некоторых вариантах осуществления соединение связывается посредством H-связей с одним или более из следующего: PRO 606, ASP 627, SER 628, SER 633, SER 654, GLY 656, SER 657, CYS 660 и GLN 665 в MASP-2.

В некоторых вариантах осуществления соединение связывается посредством H-связей с одним или более из следующего: ASP 627, SER 628, SER 654, GLY 656, GLN 665 и SER 657 в MASP-2.

В некоторых вариантах осуществления соединение связывается посредством 1-10 H-связей.

В некоторых вариантах осуществления соединение связывается посредством 3 H-связей с SER 654 и GLY 656, при этом имеются две H-связи с GLY 656 в MASP-2.

В некоторых вариантах осуществления соединение связывается посредством ионных или электростатических взаимодействий, или водородных связей с одним или обоими из ASP 627 и ARG 630 в MASP-2.

В некоторых вариантах осуществления соединение связывается посредством ионных или электростатических взаимодействий, или водородных связей с ASP 627 в MASP-2.

В некоторых вариантах осуществления соединение не связывается посредством ионных взаимодействий с ASP 627 или ARG 630 в MASP-2.

В некоторых вариантах осуществления соединение не связывается посредством ионных взаимодействий с ASP 627 в MASP-2.

В некоторых вариантах осуществления соединение связывается через молекулу воды в MASP-2 с одним или более из TYR 602, TYR 607, ASP 627, SER 628, SER 657, ASN 659, GLU 662, TRP 655, GLY656, CYS660, GLN 665, TYR 666, VAL 668 и ARG 630 в MASP-2.

В некоторых вариантах осуществления соединение связывается через молекулу воды в MASP-2 с одним или более из ASP 627, GLN 665, SER 657, ASN 659, SER 628, GLU 662, VAL 668, TYR 607, TYR 602 и ARG 630.

В некоторых вариантах осуществления соединение связывается через 1-20 молекул воды в MASP-2.

В некоторых вариантах осуществления соединение связывается через 1, 2, 3, 4, 5, 6, 7, 8, 9, 10, 11, 12, 13, 14, 15, 16 или 17 молекул воды в MASP-2.

В некоторых вариантах осуществления соединение взаимодействует посредством п-п взаимодействий с одним или более из PHE 529, TYR 607 и TRP 655 в MASP-2.

В некоторых вариантах осуществления соединение взаимодействует посредством ван-дер-ваальсовых контактов с одним или более из ALA 468, ALA 469, HIS 483, ASP 526, ALA 527, GLY 528, PHE 529, LEU 575, PRO 606, TYR 607, PRO 608, SER 611, ASP 627, SER 628, CYS 629, ARG 630, GLY 631, ASP 632, SER 633, GLY634, GLY 635, VAL 653, SER 654, TRP 655, GLY 656, SER 657, MET 658, ASN 659, CYS 660, GLN 665, GLY 667 и TYR 669 в MASP-2.

В некоторых вариантах осуществления соединение взаимодействует посредством ван-дер-ваальсовых контактов с одним или более из HIS 483, PHE 529, PRO 606, TYR 607, PRO 608, SER 611, ASP 627, SER 628, CYS 629, ARG 630, SER 633, VAL 653, SER 654, TRP 655, GLY 656, SER 657, MET 658, ASN 659, CYS 660, GLN 665, GLY 667 и TYR 669 в MASP-2.

Вышеуказанный набор правил для взаимодействий был разработан для усиления ингибирования MASP-2, и в то же время уменьшения ингибирования тромбина. Более конкретно, вышеуказанные правила обеспечивают получение соединений, которые предпочтительно ингибируют MASP-2 в сравнении с ингибированием тромбина. В конкретных аспектах соотношение избирательности для пары MASP-2:тромбин составляет по меньшей мере 1,1:1, 1,25:1, 1,5:1, 1,75:1, 2:1, 3:1, 4:1, 5:1, 6:1, 7:1, 8:1, 9:1, 10:1, 11:1, 12:1, 13:1, 14:1, 15:1, 16:1, 17:1, 18:1, 19:1, 20:1, 21:1, 22:1, 23:1, 24:1, 25:1 или 30:1.

Кристаллографические данные и свидетельства способствовали разработке и выявлению правил.

Вышеуказанные взаимодействия атомов лиганда-MASP-2 представляют собой полярные взаимодействия. Полярные взаимодействия атомов лиганда с атомами MASP-2 (водородные связи и ионные связи) входят в число парных контактов с максимальным контактным расстоянием 3,35 между атомами донора и акцептора, рассчитанным при помощи настроек программы LigPlot+ для расчета параметров водородных связей с использованием моделей, полученных на основании соответствующих кристаллографических совместных структур MASP-2-соединение. Нумерация аминокислотных остатков MASP-2 (MASP-2 ак №) произведена в соответствии с регистрационным кодом Uniprot O00187, нумерация атомов для аминокислот (ак атом) произведена в соответствии с условными обозначениями, установленными в базе данных белков, и нумерация атомов лигандов является такой, как указано на ФИГ. 1-57. В Таблице A1 (Приложение) показано взаимодействие атомов лигандов, с обозначениями «D» для донора водородной связи и «A» для акцептора водородной связи. Единицей расстояний является ангстрем.

Специфические для MASP-2 пептидные ингибиторы были разработаны ранее (Kocsis et al., 2010, et al., 2012). Низкомолекулярные ингибиторы с характеристиками лекарственных средств, однако, ранее не были описаны в литературе. Взаимодействие искусственно созданного специфического для MASP-2 38-мерного полипептида, называемого SGMI-2, с MASP-2 было определено с помощью кристаллографического анализа ( et al., 2012, регистрационный код базы данных белков 3TVJ). Установлено, что следующие остатки MASP-2 связываются с пептидом SGMI-2 посредством водородных связей: GLY 656 (2 H-связи), ASP 627, SER 628 (2 H-связи), SER 633 (2 H-связи), GLY 631, THR 467 (3 H-связи), GLY 464, GLY 465, MET 658; и посредством ван-дер-ваальсовых взаимодействий с PRO 608, PHE 529, TYR 602, TYR 607, TRP 655, HIS 483, ALA 484, VAL 653, LEU 575, LEU 581, ALA 468, THR 466 и ARG 630. Анализ связанной структуры 3TVJ при помощи LigPlot+ показал, что следующие аминокислоты вовлечены в несвязанные контакты: GLY 464, GLY 465, THR 466, THR 467, ALA 468, HIS 483, ALA 484, HIS 525, ASP 526, ALA 527, GLY 528, PHE 529, LEU 575, LEU 581, TYR 602, PRO 606, TYR 607, PRO 608, ARG 609, GLY 610, SER 611, ASP 627, SER 628, CYS 629, ARG 630, GLY 631, ASP 632, SER 633, VAL 653, SER 654, TRP655, GLY 656, MET 658, GLY 667. Взаимодействие SGMI-2 с MASP-2, по сообщениям, вызывает существенные искажения в молекуле MASP-2, и в публикации et al. (2012) указано, что такое искажение может вызывать увеличенный расход энергии, потенциально ослабляющий силу связывания для MASP-2. (Смотри публикацию , Veronika Harmat, Fodor, Matthias Wilmanns, Katalin A. Monospecific Inhibitors Show That Both Mannan-binding Lectin-associated Serine Protease-1 (MASP-1) and -2 Are Essential for Lectin Pathway Activation and Reveal Structural Plasticity of MASP-2. Journal of Biological Chemistry 287, 20290-20300 (2012), содержание которой включено в настоящий документ посредством ссылки).

В Таблице A2 (Приложение) показано взаимодействие атомов лиганда-MASP-2 для ван-дер-ваальсовых взаимодействий между MASP-2 и соединениями, раскрытыми в настоящем документе. Взаимодействия атомов лигандов с атомами MASP-2 входят в число парных контактов с минимальным расстоянием 2,9 и максимальным контактным расстоянием 3,9 , рассчитанным при помощи настроек программы LigPlot+ для параметров несвязанных контактов с использованием моделей, полученных на основании соответствующих кристаллографических совместных структур MASP-2-соединение. Нумерация аминокислотных остатков MASP-2 (MASP-2 ак №) произведена в соответствии с регистрационным кодом Uniprot O00187, нумерация атомов для аминокислот (ак атом) произведена в соответствии с условными обозначениями, установленными в базе данных белков, и нумерация атомов лигандов является такой, как указано на ФИГ. 1-18. Единицей расстояний является ангстрем.

В конкретных аспектах соединения, имеющие MASP-2-ингибирующую активность, имеют молекулярную массу от примерно 300 г/моль до примерно 600 г/моль или от примерно 350 г/моль до примерно 550 г/моль, или от примерно 350 до примерно 500 г/моль, например, примерно 350, 360, 370, 380, 390, 400, 410, 420, 430, 440, 450, 460, 470, 480, 490 или примерно 500 г/моль. Как правило, малая молекула имеет молекулярную массу в этих диапазонах.

В конкретных аспектах настоящее изобретение относится к соединениям, которые являются избирательными для MASP-2 относительно тромбина. Иными словами, интересующие соединения имеют большую аффинность для MASP-2 (то есть, меньшее значение Ki для MASP-2), чем те же соединения для тромбина (то есть, Ki для тромбина выше). В конкретных аспектах соотношение избирательности для пары MASP-2:тромбин составляет по меньшей мере 1,1:1, 1,25:1, 1,5:1, 1,75:1, 2:1, 3:1, 4:1, 5:1, 6:1, 7:1, 8:1, 9:1, 10:1, 11:1, 12:1, 13:1, 14:1, 15:1, 16:1, 17:1, 18:1, 19:1, 20:1, 21:1, 22:1, 23:1, 24:1, 25:1 или 30:1.

Как будет описано более подробно, активный сайт MASP-2 имеет «V»-образную щель, которая позволяет вмещать более объемную молекулу. V-образная щель MASP-2 принимает «длинные», стерически объемные фрагменты, такие как вращающийся ароматический остаток в M4-области некоторых молекул по изобретению.

Как будет описано более подробно, активный сайт MASP-2 имеет «впадину S1», которая позволяет вмещать более объемную молекулу. Впадина S1 MASP-2 вмещает «малые» фрагменты, такие как метильная группа в хлоразаиндольном остатке в M1-области некоторых молекул по изобретению.

Как будет описано более подробно, активный сайт MASP-2 имеет «выступ S2», который позволяет вмещать стерически более объемную молекулу. Выступ S2 MASP-2 вмещает «крупные» фрагменты, такие как глутаминильные группы в M3-области некоторых молекул по изобретению.

Как будет описано более подробно, активный сайт MASP-2 имеет «входную впадину S3», которая позволяет вмещать стерически более объемную молекулу. Входная впадина S3 MASP-2 вмещает «плоские ароматические» фрагменты, такие как пиразольное кольцо, соединяющее сегменты M3 и M4 некоторых молекул по изобретению.

С другой стороны, обратная сторона активного сайта в тромбине закрыта. Таким образом, более крупные или объемные группы стерически не могут быть вмещены аналогичным образом вследствие закрытости тромбина. У тромбина отсутствует щель в активном сайте. Следовательно, объемные группы в M4-области не могут быть вмещены.

Кроме того, кристаллографические данные указывают на то, что ключевые аминокислоты, образующие V-образную щель MASP-2, представляют собой одну или более из следующих 6 аминокислот: PHE 529, GLY 528, TRP 655, SER 611, PRO 608, TYR 607, PRO 606, например, 1, 2, 3, 4, 5 или все 6 аминокислот.

Кроме того, обнаружено, что тромбин имеет гребень, создающий барьер для крупных объемных остатков (M4), предотвращая их размещение в данном сайте. Гребень включает аминокислоты ASN 98, LEU 99 и ILE 174 (определяемые с использованием нумерации структуры 1K22 базы данных белков) или GLU130 и ILE209 (определяемые с использованием нумерации файла структуры 4BAH базы данных белков). Однако в соответствующей области в MASP-2 имеется щель, выстланная аминокислотами PHE 529, GLY 528, TRP 655, SER 611, PRO 608, TYR 607 и PRO 606. Поскольку соответствующий барьер для крупных объемных остатков отсутствует в MASP-2, крупные объемные остатки могут связываться и обеспечивать специфичность для MASP-2 относительно тромбина или других аналогичных протеаз.

Исходя из кристаллографических моделей, конкретные соединения по настоящему изобретению обладают специфичностью для связывания с MASP-2 в сравнении с тромбином.

На ФИГ. 58-63 показана область связывающих карманов S3-S4 тромбина, в сравнении со связывающими карманами S3-S4 в MASP-2, с поверхностными остатками белка, изображенными в виде поверхности, и связанными малыми молекулами, изображенными в виде шарика и палочки. На ФИГ. 58, ФИГ. 59, ФИГ. 61 и ФИГ. 63 показана область связывающих карманов S3-S4 тромбина, при этом связывающие карманы S3-S4 в MASP-2 показаны на ФИГ. 60 и ФИГ. 62.

На ФИГ. 58 показан мелагатран, связанный с тромбином (регистрационный код базы данных белков 4BAH), с его циклогексильной группой, погруженной в карман, покрытый гребнем, образованным GLU 130, ASN 131, ILE 209 и GLU 259. Функциональная группа бензамидина мелагатрана расположена в глубоком кармане (S1) тромбина справа на изображении.

На ФИГ. 59 показан мелагатран, связанный с тромбином, с наложением изображения избирательного для MASP-2 соединения (1065), связанного с MASP-2. Наложение воспроизводит расположение бензамидиновой функциональной группы обеих молекул (1065), связанных с MASP-2, и мелагатрана, связанного с тромбином, и, как показано, существует препятствие в виде гребня, образованного ASN 131 и ILE 209.

На ФИГ. 60 графически показано соединение (1065), связанное с SP-доменом MASP-2, с его объемной фенильной группой, входящей в щель, образованную остатками MASP-2 GLY 528 и PHE 529 на одной стороне и SER 611, PRO 608, TYR 607 и PRO 606 на противоположной стороне.

На ФИГ. 61 показано соединение (1334), связанное с тромбином, с его бензильной группой, загнутой назад на поверхность, покрытую гребнем, образованным GLU 259 и GLY 219. Хлоразаиндольная функциональная группа соединения (1334) расположена в глубоком кармане (S1) тромбина справа на изображении.

На ФИГ. 62 показано соединение (1334), связанное с SP-доменом MASP-2, с его объемной фенильной группой, входящей в щель, образованную остатками MASP-2 GLY 528 и PHE 529 на одной стороне и SER 611, PRO 608, TYR 607 и PRO 606 на противоположной стороне.

На ФИГ. 63 графически показано избирательное для MASP-2 соединение (1334), связанное с MASP-2, с наложением изображения соединения (1334), связанного с тромбином. Наложение воспроизводит расположение хлоразаиндольной функциональной группы молекулы соединения (1334), связанного с MASP-2, и соединения (1334), связанного с тромбином.

Различие между закрытым карманом в тромбине и открытой щелью в MASP-2 обеспечивает механизм разработки соединений с избирательностью для MASP-2 относительно тромбина. Например, удлиненные и объемные фрагменты входят в щель MASP-2, но будут сталкиваться с гребнем в тромбине.

На ФИГ. 64 и 65 схематически показан механизм избирательности для MASP-2, в сравнении с тромбином, в области S3-S4, на основании анализа кристаллографических моделей. На ФИГ. 64 показаны связывающие карманы S3-S4 в MASP-2, а на ФИГ. 65 показаны связывающие карманы S3-S4 тромбина. В обоих случаях белок показан серым цветом, и связанные малые молекулы изображены в виде темно-серых эллипсоидов. Как показано на ФИГ. 65, в тромбине лишь небольшие фрагменты M4 (например, циклогексильные группы) могут помещаться в кармане, образованном LEU 99, ASN 98, ILE 174, GLU 259, GLY 219. На ФИГ. 64 показана малая молекула, связанная с эквивалентным карманом S3-S4 в SP-домене MASP-2, которая проникает дальше в щель, образованную остатками MASP-2 GLY 528 и PHE 529 на одной стороне и SER 611, PRO 608, TYR 607 и PRO 606 на противоположной стороне. Таким образом, крупные молекулы с удлиненными и объемными группами в M4 могут помещаться в щель в MASP-2, но не могут связываться в небольшом кармане S3-S4 в тромбине. На ФИГ. 64 показано, что открытая щель в MASP-2, вмещающая стерически объемные группы в M4, обеспечивает механизм разработки соединений с избирательностью для MASP-2 относительно тромбина.

Без ограничений, накладываемых теорией, на основании анализа структур структурные особенности MASP-2 и тромбина, и то, как молекулы взаимодействуют с такими характерными особенностями структуры в MASP-2 и тромбине, может быть использовано для выявления правил связывания и структурных характеристик соединений, отличающихся избирательностью для MASP-2 и тромбина.

Впадина S1: без ограничений, накладываемых теорией, понятно, что карман S1 в MASP-2 может принимать молекулы определенных размеров и форм, которые, очевидно, не войдут в карман S1 тромбина. Этот сайт может быть занят, например, фрагментами M1 соединений, описанных в настоящем документе. Фактически, карман S1 в MASP-2 выстлан аминокислотной последовательностью, содержащей GLY 656, SER 657, MET 658, ASN 659 и CYS 660. Соответствующая последовательность в тромбине короче на одну аминокислоту (содержит аминокислоты GLY 216, GLU 217, GLY 219 и Cys 220, определенные с использованием нумерации структуры 1K22 базы данных белков). Эта секция в MASP-2 образует вогнутое пространство в кармане S1, при этом в тромбине пространство меньше, таким образом, имеются ограничения по размеру молекул лигандов, которые могут связываться в кармане S1. Некоторые избирательные для MASP-2 соединения, как установлено, образуют H-связи и ван-дер-ваальсовы контакты с выстилающими поверхность остатками кармана S1 в MASP-2, включая ASP 627, SER 628, CYS 629, SER 633, TRP 655, GLY 656, SER 657, CYS 660, GLY 667 и TYR 669. Таким образом, понятно, что соединения с избирательностью ингибирования MASP-2 относительно тромбина могут представлять собой соединения, взаимодействующие с аминокислотами, выстилающими карман S-1 в MASP-2. Например, избирательные ингибиторы MASP-2 могут включать соединения, которые образуют, например, 1, 2, 3, 4 или 5, или более, H-связей и/или, например, 1, 2, 3, 4 или 5 ван-дер-ваальсовых контактов с 1 или более аминокислотами MASP-2, выстилающими карман S1 в MASP-2, такими как аминокислоты, выбранные из группы, состоящей из ASP 627, SER 628, CYS 629, SER 633, TRP 655, GLY 656, SER 657, CYS 660, GLY 667 и TYR 669.

Выступ S2: без ограничений, накладываемых теорией, понятно, что избирательность для ингибирования MASP-2 относительно тромбина можно повышать путем включения групп, которые взаимодействуют с областью S2 в MASP-2. Например, фрагменты M3 могут обеспечивать избирательное ингибирование MASP-2 относительно тромбина за счет введения заместителей на атоме углерода или азота глицина. Область S2 в MASP-2 может вмещать как крупные, так и небольшие заместители, которые могут образовывать H-связи и ван-дер-ваальсовы контакты с выстилающими поверхность остатками (такими как пептидный каркас SER 654, пептидный каркас и карбонил TRP 655 и GLY 656, и боковая цепь HIS 483), но аналогичное связывание в тромбине неблагоприятно вследствие стерических взаимодействий. Таким образом, понятно, что соединения с избирательностью ингибирования MASP-2 относительно тромбина могут представлять собой соединения, взаимодействующие с аминокислотами в области S2 MASP-2. Например, избирательные ингибиторы MASP-2 могут включать соединения, которые образуют, например, 1, 2, 3, 4 или 5, или более, H-связей и/или, например, 1, 2, 3, 4 или 5 ван-дер-ваальсовых контактов с 1 или более аминокислотами MASP-2 в области S2 MASP-2, такими как аминокислоты, выбранные из группы, состоящей из SER 654, TRP 655, GLY 656 и HIS 483.

Входная впадина S3: без ограничений, накладываемых теорией, понятно, что избирательность для ингибирования MASP-2 относительно тромбина можно повышать путем включения групп, которые взаимодействуют с входным сайтом S3 в MASP-2, например, в виде линкерного элемента, соединяющего фрагменты M3 и M4, такого как плоские ароматические группы и/или группы, которые могут формировать акцептор водородной связи за счет карбонильной группы GLY 656. В MASP-2 входной сайт S3 состоит из первых двух аминокислот 5-аминокислотной последовательности, которая включает аминокислоты GLY 656, SER 657, MET 658, ASN 659 и CYS 660, в то время как в тромбине (1k22.pdb) соответствующий сайт состоит только из первой аминокислоты 4-аминокислотной последовательности (включающей аминокислоты GLY 216, GLU 217, GLY 219 и Cys 220). В результате соответствующей укороченной последовательности в тромбине карбонильная группа GLY 216 смещена и не может образовывать благоприятные взаимодействия с соединениями, которые вступают в контакт с соответствующей областью MASP-2. Таким образом, понятно, что соединения с избирательностью ингибирования MASP-2 относительно тромбина могут представлять собой соединения, взаимодействующие с аминокислотами во входном сайте S3 в MASP-2. Например, избирательные ингибиторы MASP-2 могут включать соединения, которые образуют, например, 1, 2, 3, 4 или 5, или более, H-связей и/или, например, 1, 2, 3, 4 или 5 ван-дер-ваальсовых контактов с 1 или более аминокислотами MASP-2, находящимися во входном сайте S3 в MASP-2, такими как аминокислоты, выбранные из группы, состоящей из GLY 656, SER 657, MET 658, ASN 659 и CYS 660.

G. Соединения, определяемые на основании фармакофорной модели

Настоящее изобретение также относится к низкомолекулярным ингибиторам MASP-2, которые могут быть описаны со ссылкой на фармакофорную модель. Установлено, что соединения, способные связывать и ингибировать MASP-2, и, в частности, соединения, которые связывают MASP-2 в соответствии с правилами связывания, описанными выше, могут быть описаны в отношении их структурных характеристик с использованием фармакофорной модели.

Фармакофорная модель, описанная в Таблице 1, и ее свойства, представленные на ФИГ. 67-75, представляет усредненные фармакофорные элементы ингибиторов MASP-2, полученные при помощи анализа PHASE после получения белка и сопоставления структуры белка с Small-Molecule Drug Discovery Suite 2018-4 ( LLC, New York, NY 2018), и кластеризованные с K-средними от sklearn (версия 0.20.3; Machine Learning in Python, Pedregosa et al., JMLR 12, pp. 2825-2830, 2011).

Методология PHASE для фармакофорного анализа, в целом, описана в публикациях Dixon et al., J. Comput. Aided Mol. Des., 2006, 20, 647-671, и Dixon et al., Chem. Biol. Drug Des., 2006, 67, 370-372. Анализ проводили с использованием Prody (Bakan et al., Bioinformatics, 2011, 27(11), 1575-1577; Bakan et al., Bioinformatics, 2014, 30(18), 2681-2683) и языка программирования Python.

Вкратце, кристаллические структуры низкомолекулярных ингибиторов, описанных в настоящем документе, связанных с MASP-2 человека, получали с использованием Maestro версии 2018-4 ( LLC). Добавляли атомы водорода, корректировали состояние протонирования и оптимизировали взаимодействия водородных связей. В случаях, когда несколько молекул с разными конформациями и/или характером связывания были идентифицированы в асимметричной единице (ASU), их разделяли и обрабатывали в качестве отдельных комплексов белок-лиганд. Кроме того, неупорядоченные малые молекулы обрабатывали в качестве отдельных конформаций лиганда. Координаты тяжелых атомов не изменяли, то есть, посредством минимизации.

Полученные структуры затем упорядочивали с использованием всех каркасных атомов в пределах 10 от каждой малой молекулы без остатков 594-611 в SEQ ID NO: 1.

Атомы белка, атомы растворителя и ионы убирали для получения выровненных положений только малых молекул.

Программу create_molSites от компании LLC использовали для превращения каждой малой молекулы в отдельные 3-мерные фармакофоры. Помимо стандартных определений характеристик создавали дополнительный фармакофорный элемент для учета того, что положительные ионогенные группы также могут быть донорами водородных связей. В более позднем анализе эту характеристику объединяли со стандартной характеристикой донора водородной связи. Определение положительных ионогенных групп (N) было расширено для включения групп с pKa ≥6,0 (при расчетах с использованием Epik ( LLC)). Была получена расстановка фармакофорных элементов из малых молекул.

K-средние из sklearn использовали для кластеризации полученной таким образом расстановки всех фармакофорных элементов по декартовым координатам. После нескольких попыток было выбрано количество кластерных центров для каждой характеристики фармакофора с целью имитации экспериментально наблюдаемых SAR, и несколько элементов фармакофоров были удалены. Все кластерные центры представляют усредненные характеристики фармакофоров в целом.

Для проведения анализа использовали Python 3.6 и Prody.

В методе PHASE каждая структура лиганда представлена набором точек в трехмерном пространстве, совпадающих с различными химическими характеристиками, которые могут способствовать нековалентному связыванию между лигандом и его рецептором-мишенью. Эти фармакофорные сайты могут быть охарактеризованы по типу, расположению и, если применимо, анизотропии. Фармакофорные элементы включают: акцептор водородной связи (O), донор водородной связи (H), гидрофобную группу (C), отрицательную ионогенную группу (X), положительную ионогенную группу (N) и ароматическое кольцо (CA).

Сайт акцептора водородной связи (O) расположен на поверхностно-доступном атоме, который несет одну или более отдаваемых неподеленных пар, и атрибут вектора присваивается каждой оси идеализированной водородной связи в соответствии с гибридизацией акцепторного атома.

Сайт донора водородной связи (H) центрирован на каждом отдаваемом атоме водорода, и единичный атрибут вектора направлен вдоль его идеализированной оси водородной связи.

Гидрофобные группы (C) определены с использованием метода, описанного в публикации Greene et al., J. Chem. Inf. Comput. Sci. 1994, 34, 1297. Кольца, изопропильные группы, трет-бутильные группы, различные галогенированные фрагменты и цепи длиной до четырех атомов углерода, все считали отдельными гидрофобными сайтами. Цепи из пяти или более атомов углерода разбивали на более мелкие фрагменты, содержащие от двух до четырех атомов углерода, и каждый фрагмент считали отдельным гидрофобным сайтом. Расположение конкретного гидрофобного сайта является средневзвешенным (rH) для положений не-водородных атомов в связанном фрагменте.

В данной формуле si представляет собой доступную для растворителя площадь поверхности атома i, рассчитанную с использованием радиуса зонда 1,4 , и ti представляет собой коэффициент гидрофобности, составляющий от 0 до 1 (считается, что гидрофобность полярных атомов (O, N, S) равна 0, атомам углерода и галогенов по меньшей мере через три связи от любого полярного атома присваивают значение 1; и промежуточное значение гидрофобности присваивают атомам углерода и галогенов, когда полярные атомы находятся в пределах расстояния двух связей).

Положительные ионогенные группы (N) и отрицательные ионогенные группы (X) моделируют как одиночную точку, расположенную на формально заряженном атоме или в средней точке группы атомов, на которые распространяется ионный заряд. Как отмечено выше, в настоящем анализе определение положительных ионогенных групп было расширено для включения положительных ионогенных групп с pKa ≥6,0. Таким образом, следует понимать, что фармакофорный элемент положительной ионогенной группы, описанный в настоящем документе, должен включать положительные ионогенные группы с pKa ≥6,0 (при расчете с использованием Epik ( LLC)).

Ароматические кольца (CA) можно отличать от других гидрофобных групп, и их рассматривают как отдельный тип характеристики фармакофора, представленный одним сайтом, помещенным в среднюю точку каждого ароматического кольца, и с сайтом связан двунаправленный вектор под прямым углом к плоскости кольца.

Для анализа, представленного в настоящем документе, было использовано только положение каждого фармакофорного элемента, и информация о типе вектора не была учтена.

Анализ фармакофоров показал, что соединения, активные в качестве ингибиторов MASP-2, включают сочетания одного или более, например, сочетания элементов, перечисленных в Таблице 1. В Таблице 1 перечислены фармакофорные элементы MASP-2-ингибирующих соединений, обозначенные в соответствии с типом элемента и декартовыми координатами (x, y, z), определяющими относительное положение фармакофорных элементов по шкале в ангстремах. Начало декартовой системы координат определено на основании среднего положения всех фармакофорных элементов O2, которое было определено как (0,0, 0,0, 0,0). Указанные декартовы координаты представляют собой усредненные (средние) значения для координат каждого фармакофорного элемента. В Таблице 1 приведены стандартные отклонения для значений координат x, y, и z изученных лигандов.

Без ограничений, накладываемых теорией, понятно, что соединения, активные в качестве ингибиторов MASP-2, будут включать по меньшей мере один или два, и предпочтительно сочетания из трех или более фармакофорных элементов, перечисленных в Таблице 1. Например, соединения, активные в качестве ингибиторов MASP-2, могут включать один, или сочетания из 2, 3, 4, 5, 6, 7, 8, 9, 10, 11, 12, 13, 14, 15, 16, 17, 18, 19, 20, 21 или 22 фармакофорных элементов, предпочтительно сочетания из 3, 4, 5, 6, 7, 8, 9, 10, 11, 12, 13 или 14, или более, фармакофорных элементов, перечисленных в Таблице 1.

Без ограничений, накладываемых теорией, понятно, что соединение считают включающим фармакофорный элемент или сочетание фармакофорных элементов, приведенных в Таблице 1, если фармакофорный элемент, или сочетание фармакофорных элементов, присутствует в соединении, и соединение имеет доступную для оценки конформацию при физиологической температуре (37°C), позволяющую поместить фармакофорный элемент(ы) в пределах четырех стандартных отклонений, предпочтительно в пределах трех стандартных отклонений, более предпочтительно в пределах двух стандартных отклонений, и наиболее предпочтительно в пределах одного стандартного отклонения от среднего значения для x, y и z, приведенных в Таблице 1. Диапазон, определяемый средним значением каждой из координат из x, y и z, и допустимой погрешностью (плюс или минус четыре, три, два или одно стандартное отклонение), можно считать определяющим бокс, внутри которого должны быть обнаружены фармакофорные элементы для активного MASP-2-ингибирующего соединения.

В Таблице 2A приведены координаты фармакофорных элементов в виде диапазонов средних (x, y, z) координат плюс или минус одно или два стандартных отклонения. В Таблице 2B приведены координаты фармакофорных элементов в виде диапазонов средних (x, y, z) координат плюс или минус три или четыре стандартных отклонения.

Таблица 1: Фармакофорные элементы для ингибиторов MASP-2, и их координаты Тип фармакофорного элемента Маркировка Значение x (среднее) Стандартное отклонение x Значение y (среднее) Стандартное отклонение y Значение z (среднее) Стандартное отклонение z Гидрофобная группа C2 0,30 1,18 1,17 1,35 -2,76 1,59 Гидрофобная группа C3 -0,41 0,89 -2,85 1,66 4,64 0,12 Гидрофобная группа C4 4,09 1,32 5,54 0,95 -4,66 1,24 Гидрофобная группа C5 2,64 0,22 -4,84 0,22 4,79 0,29 Гидрофобная группа C6 6,01 0,75 2,84 0,54 -2,56 0,34 Гидрофобная группа C7 -0,85 0,35 -5,92 0,29 0,26 0,85 Ароматическое кольцо CA1 -0,61 0,50 -3,55 0,38 2,50 0,57 Ароматическое кольцо CA2 4,00 0,48 3,49 0,32 -3,49 0,36 Ароматическое кольцо CA3 -5,29 0,84 -1,15 1,48 -2,77 1,09 Ароматическое кольцо CA4 4,02 1,46 5,89 0,76 -3,90 0,21 Ароматическое кольцо CA5 1,84 1,28 2,62 1,27 -5,13 0,90 Ароматическое кольцо CA6 -1,88 1,11 2,21 0,59 -1,85 1,73 Донор H-связи H1 -8,33 0,06 -1,98 0,05 -5,56 0,06 Донор H-связи H2 -2,25 0,35 -2,33 0,70 2,28 0,96 Донор H-связи H3 -0,36 0,59 -3,03 2,11 -0,98 1,00 Донор H-связи H4 -0,28 0,75 -1,61 1,68 3,01 0,56 Положительная ионогенная группа N1 0,10 0,57 -5,35 1,00 1,66 0,89 Положительная ионогенная группа N2 -0,49 0,37 -0,11 0,48 -2,46 0,37 Акцептор H-связи O1 -2,52 0,68 0,57 0,72 2,02 0,57 Акцептор H-связи O2 0,00 0,74 0,00 0,67 0,00 0,88 Акцептор H-связи O3 -6,82 2,89 -1,48 3,03 -5,36 3,59 Акцептор H-связи O4 -1,97 0,77 -3,24 0,66 2,08 0,53

Таблица 2A: Диапазоны координат фармакофорных элементов ингибиторов MASP-2 Диапазон для (x, y, z) ± 1 стандартное отклонение Диапазон для (x, y, z) ± 2 стандартных отклонения Маркировка x y z x y z C2 0,30±1,18 1,17±1,35 -2,76±1,59 0,30±2,37 1,17±2,69 -2,76±3,18 C3 -0,41±0,89 -2,85±1,66 4,64±0,12 -0,41±1,78 -2,85±3,32 4,64±0,23 C4 4,09±1,32 5,54±0,95 -4,66±1,24 4,09±2,63 5,54±1,89 -4,66±2,49 C5 2,64±0,22 -4,84±0,22 4,79±0,29 2,64±,43 -4,84±0,45 4,79±0,59 C6 6,01±0,75 2,84±0,54 -2,56±0,34 6,01±1,50 2,84±1,07 -2,56±0,67 C7 -0,85±0,35 -5,92±0,29 0,26±0,85 -0,85±0,70 -5,92±0,58 0,26±1,71 CA1 -0,61±0,50 -3,55±0,38 2,50±0,57 -0,61±1,00 -3,55±0,76 2,50±1,13 CA2 4,00±0,48 3,49±0,32 -3,49±0,36 4,00±0,96 3,49±0,65 -3,49±0,72 CA3 -5,29±0,84 -1,15±1,48 -2,77±1,09 -5,29±1,68 -1,15±2,96 -2,77±2,17 CA4 4,02±1,46 5,89±0,76 -3,90±0,21 4,02±2,92 5,89±1,52 -3,90±0,41 CA5 1,84±1,28 2,62±1,27 -5,13±0,90 1,84±2,55 2,62±2,53 -5,13±1,80 CA6 -1,88±1,11 2,21±0,59 -1,85±1,73 -1,88±2,23 2,21±1,18 -1,85±3,46 H1 -8,33±0,06 -1,98±0,05 -5,56±0,06 -8,33±0,12 -1,98±0,11 -5,56±0,11 H2 -2,25±0,35 -2,33±0,70 2,28±0,96 -2,25±0,69 -2,33±1,41 2,28±1,93 H3 -0,36±0,59 -3,03±2,11 -0,98±1,00 -0,36±1,17 -3,03±4,21 -0,98±2,01 H4 -0,28±0,75 -1,61±1,68 3,01±0,56 -0,28±1,49 -1,61±3,35 3,01±1,12 N1 0,10±0,57 -5,35±1,00 1,66±0,89 0,10±1,13 -5,35±2,00 1,66±1,78 N2 -0,49±0,37 -0,11±0,48 -2,46±0,37 -0,49±0,74 -0,11±0,96 -2,46±0,75 O1 -2,52±0,68 0,57±0,72 2,02±0,57 -2,52±1,35 0,57±1,44 2,02±1,13 O2 0,00±0,74 0,00±0,67 0,00±0,88 0,00±1,49 0,00±1,33 0,00±1,77 O3 -6,82±2,89 -1,48±3,03 -5,36±3,59 -6,82±5,78 -1,48±6,06 -5,36±7,19 O4 -1,97±0,77 -3,24±0,66 2,08±0,53 -1,97±1,54 -3,24±1,33 2,08±1,06

Таблица 2B: Диапазоны координат фармакофорных элементов ингибиторов MASP-2 Диапазон для (x, y, z) ± 3 стандартных отклонения Диапазон для (x, y, z) ± 4 стандартных отклонения Маркировка x y z x y z C2 0,30±3,55 1,17±4,04 -2,76±4,77 0,30±4,74 1,17±5,38 -2,76±6,36 C3 -0,41±2,67 -2,85±4,98 4,64±0,35 -0,41±3,56 -2,85±6,64 4,64±0,47 C4 4,09±3,95 5,54±,84 -4,66±3,73 4,09±5,26 5,54±3,79 -4,66±,97 C5 2,64±0,65 -4,84±0,67 4,79±0,88 2,64±0,86 -4,84±0,89 4,79±1,17 C6 6,01±2,25 2,84±1,61 -2,56±1,01 6,01±3,00 2,84±2,14 -2,56±1,34 C7 -0,85±1,04 -5,92±0,87 0,26±2,56 -0,85±1,39 -5,92±1,16 0,26±3,41 CA1 -0,61±1,49 -3,55±1,15 2,50±1,70 -0,61±1,99 -3,55±1,53 2,5±2,26 CA2 4,00±1,43 3,49±0,97 -3,49±1,07 4,00±1,91 3,49±1,29 -3,49±1,43 CA3 -5,29±2,52 -1,15±4,44 -2,77±3,26 -5,29±3,36 -1,15±5,92 -2,77±4,35 CA4 4,02±4,37 5,8±2,29 -3,90±0,62 4,02±5,83 5,89±3,05 -3,9±0,83 CA5 1,84±3,83 2,62±3,80 -5,13±2,70 1,84±5,11 2,62±5,06 -5,13±3,60 CA6 -1,88±3,34 2,21±1,76 -1,85±5,19 -1,88±4,46 2,21±2,35 -1,85±6,92 H1 -8,33±0,18 -1,98±0,16 -5,56±0,17 -8,33±0,24 -1,98±0,22 -5,56±0,23 H2 -2,25±1,04 -2,33±2,11 2,28±2,89 -2,25±1,38 -2,3±2,82 2,28±3,86 H3 -0,36±1,76 -3,03±6,32 -0,98±3,01 -0,36±2,34 -3,03±8,43 -0,98±4,01 H4 -0,28±2,24 -1,61±5,03 3,01±1,68 -0,28±2,99 -1,61±6,71 3,01±2,24 N1 0,10±1,70 -5,35±3,00 1,66±2,68 0,10±2,26 -5,35±4,00 1,66±3,57 N2 -0,49±1,11 -0,11±1,45 -2,46±1,12 -0,49±1,48 -0,11±1,93 -2,46±1,50 O1 -2,52±2,03 0,57±2,16 2,02±1,70 -2,52±2,70 0,57±2,88 2,02±2,27 O2 0,00±2,23 0,00±2,00 0,00±2,65 0,00±2,98 0,00±2,66 0,00±3,54 O3 -6,82±8,67 -1,48±9,09 -5,36±10,78 -6,82±11,56 -1,48±12,12 -5,36±14,37 O4 -1,97±2,32 -3,24±1,99 2,08±1,59 -1,97±3,09 -3,24±2,65 2,08±2,12

Настоящее изобретение относится к соединению, предназначенному для применения в лечении MASP-2-связанных заболеваний или нарушений, содержащему сочетание фармакофорных элементов, включающее:

(a) фармакофорную группу S1, включающую фармакофорные элементы CA1 и N1 или фармакофорные элементы CA1 и C5; и/или

(b) фармакофорную группу S2, включающую фармакофорные элементы H4 и O2; и/или

(c) фармакофорную группу S3, включающую фармакофорный элемент C2 и фармакофорный элемент N2 или H3;

где:

C2 и C5 представляют собой гидрофобные группы;

CA1 представляет собой ароматическое кольцо;

H3 и H4 представляют собой доноры водородной связи;

N1 и N2 представляют собой положительные ионогенные группы; и

O2 представляет собой акцептор водородной связи;

при этом C2, C5, CA1, H3, H4, N1, N2, и O2 имеют координаты в диапазонах, приведенных в Таблице 3, 4 или 5, ниже.

В некоторых вариантах осуществления соединение содержит сочетание фармакофорных элементов, включающее:

(a) фармакофорную группу S1, включающую фармакофорные элементы CA1 и N1 или фармакофорные элементы CA1 и C5; и

(b) фармакофорную группу S2, включающую фармакофорные элементы H4 и O2; и

(c) фармакофорную группу S3, включающую фармакофорный элемент C2 и фармакофорный элемент N2 или H3.

где C2, C5, CA1, H3, H4, N1, N2, и O2 имеют координаты в диапазонах, приведенных в Таблице 3, 4 или 5, ниже.

В некоторых вариантах осуществления C2, C5, CA1, H3, H4, N1, N2 и O2 имеют координаты в диапазонах, приведенных в Таблице 3, ниже:

Таблица 3. Фармакофорный элемент Координата x Координата y Координата z C2 0,30±3,55 1,17±4,04 -2,76±4,77 C5 2,64±0,65 -4,84±0,67 4,79±0,88 CA1 -0,61±1,49 -3,55±1,15 2,50±1,70 H3 -0,36±1,76 -3,03±6,32 -0,98±3,01 H4 -0,28±2,24 -1,61±5,03 3,01±1,68 N1 0,10±1,70 -5,35±3,00 1,66±2,68 N2 -0,49±1,11 -0,11±1,45 -2,46±1,12 O2 0,00±2,23 0,00±2,00 0,00±2,65

В некоторых вариантах осуществления C2, C5, CA1, H3, H4, N1, N2, и O2 имеют координаты в диапазонах, приведенных в Таблице 4, ниже:

Таблица 4. Фармакофорный элемент Координата x Координата y Координата z C2 0,30±2,37 1,17±2,69 -2,76±3,18 C5 2,64±0,43 -4,84±0,45 4,79±0,59 CA1 -0,61±1,00 -3,55±0,76 2,50±1,13 H3 -0,36±1,17 -3,03±4,21 -0,98±2,01 H4 -0,28±1,49 -1,61±3,35 3,01±1,12 N1 0,10±1,13 -5,35±2,00 1,66±1,78 N2 -0,49±0,74 -0,11±0,96 -2,46±0,75 O2 0,00±1,49 0,00±1,33 0,00±1,77

В некоторых вариантах осуществления C2, C5, CA1, H3, H4, N1, N2, и O2 имеют координаты в диапазонах, приведенных в Таблице 5, ниже:

Таблица 5. Фармакофорный элемент Координата x Координата y Координата z C2 0,30±1,18 1,17±1,35 -2,76±1,59 C5 2,64±0,22 -4,84±0,22 4,79±0,29 CA1 -0,61±0,5 -3,55±0,38 2,5±0,57 H3 -0,36±0,59 -3,03±2,11 -0,98±1,00 H4 -0,28±0,75 -1,61±1,68 3,01±0,56 N1 0,10±0,57 -5,35±1,00 1,66±0,89 N2 -0,49±0,37 -0,11±0,48 -2,46±0,37 O2 0,00±0,74 0,00±0,67 0,00±0,88

В некоторых вариантах осуществления фармакофорная группа S1 включает фармакофорные элементы CA1 и N1.

В некоторых вариантах осуществления фармакофорная группа S1 также включает фармакофорный элемент C3, где C3 представляет собой гидрофобную группу и имеет координаты в диапазонах, приведенных в Таблице 6, ниже.

Таблица 6. Фармакофорный элемент Координата x Координата y Координата z C3 -0,41±2,67 -2,85±4,98 4,64±0,35

В некоторых вариантах осуществления C3 имеет координаты в диапазонах, приведенных в Таблице 7, ниже.

Таблица 7. Фармакофорный элемент Координата x Координата y Координата z C3 -0,41±1,78 -2,85±3,32 4,64±0,23

В некоторых вариантах осуществления C3 имеет координаты в диапазонах, приведенных в Таблице 8, ниже.

Таблица 8. Фармакофорный элемент Координата x Координата y Координата z C3 -0,41±0,89 -2,85±1,66 4,64±0,12

В некоторых вариантах осуществления фармакофорная группа S1 включает фармакофорные элементы CA1 и C5.

В некоторых вариантах осуществления фармакофорная группа S1 также включает 1, 2 или 3 фармакофорных элемента, выбранных из группы, состоящей из C7, H2 и O4, где:

C7 представляет собой гидрофобную группу;

H2 представляет собой донор водородной связи; и

O4 представляет собой акцептор водородной связи; и

при этом C7, H2 и O4 имеют координаты в диапазонах, приведенных в Таблице 9, ниже:

Таблица 9. Фармакофорный элемент Координата x Координата y Координата z C7 -0,85±1,04 -5,92±0,87 0,26±2,56 H2 -2,25±1,04 -2,33±2,11 2,28±2,89 O4 -1,97±2,32 -3,24±1,99 2,08±1,59

В некоторых вариантах осуществления C7, H2 и O4 имеют координаты в диапазонах, приведенных в Таблице 10, ниже:

Таблица 10. Фармакофорный элемент Координата x Координата y Координата z C7 -0,85±0,70 -5,92±0,58 0,26±1,71 H2 -2,25±0,69 -2,33±1,41 2,28±1,93 O4 -1,97±1,54 -3,24±1,33 2,08±1,06

В некоторых вариантах осуществления C7, H2 и O4 имеют координаты в диапазонах, приведенных в Таблице 11, ниже:

Таблица 11. Фармакофорный элемент Координата x Координата y Координата z C7 -0,85±0,35 -5,92±0,29 0,26±0,85 H2 -2,25±0,35 -2,33±0,7 2,28±0,96 O4 -1,97±0,77 -3,24±0,66 2,08±0,53

В некоторых вариантах осуществления фармакофорная группа S1 включает фармакофорный элемент C7.

В некоторых вариантах осуществления фармакофорная группа S1 включает фармакофорный элемент H2.

В некоторых вариантах осуществления фармакофорная группа S1 включает фармакофорный элемент O4.

В некоторых вариантах осуществления фармакофорная группа S2 также включает 1 или 2 фармакофорных элемента, выбранных из группы, состоящей из CA6 и O1, где:

CA6 представляет собой ароматическое кольцо;

O1 представляет собой акцептор водородной связи;

при этом CA6 и O1 имеют координаты в диапазонах, приведенных в Таблице 12, ниже:

Таблица 12. Фармакофорный элемент Координата x Координата y Координата z CA6 -1,88±3,34 2,21±1,76 -1,85±5,19 O1 -2,52±2,03 0,57±2,16 2,02±1,70

В некоторых вариантах осуществления CA6 и O1 имеют координаты в диапазонах, приведенных в Таблице 13, ниже:

Таблица 13. Фармакофорный элемент Координата x Координата y Координата z CA6 -1,88±2,23 2,21±1,18 -1,85±3,46 O1 -2,52±1,35 0,57±1,44 2,02±1,13

В некоторых вариантах осуществления CA6 и O1 имеют координаты в диапазонах, приведенных в Таблице 14, ниже:

Таблица 14. Фармакофорный элемент Координата x Координата y Координата z CA6 -1,88±1,11 2,21±0,59 -1,85±1,73 O1 -2,52±0,68 0,57±0,72 2,02±0,57

В некоторых вариантах осуществления фармакофорная группа S1 включает фармакофорный элемент CA6.

В некоторых вариантах осуществления фармакофорная группа S1 включает фармакофорный элемент O1.

В некоторых вариантах осуществления фармакофорная группа S3 включает фармакофорные элементы C2 и N2.

В некоторых вариантах осуществления фармакофорная группа S3 также включает фармакофорный элемент H3.

В некоторых вариантах осуществления соединение также содержит фармакофорную группу S4; при этом фармакофорная группа S4 включает фармакофорный элемент C4, CA2, CA4 или CA5; где

C4 представляет собой гидрофобную группу; и

CA2, CA4 и CA5 представляют собой ароматические кольца; и

при этом C4, CA2, CA4 и CA5 имеют координаты в диапазонах, приведенных в Таблице 15, ниже:

Таблица 15. Фармакофорный элемент Координата x Координата y Координата z C4 4,09±3,95 5,54±2,84 -4,66±3,73 CA2 4,00±1,43 3,49±0,97 -3,49±1,07 CA4 4,02±4,37 5,89±2,29 -3,90±0,62 CA5 1,84±3,83 2,62±3,80 -5,13±2,70

В некоторых вариантах осуществления C4, CA2, CA4 и CA5 имеют координаты в диапазонах, приведенных в Таблице 16, ниже:

Таблица 16. Фармакофорный элемент Координата x Координата y Координата z C4 4,09±2,63 5,54±1,89 -4,66±2,49 CA2 4,00±0,96 3,49±0,65 -3,49±0,72 CA4 4,02±2,92 5,89±1,52 -3,90±0,41 CA5 1,84±2,55 2,62±2,53 -5,13±1,80

В некоторых вариантах осуществления C4, CA2, CA4 и CA5 имеют координаты в диапазонах, приведенных в Таблице 17, ниже:

Таблица 17 Фармакофорный элемент Координата x Координата y Координата z C4 4,09±1,32 5,54±0,95 -4,66±1,24 CA2 4,00±0,48 3,49±0,32 -3,49±0,36 CA4 4,02±1,46 5,89±0,76 -3,90±0,21 CA5 1,84±1,28 2,62±1,27 -5,13±0,90

В некоторых вариантах осуществления фармакофорная группа S4 включает C4.

В некоторых вариантах осуществления фармакофорная группа S4 включает CA2.

В некоторых вариантах осуществления фармакофорная группа S4 включает CA4.

В некоторых вариантах осуществления фармакофорная группа S4 включает CA5.

В некоторых вариантах осуществления фармакофорная группа S4 также включает 1, 2, 3 или 4 дополнительных фармакофорных элемента, выбранных из группы, состоящей из C6, C7, CA4 и CA5, где:

C6 и C7 представляют собой гидрофобные группы; и

CA4 и CA5 представляют собой ароматические кольца; и

при этом C6, C7, CA4 и CA5 имеют координаты в диапазонах, приведенных в Таблице 18, ниже:

Таблица 18. Фармакофорный элемент Координата x Координата y Координата z C6 6,01±2,25 2,84±1,61 -2,56±1,01 C7 -0,85±1,04 -5,92±0,87 0,26±2,56 CA4 4,02±4,37 5,89±2,29 -3,90±0,62 CA5 1,84±3,83 2,62±3,80 -5,13±2,70

В некоторых вариантах осуществления C6, C7, CA4 и CA5 имеют координаты в диапазонах, приведенных в Таблице 19, ниже:

Таблица 19. Фармакофорный элемент Координата x Координата y Координата z C6 6,01±1,50 2,84±1,07 -2,56±0,67 C7 -0,85±0,70 -5,92±0,58 0,26±1,71 CA4 4,02±2,92 5,89±1,52 -3,90±0,41 CA5 1,84±2,55 2,62±2,53 -5,13±1,80

В некоторых вариантах осуществления C6, C7, CA4 и CA5 имеют координаты в диапазонах, приведенных в Таблице 20, ниже:

Таблица 20. Фармакофорный элемент Координата x Координата y Координата z C6 6,01±0,75 2,84±0,54 -2,56±0,34 C7 -0,85±0,35 -5,92±0,29 0,26±0,85 CA4 4,02±1,46 5,89±0,76 -3,90±0,21 CA5 1,84±1,28 2,62±1,27 -5,13±0,90

В некоторых вариантах осуществления фармакофорная группа S4 включает фармакофорный элемент C6.

В некоторых вариантах осуществления фармакофорная группа S4 включает фармакофорный элемент C7.

В некоторых вариантах осуществления фармакофорная группа S4 включает фармакофорный элемент CA4.

В некоторых вариантах осуществления фармакофорная группа S4 включает фармакофорный элемент CA5.

В некоторых вариантах осуществления соединение также содержит фармакофорную группу RM; при этом фармакофорная группа RM включает фармакофорный элемент CA3, где CA3 представляет собой ароматическое кольцо, которое имеет координаты в диапазонах, приведенных в Таблице 21, ниже:

Таблица 21. Фармакофорный элемент Координата x Координата y Координата z CA3 -5,29±2,52 -1,15±4,44 -2,77±3,26

В некоторых вариантах осуществления CA3 имеет координаты в диапазонах, приведенных в Таблице 22, ниже:

Таблица 22. Фармакофорный элемент Координата x Координата y Координата z CA3 -5,29±1,68 -1,15±2,96 -2,77±2,17

В некоторых вариантах осуществления CA3 имеет координаты в диапазонах, приведенных в Таблице 23, ниже:

Таблица 23. Фармакофорный элемент Координата x Координата y Координата z CA3 -5,29±0,84 -1,15±1,48 -2,77±1,09

В некоторых вариантах осуществления фармакофорная группа RM дополнительно включает 1 или 2 дополнительных фармакофорных элемента, выбранных из группы, состоящей из H1 и O3, где:

H1 представляет собой донор водородной связи; и

O3 представляет собой акцептор водородной связи; и

при этом H1 и O3 имеют координаты в диапазонах, приведенных в Таблице 24, ниже:

Таблица 24. Фармакофорный элемент Координата x Координата y Координата z H1 -8,33±0,18 -1,98±0,16 -5,56±0,17 O3 -6,82±8,67 -1,48±9,09 -5,36±10,78

В некоторых вариантах осуществления H1 и O3 имеют координаты в диапазонах, приведенных в Таблице 25, ниже:

Таблица 25. Фармакофорный элемент Координата x Координата y Координата z H1 -8,33±0,12 -1,98±0,11 -5,56±0,11 O3 -6,82±5,78 -1,48±6,06 -5,36±7,19

В некоторых вариантах осуществления H1 и O3 имеют координаты в диапазонах, приведенных в Таблице 26, ниже:

Таблица 26. Фармакофорный элемент Координата x Координата y Координата z H1 -8,33±0,06 -1,98±0,05 -5,56±0,06 O3 -6,82±2,89 -1,48±3,03 -5,36±3,59

В некоторых вариантах осуществления фармакофорная группа RM включает H1.

В некоторых вариантах осуществления фармакофорная группа RM включает O3.

На ФИГ. 66 представлено схематическое изображение связывающих подкарманов MASP+2. Без ограничений, накладываемых теорией, понятно, что конкретные фармакофорные группы и элементы вовлечены в связывание с конкретными областями белка MASP-2. Исключительно для ясности, некоторые из подкарманов представлены и упоминаются в обсуждении и дополнительных фигурах, ниже.

Было обнаружено, что конкретные сочетания фармакофорных элементов, приведенных в Таблице 1, являются более подходящими и связаны с более сильной активностью. В частности, в некоторых вариантах осуществления эффективные ингибиторы MASP-2 могут содержать фармакофорные группы S1, S2 и/или S3. В некоторых вариантах осуществления эффективные ингибиторы MASP-2 могут включать фармакофорные группы S1, S2, S3 и/или S4.

В некоторых вариантах осуществления фармакофорная группа S1 может быть выбрана из фармакофорных групп S1a, S1b и S1c, где:

фармакофорная группа S1a включает фармакофорные элементы CA1 и N1;

фармакофорная группа S1b включает фармакофорные элементы CA1, N1 и C3; и

фармакофорная группа S1c включает фармакофорные элементы CA1 и C5, и также может, необязательно, включать 1, 2, 3 или 4 фармакофорных элемента C5, C7, H2 и/или O4.

Фармакофорная группа S2 включает фармакофорные элементы H4 и O2, и также может, необязательно, включать фармакофорные элементы O1 и/или CA6.

В некоторых вариантах осуществления фармакофорная группа S3 может быть выбрана из фармакофорных групп S3a и S3b, где:

фармакофорная группа S3a включает фармакофорные элементы C2 и N2, и также может, необязательно, включать фармакофорный элемент H3; и

фармакофорная группа S3b включает фармакофорные элементы C3 и H3.

Соединения также могут включать фармакофорную группу S4.

В некоторых вариантах осуществления фармакофорная группа S4 может быть выбрана из фармакофорных групп S4a, S4b, S4c, S4d, S4e и S4f, где:

фармакофорная группа S4a включает фармакофорный элемент CA2, и также может, необязательно, включать 1, 2, 3 или 4 фармакофорных элемента C6, C7, CA4 и/или CA5;

фармакофорная группа S4b включает фармакофорный элемент CA2;

фармакофорная группа S4c включает фармакофорные элементы CA2 и CA4;

фармакофорная группа S4d включает фармакофорные элементы CA2 и C6;

фармакофорная группа S4e включает фармакофорный элемент CA5; и

фармакофорная группа S4e включает фармакофорный элемент C4.

Соединения также могут содержать фармакофорную группу RM, которая включает фармакофорный элемент CA3. Фармакофорная группа RM также может, необязательно, включать 1 или 2 фармакофорных элемента, выбранных из H1 и/или H3.

Предпочтительными являются сочетания, в которых присутствуют фармакофорные группы S1, S2, S3 и S4. Также может, необязательно, присутствовать фармакофорная группа RM.

В Таблице 27 приведен список элементов и сочетаний фармакофорных групп. Необязательные элементы показаны в скобках.

Таблица 27. Список элементов и сочетаний фармакофорных групп Фармакофорные группы Фармакофорные элементы S1a CA1, N1 S1b CA1, N1, C3 S1c CA1, C5, (C7), (O4), (H2) S2 H4, (O1), O2, (CA6) S3a N2, (H3), C2 S3b H3, C2 S4a CA2, (CA4), (CA5), (C6), (C7) S4b CA2 S4c CA2, CA4 S4d CA2, C6 S4e CA5 S4f C4 RM CA3, (O3), (H1)

Элементы в скобках могут быть подобраны.

Расстояния между указанными фармакофорными элементами и ближайшим атомом каждого лиганда в его кристаллической конформации приведены в Таблице A4 (Приложение), расстояния и углы, а также углы вращения, разделяющие атомы, подобранные по указанным фармакофорным элементам, приведены в Таблицах A5-A7 (Приложение) и определены на ФИГ. 67-75, и расстояния между фармакофорными элементами и ближайшим остатком сайта связывания приведены в Таблице A8.

В Таблице A4 приведены расстояния между отдельными усредненными фармакофорными элементами и малой молекулой для конформации малой молекулы, в которой она связывается в сайте связывания hMASP-2. Комплексы лиганд-белок были экспериментально определены методом рентгеновской кристаллографии. Статистические значения, используемые для описания в тексте, суммируют все значения для определенного расстояния. Пропущенное значение указывает на то, что усредненный фармакофорный элемент отсутствует в молекуле.

В Таблице A5 приведены расстояния между конкретными атомами в молекуле, когда она связывается в сайте связывания hMASP-2, в сопоставлении с выбранными фармакофорными элементами. Комплексы лиганд-белок были экспериментально определены методом рентгеновской кристаллографии. Статистические значения, используемые для описания в тексте, суммируют все значения для каждого расстояния. Пропущенное значение указывает на то, что либо один, либо два фармакофорных элемента отсутствуют в молекуле.

В Таблице A6 приведены углы между конкретными атомами в молекуле, когда она связывается в сайте связывания hMASP-2, в сопоставлении с выбранными фармакофорными элементами. Комплексы лиганд-белок были экспериментально определены методом рентгеновской кристаллографии. Статистические значения, используемые для описания в тексте, суммируют все значения для каждого угла. Пропущенное значение указывает на то, что один, два или три фармакофорных элемента отсутствуют в молекуле.

В Таблице A7 приведены углы вращения между конкретными атомами в молекуле, когда она связывается в сайте связывания hMASP-2, в сопоставлении с выбранными фармакофорными элементами. Комплексы лиганд-белок были экспериментально определены методом рентгеновской кристаллографии. Статистические значения, используемые для описания в тексте, суммируют все значения для каждого угла вращения. Пропущенное значение указывает на то, что один, два, три или четыре фармакофорных элемента отсутствуют в молекуле.

В Таблице A8 приведены кратчайшие расстояния между каждым фармакофорным элементом и остатками сайта связывания всех кристаллических структур hMASP-2. Начиная с выровненных комплексов лиганд-белок малая молекула в каждой структуре была заменена усредненной фармакофорной моделью. Каждый фармакофорный элемент может взаимодействовать с несколькими остатками сайта связывания. Кроме того, разные атомы остатка могут формировать кратчайшие расстояния с фармакофорным элементом. Сводная статистическая информация о всех расстояниях между фармакофорным элементом и остатком создает основу для описания в тексте.

Центр фармакофора определен как область S2 (ФИГ. 67 и 68) (Таблица 27), включающая донор водородной связи группу H4, акцептор водородной связи группу O1 и акцептор водородной связи группу O2, которые являются высоко консервативными среди всех соединений. Дополнительное ароматическое кольцо (CA6) может быть подобрано. Сильное MASP-2-ингибирующее соединение соответствует одному из 4 этих фармакофорных элементов. Расстояние d(H4,O1) между H4 и O1 в среднем составляет 3,984 со стандартным отклонением 1,071 минимумом 2,084 и максимумом 6,969 Между HA и O2 расстояние d(H4,O2) в среднем составляет 3,975 со стандартным отклонением 1,125 минимумом 2,420 и максимумом 8,835 Расстояние d(O1,O2) между O1 и O2 в среднем составляет 3,585 со стандартным отклонением 1,034 минимумом 2,286 и максимумом 9,569 Угол связи ∠(O1,O2,H4), определяемый O1, O2 и H4, между O1, O2 и H4 в среднем составляет 125,22°, со стандартным отклонением 16,57°, минимумом 61,95° и максимумом 156,25°. Среднее расстояние d(CA6,O1) между CA6 и O1 составляет 5,186 со стандартным отклонением 1,781 минимальным значением 2,732 и максимальным значением 7,041 Среднее расстояние d(CA6,O2) между CA6 и O2 составляет 3,797 со стандартным отклонением 2,477 минимальным значением 1,127 и максимальным значением 8,449 Средний угол связи ∠(O1,CA6,O2) между O1, CA6 и O2 равен 106,01°, со стандартным отклонением 33,54°, минимальным значением 75,74° и максимальным значением 159,18°. Средний угол вращения ∠(CA6,O1,H4,O2), определяемый CA6, O1, H4 и O2, равен 17,40°, со стандартным отклонением 29,14°, минимальным значением -19,90° и максимальным значением 55,30°.

Фармакофорные элементы в области S1, определенные на ФИГ. 67 и 68 и в Таблице 27, представляют собой набор фармакофорных подгрупп, которые являются предпочтительными для эффективного ингибирования MASP-2. Общим для подгрупп является ароматическое кольцо CA1, которое образует с O1 и O2 угол связи ∠(CA1, O1, O2) в среднем составляющий 109,45°, со стандартным отклонением 12,06°, минимальным значением 72,65° и максимальным значением 151,69°. Средний угол вращения ∠(CA1,O2,H4,O1), определяемый CA1, O2, H4 и O1, составляет -76,06°, со стандартным отклонением 50,45°, минимальным значением -175,49° и максимальным значением 150,81°. Среднее расстояние d(CA1, O1) между CA1 и O1 составляет 4,703 Å, и стандартное отклонение составляет 0,647 Å, минимальное значение составляет 3,345 Å и максимальное значение составляет 7,586 Å. Среднее расстояние d(CA1,O2) между CA1 и O2 составляет 4,524 Å, и стандартное отклонение составляет 0,948 Å, с минимальным значением 3,506 Å и максимальным значением 9,417 Å.

Для фармакофорной группы S1a в Таблице 27 положительно заряженная группа N1 является предпочтительной для эффективных соединений-ингибиторов MASP-2. Среднее расстояние d(CA1, N1) между CA1 и N1 составляет 3,463 Å, и стандартное отклонение составляет 0,426 Å, с минимальным значением 1,849 Å и максимальным значением 3,658 Å. Средний угол связи ∠(N1,CA1,O1) между N1, CA1 и O1 равен 164,29°, со стандартным отклонением 5,24°, минимальным значением 153,11° и максимальным значением 176,16°. Средний угол вращения ∠(N1,CA1,O2,H4), определяемый N1, CA1, O2 и H4, составляет -92,19°, со стандартным отклонением 67,16°, минимальным значением -159,59° и максимальным значением 106,51°.

Фармакофорная группа S1b в Таблице 27 представляет собой продолжение фармакофорной группы S1a с дополнительной гидрофобной группой C3. Средняя длина связи d(C3, CA1) между C3 и CA1 составляет 2,858 Å, со стандартным отклонением 0,010 Å, минимальным значением 2,842 Å и максимальным значением 2,882 Å. Средний угол связи ∠(C3,CA1,O1) между C3, CA1 и O1 равен 149,91 градусов, со стандартным отклонением 0,51°, минимальным значением 148,89° и максимальным значением 151,05°. Средний угол вращения ∠(C3,CA1,O1,H4), определяемый C3, CA1, O1 и H4, составляет 28,54°, со стандартным отклонением 9,82°, минимальным значением 21,76° и максимальным значением 66,00°. Среднее расстояние d(CA1, N1) между CA1 и N1 составляет 1,374 Å, и стандартное отклонение составляет 0,014 Å, с минимумом 1,336 Å и максимальным значением 1,392 Å. Средний угол связи ∠(N1,CA1,O1) между N1, CA1 и O1 равен 173,40°, со стандартным отклонением 2,20°, минимумом 161,82° и максимумом 175,41°. Средний угол вращения ∠ (N1,CA1,O1,H4), определяемый N1, CA1, O1 и H4, составляет 2,57°, со стандартным отклонением 29,67°, минимальным значением -107,13° и максимальным значением 58,16°.

Фармакофорная группа S1c включает фармакофорные элементы ароматическое кольцо CA1 и гидрофобную группу C5, необязательный акцептор водородной связи O4 или гидрофобную группу C7, или необязательный донор водородной связи группу H2. Среднее расстояние d(CA1,O4) между CA2 и O4 составляет 2,592 Å, со стандартным отклонением 0,367 Å, минимумом 1,737 Å и максимальным значением 2,836 Å. Средний угол связи ∠(O1,CA1,O4) между O1, CA1 и O4 составляет 64,90°, со стандартным отклонением 5,55°, минимальным значением 51,33° и максимальным значением 73,28°. Средний угол вращения ∠(O4,CA1,O1,H4), определяемый O4, CA1, O1 и H4, составляет -51,12°, со стандартным отклонением 146,72°, минимальным значением -176,00° и максимальным значением 175,38°. Среднее расстояние d(CA1, C5) между CA1 и C5 составляет 3,173 Å, со стандартным отклонением 0,128 Å, минимальным значением 3,084 Å и максимальным значением 3,547 Å. Средний угол связи ∠(C5,CA1,O1) между C5, CA1 и O1 в среднем составляет 159,21°, со стандартным отклонением 4,12°, минимальным значением 150,20° и максимальным значением 164,79°. Средний угол вращения ∠(C5,CA1,O1,H4), определяемый C5, CA1, O1 и H4, составляет -2,73°, со стандартным отклонением 39,57°, минимальным значением -110,81° и максимальным значением 38,04°. Среднее расстояние d(CA1, C7) между CA1 и C7 составляет 2,992 Å, со стандартным отклонением 0,067 Å, минимальным значением 2,903 Å и максимальным значением 3,065A. Средний угол связи ∠(C7,CA1,O1) между C7, CA1 и O1 равен 132,37°, со стандартным отклонением 8,18°, минимальным значением 121,01° и максимальным значением 139,92°. Средний угол вращения ∠(C7,CA1,O1,H4), определяемый C7, CA1, O1 и H4, составляет -157,34°, со стандартным отклонением 4,95°, минимальным значением -161,01° и максимальным значением -150,35°. Среднее расстояние d(O4,H2) между O4 и H2 составляет 0,973 Å, со стандартным отклонением 0,007 Å, минимальным значением 0,962 и максимальным значением 0,983. Средний угол связи ∠(CA1,O4,H2) между CA1, O4 и H2 составляет 126,98°, со стандартным отклонением 2,30°, минимальным значением 122,20° и максимальным значением 131,81°. Средний угол вращения ∠(H2,O4,CA1,O1), определяемый H2, O4, CA1 и O1, составляет 29,82°, со стандартным отклонением 60,96°, минимальным значением -12,92° и максимальным значением 174,89°.

Область S3, определенная в Таблице 27 и на ФИГ. 66 и 72, включает протонируемый N2 и/или донор водородной связи H3 и гидрофобную группу C2. В наборе фармакофорных элементов S3a, b донор водородной связи группа H3 и/или положительная ионогенная группа N2 (Таблица 27) являются предпочтительными для эффективных ингибиторов MASP-2 человека. Среднее расстояние d(O2, H3) между O2 и H3 составляет 3,993 Å, со стандартным отклонением 1,422 Å, минимальным значением 1,266 Å и максимальным значением 8,995 Å. Средний угол связи ∠(O1,O2,H3) равен 141,41°, со стандартным отклонением 17,50°, минимальным значением 25,95° и максимальным значением 170,92°. Средний угол вращения ∠(H4,O1,O2,H3), определяемый H4, O1, O2 и H3, равен 17,91°, со стандартным отклонением 88,16°, минимальным значением -176,95° и максимальным значением 162,81°. Расстояние d(O2,N2) между O2 и N2 составляет 2,830 Å, со стандартным отклонением 0,295 Å, минимальным значением 2,404 Å и максимальным значением 4,424 Å. Угол связи ∠(O1,O2,N2) равен 139,32°, со стандартным отклонением 16,79°, минимальным значением 44,76° и максимальным значением 175,07°. Средний угол вращения ∠(H4,O1,O2,N2), определяемый H4, O1, O2 и N2, составляет 4794°, со стандартным отклонением 124,93°, минимальным значением -178,39° и максимальным значением 177,59°. Среднее расстояние d(N2,C2) между N2 и C2 составляет 2,220 Å, со стандартным отклонением 1,638 Å, минимальным значением 1,321 Å и максимальным значением 8,529 Å. Средний угол связи ∠(O2,N2,C2) между O2, N2 и C2 равен 130,19°, со стандартным отклонением 11,79°, минимальным значением 100,68° и максимальным значением 168,69°. Средний угол вращения ∠(O1,O2,N2,C2), определяемый O1, O2, N2 и C2, составляет 99,05°, со стандартным отклонением 59,50°, минимальным значением -139,94° и максимальным значением 151,54°.

Область S4 содержит кластер гидрофобных групп и ароматических колец, которые могут быть подобраны индивидуально или в сочетании (смотри Таблицу 27 и ФИГ. 72-74 для подробной информации).

Среднее расстояние d(N2,C4) между N2 и C4 составляет 7,669 Å, со стандартным отклонением 0,619 Å, минимальным значением 6,056 Å и максимальным значением 8,240 Å. Средний угол связи ∠(O2,N2,C4) между O2, N2 и C4 равен 109,14°, со стандартным отклонением 22,13°, минимальным значением 49,80° и максимальным значением 127,51°. Угол вращения ∠(O1,O2,N2,C4), определяемый O1, O2, N2 и C4, равен 118,88°, со стандартным отклонением 15,36°, минимальным значением 103,26° и максимальным значением 145,41°.

CA5 имеет среднее расстояние (d(N2,CA5)) 4,939 Å до N2, со стандартным отклонением 0,623, минимальным значением 3,723 Å и максимальным значением 6,599 Å. Стандартный угол связи ∠(CA5,N2,O2) между CA5, N2 и O2 равен 152,85°, со стандартным отклонением 12,41°, минимальным значением 111,73° и максимальным значением 161,77°. Средний угол вращения ∠(O1,O2,N2,CA5), определяемый O1, O2, N2 и CA5, равен 113,48°, со стандартным отклонением 68,44°, минимальным значением -161,98° и максимальным значением 148,15°.

Среднее расстояние d(N2,CA2) между CA2 и N2 составляет 5,909 Å, со стандартным отклонением 0,414 Å, минимальным значением 5,064 Å и максимальным значением 8,317 Å. Средний угол связи ∠(CA2,N2,O2) между CA2, N2 и O2 равен 155,19°, со стандартным отклонением 2,86°, минимальным значением 145,05° и максимальным значением 163,85°. Средний угол вращения ∠(O1,O2,N2,CA2), определяемый O1, O2, N2 и CA2, равен 114,96°, со стандартным отклонением 55,79°, минимальным значением -157,89° и максимальным значением 159,77°.

Среднее расстояние d(N2,CA4) между CA4 и N2 составляет 7,669 Å, со стандартным отклонением 0,620 Å, минимальным значением 6,056 Å и максимальным значением 8,240 Å. Средний угол связи ∠(CA4,N2,O2) между CA4, N2 и O2 равен 160,71°, со стандартным отклонением 2,46°, минимальным значением 154,82° и максимальным значением 164,21°. Средний угол вращения ∠(O1,O2,N2,CA4), определяемый O1, O2, N2 и CA4, равен 113,64°, со стандартным отклонением 14,37°, минимальным значением 101,00° и максимальным значением 155,91°.

Среднее расстояние d(N2, C6) между C6 и N2 составляет 6,993 Å, со стандартным отклонением 1,011 Å, минимальным значением 5,556 Å и максимальным значением 8,271 Å. Средний угол связи ∠(C6,N2,O2) между C2, N2 и O2 равен 102,26°, со стандартным отклонением 9,84°, минимальным значением 88,59° и максимальным значением 115,79°. Средний угол вращения ∠(O1,O2,N2,C6), определяемый O1, O2, N2 и C6, равен 143,73°, со стандартным отклонением 4,82°, минимальным значением 137,30° и максимальным значением 150,07°.

Соединения также могут соответствовать одной или более из характеристик в другом кластере фармакофоров в области RM (Таблица 27, ФИГ. 66, 72-75). Этот кластер фармакофоров состоит из ароматического кольца CA3, акцептора водородной связи группы O3 и донора водородной связи группы H1.

Среднее расстояние d(N2,CA3) между N2 и CA3 составляет 5,057 Å, со стандартным отклонением 0,668 Å, минимальным значением 3,779 Å и максимальным значением 5,595 Å. Средний угол связи ∠(O2,N2,CA3) между O2, N2 и CA3 равен 157,18°, со стандартным отклонением 3,95°, минимальным значением 151,66° и максимальным значением 161,48°. Средний угол вращения ∠(O1,O2,N2,CA3), определяемый O1, O2, N2 и CA3, составляет -13,65°, со стандартным отклонением 20,56°, минимальным значением -34,52° и максимальным значением 24,87°.

Среднее расстояние d(N2,O3) между O3 и N2 составляет 8,488 Å, со стандартным отклонением 0,670 Å, минимальным значением 7,778 Å и максимальным значением 9,724 Å. Средний угол связи ∠(O3,N2,O2) между O3, N2 и O2 равен 166,02°, со стандартным отклонением 2,30°, минимальным значением 162,76° и максимальным значением 168,41°. Средний угол вращения ∠(O1,O2,N2,O3), определяемый O1, O2, N2 и O3, составляет -25,81°, со стандартным отклонением 57,02°, минимальным значением -144,09° и максимальным значением 43,95°.

Среднее расстояние d(N2,H1) между H1 и N2 составляет 8,663 Å, со стандартным отклонением 0,021 Å, минимальным значением 8,642 Å и максимальным значением 8,684 Å. Средний угол связи ∠(H1,N2,O2) между H1, N2 и O2 равен 168,74°, со стандартным отклонением 0,08°, минимальным значением 168,66° и максимальным значением 168,81°. Средний угол вращения ∠(O1,O2,N2,H1), определяемый O1, O2, N2 и H1, составляет -16,54°, со стандартным отклонением 0,57°, минимумом -17,10° и максимальным значением -16,97°.

Фармакофорная модель представлена на ФИГ. 66-75.

На ФИГ. 66 представлено схематическое изображение фармакофорной модели, относящейся к элементам сайта связывания в целом. В последующих фигурах показаны лишь части подсекции для ясности.

На ФИГ. 67 показаны расстояния между фармакофорными элементами в областях S1 и S2. Область S2 включает H4, O1, O2 и CA6. Область S1 состоит из H2, O4, CA1, C3, C5, C7 и N1. Показаны расстояния, упомянутые в тексте.

На ФИГ. 68 показаны углы между фармакофорными элементами в областях S1 и S2. Область S2 включает H4, O1, O2 и CA6. Область S1 состоит из H2, O4, CA1, C3, C5, C7 и N1. Показаны углы связей, упомянутые в тексте. Определения областей опущены для ясности.

На ФИГ. 69 показано определение углов вращения, используемое в тексте. Угол вращения образован 3 последовательными векторами и определяется как угол двух внешних векторов со стрелками на их концах. Определения областей опущены для ясности.

На ФИГ. 70 показано определение углов вращения, используемое в тексте. Угол вращения образован 3 последовательными векторами и определяется как угол двух внешних векторов со стрелками на их концах. Определения областей опущены для ясности.

На ФИГ. 71 показано определение углов вращения, используемое в тексте. Угол вращения образован 3 последовательными векторами и определяется как угол двух внешних векторов со стрелками на их концах. Определения областей опущены для ясности.

На ФИГ. 72 показаны расстояния между фармакофорными элементами в областях S2, S4 и RM. Область S2 включает H4, O1, O2 и CA6. Область S4 состоит из H3, N2, C2, C4, CA5, CA2, CA4, C6. Область RM включает CA3, H1, O3. Показаны расстояния, упомянутые в тексте.

На ФИГ. 73 показаны углы связей, упомянутые в тексте. Определения областей опущены для ясности.

На ФИГ. 74 показано определение углов вращения, используемое в тексте. Угол вращения образован 3 последовательными векторами и определяется как угол двух внешних векторов со стрелками на их концах. Определения областей опущены для ясности.

На ФИГ. 75 показано определение углов вращения, используемое в тексте. Угол вращения образован 3 последовательными векторами и определяется как угол двух внешних векторов со стрелками на их концах. Определения областей опущены для ясности.

Без связи с какой-либо теорией, понятно, что конкретные фармакофорные элементы могут взаимодействовать с конкретными элементами сайта связывания MASP-2. Взаимодействия, считающиеся более важными взаимодействиями, описаны ниже.

Понятно, что фармакофорные элементы области S2 (Таблица 27) образуют классические водородные связи с выступом S4 в сайте связывания MASP-2. Среднее расстояние между H4 и атомом O в SER 654 составляет 2,308 Å, со стандартным отклонением 0,157, минимальным значением 2,037 Å и максимальным значением 2,787 Å. Среднее расстояние между O2 и атомом H в GLY 656 составляет 2,425 Å, со стандартным отклонением 0,159 Å, минимальным значением 2,027 Å и максимальным значением 2,943 Å. Среднее расстояние между CA6 и атомом HZ в PHE 529 составляет 3,243 Å, со стандартным отклонением 0,263 Å, минимальным значением 2,558 Å и максимальным значением 4,535 Å.

Понятно, что фармакофорный элемент C3 в области S1 (ФИГ. 67, Таблица 27) вступает в гидрофобное взаимодействие с VAL 653, исходя из кратчайшего среднего расстояния 2,762 Å. Стандартное отклонение составляет 0,147 Å, минимальное значение составляет 1,963 Å и максимальное значение составляет 3,038 Å. Исходя из природы C5 в области S1, он может вступать с TYR 669 в пи-взаимодействие. Кратчайшее среднее расстояние составляет 3,701 Å, со стандартным отклонением 0,246 Å, минимальным значением 1,820 Å и максимальным значением 4,327 Å.

Понятно, что фармакофорная группа CA1 ароматического кольца вступает во взаимодействия с GLY 656. Кратчайшее среднее расстояние составляет 3,494 Å, со стандартным отклонением 0,283 Å, минимальным значением 3,001 Å и максимальным значением 4,517 Å. CA1 также взаимодействует с TRP 655, о чем свидетельствует кратчайшее среднее расстояние с HA. Кратчайшее среднее расстояние составляет 3,563 Å, со стандартным отклонением 0,142 Å, минимальным значением 3,220 Å и максимальным значением 3,955 Å. CA1 также взаимодействует с CYS 629. Кратчайшее среднее расстояние составляет 3,051 Å, со стандартным отклонением 0,178 Å, минимальным значением 2,199 Å и максимальным значением 3,620 Å.

Понятно, что протонируемая группа N1 вступает в ионное взаимодействие с ASP 627. Кратчайшее среднее расстояние составляет 3,750 Å, со стандартным отклонением 0,633 Å, минимальным значением 2,670 Å и максимальным значением 5,269 Å.

Понятно, что гидрофобный фармакофорный элемент C7 вступает во взаимодействия с CYS 660. Кратчайшее среднее расстояние составляет 2,438 Å, со стандартным отклонением 0,332 Å, минимальным значением 1,070 Å и максимальным значением 3,816 Å. Также понятно, что C7 вступает во взаимодействие с GLY 656. Кратчайшее среднее расстояние составляет 3,400 Å, со стандартным отклонением 0,298 Å, минимальным значением 2,707 Å и максимальным значением 4,358 Å. Понятно, что C7 также может контактировать с SER 657. Кратчайшее среднее расстояние составляет 2,873 Å, со стандартным отклонением 0,228 Å, минимальным значением 2,384 Å и максимальным значением 3,497 Å. C7 контактирует с ASP 627. Кратчайшее среднее расстояние составляет 3,411 Å, со стандартным отклонением 0,570 Å, минимальным значением 2,634 Å и максимальным значением 5,201 Å. Понятно, что C7 также может взаимодействовать с SER 628. Кратчайшее среднее расстояние составляет 3,623 Å, со стандартным отклонением 0,215 Å, минимальным значением 3,136 Å и максимальным значением 5,000 Å. Кроме того, C7 также может взаимодействовать с CYS 629. Кратчайшее среднее расстояние составляет 3,495 Å, стандартное отклонение составляет 0,197 Å, с минимальным значением 2,608 Å и максимальным значением 3,889 Å.

Понятно, что акцептор водородной связи O4 вступает во взаимодействия с ARG 630. Кратчайшее среднее расстояние составляет 3,187 Å, со стандартным отклонением 0,366 Å, минимальным значением 2,071 Å и максимальным значением 4,572 Å. O4 также может вступать во взаимодействие с CYS 629. Кратчайшее среднее расстояние составляет 3,311 Å, со стандартным отклонением 0,156 Å, минимальным значением 2,756 и максимальным значением 3,746 Å.

В области S3 (Таблица 27, ФИГ. 72) понятно, что фармакофорный элемент N2 образует водородную связь с O GLY 656. Среднее расстояние составляет 2,771 Å со стандартным отклонением 0,242 Å, минимальным значением 2,184 Å и максимальным значением 3,695 Å.

Понятно, что фармакофорный элемент H3 образует водородную связь с O GLY 656. Среднее расстояние составляет 2,612 Å, со стандартным отклонением 0,236 Å, минимальным значением 1,956 Å и максимальным значением 3,613 Å.

В области S4, понятно, что фармакофорный элемент CA2 вступает в ароматические пи-взаимодействия с PHE 529. Кратчайшее среднее расстояние составляет 3,136 Å, со стандартным отклонением 0,295 Å, минимумом 2,490 и максимальным расстоянием 3,838 Å. Понятно, что CA2 также вступает в гидрофобные взаимодействия с PRO 608. Кратчайшее среднее расстояние составляет 3,561 Å, со стандартным отклонением 0,545, минимальным значением 2,400 Å и максимальным значением 4,978 Å. Также понятно, что CA2 вступает в гидрофобные взаимодействия с TYR 607. Кратчайшее среднее расстояние составляет 3,617 Å, со стандартным отклонением 0,437 Å, минимальным значением 2,644 Å и максимальным значением 4,896 Å.

Понятно, что ароматическое кольцо CA4 вступает в гидрофобные взаимодействия с GLY 528. Кратчайшее среднее расстояние составляет 3,182 Å, со стандартным отклонением 0,215 Å, минимальным значением 2,235 Å и максимальным значением 3,450 Å. CA4 также вступает в гидрофобные взаимодействия с PRO 608. Кратчайшее среднее расстояние составляет 3,514 Å, со стандартным отклонением 0,681 Å, минимальным значением 2,077 Å и максимальным значением 5,235 Å. CA4 вступает в ароматические пи-взаимодействия с PHE 529. Кратчайшее среднее расстояние составляет 3,921 Å, со стандартным отклонением 0,237 Å, минимальным значением 3,306 Å и максимальным значением 4,762 Å.

Понятно, что CA5 вступает в гидрофобные взаимодействия с TYR 607. Кратчайшее среднее расстояние составляет 3,520 Å, со стандартным отклонением 0,419 Å, минимальным значением 2,463 Å и максимальным значением 4,374 Å.

Понятно, что C2 вступает в гидрофобные взаимодействия с TYR 607. Кратчайшее среднее расстояние составляет 3,621 Å, со стандартным отклонением 0,449 Å, минимальным значением 2,780 Å и максимальным значением 5,630 Å. Также понятно, что C2 вступает в гидрофобные взаимодействия с GLY 656. Кратчайшее среднее расстояние составляет 3,501 Å, со стандартным отклонением 0,247 Å, минимальным значением 2,920 Å и максимальным значением 4,091 Å. Кроме того, понятно, что C2 может взаимодействовать с TRP 655. Кратчайшее среднее расстояние составляет 3,888 Å, со стандартным отклонением 0,185 Å, минимальным значением 3,090 Å и максимальным значением 4,320 Å.

Понятно, что C4 вступает в гидрофобные взаимодействия с PRO 608. Кратчайшее среднее расстояние составляет 3,282 Å, со стандартным отклонением 0,607 Å, минимальным значением 2,206 Å и максимальным значением 4,992 Å.

Понятно, что C6 вступает в гидрофобные взаимодействия с TRP 655. Кратчайшее среднее расстояние составляет 3,698 Å, со стандартным отклонением 0,231 Å, минимальным значением 3,087 Å и максимальным значением 4,113 Å. Кроме того, понятно, что C6 вступает в гидрофобные взаимодействия с PHE 529. Кратчайшее среднее расстояние составляет 3,006 Å, со стандартным отклонением 0,251 Å, минимальным значением 2,420 и максимальным значением 3,836 Å. Понятно, что C6 также взаимодействует с SER 611. Кратчайшее среднее расстояние составляет 2,603 Å, со стандартным отклонением 0,298 Å, минимальным значением 1,991 Å и максимальным значением 3,322 Å. Также понятно, что C6 вступает в гидрофобные взаимодействия с PRO 608. Кратчайшее среднее расстояние составляет 3,835 Å, со стандартным отклонением 0,360 Å, минимальным значением 2,970 Å и максимальным значением 4,919 Å. C6 также может вступать в гидрофобные взаимодействия с GLY 528. Кратчайшее среднее расстояние составляет 3,610 Å, со стандартным отклонением 0,213 Å, минимальным значением 2,993 Å и максимальным значением 4,666 Å.

В области RM, понятно, что CA3 вступает в гидрофобные взаимодействия с MET 658. Кратчайшее среднее расстояние составляет 2,533A, со стандартным отклонением 0,472 Å, минимальным значением 1,072 Å и максимальным значением 3,890 Å. Понятно, что CA3 также вступает во взаимодействия с ARG 630. Кратчайшее среднее расстояние составляет 2,861 Å, со стандартным отклонением 0,958 Å, минимальным значением 0,155 Å и максимальным значением 5,371 Å.

Понятно, что O3 также вступает во взаимодействия с ARG 630. Кратчайшее среднее расстояние составляет 3,766 Å, со стандартным отклонением 0,893 Å, минимальным значением 1,734 Å и максимальным значением 5,839 Å.

И наконец, понятно, что H1 вступает во взаимодействия с MET 658. Кратчайшее среднее расстояние составляет 3,371 Å, со стандартным отклонением 0,510 Å, минимальным значением 0,739 Å и максимальным значением 5,284 Å.

Низкомолекулярное соединение можно оценивать способами, описанными в настоящем документе, для определения совпадения по фармакофорным элементам, описанным в настоящем документе, путем определения низкоэнергетических конформаций соединения с использованием расчетов молекулярной механики или других методов расчета. Дополнительно или альтернативно, конформации можно определять способами, описанными в настоящем документе или в иных источниках, путем стыковки соединения с любой структурой MASP-2, полученной любым теоретическим или экспериментальным методом, таким как моделирование гомологий, сравнительное моделирование или ab initio моделирование, или таким как дифракция рентгеновских лучей или криоэлектронная микроскопия. Например, 1Q3X представляет собой структуру MASP-2 SP-CCP2 человека, которую можно использовать для стыковки, или гомологичную модель MASP-2, полученную на основании кристаллической структуры MASP-1, можно использовать в качестве структурной матрицы, в соответствии с идеями настоящего изобретения. После выяснения конформации молекулы, как описано в настоящем документе, соединение можно оценивать, как описано в настоящем документе на соответствие параметрам фармакофорной модели, как описано выше. Сопоставление можно проводить с использованием стандартной программы, известной специалистам в данной области, такой как инструменты в программе Discovery Suite, доступной от компании Schrödinger, LLC, или другой коммерчески доступной программе для молекулярного моделирования.

H. Соединения, определяемые на основании разработанных вычислительными методами правил связывания

Настоящее изобретение относится к соединениям с MASP-2-ингибирующей активностью, которые взаимодействуют с сайтом связывания MASP-2. Сайт(ы) связывания на белке MASP-2 определяют с использованием способов, описанных в настоящем документе. Соединения по изобретению взаимодействуют с аминокислотными остатками сайта связывания. Путем определения сайтов связывания и за счет взаимодействия соединений по изобретению с сайтом связывания, например, поверхностными аминокислотными остатками, можно разрабатывать набор «правил связывания», или «набор правил», с помощью которых ингибитор MASP-2 также может быть конкретно описан. Путем использования различных соединений, включая те, которые описаны в настоящем документе, набор правил описывает соединения с полной специфичностью. Иными словами, путем идентификации таких аминокислот и того, каким образом ингибитор взаимодействует с аминокислотами, можно конкретно определять сам ингибитор.

В одном варианте осуществления настоящее изобретение относится к способу определения виртуальных сайтов связывания и, тем самым, предоставления виртуальных сайтов связывания белка MASP-2. Как будет понятно из настоящего документа, новые идентифицированные сайты связывания являются основой для альтернативного способа структурного описания ингибиторов MASP-2 путем описания структурных взаимодействий между ингибирующими соединениями и MASP-2, в соответствии с настоящим изобретением.

Способы, описанные в настоящем документе, включают один или более вычислительных экспериментов (то есть, in silico способы стыковки или виртуальные способы стыковки), используемых в соответствии с настоящим изобретением для моделирования взаимодействий между поверхностными остатками белка MASP-2, которые были получены на основании экспериментальной кристаллографической информации о структуре, и известными низкомолекулярными ингибиторами MASP-2. Такие виртуальные или in silico способы стыковки позволяют идентифицировать сайты связывания MASP-2 и их взаимодействия с низкомолекулярными ингибиторами. В конкретных аспектах настоящего изобретения характерные особенности аминокислот и их соответствующих атомов на поверхности белка, которые доступны для связывания малых молекул, часто вносят значительный вклад в общую энергию связывания (Fernández-Recio et al., Comput Mol Sci, 680-698, 2011).

Серия вычислительных экспериментов с использованием экспериментальной кристаллографической информации о структуре с известными ингибиторами позволяет определять виртуальные сайты связывания или трехмерные модели их взаимодействия с MASP-2.

Виртуальные способы связывания или стыковки, описанные в настоящем документе, позволяют идентифицировать аминокислоты, которые взаимодействуют с ингибитором. Путем идентификации таких аминокислот и того, каким образом ингибитор взаимодействует, по настоящему изобретению, можно конкретно определять сам ингибитор.

В конкретных аспектах ингибитор представляет собой обратимый ингибитор, необратимый ингибитор, который связывается ковалентно, или, альтернативно, обратимый ковалентно связывающийся ингибитор. В конкретных аспектах ингибиторы по настоящему изобретению разработаны для взаимодействия с их биологическими мишенями в равновесных условиях связывания, в которых взаимодействие нужного лекарственного средства с белком представляет собой быстрый и обратимый процесс. В других аспектах, ингибитор представляет собой ковалентный ингибитор, который разработан для связывания с сайтом связывания белка за счет традиционных обратимых взаимодействий, но также имеет место событие образования ковалентной связи, которое приводит к надежному связыванию лекарственного средства с белком. В других аспектах ингибиторы по настоящему изобретению могут образовывать обратимые ковалентные связи с их соответствующими сайтами связывания-мишенями.

В конкретных аспектах ингибиторы по настоящему изобретению представляют собой ковалентные ингибиторы. В отличие от обычных обратимых лекарственных средств, необратимые ингибиторы обеспечивают полную нейтрализацию их биомолекулярных мишеней, таких как MASP-2, через определенное время. Ковалентные ингибиторы обладают высокой биохимической эффективностью и, следовательно, требуют меньших доз и меньшей частоты введения доз. Кроме того, ковалентные ингибиторы имеют сниженные или уменьшенные нецелевые эффекты. Кроме того, в некоторых случаях ковалентные ингибиторы по настоящему изобретению выигрывают в конкуренции с эндогенными субстратами за связывание с одной и той же мишенью. Кроме того, ковалентные ингибиторы вызывают меньшую устойчивость к лекарственному средству. Предпочтительно, ковалентные ингибиторы направлены на альтернативные сайты связывания-мишени в белке, которые могут быть неглубокими и, вследствие этого, ранее считавшимися неподходящими для связывания лекарственного средства сайтами.

В конкретных аспектах ингибиторы по настоящему изобретению представляет собой боросодержащие ингибиторы протеаз (смотри, Smoum et al. Chem. Rev. 2012, 112, 4156-4220). Например, пептидил-бороновые кислоты входят в число наиболее сильных известных ингибиторов сериновых протеаз, достигая активности в субнаномолярных количествах при взаимодействии лишь с подсайтами S. В качестве одного примера, MeO-Suc-Ala-Ala-проборо-Phe-OH ингибирует α-химотрипсин с величиной Ki 0,16 нМ. В некоторых случаях ингибиторы представляют собой функционализированные арильные производные бороновой кислоты.

В других аспектах ингибиторы по настоящему изобретению представляют собой производные изатоевых ангидридов, оксазиндионы и бензоксазиноны. (Смотри, Gelb et al. J Med Chem., 1986, 29, 585-589). Эти производные, как правило, представляют собой необратимые ингибиторы. Кроме того, разрабатывают и другие необратимые ингибиторы, взяв за основу эффективный обратимый ингибитор, описанный в настоящем документе, и присоединяя к данной структуре реакционноспособную «боеголовку», такую как алкилирующее средство. Например, в качестве «боеголовок» можно использовать диазо-соединения или галокетоны. В других стратегиях используют метод рентгеновской кристаллографии и сокристаллы, описанные в настоящем документе. Фрагменты, образующие ковалентные связи, устанавливают с использованием структур сокристаллов (смотри, Power et al. Chem Rev. 2002, 102, 4639-4750).

В конкретных аспектах ингибиторы по настоящему изобретению представляют собой цинк-опосредуемые ингибиторы, такие как производные бис(5-амидино-2-бензимидазолил)метана (BABIM) (смотри, Katz et al. Nature, Vol. 391. February 1998, p. 608-612). В некоторых случаях белок MASP-2 ингибируется за счет координирующего Zn2+ в присутствии BABIM-подобных хелаторов, и подвержен сильному Zn2+-опосредуемому ингибированию.

В конкретных аспектах ингибиторы представляют собой необратимые ингибиторы протеаз, содержащие электрофильные «боеголовки», такие как альдегиды, боронаты и α-кето функциональные группы (смотри, Lin et al. Infectious Disorders-Drug Targets, 2006 6, 3-16).

1. Способы определения виртуальных сайтов связывания

Этап 1 - Получение исходных моделей MASP-2

Как показано на ФИГ. 76, для определения и характеризации сайта связывания на MASP-2 в конкретных аспектах было получено множество моделей MASP-2. В некоторых аспектах множество моделей MASP-2 получают путем компьютерного воспроизведения экспериментальных кристаллографических структур.

В конкретных аспектах используют модифицированный подход MolSite (Fukunishi and Nakamura, Protein Science, 20, 95-106, 2011) для создания моделей белка MASP-2. Показано, что подход MolSite позволяет правильно предсказывать сайты связывания с примерно 80-99% точностью. Для целей настоящего изобретения способ MolSite был модифицирован путем использования кристаллографических структур MASP-2 для идентификации in silico тех взаимодействующих остатков, которые имеют предрасположенность к связыванию лиганда, например, связыванию малой молекулы, на основании кристаллографических данных.

Как показано на ФИГ. 76, в конкретных аспектах настоящего изобретения воспроизведены вычислительными методами экспериментальные кристаллографические структуры малых молекул, взаимодействующих с конкретными аминокислотными остатками в сайте связывания MASP-2 (этап 101). Модели белка MASP-2 могут быть получены вычислительными методами из кристаллографических данных, а затем подтверждены с использованием RMSD (среднеквадратичное отклонение) наложения на соответствующие кристаллические структуры. В некоторых аспектах исходные модели белка MASP-2 получают путем воспроизведения вычислительными методами каждого из определенных кристаллографическими методами сокристаллов MASP-2-связанный низкомолекулярный ингибитор (смотри ФИГ. 1-57). В некоторых вариантах осуществления вторую цепь модуля контрольного белка комплемента (CCP2), все молекулы растворителя и воды, противоионы и связанную молекулу ингибитора удаляют из кристаллографических параметров перед созданием вычислительными методами исходных моделей белка MASP-2. В некоторых аспектах исходные модели белка MASP-2 получают путем воспроизведения вычислительными методами каждого из определенных кристаллографическими методами сокристаллов MASP-2-связанный низкомолекулярный ингибитор (ФИГ. 1-57), с последующим удалением второй цепи модуля контрольного белка комплемента (CCP2), всех молекул растворителя и воды, противоионов и связанной молекулы ингибитора из параметров модели MASP-2. Затем на следующем этапе оптимизируют параметры стыковки для этих исходных моделей MASP-2.

Этап 2 - Получение оптимизированных моделей MASP-2

Далее параметры стыковки исходных моделей MASP-2 оптимизируют путем добавления полярных атомов водорода, используя алгоритмы минимизации энергии при помощи силового поля, с последующим присвоением зарядов атомам белка (AMBER) и использованием ручной проверки и корректировки (этап 110). Молекулы растворителя могут быть вновь добавлены туда, где такие молекулы наблюдаются кристаллографическим методом. В некоторых аспектах все молекулы воды вновь добавляют туда, где такие молекулы наблюдаются кристаллографическим методом. В некоторых аспектах цепь CCP2, необязательно, возвращают в ее наблюдаемое кристаллографическим методом месторасположение. Затем производят дальнейшие корректировки для учета диполей без изменения чистых зарядов любых остатков. Получают множество, или несколько, моделей белка MASP-2 на этапе оптимизации для учета конформационных отличий, наблюдаемых в кристаллографических совместных структурах MASP-2. Как упомянуто выше, в настоящем документе описаны 57 сокристаллов с низкомолекулярными ингибиторами. Каждую оптимизированную модель MASP-2 с оптимизированными и MASP-2-специфическими параметрами стыковки используют в последовательных виртуальных процессах, или операциях, стыковки (то есть, вычислительных экспериментах по стыковке), включая повторную стыковку наблюдаемого кристаллографическими методами низкомолекулярного ингибитора и перекрестную стыковку малых молекул, выбранных из библиотеки малых молекул. Точность результатов таких экспериментов по перекрестной и повторной стыковке будет способствовать оптимизации модели MASP-2 и параметров стыковки.

Этап 3 - Подготовка библиотеки малых молекул

В конкретных аспектах база данных заполнена цифровыми изображениями малых молекул, которые, как известно, ингибируют активность MASP-2 (например, соединениями, выбранными из Таблиц 28 или 31) (смотри, этап 131). Цифровые изображения каждой малой молекулы в библиотеке представляют собой трехмерные структуры малых молекул с минимальным энергопотреблением, полученные с использованием известных вычислительных методов. В некоторых аспектах наблюдаемые кристаллографическими методами низкомолекулярные ингибиторы каждого из 57 сокристаллов воспроизводятся известными вычислительными методами в виде трехмерных структур с минимальной энергией. Такие вычислительные алгоритмы включают идентификацию ионогенных и поляризуемых групп в каждой структуре малых молекул и визуализацию цифровых изображений каждой малой молекулы как в заряженном, так и в нейтральном состоянии, а также с, и без, или только с подмножеством идентифицированных кристаллографическими методами связанных молекул растворителя.

Библиотека малых молекул включает лиганды, которые, как известно, связываются с MASP-2, а также молекулы, которые не связываются с MASP-2. Малые молекулы, которые, как известно, ингибируют MASP-2 (то есть, связываются с MASP-2), называют «хитами». Малые молекулы, не проявляющие какую-либо MASP-2-ингибирующую активность (то есть, которые, как известно, не связываются или не ингибируют MASP-2), называют «макетами». На следующем этапе (этапе 4) способа оценивают поведение при стыковке как хитов, так и макетов, включенных в базу данных.

Этап 4 - Виртуальная стыковка

В конкретных аспектах можно использовать такую программу, как GLIDE (Friesner et al., 2016; Schrödinger, LLC), для проведения жесткой, а также гибкой, виртуальной стыковки малых молекул на каждой модели MASP-2 (этап 152). Используемый в настоящем документе термин «перекрестная стыковка» означает виртуальную стыковку соединений, выбранных из набора из 57 кристаллографических совместных структур MASP-2, на двух или более моделях MASP-2, последняя из которых отличается от модели MASP-2, полученной с этой связанной малой молекулой. Термин «повторная стыковка» означает виртуальную стыковку изображения наблюдаемого кристаллографическими методами низкомолекулярного ингибитора вновь на ту же модель MASP-2, которая была получена из соответствующей структуры сокристалла. В данных процессах, или операциях, виртуальной стыковки эксперименты по стыковке ограничены только остатками, экспонированными на поверхности. Полученные в результате положения стыкованного лиганда после этого отбирают, оценивают и объединяют, и назначают отсечку расстояния для сопоставления атомов лиганда с атомами, экспонируемыми на поверхности MASP-2. Для операций стыковки используют в основном предпочтительные поверхностные сайты, а именно те, которые были идентифицированы кристаллографическими методами для связывания, за счет водородных связей и ван-дер-ваальсовых контактов, конкретных малых молекул. Такие поверхностные сайты предрасположены к связыванию малых молекул и, таким образом, данную информацию используют в качестве якорных точек для низкомолекулярных соединений, выбранных из HTS хитов (смотри Таблицу 28).

В конкретных аспектах на данном этапе можно использовать и другие компьютерные программы, такие как те, которые приведены далее.

В конкретных аспектах используют программу ICM Pro. (Abagyan & Totrov, Journal of Computational Chemistry, Volume 15, Issue 5, May 1994, Pages 488-506; и Abagyan et al., Journal of Molecular Biology, Volume 235, Issue 3, 20 January 1994, Pages 983-1002).

В конкретных аспектах используют программу GRID, которая описана следующим образом: энергии протеиновых зондов, вычисленные Леннард-Джонсом, электростатические и водородные потенциалы связывания картирует на решетку вокруг белка. (Смотри, Goodford, P. J. A computational procedure for determining energetically favorable binding sites on biologically important macromolecules. J. Med. Chem., 1985, 28, 849-857).

В конкретных аспектах используют программу Pocket, которая описана следующим образом: 3Å зонд сканирует белок по декартовой сетке на линейные сегменты, не перекрывающиеся с белком, но окруженные перекрывающимися сегментами. (Смотри, Levitt, D. G.; Banaszak L. J. POCKET: a computer graphics method for identifying and displaying protein cavities and their surrounding amino acids. J. Mol. Graph., 1992, 10, 229-234).

В конкретных аспектах используют программу Delaney, которая описана следующим образом: расширение и сокращение поверхностных зондов использует для обнаружения карманов, где концентрируются зондовые частицы. (Смотри, Delaney, J. S. Finding and filling protein cavities using cellular logic operations. J. Mol. Graph., 1992 10, 174-177).

В конкретных аспектах использую программу Del Carpio, которая описана следующим образом: кратчайшие расстояния между центром тяжести белка и точками на поверхности белка использует для идентификации карманов. (Смотри, Del Carpio C. A.; Takahashi Y.; Sasaki S. A new approach to the automatic identification of candidates for ligand receptor sites in proteins: (I). Search for pocket regions. J. Mol. Graph., 1993, 11, 23-29).

В конкретных аспектах используют программу VOIDOO, которая описана следующим образом: полости обнаруживает путем поэтапного увеличения ван-дер-ваальсовых радиусов всех белковых атомов. После алгоритма Flood-fill, закрытые участки могут быть идентифицированы как полости. (Смотри, Kleywegt, G. J.; Jones, T. A. Efficient Rebuilding of Protein Structures. Acta Crystallogr. Sect. D: Biol. Crystallogr., 1994, 50, 178-185).

В конкретных аспектах используют программу SurfNet, которая описана следующим образом: сферы между двумя атомами, не содержащие другие атомы, создает и сканирует на кластер сфер с наибольшим объемом. (Смотри, Laskowski, R. A. SURFNET: A program for visualizing molecular surfaces, cavities, and intermolecular interactions. J. Mol. Graph., 1995, 13, 323-330).

В конкретных аспектах используют программу APROPOS, которая описана следующим образом: карманы белка определяет с использованием алгоритма альфа-формы, который позволяет получить полную глобальную оболочку белка. (Смотри, Peters, K. P.; Fauck, J.; Frömmel, C. The automatic search for ligand binding sites in proteins of known three-dimensional structure using only geometric criteria. J. Mol. Biol., 1996, 256, 201-213).

В конкретных аспектах используют программу LIGSITE, которая описана следующим образом: на регулярной сетке вокруг белка из каждой точки сетки проводит линии по осям x/y/z, а также по кубическим диагоналям. Отрезки линий, окруженные белком с двух сторон, считает полостями. (Смотри, Hendlich, M.; Rippmann, F.; Barnickel, G. LIGSITE: automatic and efficient detection of potential small-molecule binding sites in proteins. J. Mol. Graph. Model., 1997, 15, 359-363).

В конкретных аспектах используют программу Superstar, которая описана следующим образом: создает карты предрасположенности основных молекулярных зондов вдоль поверхности белка. (Смотри, Verdonk, M. L.; Cole, J. C.; Taylor, R. SuperStar: a knowledge based approach for identifying interaction sites in proteins. J. Mol. Biol., 1999, 289, 1093-1108).

В конкретных аспектах используют программу PASS, которая описана следующим образом: алгоритм повторяет фильтрование и расширение набора исходных зондов на поверхности белка, чтобы в конечном итоге найти «точки активного сайта» (Смотри, Brady G. P.; Stouten P. F. Fast prediction and visualization of protein binding pockets with PASS. J. Comput. Aided Mol. Des., 2000, 14, 383-401).

В конкретных аспектах используют программу ConSurf, которая описана следующим образом: идентифицирует функциональные сайты белков путем определения консервативности гомологов последовательностей. (Смотри, Glaser, F.; Pupko, T.; Paz, I.; Bell, R. E.; Bechor-Shental, D.; Martz, E.; Ben-Tal, N. ConSurf: identification of functional regions in proteins by surface-mapping of phylogenetic information. Bioinformatics, 2003, 19, 163-164).

В конкретных аспектах используют программу CASTp, которая описана следующим образом: использует теорию альфа-формы и методы триангуляции для прогнозирования карманов. (Смотри, Dundas, J.; Ouyang, Z.; Tseng, J.; Binkowski, A.; Turpaz with structural and topographical mapping of functionally annotated residues. Nucleic Acids Res., 2006, 34, W116-W118).

В конкретных аспектах используют программу LigandFit, которая описана следующим образом: идентифицирует возможные сайты связывания с использованием алгоритма Flood-fill и состыковывает лиганды с использованием конформационного поиска Монте-Карло (смотри, Venkatachalam, C. M.; Jiang, X.; Oldfield, T.; Waldman, M. LigandFit: a novel method for the shape-directed rapid docking of ligands to protein active sites. J. Mol. Graph. Model., 2003, 21, 289-307).

В конкретных аспектах используют программу Q-SiteFinder, которая описана следующим образом: основанный на энергии метод: собирает и ранжирует кластеры участков поверхности белка, которые демонстрируют благоприятные ван-дер-ваальсовы взаимодействия с метильной группой (Смотри, Laurie, A. T. R.; Jackson, R. M. Q-SiteFinder: an energy-based method for the prediction of protein-ligand binding sites. Bioinformatics, 2005, 21, 1908-1916).

В конкретных аспектах используют программу DrugSite, которая описана следующим образом: предсказывает сайты связывания на основании карт точек потенциальной ван-дер-ваальсовой сетки (смотри, An, J.; Totrov, M.; Abagyan, R. Pocketome via comprehensive identification and classification of ligand binding envelopes. Mol. Cell. Proteomics, 2005, 4, 752-761).

В конкретных аспектах используют программу MEDock, которая описана следующим образом: эволюционный алгоритм, использующий свойство максимальной энтропии (МЭ) гауссовского распределения вероятностей (Смотри, Chang, D. T.-H.; Oyang, Y.-J.; Lin, H.-H. MEDock: a web server for efficient prediction of ligand binding sites based on a novel optimization algorithm. Nucleic Acids Res., 2005, 33, W233-W238).

В конкретных аспектах используют программу LIGSITEcsc, которая описана следующим образом: в дополнение к традиционному методу LigSite вычисляет площадь поверхности Коннолли, и точки сетки сканирует на предмет событий поверхность-растворитель-поверхность. Кроме того, три наилучших предсказанных кармана повторно ранжирует в соответствии с сохранением последовательности. (Huang, B.; Schroeder, M. LIGSITEcsc: predicting ligand binding sites using the Connolly surface and degree of conservation. BMC Struct. Biol., 2006, 6, 19).

В конкретных аспектах используют программу Screen/Mark-Us, которая описана следующим образом: полости геометрически определяет по разнице между молекулярной поверхностью и молекулярной оболочкой, заданной зондом, и статистическим анализом. (Смотри, Nayal, M.; Honig, B. On the nature of cavities on protein surfaces: application to the identification of drug-binding sites. Proteins, 2006, 63, 892-906).

В конкретных аспектах используют программу Pocket-Picker, которая описана следующим образом: прямоугольную сетку использует для разделения соответствующих точек на поверхности белка, которые затем группирует и ранжирует в соответствии с дескрипторами формы. (Смотри, Weisel, M.; Proschak, E.; Schneider, G. PocketPicker: analysis of ligand binding-sites with shape descriptors. Chem. Cent. J., 2007, 1, 7).

В конкретных аспектах используют программу Fuzzy-Oil-Drop, которая описана следующим образом: анализирует белок для областей с высокой гидрофобной недостаточностью, то есть разницей между наблюдаемым и идеализированным распределением гидрофобности, определенным по модели «расплывчатой масляной капли» (Смотри, Brylinski, M.; Prymula, K.; Jurkowski, W.; Kochanczyk, M.; Stawowczyk, E.; Konieczny, L.; Roterman, I. Prediction of functional sites based on the fuzzy oil drop model. PLoS Comput. Biol., 2007, 3, e94).

В конкретных аспектах используют программу SiteMap, которая описана следующим образом: наборы соответствующих точек идентифицирует геометрическими и энергетическими средствами, и анализирует на гидрофобность и другие физико-химические свойства (Смотри, Halgren, T. New Method for Fast and Accurate Binding-site Identification and Analysis. Chem. Biol. Drug Des., 2007, 69, 146-148).

В конкретных аспектах используют программу FINDSITE, которая описана следующим образом: метод использует «протягивание» белков для идентификации связанных с лигандом матриц, которые затем накладывает друг на друга и анализирует на предмет сходства в сайтах связывания лиганда (Смотри, Brylinski, M.; Skolnick, J. A threading-based method (FINDSITE) for ligand-binding for ligand-binding site prediction and functional annotation. PNAS, 2008, 105, 129-134).

Этап 5 - Определение виртуальных сайтов связывания

Как показано на ФИГ. 76, на этапе 182 после визуальной инспекции таких идентифицированных сайтов взаимодействия связывающие «горячие точки» группируют путем нормализации балльной оценки стыковки по количеству атомов лиганда перед сортировкой пар лигандов и пар атомов сайта. Кроме того, определяют объем и замкнутый объем (например, при расчете с помощью MAESTRO, Schrödinger, LLC) взаимодействующих сайтов и ранжируют кластеры таких пар атомов лиганда/сайта как «горячие точки» в отношении числа и размера взаимодействий. Наилучшие пары атомов лиганда/сайта будут считаться «виртуальным сайтом связывания» для каждого из соединений в Таблице 28. Также используют и другие соединения из библиотек соединений с известной MASP-2-ингибирующей активностью, описанные ниже.

Таблица 28 Соединение Химическая структура Молекулярная масса MASP-2, Ki (мкМ) Тромбин, Ki (мкМ) 1# 253,26 *** *** 2# 271,25 *** * 3# 388,22 * *** 4# 369,38 *** * 5# 285,32 ** ** 6# 265,27 *** * 7# 296,29 *** *** 8 201,15 ** Активность отсутствует 9 300,27 *** *** 10 229,26 *** * 11 247,63 *** Активность отсутствует 12# 270,24 *** *** 13# 287,31 * Активность отсутствует 14 268,23 *** *** 15 245,27 * Активность отсутствует 16 410,73 * Активность отсутствует 17# 412,45 *** * 18 271,71 *** *** 19# 301,34 *** * 20# 312,07 *** Активность отсутствует 21# 216,18 *** *** 22 310,68 ** Активность отсутствует 23 370,46 *** Активность отсутствует 24# 305,29 *** ** 25 305,29 * Активность отсутствует 26# 163,13 *** * 27# 233,18 *** * 28 259,26 * Активность отсутствует 29 248,26 *** * 30 257,29 * Активность отсутствует 31# 401,40 *** Активность отсутствует 32# 222,24 *** Активность отсутствует 33 453,30 *** *** 34# 401,43 *** * 35 352,23 * * 36 314,08 *** * 37 231,25 * Активность отсутствует 38 164,16 ** ** 39# 347,35 *** ** 40# 363/35 *** *** 41# 230,22 *** Активность отсутствует 42# 275,30 *** * 43# 271,43 *** * 44# 351,32 *** * 45# 292,09 *** * 46 133,15 * Активность отсутствует 47a 135,17 * Активность отсутствует 51 620,63 ** Активность отсутствует 53 170,21 *** ** # = необратимый ингибитор; a=соль HCl; b=гидрат соли HCl; c=соль HNO3

Пояснение: ингибирование MASP-2 и тромбина

***(Ki <10 μM)

**(Ki: 10-25 мкМ)

*(Ki: 25-100 мкМ)

Помимо соединений Таблицы 28 можно проводить скрининг и других библиотек соединений для определения сайтов связывания. Некоторые из данных по молекулярному взаимодействию, представленных в настоящем документе, получены на основании 57 сокристаллов MASP-2 и специфических ингибиторов (смотри ФИГ. 1-57).

В конкретных аспектах используют набор NCI Diversity Set, который представляет собой коллекцию соединений, представляющую универсально разнообразную группу «лекарство-подобных» малых молекул, выбранных на основании их трехмерный фармакофорных каркасов, которые представляют собой разнообразные, биологически важные фармакофорные каркасы из исходной библиотеки NCI.

Кроме того, также можно проводить скрининг библиотеки Chembridge. Эта библиотека была выбрана из мастер-базы данных соединений (>5 миллионов соединений) для гарантии вычислительного разнообразия дискретных химических групп, лекарство-подобных свойств, а также фармакокинетики в медицинской химии.

Кроме того, библиотека Maybridge представляет собой другую альтернативную коллекцию, состоящую из 60000 органических соединений, созданных инновационными методами синтеза, представляющих 400000 фармакофоров, идентифицированных в мировом каталоге лекарственных средств.

Альтернативные библиотеки соединений доступны, и самая последняя подборка из миллиона коммерчески доступных соединений, включая библиотеку естественных продуктов, стала доступной в Интернете для поиска в базе данных и стыковки через ZINC (http://blaster.docking.org/zinc). DOCK Blaster является службой открытого доступа для обнаружения лигандов на основе структуры.

В конкретных аспектах используют библиотеку ChemDiv (12760 High Bluff Drive, Suite 370, San Diego, CA 92130 USA). Библиотека ChemDiv отличается широким разнообразием соединений, включая более 1,5 миллиона отдельных твердых соединений для скрининга.

В одном аспекте параметры контролируют и корректируют для повышения точности вышеописанного процесса путем сравнения идентифицированных вычислительными методами «горячих точек» с теми, которые получены кристаллографическими методами. В частности, связывание соединений-макетов и пар атомов лиганда/сайта в связывающем кармане для ингибиторов, для которых авторы изобретения идентифицировали ключевые остатки и их соответствующие пары атомов лиганда/атомов сайта, с расчетными парами атомов лиганда/сайта сравнивают и используют для оценки точности идентификации виртуальных сайтов связывания.

2. Сайты связывания

В некоторых аспектах виртуальный сайт связывания, идентифицированный на MASP-2, представляет собой по меньшей мере один аминокислотный остаток в SEQ ID NO: 1. В некоторых аспектах виртуальный сайт связывания, идентифицированный на MASP-2, представляет собой участок от одного аминокислотного остатка до 100 аминокислотных остатков в SEQ ID NO: 1. В некоторых аспектах виртуальный сайт связывания, идентифицированный на MASP-2, представляет собой участок от двух до 90 аминокислотных остатков в SEQ ID NO: 1 или от трех до 85, от четырех до 80, от пяти до 75, от шести до 70, от семи до 65, от восьми до 60, от девяти до 55, 10-50, 11-45, 12-40, 13-35, 14-30 или 15-25 аминокислотных остатков в SEQ ID NO: 1. В некоторых аспектах виртуальный сайт связывания, идентифицированный на MASP-2, представляет собой участок от пяти до 50 аминокислотных остатков в SEQ ID NO: 1 или от пяти до 25, от пяти до 20, от пяти до 10 или 10-40, 10-35 или 15-35 аминокислотных остатков в SEQ ID NO: 1. В некоторых аспектах виртуальный сайт связывания, идентифицированный на MASP-2, представляет собой один аминокислотный остаток в SEQ ID NO: 1 или два, три, четыре, пять, шесть, семь, восемь, девять, 10, 11, 12, 13, 14, 15, 16, 17, 18, 19, 20, 21, 22, 23, 24, 25, 26, 27, 28, 29, 30, 35, 40, 45 или 50 аминокислотных остатков в SEQ ID NO: 1. В некоторых аспектах виртуальный сайт связывания, идентифицированный на MASP-2, представляет собой участок от примерно пяти до 30 аминокислотных остатков в SEQ ID NO: 1. В некоторых аспектах виртуальный сайт связывания, идентифицированный на MASP-2, представляет собой участок от примерно 10 до 20 аминокислотных остатков в SEQ ID NO: 1. В некоторых аспектах виртуальный сайт связывания, идентифицированный на MASP-2, представляет собой примерно 10 аминокислотных остатков в SEQ ID NO: 1.

В некоторых аспектах один или более виртуальных сайтов связывания идентифицированы на MASP-2. В некоторых вариантах осуществления от одного до 100 виртуальных сайтов связывания идентифицированы на MASP-2, или от одного до 40, от одного до 30, от одного до 25, от одного до 20, от одного до 15, от одного до 10 или от одного до 5 (1, 2, 3, 4, 5) виртуальных сайтов связывания идентифицированы на MASP-2. В некоторых вариантах осуществления один виртуальный сайт связывания идентифицирован на MASP-2. В некоторых вариантах осуществления два виртуальных сайта связывания идентифицированы на MASP-2 или три, четыре, пять, шесть, семь, восемь, девять, 10, 11, 12, 13, 14, 15, 16, 17, 18, 19, 20, 25, 30, 35, 40, 45 или 50 виртуальных сайтов связывания идентифицированы на MASP-2.

В некоторых аспектах аминокислоты виртуальных сайтов связывания MASP-2 являются гидрофобными, гидрофильными или смесью тех и других. В некоторых аспектах аминокислоты виртуального сайта связывания MASP-2 являются гидрофобными. В некоторых аспектах аминокислоты виртуальных сайтов связывания MASP-2 являются гидрофильными. В некоторых аспектах аминокислоты виртуальных сайтов связывания MASP-2 представляют собой смесь гидрофобных и гидрофильных аминокислотных остатков.

В некоторых аспектах виртуальные сайты связывания MASP-2 содержат один или более гидрофобных аминокислотных остатков. В некоторых аспектах один или более гидрофобных аминокислотных остатков представляют собой два или более гидрофобных аминокислотных остатков, три или более гидрофобных аминокислотных остатков, четыре или более гидрофобных аминокислотных остатков, пять или более гидрофобных аминокислотных остатков, шесть или более гидрофобных аминокислотных остатков, семь или более гидрофобных аминокислотных остатков, восемь или более гидрофобных аминокислотных остатков, девять или более гидрофобных аминокислотных остатков, 10 или более гидрофобных аминокислотных остатков, 11 или более гидрофобных аминокислотных остатков, 12 или более гидрофобных аминокислотных остатков, 13 или более гидрофобных аминокислотных остатков, 14 или более гидрофобных аминокислотных остатков, 15 или более гидрофобных аминокислотных остатков, 20 или более гидрофобных аминокислотных остатков или 25 или более гидрофобных аминокислот.

В некоторых аспектах виртуальные сайты связывания MASP-2 содержат один или более гидрофильных аминокислотных остатков. В некоторых аспектах один или более гидрофильных аминокислотных остатков представляют собой два или более гидрофильных аминокислотных остатков, три или более гидрофильных аминокислотных остатков, четыре или более гидрофильных аминокислотных остатков, пять или более гидрофильных аминокислотных остатков, шесть или более гидрофильных аминокислотных остатков, семь или более гидрофильных аминокислотных остатков, восемь или более гидрофильных аминокислотных остатков, девять или более гидрофильных аминокислотных остатков, 10 или более гидрофильных аминокислотных остатков, 11 или более гидрофильных аминокислотных остатков, 12 или более гидрофильных аминокислотных остатков, 13 или более гидрофильных аминокислотных остатков, 14 или более гидрофильных аминокислотных остатков, 15 или более гидрофильных аминокислотных остатков, 20 или более гидрофильных аминокислотных остатков, или 25 или более гидрофильных аминокислот.

В некоторых аспектах виртуальный сайт связывания, идентифицированный на MASP-2, представляет собой по меньшей мере один аминокислотный остаток, выбранный из области от MET 1 до LYS 350 в SEQ ID NO: 1. В некоторых аспектах виртуальный сайт связывания, идентифицированный на MASP-2, представляет собой по меньшей мере один аминокислотный остаток, выбранный из области от ASP 351 до PHE 686 в SEQ ID NO: 1. В некоторых аспектах виртуальный сайт связывания, идентифицированный на MASP-2, представляет собой по меньшей мере один аминокислотный остаток, выбранный из области от MET 1 до LYS 350 в SEQ ID NO: 1, и по меньшей мере один аминокислотный остаток, выбранный из области от ASP 351 до PHE 686 в SEQ ID NO: 1. В некоторых аспектах виртуальный сайт связывания, идентифицированный на MASP-2, представляет собой по меньшей мере один аминокислотный остаток, выбранный из области от MET1 до THR50 в SEQ ID NO: 1 или области от ALA 51 до ALA 100, от PRO 101 до PRO 150, от THR 151 до GLU 200, от TYR 201 до THR 250, от ASP 251 до CYS 300, от PRO 301 до LYS 350, от ASP 351 до PHE 400, от TYR 401 до LYS 450, от ALA 451 до GLY 500, от THR 501 до PRO 550, от ILE 551 до ALA 600, от ALA 601 до GLY 650, от GLY 651 до PHE 686 в SEQ ID NO: 1, или их сочетания.

В некоторых аспектах один или более виртуальных сайтов связывания, идентифицированных на MASP-2, представляют собой один или более остатков из остатков 445-686 в SEQ ID NO: 1 домена сериновой протеазы. В одном аспекте включен один или более из каталитической триады остатков, HIS 483, ASP 532 и SER 633.

В некоторых аспектах один или более виртуальных сайтов связывания, идентифицированных на MASP-2, представляют собой один или более из следующих остатков: LEU 621, ALA 663, GLY 664, TYR 666, VAL 429, CYS 430, GLU 431, PRO 432, VAL 433, CYS 434, ILE 544, ASN 545, ALA 527, GLY 528, GLU 378, ARG 376, GLU 397, GLU 398, ASP 475, SER 374, LEU 473, TYR 474, PRO 550, ILE 551, CYS 552, LYS 541, VAL 542, VAL 543, ILE 544, ASN 545, SER 546, ASN 547, ILE 548, THR 549, GLY 574, ILE 363, THR 440, THR 441, PHE 400, TYR 401, ASP 532, ASP 526, HIS 525, TYR 523, THR 466, ILE 661, GLU 662, LEU 575, PRO 605, VAL 485, TYR 486, GLU 487, GLN 488, LYS 489, HIS 490, GLY 631, LEU 581, THR 467, GLY 667, SER 657, GLY 656, TRP 655, SER 654, SER 633, ARG 630, CYS 629, SER 628, ASP 627, PHE 529, HIS 483, PRO 606, PRO 608, SER 611, VAL 653, MET 658, TYR 669, TYR 607, ASN 659, CYS 660, GLN 665, а также их сочетания. В некоторых аспектах один или более виртуальных сайтов связывания, идентифицированных на MASP-2, представляют собой один или более из следующих остатков: LEU 621, ALA 663, GLY 664, TYR 666, VAL 429, CYS 430, GLU 431, PRO 432, VAL 433, CYS 434, ILE 544, ASN 545, ALA 527, GLY 528, GLU 378, ARG 376, GLU 397, GLU 398, ASP 475, SER 374, LEU 473, TYR 474, PRO 550, ILE 551, CYS 552, LYS 541, VAL 542, VAL 543, ILE 544, ASN 545, SER 546, ASN 547, ILE 548, THR 549, GLY 574, ILE 363, THR 440, THR 441, PHE 400, TYR 401, ASP 532, ASP 526, HIS 525, TYR 523, THR 466, ILE 661, GLU 662, LEU 575, PRO 605, VAL 485, TYR 486, GLU 487, GLN 488, LYS 489, HIS 490, GLY 631, LEU 581, THR 467, а также их сочетания. В некоторых аспектах один или более виртуальных сайтов связывания, идентифицированных на MASP-2, представляют собой один или более из следующих остатков: GLY 667, SER 657, GLY 656, TRP 655, SER 654, SER 633, ARG 630, CYS 629, SER 628, ASP 627, PHE 529, HIS 483, PRO 606, PRO 608, SER 611, VAL 653, MET 658, TYR 669, TYR 607, ASN 659, CYS 660, GLN 665, а также их сочетания.

В некоторых аспектах белки взаимодействуют с малыми молекулами на их поверхности, и после сильного связывания их структура может быть определена кристаллографическими методами. Такие малые молекулы часто происходят из компонентов буфера или криопротекторов, которые добавляют в образец белка для содействия кристаллизации или криозащиты кристаллов белка. С использованием кристаллографических структур MASP-2 со связанными соединениями (смотри ФИГ.-1-57), был идентифицирован ряд таких малых молекул, связанных с MASP-2 (Таблица 29 и Таблица 30), например, полиэтиленгликоль (PEG), янтарная кислота (SIN), сульфат (SO4), глицерин (GOL), 2-метил-2,4-пентандиол (MPD), фосфат (PO4), уксусная кислота (ACT), а также молекулы лиганда (LIG), которые связываются в участках, отличных от канонического сайта связывания и вдали от активного сайта.

Паттерн их водородных связей, паттерн их ван-дер-ваальсовых взаимодействий с поверхностными атомами MASP-2 можно использовать для идентификации сайтов связывания для молекул ингибиторов. Аминокислоты MASP-2 и их соответствующие экспериментально определенные образующие водородные связи остатки и атомы приведены в Таблице 29, в которой представлен паттерн водородных связей остатков сериновой протеазы MASP-2 и соответствующих атомов с малыми молекулами. Представлены расстояния для донора и акцептора водородной связи, а также идентификационные характеристики соответствующего остатка и соответствующая нумерация. Вкратце, такие образующие H-связь аминокислоты включают THR 466, HIS 483, GLU 487, TYR 523, GLY 528, LYS 541, ARG 578, ARG 583, ASN 584, ARG 630, GLY 631, SER 633, THR 644 и MET 658. Аналогично, аминокислоты MASP-2 и конкретные атомы в них, которые образуют ван-дер-ваальсовы контакты с такими малыми молекулами, приведены в Таблице 30. Вкратце, такие образующие ван-дер-ваальсовы контакты аминокислоты включают GLY465, THR466, THR467, ALA468, TYR474, ASN476, HIS483, GLU487, ASP526, GLY528, PHE529, CYS552, LEU575, ARG 578, GLY579, LEU581, ALA582, ARG583, ASN584, MET586, PRO606, TYR607, PRO608, ARG630, GLY631, SER633, ASP641, THR644, ARG646, SER657, MET658, ILE683, SER684.

Таблица 29. Паттерн водородных связей остатков сериновой протеазы MASP-2 и соответствующих атомов с малыми молекулами. Представлены расстояния для донора и акцептора водородной связи, а также идентификационные характеристики соответствующего остатка и соответствующая нумерация. ДОНОР АКЦЕПТОР Соединение № Малая молекула Остаток или молекула # Атом Остаток или молекула # Атом Расстояние [Å] 1129 PEG LYS 541 NZ PEG 1 O4 2,87 1129 SIN MET 658 N SIN 1 O1 2,78 1059 SO4_1 SER 633 OG SO4 1 O3 3,15 1059 SO4_1 SER 633 OG SO4 1 O1 2,62 1059 SO4_1 GLY 631 N SO4 1 O1 2,88 1059 SO4_1 HIS 483 NE2 SO4 1 O3 2,61 1059 SO4_2 ASN 584 ND2 SO4 2 O1 3,11 1059 SO4_2 ASN 584 N SO4 2 O1 3,12 1059 SO4_2 ARG 583 NH2 SO4 2 O4 2,82 1059 SO4_2 ARG 583 NE SO4 2 O2 3,19 1059 SO4_2 ARG 583 N SO4 2 O2 2,86 1059 SO4_2 ARG 578 NH1 SO4 2 O3 2,51 1088 Lig2 LIG 2 N31 GLY 528 O 3,01 1088 Lig2 LIG 2 N29 GLY 528 O 3,03 1088 Lig2 LIG 2 N31 TYR 523 OH 2,8 1088 Lig1 LIG 1 N31 GLU 487 OE2 3,02 1088 Lig1 LIG 1 N29 GLU 487 OE1 2,78 1065 MPD1 SER 633 OG MPD 1 O2 2,6 1065 MPD1 GLY 631 N MPD 1 O2 2,88 1030 SO4_1 ASN 584 ND2 SO4 1 O1 3,21 1030 SO4_1 ASN 584 N SO4 1 O1 3,04 1030 SO4_1 ARG 583 NH1 SO4 1 O4 2,92 1030 SO4_1 ARG 583 NE SO4 1 O2 3 1030 SO4_1 ARG 583 N SO4 1 O2 2,76 1030 SO4_1 ARG 578 NH2 SO4 1 O3 2 1030 SO4_2 SER 633 OG SO4 2 O1 2,52 1030 SO4_2 GLY 631 N SO4 2 O1 2,83 1030 SO4_2 ARG 630 NH2 SO4 2 O4 3,03 1030 SO4_2 ARG 630 NE SO4 2 O4 2,63 1030 SO4_2 HIS 483 NE2 SO4 2 O3 2,59 мелагатран ACT THR 644 OG1 ACT 1 OXT 2,67 1090 GOL SER 633 OG GOL 1 O1 2,5 1090 GOL GLY 631 N GOL 1 O1 3,32 1090 GOL THR 466 OG1 GOL 1 O2 2,84 1089 Lig2 Lig 2 N5 GLU 487 OE2 3 1089 Lig2 Lig 2 N4 GLU 487 OE1 2,66 1097 PO4_1 SER 633 OG PO4 1 O3 2,55 1097 PO4_1 GLY 631 N PO4 1 O3 2,85 1097 PO4_1 HIS 483 NE2 PO4 1 O1 2 1097 PO4_2 SER 633 OG PO4 2 O1 2,51 1097 PO4_2 GLY 631 N PO4 2 O1 2,92 1097 PO4_2 HIS 483 NE2 PO4 2 O4 3,03 1097 PO4_2 THR 466 OG1 PO4 2 O2 3,33

Используемые сокращения: полиэтиленгликоль (PEG), янтарная кислота (SIN), сульфат (SO4), глицерин (GOL), 2-метил-2,4-пентандиол (MPD), фосфат (PO4), уксусная кислота (ACT), добавочные молекулы лиганда (LIG).

Таблица 30. Паттерн ван-дер-ваальсовых контактов остатков сериновой протеазы MASP-2 и соответствующих атомов с малыми молекулами. Представлены внутренние расстояния атомных контактов, а также идентификационные характеристики соответствующего остатка и соответствующая нумерация. Соединение № Малая молекула АТОМ 1 АТОМ 2 Расстояние [Å] 1129 PEG PEG O1 SER 684 CA 3,58 1129 PEG PEG O2 ILE 683 CG2 3,78 1129 PEG PEG C1 ILE 683 CG2 3,81 1129 PEG PEG C1 ILE 683 O 3,61 1129 PEG PEG C4 ASN 476 OD1 3,77 1129 PEG PEG C3 ASN 476 OD1 3,58 1129 PEG PEG O4 ASN 476 CG 3,55 1129 PEG PEG C4 TYR 474 CG 3,89 1129 PEG PEG C3 TYR 474 CG 3,75 1129 PEG PEG O4 TYR 474 CB 3,67 1129 PEG PEG C4 TYR 474 CB 3,79 1129 SIN SIN O3 MET 658 SD 3,75 1129 SIN SIN O3 MET 658 CG 3,73 1129 SIN SIN O1 MET 658 CB 3,41 1129 SIN SIN O1 MET 658 CA 3,71 1129 SIN SIN O1 SER 657 CB 3,58 1129 SIN SIN O1 SER 657 C 3,6 1129 SIN SIN O4 SER 657 C 3,88 1129 SIN SIN O1 SER 657 CA 3,49 1129 SIN SIN C1 TYR 607 OH 3,25 1129 SIN SIN C3 TYR 607 OH 3,78 1129 SIN SIN O1 TYR 607 CZ 3,9 1129 SIN SIN O2 PRO 606 CD 3,88 1129 SIN SIN C2 PRO 606 CG 3,79 1129 SIN SIN C3 PRO 606 CG 3,62 1059 SO4_1 SO4 S SER 633 OG 3,48 1059 SO4_1 SO4 O3 SER 633 CB 3,88 1059 SO4_1 SO4 O1 SER 633 CB 3,38 1059 SO4_1 SO4 O1 GLY 631 CA 3,86 1059 SO4_1 SO4 O1 ARG 630 C 3,59 1059 SO4_1 SO4 O4 ARG 630 CG 3,25 1059 SO4_1 SO4 O1 ARG 630 CB 3,89 1059 SO4_1 SO4 O4 ARG 630 CB 3,46 1059 SO4_1 SO4 O1 ARG 630 CA 3,32 1059 SO4_1 SO4 O3 HIS 483 CD2 3,15 1059 SO4_1 SO4 O3 HIS 483 CE1 3,82 1059 SO4_2 SO4 O3 MET 586 CE 3,63 1059 SO4_2 SO4 O1 MET 586 CE 3,1 1059 SO4_2 SO4 S MET 586 CE 3,83 1059 SO4_2 SO4 O1 ASN 584 CG 3,74 1059 SO4_2 SO4 O1 ASN 584 CB 3,44 1059 SO4_2 SO4 O1 ASN 584 CA 3,8 1059 SO4_2 SO4 S ARG 583 NH2 3,81 1059 SO4_2 SO4 O4 ARG 583 CZ 3,82 1059 SO4_2 SO4 O2 ARG 583 CG 3,77 1059 SO4_2 SO4 O2 ARG 583 CB 3,54 1059 SO4_2 SO4 O2 ARG 583 CA 3,79 1059 SO4_2 SO4 S ARG 583 N 3,57 1059 SO4_2 SO4 O2 ALA 582 C 3,69 1059 SO4_2 SO4 O1 ALA 582 C 3,89 1059 SO4_2 SO4 O1 ALA 582 CB 3,86 1059 SO4_2 SO4 O3 ALA 582 CA 3,62 1059 SO4_2 SO4 O2 ALA 582 CA 3,63 1059 SO4_2 SO4 O1 ALA 582 CA 3,86 1059 SO4_2 SO4 S ARG 578 NH1 3,56 1059 SO4_2 SO4 O3 ARG 578 CZ 3,51 1059 PEG1 PEG C1 PRO 606 O 3,77 1059 PEG1 PEG C4 PRO 606 CG 3,07 1059 PEG1 PEG C4 PRO 606 CB 3,83 1088 Lig2 LIG C15 GLY 631 CA 3,64 1088 Lig2 LIG C14 GLY 631 CA 3,8 1088 Lig2 LIG C15 GLY 631 N 3,57 1088 Lig2 LIG C14 GLY 631 N 3,57 1088 Lig2 LIG C15 ARG 630 C 3,74 1088 Lig2 LIG C17 ARG 630 CB 3,76 1088 Lig2 LIG C16 ARG 630 CB 3,82 1088 Lig2 LIG C11 ARG 630 CB 3,86 1088 Lig2 LIG C15 LEU 581 CD2 3,83 1088 Lig2 LIG C16 LEU 575 CG 3,8 1088 Lig2 LIG N31 PHE 529 CE2 3,7 1088 Lig2 LIG C30 PHE 529 CE2 3,48 1088 Lig2 LIG N29 PHE 529 CE2 3,88 1088 Lig2 LIG C24 PHE 529 CE2 3,7 1088 Lig2 LIG C30 PHE 529 CZ 3,43 1088 Lig2 LIG N29 PHE 529 CZ 3,47 1088 Lig2 LIG C28 PHE 529 CZ 3,55 1088 Lig2 LIG C27 PHE 529 CZ 3,67 1088 Lig2 LIG C25 PHE 529 CZ 3,76 1088 Lig2 LIG C24 PHE 529 CZ 3,62 1088 Lig2 LIG N29 PHE 529 CE1 3,66 1088 Lig2 LIG C28 PHE 529 CE1 3,64 1088 Lig2 LIG C30 GLY 528 O 3,41 1088 Lig2 LIG N29 GLY 528 C 3,57 1088 Lig2 LIG N29 GLY 528 CA 3,67 1088 Lig2 LIG C28 GLY 528 N 3,64 1088 Lig2 LIG N29 ASP 526 C 3,64 1088 Lig2 LIG C28 ASP 526 C 3,67 1088 Lig1 LIG C16 GLY 579 O 3,7 1088 Lig1 LIG C15 GLY 579 O 3,61 1088 Lig1 LIG C16 LEU 575 CD2 3,78 1088 Lig1 LIG C15 LEU 575 CD2 3,51 1088 Lig1 LIG C14 LEU 575 CD2 3,86 1088 Lig1 LIG C30 GLU 487 OE2 3,58 1088 Lig1 LIG C30 GLU 487 OE1 3,77 1088 Lig1 LIG C28 GLU 487 OE1 3,38 1088 Lig1 LIG N31 GLU 487 CD 3,83 1088 Lig1 LIG N29 GLU 487 CD 3,32 1088 Lig1 LIG C28 THR 466 CG2 3,77 1088 Lig1 LIG C27 THR 46 CG2 3,52 1088 Lig1 LIG C30 GLY 465 O 3,59 1088 Lig1 LIG C24 GLY 465 O 3,68 1088 Lig1 LIG N31 GLY 465 CA 3,84 1065 MPD1 MPD C1 SER 633 OG 3,55 1065 MPD1 MPD CM SER 633 OG 3,61 1065 MPD1 MPD C2 SER 633 OG 3,42 1065 MPD1 MPD O2 SER 633 CB 3,38 1065 MPD1 MPD CM SER 633 CB 3,85 1065 MPD1 MPD O2 GLY 631 CA 3,69 1065 MPD1 MPD C4 GLY 631 N 3,72 1065 MPD1 MPD O2 ARG 630 C 3,76 1065 MPD1 MPD C3 ARG 630 NH1 3,58 1065 MPD1 MPD C3 ARG 630 CZ 3,66 1065 MPD1 MPD O2 ARG 630 CA 3,71 1065 MPD1 MPD CM THR 467 O 3,89 1065 MPD1 MPD C5 THR 467 O 3 1065 MPD1 MPD C4 THR 467 O 3,14 1065 MPD1 MPD C5 THR 467 C 3,67 1065 MPD1 MPD C5 THR 467 CB 3,88 1065 MPD1 MPD C5 THR 467 CA 3,74 1065 MPD1 MPD C5 THR 467 N 3,17 1065 MPD1 MPD CM THR 466 CB 3,87 1065 MPD1 MPD C5 THR 466 CB 3,72 1030 SO4_1 SO4 O1 MET 586 CE 3 1030 SO4_1 SO4 O1 ASN 584 CG 3,84 1030 SO4_1 SO4 O1 ASN 584 CB 3,5 1030 SO4_1 SO4 O1 ASN 584 CA 3,77 1030 SO4_1 SO4 S ARG 583 NH1 3,88 1030 SO4_1 SO4 O2 ARG 583 CZ 3,79 1030 SO4_1 SO4 O4 ARG 583 CZ 3,85 1030 SO4_1 SO4 O2 ARG 583 CD 3,83 1030 SO4_1 SO4 O2 ARG 583 CG 3,5 1030 SO4_1 SO4 O2 ARG 583 CB 3,36 1030 SO4_1 SO4 O2 ARG 583 CA 3,62 1030 SO4_1 SO4 S ARG 583 N 3,49 1030 SO4_1 SO4 O2 ALA 582 C 3,71 1030 SO4_1 SO4 O1 ALA 582 CB 3,75 1030 SO4_1 SO4 O3 ALA 582 CA 3,81 1030 SO4_1 SO4 O2 ALA 582 CA 3,73 1030 SO4_1 SO4 O1 ALA 582 CA 3,88 1030 SO4_1 SO4 S ARG 578 NH2 3,7 1030 SO4_2 SO4 S SER 633 OG 3,38 1030 SO4_2 SO4 O3 SER 633 CB 3,75 1030 SO4_2 SO4 O1 SER 633 CB 3,19 1030 SO4_2 SO4 O1 GLY 631 CA 3,8 1030 SO4_2 SO4 S GLY 631 N 3,86 1030 SO4_2 SO4 O1 ARG 630 C 3,67 1030 SO4_2 SO4 O4 ARG 630 CZ 3,26 1030 SO4_2 SO4 O4 ARG 630 CD 3,73 1030 SO4_2 SO4 O4 ARG 630 CB 3,69 1030 SO4_2 SO4 O1 ARG 630 CA 3,56 1030 SO4_2 SO4 O3 HIS 483 CD2 3,13 1030 SO4_2 SO4 O3 HIS 483 CE1 3,79 1030 PEG PEG O2 PRO 608 CD 3,6 1030 PEG PEG O2 TYR 607 CD1 3,5 1030 PEG PEG C4 PHE 529 CD2 3,8 1030 PEG PEG C4 GLY 528 CA 3,77 1030 PEG PEG O4 GLY 528 CA 3 мелагатран ACT ACT OXT ARG 646 CG 3,65 мелагатран ACT ACT OXT ARG 646 CB 3,44 мелагатран ACT ACT OXT THR 644 CG2 3,88 мелагатран ACT ACT C THR 644 OG1 3,8 мелагатран ACT ACT OXT THR 644 CB 3,57 мелагатран ACT ACT C ASP 641 OD2 3,45 мелагатран ACT ACT CH3 CYS 552 SG 3,79 мелагатран ACT ACT CH3 CYS 552 CB 3,78 1090 GOL GOL C1 SER 633 OG 3,59 1090 GOL GOL O1 SER 633 CB 3,17 1090 GOL GOL C2 GLY 631 N 3,75 1090 GOL GOL C1 HIS 483 NE2 3,82 1090 GOL GOL O3 THR 466 CG2 3,88 1090 GOL GOL O2 THR 466 CB 3,75 1089 Lig2 LIG C23 GLU 487 OE2 3,61 1089 Lig2 LIG C23 GLU 487 OE1 3,66 1089 Lig2 LIG C22 GLU 487 OE1 3,36 1089 Lig2 LIG N5 GLU 487 CD 3,79 1089 Lig2 LIG N4 GLU 487 CD 3,36 1089 Lig2 LIG C23 GLY 465 O 3,53 1089 Lig2 LIG C18 GLY 465 O 3,68 1097 PO4_1 PO4 O3 SER 633 CB 3,34 1097 PO4_1 PO4 O1 SER 633 CB 3,64 1097 PO4_1 PO4 P SER 633 CB 3,73 1097 PO4_1 PO4 O4 SER 633 CB 3,51 1097 PO4_1 PO4 O3 GLY 631 CA 3,63 1097 PO4_1 PO4 O3 ARG 630 C 3,78 1097 PO4_1 PO4 O3 ARG 630 CG 3,89 1097 PO4_1 PO4 O2 ARG 630 CG 3,54 1097 PO4_1 PO4 O3 ARG 630 CA 3,75 1097 PO4_1 PO4 O1 HIS 483 CD2 3,14 1097 PO4_1 PO4 O4 ALA 468 CB 3,82 1097 PO4_1 PO4 O4 ALA 468 CA 3,86 1097 PO4_1 PO4 O4 THR 467 C 3,77 1097 PO4_2 PO4 O3 SER 633 CB 3,54 1097 PO4_2 PO4 O1 SER 633 CB 3,06 1097 PO4_2 PO4 P SER 633 CB 3,63 1097 PO4_2 PO4 O4 SER 633 CB 3,64 1097 PO4_2 PO4 O1 GLY 631 CA 3,73 1097 PO4_2 PO4 O1 ARG 630 C 3,82 1097 PO4_2 PO4 O2 ARG 630 CG 3,6 1097 PO4_2 PO4 O1 ARG 630 CA 3,76 1097 PO4_2 PO4 O4 HIS 483 CD2 3,22 1097 PO4_2 PO4 O3 ALA 468 CB 3,73 1097 PO4_2 PO4 O3 THR 467 C 3,75

Используемые сокращения: полиэтиленгликоль (PEG), янтарная кислота (SIN), сульфат (SO4), глицерин (GOL), 2-метил-2,4-пентандиол (MPD), фосфат (PO4), уксусная кислота (ACT), добавочные молекулы лиганда (LIG).

Предпочтительно, после идентификации одного или более сайтов связывания, как описано выше, можно идентифицировать каждую из аминокислот, участвующих в связывании. Эти конкретные аминокислоты взаимодействуют с молекулами-кандидатами посредством водородных связей, ионных связей и ван-дер-ваальсовых взаимодействий, например, близкодействующих электростатических сил притяжения между незаряженными молекулами.

После проведения операции стыковки можно анализировать межмолекулярные взаимодействия и создавать набор правил, описывающих взаимодействия.

Соединение с MASP-2-ингибирующей активностью взаимодействует с сайтом связывания MASP-2 в комплексе фермент-ингибитор со множеством межмолекулярных взаимодействий. В конкретных аспектах молекула описана с полной специфичностью и описанием числа и типа(ов) межмолекулярных взаимодействий в сайте связывания MASP-2, с использованием эмпирически полученного набора правил, такого как набор правил взаимодействия.

3. Наборы правил

В конкретных аспектах соединения с MASP-2-ингибирующей активностью взаимодействуют с сайтом связывания MASP-2 в виде комплекса фермент-ингибитор. Соединение, имеющее MASP-2-ингибирующую активность, имеет от 1 до 100 межмолекулярных взаимодействий между ним и MASP-2, например, 1, 2, 3, 4, 5, 6, 7, 8, 9, 10, 11, 12, 13, 14, 15, 16, 17, 18, 19, 20, 21, 22, 23, 24, 25, 26, 27, 28, 29, 30, 31, 32, 33, 34, 35, 36, 37, 38, 39, 40, 41, 42, 43, 44, 45, 46, 47, 48, 49, 50, 51, 52, 53, 54, 55, 56, 57, 58, 59, 60, 61, 62, 63, 64, 65, 66, 67, 68, 69, 70, 71, 72, 73, 74, 75, 76, 77, 78, 79, 80, 81, 82, 83, 84, 85, 86, 87, 88, 89, 90, 91, 92, 93, 94, 95, 96, 97, 98, 99, 100 или более межмолекулярных взаимодействий с сайтом связывания MASP-2. Типы этих межмолекулярных взаимодействий могут представлять собой водородную связь, ионную связь, электростатическую связь, π-π взаимодействия, ван-дер-ваальсовы взаимодействия, связывание молекулы воды, а также их сочетания. Количества межмолекулярных взаимодействий в пределах разных типов подсчитывают для получения суммарного количества.

В конкретных аспектах существует множество межмолекулярных взаимодействий одного и того же типа. Например, комплекс фермент-ингибитор может иметь 1-40 водородных связей, 1-40 ионных связей, 1-40 электростатических связей, 1-40 π-π взаимодействий, 1-40 ван-дер-ваальсововых взаимодействий, 1-40 связываний молекул воды, а также их сочетаний, при этом каждый из упомянутых диапазонов 1-40 означает 1, 2, 3, 4, 5, 6, 7, 8, 9, 10, 11, 12, 13, 14, 15, 16, 17, 18, 19, 20, 21, 22, 23, 24, 25, 26, 27, 28, 29, 30, 31, 32, 33, 34, 35, 36, 37, 38, 39, 40, или более взаимодействий. В конкретных аспектах множество, или несколько, межмолекулярных взаимодействий могут иметь место с одной и той же аминокислотой в пределах сайта связывания.

В некоторых случаях ингибирующая молекула описана на основании набора правил. Соединение с MASP-2-ингибирующей активностью взаимодействует с сайтом связывания MASP-2 со множеством межмолекулярных взаимодействий, или правил. В конкретных аспектах молекула описана с полной структурной и функциональной специфичностью и описанием числа и типа(ов) межмолекулярных взаимодействий. Эти правила были эмпирически выведены и обнаружены с использованием способов, описанных в настоящем документе.

В некоторых случаях настоящее изобретение относится к соединению с MASP-2-ингибирующей активностью, которое взаимодействует с сайтом связывания, при этом взаимодействия представляют собой одно или более из (a) - (e):

a) соединение взаимодействует посредством H-связей с одним или более аминокислотными остатками в сайте связывания SEQ ID NO: 1;

b) соединение взаимодействует посредством ионных или электростатических взаимодействий, или водородных связей в сайте связывания SEQ ID NO: 1;

c) соединение взаимодействует через молекулу воды в сайте связывания SEQ ID NO: 1;

d) соединение взаимодействует посредством π-π взаимодействий с одним или более аминокислотными остатками в сайте связывания SEQ ID NO: 1; и/или

e) соединение взаимодействует посредством ван-дер-ваальсовых контактов с одним или более аминокислотными остатками в сайте связывания SEQ ID NO: 1, при этом соединение не является эндогенным лигандом.

В конкретных аспектах соединение имеет 1, 2, 3, 4 или 5 из взаимодействий (a)-(e).

Помимо выяснения виртуальных сайтов связывания, также полезно использовать кристаллографические данные, полученные для ряда сокристаллов комплекса фермент-ингибитор, для выведения наборов правил. В некоторых случаях используют кристаллографические данные для по меньшей мере 1, 10, 20, 30, 40, 50, вплоть до 100 кристаллов комплекса фермент-ингибитор. Например, можно использовать 30 сокристаллов, можно использовать 1, 2, 3, 4, 5, 6, 7, 8, 9, 10, 11, 12, 13, 14, 15, 16, 17, 18, 19, 20, 21, 22, 23, 24, 25, 26, 27, 28, 29 или 30, или даже больше, кристаллов комплекса фермент-ингибитор для создания набора правил. С использованием структурной информации для сокристаллов можно описывать сайт связывания и ингибирующие соединения в подробностях с указанием количества ангстремов. Следующий набор правил был эмпирически выведен с использованием кристаллографических данных для ряда сокристаллов комплекса фермент-ингибитор.

В некоторых случаях ингибирующая молекула описана на основании набора правил. Соединение с MASP-2-ингибирующей активностью взаимодействует с доменом сериновой протеазы MASP-2 в комплексе фермент-ингибитор со множеством межмолекулярных взаимодействий, или правил. В конкретных аспектах молекула описана с полной структурной и функциональной специфичностью и описанием числа и типа(ов) межмолекулярных взаимодействий. Эти правила были эмпирически выведены и обнаружены с использованием кристаллографических данных, полученных для целого ряда сокристаллов комплекса фермент-ингибитор. В некоторых случаях кристаллографические данные получены для по меньшей мере 1, 10, 20, 30, 40, 50, вплоть до 100 кристаллов комплекса фермент-ингибитор. Например, можно использовать 30 сокристаллов, например, 1, 2, 3, 4, 5, 6, 7, 8, 9, 10, 11, 12, 13, 14, 15, 16, 17, 18, 19, 20, 21, 22, 23, 24, 25, 26, 27, 28, 29 или 30, или даже больше, кристаллов комплекса фермент-ингибитор для получения набора правил. С использованием структурной информации для сокристаллов можно описывать сайт связывания и ингибирующие соединения в подробностях с указанием количества ангстремов.

В некоторых случаях множество аминокислот в домене сериновой протеазы MASP-2 вовлечены в межмолекулярные взаимодействия. Аминокислоты в домене сериновой протеазы MASP-2 включают, но без ограничения, ASP 627, SER 628, SER 654, GLY 656, GLN 665, SER 657, PHE 529, TYR 607, TRP 655, GLY 667, SER 633, ARG 630, CYS 629, HIS 483, PRO 606, PRO 608, SER 611, VAL 653, MET 658, TYR 669, ASN 659, CYS 660, GLN 665.

В конкретных аспектах количество аминокислот в домене сериновой протеазы, которые взаимодействуют с соединением, имеющим MASP-2-ингибирующую активность, или которые соответствуют набору правил, составляет примерно 1-50 или 1, 2, 3, 4, 5, 6, 7, 8, 9, 10, 11, 12, 13, 14, 15, 16, 17, 18, 19, 20, 21, 22, 23, 24, 25, 26, 27, 28, 29, 30, 31, 32, 33, 34, 35, 36, 37, 38, 39, 40, 41, 42, 43, 44, 45, 46, 47, 48, 49 или 50 аминокислот в домене сериновой протеазы MASP-2.

В некоторых случаях ингибитор по настоящему изобретению связывается с MASP-2, инактивируя MASP-2. Аминокислоты MASP-2 взаимодействуют посредством межмолекулярных взаимодействий с ингибирующим соединением, и далее типы взаимодействий описаны более подробно.

В конкретных аспектах тип взаимодействия включает водородную связь (H-связь). Комплекс фермент-ингибитор может включать 1-40 межмолекулярных H-связей с одной или более из следующих 6 аминокислот: ASP 627, SER 628, SER 654, GLY 656, GLN 665 и SER 657. 1-40 межмолекулярных H-связей могут включать один или более атомов ингибитора с одним или более атомами из ASP 627, SER 628, SER 654, GLY 656, GLN 665 и SER 657. Каждая аминокислота может иметь более чем одну H-связь, взаимодействуя с ингибитором. В некоторых случаях один и тот же атом может быть связан водородной связью с одним или более партнерами. Иными словами, один атом ингибирующей молекулы может взаимодействовать с 2 или более атомами на белке. В некоторых случаях имеется 1-10 H-связей или 2-8 H-связей, или 1, 2, 3, 4, 5, 6, 7, 8, 9 или 10 H-связей на соединение.

В конкретных аспектах тип взаимодействия включает ионные и/или электростатические взаимодействия. Комплекс фермент-ингибитор может включать 1-10 межмолекулярных ионных и/или электростатических взаимодействий с ASP 627. ASP 627 может иметь более одного ионного и или электростатического взаимодействия с ингибитором.

В некоторых других аспектах тип взаимодействия представляет собой связывание молекулы воды с ASP 627, GLN 665, SER 657, ASN 659, SER 628, GLU 662, ARG 630, VAL 668, TYR 602, TYR 607. Комплекс фермент-ингибитор может включать 1-30 связанных молекул воды, 1, 2, 3, 4, 5, 6, 7, 8, 9, 10, 11, 12, 13, 14, 15, 16, 17, 18, 19, 20, 21, 22, 23, 24, 25, 26, 27, 28, 29 или 30, с разными аминокислотами, другими молекулами воды, с соединениями или их сочетаниями.

В некоторых других случаях тип взаимодействия включает одно или более (например, множество или 1-40) π-π взаимодействий с одной или более из следующих аминокислот PHE 529, TYR 607 и/или TRP 655, 1, 2 или 3 аминокислотами. Каждая из вышеописанных аминокислот может иметь более одного π-π взаимодействия.

В конкретных аспектах тип взаимодействия также включает одно или более, например, 1-40, ван-дер-ваальсовых взаимодействий с GLY 667, SER 657, GLY 656, TRP 655, SER 654, SER 633, ARG 630, CYS 629, SER 628, ASP 627, PHE 529, HIS 483, PRO 606, TYR 607, PRO 608, SER 611, VAL 653, MET 658, TYR 669, ASN 659, CYS 660, GLN 665, и их сочетанием, каковые взаимодействия являются специфическими для аминокислот MASP-2 в домене сериновой протеазы MASP-2.

III. Синтез

Соединения, описанные в настоящем документе, включая их соли, могут быть получены с использованием известных методов органического синтеза, и могут быть синтезированы любым из множества возможных путей синтеза, таких как те, которые описаны в примерах, ниже.

Реакции для получения соединений, описанных в настоящем документе, можно проводить в соответствующих растворителях, которые может с легкостью выбирать специалист в области органического синтеза. Подходящие растворители могут практически не вступать в реакцию с исходными материалами (реагентами), промежуточными соединениями или продуктами при температурах, при которых протекает реакция, например, температурах, находящихся в диапазоне от температуры замерзания растворителя до температуры кипения растворителя. Конкретную реакцию можно проводить в одном растворителе или смеси из более чем одного растворителя. В зависимости от конкретного этапа реакции квалифицированный специалист может выбирать подходящие растворители для конкретного этапа реакции.

Получение соединений по изобретению может включать создание и снятие защиты для различных химических групп. Необходимость в создании и снятии защиты, а также выбор соответствующих защитных групп, может легко определять специалист в данной области. Химия защитных групп описана, например, в публикациях Kocienski, Protecting Groups, (Thieme, 2007); Robertson, Protecting Group Chemistry, (Oxford University Press, 2000); Smith et al., March's Advanced Organic Chemistry: Reactions, Mechanisms, and Structure, 6th Ed. (Wiley, 2007); Peturssion et al., «Protecting Groups in Carbohydrate Chemistry», J. Chem. Educ., 1997, 74(11), 1297; и Wuts et al., Protective Groups in Organic Synthesis, 4th Ed., (Wiley, 2006).

Протекание реакций можно контролировать любым подходящим методом, известным в данной области. Например, образование продукта можно контролировать спектроскопическими методами, такими как ядерная магнитно-резонансная спектроскопия (например, 1H или 13C), инфракрасная спектроскопия, спектрофотометрия (например, в УФ-видимой области), масс-спектрометрия, или хроматографическими методами, такими как высокоэффективная жидкостная хроматография (ВЭЖХ) или тонкослойная хроматография (ТСХ).

Конкретные методы синтеза, используемые в примерах, представляют собой общее руководство по получению соединений по изобретению. Специалист в данной области поймет, что препараты могут быть модифицированы или оптимизированы с использованием общих знаний в области органической химии для получения различных соединений, входящих в объем настоящего изобретения.

Исходные материалы, реагенты и промежуточные соединения, синтез которых не описан в настоящем документе, либо являются коммерчески доступными, известными из литературы, либо могут быть получены методами, известными специалисту в данной области.

Специалист в данной области понимает, что описанные процессы не являются исключительным способом, которым могут быть синтезированы соединения по изобретению, и что широкий репертуар реакций органического синтеза может быть потенциально использован для синтеза соединений по изобретению. Специалист в данной области знает, как выбирать и применять соответствующие пути синтеза. Подходящие методы синтеза исходных материалов, промежуточных соединений и продуктов могут быть определены на основании литературных источников, включая такие источники, как: Advances in Heterocyclic Chemistry, Vols. 1-107 (Elsevier, 1963-2012); Journal of Heterocyclic Chemistry, Vols. 1-49 (Journal of Heterocyclic Chemistry, 1964-2012); Carreira, et al. (Ed.) Science of Synthesis, Vols. 1-48 (2001-2010) и Knowledge Updates KU2010/1-4; 2011/1-4; 2012/1-2 (Thieme, 2001-2012); Katritzky, et al. (Ed.) Comprehensive Organic Functional Group Transformations, (Pergamon Press, 1996); Katritzky et al. (Ed.); Comprehensive Organic Functional Group Transformations II (Elsevier, 2nd Edition, 2004); Katritzky et al. (Ed.), Comprehensive Heterocyclic Chemistry (Pergamon Press, 1984); Katritzky et al., Comprehensive Heterocyclic Chemistry II (Pergamon Press, 1996); Smith et al., March's Advanced Organic Chemistry: Reactions, Mechanisms, and Structure, 6th Ed. (Wiley, 2007); Trost et al. (Ed.), Comprehensive Organic Synthesis (Pergamon Press, 1991).

IV. Способы лечения

В другом аспекте настоящее изобретение относится к способу лечения пациента, страдающего от, или имеющего риск развития, MASP-2-связанного заболевания или нарушения, такого как MASP-2-зависимое связанное с комплементом заболевание или нарушение, включающему введение низкомолекулярного ингибитора MASP-2.

Соединение может представлять собой любой низкомолекулярный ингибитор MASP-2. В некоторых вариантах осуществления соединение может представлять собой низкомолекулярный ингибитор MASP-2, который связывается с доменом сериновой протеазы MASP-2. В некоторых вариантах осуществления соединение может представлять собой низкомолекулярный ингибитор, такой как синтетический низкомолекулярный ингибитор MASP-2. В некоторых вариантах осуществления соединение может представлять собой низкомолекулярный ингибитор MASP-2, который связывается с каталитической, субстрат-связывающей областью MASP-2. В некоторых вариантах осуществления соединение избирательно ингибирует MASP-2 в сравнении с тромбином. В некоторых вариантах осуществления соединение может представлять собой любой низкомолекулярный ингибитор MASP-2, который связывается с сайтом связывания, включающим области S1, S2 и S3, и, необязательно, также включает области S4 и RM, фермента MASP-2, описанного в настоящем документе. В некоторых вариантах осуществления соединение может представлять собой любую малую молекулу, которая связывается с сайтом связывания, содержащим аминокислоты ALA 468, ALA 469, HIS 483, ASP 526, ALA 527, GLY 528, PHE 529, LEU 575, TYR 602, PRO 606, TYR 607, PRO 608, SER 611, ASP 627, SER 628, CYS 629, ARG 630, GLY 631, ASP 632, SER 633, GLY 634, GLY 635, VAL 653, SER 654, TRP 655, GLY 656, SER 657, MET 658, ASN 659, CYS 660, GLU 662, GLN 665, TYR 666, GLY 667, VAL 668, и TYR 669, или любую подгруппу из любых 1, 2, 3, 4, 5, 6, 7, 8, 9, 10, 11, 12, 13, 14, 15, 16, 17, 18, 19, 20, 21, 22, 23, 24, 25, 26, 27, 28, 29, 30, 31, 32, 33, 34, 35 или 36 из аминокислот ALA 468, ALA 469, HIS 483, ASP 526, ALA 527, GLY 528, PHE 529, LEU 575, TYR 602, PRO 606, TYR 607, PRO 608, SER 611, ASP 627, SER 628, CYS 629, ARG 630, GLY 631, ASP 632, SER 633, GLY 634, GLY 635, VAL 653, SER 654, TRP 655, GLY 656, SER 657, MET 658, ASN 659, CYS 660, GLU 662, GLN 665, TYR 666, GLY 667, VAL 668 и/или TYR 669.

Соединение может представлять собой любой низкомолекулярный ингибитор MASP-2, описанный в настоящем документе. В некоторых вариантах осуществления соединение может представлять собой любое из соединений, описанных выше в разделе «II. Соединения», или их любой вариант осуществления.

Как описано в патенте США № 7919094; патенте США № 8840893; патенте США № 8652477; патенте США № 8951522, патенте США № 9011860, патенте США № 9475885, патенте США № 9644035, публикациях патентных заявок США №№ US2013/0344073, US2013/0266560, US 2015/0166675, US2017/0137537, US2017/0166660, US2017/0189525,US2017/0267781, US2017/0283508, US2017/0253667, US2018/0105604, WO2018/045054, WO2019/036460 и одновременно находящейся на рассмотрении патентной заявке США с серийным номером 62/688611 того же заявителя (права на каждую из которых переданы корпорации Omeros, приобретателю прав по настоящей заявке, каждая из заявок включена в настоящий документ посредством ссылки), MASP-2-зависимая активация комплемента, как считают, вносит вклад в патогенез многочисленных острых и хронических болезненных состояний. Например, как описано в патенте США № 8951522, основная функция системы комплемента, части врожденной иммунной системы, заключается в защите хозяина от инфекционных агентов, однако неадекватная или избыточная активация системы комплемента может приводить к серьезному заболеванию, такому как тромботические микроангиопатии (TMA, включая aHUS, TTP и HUS), при котором повреждение эндотелия, а также богатые фибрином и тромбоцитами тромбы в микрососудистой системе приводят к повреждению органов. Лектиновый путь играет основную роль в активации комплемента в условиях стресса или повреждения эндотелиальных клеток, и предотвращение активации MASP-2 и лектинового пути останавливает череду ферментативных реакций, приводящих к образованию мембраноатакующего комплекса, активации тромбоцитов и рекрутингу лейкоцитов. Как описано в патенте США № 8652477, помимо инициации лектинового пути, MASP-2 также может активировать систему свертывания крови и способна к расщеплению протромбина до тромбина.

Соответственно, в некоторых вариантах осуществления способ включает введение пациенту, страдающему от, или имеющему риск развития, MASP-2-зависимого связанного с комплементом заболевания или нарушения, соединения по изобретению в количестве, достаточном для ингибирования MASP-2-зависимой активации комплемента у указанного субъекта-млекопитающего, в результате чего происходит лечение заболевания или нарушения. В некоторых вариантах осуществления способ также может включать, перед введением соединения по изобретению пациенту, определение того, что пациент страдает от заболевания или нарушения, связанного с лектиновым путем активации комплемента.

В некоторых вариантах осуществления MASP-2-зависимое связанное с комплементом заболевание или нарушение выбирают из группы, состоящей из тромботической микроангиопатии (TMA), заболевания почек, воспалительной реакции, возникающей вследствие трансплантации ткани или органа, ишемического реперфузионного повреждения, осложнения, связанного с диабетом, сердечно-сосудистого заболевания или нарушения, воспалительного желудочно-кишечного заболевания, легочного заболевания, офтальмического заболевания или нарушения, диссеминированной внутрисосудистой коагуляции, реакции трансплантат против хозяина, веноокклюзионной болезни и диффузного альвеолярного кровотечения.

В некоторых вариантах осуществления MASP-2-зависимое связанное с комплементом заболевание или нарушение представляет собой тромботическую микроангиопатию (TMA), включая тромботическую тромбоцитопеническую пурпуру (TTP), резистентную TTP, синдром Апшо-Шульмана (USS), гемолитический уремический синдром (HUS), атипичный гемолитический уремический синдром (aHUS), независимый от фактора H атипичный гемолитический уремический синдром, aHUS, обусловленный инфекцией, устойчивый к плазмотерапии aHUS, TMA, обусловленную раком, TMA, обусловленную химиотерапией, TMA, обусловленную трансплантацией, или TMA, связанную с трансплантатом гемопоэтических стволовых клеток.

В некоторых вариантах осуществления способ включает введение пациенту, страдающему от, или имеющему риск развития, реакции трансплантат против хозяина (GVHD), включая острую GVHD, хроническую GVHD или устойчивую к стероидам GVHD, соединения по изобретению в количестве, достаточном для ингибирования MASP-2-зависимой активации комплемента у указанного субъекта-млекопитающего для лечения за счет этого заболевания или нарушения. В некоторых вариантах осуществления субъект, страдающий от, или имеющий риск развития, GVHD, получал ранее, получает или будет получать трансплантат гемопоэтических стволовых клеток.

В некоторых вариантах осуществления способ включает введение пациенту, страдающему от, или имеющему риск развития, диффузного альвеолярного кровотечения (DAH), соединения по изобретению в количестве, достаточном для ингибирования MASP-2-зависимой активации комплемента у указанного субъекта-млекопитающего, для лечения за счет этого заболевания или нарушения. В некоторых вариантах осуществления субъект, страдающий от, или имеющий риск развития, DAH, получал ранее, получает или будет получать трансплантат гемопоэтических стволовых клеток.

В некоторых вариантах осуществления способ включает введение пациенту, страдающему от, или имеющему риск развития, веноокклюзионной болезни (VOD), соединения по изобретению в количестве, достаточном для ингибирования MASP-2-зависимой активации комплемента у указанного субъекта-млекопитающего, для лечения за счет этого заболевания или нарушения. В некоторых вариантах осуществления субъект, страдающий от, или имеющий риск развития, VOD, получал ранее, получает или будет получать трансплантат гемопоэтических стволовых клеток.

В некоторых вариантах осуществления MASP-2-зависимое связанное с комплементом заболевание или нарушение представляет собой заболевание почек, включая, но без ограничения, мезангиальный пролиферативный гломерулонефрит, мембранозный гломерулонефрит, мембранозный пролиферативный гломерулонефрит (мезангиокапиллярный гломерулонефрит), острый постинфекционный гломерулонефрит (постстрептококковый гломерулонефрит), C3 гломерулопатию, криоглобулинемический гломерулонефрит, слабоиммунный некротизирующий серповидный гломерулонефрит, волчаночный нефрит, пурпуру Геноха-Шенлейна, нефрит и IgA нефропатию.

В некоторых вариантах осуществления MASP-2-зависимое связанное с комплементом заболевание или нарушение представляет собой почечный фиброз (например, тубулоинтерстициальный фиброз) и/или протеинурию у субъекта, страдающего от, или имеющего риск развития, хронической почечной недостаточности, хроническую почечную недостаточность, гломерулярное заболевание (например, фокальный сегментный гломерулосклероз), болезнь иммунных комплексов (например, IgA нефропатию, мембранозную нефропатию), волчаночный нефрит, нефротический синдром, диабетическую нефропатию, тубулоинтерстициальное повреждение и гломерулонефрит (например, C3 гломерулопатию), либо заболевание или состояние, связанное с протеинурией, включая, но без ограничения, нефротический синдром, преэклампсию, эклампсию, токсические повреждения почек, амилоидоз, коллагенозы сосудов (например, системную красную волчанку), обезвоживание, гломерулярные заболевания (например, мембранозный гломерулонефрит, фокально-сегментарный гломерулонефрит, C3 гломерулопатию, болезнь минимальных изменений, липоидный нефроз), стресс при интенсивной физической нагрузке, доброкачественную ортостатическую (постуральную) протеинурию, фокальный сегментный гломерулосклероз, IgA нефропатию (то есть, болезнь Бергера), IgM нефропатию, мембранозный пролиферативный гломерулонефрит, мембранозную нефропатию, болезнь минимальных изменений, саркоидоз, синдром Альпорта, сахарный диабет (диабетическую нефропатию), лекарственную токсичность (вызываемую, например, НСПВС, никотином, пеницилламином, лития карбонатом, золотом и другими тяжелыми металлами, ингибиторами ACE, антибиотиками (например, адриамицином) или опиатами (например, героином), или другими нефротоксинами); болезнь Фабри, инфекции (такие как, например, ВИЧ, сифилис, гепатит A, B или C, постстрептококковая инфекция, мочеполовой шистозоматоз); аминоацидурию, синдром Фанкони, гипертонический нефросклероз, интерстициальный нефрит, серповидно-клеточную болезнь, гемоглобинурию, множественную миелому, миоглобинурию, отторжение органа (например, отторжение трансплантата почки), геморрагическую лихорадку эбола, синдром ногтей-надколенника, семейную средиземноморскую лихорадку, синдром HELLP, системную красную волчанку, гранулематоз Вегенера, ревматоидный артрит, болезнь накопления гликогена 1 типа, синдром Гудпасчера, пурпуру Геноха-Шенлейна, инфекцию мочеполового тракта, распространившуюся на почки, синдром Шегрена и постинфекционный гломерулонефрит.

В некоторых вариантах осуществления MASP-2-зависимое связанное с комплементом заболевание или нарушение представляет собой воспалительную реакцию в результате трансплантации ткани или солидного органа, включая, но без ограничения, аллотрансплантацию или ксенотрансплантацию целых органов (например, почки, сердца, печени, поджелудочной железы, легкого, роговицы и тому подобного) или пересадку ткани (например, клапанов, сухожилий, костного мозга и тому подобного).

В некоторых вариантах осуществления MASP-2-зависимое связанное с комплементом заболевание представляет собой ишемическое реперфузионное повреждение (I/R), включая, но без ограничения, миокардиальное I/R, желудочно-кишечное I/R, почечное I/R, а также I/R после восстановления разрыва аневризмы аорты, I/R, связанное с искусственным кровообращением, I/R головного мозга, после инсульта, трансплантации органа или повторного присоединения отделенных или травмированных конечностей или пальцев; вследствие реваскуляризации трансплантатов и/или реплантатов, и вследствие восстановления кровообращения после шока и/или хирургических операций.

В некоторых вариантах осуществления MASP-2-зависимое связанное с комплементом заболевание или нарушение представляет собой осложнение, связанное с диабетом без ожирения (диабетом 1 типа или инсулинозависимым сахарным диабетом), и/или осложнения, связанные с диабетом 1 типа или 2 типа (развивающимся у взрослых), включая, но без ограничения, диабетическую ангиопатию, диабетическую невропатию, диабетическую ретинопатию или диабетический отек желтого пятна.

В некоторых вариантах осуществления MASP-2-зависимое связанное с комплементом заболевание или нарушение представляет собой сердечно-сосудистое заболевание или нарушение, включая, но без ограничения, пурпуру Геноха-Шенлейна; нефрит; васкулит, связанный с системной красной волчанкой; васкулит, связанный с ревматоидным артритом (также называемый злокачественным ревматоидным артритом); связанный с иммунными комплексами васкулит и болезнь Такаясу; дилатационную кардиомиопатию; диабетическую ангиопатию; болезнь Кавасаки (артериит); газовую эмболию вен (VGE), а также ингибирование рестеноза после размещения стента, ротационной атерэктомии и/или чрескожной транслюминальной коронарной ангиопластики (PTCA).

В некоторых вариантах осуществления MASP-2-зависимое связанное с комплементом заболевание или нарушение представляет собой воспалительное желудочно-кишечное заболевание, включая, но без ограничения, панкреатит, дивертикулит и заболевания кишечника, включая болезнь Крона, язвенный колит, синдром раздраженной кишки и воспалительное заболевание кишечника (IBD).

В некоторых вариантах осуществления MASP-2-зависимое связанное с комплементом заболевание или нарушение представляет собой легочное заболевание, включая, но без ограничения, острый респираторный дистресс-синдром, связанное с переливанием крови острое повреждение легких, ишемическое/реперфузионное острое повреждение легких, хроническое обструктивное заболевание легких, астму, гранулематоз Вегенера, антигломерулярную болезнь базальной мембраны (болезнь Гудпасчера), синдром аспирации мекония, аспирационную пневмонию, облитерирующий бронхиолитический синдром, идиопатический пульмонарный фиброз, острое повреждение легких, обусловленное ожогом, не кардиогенный отек легких, связанное с переливанием крови угнетение дыхания и эмфизему.

В некоторых вариантах осуществления MASP-2-зависимое связанное с комплементом заболевание или нарушение представляет собой воспалительную реакцию, вызванную экстракорпоральным воздействием, и способ представляет собой лечение субъекта, подвергаемого процедуре экстракорпорального кровообращения, включая, но без ограничения, гемодиализ, плазмаферез, лейкаферез, экстракорпоральную мембранную оксигенацию (ECMO), гепарин-индуцированную, вызванную экстракорпоральной мембранной оксигенацией, преципитацию ЛПНП (HELP) и экстракорпоральное кровообращение (CPB).

В некоторых вариантах осуществления MASP-2-зависимое связанное с комплементом заболевание или нарушение выбирают из воспалительных или не воспалительных поражений кожи ревматического происхождения и других скелетно-мышечных заболеваний, включая, но без ограничения, остеоартрит, ревматоидный артрит, ювенильный ревматоидный артрит, подагру, нейрогенную артропатию, псориатический артрит, анкилозирующий спондилит или другие спондилоартропатии и кристаллические артропатии, мышечную дистрофию и системную красную волчанку (SLE).

В некоторых вариантах осуществления MASP-2-зависимое связанное с комплементом заболевание или нарушение представляет собой заболевание кожи, включая, но без ограничения, псориаз, аутоиммунные буллезные дерматозы, эозинофильный спонгиоз, буллезный пемфигоид, приобретенный буллезный эпидермолиз, атопический дерматит, герпес беременных и другие заболевания кожи, а таже термические и химические ожоги, включая вызываемый ими синдром капиллярной утечки.

В некоторых вариантах осуществления MASP-2-зависимое связанное с комплементом заболевание или нарушение представляет собой заболевание или повреждение периферической нервной системы ПНС) и/или центральной нервной системы (ЦНС), включая, но без ограничения, рассеянный склероз (MS), миастению (MG), болезнь Гентингтона (HD), боковой амиотрофический склероз (ALS), синдром Гийена-Барре, реперфузию после инсульта, дегенеративное заболевание межпозвонковых дисков, травму головного мозга, болезнь Паркинсона (PD), болезнь Альцгеймера (AD), синдром Миллера-Фишера, травму и/или кровотечение в головном мозге, травматическое повреждение головного мозга, демиелинизацию и менингит.

В некоторых вариантах осуществления MASP-2-зависимое связанное с комплементом заболевание или нарушение представляет собой сепсис или состояние, возникающее в результате сепсиса, включая, без ограничения, тяжелый сепсис, септический шок, острый респираторный дистресс-синдром в результате сепсиса, гемолитическую анемию, синдром системного воспалительного ответа или геморрагический шок.

В некоторых вариантах осуществления MASP-2-зависимое связанное с комплементом заболевание или нарушение представляет собой заболевание мочеполовой системы, включая, но без ограничения, синдром болезненного мочевого пузыря, синдром чувствительного мочевого пузыря, хронический не бактериальный цистит и интерстициальный цистит, мужское и женское бесплодие, плацентарную дисфункцию, а также самопроизвольный аборт и преэклампсию.

В некоторых вариантах осуществления MASP-2-зависимое связанное с комплементом заболевание или нарушение представляет собой воспалительную реакцию у субъекта, получающего лечение химиотерапевтическими средствами и/или лучевую терапию, включая, без ограничения, лечение рака.

В некоторых вариантах осуществления MASP-2-зависимое связанное с комплементом заболевание или нарушение представляет собой зависимый от ангиогенеза рак, включая, но без ограничения, солидную опухоль(и), опухоль(и), передающуюся через кровь, карциноидные опухоли высокого риска и опухолевые метастазы.

В некоторых вариантах осуществления MASP-2-зависимое связанное с комплементом заболевание или нарушение представляет собой зависимую от ангиогенеза доброкачественную опухоль, включая, но без ограничения, гемангиомы, невриномы слухового нерва, нейрофибромы, трахомы, карциноидные опухоли и пиогенные гранулемы.

В некоторых вариантах осуществления MASP-2-зависимое связанное с комплементом заболевание или нарушение представляет собой эндокринное заболевание, включая, но без ограничения, тиреоидит Хашимото, стресс, тревожность и другие потенциальные гормональные нарушения, включающие регулируемое высвобождение пролактина, фактора роста или инсулиноподобного фактора роста, а также адренокортикотропина из гипофиза.

В некоторых вариантах осуществления MASP-2-зависимое связанное с комплементом заболевание или нарушение представляет собой офтальмическое заболевание или нарушение, включая, но без ограничения, возрастную дегенерацию желтого пятна, глаукому и эндофтальмит.

В некоторых вариантах осуществления MASP-2-зависимое связанное с комплементом заболевание или нарушение представляет собой глазное ангиогенное заболевание или состояние, включая, но без ограничения, возрастную дегенерацию желтого пятна, увеит, глазную меланому, неоваскуляризацию сетчатки, первичный птеригий, HSV стромальный кератит, HSV-1-индуцированный лимфангиогенез роговицы, пролиферативную диабетическую ретинопатию, диабетический отек желтого пятна, ретинопатию недоношенных, окклюзию вены сетчатки, отторжение трансплантата роговицы, неоваскулярную глаукому, кровоизлияние в стекловидное тело, обусловленное пролиферативной диабетической ретинопатией, оптиконевромиелит и покраснение радужки.

В некоторых вариантах осуществления MASP-2-зависимое связанное с комплементом заболевание или нарушение представляет собой диссеминированную внутрисосудистую коагуляцию (DIC) или другие опосредуемые комплементом нарушения коагуляции, включая DIC, обусловленную сепсисом, тяжелой травмой, включая неврологическую травму (например, острую травму головы, смотри Kumura et al., Acta Neurochirurgica 55:23-28 (1987), инфекцией (бактериальной, вирусной, грибковой, паразитарной), раком, осложнениями при родах, заболеванием печени, тяжелой токсической реакцией (например, укусом змеи, укусом насекомого, реакцией на переливание крови), шоком, тепловым инсультом, отторжением трансплантата, аневризмой сосудов, печеночной недостаточностью, лечением рака химиотерапией или лучевой терапией, ожогом или случайным воздействием радиации.

В некоторых вариантах осуществления MASP-2-зависимое связанное с комплементом заболевание или нарушение выбирают из группы, состоящей из острого лучевого синдрома, болезни плотных депозитов, болезни Дегоса, катастрофического антифосфолипидного синдрома (CAPS), болезни Бехчета, криоглобулинемии; пароксизмальной ночной гемоглобинурии («PNH») и болезни холодовых агглютининов.

В некоторых вариантах осуществления MASP-2-зависимое связанное с комплементом заболевание или нарушение выбирают из группы, состоящей из aHUS, HSCT-TMA, IgAN и волчаночного нефрита (LN).

В некоторых вариантах осуществления способ включает введение пациенту, страдающему от, или имеющему риск развития, заболевания, нарушения или состояния, связанного с фибрин-индуцированной активацией системы комплемента и связанной активацией коагуляционной и/или контактной систем, соединения по изобретению в количестве, достаточном для ингибирования MASP-2-зависимой активации комплемента у указанного субъекта-млекопитающего, для лечения за счет этого заболевания или нарушения. В некоторых вариантах осуществления субъект страдает от, или имеет риск развития, заболевания, нарушения или состояния, связанного с зависимым от комплемента воспалением, избыточной коагуляцией или активацией контактной системы, инициируемой фибрином или активированными тромбоцитами. В некоторых вариантах осуществления субъект страдает от заболевания или нарушения, выбранного из группы, состоящей из артериального тромбоза, венозного тромбоза, тромбоза глубоких вен, тромбоза после хирургической операции, рестеноза после аорто-коронарного шунтирования и/или интервенционной сердечно-сосудистой процедуры (например, ангиопластики или установки стента), атеросклероза, отрыва бляшки, нестабильности бляшки, рестеноза, гипотензии, острого респираторного дистресс-синдрома (ARDS), синдрома системного воспалительного ответа (SIRS), диссеминированной внутрисосудистой коагуляции (DIC), веноокклюзионной болезни (VOD), тромботической микроангиопатии, волчаночного нефрита, тромбофлебита поверхностных вен, лейденовской мутации V фактора, ишемического/реперфузионного повреждения, инфекция вируса иммунодефицита человека (HIV), текущей гормонозаместительной терапии (HRT), болезни Альцгеймера и/или страданий вследствие состояния гиперкоагуляции. В некоторых вариантах осуществления субъект страдает от, или имеет риск развития, приобретенного состояния гиперкоагуляции вследствие по меньшей мере одного или более из следующего: текущей терапии лекарственным средством, выбранным из группы, состоящей из 5-FU, GM-CSF, цисплатина, гепарина, ингибитора COX-2, контрастного вещества, кортикостероидов и антипсихотических препаратов; венозного застоя (вследствие неподвижности, операции и так далее), антифосфолипидного синдрома, рака (промиелоцитарного лейкоза, опухолей легкого, молочной железы, предстательной железы, поджелудочной железы, желудка и прямой кишки), повреждения ткани вследствие травмы или хирургической операции, наличия катетера в центральной вене, приобретенного дефицита белка, вовлеченного в формирование сгустка (например, белка C), пароксизмальной ночной гемоглобинурии (PNH), повышенных уровней гомоцистеина, сердечной недостаточности, наличия механического клапана, легочной гипертензии с in situ тромбозом, фибрилляции предсердий, гепарин-индуцируемой тромбоцитопении (HIT), гепарин-индуцируемой тромбоцитопении и тромбоза (HITT), болезни Кавасаки с in situ тромбозом, артериита Такаясу с in situ тромбозом, тромбофилии при метастатическом раке, повышенных уровней фактора VIII, беременности, воспалительного заболевания кишечника (IBD), или вследствие генетического дефекта, который вызывает, или увеличивает риск развития, состояния гиперкоагуляции, например, генетического дефекта, выбранного из группы, состоящей из мутации гена протромбина 20210, мутации MTHFR, недостаточности белка C, недостаточности белка S, недостаточности белка A, недостаточности белка Z, недостаточности антитромбина и генетического нарушения, приводящего к тромбофилии. В некоторых вариантах осуществления субъект страдает от, или имеет риск развития, заболевания или нарушения, которое подлежит лечению ингибитором калликреина. В некоторых вариантах осуществления субъект страдает от, или имеет риск развития, заболевания или нарушения, которое подлежит лечению ингибитором калликреина, выбранного из группы, состоящей из наследственного ангионевротического отека, диабетического отека желтого пятна и кровотечения в процессе искусственного кровообращения. В некоторых вариантах осуществления субъект страдает от, или имеет риск развития, заболевания или нарушения, которое подлежит лечению ингибитором тромбина, такого как артериальный тромбоз, венозный тромбоз, эмболия легких, фибрилляция предсердий, гепарин-индуцируемая тромбоцитопения, переход с одного антикоагулянта на другой или использование не по назначению для проходимости экстракорпорального контура непрерывной заместительной почечной терапии (CRRT) у тяжелобольных пациентов с HIT (поддерживающий режим). В некоторых вариантах осуществления субъект страдал ранее от, страдает в настоящее время от, или имеет риск развития, фибрилляции предсердий, и MASP-2 ингибирующее соединение вводят в количестве, достаточном для уменьшения риска инсульта у указанного субъекта. В некоторых вариантах осуществления субъект страдает от, или имеет риск развития, заболевания или нарушения, которое подлежит лечению ингибитором фактора XII, такого как тромбоз глубоких вен (как первичная профилактика, так и расширенная терапия), эмболия легких, неклапанная фибрилляция предсердий, предотвращение повторной ишемии после острого коронарного синдрома у субъектов с фибрилляцией предсердий, или без нее, почечная недостаточность в конечной стадии, ишемия головного мозга, стенокардия, или для уменьшения или предотвращения образования тромбов, связанного с медицинскими устройствами (например, клапанами, мелкокалиберными трансплантатами и так далее) и/или системой искусственного кровообращения. В некоторых вариантах осуществления субъект страдал ранее от, страдает в настоящее время от, или имеет риск развития, неклапанной фибрилляции предсердий, и MASP-2-ингибирующее соединение вводят в количестве, достаточном для уменьшения риска инсульта и/или эмболии у указанного субъекта. В некоторых вариантах осуществления субъект имеет приобретенное заболевание или нарушение, которое увеличивает предрасположенность к тромбоэмболии, такое как заболевание или нарушение, выбранное из группы, состоящей из атеросклероза, антифосфолипидных антител, рака (например, промиелоцитарного лейкоза, опухолей легкого, молочной железы, предстательной железы, поджелудочной железы, желудка и прямой кишки), гипергомоцистеинемии, инфекции, повреждения ткани, венозного застоя (например, вследствие операции, ортопедической или паралитической неподвижности, сердечной недостаточности, беременности или ожирения), и субъект принимает пероральные контрацептивы, содержащие эстроген. В некоторых вариантах осуществления субъект нуждается в антикоагулянтной терапии, и MASP-2-ингибирующее соединение используют вместо стандартной антикоагулянтной терапии (например, варфарина). В некоторых вариантах осуществления субъект имеет состояние, при котором обычно противопоказана стандартная антикоагулянтная терапия, такое как амилоидная ангиопатия ЦНС. В некоторых вариантах осуществления способа MASP-2-ингибирующее соединение вводят в качестве мостикообразующего агента в периоперационном периоде субъекту, который в иной ситуации получал бы стандартную антикоагулянтную терапию. В некоторых вариантах осуществления субъект имеет серповидно-клеточную болезнь, которая представляет собой окклюзионное заболевание сосудов, связанное с активацией тромбоцитов.

Атипичный гемолитический уремический синдром (aHUS).

Атипичный гемолитический уремический синдром (aHUS) является частью группы состояний, называемых «тромботическими микроангиопатиями». При атипичной форме HUS (aHUS) заболевание связано с нарушением регуляции комплемента, и может быть либо спорадическим, либо семейным. Семейные случаи aHUS связаны с мутациями в генах, кодирующих белки активации комплемента или регуляции комплемента, включая фактор H, фактор I, фактор B, мембранный кофактор CD46 комплемента, а также связанный с фактором H комплемента белок 1 (CFHR1) и связанный с фактором H комплемента белок 3 (CFHR3). (Zipfel, P.F., et al., PloS Genetics 3(3):e41 (2007)). Унифицирующим признаком этой разнообразной группы генетических мутаций, связанных с aHUS, является предрасположенность к повышенной активации комплемента на поверхностях клеток или тканей. Субъект имеет риск развития aHUS после появления по меньшей мере одного или более симптомов, являющихся показателями aHUS (таких как, например, наличие анемии, тромбоцитопении и/или почечной недостаточности) и/или наличия признаков тромботической микроангиопатии в образцах биопсии, полученных от субъекта. Определение того, имеет ли субъект риск развития aHUS, включает определение того, имеет ли субъект генетическую предрасположенность к развитию aHUS, которое можно проводить путем оценки генетической информации (например, из базы данных, включающей генотип субъекта) или проведения по меньшей мере одного генетического скрининга для субъекта с целью определения наличия или отсутствия генетического маркера, связанного с aHUS (то есть, определения наличия или отсутствия генетической мутации, связанной с aHUS, в генах, кодирующих фактор H (CFH), фактор I (CFI), фактор B (CFB), мембранный кофактор CD46, C3 комплемента, связанный с фактором H комплемента белок 1 (CFHR1) или THBD (кодирующий антикоагулянтный белок тромбодулин), или связанный с фактором H комплемента белок 3 (CFHR3), или связанный с фактором H комплемента белок 4 (CFHR4)), путем либо секвенирования генома, либо специфического для гена анализа (например, ПЦР-анализа), и/или путем определения того, имеет ли субъект aHUS в семейном анамнезе. Способы генетического скрининга на наличие или отсутствие генетической мутации, связанной с aHUS, хорошо известны, например, смотри Noris M et al. «Atypical Hemolytic-Uremic Syndrome,» 2007 Nov 16 [обновлено 10 марта 2011 г.]. В: Pagon RA, Bird TD, Dolan CR, et al., editors. GeneReviews™, Seattle (WA): University of Washington, Seattle.

Связанная с трансплантатом гемопоэтических стволовых клеток TMA (HSCT-TMA)

Связанная с трансплантатом гемопоэтических стволовых клеток TMA (HSCT-TMA) представляет собой опасное для жизни осложнение, вызываемое повреждением эндотелия. Почка является наиболее часто поражаемым органом, хотя HSCT-TMA может быть мультисистемным заболеванием, также затрагивающим легкие, кишечник, сердце и головной мозг. Наличие даже слабой TMA связано с долгосрочным нарушением работы почек. Развитие TMA, связанной с аллогенным HSCT, различается по частоте в зависимости от разных диагностических критериев и условий, а также режимов профилактики реакции трансплантат против хозяина, при этом наиболее часто используемыми средствами являются ингибиторы кальцийнейрина (Ho VT et al., Biol Blood Marrow Transplant, 1 1(8):571-5, 2005).

Иммуноглобулин A-нефропатия (IgAN)

Иммуноглобулин A-нефропатия (IgAN) представляет собой аутоиммунное заболевание почек, приводящее к внутрипочечному воспалению и повреждению почек. IgAN представляет собой наиболее распространенное первичное гломерулярное заболевание во всем мире. С частотой случаев в год примерно 2,5 на 100000, по оценкам, у 1 из 1400 людей в США разовьется IgAN. У вплоть до 40% пациентов с IgAN разовьется конечная стадия почечной недостаточности (ESRD). Пациенты, как правило, имеют признаки микроскопической гематурии с легкой или умеренной протеинурией и различной степенью почечной недостаточности (Wyatt R.J., et al., NEnglJ Med 36S(25):2402-4, 2013). Такие клинические признаки, как нарушенная почечная функция, устойчивая гипертензия и тяжелая протеинурия (более 1 г в сутки), связаны с плохим прогнозом (Goto M et al., Nephrol Dial Transplant 24(10):3068-74, 2009; Berthoux F. et al., J Am Soc Nephrol 22(4):752-61, 2011). Протеинурия является сильным прогностическим фактором, независимым от других факторов риска, в нескольких крупных обсервационных исследованиях и проспективных исследованиях (Coppo R. et al., J Nephrol 18(5):503-12, 2005; Reich H. N., et al., J Am Soc Nephrol 18(12):3177-83, 2007). По оценкам, 15-20% пациентов достигают стадии ESRD в течение 10 лет с начала заболевания, если не применять лечение (D'Amico G., Am J Kidney Dis 36(2):227-37, 2000). Диагностическим признаком IgAN является преобладание отложений IgA, отдельно или с IgG, IgM, или обоими, в мезангиуме клубочков.

Волчаночный нефрит (LN)

Основным осложнением системной красной волчанки (SLE) является нефрит, также известный как волчаночный нефрит, который считают вторичной формой гломерулонефрита. У вплоть до 60% взрослых людей с SLE в той или иной степени бывают затронуты почки на более поздней стадии течения заболевания (Koda-Kimble et al., Koda-Kimble and Young's Applied Therapeutics: the clinical use of drugs, 10th Ed, Lippincott Williams & Wilkins: pages 792-9, 2012), с частотой встречаемости 20-70 на 100000 людей в США. Волчаночный нефрит часто встречается у пациентов наряду с другими симптомами активной SLE, включая утомляемость, лихорадку, сыпь, артрит, серозит или заболевание центральной нервной системы (Pisetsky D.S. et al., Med Clin North Am 81(1): 113-28, 1997). Некоторые пациенты имеют бессимптомный волчаночный нефрит; однако в процессе регулярного обследования такие аномальные лабораторные показатели, как повышенные сывороточные уровни креатинина, низкие уровни альбумина, белок или осадок в моче, указывают на активный волчаночный нефрит.

V. Композиции, дозы и введение

Соединения, описанные в настоящем документе, можно вводить способом, совместимым с лекарственным препаратом, и в таком количестве, которое будет эффективным или достаточным для лечения. Вводимое количество зависит от различных факторов, включая, например, возраст, массу тела, физическую активность и диету индивидуума, а также желаемый эффект. В конкретных вариантах осуществления размер дозы также можно определять на основании наличия, характера и степени тяжести любых неблагоприятных побочных эффектов, сопровождающих введение соединения у конкретного индивидуума.

Следует понимать, однако, что конкретный уровень дозы и частота введения доз для каждого конкретного пациента могут быть изменены врачом, и будут зависеть от различных факторов, включая активность конкретного используемого соединения, метаболическую стабильность и продолжительность действия данного соединения, возраст, массу тела, наследственные характеристики, общее состояние здоровья, пол, диету, способ и время введения, скорость выведения, сочетание лекарственных средств, степень тяжести конкретного состояния, а также состояние здоровья пациента, подвергаемого терапии.

В конкретных вариантах осуществления доза может иметь твердую, полутвердую или жидкую форму, предпочтительно, в стандартных лекарственных формах, подходящих для несложного введения точных доз.

Используемый в настоящем документе термин «стандартная лекарственная форма» относится к физически дискретным единицам, подходящим в качестве однократных доз для людей и других млекопитающих, при этом каждая единица содержит заранее определенное количество активного средства, рассчитанное для оказания желаемых эффектов начала действия, переносимости и/или эффективности, в сочетании с подходящим фармацевтическим эксципиентом (например, к ампулам). Кроме того, можно готовить более концентрированные лекарственные формы, из которых затем можно получать более разбавленные стандартные лекарственные формы.

Соединения, описанные в настоящем документе, можно вводить субъекту, который нуждается в лечении, с использованием способов, известных в данной области, например, путем перорального введения или путем инъекции. Инъекция может быть подкожной, внутривенной, внутрибрюшинной, внутримышечной. Как описано в настоящем документе, парентеральные препараты могут быть изготовлены в стандартной лекарственной форме для легкости введения и однородности доз. Используемый в настоящем документе термин «стандартная лекарственная форма» относится к физически дискретным единицам, подходящим в качестве однократных доз для субъекта, которого предстоит лечить; при этом каждая единица содержит заранее определенное количество активного средства, рассчитанное для оказания желаемого терапевтического эффекта.

Фармацевтические композиции по настоящей заявке содержат терапевтически эффективное количество соединения по настоящей заявке, сформулированного совместно с одним или более фармацевтически приемлемыми носителями или эксципиентами. Используемый в настоящем документе термин «фармацевтически приемлемый носитель» означает нетоксичный, инертный твердый, полутвердый или жидкий наполнитель, разбавитель, инкапсулирующий материал или вспомогательный компонент препарата любого типа. Фармацевтические композиции по настоящей заявке можно вводить людям и другим животным перорально, ректально, парентерально, интрацистернально, интравагинально, внутрибрюшинно, топически (в виде порошков, мазей или капель), трансбуккально или в виде перорального или носового спрея.

Жидкие лекарственные формы для перорального введения включают фармацевтически приемлемые эмульсии, микроэмульсии, растворы, суспензии, сиропы и эликсиры. Помимо активных соединений, жидкие лекарственные формы могут содержать инертные разбавители, обычно используемые в данной области, такие как, например, вода или другие растворители, солюбилизирующие средства и эмульгаторы, такие как этиловый спирт, изопропиловый спирт, этилкарбонат, этилацетат, бензиловый спирт, бензилбензоат, пропиленгликоль, 1,3-бутиленгликоль, диметилформамид, масла (в частности, хлопковое, арахисовое, кукурузное масло, масло семян, оливковое, касторовое и кунжутное масло), глицерин, тетрагидрофурфуриловый спирт, полиэтиленгликоли и сложные эфиры жирных кислот и сорбитана, а также их смеси. Помимо инертных разбавителей, пероральные композиции также могут содержать адъюванты, такие как увлажняющие средства, эмульгирующие и суспендирующие средства, подсластители, вкусо-ароматические добавки и ароматизаторы.

Инъекционные препараты, например, стерильные инъекционные водные или масляные суспензии, могут быть сформулированы, как известно в данной области, с использованием подходящих диспергирующих или увлажняющих средств, а также суспендирующих средств. Стерильный инъекционный препарат также может представлять собой стерильный инъекционный раствор, суспензию или эмульсию в нетоксичном, парентерально приемлемом разбавителе или растворителе. В число приемлемых сред и растворителей, которые могут быть использованы, входят вода, раствор Рингера, U.S.P., и изотонический раствор хлорида натрия. Кроме того, стерильные нелетучие масла обычно используют в качестве растворителя или суспензионной среды. Для этой цели можно использовать любое мягкое нелетучее масло, включая синтетические моно- или диглицериды. Кроме того, в приготовлении инъекционных препаратов также используют жирные кислоты, такие как олеиновая кислота.

Для продления эффекта лекарственного средства часто бывает желательно замедлять абсорбцию лекарственного средства из участка подкожной или внутримышечной инъекции. Это можно осуществлять путем использования жидкой суспензии кристаллического или аморфного материала с плохой растворимостью в воде. В этом случае скорость абсорбции лекарственного средства зависит от его скорости растворения, которая, в свою очередь, может зависеть от размера кристаллов и кристаллической формы. Альтернативно, замедленной абсорбции парентерально вводимого лекарственного средства добиваются путем растворения или суспендирования лекарственного средства в масляном носителе.

Твердые композиции аналогичного типа также можно использовать в качестве наполнителей в мягких и твердых заполняемых желатиновых капсулах с использованием таких эксципиентов, как лактоза, или молочный сахар, а также высокомолекулярные полиэтиленгликоли и тому подобное.

Активные соединения также могут находиться в микроинкапсулированной форме с одним или более наполнителями, как отмечено выше. Твердые лекарственные формы в виде таблеток, драже, капсул, пилюль и гранул можно изготавливать с покрытиями и оболочками, такими как энтеросолюбильные покрытия, контролирующие высвобождение покрытия и другие покрытия, хорошо известные в области фармацевтического формулирования. В таких твердых лекарственных формах активное соединение может быть смешано с по меньшей мере одним инертным разбавителем, таким как сахароза, лактоза или крахмал. Такие лекарственные формы также могут включать, как это обычно бывает, дополнительные вещества, отличные от инертных разбавителей, например, смазывающие средства для формования таблеток и другие вспомогательные вещества для формования таблеток, такие как стеарат магния и микрокристаллическая целлюлоза. В случае капсул, таблеток и пилюль лекарственная форма также может содержать буферные средства.

Лекарственные формы для топического или чрескожного введения соединений по настоящей заявке включают мази, пасты, кремы, лосьоны, гели, порошки, растворы, спреи, вдыхаемые препараты или пластыри. Активный компонент смешивают в стерильных условиях с фармацевтически приемлемым носителем или эксципиентом и любыми необходимыми консервантами или буферами по мере необходимости.

Чрескожные пластыри имеют дополнительное преимущество обеспечения контролируемой доставки соединения в организм. Такие лекарственные формы можно получать путем растворения или диспергирования соединения в соответствующей среде. Также можно использовать усилители абсорбции для увеличения поступления соединения через кожу. Скорость можно контролировать либо за счет использования контролирующей скорость мембраны, либо за счет диспергирования соединения в полимерной матрице или геле.

В соответствии со способами лечения по настоящей заявке, заболевания лечат или предотвращают у субъекта, такого как человек или другое животное, путем введения субъекту терапевтически эффективного количества соединения по настоящей заявке, в таких количествах и в течение такого времени, которые необходимы для достижения желаемого результата. Используемый в настоящем документе термин «терапевтически эффективное количество» соединения по настоящей заявке означает достаточное количество соединения для уменьшения симптомов заболевания у субъекта. Как хорошо известно в области медицины, терапевтически эффективное количество соединения по настоящей заявке будет, при разумном соотношении польза/риск, применимо к любому медицинскому лечению.

Как правило, соединения по настоящей заявке будут введены в терапевтически эффективных количествах любым из обычных и приемлемых способов, известных в данной области, либо отдельно, либо в сочетании с одним или более лекарственными средствами. Терапевтически эффективное количество может варьироваться в широких пределах в зависимости от степени тяжести заболевания, возраста и относительного состояния здоровья субъекта, активности используемого соединения и других факторов.

Как правило, показано, что эффективные результаты могут быть достигнуты при систематическом введении в суточных дозах, составляющих от примерно 0,03 до 2,5 мг/кг массы тела. Показанная суточная доза для крупного млекопитающего, например, человека, находится в диапазоне от примерно 0,5 мг до примерно 250 мг, от примерно 5 мг до примерно 150 мг, от примерно 5 мг до примерно 100 мг, от примерно 10 мг до примерно 75 мг, от примерно 10 мг до примерно 50 мг, например, 10, 20, 30, 40 или примерно 50 мг, удобно вводимых, например, в разделенных дозах, до четырех раз в сутки, или в форме с замедленным высвобождением. Подходящие стандартные лекарственные формы для перорального введения содержат от примерно 1 до 60 мг активного ингредиента.

В конкретных вариантах осуществления терапевтическое количество, или доза, соединения по настоящей заявке может находиться в диапазоне от примерно 0,1 мг/кг до примерно 500 мг/кг, альтернативно, от примерно 1 до примерно 50 мг/кг. Как правило, режимы лечения по настоящей заявке включают введение пациенту, который нуждается в таком лечении, от примерно 10 мг до примерно 1000 мг соединения(й) по настоящей заявке в сутки в одной или нескольких дозах. Терапевтические количества, или дозы, также будут варьироваться в зависимости от пути введения, а также от возможности совместного использования с другими средствами.

После улучшения состояния субъекта можно вводить поддерживающую дозу соединения, композиции или сочетания по настоящей заявке, при необходимости. Затем дозу или частоту введения, или и то, и другое, можно уменьшать в зависимости от симптомов, до уровня, при котором сохраняется улучшенное состояние, а когда симптомы были улучшены до желаемого уровня, лечение следует прекращать. Однако субъекту может потребоваться периодическое лечение на долгосрочной основе после любого возврата симптомов заболевания.

Следует понимать, однако, что общие суточные дозы соединений и композиций по настоящей заявке будут определены лечащим врачом в рамках здравого медицинского заключения. Конкретная ингибирующая доза для любого конкретного пациента будет зависеть от различных факторов, включая заболевание, которое подвергают лечению, и степень тяжести заболевания; активность конкретного используемого соединения; конкретную используемую композицию; возраст, массу тела, общее состояние здоровья, пол и диету пациента; время введения, путь введения и скорость выведения конкретного используемого соединения; продолжительность лечения; лекарственные средства, используемые в сочетании или одновременно с конкретным используемым соединением; и тому подобные факторы, хорошо известные в области медицины.

Настоящее изобретение также относится к фармацевтическим комбинациям, например, набору, содержащему a) первое средство, которое представляет собой соединение по настоящей заявке, описанное в настоящем документе, в свободной форме или в форме его фармацевтически приемлемой соли, и b) по меньшей мере одно совместно используемое средство. Набор может включать инструкции по введению препаратов.

Способы получения таких лекарственных форм известны специалистам в данной области (смотри, например, Remington's Pharmaceutical Sciences, 18th Ed., Mack Publishing Co., Easton, PA (1990)). Лекарственные формы, как правило, включают общепринятый фармацевтический носитель или эксципиент и, кроме того, могут включать другие медицинские средства, носители, адъюванты, разбавители, усилители проникновения в ткани, солюбилизаторы и тому подобное. Соответствующие эксципиенты можно подбирать для конкретной лекарственной формы и пути введения способами, хорошо известными в данной области (смотри, например, Remington's Pharmaceutical Sciences, 18th Ed., Mack Publishing Co., Easton, PA (1990)).

ПРИМЕРЫ

Следующие примеры приведены лишь в качестве иллюстрации, а не для ограничения. Специалисты в данной области легко узнают различные некритические параметры, которые могут быть изменены или модифицированы для получения практически аналогичных результатов.

Общие методы

Если нет иных указаний, «хроматография» означает флэш-хроматографию на силикагеле.

ВЭЖХ-очистку проводили одним из двух методов. Метод 1: на препаративной системе обращенно-фазовой ВЭЖХ Gilson с сочетанием УФ/ELS детекторов (254 нм и 280 нм) и 5-мкм C-18 колонки ThermoFisher Hypersil GOLD Agilent (21,2×250 мм). В качестве элюентов использовали смесь воды и ацетонитрила (с 0,05% трифторуксусной кислотой). Скорость потока, как правило, составляла 20 мл/мин, с линейным градиентом воды в ацетонитриле 2-90% за 45 минут. Объем инжекции составлял от 1 до 3 мл, с максимумом 20 мг на одну нагрузку. Метод 2: на препаративной системе обращенно-фазовой ВЭЖХ Waters с сочетанием УФ/MS детекторов (254 нм и 280 нм) и 10-мкм C-18 OBD колонки XBridge Prep (19×50 мм). В качестве элюентов использовали смесь воды и ацетонитрила (с 0,05% трифторуксусной кислотой). Скорость потока, как правило, составляла 50 мл/мин, с линейным градиентом воды в ацетонитриле 5-95% за 8 минут. Объем инжекции составлял от 0,2 до 1 мл, с максимумом 20 мг на одну нагрузку.

Пример 1: Получение ((R)-2-((S)-2-((4-карбаминдоилбензил(карбамоил)азетидин-1-илциклопропил-2-оксоэтил)глицина (1028)

Этап 1: К перемешиваемому раствору Boc-D-циклопропилглицина (300 мг, 1,4 ммоль), метил-(S)-азетидин-2-карбоксилата гидрохлорида (211 мг, 1,4 ммоль) и DMAP (255 мг, 2,4 ммоль) в MeCN (5 мл) при 5°C добавляли EDC (293 мг, 1,5 ммоль). Смесь перемешивали в течение 48 ч, затем концентрировали в вакууме. Осадок растворяли в EtOAc и промывали H2O, 0,5 M KHSO4 дважды, насыщенным водным NaHCO3, H2O и рассолом, затем сушили (Na2SO4) и концентрировали в вакууме. Хроматография (EtOAc-гексаны) приводила к получению метил-(S)-1-((R)-2-((трет-бутоксикарбонил)амино)-2-циклопропилацетил)азетидин-2-карбоксилата (381 мг, 88% выход).

Этап 2: К раствору метил-(S)-1-((R)-2-((трет-бутоксикарбонил)амино)-2-циклопропилацетил)азетидин-2-карбоксилата (381 мг) в THF (6 мл) добавляли 5 эквив. LiOH. Смесь перемешивали в течение 16 ч при комнатной температуре, затем разбавляли EtOAc, и доводили до pH 3, медленно добавляя 10% KHSO4. Смесь насыщали NaCl, и слои разделяли. Водный слой экстрагировали EtOAc (3×10 мл), объединенные органические слои сушили (Na2SO4) и концентрировали в вакууме, с получением (S)-1-((R)-2-((трет-бутоксикарбонил)амино)-2-циклопропилацетил)азетидин-2-карбоновой кислоты в виде твердой пены, которую использовали без дополнительной очистки (380 мг неочищенной).

Этап 3: (S)-1-((R)-2-((трет-бутоксикарбонил)амино)-2-циклопропилацетил)азетидин-2-карбоновую кислоту присоединяли к бензил((4-(аминометил)фенил)(имино)метил)карбамату, следуя методике для соединения 1028, этап 1. Хроматография (EtOAc-гексаны) приводила к получению трет-бутил((R)-2-((S)-2-((4-(N-((бензилокси)карбонил)карбамимидоил)бензил)карбамоил)азетидин-1-ил)-1-циклопропил-2-оксоэтил)карбамата в виде белой пены (180 мг).

Этап 4: Раствор трет-бутил((R)-2-((S)-2-((4-(N-((бензилокси)карбонил)карбамимидоил)бензил)карбамоил)азетидин-1-ил)-1-циклопропил-2-оксоэтил)карбамата (180 мг) в EtOAc охлаждали в ледяной бане. Хлорид водорода барботировали через раствор в течение примерно 5 мин. Смесь оставляли доходить до комнатной температуры и перемешивали в течение 30 мин. Et2O добавляли к раствору, после чего формировался ппт. Затем смесь оставляли при комнатной температуре на 16 ч, продукт выделяли фильтрованием, промывали Et2O и сушили в вакууме. Полученное твердое вещество растворяли в H2O, подщелачивали 2 M NaOH и экстрагировали CH2Cl2 (3×10 мл). Объединенные органические слои промывали рассолом, сушили над Na2SO4 и концентрировали в вакууме, с получением бензил((4-(((S)-1-((R)-2-амино-2-циклопропилацетил)азетидин-2-карбоксамидо)метил)фенил)(имино)метил)карбамата в виде белой пены (115 мг, 78% выход за два этапа).

Этап 5: К раствору бензил((4-(((S)-1-((R)-2-амино-2-циклопропилацетил)азетидин-2-карбоксамидо)метил)фенил)(имино)метил)карбамата (103 мг, 0,22 ммоль) в MeCN (10 мл) добавляли бромбензилацетат (39 мкл, 0,245 ммоль) и K2CO3 (77 мг, 0,556 ммоль). Смесь нагревали до 60°C и перемешивали в течение 16 ч. Смесь концентрировали в вакууме, осадок растворяли в EtOAc, промывали H2O, сушили над Na2SO4 и концентрировали в вакууме. Хроматография (100% EtOAc, затем 0-10% MeOH-CH2Cl2) приводила к получению бензил((R)-2-((S)-2-((4-(N-((бензилокси)карбонил)карбамимидоил)бензил)карбамоил)азетидин-1-ил)-1-циклопропил-2-оксоэтил)глицината (20 мг, 15% выход).

Этап 6: К дегазированному раствору бензил((R)-2-((S)-2-((4-(N-((бензилокси)карбонил)карбамимидоил)бензил)карбамоил)азетидин-1-ил)-1-циклопропил-2-оксоэтил)глицината (20 мг, 0,033 ммоль) в EtOH добавляли 10% Pd/C (~ 2 мг). Смесь перемешивали в 1 атм. H2 в течение 24 ч. Смесь фильтровали (0,2 мкМ шприцевой фильтр), и фильтрат концентрировали в вакууме, с получением ((R)-2-((S)-2-((4-карбамимидоилбензил)карбамоил)азетидин-1-ил)-1-циклопропил-2-оксоэтил)глицина (12 мг).

Пример 2: Получение (S)-1-((R)-2-амино-2-циклопропилацетил)-N-(4-карбамимидоилбензил)азетидин-2-карбоксамида (1002)

Бензил((4-(((S)-1-((R)-2-амино-2-циклопропилацетил)азетидин-2-карбоксамидо)метил)фенил)(имино)метил)карбамат гидрогенизировали в соответствии со способом для соединения 1028, этап 6, с получением (S)-1-((R)-2-амино-2-циклопропилацетил)-N-(4-карбамимидоилбензил)азетидин-2-карбоксамида.

Пример 3: Получение (S)-1-((R)-2-((2-амино-2-оксоэтил)амино)-2-циклогексилацетил)-N-(4-карбамимидоилбензил)азетидин-2-карбоксамида (1102)

Этап 1: Бензил((4-(((S)-1-((R)-2-амино-2-циклогексилацетил)азетидин-2-карбоксамидо)метил)фенил)(имино)метил)карбамат синтезировали вышеописанными методами с соответствующими исходными материалами. Реакция бензил((4-(((S)-1-((R)-2-амино-2-циклогексилацетил)азетидин-2-карбоксамидо)метил)фенил)(имино)метил)карбамата с бромацетамидом (1,2 эквив.) и K2CO3 (2,5 эквив.) в соответствии с методикой для соединения 1028, этап 5, приводила к получению бензил((4-(((S)-1-((R)-2-((2-амино-2-оксоэтил)амино)-2-циклогексилацетил)азетидин-2-карбоксамидо)метил)фенил)(имино)метил)карбамата (76% выход).

Этап 2: Снятие защиты бензил((4-(((S)-1-((R)-2-((2-амино-2-оксоэтил)амино)-2-циклогексилацетил)азетидин-2-карбоксамидо)метил)фенил)(имино)метил)карбамата в соответствии с методикой для соединения 1028, этап 6, приводило к получению (S)-1-((R)-2-((2-амино-2-оксоэтил)амино)-2-циклогексилацетил)-N-(4-карбамимидоилбензил)азетидин-2-карбоксамида (83% выход).

Пример 4: Получение (S)-1-((R)-2-ацетамидо-2-циклогексилацетил)-N-(4-карбамимидоилбензил)азетидин-2-карбоксамида (1154)

Этап 1: К раствору бензил((4-(((S)-1-((R)-2-амино-2-циклогексилацетил)азетидин-2-карбоксамидо)метил)фенил)(имино)метил)карбамата (170 мг, 0,337 ммоль) в безводном CH2Cl2 (5 мл) добавляли Et3N (138 мкл, 1,0 ммоль), уксусный ангидрид (41 мкл, 0,405 ммоль) и DMAP (2 мг). Смесь перемешивали при комнатной температуре в течение ночи, затем концентрировали в вакууме. Осадок растворяли в EtOAc, промывали H2O и сушили (Na2SO4). Хроматография (100% EtOAc, затем 0-10% MeOH-CH2Cl2) приводила к получению бензил((4-(((S)-1-((R)-2-ацетамидо-2-циклогексилацетил)азетидин-2-карбоксамидо)метил)фенил)(имино)метил)карбамата (125 мг, 68% выход).

Этап 2: Снятие защиты бензил((4-(((S)-1-((R)-2-ацетамидо-2-циклогексилацетил)азетидин-2-карбоксамидо)метил)фенил)(имино)метил)карбамата в соответствии с методикой для соединения 1028, этап 6, приводило к получению (S)-1-((R)-2-ацетамидо-2-циклогексилацетил)-N-(4-карбамимидоилбензил)азетидин-2-карбоксамида (70 мг, 74% выход).

Пример 5: Получение ((R)-1-((S)-2-((4-карбамимидоилбензил)карбамоил)азетидин-1-ил)-1-оксопропан-2-ил)глицина (1009)

((R)-1-((S)-2-((4-карбамимидоилбензил)карбамоил)азетидин-1-ил)-1-оксопропан-2-ил)глицин синтезировали в соответствии со способом для соединения 1028, за исключением того, что снятие защиты Boc проводили в MeOH вместо EtOAc.

Пример 6: Получение (S)-1-((R)-2-амино-2-(2,3-дигидро-1H-инден-2-ил)ацетил)-N-(4-карбамимидоилбензил)азетидин-2-карбоксамида (1058)

(S)-1-((R)-2-амино-2-(2,3-дигидро-1H-инден-2-ил)ацетил)-N-(4-карбамимидоилбензил)азетидин-2-карбоксамид синтезировали в соответствии со способом для соединения 1028, за исключением того, что гидролиз сложного метилового эфира проводили с 1,5 эквив. LiOH в 1:1 THF-H2O.

Пример 7: Получение (S)-1-((R)-2-амино-2-фенилацетил)-N-(4-карбамимидоилбензил)азетидин-2-карбоксамида (1011)

Раствор метил-(S)-азетидин-2-карбоксилата (100 мг, 0,66 ммоль), (R)-2-((трет-бутоксикарбонил)амино)-2-фенилуксусной кислоты (150 мг, 0,60 ммоль), пиридина (0,16 мл) и EtOAc (0,33 мл) охлаждали при температуре от -20 до -10°C. Раствор пропилфосфонового ангидрида в EtOAc (50% раствор, 0,84 мл) добавляли по каплям с такой скоростью, чтобы поддерживать внутреннюю температуру ниже 0°C. Желтый раствор перемешивали при 0°C в течение 18 ч, затем охлаждали до -10°C и добавляли по каплям 1 M HCl (~1 мл). Реакционную смесь перемешивали при комнатной температуре в течение 2 ч. Добавляли EtOAc, водный слой отделяли и сушили над Na2SO4. Концентрирование в вакууме с последующей хроматографией (50% EtOAc-гексаны) приводило к получению метил-(S)-1-((R)-2-((трет-бутоксикарбонил)амино)-2-фенилацетил)азетидин-2-карбоксилата (80 мг).

Остальные этапы синтеза соединения 1011, (S)-1-((R)-2-амино-2-фенилацетил)-N-(4-карбамимидоилбензил)азетидин-2-карбоксамида, проводили в соответствии с методиками для соединения 1058.

Пример 8: Получение (S)-1-(D-пролил)-N-(4-карбамимидоилбензил)азетидин-2-карбоксамида (1156)

(S)-1-(D-пролил)-N-(4-карбамимидоилбензил)азетидин-2-карбоксамид синтезировали в соответствии с методиками для соединения 1058, за исключением того, что гидролиз сложного метилового эфира проводили с 1,1 эквив. LiOH, и удаление Boc проводили с TFA- CH2Cl2 (0,2 M) при температуре от 0°C до комнатной температуры.

Пример 9: Получение ((R)-2-((S)-2-((4-карбамимидоил-3-гидроксибензил)карбамоил)азетидин-1-ил)-1-циклогексил-2-оксоэтил)глицина (1116)

Этап 1: К ледяному раствору (S)-1-((R)-2-((трет-бутоксикарбонил)амино)-2-циклогексилацетил)азетидин-2-карбоновой кислоты (260 мг, 0,76 ммоль) и DIEA (0,42 мл, 2,4 ммоль) в безводном MeCN (15 мл) добавляли EDC (166 мг, 0,87 ммоль) и HOBt (112 мг, 0,83 ммоль). Смесь перемешивали в течение 5 мин, затем добавляли 6-(аминометил)бензо[d]изоксазол-3-амин гидрохлорид (183 мг, 0,92 ммоль, полученный в соответствии с WO 2001079195). Смесь перемешивали в течение 18 ч, оставляли нагреваться до комнатной температуры, затем концентрировали в вакууме. Осадок растворяли в EtOAc, промывали H2O и рассолом, сушили над Na2SO4 и проводили хроматографию с 65-100% EtOAc-гексанами, с получением 305 мг трет-бутил ((R)-2-((S)-2-(((3-аминобензо[d]изоксазол-6-ил)метил)карбамоил)азетидин-1-ил)-1-циклогексил-2-оксоэтил)карбамата.

Этап 2: Удаление Boc проводили в соответствии с методикой для соединения 1028, за исключением использования MeOH-EtOAc в качестве растворителя, с получением (S)-1-((R)-2-амино-2-циклогексилацетил)-N-((3-аминобензо[d]изоксазол-6-ил)метил)азетидин-2-карбоксамида гидрохлорида.

Этап 3: К раствору (S)-1-((R)-2-амино-2-циклогексилацетил)-N-((3-аминобензо[d]изоксазол-6-ил)метил)азетидин-2-карбоксамида гидрохлорида (160 мг, 0,38 ммоль) в безводном MeCN (10 мл) в атмосфере Ar добавляли DIEA (0,25 мл) и бромбензилацетат (0,08 мл, 0,50 ммоль). Смесь перемешивали при комнатной температуре в течение 15 ч, затем концентрировали в вакууме и повторно растворяли в EtOAc. Раствор промывали H2O и рассолом, сушили (Na2SO4) и проводили хроматографию с 55-100% EtOAc-гексанами, с получением 144 мг бензил((R)-2-((S)-2-(((3-аминобензо[d]изоксазол-6-ил)метил)карбамоил)азетидин-1-ил)-1-циклогексил-2-оксоэтил)глицината.

Этап 4: Бензил ((R)-2-((S)-2-(((3-аминобензо[d]изоксазол-6-ил)метил)карбамоил)азетидин-1-ил)-1-циклогексил-2-оксоэтил)глицинат превращали в соединение 1116, следуя методике для соединения 1028, этап 6.

Пример 10: Получение (S)-1-((R)-2-амино-2-циклогексилацетил)-N-((1-аминоизохинолин-6-ил)метил)азетидин-2-карбоксамида дигидрохлорида (1041)

Этап 1: 6-(аминометил)изохинолин-1-амин и (S)-1-((R)-2-((трет-бутоксикарбонил)амино)-2-циклогексилацетил)азетидин-2-карбоновую кислоту присоединяли, следуя методике для соединения 1116, этап 1. После 15 ч проведения реакции добавляли дополнительно DIEA (1 эквив.), и перемешивание продолжали в течение 24 ч. После концентрирования в вакууме осадок растворяли в EtOAc, промывали раствором NaHCO3, H2O и рассолом, затем сушили (Na2SO4). Хроматография (0-10% MeOH-CH2Cl2) приводила к получению трет-бутил ((R)-2-((S)-2-(((1-аминоизохинолин-6-ил)метил)карбамоил)азетидин-1-ил)-1-циклогексил-2-оксоэтил)карбамата (51% выход).

Этап 2: К раствору трет-бутил((R)-2-((S)-2-(((1-аминоизохинолин-6-ил)метил)карбамоил)азетидин-1-ил)-1-циклогексил-2-оксоэтил)карбамата (0,51 г, 1,0 ммоль) в безводном CH2Cl2 в атмосфере Ar по каплям добавляли NMM (0,5 мл, 4,5 ммоль) и бензилхлорформиат (0,2 мл, 1,4 ммоль). После перемешивания при комнатной температуре в течение 1,5 ч добавляли дополнительно бензилхлорформиат ((0,15 мл, 1,0 ммоль), и смесь перемешивали в течение 2,5 ч. После концентрирования в вакууме добавляли EtOAc и насыщенный водный NaHCO3, и слои разделяли. Органический слой промывали рассолом и сушили (Na2SO4). Хроматография (75-100% EtOAc-гексаны) приводила к получению бензил(6-(((S)-1-((R)-2-((трет-бутоксикарбонил)амино)-2-циклогексилацетил)азетидин-2-карбоксамидо)метил)изохинолин-1-ил)карбамата (79% выход).

Этап 3: Boc-группу бензил(6-(((S)-1-((R)-2-((трет-бутоксикарбонил)амино)-2-циклогексилацетил)азетидин-2-карбоксамидо)метил)изохинолин-1-ил)карбамата удаляли в соответствии с методикой для соединения 1116, этап 2, последующее водное экстрагирование (насыщенный водный NaHCO3/CH2Cl2) приводило к получению бензил(6-(((S)-1-((R)-2-амино-2-циклогексилацетил)азетидин-2-карбоксамидо)метил)изохинолин-1-ил)карбамата (88% выход).

Этап 4: Бензил(6-(((S)-1-((R)-2-амино-2-циклогексилацетил)азетидин-2-карбоксамидо)метил)изохинолин-1-ил)карбамат (163 мг, 0,31 ммоль) подвергали гидрогенолизу в MeOH с 10% Pd/C (24 мг) в 1 атмосфере H2. После того, как реакция не дошла до завершения с увеличенным временем реакции (42 ч); добавляли 6 M HCl (0,5 мл, 3 ммоль). Реакцию смеси проводили в 1 атм. H2 в течение 21 ч, затем смесь фильтровали (0,2 мкМ шприцевой фильтр). Хроматография на 12 г колонке Biotage C-18 (5-30% MeCN-H2O) приводила к получению 49 мг соединения 1041 в виде белого твердого вещества с 40% выходом.

Пример 11: Получение (S)-1-((R)-2-амино-2-циклогексилацетил)-N-(4-гуанидинобутил)азетидин-2-карбоксамида дигидрохлорида (1006)

Этап 1: К ледяному раствору Boc-Agm (Z) (3,0 г, 8,2 ммоль, синтезированного в соответствии с методом, описанным в WO9429335) в EtOAc-MeOH (20 мл, 1:1) добавляли 4 M HCl-диоксан (10 мл). Через 10 мин раствор оставляли нагреваться до комнатной температуры и перемешивали в течение 3 ч. Смесь концентрировали в вакууме, осадок растворяли в EtOAc-MeOH и концентрировали в вакууме. Эту процедуру повторяли, с получением бензил-N-[N-(4-аминобутил)карбамимидоил]карбамата гидрохлорида в виде пены (2,045 г, 82% выход).

Этап 2: (S)-1-((R)-2-((трет-бутоксикарбонил)амино)-2-циклогексилацетил)азетидин-2-карбоновую кислоту и бензил-N-[N-(4-аминобутил)карбамимидоил]карбамат гидрохлорид связывали в соответствии с методикой для соединения 1116, этап 1. Хроматография (0-6% MeOH-CH2Cl2) приводила к получению трет-бутил((R)-1-циклогексил-2-((S)-2-((4-(3-Cbz-гуанидино)бутил)карбамоил)азетидин-1-ил)-2-оксоэтил)карбамата в виде белой пены (435 мг, 84% выход).

Этап 3: Удаление Boc в соответствии с методикой для соединения 1116, этап 2, приводило к получению промежуточного соединения (S)-1-((R)-2-амино-2-циклогексилацетил)-N-(4-(3-Cbz-гуанидино)бутил)азетидин-2-карбоксамида дигидрохлорида в виде белой пены.

Этап 4: Удаление группы Cbz (S)-1-((R)-2-амино-2-циклогексилацетил)-N-(4-(3-Cbz-гуанидино)бутил)азетидин-2-карбоксамида дигидрохлорида проводили в соответствии с методикой для соединения 1028, этап 6, с последующим добавлением концентрированной HCl (~3 ммоль); фильтрование (0,2 мкМ шприцевой фильтр) и концентрирование в вакууме приводило к получению оранжевого масла. Раствор в MeOH неочищенного продукта обрабатывали мелкоизмельченным углем и нагревали при 30°C в течение 30 мин. После охлаждения до комнатной температуры смесь фильтровали (0,2 мкМ шприцевой фильтр) и концентрировали в вакууме, с получением (S)-1-((R)-2-амино-2-циклогексилацетил)-N-(4-гуанидинобутил)азетидин-2-карбоксамида дигидрохлорида в виде бежевой пены (306 мг).

Пример 12: Получение (S)-1-((R)-2-амино-2-циклогексилацетил)-N-(3-гуанидинопропил)азетидин-2-карбоксамида гидрохлорида (1004)

Этап 1: С 10-окса-2,4,8-триазадодекановой кислоты, 3-имино-11,11-диметил-9-оксо-, фенилметилового сложного эфира (синтезированного в соответствии с методом, описанным в WO9429335) снимали защиту в соответствии с методикой для соединения 1006, этап 1, с получением карбаминовой кислоты, [[(3-аминопропил)амино]иминометил]-, бензилового сложного эфира гидрохлорида в виде белой пены.

Этап 2: (S)-1-((R)-2-((трет-бутоксикарбонил)амино)-2-циклогексилацетил)азетидин-2-карбоновую кислоту и карбаминовую кислоту, [[(4-аминопропил)амино]иминометил]-, бензиловый сложный эфир гидрохлорид связывали, с последующим снятием защиты, в соответствии с методикой для соединения 1006, с получением (S)-1-((R)-2-амино-2-циклогексилацетил)-N-(3-гуанидинопропил)азетидин-2-карбоксамида гидрохлорида в виде белой пены (279 мг, 74% выход для трех этапов).

Пример 13: Получение (S)-2-((R)-2-амино-2-(2,3-дигидро-1H-инден-2-ил)ацетамидо)-N-((1-аминоизохинолин-6-ил)метил)пропанамида дигидрохлорида (1088)

Этап 1: Бензил((R)-2-((трет-бутоксикарбонил)амино)-2-(2,3-дигидро-1H-инден-2-ил)ацетил)-L-аланинат (3,6 г, 7,96 ммоль, полученный в соответствии с методикой для соединения 1116, этап 1) гидрогенизировали 10% Pd/C в MeOH в соответствии с методикой для соединения 1028, этап 6. Неочищенный материал кристаллизовали из теплой смеси EtOH-H2O; твердое вещество собирали на воронке с пористым фильтром и промывали H2O, с получением ((R)-2-((трет-бутоксикарбонил)амино)-2-(2,3-дигидро-1H-инден-2-ил)ацетил)-L-аланина в виде белого порошка (2,45 г, 85% выход).

Этап 2: К раствору ((R)-2-((трет-бутоксикарбонил)амино)-2-(2,3-дигидро-1H-инден-2-ил)ацетил)-L-аланина (291 мг, 0,80 ммоль) в безводном DMF (2,5 мл) добавляли 6-(аминометил)изохинолин-1-амин дигидрохлорид (252 мг, 1,0 ммоль) и DIEA (0,54 мл, 3,1 ммоль), с получением желтовато-коричневой суспензии. Добавляли HBTU (349 мг, 0,92 ммоль) в двух аликвотах, затем дополнительно безводный DMF (0,4 мл). После перемешивания в течение 50 мин при комнатной температуре добавляли дополнительно HBTU (18 мг, 0,05 ммоль). Реакционную смесь перемешивали в течение 90 мин, затем концентрировали в вакууме. Осадок растворяли в EtOAc-CH2Cl2, промывали 5% водным NaHCO3 и рассолом, затем сушили (Na2SO4). Хроматография (0-10% MeOH-CH2Cl2) приводила к получению трет-бутил((R)-2-(((S)-1-(((1-аминоизохинолин-6-ил)метил)амино)-1-оксопропан-2-ил)амино)-1-(2,3-дигидро-1H-инден-2-ил)-2-оксоэтил)карбамата (398 мг, 95% выход).

Этап 3: К ледяному раствору трет-бутил((R)-2-(((S)-1-(((1-аминоизохинолин-6-ил)метил)амино)-1-оксопропан-2-ил)амино)-1-(2,3-дигидро-1H-инден-2-ил)-2-оксоэтил)карбамата (130 мг, 0,25 ммоль) в MeOH (2 мл) добавляли 4 M HCl-диоксан (3 мл). Смесь перемешивали в течение 40 мин, затем оставляли нагреваться до комнатной температуры. После перемешивания в общей сложности в течение 4 ч раствор концентрировали в вакууме. Осадок растворяли в минимальном количестве MeOH и растирали с Et2O. Смесь нагревали в течение 30 мин при 30-40°C, затем охлаждали до комнатной температуры. Твердое вещество собирали на воронке с пористым фильтром и промывали Et2O. Твердое вещество сушили в вакууме при комнатной температуре, с получением (S)-2-((R)-2-амино-2-(2,3-дигидро-1H-инден-2-ил)ацетамидо)-N-((1-аминоизохинолин-6-ил)метил)пропанамида в виде не совсем белого твердого вещества (107 мг, 93% выход).

Пример 14: Получение (S)-2-((R)-2-амино-2-(2,3-дигидро-1H-инден-2-ил)ацетамидо)-N-(4-(N-метилкарбамимидоил)бензил)пропенамида дигидрохлорида (1062)

Этап 1: ((R)-2-((трет-бутоксикарбонил)амино)-2-(2,3-дигидро-1H-инден-2-ил)ацетил)-L-аланин связывали с 4-(аминометил)-N-метилбензимидамид дигидрохлоридом (синтезированным в соответствии с WO2003028729, за исключением того, что использовали одну защитную группу Boc в синтетической последовательности) в соответствии с методикой для соединения 1088, этап 2, при температуре от 15°C до комнатной температуры в течение 16 ч. После экстрагирования 10% MeOH-CH2Cl2, хроматография (0-10% (7 M NH3-MeOH)-CH2Cl2) приводила к получению трет-бутил((R)-1-(2,3-дигидро-1H-инден-2-ил)-2-(((S)-1-((4-(N-метилкарбамимидоил)бензил)амино)-1-оксопропан-2-ил)амино)-2-оксоэтил)карбамата, который был загрязнен диметилбензамидиновым производным. Очистка методом ВЭЖХ (4-45%, затем 70% MeCN-H2O) приводила к умеренному разделению двух продуктов. Лиофилизация наиболее чистых фракций приводила к получению трет-бутил((R)-1-(2,3-дигидро-1H-инден-2-ил)-2-(((S)-1-((4-(N-метилкарбамимидоил)бензил)амино)-1-оксопропан-2-ил)амино)-2-оксоэтил)карбамата в виде белого твердого вещества (73 мг, 23% выход).

Этап 2: С трет-бутил((R)-1-(2,3-дигидро-1H-инден-2-ил)-2-(((S)-1-((4-(N-метил карбамимидоил)бензил)амино)-1-оксопропан-2-ил)амино)-2-оксоэтил)карбамата снимали защиту в соответствии с методикой для соединения 1088, этап 3. Осадок растирали с Et2O-EtOAc с обработкой ультразвуком, с получением (S)-2-((R)-2-амино-2-(2,3-дигидро-1H-инден-2-ил)ацетамидо)-N-(4-(N-метилкарбамимидоил)бензил)пропенамида дигидрохлорида в виде светло-желтого твердого вещества (62 мг).

Пример 15: Получение (R)-2-амино-N-((S)-1-((2-(6-аминопиридин-3-ил)этил)амино)-1-оксопропан-2-ил)-4-фенилбутанамида дигидрохлорида (1015)

Этап 1: Трет-бутил-N-[(трет-бутокси)карбонил]-N-(5-метилпиридин-2-ил)карбамат (синтезированный в соответствии с WO2010141406) бромировали, следуя модифицированной методике, также описанной в WO2010141406, следующим образом. Трет-бутил-N-[(трет-бутокси)карбонил]-N-(5-метилпиридин-2-ил)карбамат (2,118 г, 6,87 ммоль) частично растворяли в CCl4 (60 мл). К этой смеси добавляли NBS (1,22 г, 6,86 ммоль) и бензоил пероксид (0,21 г, 0,65 ммоль). Смесь нагревали при 80°C в течение 20 ч. После охлаждения до комнатной температуры смесь разбавляли CH2Cl2 и промывали насыщенным водным NaHCO3 2x, 5% водным NaHCO3 и рассолом, затем сушили (Na2SO4) и концентрировали в вакууме, с получением неочищенного ди-трет-бутил-5-(бромметил)пиридин-2-илиминодикарбоната (2,6 г).

Этап 2: К раствору неочищенного ди-трет-бутил-5-(бромметил)пиридин-2-илиминодикарбоната (2,2 г) в CH2Cl2 (40 мл) добавляли H2O, NaCN (0,85 г, 17,3 ммоль) и Bu4NI (6,4 г, 17,3 ммоль). Смесь энергично перемешивали при комнатной температуре в течение 19 ч, затем разбавляли CH2Cl2 и промывали насыщенным водным NaHCO3 2x, H2O и рассолом. Сушили (Na2SO4) и концентрировали в вакууме, затем проводили хроматографию (0-40% EtOAc-гексаны), с получением ди-трет-бутил-5-(цианометил)пиридин-2-илиминодикарбоната (0,84 г).

Этап 3: К раствору ди-трет-бутил-5-(цианометил)пиридин-2-илиминодикарбоната (370 мг, 1,1 ммоль) в MeOH (5 мл) добавляли CoCl2-6H2O (292 мг, 1,2 ммоль) и ди-трет-бутилдикарбонат (470 мг, 2,2 ммоль). Раствор охлаждали в ледяной/EtOH бане в течение 4 мин, затем добавляли NaBH4 (165 мг, 4,4 ммоль) в трех аликвотах в течение 25 мин. Смесь перемешивали в течение 20 мин, затем оставляли нагреваться до комнатной температуры и перемешивали в течение 75 мин. Реакционную смесь гасили 0,5 M KHSO4 в 0,5-мл аликвотах до pH=2. Водную смесь экстрагировали 5% MeOH-CH2Cl2 несколько раз, затем водный слой доводили до pH 4-5 путем добавления нескольких капель 2 M NaOH. Проводили дополнительное экстрагирование CH2Cl2. Объединенные органические слои промывали рассолом, сушили (Na2SO4) и концентрировали в вакууме, с получением желтого масла. Хроматография (0-45% EtOAc-гексаны) приводила к получению трет-бутил(трет-бутоксикарбонил)(5-(2-((трет-бутоксикарбонил)амино)этил)пиридин-2-ил)карбамата, который был загрязнен 10% исходного материала (320 мг, 66% выход неочищенного).

Этап 4: Проводили реакцию трет-бутил(трет-бутоксикарбонил)(5-(2-((трет-бутоксикарбонил)амино)этил)пиридин-2-ил)карбамата (320 мг, 0,73 ммоль) с концентрированным раствором HCl-MeOH (4 мл), полученным путем насыщения MeOH HCl (г). После перемешивания в течение 4 ч добавляли Et2O, и смесь концентрировали в вакууме. Растирание с MeOH-Et2O приводило к получению ппт, который собирали на воронке с пористым фильтром и промывали Et2O и гексанами. Выделяли 5-(аминоэтил)пиридин-2-амин дигидрохлорид (135 мг, 76% выход).

Этап 5: ((R)-2-((трет-бутоксикарбонил)амино)-4-фенилбутаноил)-L-аланин присоединяли к 5-(2-аминоэтил)пиридин-2-амину дигидрохлориду, с получением трет-бутил((R)-1-(((S)-1-((2-(6-аминопиридин-3-ил)этил)амино)-1-оксопропан-2-ил)амино)-1-оксо-4-фенилбутан-2-ил)карбамата, следуя методике для соединения 1088, этап 2, при температуре от 10°C до комнатной температуры в течение 3 ч (94% выход).

Этап 6: Снятие защиты с трет-бутил((R)-1-(((S)-1-((2-(6-аминопиридин-3-ил)этил)амино)-1-оксопропан-2-ил)амино)-1-оксо-4-фенилбутан-2-ил)карбамата при помощи HCl-MeOH приводило к получению (R)-2-амино-N-((S)-1-((2-(6-аминопиридин-3-ил)этил)амино)-1-оксопропан-2-ил)-4-фенилбутанамида дигидрохлорида после кристаллизации из MeOH-MeCN (49 мг, 27% выход).

Пример 16: Получение (R)-2-амино-N-((S)-1-(((4-аминохиназолин-7-ил)метил)амино)-1-оксопропан-2-ил)-4-фенилбутанамида дигидрохлорида (1060)

Этап 1: 7-(аминометил)хиназолин-4-амин синтезировали из 7-бромхиназолин-4-амина в два этапа методом, описанным в WO2015103317.

Этап 2: Трет-бутил((R)-1-(((S)-1-(((4-аминохиназолин-7-ил)метил)амино)-1-оксопропан-2-ил)амино)-1-оксо-4-фенилбутан-2-ил)карбамат синтезировали путем связывания 7-(аминометил)хиназолин-4-амина и ((R)-2-((трет-бутоксикарбонил)амино)-4-фенилбутаноил)-L-аланина в соответствии с методикой для соединения 1088, этап 2, при 0-5°C.

Этап 3: Снятие защиты трет-бутил((R)-1-(((S)-1-(((4-аминохиназолин-7-ил)метил)амино)-1-оксопропан-2-ил)амино)-1-оксо-4-фенилбутан-2-ил)карбамата при помощи MeOH и 3 M HCl-CPME приводило к получению (R)-2-амино-N-((S)-1-(((4-аминохиназолин-7-ил)метил)амино)-1-оксопропан-2-ил)-4-фенилбутанамида дигидрохлорида в виде белого порошка (50 мг, 96% выход).

Пример 17: Получение (R)-2-амино-N-((S)-1-(((1-аминоизохинолин-6-ил)метил)амино)-1-оксопропан-2-ил)-N-метил-4-(3-(трифторметил)фенил)бутанамида дигидрохлорида (1139)

Этап 1: (R)-2-((трет-бутоксикарбонил)амино)-4-(3-(трифторметил)фенил)бутановую кислоту присоединяли к метил-L-аланинату в соответствии со способом для соединения 1116, этап 1, с получением метил-N-((R)-2-((трет-бутоксикарбонил)амино)-4-(3-(трифторметил)фенил)бутаноил)-N-метил-L-аланината.

Этап 2: N-((R)-2-((трет-бутоксикарбонил)амино)-4-(3-(трифторметил)фенил)бутаноил)-N-метил-L-аланин синтезировали из метил-N-((R)-2-((трет-бутоксикарбонил)амино)-4-(3-(трифторметил)фенил)бутаноил)-N-метил-L-аланината в соответствии с методом гидролиза сложного эфира для соединения 1058.

Этап 3: N-((R)-2-((трет-бутоксикарбонил)амино)-4-(3-(трифторметил)фенил)бутаноил)-N-метил-L-аланин присоединяли к 6-(аминометил)изохинолин-1-амину дигидрохлориду в соответствии с вышеизложенными методами, с получением трет-бутил((R)-1-(((S)-1-(((1-аминоизохинолин-6-ил)метил)амино)-1-оксопропан-2-ил)(метил)амино)-1-оксо-4-(3-(трифторметил)фенил)бутан-2-ил)карбамата.

Этап 4: С трет-бутил((R)-1-(((S)-1-(((1-аминоизохинолин-6-ил)метил)амино)-1-оксопропан-2-ил)(метил)амино)-1-оксо-4-(3-(трифторметил)фенил)бутан-2-ил)карбамата снимали защиту при помощи MeOH и 3 M HCl-CPME в соответствии с вышеизложенными методами, с получением (R)-2-амино-N-((S)-1-(((1-аминоизохинолин-6-ил)метил)амино)-1-оксопропан-2-ил)-N-метил-4-(3-(трифторметил)фенил)бутанамида дигидрохлорида.

Пример 18: Получение 2-амино-N-((S)-1-(((2-амино-1H-бензо[d]имидазол-6-ил)метил)амино)-1-оксопропан-2-ил)-4-фенилбутанамида ди-трифторацетатной соли (1040)

Этап 1: ((R)-2-((трет-бутоксикарбонил)амино)-4-фенилбутаноил)-L-аланин присоединяли к 6-(аминометил)-1H-бензо[d]имидазол-2-амину дигидрохлориду в соответствии с методикой для соединения 1088, этап 2, за исключением того, что реакцию проводили при комнатной температуре и 6-(аминометил)-1H-бензо[d]имидазол-2-амин дигидрохлорид добавляли к реакционной смеси последним. Реакционную смесь перемешивали в течение 18 ч, после чего смесь концентрировали в вакууме. Осадок разбавляли CH2Cl2 и промывали 5% водным NaHCO3, сушили (Na2SO4) и проводили хроматографию с 10% MeOH (содержащим 7 M NH3)-CH2Cl2, с получением трет-бутил((R)-1-(((S)-1-(((2-амино-1H-бензо[d]имидазол-6-ил)метил)амино)-1-оксопропан-2-ил)амино)-1-оксо-4-фенилбутан-2-ил)карбамата с 32% выходом.

Этап 2: С трет-бутил((R)-1-(((S)-1-(((2-амино-1H-бензо[d]имидазол-6-ил)метил)амино)-1-оксопропан-2-ил)амино)-1-оксо-4-фенилбутан-2-ил)карбамата снимали защиту при помощи HCl-MeOH, как описано в вышеизложенных методах, с получением 2-амино-N-((S)-1-(((2-амино-1H-бензо[d]имидазол-6-ил)метил)амино)-1-оксопропан-2-ил)-4-фенилбутанамида дигидрохлорида. Соединение очищали методом ВЭЖХ (2-15-35-90% MeCN-H2O), с получением 2-амино-N-((S)-1-(((2-амино-1H-бензо[d]имидазол-6-ил)метил)амино)-1-оксопропан-2-ил)-4-фенилбутанамида ди-трифторацетатной соли, изомера 2.

Пример 19: Получение (R)-2-амино-N-((S)-1-((2-(2-аминопиридин-4-ил)этил)амино)-1-оксопропан-2-ил)-4-фенилбутанамида дигидрохлорида (1016)

Этап 1: ((R)-2-((трет-бутоксикарбонил)амино)-4-фенилбутаноил)-L-аланин присоединяли к 4-(2-аминоэтил)пиридин-2-амину дигидрохлориду, с получением трет-бутил((R)-1-(((S)-1-((2-(2-аминопиридин-4-ил)этил)амино)-1-оксопропан-2-ил)амино)-1-оксо-4-фенилбутан-2-ил)карбамата в соответствии с методикой для соединения 1088, этап 2, за исключением того, что реакцию проводили при температуре от 10-15°C до комнатной температуры.

Этап 2: С трет-бутил((R)-1-(((S)-1-((2-(2-аминопиридин-4-ил)этил)амино)-1-оксопропан-2-ил)амино)-1-оксо-4-фенилбутан-2-ил)карбамата снимали защиту при помощи HCl-MeOH в соответствии с вышеизложенными методами, с получением соединения 1016 (80 мг, 89% выход).

Пример 20: Получение (R)-2-амино-N-((S)-1-((4-карбамимидоилбензил)амино)-1-оксопропан-2-ил)-4-(4-(трифторметил)фенил)бутанамида дигидрохлорида (1119)

Этап 1: К раствору (R)-2-((трет-бутоксикарбонил)амино)-4-(4-(трифторметил)фенил)бутановой кислоты (500 мг, 1,44 ммоль) в безводном MeCN (30 мл) добавляли HOBt (1,1 эквив., 1,58 ммоль), DIEA (4,0 эквив., 5,76 ммоль) и EDC (1,1 эквив., 1,58 ммоль) с перемешиванием при комнатной температуре в течение 30 мин. Добавляли бензил-L-аланинат гидрохлорид (1,1 эквив., 1,58 ммоль) и перемешивали в течение ночи. Раствор выпаривали до сухого состояния, и осадок распределяли между EtOAc (60 мл) и 10% KHSO4 (50 мл). Органический слой отделяли и промывали H2O (30 мл), насыщенным Na2CO3 (60 мл), сушили (Na2SO4) и выпаривали, получая бензил((R)-2-((трет-бутоксикарбонил)амино)-4-(4-(трифторметил)фенил)бутаноил)-L-аланинат (512 мг, 70%) в виде масла, достаточно чистого для использования на следующем этапе.

Этап 2: Раствор бензил((R)-2-((трет-бутоксикарбонил)амино)-4-(4-(трифторметил)фенил)бутаноил)-L-аланината (512 мг, 1,01 ммоль) в MeOH (20 мл) дегазировали потоком Ar в течение 2-3 мин. Добавляли 10% Pd/C (50 мг) и применяли вакуум в течение примерно 3 мин. Подключали баллон H2, и за реакцией следили по расходу исходного материала (как правило, 1-4 ч). Катализатор удаляли фильтрованием, и раствор выпаривали до сухого состояния, получая ((R)-2-((трет-бутоксикарбонил)амино)-4-(4-(трифторметил)фенил)бутаноил)-L-аланин в виде рыхлого белого твердого вещества (420 мг, 100%).

Этап 3: К раствору ((R)-2-((трет-бутоксикарбонил)амино)-4-(4-(трифторметил)фенил)бутаноил)-L-аланина (400 мг, 0,956 ммоль) в CH2Cl2 (15 мл) добавляли NHS (1,1 эквив., 1,05 ммоль) с перемешиванием при комнатной температуре до растворения. Добавляли DCC (1,1 эквив., 1,05 ммоль) и перемешивали в течение 1,0 ч. Эту смесь вливали в разделительную воронку, содержащую насыщенный NaHCO3 (15 мл) и бензил((4-(аминометил)фенил)(имино)метил)карбамат гидрохлорид (1,2 эквив., 1,15 ммоль), а затем встряхивали в течение 5 мин. Органический слой фильтровали через слой безводного Na2SO4 и выпаривали до сухого состояния. Флэш-хроматография (3% 7 Н NH3 в MeOH/CH2Cl2) приводила к получению трет-бутил((R)-1-(((S)-1-((4-(N-((бензилокси)карбонил)карбамимидоил)бензил)амино)-1-оксопропан-2-ил)амино)-1-оксо-4-(4-(трифторметил)фенил)бутан-2-ил)карбамата в виде масла (477 мг, 73%). [В некоторых случаях продукты можно было собирать фильтрованием после уменьшения объема слоя CH2Cl2. Эти продукты содержали небольшое количество DCU, который удаляли на конечном этапе синтеза фильтрованием из H2O.]

Этап 4: К трет-бутил((R)-1-(((S)-1-((4-(N-((бензилокси)карбонил)карбамимидоил)бензил)амино)-1-оксопропан-2-ил)амино)-1-оксо-4-(4-(трифторметил)фенил)бутан-2-ил)карбамату (460 мг, 0,673 ммоль) добавляли раствор MeOH/HCl (5,0 мл, 227 мг HCl/мл) с перемешиванием при комнатной температуре контролируя расход исходного материала. Раствор выпаривали до сухого состояния, добавляли MeOH (15 мл) и выпаривали до сухого состояния, получая бензил((4-(((S)-2-((R)-2-амино-4-(4-(трифторметил)фенил)бутанамидо)пропанамидо)метил)фенил)(имино)метил)карбамат гидрохлорид в виде белого твердого вещества, достаточно чистого для использования на следующем этапе (420 мг, 100%).

Этап 5: Раствор бензил((4-(((S)-2-((R)-2-амино-4-(4-(трифторметил)фенил)бутанамидо)пропанамидо)метил)фенил)(имино)метил)карбамата гидрохлорида (420 мг, 0,677 ммоль) в MeOH (10 мл) дегазировали потоком Ar в течение 2-3 мин. Добавляли 10% Pd/C (50 мг) и применяли вакуум в течение примерно 3 мин. Подключали баллон H2, и за реакцией следили по расходу исходного материала (как правило, 1-2 ч). Катализатор удаляли фильтрованием, затем добавляли 4 капли концентрированной HCl, и раствор выпаривали до сухого состояния. К осадку добавляли H2O (2-3 мл). Затем смесь фильтровали и лиофилизировали, получая (R)-2-амино-N-((S)-1-((4-карбамимидоилбензил)амино)-1-оксопропан-2-ил)-4-(4-(трифторметил)фенил)бутанамид дигидрохлорид в виде не совсем белого твердого вещества (350 мг, 100%).

Пример 21: Получение (R)-2-амино-N-((S)-1-((4-(N-гидроксикарбамимидоил)бензил)амино)-1-оксопропан-2-ил)-4-фенилбутанамида дигидрохлорида (1157)

Этап 1: К раствору трет-бутил((R)-1-(((S)-1-((4-цианобензил)амино)-1-оксопропан-2-ил)амино)-1-оксо-4-фенилбутан-2-ил)карбамата (660 мг, 1,42 ммоль), полученного в соответствии с методикой для соединения 1119, этап 3, с использованием 4-цианобензиламин-HCl в MeOH (20 мл) добавляли гидроксиламин-HCl (1,5 эквив., 2,13 ммоль) и Et3N (1,5 эквив., 2,13 ммоль). Эту смесь нагревали с обратным холодильником в течение 4 ч, выпаривали до сухого состояния, и затем распределяли между H2O (15 мл) и EtOAc (2×30 мл.) Объединенные органические слои сушили над безводным Na2SO4 и выпаривали. Хроматография (50% EtOAc-гексаны) приводила к получению трет-бутил((R)-1-(((S)-1-((4-(N-гидроксикарбамимидоил)бензил)амино)-1-оксопропан-2-ил)амино)-1-оксо-4-фенилбутан-2-ил)карбамата в виде белого твердого вещества (417 мг, 59%).

Этап 2: С промежуточного соединения снимали защиту в соответствии с методикой для соединения 1119, этап 4, с получением (R)-2-амино-N-((S)-1-((4-(N-гидроксикарбамимидоил)бензил)амино)-1-оксопропан-2-ил)-4-фенилбутанамида дигидрохлорида (то есть, соединения 1157).

Пример 22: Получение (R)-N-(S)-1-((4-карбамимидоилбензил)амино)-1-оксопропан-2-ил)-4-фенил-2,5-дигидро-1H-пиррол-2-карбоксамид ди-трифторацетата (1032)

(2R,4S)-N-((S)-1-((4-карбамимидоилбензил)амино)-1-оксопропан-2-ил)-4-гидрокси-4-фенилпирролидин-2-карбоксамид дигидрохлорид (45 мг, 0,093 ммоль) перемешивали в TFA (5,0 мл) в течение 48 ч при комнатной температуре. Раствор выпаривали до сухого состояния, и осадок очищали методом обращенно-фазовой ВЭЖХ (5-45-75-90% MeCN-H2O). (R)-N-(S)-1-((4-карбамимидоилбензил)амино)-1-оксопропан-2-ил)-4-фенил-2,5-дигидро-1H-пиррол-2-карбоксамид ди-трифторацетат выделяли в виде белого твердого вещества (15 мг, 26% выход).

Пример 23: Получение (2R)-2-амино-N-(1-((4-карбамимидоилбензил)амино)-3-фтор-1-оксопропан-2-ил)-4-фенилбутанамида дигидрохлорида (1050)

Этап 1: Трет-бутил(1-((4-(N-((бензилокси)карбонил)карбамимидоил)бензил)амино)-3-фтор-1-оксопропан-2-ил)карбамат синтезировали из 2-((трет-бутоксикарбонил)амино)-3-фторпропионовой кислоты и бензил((4-(аминометил)фенил)(имино)метил)карбамата гидрохлорида в соответствии с методикой для соединения 1119, этап 3.

Этап 2: С трет-бутил(1-((4-(N-((бензилокси)карбонил)карбамимидоил)бензил)амино)-3-фтор-1-оксопропан-2-ил)карбамата снимали защиту в соответствии с методикой для соединения 1119, этап 4, с получением бензил((4-((2-амино-3-фторпропанамидо)метил)фенил)(имино)метил)карбамата гидрохлорида.

Этап 3: Бензил((4-((2-((R)-2-амино-4-фенилбутанамидо)-3-фторпропанамидо)метил)фенил)(имино)метил)карбамат гидрохлорид синтезировали из бензил((4-((2-амино-3-фторпропанамидо)метил)фенил)(имино)метил)карбамата гидрохлорида и (R)-2-((трет-бутоксикарбонил)амино)-4-фенилбутановой кислоты в соответствии с методикой для соединения 1119, этап 3.

Этап 4: Бензил((4-((2-((R)-2-амино-4-фенилбутанамидо)-3-фторпропанамидо)метил)фенил)(имино)метил)карбамат гидрохлорид синтезировали из бензил((4-((2-((R)-2-амино-4-фенилбутанамидо)-3-фторпропанамидо)метил)фенил)(имино)метил)карбамата гидрохлорида в соответствии с методикой для соединения 1119, этап 4.

Этап 5: (2R)-2-амино-N-(1-((4-карбамимидоилбензил)амино)-3-фтор-1-оксопропан-2-ил)-4-фенилбутанамид дигидрохлорид (1050) синтезировали из бензил((4-((2-((R)-2-амино-4-фенилбутанамидо)-3-фторпропанамидо)метил)фенил)(имино)метил)карбамата гидрохлорида в соответствии с методикой для соединения 1119, этап 5.

Пример 24: Получение (R)-N-((S)-1-((4-карбамимидоилбензил)амино)-1-оксопропан-2-ил)-2-(циклогексиламино)-4-фенилбутанамида дигидрохлорида (1130)

Этап 1: Бензил((4-(((S)-2-((R)-2-амино-4-фенилбутанамидо)пропанамидо)метил)фенил)(имино)метил)карбамат (1,9 г, 41% выход в 4 этапах) синтезировали методом, аналогичным методу, используемому для соединения 1119, за исключением того, что неочищенный продукт очищали хроматографией (10% MeOH-CH2Cl2 и затем 5% 7 Н NH3 в MeOH- CH2Cl2).

Этап 2: В 20-мл сцинтилляционный флакон добавляли бензил((4-(((S)-2-((R)-2-амино-4-фенилбутанамидо)пропанамидо)метил)фенил)(имино)метил)карбамат (55,1 мг, 0,107 ммоль), а затем THF (400 мкл). Раствор обрабатывали циклогексаноном (15 мкл, 0,145 ммоль) при комнатной температуре, а затем твердым Na(OAc)3 (32 мг, 0,151 ммоль) и HOAc (10 мкл, 0,175 ммоль). После продувания N2 флакон закрывали крышкой. Реакционную смесь перемешивали при комнатной температуре в течение 4 ч и гасили примерно 15 мл насыщенного раствора NaHCO3. Полученную смесь экстрагировали 15 мл CH2Cl2 (3 раза). Органические слои объединяли, промывали рассолом, сушили (Na2SO4), фильтровали в вакууме и выпаривали в вакууме. Неочищенный продукт растворяли в CH2Cl2 и адсорбировали на силикагеле. Очищение хроматографией (0-5% MeOH-CH2Cl2) приводило к получению бензил((4-(((S)-2-((R)-2-(циклогексиламино)-4-фенилбутанамидо)пропанамидо)метил)фенил)(имино)метил)карбамата (44 мг, 69% выход).

Этап 3: Раствор бензил((4-(((S)-2-((R)-2-(циклогексиламино)-4-фенилбутанамидо)пропанамидо)метил)фенил)(имино)метил)карбамата (44 мг, 0,0736 ммоль) в MeOH (1,0 мл) обрабатывали 10% Pd/C (8,1 мг, 0,00761 ммоль) при комнатной температуре. Воздух удаляли из реакционного аппарата с помощью собственной линии N2 (5 раз). Добавляли H2 из баллона, с перемешиванием в течение ночи. Реакционную смесь фильтровали через 0,25-мкм шприцевой фильтр. Летучие вещества выпаривали в вакууме, с получением (R)-N-((S)-1-((4-карбамимидоилбензил)амино)-1-оксопропан-2-ил)-2-(циклогексиламино)-4-фенилбутанамида, соединение 1130 (25,3 мг, 69% выход).

Пример 25: Получение (R)-N-((S)-1-((4-карбамимидоилбензил)амино)-1-оксопропан-2-ил)-2-((4-гидроксибензил)амино)-4-фенилбутанамида дигидрохлорида (1140)

(R)-N-((S)-1-((4-карбамимидоилбензил)амино)-1-оксопропан-2-ил)-2-((4-гидроксибензил)амино)-4-фенилбутанамид (17,7 мг, 30% выход за 2 этапа) синтезировали методом, аналогичным методу, используемому для соединения 1130, за исключением того, что неочищенный продукт очищали методом обращенно-фазовой ВЭЖХ (5-45-75-90% MeCN-H2O).

Пример 26: Получение (R)-N-((S)-1-((4-карбамимидоилбензил)амино)-1-оксопропан-2-ил)-4-фенил-2-((4-(пиперазин-1-ил)бензил)амино)бутанамида, трифторацетатной соли (1148)

Этап 1: Прозрачный раствор 4-(пиперазин-1-ил)бензальдегида (502 мг, 2,68 ммоль) в CH2Cl2 (10 мл) обрабатывали DIEA (0,900 мл, 5,17 ммоль) при комнатной температуре в атмосфере N2, и реакционная смесь превращалась в светло-желтый раствор. Добавляли бензилхлорформиат (0,450 мл, 3,19 ммоль). Реакционная смесь постепенно становилась раствором глубокого чистого красного цвета. После перемешивания при комнатной температуре в течение ночи реакционную смесь промывали 20 мл 1 Н раствора HCl (2 раза). Органический слой промывали рассолом, сушили (Na2SO4), фильтровали в вакууме и выпаривали в вакууме. Очистка флэш-хроматографией (0-100% EtOAc-гексаны) приводила к получению бензил-4-(4-формилфенил)пиперазин-1-карбоксилата (606 мг, 70% выход).

Этап 2: (R)-N-((S)-1-((4-карбамимидоилбензил)амино)-1-оксопропан-2-ил)-4-фенил-2-((4-(пиперазин-1-ил)бензил)амино)бутанамид (3,4 мг, 2,8% выход за 2 этапа) синтезировали способом, аналогичным способу для соединения 1130, этапы 1 и 2, за исключением того, что неочищенный продукт очищали методом обращенно-фазовой ВЭЖХ в условиях (5-15-90% MeCN-H2O), аналогичных тем, которые использовали для соединения 1140.

Пример 27: Получение (R)-2-((5-аминопентил)амино)-N-((S)-1-((4-карбамимидоилбензил)амино)-1-оксопропан-2-ил)-4-фенилбутанамида тригидрохлорида (1132)

Этап 1: Трет-бутил(5-(((R)-1-(((S)-1-((4-карбамимидоилбензил)амино)-1-оксопропан-2-ил)амино)-1-оксо-4-фенилбутан-2-ил)амино)пентил)карбамат синтезировали способом, аналогичным способу этапа 1, который использовали для соединения 1130 (461,4 мг, 63% выход).

Этап 2: Бензил((4-(((S)-2-((R)-2-((5-аминопентил)амино)-4-фенилбутанамидо)пропанамидо)метил)фенил)(имино)метил)карбамат (неочищенный) синтезировали методом, аналогичным методу, используемому для соединения 1119.

Этап 3: (R)-2-((5-аминопентил)амино)-N-((S)-1-((4-карбамимидоилбензил)амино)-1-оксопропан-2-ил)-4-фенилбутанамид синтезировали способом, аналогичным способу этапа 2, который использовали для соединения 1130 (18,4 мг, 21% выход за 2 этапа), за исключением того, что неочищенный продукт очищали методом обращенно-фазовой ВЭЖХ (5-45-75-90% MeCN-H2O); (18,4 мг, 21% выход за 2 этапа).

Пример 28: Получение (R)-2-(((R)-2-амино-3-фенилпропил)амино)-N-((S)-1-((4-карбамимидоилбензил)амино)-1-оксопропан-2-ил)-4-фенилбутанамида, три-трифторацетатной соли (1144)

(R)-2-(((R)-2-амино-3-фенилпропил)амино)-N-((S)-1-((4-карбамимидоилбензил)амино)-1-оксопропан-2-ил)-4-фенилбутанамид синтезировали методом, аналогичным методу, используемому для соединения 1132, за исключением того, что неочищенный продукт очищали методом обращенно-фазовой ВЭЖХ (5-60-90% MeCN-H2O); (13,6 мг, 12% выход за 3 этапа).

Пример 29: Получение (S)-2-(((R)-2-амино-4-фенилбутил)амино)-N-(4-карбамимидоилбензил)пропанамида дигидрохлорида (1013)

Этап 1: Раствор (R)-2-((трет-бутоксикарбонил)амино)-4-фенилбутановой кислоты (694,9 мг, 2,49 ммоль) в THF (1 мл) обрабатывали 1 M раствором комплекса боран-тетрагидрофуран (4,2 мл, 4,2 ммоль) при 0°C в ледяной бане в атмосфере N2. Газ вырабатывался умеренно. Реакционную смесь нагревали до комнатной температуры с перемешиванием в течение 4 ч. H2O медленно добавляли шприцем. Газ вырабатывался бурно. Полученную смесь экстрагировали 30 мл CH2Cl2 (3 раза) после добавления 30 мл насыщенного раствора NH4Cl. Органические слои объединяли, сушили (Na2SO4), фильтровали в вакууме и выпаривали в вакууме. Очистка хроматографией (0-100% EtOAc-гексаны) приводила к получению трет-бутил(R)-(1-гидрокси-4-фенилбутан-2-ил)карбамата (263,4 мг, 40% выход).

Этап 2: Раствор трет-бутил(R)-(1-гидрокси-4-фенилбутан-2-ил)карбамата (263,4 мг, 0,993 ммоль) в CH2Cl2 (17 мл) обрабатывали периодинаном Десса-Мартина (468,9 мг, 1,10 ммоль, 1,1 экв.) при 0°C. Реакционную смесь перемешивали при той же температуре в течение 2,5 ч. Реакционная смесь становилась непрозрачной, и ее добавляли к раствору 1 M Na2S2O3 (20 мл) и 1 M NaHCO3 (20 мл) при комнатной температуре. Полученную смесь перемешивали при комнатной температуре в течение 15 мин, смесь становилась бесцветной. Органический слой отделяли, и водный слой экстрагировали CH2Cl2 (2×20 мл). Органический слой объединяли, промывали один раз насыщенным раствором NaHCO3, сушили над Na2SO4, фильтровали в вакууме и выпаривали в вакууме. Очистка хроматографией (0-100% EtOAc-гексаны) приводила к получению трет-бутил(R)-(1-оксо-4-фенилбутан-2-ил)карбамата (199 мг, 76%).

Этап 3: Раствор трет-бутил(R)-(1-оксо-4-фенилбутан-2-ил)карбамата (199 мг, 0,756 ммоль) в THF (1,8 мл) обрабатывали бензил-L-аланинат гидрохлоридом (102,6 мг, 0,476 ммоль), а затем DIEA (240 мкл, 1,38 ммоль). Полученный бесцветный раствор обрабатывали NaBH(OAc)3 (148,6 мг, 0,701 ммоль) и HOAc (85 мкл, 1,49 ммоль). После продувания N2 флакон закрывали крышкой. Реакционную смесь перемешивали при комнатной температуре в течение 4 ч и гасили примерно 20 мл насыщенного раствора NaHCO3. Полученную смесь экстрагировали 20 мл CH2Cl2 (3 раза). Органические слои объединяли, промывали рассолом, сушили (Na2SO4), фильтровали в вакууме и выпаривали в вакууме. Неочищенный продукт растворяли в CH2Cl2 и адсорбировали на силикагеле. Очистка хроматографией (0-100% EtOAc-гексаны) приводила к получению бензил((R)-2-((трет-бутоксикарбонил)амино)-4-фенилбутил)-L-аланината (127 мг, 63% выход).

Этап 4: ((R)-2-((трет-бутоксикарбонил)амино)-4-фенилбутил)-L-аланин (99 мг, 100% выход) синтезировали способом, аналогичным способу этапа 2, который использовали для соединения 1130.

Этап 5: Трет-бутил((R)-1-(((S)-1-((4-(N-((бензилокси)карбонил)карбамимидоил)бензил)амино)-1-оксопропан-2-ил)амино)-4-фенилбутан-2-ил)карбамат (66,8 мг, 38% выход) синтезировали методом, аналогичным методу, используемому для соединения 1119, за исключением того, что неочищенный продукт очищали хроматографией (10% MeOH- CH2Cl2).

Этап 6: Бензил((4-(((S)-2-(((R)-2-амино-4-фенилбутил)амино)пропанамидо)метил)фенил)(имино)метил)карбамат синтезировали методом, аналогичным методу, используемому для соединения 1119, за исключением того, что неочищенный продукт очищали флэш-хроматографией (10% MeOH- CH2Cl2 и затем 5% 7 Н NH3 в MeOH-CH2Cl2). Выход материала в данном методе составлял 15,1 мг (27% выход).

Этап 7: (S)-2-(((R)-2-амино-4-фенилбутил)амино)-N-(4-карбамимидоилбензил)пропанамид (то есть, соединение 1013) синтезировали способом, аналогичным способу этапа 2, который использовали для соединения 1130, за исключением того, что неочищенный продукт очищали методом обращенно-фазовой ВЭЖХ (2-15-35-90% MeCN-H2O) аналогичным тому, который использовали для соединения 1140. Выход материала в данном методе составлял 10,3 мг (72% выход).

Пример 30: Получение (R)-2-амино-N-((S)-1-((5-хлор-2-гидроксибензил)амино)-1-оксопропан-2-ил)-4-фенилбутанамида гидрохлорида (1031)

(R)-2-амино-N-((S)-1-((5-хлор-2-гидроксибензил)амино)-1-оксопропан-2-ил)-4-фенилбутанамид получали, следуя методикам, аналогичным тем, которые описаны для соединения 1119, этапы 1-4, с использованием соответствующих исходных материалов.

Пример 31: Получение (S)-1-((R)-2-амино-4-фенилбутаноил)-N-(5-хлор-2-гидроксибензил)пирролидин-2-карбоксамида гидрохлорида (1079)

Этапы 1-2: ((R)-2-((трет-бутоксикарбонил)амино)-4-фенилбутаноил)-L-пролин получали, следуя методикам, аналогичным тем, которые описаны для соединения 1028, но с этапами 1-2 и использованием соответствующих исходных материалов.

Этапы 3-4: (S)-1-((R)-2-амино-4-фенилбутаноил)-N-(5-хлор-2-гидроксибензил)пирролидин-2-карбоксамид получали, следуя методикам, аналогичным тем, которые описаны для соединения 1060, этап 2, с использованием соответствующих исходных материалов.

Пример 32: Получение (R)-2-амино-N-((S)-1-((5-хлор-2-(2-(этиламино)-2-оксоэтокси)бензил)амино)-1-оксопропан-2-ил)-4-фенилбутанамида, трифторацетатной соли (1137)

Этап 1: Трет-бутил((R)-1-(((S)-1-((5-хлор-2-гидроксибензил)амино)-1-оксопропан-2-ил)амино)-1-оксо-4-фенилбутан-2-ил)карбамат (436 мг, 0,89 ммоль, полученный, как в случае соединения 1031) суспендировали в DMF (4 мл) и обрабатывали этилбромацетатом (148 мкл, 1,34 ммоль) и Cs2CO3 (725 мг, 2,23 ммоль). Реакционную смесь оставляли для перемешивания на 18 ч, затем разбавляли EtOAc и промывали H2O, 5% водным LiCl и рассолом. Органический слой сушили над MgSO4 и концентрировали в вакууме, затем очищали хроматографией (40-80% EtOAc-гексаны), с получением этил-2-(4-хлор-2-((4S,7R)-4,11,11-триметил-3,6,9-триоксо-7-фенэтил-10-окса-2,5,8-триазадодецил)фенокси)ацетата в виде белого порошка (370 мг, 72% выход).

Этап 2: В реакционный сосуд вносили этил-2-(4-хлор-2-((4S,7R)-4,11,11-триметил-3,6,9-триоксо-7-фенэтил-10-окса-2,5,8-триазадодецил)фенокси)ацетат (370 мг, 0,64 ммоль), LiOH (31 мг, 1,28 ммоль), THF (3 мл) и H2O (3 мл). Реакционную смесь оставляли для перемешивания при комнатной температуре на 4 ч, затем THF удаляли в вакууме, и осадок обрабатывали 10% водным раствором KHSO4 (3 мл). Полученный ппт отфильтровывали и промывали водой и гексанами, с получением 2-(4-хлор-2-((4S,7R)-4,11,11-триметил-3,6,9-триоксо-7-фенэтил-10-окса-2,5,8-триазадодецил)фенокси)уксусной кислоты в виде белого твердого вещества (281 мг, 80% выход).

Этапы 3-4: 2-(4-хлор-2-((4S,7R)-4,11,11-триметил-3,6,9-триоксо-7-фенэтил-10-окса-2,5,8-триазадодецил)фенокси)уксусную кислоту (24 мг, 0,04 ммоль) и HOBt (5,9 мг, 0,044 ммоль) растворяли в DMF (1 мл). Затем добавляли EDC (8,4 мг, 0,044 ммоль) одной порцией, с последующим добавлением этиламина (2 M в THF, 150 мкл) и DIEA (21 мкл, 0,12 ммоль). Полученный раствор оставляли для перемешивания при комнатной температуре на 60 ч. Затем реакционную смесь разбавляли EtOAc, промывали 10% водным KHSO4, 5% водным LiCl, насыщенным NaHCO3 (x2) и рассолом. Неочищенную смесь обрабатывали HCl в MeOH и фильтровали через диатомовую землю, затем очищали препаративной ВЭЖХ (5% - 95% MeCN в H2O, содержащей 0,1% TFA), с получением (R)-2-амино-N-((S)-1-((5-хлор-2-(2-(этиламино)-2-оксоэтокси)бензил)амино)-1-оксопропан-2-ил)-4-фенилбутанамида в виде белого твердого вещества (2,4 мг, 11% выход).

Пример 33. Получение (2R,4S)-N-((S)-1-((4-карбамимидоилбензил)амино)-1-оксопропан-2-ил)-4-фенилпиперидин-2-карбоксамида дигидрохлорида (1230)

Этап 1: К раствору (2R,4S)-1-(трет-бутоксикарбонил)-4-фенилпиперидин-2-карбоновой кислоты (5,0 г, 16,4 ммоль) в MeCN (300 мл, 0,05 M) добавляли HOBt (2 г, 3,77 ммоль), DIEA (11,4 мл, 13,7 ммоль) и EDC (2,8 г, 3,77 ммоль). После перемешивания в течение 30 мин при комнатной температуре добавляли бензил-L-аланин гидрохлорид (814 мг, 18 ммоль) и перемешивали в течение 16 ч. Реакционную смесь концентрировали в вакууме, и осадок распределяли между EtOAc и 10% раствором KHSO4. Органический слой отделяли и промывали H2O и насыщенным водным NaHCO3. Органический слой сушили над безводным Na2SO4 и концентрировали в вакууме. Осадок очищали хроматографией (0-20% EtOAc-гексаны; 3-й УФ-активный материал, элюируемый с колонки), с получением трет-бутил(2R,4S)-2-(((S)-1-(бензилокси)-1-оксопропан-2-ил)карбамоил)-4-фенилпиперидин-1-карбоксилата (2,59 г, 34% выход).

Этап 2: Раствор трет-бутил(2R,4S)-2-(((S)-1-(бензилокси)-1-оксопропан-2-ил)карбамоил)-4-фенилпиперидин-1-карбоксилата (2,59 мг, 5,54 ммоль) дегазировали потоком Ar в течение 2 мин. Добавляли 10% Pd/C (130 мг) и применяли вакуум в течение 1 мин. Подключали баллон H2, и за реакцией следили по расходу исходного материала в течение 1,5 ч. Катализатор удаляли фильтрованием, и раствор выпаривали, с получением ((2R,4S)-1-(трет-бутоксикарбонил)-4-фенилпиперидин-2-карбонил)-L-аланина (1,8 г, 86%).

Этап 3: Трет-бутил(2R,4S)-2-(((S)-1-((4-(N-((бензилокси)карбонил)карбамимидоил)бензил)амино)-1-оксопропан-2-ил)карбамоил)-4-фенилпиперидин-1-карбоксилат синтезировали в соответствии с методикой для соединения 0194.

Этап 4: Бензил(имино(4-(((S)-2-((2R,4S)-4-фенилпиперидин-2-карбоксамидо)пропанамидо)метил)фенил)метил)карбамат гидрохлорид синтезировали в соответствии с методикой для соединения 0195.

Этап 5: (2R,4S)-N-((S)-1-((4-карбамимидоилбензил)амино)-1-оксопропан-2-ил)-4-фенилпиперидин-2-карбоксамид дигидрохлорид синтезировали в соответствии с методикой для соединения 0196.

Пример 34. Получение (2R,4S)-N-((S)-1-((4-карбамимидоилбензил)амино)-1-оксопропан-2-ил)-4-(м-толил)пиперидин-2-карбоксамида дигидрохлорида (1231)

Этап 1: К раствору диоксана: 2 M K2CO3 (1:1, всего 116 мл) добавляли метил-4-бромпиколинат 10,0 г (46,29 ммоль) и м-толилбороновую кислоту (55,6 ммоль, 1,2 экв.). Раствор дегазировали потоком Ar в течение 5 мин. Добавляли Pd(PPh3)4 (0,05 экв.), и раствор нагревали с обратным холодильником в течение 48 ч. Диоксан удаляли выпариванием, с последующим добавлением H2O (50 мл) и EtOAc (100 мл), с перемешиванием. Водный слой отделяли, и pH доводили до примерно 5 путем добавления твердого KHSO4. Продукт собирали фильтрованием, промывали H2O и сушили, с получением 4-(м-толил)пиколиновой кислоты (9,07 г, 92% выход).

Этап 2: К раствору 4-(м-толил)пиколиновой кислоты (9,05 г, 42,4 ммоль) в безводном MeOH (50 мл) добавляли H2SO4 (5 мл) при нагревании с обратным холодильником в течение 24 ч. MeOH удаляли выпариванием, и осадок распределяли между насыщенным NaHCO3 и CH2Cl2. Органический слой сушили над Na2SO4 и выпаривали. Колоночная хроматография (40% EtOAc/гексаны) приводила к получению метил-4-(м-толил)пиколината (6,05 г, 63% выход) в виде желтого масла.

Этап 3: К раствору уксусной кислоты (40 мл) добавляли метил-4-(м-толил)пиколинат (2,4 г, 10,6 ммоль) с дегазированием Ar в течение 2 мин. Добавляли PtO2 (240 мг) и применяли вакуум в течение 5 мин. Подключали баллон H2 с перемешиванием в течение 26 ч. Катализатор удаляли фильтрованием, с последующим выпариванием. Очистка хроматографией (1% MeOH-CH2Cl2) приводила к получению метил-4-(м-толил)пиперидин-2-карбоксилата (1,6 г, 65% выход) в виде масла.

Этап 4: К раствору THF-насыщенного NaHCO3 (1:1, всего 35 мл) добавляли метил-4-(м-толил)пиперидин-2-карбоксилат (1,6 г, 6,9 ммоль) и ди-трет-бутилдикарбонат (1,05 эквив., 7,25 ммоль) с перемешиванием в течение ночи. THF удаляли выпариванием с экстрагированием CH2Cl2 (2×30 мл). Органический слой сушили над Na2SO4 и выпаривали до сухого состояния. 1-(трет-бутил)-2-метил 4-(м-толил)пиперидин-1,2-дикарбоксилат (2,34 г, 100% выход) использовали на следующем этапе.

Этап 5: К раствору THF-H2O (1:1, 30 мл) добавляли 1-(трет-бутил)-2-метил-4-(м-толил)пиперидин-1,2-дикарбоксилат (2,34 г, 7,0 ммоль) и LiOH (35,0 ммоль, 5,0 эквив.) с перемешиванием в течение 6 ч. THF удаляли выпариванием, и pH доводили до 5 при помощи 10% KHSO4. Продукт собирали фильтрованием, промывали H2O и сушили. Получали 1-(трет-бутоксикарбонил)-4-(м-толил)пиперидин-2-карбоновую кислоту (1,81 г, 81% выход) в виде бледно-желтого твердого вещества.

Этапы 6-11: (2R,4S)-N-((S)-1-((4-карбамимидоилбензил)амино)-1-оксопропан-2-ил)-4-(м-толил)пиперидин-2-карбоксамид синтезировали в соответствии с методиками для соединения (1230). Третий УФ-активный материал, элюируемый с колонки на этапе 6, использовали в дальнейшем.

Пример 35. Получение (R)-N-((S)-1-((4-карбамимидоилбензил)амино)-1-оксопропан-2-ил)-2-((2-(4-метилпиперазин-1-ил)бензил)амино)-4-фенилбутанамида ди-трифторацетатной соли (1232)

Этап 1: Бензил(имино(4-(((S)-2-((R)-2-((2-(4-метилпиперазин-1-ил)бензил)амино)-4-фенилбутанамидо)пропанамидо)метил)фенил)метил)карбамат синтезировали в соответствии с методикой для соединения 1130, этап 2.

Этап 2: Снятие защиты бензил(имино(4-(((S)-2-((R)-2-((2-(4-метилпиперазин-1-ил)бензил)амино)-4-фенилбутанамидо)пропанамидо)метил)фенил)метил)карбамата проводили в соответствии с методикой для соединения 1130, этап 3, с получением (R)-N-((S)-1-((4-карбамимидоилбензил)амино)-1-оксопропан-2-ил)-2-((2-(4-метилпиперазин-1-ил)бензил)амино)-4-фенилбутанамида.

Этап 3: (R)-N-((S)-1-((4-карбамимидоилбензил)амино)-1-оксопропан-2-ил)-2-((2-(4-метилпиперазин-1-ил)бензил)амино)-4-фенилбутанамид ди-трифторацетатную соль получали в соответствии с методикой для соединения (1368), этап 2.

Пример 36. Получение (R)-2-((4-(1H-тетразол-5-ил)бензил)амино)-N-((S)-1-((4-карбамимидоилбензил)амино)-1-оксопропан-2-ил)-4-фенилбутанамида ди-трифторацетатной соли (1233)

Этап 1: Бензил((4-(((S)-2-((R)-2-((4-(1H-тетразол-5-ил)бензил)амино)-4-фенилбутанамидо)пропанамидо)метил)фенил)(имино)метил)карбамат синтезировали в соответствии с методикой для соединения 1130, этап 2.

Этап 2: Снятие защиты бензил((4-(((S)-2-((R)-2-((4-(1H-тетразол-5-ил)бензил)амино)-4-фенилбутанамидо)пропанамидо)метил)фенил)(имино)метил)карбамата проводили в соответствии с методикой для соединения 1130, этап 3. Очистка методом обращенно-фазовой ВЭЖХ (5-75-90% MeCN-H2O) приводила к получению (R)-2-((4-(1H-тетразол-5-ил)бензил)амино)-N-((S)-1-((4-карбамимидоилбензил)амино)-1-оксопропан-2-ил)-4-фенилбутанамида ди-трифторацетатной соли.

Пример 37. Получение (S)-N-(1-((4-карбамимидоилбензил)амино)-1-оксопропан-2-ил)-4-(нафтален-1-ил)-1H-пиррол-2-карбоксамида (1234)

Этап 1: В 50-мл круглодонную колбу, снабженную якорем магнитной мешалки и перегородкой, добавляли метил-4-иод-1H-пиррол-2-карбоксилат (300 мг, 1,19 ммоль), 1-нафтилбороновую кислоту (246 мг, 1,43), Pd(OAc)2 (13 мг, 0,06 ммоль), карбонат калия (330 мг, 2,39 ммоль), ацетон (2,7 мл) и воду (1,3 мл). Полученную смесь дегазировали барботированием N2 через раствор в течение 5 мин. Затем реакционную смесь нагревали до 75°C в течение 5 ч. После охлаждения до комнатной температуры реакционный раствор фильтровали через диатомовую землю, элюировали EtOAc, концентрировали и очищали хроматографией, используя EtOAc-гексаны, с получением метил-4-(нафтален-1-ил)-1H-пиррол-2-карбоксилата (260 мг, 86% выход) в виде бесцветного твердого вещества.

Этап 2: 4-(нафтален-1-ил)-1H-пиррол-2-карбоновую кислоту (180 мг, 82%) синтезировали из метил-4-(нафтален-1-ил)-1H-пиррол-2-карбоксилата (260 мг, 1,03 ммоль) в соответствии с методикой для соединения (1328), этап 1.

Этап 3: К раствору (трет-бутоксикарбонил)-L-аланина (300 мг, 1,58 ммоль) в CH2Cl2 (11 мл) добавляли NHS (200 мг, 1,74 ммоль) с перемешиванием при температуре окружающей среды до растворения. Добавляли DCC (359 мг, 1,74 ммоль) и перемешивали в течение 1,0 ч. Эту смесь вливали в разделительную воронку, содержащую насыщенный NaHCO3 (10 мл) и бензил((4-(аминометил)фенил)(имино)метил)карбамат гидрохлорид (540 мг, 1,90 ммоль), и затем встряхивали в течение 5 мин. Органический слой фильтровали через слой безводного Na2SO4 и выпаривали до сухого состояния. Флэш-хроматография с использованием EtOAc-гексанов приводила к получению трет-бутил(S)-(1-((4-(N-((бензилокси)карбонил)карбамимидоил)бензил)амино)-1-оксопропан-2-ил)карбамата в виде твердого вещества (560 мг, 80% выход).

Этап 4: Бензил(S)-((4-((2-аминопропанамидо)метил)фенил)(имино)метил)карбамат гидрохлорид (380 мг, 90%) синтезировали из трет-бутил(S)-(1-((4-(N-((бензилокси)карбонил)карбамимидоил)бензил)амино)-1-оксопропан-2-ил)карбамата (560 мг, 1,23 ммоль) в соответствии с методикой для соединения (1304), этап 6.

Этап 5: Бензил(S)-(имино(4-((2-(4-(нафтален-1-ил)-1H-пиррол-2-карбоксамидо)пропанамидо)метил)фенил)метил)карбамат (35 мг, 45% выход) синтезировали из бензил(S)-((4-((2-аминопропанамидо)метил)фенил)(имино)метил)карбамата гидрохлорида (60 мг, 0,17 ммоль) в соответствии с методикой для соединения (1304), этап 7.

Этап 6: (S)-N-(1-((4-карбамимидоилбензил)амино)-1-оксопропан-2-ил)-4-(нафтален-1-ил)-1H-пиррол-2-карбоксамид (25,3 мг, 94% выход) синтезировали из бензил(S)-(имино(4-((2-(4-(нафтален-1-ил)-1H-пиррол-2-карбоксамидо)пропанамидо)метил)фенил)метил)карбамата (35 мг, 0,06 ммоль) в соответствии с методикой для соединения (1304), этап 4.

Пример 38. Получение (S)-N-(1-((4-карбамимидоилбензил)амино)-1-оксопропан-2-ил)-4-(3-фтор-4-метилфенил)-1H-пиррол-2-карбоксамида (1235)

(S)-N-(1-((4-карбамимидоилбензил)амино)-1-оксопропан-2-ил)-4-(3-фтор-4-метилфенил)-1H-пиррол-2-карбоксамид синтезировали в соответствии с методиками для соединения (1234).

Пример 39. Получение (R)-N-((S)-1-((4-карбамимидоилбензил)амино)-1-оксопропан-2-ил)-2-((4-(2-гидроксиэтокси)бензил)амино)-4-фенилбутанамида ди-трифторацетатной соли (1236)

Этап 1: Бензил((4-(((S)-2-((R)-2-((4-(2-гидроксиэтокси)бензил)амино)-4-фенилбутанамидо)пропанамидо)метил)фенил)(имино)метил)карбамат синтезировали в соответствии с методикой для соединения 1130, этап 2.

Этап 2: Снятие защиты бензил((4-(((S)-2-((R)-2-((4-(2-гидроксиэтокси)бензил)амино)-4-фенилбутанамидо)пропанамидо)метил)фенил)(имино)метил)карбамата проводили в соответствии с методикой для соединения 1130, этап 3. Очистка методом обращенно-фазовой ВЭЖХ (5-75-90% MeCN-H2O) привела к получению (R)-N-((S)-1-((4-карбамимидоилбензил)амино)-1-оксопропан-2-ил)-2-((4-(2-гидроксиэтокси)бензил)амино)-4-фенилбутанамида ди-трифторацетатной соли.

Пример 40. Получение (R)-2-амино-N-((S)-1-((5-хлор-2-(2-((3-гидроксипропил)амино)-2-оксоэтокси)бензил)амино)-1-оксопропан-2-ил)-4-фенилбутанамида гидрохлорида (1237)

Этап 1: Трет-бутил((R)-1-(((S)-1-((5-хлор-2-гидроксибензил)амино)-1-оксопропан-2-ил)амино)-1-оксо-4-фенилбутан-2-ил)карбамат (436 мг, 0,89 ммоль, полученный, как описано для соединения 1031) суспендировали в DMF (4 мл) и обрабатывали этилбромацетатом (148 мкл, 1,34 ммоль) и Cs2CO3 (725 мг, 2,23 ммоль). Реакционную смесь оставляли для перемешивания на 18 ч, затем разбавляли EtOAc и промывали H2O, 5% водным LiCl и рассолом. Органический слой сушили над MgSO4 и концентрировали в вакууме, затем очищали хроматографией (40-80% EtOAc-гексаны), с получением этил-2-(4-хлор-2-((4S,7R)-4,11,11-триметил-3,6,9-триоксо-7-фенэтил-10-окса-2,5,8-триазадодецил)фенокси)ацетата в виде белого порошка (370 мг, 72% выход).

Этап 2: В реакционный сосуд вносили этил-2-(4-хлор-2-((4S,7R)-4,11,11-триметил-3,6,9-триоксо-7-фенэтил-10-окса-2,5,8-триазадодецил)фенокси)ацетат (370 мг, 0,64 ммоль), LiOH (31 мг, 1,28 ммоль), THF (3 мл) и H2O (3 мл). Реакционную смесь оставляли для перемешивания при комнатной температуре на 4 ч, затем THF удаляли в вакууме, и осадок обрабатывали 10% водным KHSO4 (3 мл). Полученный ппт фильтровали и промывали водой и гексанами, с получением 2-(4-хлор-2-((4S,7R)-4,11,11-триметил-3,6,9-триоксо-7-фенэтил-10-окса-2,5,8-триазадодецил)фенокси)уксусной кислоты в виде белого твердого вещества (281 мг, 80% выход).

Этап 3: 2-(4-хлор-2-((4S,7R)-4,11,11-триметил-3,6,9-триоксо-7-фенэтил-10-окса-2,5,8-триазадодецил)фенокси)уксусную кислоту (51 мг, 0,09 ммоль) и NHS (14 мг) растворяли в ACN (1 мл). Затем добавляли DCC (14 мг, 0,1 ммоль) одной порцией, с последующим добавлением 3-аминопропан-1-ола (22 мкл, 0,29 ммоль) и DIEA (47 мкл, 0,27 ммоль). Полученный раствор оставляли для перемешивания при комнатной температуре на 16 ч. Затем реакционную смесь разбавляли EtOAc, промывали 10% водным KHSO4, рассолом и насыщенным водным NaHCO3. Органический слой сушили над Na2SO4 и концентрировали в вакууме, затем очищали хроматографией (7-9% MeOH-CH2Cl2), с получением трет-бутил((R)-1-(((S)-1-((5-хлор-2-(2-((3-гидроксипропил)амино)-2-оксоэтокси)бензил)амино)-1-оксопропан-2-ил)амино)-1-оксо-4-фенилбутан-2-ил)карбамата в виде бесцветного масла (25 мг, 44% выход).

Этап 4: С ((R)-1-(((S)-1-((5-хлор-2-(2-((3-гидроксипропил)амино)-2-оксоэтокси)бензил)амино)-1-оксопропан-2-ил)амино)-1-оксо-4-фенилбутан-2-ил)карбамата снимали защиту в соответствии с методикой для соединения 1119, этап 4, с получением указанного в заголовке соединения в виде белого твердого вещества (21 мг, 95% выход).

Пример 41. Получение (S)-N-(1-((4-карбамимидоилбензил)амино)-1-оксопропан-2-ил)-4-(4-метоксифенил)-1H-пиррол-2-карбоксамида трифторацетатной соли (1238)

(S)-N-(1-((4-карбамимидоилбензил)амино)-1-оксопропан-2-ил)-4-(4-метоксифенил)-1H-пиррол-2-карбоксамида трифторацетатную соль синтезировали в соответствии с методиками для соединения (1234), за исключением того, что конечный продукт очищали с использованием обращенно-фазовой ВЭЖХ.

Пример 42. Получение (S)-N-(1-((4-карбамимидоилбензил)амино)-1-оксопропан-2-ил)-5-метил-4-фенил-1H-пиррол-2-карбоксамида трифторацетатной соли (1239)

Этап 1: NIS (3,77 г, 16,7 ммоль) добавляли к перемешиваемому раствору метил-2-ацетамидоакрилата (2 г, 13,9 ммоль) в 2% TFA в CH2Cl2 (74 мл с 1,5 мл TFA). Смесь перемешивали при температуре окружающей среды в течение ночи. Смесь охлаждали в ледяной бане перед медленным добавлением триэтиламина (6 мл). Смесь оставляли для перемешивания еще на 1 ч. Смесь концентрировали и поглощали в CH2Cl2, промывали 1 M KHSO4, водой и рассолом перед концентрированием и очисткой хроматографией на силикагеле (гексаны/этилацетат 1:1), с получением метил(Z)-2-ацетамидо-3-иодакрилата в виде желто-коричневого твердого вещества (1,50 г, 40% выход).

Этап 2: Метил(Z)-2-ацетамидо-3-иодакрилат (500 мг, 1,86 ммоль), LiCl (78,4 мг, 1,86 ммоль), K2CO3 (1,28 г, 9,29 ммоль) и Pd(OAc)2 (42 мг, 0,18 ммоль) растворяли в DMF (18 мл) и обрабатывали проп-1-ин-1-илбензолом (648 мг, 5,57 ммоль). Раствор дегазировали, помещали в атмосферу аргона и нагревали до 65°C с перемешиванием в течение 12 ч. Раствор фильтровали для удаления твердых веществ, разбавляли EtOAc (50 мл), промывали водой (25 мл), рассолом (25 мл), и органический слой сушили над Na2SO4. После концентрирования в вакууме, хроматография (EtOAc-гексаны) приводила к получению метил-5-метил-4-фенил-1H-пиррол-2-карбоксилата (85 мг, 30% выход) и побочного продукта (75 мг, 25% выход).

Этап 3: 5-метил-4-фенил-1H-пиррол-2-карбоновую кислоту (40 мг, 85% выход) синтезировали из метил-5-метил-4-фенил-1H-пиррол-2-карбоксилата (45 мг, 0,21 ммоль) в соответствии с методикой для соединения (1328), этап 1.

Этап 4: (S)-N-(1-((4-карбамимидоилбензил)амино)-1-оксопропан-2-ил)-5-метил-4-фенил-1H-пиррол-2-карбоксамида трифторацетатную соль синтезировали в соответствии с методиками для соединения (1234), этап 5 - этап 6, за исключением того, что конечный продукт очищали с использованием обращенно-фазовой ВЭЖХ.

Пример 43. Получение (S)-N-(1-((4-карбамимидоилбензил)амино)-1-оксопропан-2-ил)-4,5-дифенил-1H-пиррол-2-карбоксамида (1240)

(S)-N-(1-((4-карбамимидоилбензил)амино)-1-оксопропан-2-ил)-4,5-дифенил-1H-пиррол-2-карбоксамид синтезировали в соответствии с методиками для соединения (1239).

Пример 44. Получение (2R,4R)-N-((S)-1-((4-карбамимидоилбензил)амино)-1-оксопропан-2-ил)-4-(м-толил)пиперидин-2-карбоксамида дигидрохлорида (1241)

(2R,4R)-N-((S)-1-((4-карбамимидоилбензил)амино)-1-оксопропан-2-ил)-4-(м-толил)пиперидин-2-карбоксамид синтезировали в соответствии с методиками для соединения (1231) (9). Первый УФ-активный материал, элюируемый с колонки на этапе 6, использовали в дальнейшем.

Пример 45. Получение (2R,4R)-N-((S)-1-((5-хлор-2-гидроксибензил)амино)-1-оксопропан-2-ил)-4-фенилпирролидин-2-карбоксамида (1242)

Этапы 1-2: К раствору ((2R,4R)-1-(трет-бутоксикарбонил)-4-фенилпирролидин-2-карбонил)-L-аланина (22 мг, 0,06 ммоль) и 2-(аминометил)-4-хлорфенол гидробромида (15 мг, 0,06 ммоль) в безводном DMF (1 мл) при 0°C добавляли HBTU (349 мг, 0,92 ммоль) и DIEA (31 мкл, ммоль). Реакционную смесь медленно нагревали до температуры окружающей среды и перемешивали представляет собой 2 ч, затем разбавляли EtOAc и промывали 10% водным KHSO4 и рассолом. Органический слой сушили над Na2SO4 и концентрировали в вакууме, затем очищали хроматографией (70% EtOAc-гексаны), с получением трет-бутил(2R,4R)-2-(((S)-1-((5-хлор-2-гидроксибензил)амино)-1-оксопропан-2-ил)карбамоил)-4-фенилпирролидин-1-карбоксилата в виде бесцветного масла. Осадок затем поглощали в MeOH (1 мл) и обрабатывали 3 M HCl в CPME (2 мл). Через 4 ч реакционную смесь концентрировали и очищали хроматографией (7% MeOH/CH2CL2, содержащий 2,5% 7 Н NH3-MeOH), с получением указанного в заголовке соединения в виде белого твердого вещества (12,2 мг, 51% выход за 2 этапа).

Пример 46. Получение (R)-2-амино-N-((S)-1-(((6-амино-4-метилпиридин-3-ил)метил)амино)-1-оксопропан-2-ил)-4-фенилбутанамида дигидрохлорида (1243)

Этап 1: К раствору ((R)-2-((трет-бутоксикарбонил)амино)-4-фенилбутаноил)-L-аланина (152 мг, 0,43 ммоль) в безводном DMF (3,5 мл) в атмосфере Ar добавляли DIEA (0,10 мл, 0,57 ммоль) и 5-(аминометил)-4-метилпиридин-2-амин (65 мг, 0,47 ммоль). Смесь охлаждали на льду, затем добавляли HBTU (172 мг, 0,45 ммоль): реакционную смесь перемешивали в течение 30 мин, затем хранили при 2-8°C в течение ночи. Реакционную смесь концентрировали в вакууме, затем осадок растворяли в EtOAc и промывали H2O, разбавленным раствором NaHCO3 и рассолом. Раствор сушили (Na2SO4) и концентрировали в вакууме. Осадок очищали хроматографией с 0-10% MeOH-CH2Cl2, с получением трет-бутил((R)-1-(((S)-1-(((6-амино-4-метилпиридин-3-ил)метил)амино)-1-оксопропан-2-ил)амино)-1-оксо-4-фенилбутан-2-ил)карбамата (25 мг, 12% выход).

Этап 2: К раствору трет-бутил((R)-1-(((S)-1-(((6-амино-4-метилпиридин-3-ил)метил)амино)-1-оксопропан-2-ил)амино)-1-оксо-4-фенилбутан-2-ил)карбамата (25 мг, 0,05 моль) в MeOH (2 мл) добавляли раствор HCl-CPME (3 M, 4 мл). Смесь перемешивали в течение 2 ч, затем концентрировали в вакууме. Осадок растворяли в MeOH и концентрировали в вакууме, затем распределяли между H2O и CH2Cl2. H2O слой промывали CH2Cl2, и летучие вещества удаляли в вакууме. Водный раствор лиофилизировали, с получением (R)-2-амино-N-((S)-1-(((6-амино-4-метилпиридин-3-ил)метил)амино)-1-оксопропан-2-ил)-4-фенилбутанамида дигидрохлорида в виде белого порошка (22,8 мг, 97% выход; 85:15 смесь диастереомеров).

Пример 47. Получение (R)-2-амино-N-((S)-1-(((6-амино-5-метилпиридин-3-ил)метил)амино)-1-оксопропан-2-ил)-4-фенилбутанамида дигидрохлорида (1244)

(R)-2-амино-N-((S)-1-(((6-амино-5-метилпиридин-3-ил)метил)амино)-1-оксопропан-2-ил)-4-фенилбутанамид дигидрохлорид синтезировали в соответствии с методиками для соединения (1243).

Пример 48. Получение (R)-2-амино-N-((S)-1-(((6-амино-2-метилпиридин-3-ил)метил)амино)-1-оксопропан-2-ил)-4-фенилбутанамида дигидрохлорида (1245)

Трет-бутил((R)-1-(((S)-1-(((6-амино-2-метилпиридин-3-ил)метил)амино)-1-оксопропан-2-ил)амино)-1-оксо-4-фенилбутан-2-ил)карбамат синтезировали в соответствии с методикой для соединения (1243), этап 1, за исключением того, что добавляли дополнительно HBTU (0,34 экв.) после перемешивания в течение 3,5 ч в ледяной бане. После очистки промежуточного соединения проводили снятие защиты в соответствии с методикой для соединения (1243), этап 2.

Пример 49. Получение (R)-2-амино-N-((S)-1-((5-хлор-2-нитробензил)амино)-1-оксопропан-2-ил)-4-фенилбутанамида гидрохлорида (1246)

Этап 1: Трет-бутил((R)-1-(((S)-1-((5-хлор-2-нитробензил)амино)-1-оксопропан-2-ил)амино)-1-оксо-4-фенилбутан-2-ил)карбамат синтезировали в соответствии с этапом 1 методики для соединения (1242) с использованием соответствующих исходных материалов.

Этап 2: К трет-бутил((R)-1-(((S)-1-((5-хлор-2-нитробензил)амино)-1-оксопропан-2-ил)амино)-1-оксо-4-фенилбутан-2-ил)карбамату (12 мг, 0,025 ммоль) добавляли концентрированную HCl в MeOH (1 мл). Реакционную смесь оставляли для перемешивания при температуре окружающей среды в течение ночи, затем выпаривали до сухого состояния. Осадок поглощали в H2O-ACN (~1:1) и лиофилизировали в течение ночи, с получением (R)-2-амино-N-((S)-1-((5-хлор-2-нитробензил)амино)-1-оксопропан-2-ил)-4-фенилбутанамид гидрохлорида в виде желтого порошка (8,3 мг, 73%).

Пример 50. Получение (2R,4S)-N-((S)-1-((4-карбамимидоилбензил)амино)-1-оксопропан-2-ил)-4-(м-толил)пирролидин-2-карбоксамида дигидрохлорида (1247)

Этап 1: К перемешиваемому раствору 1-(трет-бутил)-2-метил-(R)-4-оксопирролидин-1,2-дикарбоксилата (1,50 г, 6,16 ммоль) в THF (15 мл) при -78°C медленно добавляли литий бис(триметилсилил)амид (7,40 мл, 7,40 ммоль, 1 M в THF) в атмосфере Ar. После перемешивания в течение 1 ч при -78°C добавляли реагент Коминса (2,99 г, 7,40 ммоль) в THF (5 мл), и перемешивание продолжали еще в течение 1 ч. Реакционную смесь перемешивали при -20°C еще в течение 18 ч. Реакционную смесь гасили 20 мл воды и экстрагировали диэтиловым эфиром (3×60 мл). Объединенные экстракты промывали 2 Н раствором NaOH, сушили над Na2SO4, фильтровали и концентрировали в вакууме. Осадок очищали хроматографией (EtOAc-гексаны), с получением 1-(трет-бутил)-2-метил-(R)-4-(((трифторметил)сульфонил)окси)-2,5-дигидро-1H-пиррол-1,2-дикарбоксилата (1,85 г, 80% выход).

Этап 2: В 50-мл круглодонную колбу, снабженную якорем магнитной мешалки и перегородкой, добавляли 1-(трет-бутил)-2-метил-(R)-4-(((трифторметил)сульфонил)окси)-2,5-дигидро-1H-пиррол-1,2-дикарбоксилат (400 мг, 1,06 ммоль), м-толилбороновую кислоту (215 мг, 1,17), Pd(PPh3)4 (123 мг, 0,11 ммоль), K2CO3 (442 мг, 3,20 ммоль), диоксан (7,1 мл) и воду (1,5 мл). Полученную смесь дегазировали барботированием N2 через раствор в течение 10 мин. Затем реакционную смесь нагревали до 80°C в течение 2 ч. После охлаждения до температуры окружающей среды реакционный раствор фильтровали через диатомовую землю, элюируя EtOAc, концентрировали и очищали хроматографией, используя EtOAc-гексаны, с получением 1-(трет-бутил)-2-метил-(R)-4-(м-толил)-2,5-дигидро-1H-пиррол-1,2-дикарбоксилата (330 мг, 86% выход) в виде бесцветного твердого вещества.

Этап 3: К перемешиваемому раствору 1-(трет-бутил)-2-метил-(R)-4-(м-толил)-2,5-дигидро-1H-пиррол-1,2-дикарбоксилата (317 мг, 1 ммоль) в THF (24 мл), MeOH (12 мл) и воде (12 мл) добавляли LiOH (360 мг, 15 ммоль) при температуре окружающей среды. Полученную реакционную смесь перемешивали при температуре окружающей среды в течение ночи. 12 мл 1 M HCl добавляли к реакционной смеси, и органический летучие вещества удаляли в вакууме. Водный слой экстрагировали EtOAc (3×20 мл). Объединенные органические экстракты тщательно сушили с использованием Na2SO4, фильтровали и концентрировали, с получением (R)-1-(трет-бутоксикарбонил)-4-(м-толил)-2,5-дигидро-1H-пиррол-2-карбоновой кислоты (288 мг неочищенной, 95% выход), которую непосредственно использовали на следующем этапе без дополнительной очистки.

Этап 4: Раствор (R)-1-(трет-бутоксикарбонил)-4-(м-толил)-2,5-дигидро-1H-пиррол-2-карбоновой кислоты (288 мг, 0,95 ммоль) в MeOH (8 мл) барботировали газообразным Ar в течение 5 мин. 10% Pd/C (28 мг) добавляли к реакционной смеси и перемешивали под 1 атмосферой H2 в течение 4 ч. Реакционную смесь фильтровали (0,2 мкМ шприцевой фильтр), и фильтрат концентрировали в вакууме, с получением (2R,4S)-1-(трет-бутоксикарбонил)-4-(м-толил)пирролидин-2-карбоновой кислоты (265 мг, 92% выход).

Этап 5: Трет-бутил(2R,4S)-2-(((S)-1-(бензилокси)-1-оксопропан-2-ил)карбамоил)-4-(м-толил)пирролидин-1-карбоксилат (404 мг, 74% выход) синтезировали из (2R,4S)-1-(трет-бутоксикарбонил)-4-(м-толил)пирролидин-2-карбоновой кислоты (360 мг, 1,18 ммоль) в соответствии с методикой для соединения (1304), этап 7.

Этап 6: (2R,4S)-1-(трет-бутоксикарбонил)-4-(м-толил)пирролидин-2-карбонил)-L-аланин (300 мг, 92% выход) синтезировали из трет-бутил(2R,4S)-2-(((S)-1-(бензилокси)-1-оксопропан-2-ил)карбамоил)-4-(м-толил)пирролидин-1-карбоксилата (404 мг, 0,87 ммоль) в соответствии с методикой для соединения (1304), этап 4.

Этап 7: Трет-бутил(2R,4S)-2-(((S)-1-((4-(N-((бензилокси)карбонил)карбамимидоил)бензил)амино)-1-оксопропан-2-ил)карбамоил)-4-(м-толил)пирролидин-1-карбоксилат (154 мг, 75% выход) синтезировали из (2R,4S)-1-(трет-бутоксикарбонил)-4-(м-толил)пирролидин-2-карбонил)-L-аланина (100 мг, 0,26 ммоль) в соответствии с методикой для соединения (1234), этап 3.

Этап 8: Бензил(имино(4-(((S)-2-((2R,4S)-4-(м-толил)пирролидин-2-карбоксамидо)пропанамидо)метил)фенил)метил)карбамат дигидрохлорид (83 мг, 90% выход) синтезировали из трет-бутил(2R,4S)-2-(((S)-1-((4-(N-((бензилокси)карбонил)карбамимидоил)бензил)амино)-1-оксопропан-2-ил)карбамоил)-4-(м-толил)пирролидин-1-карбоксилаат (110 мг, 0,17 ммоль) в соответствии с методикой для соединения (1304), этап 8.

Этап 9: (2R,4S)-N-((S)-1-((4-карбамимидоилбензил)амино)-1-оксопропан-2-ил)-4-(м-толил)пирролидин-2-карбоксамид дигидрохлорид (64 мг, 86%) синтезировали из бензил(имино(4-(((S)-2-((2R,4S)-4-(м-толил)пирролидин-2-карбоксамидо)пропанамидо)метил)фенил)метил)карбамата (55 мг, 0,15 ммоль) в соответствии с методикой для соединения (1304), этап 4.

Пример 51. Получение (2R,4R)-N-((S)-1-((4-карбамимидоилбензил)амино)-1-оксопропан-2-ил)-4-(п-толил)пиперидин-2-карбоксамида дигидрохлорида (1248)

(2R,4R)-N-((S)-1-((4-карбамимидоилбензил)амино)-1-оксопропан-2-ил)-4-(p-толил)пиперидин-2-карбоксамид дигидрохлорид синтезировали в соответствии с методиками для соединения (1241). Первый УФ-активный материал, элюируемый с колонки на этапе 6, использовали в дальнейшем.

Пример 52. Получение (2R,4S)-N-((S)-1-((4-карбамимидоилбензил)амино)-1-оксопропан-2-ил)-4-(п-толил)пиперидин-2-карбоксамида дигидрохлорида (1249)

(2R,4S)-N-((S)-1-((4-карбамимидоилбензил)амино)-1-оксопропан-2-ил)-4-(п-толил)пиперидин-2-карбоксамид синтезировали в соответствии с методиками для соединения (1231) (9). Третий УФ-активный материал, элюируемый с колонки на этапе 6, использовали в дальнейшем.

Пример 53. Получение (R)-N-((S)-1-((4-карбамимидоилбензил)амино)-1-оксопропан-2-ил)-2-((4-(4-(метилсульфонил)пиперазин-1-ил)бензил)амино)-4-фенилбутанамида ди-трифторацетатной соли (1250)

Этап 1: К раствору 4-(пиперазин-1-ил)бензальдегида (450,0 мг, 2,37 ммоль) в THF (6 мл) и CH2Cl2 (6 мл) добавляли ди-трет-бутилдикарбонат (650 мг, 2,98 ммоль). После продувания N2 реакционную смесь перемешивали при комнатной температуре в течение 16 ч. Реакционную смесь гасили 50 мл насыщенного раствора NH4Cl и экстрагировали 50 мл CH2Cl2 (3 раза). Органические слои объединяли, сушили (Na2SO4), фильтровали в вакууме и выпаривали в вакууме. Неочищенный продукт растворяли в CH2Cl2 и адсорбировали на силикагеле. Очистка хроматографией (0-100% EtOAc-гексаны) приводила к получению трет-бутил-4-(4-формилфенил)пиперазин-1-карбоксилата (632,6 мг, 92% выход).

Этап 2: Трет-бутил-4-(4-((((R)-1-(((S)-1-((4-(N-((бензилокси)карбонил)карбамимидоил)бензил)амино)-1-оксопропан-2-ил)амино)-1-оксо-4-фенилбутан-2-ил)амино)метил)фенил)пиперазин-1-карбоксилат синтезировали в соответствии с методикой для соединения 1130, этап 2.

Этап 3: Трет-бутил-4-(4-((((бензилокси)карбонил)((R)-1-(((S)-1-((4-(N-((бензилокси)карбонил)карбамимидоил)бензил)амино)-1-оксопропан-2-ил)амино)-1-оксо-4-фенилбутан-2-ил)амино)метил)фенил)пиперазин-1-карбоксилат синтезировали в соответствии с методикой для соединения 1148, этап 1.

Этап 4: Снятие защиты трет-бутил4-(4-((((бензилокси)карбонил)((R)-1-(((S)-1-((4-(N-((бензилокси)карбонил)карбамимидоил)бензил)амино)-1-оксопропан-2-ил)амино)-1-оксо-4-фенилбутан-2-ил)амино)метил)фенил)пиперазин-1-карбоксилата проводили в соответствии с методикой для соединения 1015, этап 4, за исключением того, что неочищенный продукт очищали хроматографией (5% 7 Н NH3 в MeOH-CH2Cl2), с получением бензил((R)-1-(((S)-1-((4-(N-((бензилокси)карбонил)карбамимидоил)бензил)амино)-1-оксопропан-2-ил)амино)-1-оксо-4-фенилбутан-2-ил)(4-(пиперазин-1-ил)бензил)карбамата.

Этап 5: К раствору бензил((R)-1-(((S)-1-((4-(N-((бензилокси)карбонил)карбамимидоил)бензил)амино)-1-оксопропан-2-ил)амино)-1-оксо-4-фенилбутан-2-ил)(4-(пиперазин-1-ил)бензил)карбамата (54,4 мг, 0,066 ммоль) в DCE (500 мкл) и TEA (14 мкл) добавляли MsCl (6 мкл) при 0°C. Реакционную смесь нагревали до комнатной температуры и перемешивали в течение 16 ч. Реакционную смесь гасили 1 мл 0,5 M раствора NaOH и экстрагировали 20 мл CH2Cl2 (3 раза). Органические слои объединяли, промывали рассолом, сушили (Na2SO4), фильтровали в вакууме и выпаривали в вакууме. Неочищенный продукт растворяли в CH2Cl2 и адсорбировали на силикагеле. Очистка хроматографией (0-10% MeOH-CH2Cl2) приводила к получению бензил((R)-1-(((S)-1-((4-(N-((бензилокси)карбонил)карбамимидоил)бензил)амино)-1-оксопропан-2-ил)амино)-1-оксо-4-фенилбутан-2-ил)(4-(4-(метилсульфонил)пиперазин-1-ил)бензил)карбамата.

Этап 6: Снятие защиты бензил((R)-1-(((S)-1-((4-(N-((бензилокси)карбонил)карбамимидоил)бензил)амино)-1-оксопропан-2-ил)амино)-1-оксо-4-фенилбутан-2-ил)(4-(4-(метилсульфонил)пиперазин-1-ил)бензил)карбамата проводили в соответствии с методикой для соединения 1130, этап 3. Очистка методом обращенно-фазовой ВЭЖХ (5-75-90% MeCN-H2O) приводила к получению (R)-N-((S)-1-((4-карбамимидоилбензил)амино)-1-оксопропан-2-ил)-2-((4-(4-(метилсульфонил)пиперазин-1-ил)бензил)амино)-4-фенилбутанамида ди-трифторацетатной соли.

Пример 54. Получение (R)-2-амино-N-((S)-1-((4-карбамимидоил-2-метоксибензил)амино)-1-оксопропан-2-ил)-4-фенилбутанамида ди-трифторацетатной соли (1251)

Этап 1: В сухую круглодонную колбу вносили 4-(гидроксиметил)-3-метоксибензонитрил (950 мг, 5,8 ммоль), CBr4 (2,12 г, 6,4 ммоль) и CH2Cl2 (20 мл), затем охлаждали до 0°C. Добавляли PPh3 (1,68 г, 6,4 ммоль), и реакционную смесь перемешивали в течение 2 ч при температуре окружающей среды. После завершения реакционную смесь концентрировали и затем очищали хроматографией (40% EtOAc-гексаны) с получением 4-(бромметил)-3-метоксибензонитрила в виде белого порошка (1,1 г, 85% выход).

Этап 2: В сухую круглодонную колбу в атмосфере Ar NaH (60% в минеральном масле; 508 мг, 12,7 ммоль) промывали 3x гексанами. Добавляли безводный THF, и суспензию охлаждали до 0°C. Раствор 4-(бромметил)-3-метоксибензонитрила (1,1 г, 4,88 ммоль) добавляли, с последующим добавлением по каплям ди-трет-бутилиминодикарбоксилата (1,38 г, 6,36 ммоль) в THF. Реакционную смесь перемешивали в течение 16 ч при температуре окружающей среды, затем гасили H2O. THF удаляли в вакууме, и водный слой фильтровали через воронку с пористым фильтром. Неочищенный продукт перекристаллизовывали с горячим EtOAc, с получением трет-бутил(трет-бутоксикарбонил)(4-циано-2-метоксибензил)карбамата в виде белого кристаллического твердого вещества (1,11 г, 63% выход).

Этап 3: В 100-мл круглодонную колбу вносили трет-бутил(трет-бутоксикарбонил)(4-циано-2-метоксибензил)карбамат (1,11 г, 3,07 ммоль) и безводный MeOH (10 мл), а затем гидроксиламин гидрохлорид (1,07 г, 15,3 ммоль) и DIEA (2,67 мл, 15,3 ммоль). Реакционную колбу снабжали холодильником и нагревали с обратным холодильником в течение 3 ч. После охлаждения реакционную смесь концентрировали, и продукт осаждали H2O. Неочищенный продукт собирали фильтрованием с отсасыванием, растворяли в CH2Cl2, промывали рассолом и сушили над Na2SO4. Органические слои собирали и концентрировали, с получением трет-бутил(E)-(трет-бутоксикарбонил)(4-(N'-гидроксикарбамимидоил)-2-метоксибензил)карбамата в виде белого порошка (1,12 г, 93% выход)

Этап 4: В 100-мл круглодонную колбу вносили (E)-(трет-бутоксикарбонил)(4-(N'-гидроксикарбамимидоил)-2-метоксибензил)карбамат (1,12 г, 2,83 ммоль), Ac2O (320 мкл, 3,35 ммоль) и AcOH (5 мл). Из колбы откачивали воздух, и вновь заполняли ее Ar, затем вносили 10% Pd/C (cat.). Из колбы вновь откачивали воздух, вновь заполняли ее H2 и оставляли для перемешивания при температуре окружающей среды на 16 ч. Реакционную смесь фильтровали через 0,2-мкМ шприцевой фильтр и концентрировали в вакууме, с получением трет-бутил(трет-бутоксикарбонил)(4-карбамимидоил-2-метоксибензил)карбамата в виде белого твердого вещества (1,25 г, количественно).

Этап 5: К раствору (трет-бутоксикарбонил)(4-карбамимидоил-2-метоксибензил)карбамата (1,25 г, 2,83 ммоль) в THF (7 мл) добавляли насыщенный водный NaHCO3 (7 мл) и N-(бензилоксикарбонилокси)сукцинимид (741 мг, 3 ммоль). Реакционную смесь перемешивали при температуре окружающей среды в течение 16 ч, затем разбавляли EtOAc и промывали рассолом. Органический слой сушили над MgSO4 и концентрировали. Осадок затем растирали с диэтиловым эфиром, с получением трет-бутил(4-(N-((бензилокси)карбонил)карбамимидоил)-2-метоксибензил)(трет-бутоксикарбонил)карбамата в виде белого порошка (704 мг, 48% выход).

Этап 6: С трет-бутил(4-(N-((бензилокси)карбонил)карбамимидоил)-2-метоксибензил)(трет-бутоксикарбонил)карбамата (103 мг, 0,2 ммоль) снимали защиту в соответствии с методикой для соединения 1015, этап 4, с получением бензил((4-(аминометил)-3-метоксифенил)(имино)метил)карбамата гидрохлорида в виде мятно-зеленого порошка (68 мг, 97% выход).

Этапы 7-8: Бензил((4-(((S)-2-((R)-2-амино-4-фенилбутанамидо)пропанамидо)метил)-3-метоксифенил)(имино)метил)карбамат синтезировали в соответствии с методиками этапов 1-2 для соединения (1246), с использованием соответствующих исходных материалов, за исключением того, что неочищенный материал переносили без очистки в следующий этап.

Этап 9: Удаление группы Cbz бензил((4-(((S)-2-((R)-2-амино-4-фенилбутанамидо)пропанамидо)метил)-3-метоксифенил)(имино)метил)карбамата проводили в соответствии с методикой для соединения 1028, этап 6. Неочищенный продукт очищали методом обращенно-фазовой ВЭЖХ (35-65% MeCN-H2O+TFA), и фракции лиофилизировали, с получением указанного в заголовке соединения в виде белого порошка.

Пример 55. Получение (2R,4S)-N-((S)-1-((4-карбамимидоилбензил)амино)-1-оксопропан-2-ил)-4-(п-толил)пирролидин-2-карбоксамида дигидрохлорида (1252)

(2R,4S)-N-((S)-1-((4-карбамимидоилбензил)амино)-1-оксопропан-2-ил)-4-(п-толил)пирролидин-2-карбоксамид дигидрохлорид синтезировали в соответствии с методиками для соединения (1247).

Пример 56. Получение (2R,4S)-N-((S)-1-(((6-амино-2-метилпиридин-3-ил)метил)амино)-1-оксопропан-2-ил)-4-фенилпиперидин-2-карбоксамида дигидрохлорида (1253)

Этап 1: К раствору ((R)-2-((трет-бутоксикарбонил)амино)-4-(4-(трифторметил)фенил)бутаноил)-L-аланина (100 мг, 0,266 ммоль) в CH2Cl2 (5 мл) добавляли NHS (1,1 эквив., 1,05 ммоль) с перемешиванием при комнатной температуре до растворения. Добавляли DCC (1,1 эквив., 1,05 ммоль) и перемешивали в течение 1,0 ч, затем добавляли 5-(аминометил)-6-метилпиридин-2-амин (0,319 ммоль, 1,2 эквив.) с обработкой ультразвуком, и перемешивали в течение ночи при комнатной температуре. Раствор фильтровали и выпаривали до сухого состояния. Флэш-хроматография (3% 7 Н NH3 в MeOH/CH2Cl2) приводила к получению трет-бутил(2R,4S)-2-(((S)-1-(((6-амино-2-метилпиридин-3-ил)метил)амино)-1-оксопропан-2-ил)карбамоил)-4-фенилпиперидин-1-карбоксилата (91 мг, 69%) в виде белого твердого вещества.

Этап 2: К трет-бутил(2R,4S)-2-(((S)-1-(((6-амино-2-метилпиридин-3-ил)метил)амино)-1-оксопропан-2-ил)карбамоил)-4-фенилпиперидин-1-карбоксилату (84 мг, 0,169 ммоль) добавляли раствор MeOH-HCl (5,0 мл, 227 мг HCl/мл) с перемешиванием при комнатной температуре, контролируя расход исходного материала. Раствор выпаривали до сухого состояния, добавляли MeOH (15 мл) и выпаривали до сухого состояния, с получением (2R,4S)-N-((S)-1-(((6-амино-2-метилпиридин-3-ил)метил)амино)-1-оксопропан-2-ил)-4-фенилпиперидин-2-карбоксамида в виде белого твердого вещества (80 мг, 100% выход).

Пример 57. Получение (2R,4S)-N-((S)-1-((5-хлор-2-гидроксибензил)амино)-1-оксопропан-2-ил)-4-(м-толил)пирролидин-2-карбоксамида гидрохлорида (1254)

Этап 1: (2R,4S)-1-(трет-бутоксикарбонил)-4-(м-толил)пирролидин-2-карбонил)-L-аланин синтезировали из 1-(трет-бутил)-2-метил-(R)-4-оксопирролидин-1,2-дикарбоксилата в соответствии с методикой для соединения (1247), этап 1 - этап 6.

Этап 2: Трет-бутил(2R,4S)-2-(((S)-1-((5-хлор-2-гидроксибензил)амино)-1-оксопропан-2-ил)карбамоил)-4-(м-толил)пирролидин-1-карбоксилат (57 мг, 70% выход) синтезировали из (2R,4S)-1-(трет-бутоксикарбонил)-4-(м-толил)пирролидин-2-карбонил)-L-аланина (60 мг, 0,16 ммоль) в соответствии с методикой для соединения (1234), этап 3.

Этап 3: (2R,4S)-N-((S)-1-((5-хлор-2-гидроксибензил)амино)-1-оксопропан-2-ил)-4-(м-толил)пирролидин-2-карбоксамид гидрохлорид (50,7 мг, 90% выход) синтезировали из трет-бутил(2R,4S)-2-(((S)-1-((5-хлор-2-гидроксибензил)амино)-1-оксопропан-2-ил)карбамоил)-4-(м-толил)пирролидин-1-карбоксилата (57 мг, 0,11 ммоль) в соответствии с методикой для соединения (1304), этап 8.

Пример 58. Получение (2R,4S)-N-((S)-1-(((6-аминопиридин-3-ил)метил)амино)-1-оксопропан-2-ил)-4-фенилпирролидин-2-карбоксамид дигидрохлорид (1255)

Этап 1: К раствору (2R,4S)-1-(трет-бутоксикарбонил)-4-фенилпирролидин-2-карбоновой кислоты (1 г, 3,4 ммоль) в MeCN (25 мл) добавляли EDC (0,786 г, 4,1 ммоль), HOBt (0,553 г, 4,1 ммоль) и DIEA (3 мл, 17 ммоль). Смесь перемешивали при температуре окружающей среды в течение 15 мин, затем добавляли бензил-L-аланин гидрохлорид (0,884 г, 4,1 ммоль). Смесь перемешивали в течение ночи, затем концентрировали в вакууме. Осадок растворяли в EtOAc и промывали 0,5 M KHSO4, насыщенным NaHCO3 3x, рассолом и H2O, сушили (Na2SO4) и концентрировали в вакууме. Очистка хроматографией (5-40% EtOAc-гексаны) приводила к получению ((2R,4S)-1-(трет-бутоксикарбонил)-4-фенилпирролидин-2-карбонил)-L-аланина (1,05 г, 70% выход).

Этап 2: К дегазированному раствору ((2R,4S)-1-(трет-бутоксикарбонил)-4-фенилпирролидин-2-карбонил)-L-аланина (1,05 г, 2,3 ммоль) в безводном MeOH (20 мл) добавляли 10% Pd/C (0,30 г). Смесь дегазировали, затем помещали в атмосферу H2. После перемешивания в течение ночи при температуре окружающей среды смесь фильтровали (0,20 мкМ шприцевой фильтр), затем концентрировали в вакууме, с получением 0,825 г ((2R,4S)-1-(трет-бутоксикарбонил)-4-фенилпирролидин-2-карбонил)-L-аланина, который использовали без дополнительной очистки (0,825 г, 98% выход).

Этап 3: ((2R,4S)-1-(трет-бутоксикарбонил)-4-фенилпирролидин-2-карбонил)-L-аланин присоединяли к 5-(аминометил)пиридин-2-амину в соответствии с методикой для соединения (1243), этап 1, с получением трет-бутил(2R,4S)-2-(((S)-1-(((6-аминопиридин-3-ил)метил)амино)-1-оксопропан-2-ил)карбамоил)-4-фенилпирролидин-1-карбоксилата (150 мг, 73% выход).

Этап 4: С трет-бутил(2R,4S)-2-(((S)-1-(((6-аминопиридин-3-ил)метил)амино)-1-оксопропан-2-ил)карбамоил)-4-фенилпирролидин-1-карбоксилата снимали защиту в соответствии с методикой для соединения (1243), этап 2, за исключением того, что использовали 5-6 Н HCl-IPA, с получением (2R,4S)-N-((S)-1-(((6-аминопиридин-3-ил)метил)амино)-1-оксопропан-2-ил)-4-фенилпирролидин-2-карбоксамида дигидрохлорида (127 мг, 90% выход).

Пример 59. Получение (R)-N-((S)-1-((4-карбамимидоилбензил)амино)-1-оксопропан-2-ил)-2-(((6-гидроксинафтален-2-ил)метил)амино)-4-фенилбутанамида ди-трифторацетатной соли (1256)

Этап 1: Бензил((4-(((S)-2-((R)-2-(((6-гидроксинафтален-2-ил)метил)амино)-4-фенилбутанамидо)пропанамидо)метил)фенил)(имино)метил)карбамат синтезировали в соответствии с методикой для соединения 1130, этап 2.

Этап 2: Снятие защиты бензил((4-(((S)-2-((R)-2-(((6-гидроксинафтален-2-ил)метил)амино)-4-фенилбутанамидо)пропанамидо)метил)фенил)(имино)метил)карбамата проводили в соответствии с методикой для соединения 1130, этап 3. Очистка методом обращенно-фазовой ВЭЖХ (5-75-90% MeCN-H2O) приводила к получению (R)-N-((S)-1-((4-карбамимидоилбензил)амино)-1-оксопропан-2-ил)-2-(((6-гидроксинафтален-2-ил)метил)амино)-4-фенилбутанамида ди-трифторацетатной соли.

Пример 60. Получение (2R,4S)-N-((S)-1-(((6-амино-2-метилпиридин-3-ил)метил)амино)-1-оксопропан-2-ил)-4-(м-толил)пирролидин-2-карбоксамида дигидрохлорида (1257)

Этап 1: (2R,4S)-1-(трет-бутоксикарбонил)-4-(м-толил)пирролидин-2-карбоновую кислоту синтезировали из 1-(трет-бутил)-2-метил-(R)-4-оксопирролидин-1,2-дикарбоксилата в соответствии с методиками для соединения (1247), этап 1 - этап 4.

Этап 2: (2R,4S)-N-((S)-1-(((6-амино-2-метилпиридин-3-ил)метил)амино)-1-оксопропан-2-ил)-4-(м-толил)пирролидин-2-карбоксамид дигидрохлорид синтезировали в соответствии с методиками для соединения (1304), этап 7 - этап 8.

Пример 61. Получение метил(имино(4-(((S)-2-((2R,4R)-4-фенилпирролидин-2-карбоксамидо)пропанамидо)метил)фенил)метил)карбамата (1258)

Этап 1: К находящемуся при 0°C раствору трет-бутил(4-карбамимидоилбензил)карбамата ацетатной соли (100 мг, 0,32 ммоль) в CH2Cl2 (8 мл, 0,04 M) добавляли DIEA (0,23 мл, 1,3 ммоль), DMAP (6,3 мг, 0,05 ммоль) и метилхлорформиат (0,03 мл, 0,36 ммоль). После перемешивания в течение 16 ч при комнатной температуре реакционную смесь гасили добавлением насыщенного водного NaHCO3. Полученную смесь экстрагировали CH2Cl2, сушили над безводным Na2SO4 и концентрировали в вакууме. Осадок очищали хроматографией (0-100% EtOAc-гексаны), с получением метил((4-(((трет-бутоксикарбонил)амино)метил)фенил)(имино)метил)карбамата (57 мг, 57% выход) в виде белого твердого вещества.

Этап 2: Снятие защиты ((4-(((трет-бутоксикарбонил)амино)метил)фенил)(имино)метил)карбамата (121 мг, 0,39 ммоль) проводили в соответствии с методикой для соединения (1259), этап 2, с получением метил((4-(аминометил)фенил)(имино)метил)карбамата трифторацетатной соли (125 мг, 100% выход).

Этап 3: Метил((4-(аминометил)фенил)(имино)метил)карбамата трифторацетатную соль (230 мг, 0,72 ммоль) присоединяли к ((2R,4R)-1-(трет-бутоксикарбонил)-4-фенилпирролидин-2-карбонил)-L-аланину в соответствии с методикой для соединения (1259), этап 3, с получением трет-бутил(2R,4R)-2-(((S)-1-((4-(N-(метоксикарбонил)карбамимидоил)бензил)амино)-1-оксопропан-2-ил)карбамоил)-4-фенилпирролидин-1-карбоксилата (200 мг, 61% выход).

Этап 4: Снятие защиты трет-бутил(2R,4R)-2-(((S)-1-((4-(N-(метоксикарбонил)карбамимидоил)бензил)амино)-1-оксопропан-2-ил)карбамоил)-4-фенилпирролидин-1-карбоксилата (172 мг, 0,31 ммоль) проводили в соответствии с методикой для соединения (1259), этап 4, с получением метил(имино(4-(((S)-2-((2R,4R)-4-фенилпирролидин-2-карбоксамидо)пропанамидо)метил)фенил)метил)карбамата (98 мг, 70% выход).

Пример 62. Получение бензил(имино(4-(((S)-2-((2R,4R)-4-фенилпирролидин-2-карбоксамидо)пропанамидо)метил)фенил)метил)карбамата (1259)

Этап 1: К раствору трет-бутил(4-карбамимидоилбензил)карбамата ацетатной соли (100 мг, 0,32 ммоль) в DMF (3 мл, 0,1 M) добавляли DIEA (0,23 мл, 1,3 ммоль) и бензилхлорформиат (30% в толуоле, 0,31 мл, 0,65 ммоль). После перемешивания в течение 16 ч при комнатной температуре добавляли H2O, и растворители удаляли в вакууме. Осадок распределяли между EtOAc и H2O. Органический слой отделяли и промывали насыщенным водным NH4Cl, H2O, NaHCO3. Органический слой сушили над безводным Na2SO4 и концентрировали в вакууме. Осадок очищали хроматографией (50-100% EtOAc-гексаны), с получением бензил((4-(((трет-бутоксикарбонил)амино)метил)фенил)(имино)метил)карбамата (77 мг, 62% выход) в виде белого твердого вещества.

Этап 2: К находящемуся при 0°C раствору бензил((4-(((трет-бутоксикарбонил)амино)метил)фенил)(имино)метил)карбамата (66 мг, 0,17 ммоль) в CH2Cl2 (1,5 мл, 0,1 M) добавляли 20% TFA в CH2Cl2 (1,5 мл). После перемешивания в течение 2 ч при комнатной температуре реакционную смесь концентрировали, с получением бензил((4-(аминометил)фенил)(имино)метил)карбамата трифторацетатной соли (48 мг, 100% выход).

Этап 3: К раствору ((2R,4R)-1-(трет-бутоксикарбонил)-4-фенилпирролидин-2-карбонил)-L-аланина (93 мг, 0,26 ммоль) в CH2Cl2 (5 мл, 0,05 M) добавляли NHS (33 мг, 0,28 ммоль) с перемешиванием при комнатной температуре до растворения. Добавляли DCC (59 мг, 0,28 ммоль) и перемешивали в течение 1 ч. Смесь вливали в разделительную воронку, содержащую насыщенный водный NaHCO3 (5 мл) и бензил((4-(аминометил)фенил)(имино)метил)карбамата трифторацетатную соль (123 мг, 0,31 ммоль), и затем встряхивали в течение 15 мин. Органический слой фильтровали через слой безводного Na2SO4 и выпаривали до сухого состояния. Осадок очищали хроматографией (50-100% EtOAc-гексаны), с получением трет-бутил(2R,4R)-2-(((S)-1-((4-(N-((бензилокси)карбонил)карбамимидоил)бензил)амино)-1-оксопропан-2-ил)карбамоил)-4-фенилпирролидин-1-карбоксилата (128 мг, 79% выход).

Этап 4: К суспензии трет-бутил(2R,4R)-2-(((S)-1-((4-(N-((бензилокси)карбонил)карбамимидоил)бензил)амино)-1-оксопропан-2-ил)карбамоил)-4-фенилпирролидин-1-карбоксилата (128 мг, 0,2 ммоль) в метаноле (2 мл, 0,1 M) добавляли раствор HCl/MeOH (2 мл, 227 мг HCl/мл). После перемешивания в течение 4 ч при комнатной температуре реакционную смесь концентрировали. Осадок очищали хроматографией (0-100% [5% 7 Н NH3 в MeOH/CH2Cl2]-CH2Cl2), с получением бензил(имино(4-(((S)-2-((2R,4R)-4-фенилпирролидин-2-карбоксамидо)пропанамидо)метил)фенил)метил)карбамата (60 мг, 56% выход).

Пример 63. Получение гексил(имино(4-(((S)-2-((2R,4R)-4-фенилпирролидин-2-карбоксамидо)пропанамидо)метил)фенил)метил)карбамата (1260)

Этап 1: К находящемуся при 0°C раствору трет-бутил(4-карбамимидоилбензил)карбамата ацетатной соли (200 мг, 0,65 ммоль) в CH2Cl2 (8 мл, 0,08 M) добавляли DIEA (0,23 мл, 1,3 ммоль). После перемешивания в течение 15 мин при той же температуре по каплям добавляли гексилхлорформиат (0,13 мл, 0,78 ммоль). После перемешивания в течение 1 ч при той же температуре реакционную смесь гасили добавлением H2O. Полученную смесь экстрагировали CH2Cl2, сушили над безводным Na2SO4 и концентрировали в вакууме. Осадок очищали хроматографией (0-100% EtOAc-гексаны), с получением трет-бутил(4-(N-((гексилокси)карбонил)карбамимидоил)бензил)карбамата (151 мг, 62% выход).

Этап 2: Снятие защиты трет-бутил(4-(N-((гексилокси)карбонил)карбамимидоил)бензил)карбамата (150 мг, 0,4 ммоль) проводили в соответствии с методикой для соединения (1259), этап 2, с получением гексил((4-(аминометил)фенил)(имино)метил)карбамата трифторацетатной соли (155 мг, 100% выход).

Этап 3: Гексил((4-(аминометил)фенил)(имино)метил)карбамата трифторацетатную соль (140 мг, 0,39 ммоль) присоединяли к ((2R,4R)-1-(трет-бутоксикарбонил)-4-фенилпирролидин-2-карбонил)-L-аланину в соответствии с методикой для соединения (1259), этап 3, с получением трет-бутил(2R,4R)-2-(((S)-1-((4-(N-((гексилокси)карбонил)карбамимидоил)бензил)амино)-1-оксопропан-2-ил)карбамоил)-4-фенилпирролидин-1-карбоксилата (230 мг, 96% выход).

Этап 4: К находящемуся при 0°C раствору трет-бутил(2R,4R)-2-(((S)-1-((4-(N-((гексилокси)карбонил)карбамимидоил)бензил)амино)-1-оксопропан-2-ил)карбамоил)-4-фенилпирролидин-1-карбоксилата (230 мг, 0,37 ммоль) в CH2Cl2 (3,5 мл, 0,11 M) добавляли 20% TFA в CH2Cl2 (3,5 мл). После перемешивания в течение 3 ч при комнатной температуре реакционную смесь концентрировали. Осадок очищали хроматографией (0-100% [5% 7 Н NH3 в MeOH/CH2Cl2]-CH2Cl2), с получением гексил(имино(4-(((S)-2-((2R,4R)-4-фенилпирролидин-2-карбоксамидо)пропанамидо)метил)фенил)метил)карбамата (131 мг, 68% выход).

Пример 64. Получение (R, E)-2-амино-N-((S)-1-(((6-аминопиридин-3-ил)метил)амино)-1-оксопропан-2-ил)-5-фенилпент-4-енамида дигидрохлорида (1261)

Этап 1: К раствору (R, E)-2-амино-5-фенилпент-4-еноевой кислоты (0,97 г, 5,07 ммоль) в THF (15 мл), добавляли ди-трет-бутилдикарбонат (1,1 г, 5,04 ммоль), с последующим добавлением раствора NaHCO3 (1,2 г, 14,3 ммоль) в H2O (15 мл). Реакционную смесь быстро охлаждали в ледяной бане и перемешивали в течение 1,5 ч. Добавляли дополнительно THF (10 мл) и насыщенный NaHCO3 (1 мл). Смесь перемешивали в течение ночи, затем добавляли EtOAc, и смесь подкисляли 0,5 M KHSO4. Слои разделяли, водный слой насыщали NaCl и экстрагировали дважды EtOAc. Объединенные органические слои промывали рассолом, сушили (Na2SO4) и концентрировали в вакууме, с получением (R, E)-2-((трет-бутоксикарбонил)амино)-5-фенилпент-4-еноевой кислоты (1,53 г, количественный выход).

Этап 2: К раствору (R, E)-2-((трет-бутоксикарбонил)амино)-5-фенилпент-4-еноевой кислоты (1,53 г, 5,25 ммоль) в безводном MeCN (27 мл) в атмосфере Ar добавляли DIEA (2,0 мл, 11,5 ммоль). Добавляли EDC (1,1 г, 5,7 ммоль) и HOBt (0,79 г, 5,8 ммоль), и смесь перемешивали в течение 35 мин. Добавляли метил-L-аланинат гидрохлорид (0,89 г, 6,4 ммоль), и реакционную смесь перемешивали в течение ночи. Смесь концентрировали в вакууме, и осадок растворяли в EtOAc, промывали 0,5 M KHSO4 2x, H2O, затем насыщенным NaHCO3. Раствор сушили (Na2SO4), концентрировали в вакууме и очищали хроматографией (0-35% EtOAc-гексаны), с получением клейкого твердого вещества, которое растворяли в MeCN-H2O и лиофилизировали. Получали 1,3 г метил((R, E)-2-((трет-бутоксикарбонил)амино)-5-фенилпент-4-эноил)-L-аланината (66% выход).

Этап 3: Метил((R, E)-2-((трет-бутоксикарбонил)амино)-5-фенилпент-4-эноил)-L-аланинат гидролизовали в соответствии с методикой для соединения 1058, с получением ((R, E)-2-((трет-бутоксикарбонил)амино)-5-фенилпент-4-эноил)-L-аланина (484 мг, количественный выход).

Этап 4: ((R, E)-2-((трет-бутоксикарбонил)амино)-5-фенилпент-4-эноил)-L-аланин присоединяли к 5-(аминометил)пиридин-2-амину в соответствии с методикой для соединения (1243), этап 1, с получением трет-бутил((R, E)-1-(((S)-1-(((6-аминопиридин-3-ил)метил)амино)-1-оксопропан-2-ил)амино)-1-оксо-5-фенилпент-4-en-2-ил)карбамата (116 мг, 91% выход).

Этап 5: С трет-бутил((R, E)-1-(((S)-1-(((6-аминопиридин-3-ил)метил)амино)-1-оксопропан-2-ил)амино)-1-оксо-5-фенилпент-4-en-2-ил)карбамата снимали защиту в соответствии с методикой для соединения (1255), с получением (R, E)-2-амино-N-((S)-1-(((6-аминопиридин-3-ил)метил)амино)-1-оксопропан-2-ил)-5-фенилпент-4-енамида дигидрохлорида (101 мг, 93% выход).

Пример 65. Получение (2R,4S)-N-((S)-1-((4-карбамимидоилбензил)амино)-1-оксопропан-2-ил)-4-(3-метоксифенил)пирролидин-2-карбоксамида дигидрохлорида (1262)

(2R,4S)-N-((S)-1-((4-карбамимидоилбензил)амино)-1-оксопропан-2-ил)-4-(3-метоксифенил)пирролидин-2-карбоксамид дигидрохлорид синтезировали в соответствии с методиками для соединения (1247).

Пример 66. Получение пропил(имино(4-(((S)-2-((2R,4R)-4-фенилпирролидин-2-карбоксамидо)пропанамидо)метил)фенил)метил)карбамата (1263)

Этап 1: Трет-бутил(4-(N-(пропоксикарбонил)карбамимидоил)бензил)карбамат (108 мг, 50% выход) синтезировали из трет-бутил(4-карбамимидоилбензил)карбамата ацетатной соли (198 мг, 0,64 ммоль) и пропилхлорформиата в соответствии с методикой для соединения (1260), этап 1.

Этап 2: Снятие защиты трет-бутил(4-(N-(пропоксикарбонил)карбамимидоил)бензил)карбамата (108 мг, 0,32 ммоль) проводили в соответствии с методикой для соединения (1259), этап 2, с получением пропил((4-(аминометил)фенил)(имино)метил)карбамата трифторацетатной соли (112 мг, 100% выход).

Этап 3: Пропил((4-(аминометил)фенил)(имино)метил)карбамата трифторацетатную соль (125 мг, 0,32 ммоль) присоединяли к ((2R,4R)-1-(трет-бутоксикарбонил)-4-фенилпирролидин-2-карбонил)-L-аланину в соответствии с методикой для соединения (1259), этап 3, с получением трет-бутил(2R,4R)-2-(((S)-1-оксо-1-((4-(N-(пропоксикарбонил)карбамимидоил)бензил)амино)пропан-2-ил)карбамоил)-4-фенилпирролидин-1-карбоксилата (176 мг, 95% выход).

Этап 4: Снятие защиты трет-бутил(2R,4R)-2-(((S)-1-оксо-1-((4-(N-(пропоксикарбонил)карбамимидоил)бензил)амино)пропан-2-ил)карбамоил)-4-фенилпирролидин-1-карбоксилата (176 мг, 0,3 ммоль) проводили в соответствии с методикой для соединения (1260), этап 4, с получением пропил(имино(4-(((S)-2-((2R,4R)-4-фенилпирролидин-2-карбоксамидо)пропанамидо)метил)фенил)метил)карбамата (89 мг, 62% выход).

Пример 67. Получение (2R,4R)-N-((S)-1-((4-((Z)-N'-ацетоксикарбамимидоил)бензил)амино)-1-оксопропан-2-ил)-4-фенилпирролидин-2-карбоксамида (1264)

Этап 1: К раствору (2R,4R)-1-(трет-бутоксикарбонил)-4-фенилпирролидин-2-карбоновой кислоты (1,0 г, 3,43 ммоль) в MeCN (70 мл, 0,05 M) добавляли HOBt (577 мг, 3,77 ммоль), DIEA (2,39 мл, 13,7 ммоль) и EDC (585 мг, 3,77 ммоль). После перемешивания в течение 30 мин при комнатной температуре добавляли бензил-L-аланин гидрохлорид (814 мг, 3,77 ммоль) и перемешивали в течение 16 ч. Реакционную смесь концентрировали, и осадок распределяли между EtOAc и 10% раствором KHSO4. Органический слой отделяли и промывали H2O и насыщенным водным NaHCO3. Органический слой сушили над безводным Na2SO4 и концентрировали в вакууме, с получением неочищенного трет-бутил(2R,4R)-2-(((S)-1-(бензилокси)-1-оксопропан-2-ил)карбамоил)-4-фенилпирролидин-1-карбоксилата (1,33 г, 86% выход), который использовали на следующем этапе без дополнительной очистки.

Этап 2: Раствор неочищенного трет-бутил(2R,4R)-2-(((S)-1-(бензилокси)-1-оксопропан-2-ил)карбамоил)-4-фенилпирролидин-1-карбоксилата (1,55 г, 3,42 ммоль) дегазировали потоком Ar в течение 2 мин. Добавляли 10% Pd/C (70 мг) и применяли вакуум в течение 1 мин. Подключали баллон H2, и за реакцией следили по расходу исходного материала в течение 1,5 ч. Катализатор удаляли фильтрованием, и раствор выпаривали, с получением ((2R,4R)-1-(трет-бутоксикарбонил)-4-фенилпирролидин-2-карбонил)-L-аланина (1,24 г, 100% выход).

Этап 3: К раствору ((2R,4R)-1-(трет-бутоксикарбонил)-4-фенилпирролидин-2-карбонил)-L-аланина (1,16 г, 3,2 ммоль) в CH2Cl2 (50 мл, 0,06 M) добавляли NHS (405 мг, 3,52 ммоль) с перемешиванием при комнатной температуре до растворения. Добавляли DCC (726 мг, 3,52 ммоль) и перемешивали в течение 1 ч. Смесь вливали в разделительную воронку, содержащую насыщенный водный NaHCO3 (50 мл) и 4-(аминометил)бензонитрил гидрохлорид (647 мг, 3,84 ммоль), и затем встряхивали в течение 15 мин. Органический слой фильтровали через слой безводного Na2SO4 и выпаривали до сухого состояния. Осадок очищали хроматографией (50-100% EtOAc-гексаны), с получением трет-бутил(2R,4R)-2-(((S)-1-((4-цианобензил)амино)-1-оксопропан-2-ил)карбамоил)-4-фенилпирролидин-1-карбоксилата (1,3 г, 85% выход) в виде белого твердого вещества.

Этап 4: К раствору трет-бутил(2R,4R)-2-(((S)-1-((4-цианобензил)амино)-1-оксопропан-2-ил)карбамоил)-4-фенилпирролидин-1-карбоксилата (870 мг, 1,83 ммоль) в MeOH (20 мл, 0,09 ммоль) добавляли гидроксиламин гидрохлорид (507 мг, 7,3 ммоль) и DIEA (1,27 мл, 7,3 ммоль). После перемешивания в течение 4 ч при нагревании с обратным холодильником реакционную смесь выпаривали до сухого состояния. Осадок очищали хроматографией (0-100% EtOAc-гексаны), с получением трет-бутил(2R,4R)-2-(((S)-1-((4-((Z)-N'-гидроксикарбамимидоил)бензил)амино)-1-оксопропан-2-ил)карбамоил)-4-фенилпирролидин-1-карбоксилата (670 мг, 72% выход).

Этап 5: К суспензии трет-бутил(2R,4R)-2-(((S)-1-((4-((Z)-N'-гидроксикарбамимидоил)бензил)амино)-1-оксопропан-2-ил)карбамоил)-4-фенилпирролидин-1-карбоксилата (239 мг, 0,47 ммоль) в уксусной кислоте (5 мл) добавляли уксусный ангидрид (1 мл). После перемешивания в течение 17 ч при комнатной температуре, реакционную смесь концентрировали. Осадок очищали хроматографией (0-100% EtOAc-гексаны), с получением трет-бутил(2R,4R)-2-(((S)-1-((4-((Z)-N'-ацетоксикарбамимидоил)бензил)амино)-1-оксопропан-2-ил)карбамоил)-4-фенилпирролидин-1-карбоксилата (180 мг, 70% выход).

Этап 6: Раствор трет-бутил(2R,4R)-2-(((S)-1-((4-((Z)-N'-ацетоксикарбамимидоил)бензил)амино)-1-оксопропан-2-ил)карбамоил)-4-фенилпирролидин-1-карбоксилата (180 мг, 0,33 ммоль) в EtOAc (1,5 мл) и CH2Cl2 (1,5 мл) охлаждали в ледяной бане. Хлорид водорода барботировали через раствор в течение примерно 1 мин. Белую пену выделяли фильтрованием и очищали хроматографией (0-100% 5% 7 Н NH3 в MeOH/CH2Cl2-CH2Cl2), с получением (2R,4R)-N-((S)-1-((4-((Z)-N'-ацетоксикарбамимидоил)бензил)амино)-1-оксопропан-2-ил)-4-фенилпирролидин-2-карбоксамида (62 мг, 42% выход).

Пример 68. Получение (2R,4R)-N-((S)-1-(((6-амино-2-метилпиридин-3-ил)метил)амино)-1-оксопропан-2-ил)-4-фенилпирролидин-2-карбоксамида дигидрохлорида (1265)

Этап 1: К раствору ((2R,4R)-1-(трет-бутоксикарбонил)-4-фенилпирролидин-2-карбонил)-L-аланина (93 мг, 0,26 ммоль, полученному в соответствии с методикой для соединения (1255), в CH2Cl2 (5 мл) добавляли NHS (33 мг, 0,28 ммоль). Смесь перемешивали в течение 70 мин, затем добавляли DCC. После перемешивания в течение 70 мин добавляли 5-(аминометил)-6-метилпиридин-2-амин (47 мг, 0,34 ммоль). Смесь перемешивали в течение 3 ч, затем концентрировали в вакууме до меньшего объема, фильтровали через слой ваты и промывали 5% EtOAC-CH2Cl2. Фильтрат концентрировали в вакууме, затем очищали хроматографией (0-10% MeOH-CH2Cl2), с получением трет-бутил(2R,4R)-2-(((S)-1-(((6-амино-2-метилпиридин-3-ил)метил)амино)-1-оксопропан-2-ил)карбамоил)-4-фенилпирролидин-1-карбоксилата (93 мг, 75% выход).

Этап 2: С трет-бутил(2R,4R)-2-(((S)-1-(((6-амино-2-метилпиридин-3-ил)метил)амино)-1-оксопропан-2-ил)карбамоил)-4-фенилпирролидин-1-карбоксилата снимали защиту в соответствии с методикой для соединения (1255). Лиофилизированное твердое вещество растворяли в MeOH, обрабатывали углем Darco® (10 мг), нагревали, затем охлаждали до температуры окружающей среды и фильтровали (0,20 мкМ шприцевой фильтр). Фильтрат концентрировали в вакууме, с получением (2R,4R)-N-((S)-1-(((6-амино-2-метилпиридин-3-ил)метил)амино)-1-оксопропан-2-ил)-4-фенилпирролидин-2-карбоксамида (81,8 мг, 93% выход).

Пример 69. Получение (R)-2-амино-N-((S)-1-(((6-амино-5-метоксипиридин-3-ил)метил)амино)-1-оксопропан-2-ил)-4-фенилбутанамида дигидрохлорида (1266)

(R)-2-амино-N-((S)-1-(((6-амино-5-метоксипиридин-3-ил)метил)амино)-1-оксопропан-2-ил)-4-фенилбутанамид дигидрохлорид синтезировали в соответствии с методикой для соединения (1243).

Пример 70. Получение (R)-2-амино-N-((S)-1-(((6-амино-5-фторпиридин-3-ил)метил)амино)-1-оксопропан-2-ил)-4-фенилбутанамида дигидрохлорида (1267)

(R)-2-амино-N-((S)-1-(((6-амино-5-фторпиридин-3-ил)метил)амино)-1-оксопропан-2-ил)-4-фенилбутанамид дигидрохлорид синтезировали в соответствии с методикой для соединения (1243).

Пример 71. Получение 4-((((R)-1-(((S)-1-((4-карбамимидоилбензил)амино)-1-оксопропан-2-ил)амино)-1-оксо-4-фенилбутан-2-ил)амино)метил)бензамида ди-трифторацетатной соли (1268)

Этап 1: Бензил((4-(((S)-2-((R)-2-((4-карбамоилбензил)амино)-4-фенилбутанамидо)пропанамидо)метил)фенил)(имино)метил)карбамат синтезировали в соответствии с методикой для соединения 1130, этап 2.

Этап 2: Снятие защиты бензил((4-(((S)-2-((R)-2-((4-карбамоилбензил)амино)-4-фенилбутанамидо)пропанамидо)метил)фенил)(имино)метил)карбамата проводили в соответствии с методикой для соединения 1130, этап 3. Очистка методом обращенно-фазовой ВЭЖХ (5-75-90% MeCN-H2O) приводила к получению 4-((((R)-1-(((S)-1-((4-карбамимидоилбензил)амино)-1-оксопропан-2-ил)амино)-1-оксо-4-фенилбутан-2-ил)амино)метил)бензамид ди-трифторацетатной соли.

Пример 72. Получение (2R,4R)-N-((S)-1-((2-ацетамидо-5-хлорбензил)амино)-1-оксопропан-2-ил)-4-фенилпирролидин-2-карбоксамида гидрохлорида (1269)

Этап 1: Трет-бутил(2R,4R)-2-(((S)-1-((2-амино-5-хлорбензил)амино)-1-оксопропан-2-ил)карбамоил)-4-фенилпирролидин-1-карбоксилат синтезировали в соответствии с методикой для соединения 1119, этап 3, с использованием соответствующих исходных материалов.

Этапы 2-3: Трет-бутил(2R,4R)-2-(((S)-1-((2-амино-5-хлорбензил)амино)-1-оксопропан-2-ил)карбамоил)-4-фенилпирролидин-1-карбоксилат (30 мг, 0,06 ммоль) растворяли в CH2Cl2 (1 мл) и обрабатывали Ac2O (28 мкл, 0,3 ммоль) и Et3N (42 мкл, 0,06 ммоль), затем перемешивали в течение 6 ч при температуре окружающей среды. Реакционную смесь разбавляли CH2Cl2 и промывали 10% водным KHSO4, рассолом и насыщенным водным NaHCO3. Органический слой сушили над Na2SO4 и концентрировали, затем осадок очищали хроматографией (80-95% EtOAc-гексаны) с получением трет-бутил(2R,4R)-2-(((S)-1-((2-ацетамидо-5-хлорбензил)амино)-1-оксопропан-2-ил)карбамоил)-4-фенилпирролидин-1-карбоксилата в виде бесцветного масла. Удаление защитной группы Boc проводили путем обработки 3 M HCl в iPrOH в течение ночи при температуре окружающей среды. Удаление iPrOH и лиофилизация в смеси 1:1 ACN/H2O приводила к получению указанного в заголовке соединения в виде белого порошка (15,9 мг, 52% выход за 2 этапа).

Пример 73. Получение (R)-2-амино-N-((S)-1-(((6-карбамимидоилпиридин-3-ил)метил)амино)-1-оксопропан-2-ил)-4-фенилбутанамида ди-трифторацетатной соли (1270)

(R)-2-амино-N-((S)-1-(((6-карбамимидоилпиридин-3-ил)метил)амино)-1-оксопропан-2-ил)-4-фенилбутанамида ди-трифторацетатную соль синтезировали в соответствии с методиками для соединения 1119, за исключением использования бензил((5-(аминометил)пиридин-2-ил)(имино)метил)карбамата (PCT международная заявка 2001087854, 22 ноября 2001 г.) на этапе 3. Очистку проводили с использованием методики, описанной для соединения 1032.

Пример 74. Получение (2R,4S)-N-((S)-1-(бензиламино)-1-оксопропан-2-ил)-4-фенилпиперидин-2-карбоксамида дигидрохлорида (1271)

(2R,4S)-N-((S)-1-(бензиламино)-1-оксопропан-2-ил)-4-фенилпиперидин-2-карбоксамид синтезировали в соответствии с методиками для соединения (1230), за исключением использования бензиламина на этапе 3.

Пример 75. Получение (2R,4R)-N-((S)-1-(((6-карбамимидоилпиридин-3-ил)метил)амино)-1-оксопропан-2-ил)-4-фенилпирролидин-2-карбоксамид ди-трифторацетата (1272)

(2R,4R)-N-((S)-1-(((6-карбамимидоилпиридин-3-ил)метил)амино)-1-оксопропан-2-ил)-4-фенилпирролидин-2-карбоксамида ди-трифторацетатную соль синтезировали в соответствии с методиками для соединения 1119 за исключением использования (2R,4R)-1-(трет-бутоксикарбонил)-4-фенилпирролидин-2-карбоновой кислоты на этапе 1 и бензил((5-(аминометил)пиридин-2-ил)(имино)метил)карбамата на этапе 3. Очистку проводили с использованием методики, описанной для соединения 1032.

Пример 76. Получение 5-(((S)-2-((2R,4R)-4-фенилпирролидин-2-карбоксамидо)пропанамидо)метил)пиколинамида дигидрохлорида (1273)

5-(((S)-2-((2R,4R)-4-фенилпирролидин-2-карбоксамидо)пропанамидо)метил)пиколинамид выделяли в виде побочного продукта при синтезе (1272).

Пример 77. Получение (2R,4R)-N-((S)-1-((5-хлор-2-(метилсульфонамидо)бензил)амино)-1-оксопропан-2-ил)-4-фенилпирролидин-2-карбоксамида гидрохлорида (1274)

Этап 1: Трет-бутил(2R,4R)-2-(((S)-1-((2-амино-5-хлорбензил)амино)-1-оксопропан-2-ил)карбамоил)-4-фенилпирролидин-1-карбоксилат (30 мг, 0,06 ммоль) (синтезированный по методике этапа 1 для соединения (1269)) растворяли в CH2Cl2 (1 мл) и обрабатывали MsCl (7 мкл, 0,09 ммоль) и Et3N (25 мкл, 0,18 ммоль), затем перемешивали в течение 16 ч при температуре окружающей среды. Реакционную смесь разбавляли CH2Cl2 и промывали 10% водным KHSO4, рассолом и насыщенным водным NaHCO3. Органический слой сушили над Na2SO4 и концентрировали, затем осадок очищали хроматографией (80-90% EtOAc/гексаны), с получением трет-бутил(2R,4R)-2-(((S)-1-((5-хлор-2-(метилсульфонамидо)бензил)амино)-1-оксопропан-2-ил)карбамоил)-4-фенилпирролидин-1-карбоксилата в виде бесцветного масла. Удаление защитной группы Boc проводили путем обработки 3 M HCl в iPrOH в течение ночи при температуре окружающей среды. Удаление iPrOH и лиофилизация в смеси 1:1 ACN/H2O приводили к получению указанного в заголовке соединения в виде окрашенного в розовый цвет рыхлого твердого вещества (1,9 мг, 6% выход за 2 этапа).

Пример 78. Получение (R)-2-амино-N-((S)-1-(((6-амино-5-хлорпиридин-3-ил)метил)амино)-1-оксопропан-2-ил)-4-фенилбутанамида дигидрохлорида (1275)

(R)-2-амино-N-((S)-1-(((6-амино-5-хлорпиридин-3-ил)метил)амино)-1-оксопропан-2-ил)-4-фенилбутанамид дигидрохлорид синтезировали в соответствии с методикой для соединения (1243).

Пример 79. Получение (2R,4S)-N-((S)-1-((4-карбамимидоилбензил)амино)-1-оксопропан-2-ил)-4-(3-(трифторметил)фенил)пирролидин-2-карбоксамида дигидрохлорида (1276)

(2R,4S)-N-((S)-1-((4-карбамимидоилбензил)амино)-1-оксопропан-2-ил)-4-(3-(трифторметил)фенил)пирролидин-2-карбоксамид дигидрохлорид синтезировали в соответствии с методиками для соединения (1247).

Пример 80. Получение (2R,4S)-4-(3-(аминометил)фенил)-N-((S)-1-((4-карбамимидоилбензил)амино)-1-оксопропан-2-ил)пирролидин-2-карбоксамида тригидрохлорида (1277)

(2R,4S)-4-(3-(аминометил)фенил)-N-((S)-1-((4-карбамимидоилбензил)амино)-1-оксопропан-2-ил)пирролидин-2-карбоксамид тригидрохлорид синтезировали в соответствии с методиками для соединения (1247).

Пример 81. Получение (2R,4S)-N-((S)-1-((4-карбамимидоилбензил)амино)-1-оксопропан-2-ил)-4-(3-цианофенил)пирролидин-2-карбоксамида дигидрохлорида (1278)

(2R,4S)-N-((S)-1-((4-карбамимидоилбензил)амино)-1-оксопропан-2-ил)-4-(3-цианофенил)пирролидин-2-карбоксамид дигидрохлорид синтезировали в соответствии с методиками для соединения (1247).

Пример 82. Получение (R)-2-амино-N-((S)-1-((5-бром-2-гидроксибензил)амино)-1-оксопропан-2-ил)-4-фенилбутанамида гидрохлорида (1279)

Этапы 1-2: (R)-2-амино-N-((S)-1-((5-бром-2-гидроксибензил)амино)-1-оксопропан-2-ил)-4-фенилбутанамид, гидрохлорид синтезировали в виде белого рыхлого порошка в соответствии с методиками этапов 1-2 для соединения (1246), с использованием соответствующих исходных материалов (31,4 мг, 44% выход за два этапа).

Пример 83. Получение (R)-2-амино-N-((S)-1-(((6-(аминометил)пиридин-3-ил)метил)амино)-1-оксопропан-2-ил)-4-фенилбутанамида дигидрохлорида (1280)

Этап 1: К суспензии 6-(аминометил)никотинoнитрила (2,05 г, 9,95 ммоль) в THF (50 мл) добавляли насыщенный NaHCO3 (50 мл). Смесь перемешивали 30 мин, затем добавляли бензилхлорформиат (1,6 мл, 11,3 ммоль). После энергичного перемешивания в течение 2 ч смесь разбавляли EtOAc и слои разделяли. Водный слой экстрагировали EtOAc, и объединенные органические слои промывали рассолом, сушили (Na2SO4) и концентрировали в вакууме. Неочищенный материал кристаллизовали из теплой смеси гексаны-Et2O. Твердое вещество собирали фильтрованием, промывали смесью Et2O-гексаны и ~10% EtOAc-гексаны, и сушили на воздухе, с получением бензил((5-цианопиридин-2-ил)метил)карбамата (805 мг, 30% выход).

Этап 2: К раствору бензил((5-цианопиридин-2-ил)метил)карбамата (0,80 г, 2,99 ммоль) в MeOH (50 мл) добавляли NiCl2 (0,43 г, 3,29 ммоль) и ди-трет-бутилдикарбонат (2,05 г, 9,4 ммоль). Смесь охлаждали в ледяной бане и добавляли NaBH4 (0,445 г, 11,8 ммоль) в двух аликвотах в течение 10 мин. Реакционную смесь оставляли нагреваться до температуры окружающей среды, перемешивали в течение ночи, затем концентрировали в вакууме. Осадок растворяли в EtOAc и 0,5 M KHSO4. Слои разделяли, и водный слой доводили до pH 10 насыщенным NaHCO3 и 2 M NaOH. После экстрагирования EtOAc объединенные органические слои промывали H2O и разбавленным водным раствором NH4OH, содержащим рассол. Раствор сушили (Na2SO4) и концентрировали в вакууме. Очистка хроматографией (10-80% EtOAc-гексаны) приводила к получению бензил((5-(((трет-бутоксикарбонил)амино)метил)пиридин-2-ил)метил)карбамата (527 мг, 47% выход).

Этап 3: К раствору бензил((5-(((трет-бутоксикарбонил)амино)метил)пиридин-2-ил)метил)карбамата (527 мг, 1,42 ммоль) в MeOH (10 мл) добавляли 3 M HCl-CPME (10 мл). После перемешивания в течение 3 ч к густой суспензии добавляли EtOAc. Твердое вещество собирали фильтрованием, промывали EtOAc и гексанами и сушили, с получением бензил((5-(аминометил)пиридин-2-ил)метил)карбамата дигидрохлорида (412 мг, 94% выход).

Этап 4: К раствору ((R)-2-((трет-бутоксикарбонил)амино)-4-фенилбутаноил)-L-аланина (122 мг, 0,35 ммоль) и NHS (44 мг, 0,38 ммоль) в CH2Cl2 (8 мл) добавляли DCC (77 мг, 0,37 ммоль), и смесь перемешивали в течение 1 ч. В отдельном флаконе бензил((5-(аминометил)пиридин-2-ил)метил)карбамат дигидрохлорид (140 мг, 0,45 ммоль) обрабатывали CH2Cl2 (2 мл) и насыщенным NaHCO3 (2,5 мл). Эту двухфазную смесь добавляли к реакционной смеси и перемешивали в течение 70 мин. Слои разделяли, затем органические слои промывали H2O и рассолом, сушили (Na2SO4) и концентрировали в вакууме. Очистка хроматографией (50-100%) EtOAc приводила к получению трет-бутил((R)-1-(((S)-1-(((6-((((бензилокси)карбонил)амино)метил)пиридин-3-ил)метил)амино)-1-оксопропан-2-ил)амино)-1-оксо-4-фенилбутан-2-ил)карбамата (113 мг, 54% выход).

Этап 5: С трет-бутил((R)-1-(((S)-1-(((6-((((бензилокси)карбонил)амино)метил)пиридин-3-ил)метил)амино)-1-оксопропан-2-ил)амино)-1-оксо-4-фенилбутан-2-ил)карбамата снимали защиту при помощи 3 M HCl-CPME в соответствии с методикой для (1315), за исключением того, что реакционную смесь концентрировали в вакууме, с получением бензил((5-(((S)-2-((R)-2-амино-4-фенилбутанамидо)пропанамидо)метил)пиридин-2-ил)метил)карбамата дигидрохлорида.

Этап 6: К дегазированному раствору бензил((5-(((S)-2-((R)-2-амино-4-фенилбутанамидо)пропанамидо)метил)пиридин-2-ил)метил)карбамата из предыдущего этапа в MeOH (8 мл) добавляли 10% Pd/C (18 мг). Смесь помещали в атмосферу H2 и перемешивали при температуре окружающей среды в течение ночи. После дегазации смеси добавляли 1 M HCl (0,5 мл), затем густую суспензию фильтровали (0,2-мкМ шприцевой фильтр) и концентрировали в вакууме. Осадок растворяли в H2O, промывали CH2Cl2 3x, затем концентрировали в вакууме. Растворение осадка в EtOAc-MeOH, с последующим концентрированием в вакууме, приводило к получению (R)-2-амино-N-((S)-1-(((6-(аминометил)пиридин-3-ил)метил)амино)-1-оксопропан-2-ил)-4-фенилбутанамида дигидрохлорида в виде не совсем белого твердого вещества (88 мг, количественный выход).

Пример 84. Получение (2R,4R)-N-((2S)-1-(((2-амино-4,5,6,7-тетрагидробензо[d]тиазол-6-ил)метил)амино)-1-оксопропан-2-ил)-4-фенилпирролидин-2-карбоксамида ди-трифторацетатной соли (1281)

Этап 1: В 25-мл круглодонную колбу добавляли коммерчески доступный N-((4-оксоциклогексил)метил)ацетамид (467,0 мг, 2,76 ммоль), а затем CH2Cl2 (5 мл). После продувания N2 по каплям добавляли раствор Br2 (140 мкл, 2,73 ммоль) в CH2Cl2 (10 мл) при комнатной температуре с помощью шприцевого насоса со скоростью 0,317 мл в мин. После добавления реакционную смесь нагревали с обратным холодильником в течение 1 ч. Летучие вещества выпаривали в вакууме, с получением неочищенного N-((3-бром-4-оксоциклогексил)метил)ацетамида.

Этап 2: В 25-мл круглодонную колбу добавляли неочищенный N-((3-бром-4-оксоциклогексил)метил)ацетамид, с последующим добавлением EtOH (8 мл) и тиомочевины при комнатной температуре. После продувания N2 реакционную смесь нагревали с обратным холодильником в течение 2 ч. Летучие вещества выпаривали в вакууме. Неочищенный продукт разбавляли водой (10 мл), затем медленно добавляли 1 M раствор NaOH для защелачивания (pH примерно 13). Щелочной раствор экстрагировали 15 мл EtOAc (3 раза). Органические слои объединяли, промывали рассолом, сушили (Na2SO4), фильтровали в вакууме и выпаривали в вакууме. Неочищенный продукт растворяли в CH2Cl2 и адсорбировали на силикагеле. Очистка хроматографией (0-15% MeOH-CH2Cl2) приводила к получению N-((2-амино-4,5,6,7-тетрагидробензо[d]тиазол-6-ил)метил)ацетамида (48,5 мг, 8% выход).

Этап 3: В 25-мл круглодонную колбу добавляли N-((2-амино-4,5,6,7-тетрагидробензо[d]тиазол-6-ил)метил)ацетамид (48,5 мг, 0,213 ммоль), с последующим добавлением коммерчески доступного водного раствора HBr (2 мл, 48% в воде). После продувания N2 реакционную смесь нагревали с обратным холодильником в течение 18 ч. Летучие вещества выпаривали в вакууме, с получением неочищенной 6-(аминометил)-4,5,6,7-тетрагидробензо[d]тиазол-2-амина дигидробромидной соли.

Этап 4: ((2R,4R)-1-(трет-бутоксикарбонил)-4-фенилпирролидин-2-карбонил)-L-аланин (69,0 мг, 0,190 ммоль) присоединяли к неочищенному 6-(аминометил)-4,5,6,7-тетрагидробензо[d]тиазол-2-амину дигидробромиду в соответствии с методикой для соединения 1116, этап 1, с получением трет-бутил(2R,4R)-2-(((2S)-1-(((2-амино-4,5,6,7-тетрагидробензо[d]тиазол-6-ил)метил)амино)-1-оксопропан-2-ил)карбамоил)-4-фенилпирролидин-1-карбоксилата (64,1 мг, 64% выход).

Этап 5: Снятие защиты трет-бутил(2R,4R)-2-(((2S)-1-(((2-амино-4,5,6,7-тетрагидробензо[d]тиазол-6-ил)метил)амино)-1-оксопропан-2-ил)карбамоил)-4-фенилпирролидин-1-карбоксилата (64,1 мг, 0,121 ммоль) проводили в соответствии с методикой для соединения 1119, этап 2. Очистка методом обращенно-фазовой ВЭЖХ (5-45-75-90% MeCN-H2O) приводила к получению (2R,4R)-N-((2S)-1-(((2-амино-4,5,6,7-тетрагидробензо[d]тиазол-6-ил)метил)амино)-1-оксопропан-2-ил)-4-фенилпирролидин-2-карбоксамида ди-трифторацетатной соли (16,0 мг, 31% выход).

Пример 85. Получение (2S,4R)-N-((S)-1-(((6-амино-2-метилпиридин-3-ил)метил)амино)-1-оксопропан-2-ил)-4-бензилпирролидин-2-карбоксамида дигидрохлорида (1282)

(2S,4R)-N-((S)-1-(((6-амино-2-метилпиридин-3-ил)метил)амино)-1-оксопропан-2-ил)-4-бензилпирролидин-2-карбоксамид дигидрохлорид синтезировали в соответствии с методиками для соединения (1304), этапы 7 и 8, начиная с коммерчески доступной (2S,4R)-4-бензил-1-(трет-бутоксикарбонил)пирролидин-2-карбоновой кислоты.

Пример 86. Получение (2R,4R)-N-((S)-1-(((6-амино-2-метилпиридин-3-ил)метил)амино)-1-оксопропан-2-ил)-4-бензилпирролидин-2-карбоксамида дигидрохлорида (1283)

(2R,4R)-N-((S)-1-(((6-амино-2-метилпиридин-3-ил)метил)амино)-1-оксопропан-2-ил)-4-бензилпирролидин-2-карбоксамид дигидрохлорид синтезировали в соответствии с методиками для соединения (1304), этапы 7 и 8, начиная с коммерчески доступной (2R,4R)-4-бензил-1-(трет-бутоксикарбонил)пирролидин-2-карбоновой кислоты.

Пример 87. Получение (2R,4R)-4-бензил-N-((S)-1-((4-карбамимидоилбензил)амино)-1-оксопропан-2-ил)пирролидин-2-карбоксамида ди-трифторацетатной соли (1284)

(2R,4R)-4-бензил-N-((S)-1-((4-карбамимидоилбензил)амино)-1-оксопропан-2-ил)пирролидин-2-карбоксамида ди-трифторацетатную соль синтезировали в соответствии с методиками для соединения (1247), за исключением того, что конечный продукт очищали с использованием обращенно-фазовой ВЭЖХ.

Пример 88. Получение (2S,4R)-4-бензил-N-((S)-1-((4-карбамимидоилбензил)амино)-1-оксопропан-2-ил)пирролидин-2-карбоксамида дигидрохлорида (1285)

(2S,4R)-4-бензил-N-((S)-1-((4-карбамимидоилбензил)амино)-1-оксопропан-2-ил)пирролидин-2-карбоксамид дигидрохлорид синтезировали в соответствии с методиками для соединения (1247).

Пример 89. Получение (S)-N-(1-((4-карбамимидоилбензил)амино)-1-оксопропан-2-ил)-4-фенилтиазол-2-карбоксамида гидрохлорида (1286)

(S)-N-(1-((4-карбамимидоилбензил)амино)-1-оксопропан-2-ил)-4-фенилтиазол-2-карбоксамид гидрохлорид синтезировали в соответствии с методиками для соединения (1234), за исключением того, что несколько капель концентрированной HCl добавляли к реакционной смеси во время этапа снятия защиты бензилкарбамата.

Пример 90. Получение (R)-2-амино-N-((S)-1-((5-хлор-2-(гидроксиметил)бензил)амино)-1-оксопропан-2-ил)-4-фенилбутанамида гидрохлорида (1287)

Этапы 1-2: Указанное в заголовке соединение синтезировали в виде белого порошка в соответствии с методиками этапов 1-2 для соединения (1246), с использованием соответствующих исходных материалов (27,5 мг, 31% выход за два этапа).

Пример 91. Получение 2,2,2-трихлорэтил(имино(4-(((S)-2-((2R,4R)-4-фенилпирролидин-2-карбоксамидо)пропанамидо)метил)фенил)метил)карбамата (1288)

Этап 1: К находящемуся при 0°C раствору трет-бутил(4-карбамимидоилбензил)карбамата ацетатной соли (100 мг, 0,32 ммоль) в DMF (2 мл, 0,16 M) добавляли трихлорэтил хлорформиат (0,09 мл, 0,65 ммоль) и Et3N (0,18 мл, 1,29 ммоль). После перемешивания в течение 1 ч при той же температуре реакционную смесь гасили добавлением H2O. Полученную смесь экстрагировали EtOAc, сушили над безводным Na2SO4 и концентрировали в вакууме. Осадок очищали хроматографией (0-100% EtOAc-гексаны), с получением трет-бутил(4-(N-((2,2,2-трихлорэтокси)карбонил)карбамимидоил)бензил)карбамата (82 мг, 60% выход).

Этап 2: Снятие защиты трет-бутил(4-(N-((2,2,2-трихлорэтокси)карбонил)карбамимидоил)бензил)карбамата (165 мг, 0,39 ммоль) проводили в соответствии с методикой для соединения (1259), этап 2, с получением 2,2,2-трихлорэтил((4-(аминометил)фенил)(имино)метил)карбамата трифторацетатной соли (126 мг, 100% выход).

Этап 3: 2,2,2-трихлорэтил((4-(аминометил)фенил)(имино)метил)карбамата трифторацетатную соль (170 мг, 0,39 ммоль) присоединяли к ((2R,4R)-1-(трет-бутоксикарбонил)-4-фенилпирролидин-2-карбонил)-L-аланину в соответствии с методикой для соединения (1259), этап 3, с получением 2,2,2-трихлорэтил(имино(4-(((S)-2-((2R,4R)-4-фенилпирролидин-2-карбоксамидо)пропанамидо)метил)фенил)метил)карбамата (180 мг, 83% выход).

Этап 4: Снятие защиты (имино(4-(((S)-2-((2R,4R)-4-фенилпирролидин-2-карбоксамидо)пропанамидо)метил)фенил)метил)карбамата (180 мг, 0,27 ммоль) проводили в соответствии с методикой для соединения (1260), этап 4, с получением 2,2,2-трихлорэтил(имино(4-(((S)-2-((2R,4R)-4-фенилпирролидин-2-карбоксамидо)пропанамидо)метил)фенил)метил)карбамата (112 мг, 73% выход).

Пример 92. Получение (R)-2-амино-N-((S)-1-((4-карбамимидоилбензил)амино)-1-оксобутан-2-ил)-4-фенилбутанамида дигидрохлорида (1289)

(R)-2-амино-N-((S)-1-((4-карбамимидоилбензил)амино)-1-оксобутан-2-ил)-4-фенилбутанамид дигидрохлорид синтезировали с использованием (S)-2-((трет-бутоксикарбонил)амино)бутановой кислоты на этапе 1 в соответствии с методиками для соединения 1050.

Пример 93. Получение (2R,4R)-N-((S)-1-((4-карбамимидоилбензил)амино)-1-оксобутан-2-ил)-4-фенилпирролидин-2-карбоксамида дигидрохлорида (1290)

(2R,4R)-N-((S)-1-((4-карбамимидоилбензил)амино)-1-оксобутан-2-ил)-4-фенилпирролидин-2-карбоксамид синтезировали с использованием (S)-2-((трет-бутоксикарбонил)амино)бутановой кислоты на этапе 1 и (2R,4R)-1-(трет-бутоксикарбонил)-4-фенилпирролидин-2-карбоновой кислоты на этапе 3 в соответствии с методиками для соединения 1050.

Пример 94. Получение (2R,4S)-N-((S)-1-(((6-амино-2-метилпиридин-3-ил)метил)амино)-1-оксопропан-2-ил)-4-(3-(аминометил)фенил)пирролидин-2-карбоксамида дигидрохлорида (1291)

(2R,4S)-N-((S)-1-(((6-амино-2-метилпиридин-3-ил)метил)амино)-1-оксопропан-2-ил)-4-(3-(аминометил)фенил)пирролидин-2-карбоксамид дигидрохлорид синтезировали в соответствии с методиками для соединения (1257).

Пример 95. Получение (R)-N-(4-((Z)-N'-гидроксикарбамимидоил)бензил)-2-метил-4-оксо-4-((2R,4R)-4-фенилпирролидин-2-ил)бутанамида (1292)

Снятие защиты трет-бутил(2R,4R)-2-(((S)-1-((4-((Z)-N'-гидроксикарбамимидоил)бензил)амино)-1-оксопропан-2-ил)карбамоил)-4-фенилпирролидин-1-карбоксилата (173 мг, 0,34 ммоль) проводили в соответствии с методикой для соединения (1260), этап 4, с получением (R)-N-(4-((Z)-N'-гидроксикарбамимидоил)бензил)-2-метил-4-оксо-4-((2R,4R)-4-фенилпирролидин-2-ил)бутанамида (103 мг, 71% выход).

Пример 96. Получение изобутил(имино(4-(((S)-2-((2R,4R)-4-фенилпирролидин-2-карбоксамидо)пропанамидо)метил)фенил)метил)карбамата (1293)

Этап 1: Трет-бутил(4-(N-(изобутоксикарбонил)карбамимидоил)бензил)карбамат (145 мг, 64% выход) синтезировали из трет-бутил(4-карбамимидоилбензил)карбамата ацетатной соли (200 мг, 0,65 ммоль) и изобутилхлорформиата в соответствии с методикой для соединения (1288), этап 1.

Этап 2: Снятие защиты трет-бутил(4-(N-(изобутоксикарбонил)карбамимидоил)бензил)карбамата (145 мг, 0,42 ммоль) проводили в соответствии с методикой для соединения (1259), этап 2, с получением изобутил((4-(аминометил)фенил)(имино)метил)карбамата трифторацетатной соли (150 мг, 100% выход).

Этап 3: Изобутил((4-(аминометил)фенил)(имино)метил)карбамата трифторацетатную соль (150 мг, 0,42 ммоль) присоединяли к ((2R,4R)-1-(трет-бутоксикарбонил)-4-фенилпирролидин-2-карбонил)-L-аланину в соответствии с методикой для соединения (1259), этап 3, с получением трет-бутил(2R,4R)-2-(((S)-1-((4-(N-(изобутоксикарбонил)карбамимидоил)бензил)амино)-1-оксопропан-2-ил)карбамоил)-4-фенилпирролидин-1-карбоксилата (173 мг, 84% выход).

Этап 4: Снятие защиты трет-бутил(2R,4R)-2-(((S)-1-((4-(N-(изобутоксикарбонил)карбамимидоил)бензил)амино)-1-оксопропан-2-ил)карбамоил)-4-фенилпирролидин-1-карбоксилата (173 мг, 0,29 ммоль) проводили в соответствии с методикой для соединения (1260), этап 4, с получением изобутил(имино(4-(((S)-2-((2R,4R)-4-фенилпирролидин-2-карбоксамидо)пропанамидо)метил)фенил)метил)карбамата (111 мг, 77% выход).

Пример 97. Получение этил(имино(4-(((S)-2-((2R,4R)-4-фенилпирролидин-2-карбоксамидо)пропанамидо)метил)фенил)метил)карбамата (1294)

Этап 1: Трет-бутил(4-(N-(этоксикарбонил)карбамимидоил)бензил)карбамат (142 мг, 68% выход) синтезировали из трет-бутил(4-карбамимидоилбензил)карбамат уксусной кислоты (200 мг, 0,65 ммоль) и этилхлорформиата в соответствии с методикой для соединения (1288), этап 1.

Этап 2: Снятие защиты трет-бутил(4-(N-(этоксикарбонил)карбамимидоил)бензил)карбамата (142 мг, 0,44 ммоль) проводили в соответствии с методикой для соединения (1259), этап 2, с получением этил((4-(аминометил)фенил)(имино)метил)карбамата трифторацетатной соли (148 мг, 100% выход).

Этап 3: Этил((4-(аминометил)фенил)(имино)метил)карбамата трифторацетатную соль (130 мг, 0,39 ммоль) присоединяли к ((2R,4R)-1-(трет-бутоксикарбонил)-4-фенилпирролидин-2-карбонил)-L-аланину в соответствии с методикой для соединения (1259), этап 3, с получением трет-бутил(2R,4R)-2-(((S)-1-((4-(N-(этоксикарбонил)карбамимидоил)бензил)амино)-1-оксопропан-2-ил)карбамоил)-4-фенилпирролидин-1-карбоксилата (168 мг, 91% выход).

Этап 4: Снятие защиты трет-бутил(2R,4R)-2-(((S)-1-((4-(N-(этоксикарбонил)карбамимидоил)бензил)амино)-1-оксопропан-2-ил)карбамоил)-4-фенилпирролидин-1-карбоксилата (168 мг, 0,3 ммоль) проводили в соответствии с методикой для соединения (1260), этап 4, с получением этил(имино(4-(((S)-2-((2R,4R)-4-фенилпирролидин-2-карбоксамидо)пропанамидо)метил)фенил)метил)карбамата (102 мг, 74% выход).

Пример 98. Получение (S)-N-(1-((4-карбамимидоилбензил)амино)-1-оксопропан-2-ил)-3-фенил-1H-пиразол-5-карбоксамида (1295)

(S)-N-(1-((4-карбамимидоилбензил)амино)-1-оксопропан-2-ил)-3-фенил-1H-пиразол-5-карбоксамид синтезировали в соответствии с методиками для соединения (1234).

Пример 99. Получение (R)-2-амино-N-((S)-1-(((2-аминопиридин-4-ил)метил)амино)-1-оксопропан-2-ил)-4-фенилбутанамида дигидрохлорида (1296)

Этап 1: ((R)-2-((трет-бутоксикарбонил)амино)-4-фенилбутаноил)-L-аланин присоединяли к 4-(аминометил)пиридин-2-амину в соответствии с методикой для соединения (1265), этап 1, за исключением того, что небольшое количество насыщенного раствора NaHCO3 добавляли к реакционной смеси. После экстрагирования очистка хроматографией (0-10% MeOH-CH2Cl2) приводила к получению трет-бутил((R)-1-(((S)-1-(((2-аминопиридин-4-ил)метил)амино)-1-оксопропан-2-ил)амино)-1-оксо-4-фенилбутан-2-ил)карбамата (90 мг, 57% выход).

Этап 2: С трет-бутил((R)-1-(((S)-1-(((2-аминопиридин-4-ил)метил)амино)-1-оксопропан-2-ил)амино)-1-оксо-4-фенилбутан-2-ил)карбамата снимали защиту в соответствии с методикой для соединения (1243), с получением (R)-2-амино-N-((S)-1-(((2-аминопиридин-4-ил)метил)амино)-1-оксопропан-2-ил)-4-фенилбутанамида дигидрохлорида (85 мг, количественный выход).

Пример 100. Получение (2R,4S)-N-((S)-1-(((6-амино-2-метилпиридин-3-ил)метил)амино)-1-оксопропан-2-ил)-4-(нафтален-1-ил)пиперидин-2-карбоксамида дигидрохлорида (1297)

(2R,4S)-N-((S)-1-(((6-амино-2-метилпиридин-3-ил)метил)амино)-1-оксопропан-2-ил)-4-(нафтален-1-ил)пиперидин-2-карбоксамид дигидрохлорид синтезировали в соответствии с методиками для соединения (1231) (9) (третий УФ-активный материал, элюируемый с колонки на этапе 6, использовали в дальнейшем) и соединения (1253), этапы 1 и 2.

Пример 101. Получение (2R,4R)-N-((S)-1-((5-хлор-2-гидрокси-3-метилбензил)амино)-1-оксопропан-2-ил)-4-фенилпирролидин-2-карбоксамида гидрохлорида (1298)

Этап 1: В 100-мл круглодонную колбу вносили AcOH (18 мл) и H2SO4 (2 мл), затем охлаждали до 0°C. Cl-N-(гидроксиметил)ацетамид (4,32 г, 35 ммоль) и 4-хлор-2-метилфенол (5 г, 35 ммоль) добавляли порционно в перемешиваемый кислотный раствор, затем реакционную смесь оставляли нагреваться до температуры окружающей среды в течение ночи. Реакционную смесь вливали в ледяную H2O, затем экстрагировали CH2Cl2 x3. Объединенные органические слои промывали рассолом, сушили над Na2SO4 с концентрировали, с получением бесцветного масла. Промежуточное соединение растворяли в EtOH (10 мл), обрабатывали концентрированной HCl (3 мл) и нагревали с обратным холодильником в течение 2 ч. Полученную желтую суспензию затем хранили при -10°C в течение ночи и фильтровали с EtOH, с получением 2-(аминометил)-4-хлор-6-метилфенола, гидрохлорида в виде белого рыхлого твердого вещества (1,67 г, 23% выход).

Этапы 2-3: Указанное в заголовке соединение синтезировали в виде белого порошка в соответствии с методиками этапов 1-2 для соединения (1246), с использованием соответствующих исходных материалов (36,7 мг, 25% выход за два этапа).

Пример 102. Получение (R)-2-амино-N-((S)-1-((5-хлор-2-гидрокси-3-метилбензил)амино)-1-оксопропан-2-ил)-4-фенилбутанамида гидрохлорида (1299)

Этапы 1-2: Указанное в заголовке соединение синтезировали в виде белого гранулированного твердого вещества в соответствии с методиками этапов 1-2 для соединения (1246), с использованием соответствующих исходных материалов (65 мг, 59% выход за два этапа).

Пример 103. Получение (2R,4R)-N-((S)-1-((4-карбамимидоил-3-фторбензил)амино)-1-оксопропан-2-ил)-4-фенилпирролидин-2-карбоксамида ди-трифторацетатной соли (1300)

Этап 1: К раствору 4-(аминометил)-2-фторбензонитрила (986,0 мг, 6,57 ммоль) в MeCN (5,5 мл) добавляли DIEA (1,2 мл, 6,89 ммоль) и ди-трет-бутилдикарбонат (1,44 г, 6,60 ммоль) при комнатной температуре. После продувания N2 реакционную смесь перемешивали при комнатной температуре в течение 16 ч. Летучие вещества выпаривали в вакууме. Неочищенный продукт разбавляли EtOAc (200 мл) и промывали 10% раствором KHSO4 (100 мл, 2 раза). Органический слой промывали рассолом, сушили (Na2SO4), фильтровали в вакууме и выпаривали в вакууме. Неочищенный продукт растворяли в CH2Cl2 и адсорбировали на силикагеле. Очистка хроматографией (0-15% MeOH-CH2Cl2) приводила к получению трет-бутил(4-циано-3-фторбензил)карбамата (1,19 г, 73% выход).

Этап 2: Бензил((4-(аминометил)-2-фторфенил)(имино)метил)карбамат гидрохлорид синтезировали в соответствии с методикой для соединения 1251, этапы 3-6.

Этап 3: Бензил((2-фтор-4-(((S)-2-((2R,4R)-4-фенилпирролидин-2-карбоксамидо)пропанамидо)метил)фенил)(имино)метил)карбамат синтезировали в соответствии с методикой для соединения (1281), этапы 4-5.

Этап 4: Снятие защиты бензил((2-фтор-4-(((S)-2-((2R,4R)-4-фенилпирролидин-2-карбоксамидо)пропанамидо)метил)фенил)(имино)метил)карбамата проводили в соответствии с методикой для соединения 1130, этап 3. Очистка методом обращенно-фазовой ВЭЖХ (5-75-90% MeCN-H2O) приводила к получению (2R,4R)-N-((S)-1-((4-карбамимидоил-3-фторбензил)амино)-1-оксопропан-2-ил)-4-фенилпирролидин-2-карбоксамида ди-трифторацетатной соли.

Пример 104. Получение (2R,4R)-N-((S)-1-(((5-хлор-2-оксо-1,2-дигидропиридин-3-ил)метил)амино)-1-оксопропан-2-ил)-4-фенилпирролидин-2-карбоксамида гидрохлорида (1301)

(2R,4R)-N-((S)-1-(((5-хлор-2-оксо-1,2-дигидропиридин-3-ил)метил)амино)-1-оксопропан-2-ил)-4-фенилпирролидин-2-карбоксамид гидрохлорид синтезировали в соответствии с методикой для соединения (1296).

Пример 105. Получение (2R,4S)-N-((S)-1-((4-карбамимидоилбензил)амино)-1-оксопропан-2-ил)-4-(3-этилфенил)пирролидин-2-карбоксамида дигидрохлорида (1302)

(2R,4S)-N-((S)-1-((4-карбамимидоилбензил)амино)-1-оксопропан-2-ил)-4-(3-этилфенил)пирролидин-2-карбоксамид дигидрохлорид синтезировали в соответствии с методиками для соединения (1247).

Пример 106. Получение (2R,4S)-N-((S)-1-(((6-амино-2-метилпиридин-3-ил)метил)амино)-1-оксопропан-2-ил)-4-(3-этилфенил)пирролидин-2-карбоксамида дигидрохлорида (1303)

Первые четыре этапа синтеза (2R,4S)-N-((S)-1-(((6-амино-2-метилпиридин-3-ил)метил)амино)-1-оксопропан-2-ил)-4-(3-этилфенил)пирролидин-2-карбоксамида дигидрохлорида проводили в соответствии с методиками для соединения (1257).

Пример 107. Получение (2R,4S)-N-((S)-1-(((6-амино-2-метилпиридин-3-ил)метил)амино)-1-оксопропан-2-ил)-4-бензилпирролидин-2-карбоксамида дигидрохлорида (1304)

Этап 1: К перемешиваемому раствору 2-бензил-1-(трет-бутил)-(R)-5-оксопирролидин-1,2-дикарбоксилата (1,50 г, 4,70 ммоль) в THF (31 мл) при -78°C медленно добавляли литий бис(триметилсилил)амид (5,17 мл, 5,17 ммоль, 1 M в THF) в атмосфере Ar. После перемешивания в течение 1 ч при -78°C добавляли бензилбромид (0,653 мл, 5,65 ммоль), и перемешивание продолжали еще в течение 2 ч. Реакционную смесь гасили насыщенным раствором NH4Cl и экстрагировали диэтиловым эфиром (3×60 мл). Объединенные экстракты сушили над Na2SO4, фильтровали и концентрировали в вакууме. Осадок очищали хроматографией (EtOAc-гексаны), с получением 2-бензил-1-(трет-бутил)-(2R,4S)-4-бензил-5-оксопирролидин-1,2-дикарбоксилата (1,60 г, 83% выход).

Этап 2: К раствору 2-бензил-1-(трет-бутил)-(2R,4S)-4-бензил-5-оксопирролидин-1,2-дикарбоксилата (1,60 г, 3,91 ммоль) в THF (26 мл) при -78°C добавляли раствор лития триэтилборогидрида (4,30 мл, 4,30 ммоль, 1 M в THF) в атмосфере Ar. Через 30 мин реакционную смесь гасили насыщенным раствором NaHCO3 (8,60 мл) и нагревали до 0°C. При 0°C добавляли 30% H2O2 (примерно 25 капель), и реакционную смесь перемешивали при той же температуре в течение 30 мин. Органические летучие вещества удаляли в вакууме, и водный слой экстрагировали CH2Cl2 (3×40 мл). Объединенные органические экстракты тщательно сушили с использованием Na2SO4, фильтровали, концентрировали, с получением 2-бензил-1-(трет-бутил)-(2R,4S)-4-бензил-5-гидроксипирролидин-1,2-дикарбоксилата (1,70 г неочищенного), который непосредственно использовали на следующем этапе без дополнительной очистки.

Этап 3: К перемешиваемому раствору 2-бензил-1-(трет-бутил)-(2R,4S)-4-бензил-5-гидроксипирролидин-1,2-дикарбоксилата (1,70 г неочищенного) и триэтилсилана (0,685 мл, 4,30 ммоль) в CH2Cl2 (20 мл) при -78°C по каплям добавляли диэтилэфират трехфтористого бора (0,531 мл, 4,30 ммоль) в атмосфере Ar. Через 30 мин при той же температуре добавляли дополнительно триэтилсилан (0,685 мл, 4,30 ммоль) и диэтилэфират трехфтористого бора (0,531 мл, 4,30 ммоль). После перемешивания в течение 2 ч при -78°C реакционную смесь гасили насыщенным водным раствором NaHCO3 (10 мл) и экстрагировали CH2Cl2 (3×40 мл). Объединенные экстракты сушили над Na2SO4, фильтровали и концентрировали в вакууме. Осадок очищали хроматографией (EtOAc-гексаны), с получением 2-бензил-1-(трет-бутил)-(2R,4S)-4-бензилпирролидин-1,2-дикарбоксилата (1,00 г, 65% выход в два этапа).

Этап 4: Раствор 2-бензил-1-(трет-бутил)-(2R,4S)-4-бензилпирролидин-1, 2-дикарбоксилата (1,00 г, 2,53 ммоль) в MeOH (20 мл) барботировали газообразным Ar в течение 5 минут. 10% Pd/C (100 мг) добавляли к реакционной смеси, и смесь перемешивали под 1 атмосферой H2 в течение 3 ч. Реакционную смесь фильтровали (0,2 мкМ шприцевой фильтр), и фильтрат концентрировали в вакууме, с получением (2R,4S)-4-бензил-1-(трет-бутоксикарбонил)пирролидин-2-карбоновой кислоты (700 мг, 91% выход).

Этап 5: К перемешиваемому раствору (трет-бутоксикарбонил)-L-аланина (1,96 г, 10,38 ммоль) в CH2Cl2 (55 мл) добавляли NHS (1,25 г, 10,89 ммоль) при комнатной температуре. К реакционной смеси добавляли DCC (2,25 г 10,9 ммоль), и реакционную смесь перемешивали в течение 1,0 ч. К реакционной смеси добавляли 5-(аминометил)-6-метилпиридин-2-амин и обрабатывали ультразвуком в течение 5 мин. 5-(аминометил)-6-метилпиридин-2-амин полностью растворялся, и реакционную смесь перемешивали при температуре окружающей среды в течение 1 h. Неочищенную реакционную смесь фильтровали и концентрировали при пониженном давлении. Неочищенную реакционную смесь очищали хроматографией (MeOH/CH2Cl2), с получением трет-бутил(S)-(1-(((6-амино-2-метилпиридин-3-ил)метил)амино)-1-оксопропан-2-ил)карбамата (2,35 г, 70% выход) в виде белого твердого вещества.

Этап 6: К трет-бутил(S)-(1-(((6-амино-2-метилпиридин-3-ил)метил)амино)-1-оксопропан-2-ил)карбамату (2,35 г, 7,62 ммоль) добавляли раствор MeOH-HCl (19 мл, 2 M) с перемешиванием при температуре окружающей среды, контролируя расход исходного материала (как правило, 1 ч). Раствор выпаривали до сухого состояния, добавляли MeOH (50 мл) и выпаривали до сухого состояния для удаления остаточного газа HCl, с получением (S)-2-амино-N-((6-амино-2-метилпиридин-3-ил)метил)пропанамида гидрохлорида (1,60 г, 90% выход) в виде не совсем белого твердого вещества (гигроскопического).

Этап 7: К перемешиваемому раствору (2R,4S)-4-бензил-1-(трет-бутоксикарбонил)пирролидин-2-карбоновой кислоты (100 мг, 0,33 ммоль) в безводном DMF (3,3 мл) добавляли HOBt (50 мг, 0,36 ммоль), DIEA (0,23 мл, 1,32 ммоль) и EDC (69 мг, 0,36 ммоль) при температуре окружающей среды. Реакционную смесь перемешивали в течение 30 мин при температуре окружающей среды. К реакционной смеси добавляли (S)-2-амино-N-((6-амино-2-метилпиридин-3-ил)метил)пропанамид гидрохлорид (97 мг, 0,396 ммоль) и перемешивали в течение ночи. Раствор выпаривали до сухого состояния, и осадок распределяли между EtOAc (20 мл) и 10% KHSO4 (15 мл). Органический слой отделяли и промывали насыщенным раствором NaHCO3 (20 мл), сушили над безводным Na2SO4 и концентрировали в вакууме. Неочищенную реакционную смесь очищали хроматографией с использованием MeOH-CH2Cl2, с получением трет-бутил(2R,4S)-2-(((S)-1-(((6-амино-2-метилпиридин-3-ил)метил)амино)-1-оксопропан-2-ил)карбамоил)-4-бензилпирролидин-1-карбоксилата (124 мг, 76% выход) в виде белого твердого вещества.

Этап 8: К трет-бутил(2R,4S)-2-(((S)-1-(((6-амино-2-метилпиридин-3-ил)метил)амино)-1-оксопропан-2-ил)карбамоил)-4-бензилпирролидин-1-карбоксилату (124 мг, 0,25 ммоль) добавляли раствор MeOH-HCl (2,0 мл, 2 M) с перемешиванием при температуре окружающей среды, контролируя расход исходного материала (от 30 мин до 1 ч). Раствор выпаривали до сухого состояния, добавляли MeOH (10 мл) и выпаривали до сухого состояния для удаления остаточного газа HCl, с получением (2R,4S)-N-((S)-1-(((6-амино-2-метилпиридин-3-ил)метил)амино)-1-оксопропан-2-ил)-4-бензилпирролидин-2-карбоксамида дигидрохлорида (94 мг, 95% выход) в виде белого твердого вещества.

Пример 108. Получение 2,2,2-трифторэтил(имино(4-(((S)-2-((2R,4R)-4-фенилпирролидин-2-карбоксамидо)пропанамидо)метил)фенил)метил)карбамата (1305)

Этап 1: Трет-бутил(4-(N-(этоксикарбонил)карбамимидоил)бензил)карбамат (139 мг, 57% выход) синтезировали из трет-бутил(4-карбамимидоилбензил)карбамата ацетатной соли (200 мг, 0,65 ммоль) и трифторэтилхлорформиата в соответствии с методикой для соединения (1288), этап 1.

Этап 2: Снятие защиты трет-бутил(4-(N-(этоксикарбонил)карбамимидоил)бензил)карбамата (139 мг, 0,37 ммоль) проводили в соответствии с методикой для соединения (1259), этап 2, с получением 2,2,2-трифторэтил((4-(аминометил)фенил)(имино)метил)карбамата трифторацетатной соли (144 мг, 100% выход).

Этап 3: 2,2,2-трифторэтил((4-(аминометил)фенил)(имино)метил)карбамата трифторацетатную соль (144 мг, 0,37 ммоль) присоединяли к ((2R,4R)-1-(трет-бутоксикарбонил)-4-фенилпирролидин-2-карбонил)-L-аланину в соответствии с методикой для соединения (1259), этап 3, с получением трет-бутил(2R,4R)-2-(((S)-1-оксо-1-((4-(N-((2,2,2-трифторэтокси)карбонил)карбамимидоил)бензил)амино)пропан-2-ил)карбамоил)-4-фенилпирролидин-1-карбоксилата (168 мг, 88% выход).

Этап 4: Снятие защиты трет-бутил(2R,4R)-2-(((S)-1-оксо-1-((4-(N-((2,2,2-трифторэтокси)карбонил)карбамимидоил)бензил)амино)пропан-2-ил)карбамоил)-4-фенилпирролидин-1-карбоксилата (168 мг, 0,27 ммоль) проводили в соответствии с методикой для соединения (1260), этап 4, с получением 2,2,2-трифторэтил(имино(4-(((S)-2-((2R,4R)-4-фенилпирролидин-2-карбоксамидо)пропанамидо)метил)фенил)метил)карбамата (60 мг, 43% выход).

Пример 109. Получение (2R,4S)-4-бензил-N-((S)-1-((4-карбамимидоилбензил)амино)-1-оксопропан-2-ил)пирролидин-2-карбоксамида дигидрохлорида (1306)

(2R,4S)-4-бензил-N-((S)-1-((4-карбамимидоилбензил)амино)-1-оксопропан-2-ил)пирролидин-2-карбоксамид дигидрохлорид синтезировали в соответствии с методиками для соединения (1304), этап 1 - этап 4, и соединения (1247), этап 5 - этап 9.

Пример 110. Получение (2R,4S)-4-бензил-N-((S)-1-((5-хлор-2-гидрокси-3-метилбензил)амино)-1-оксопропан-2-ил)пирролидин-2-карбоксамида гидрохлорида (1307)

Этап 1: (2R,4S)-4-бензил-1-(трет-бутоксикарбонил)пирролидин-2-карбоновую кислоту синтезировали из 2-бензил 1-(трет-бутил)-(R)-5-оксопирролидин-1,2-дикарбоксилата в соответствии с методиками для соединения (1304), этап 1 - этап 4.

Этап 2: Трет-бутил(2R,4S)-4-бензил-2-(((S)-1-(бензилокси)-1-оксопропан-2-ил)карбамоил)пирролидин-1-карбоксилат (350 мг, 66% выход) синтезировали из (2R,4S)-4-бензил-1-(трет-бутоксикарбонил)пирролидин-2-карбоновой кислоты (350 мг, 1,14 ммоль) в соответствии с методиками для соединения (1304), этап 7.

Этап 3: ((2R,4S)-4-бензил-1-(трет-бутоксикарбонил)пирролидин-2-карбонил)-L-аланин (254 мг, 90% выход) синтезировали из трет-бутил(2R,4S)-4-бензил-2-(((S)-1-(бензилокси)-1-оксопропан-2-ил)карбамоил)пирролидин-1-карбоксилата (350 мг, 0,75 ммоль) в соответствии с методиками для соединения (1304), этап 4.

Этап 4: Трет-бутил(2R,4S)-4-бензил-2-(((S)-1-((5-хлор-2-гидрокси-3-метилбензил)амино)-1-оксопропан-2-ил)карбамоил)пирролидин-1-карбоксилат (66 мг, 70% выход) синтезировали из ((2R,4S)-4-бензил-1-(трет-бутоксикарбонил)пирролидин-2-карбонил)-L-аланина (67 мг, 0,18 ммоль) в соответствии с методикой для соединения (1234), этап 3.

Этап 5: (2R,4S)-4-бензил-N-((S)-1-((5-хлор-2-гидрокси-3-метилбензил)амино)-1-оксопропан-2-ил)пирролидин-2-карбоксамид гидрохлорид (41 мг, 80% выход) синтезировали из трет-бутил(2R,4S)-4-бензил-2-(((S)-1-((5-хлор-2-гидрокси-3-метилбензил)амино)-1-оксопропан-2-ил)карбамоил)пирролидин-1-карбоксилата (66 мг, 0,12 ммоль) в соответствии с методикой для соединения (1234), этап 3.

Пример 111. Получение (2R,4R)-N-((S)-1-(((6-амино-2-метилпиридин-3-ил)метил)амино)-1-оксопропан-2-ил)-4-фенилпиперидин-2-карбоксамида дигидрохлорида (1308)

(2R,4R)-N-((S)-1-(((6-амино-2-метилпиридин-3-ил)метил)амино)-1-оксопропан-2-ил)-4-фенилпиперидин-2-карбоксамид дигидрохлорид синтезировали в соответствии с методиками для соединения (1253).

Пример 112. Получение (R)-N-((S)-1-(((6-амино-2-метилпиридин-3-ил)метил)амино)-1-оксопропан-2-ил)-4-(нафтален-1-ил)пиперазин-2-карбоксамида дигидрохлорида (1309)

Этап 1: К перемешиваемому раствору 1-(трет-бутил)-2-метил(R)-пиперазин-1,2-дикарбоксилата (2,0 г. 8,2 ммоль) в CH2Cl2 добавляли нафтален-1-илбороновую кислоту (9,8 ммоль, 1,2 эквив.) и Cu(OAc)2 (500 мг), и перемешивание продолжали в течение 48 ч с подключенным баллоном воздуха. Раствор промывали H2O, сушили над Na2SO4 и выпаривали. Хроматография на колонке (20% EtOAc-гексаны) приводила к получению 1-(трет-бутил)-2-метил(R)-4-(нафтален-1-ил)пиперазин-1,2-дикарбоксилата (402 мг, 13% выход) в виде масла.

Этап 2: К перемешиваемому раствору 1-(трет-бутил)-2-метил(R)-4-(нафтален-1-ил)пиперазин-1,2-дикарбоксилата (390 мг, 1,05 ммоль) в MeOH-H2O добавляли LiOH (3,15 ммоль, 3,0 эквив.) с нагреванием при 60°C в течение 3 ч. Раствор выпаривали до сухого состояния, и добавляли H2O, вращая сосуд. pH доводили до 5 при помощи 10% KHSO4, продукт собирали фильтрованием, промывали H2O и сушили. Выделяли (R)-1-(трет-бутоксикарбонил)-4-(нафтален-1-ил)пиперазин-2-карбоновую кислоту (335 мг, 89% выход) в виде желто-коричневого твердого вещества.

Этап 3: Трет-бутил(R)-2-(((S)-1-(бензилокси)-1-оксопропан-2-ил)карбамоил)-4-(нафтален-1-ил)пиперазин-1-карбоксилат синтезировали в соответствии с методикой для соединения (1230).

Этапы 4-6: (R)-N-((S)-5-(6-амино-2-метилпиридин-3-ил)-3-оксопентан-2-ил)-4-(нафтален-1-ил)пиперазин-2-карбоксамид синтезировали в соответствии с методиками для соединения (1253).

Пример 113. Получение (2R,4R)-N-((S)-1-(((6-амино-2-метилпиридин-3-ил)метил)амино)-1-оксопропан-2-ил)-4-феноксипирролидин-2-карбоксамида дигидрохлорида (1310)

(2R,4R)-N-((S)-1-(((6-амино-2-метилпиридин-3-ил)метил)амино)-1-оксопропан-2-ил)-4-феноксипирролидин-2-карбоксамид дигидрохлорид синтезировали в соответствии с методиками для соединения (1304).

Пример 114. Получение (2R,4R)-N-((S)-1-(((1H-пирроло[2,3-b]пиридин-5-ил)метил)амино)-1-оксопропан-2-ил)-4-фенилпирролидин-2-карбоксамида дигидрохлорида (1311)

Этап 1: ((2R,4R)-1-(трет-бутоксикарбонил)-4-фенилпирролидин-2-карбонил)-L-аланин присоединяли к (1H-пирроло[2,3-b]пиридин-5-ил)метанамину в соответствии с методикой, описанной для соединения (1265), этап 1. Очистка хроматографией (0-10% MeOH-CH2Cl2) приводила к получению трет-бутил(2R,4R)-2-(((S)-1-(((1H-пирроло[2,3-b]пиридин-5-ил)метил)амино)-1-оксопропан-2-ил)карбамоил)-4-фенилпирролидин-1-карбоксилата (100 мг, 69% выход).

Этап 2: С трет-бутил(2R,4R)-2-(((S)-1-(((1H-пирроло[2,3-b]пиридин-5-ил)метил)амино)-1-оксопропан-2-ил)карбамоил)-4-фенилпирролидин-1-карбоксилата снимали защиту в соответствии с методикой для соединения (1243), с получением (2R,4R)-N-((S)-1-(((1H-пирроло[2,3-b]пиридин-5-ил)метил)амино)-1-оксопропан-2-ил)-4-фенилпирролидин-2-карбоксамида дигидрохлорида (89,9 мг, 95% выход).

Пример 115. Получение (R)-N-((S)-1-((4-карбамимидоилбензил)амино)-1-оксопропан-2-ил)-2-((3-(3-гидроксифенил)пропил)амино)-4-фенилбутанамида ди-трифторацетатной соли (1312)

Этап 1: Бензил((4-(((S)-2-((R)-2-((3-(3-гидроксифенил)пропил)амино)-4-фенилбутанамидо)пропанамидо)метил)фенил)(имино)метил)карбамат синтезировали в соответствии с методикой для соединения 1130, этап 2.

Этап 2: Снятие защиты бензил((4-(((S)-2-((R)-2-((3-(3-гидроксифенил)пропил)амино)-4-фенилбутанамидо)пропанамидо)метил)фенил)(имино)метил)карбамата проводили в соответствии с методикой для соединения 1130, этап 3. Очистка методом обращенно-фазовой ВЭЖХ (5-45-90% MeCN-H2O) приводила к получению (R)-N-((S)-1-((4-карбамимидоилбензил)амино)-1-оксопропан-2-ил)-2-((3-(3-гидроксифенил)пропил)амино)-4-фенилбутанамида ди-трифторацетатной соли.

Пример 116. Получение (2R,5S)-5-амино-N-(5-хлор-2-цианобензил)-2-метил-4-оксо-7-фенилгептанамида трифторацетатной соли (1313)

Этап 1: В сухую 50-мл круглодонную колбу вносили NaH (60% в минеральном масле) (246 мг, 6,16 ммоль) и промывали гексанами 3x в атмосфере Ar. Затем добавляли сухой THF (5 мл), и суспензию охлаждали до 0°C. 2-(бромметил)-4-хлорбензонитрил (650 мг, 2,8 ммоль) растворяли в THF (5 мл) и добавляли к перемешиваемой суспензии, с последующим добавлением по каплям ди-трет-бутилиминодикарбоксилата (679 мг, 3,1 ммоль) в THF (5 мл). Реакционную смесь оставляли нагреваться до температуры окружающей среды в течение ночи, затем гасили H2O, вливали в насыщенный водный NH4Cl и экстрагировали EtOAc 2x. Объединенные органические слои промывали рассолом и сушили над Na2SO4. Затем неочищенный продукт наносили на силикагель и очищали хроматографией (0-30% EtOAc/гексаны), с получением как ди-трет-бутил(5-хлор-2-цианобензил)иминодикарбоната (672 мг, 65% выход), так и трет-бутил(5-хлор-2-цианобензил)карбамата (158 мг, 21% выход).

Этап 2: Ди-трет-бутил(5-хлор-2-цианобензил)иминодикарбонат (110 мг, 0,3 ммоль) растворяли в CH2Cl2 и обрабатывали TFA (300 мкл) при температуре окружающей среды. Через 2 часа реакционную смесь концентрировали в вакууме, с получением 2-(аминометил)-4-хлорбензонитрила, трифторацетата в виде белого порошка (79 мг, количественный выход).

Этап 3: Трет-бутил((R)-1-(((S)-1-((5-хлор-2-цианобензил)амино)-1-оксопропан-2-ил)амино)-1-оксо-4-фенилбутан-2-ил)карбамат синтезировали в соответствии с методикой для этапа 1, описанного для соединения (1246), с использованием соответствующих исходных материалов.

Этап 4: Трет-бутил((R)-1-(((S)-1-((5-хлор-2-цианобензил)амино)-1-оксопропан-2-ил)амино)-1-оксо-4-фенилбутан-2-ил)карбамат (120 мг, 0,24 ммоль) растворяли в CH2Cl2 (2 мл) и обрабатывали TFA (~500 мкл). После перемешивания при температуре окружающей среды в течение ночи реакционную смесь концентрировали, поглощали в ACN/H2O и лиофилизировали, с получением указанного в заголовке соединения в виде белого твердого вещества (17 мг, 14% выход за два этапа).

Пример 117. Получение (R)-2-амино-N-((S)-1-((5-циано-2-гидроксибензил)амино)-1-оксопропан-2-ил)-4-фенилбутанамида трифторацетатной соли (1314)

Этапы 1-2: Указанное в заголовке соединение синтезировали в виде белого твердого вещества в соответствии с методиками этапов 3-4 для соединения (1313), с использованием соответствующих исходных материалов (17 мг, 17% выход за два этапа).

Пример 118. Получение (S)-1-((4-карбамимидоилбензил)амино)-1-оксопропан-2-ил-(R)-2-амино-4-фенилбутаноата гидрохлорида (1315)

Этап 1: К перемешиваемому раствору (R)-2-((трет-бутоксикарбонил)амино)-4-фенилбутановой кислоты (838 мг, 3 ммоль)), бензил(S)-лактата (507 мкл, 3,15 ммоль) и DMAP (403 мг, 3,3 ммоль) в CH2Cl2 (15 мл) добавляли DCC (681 мг, 3,3 ммоль). Смесь перемешивали в течение 18 ч, затем разбавляли CH2Cl2 и промывали 10% водным KHSO4, рассолом и насыщенным водным NaHCO3. Органический слой сушили над Na2SO4 и концентрировали в вакууме. Хроматография (20% EtOAc/гексаны) приводила к получению (S)-1-(бензилокси)-1-оксопропан-2-ил-(R)-2-((трет-бутоксикарбонил)амино)-4-фенилбутаноата (1 г, 76% выход).

Этап 2: Удаление бензильной группы (S)-1-(бензилокси)-1-оксопропан-2-ил-(R)-2-((трет-бутоксикарбонил)амино)-4-фенилбутаноата проводили в соответствии с методикой для соединения 1028, этап 6.

Этапы 3-5: (S)-1-((4-карбамимидоилбензил)амино)-1-оксопропан-2-ил-(R)-2-амино-4-фенилбутаноат гидрохлорид синтезировали в виде белого гранулированного твердого вещества в соответствии с методиками этапов 3-5 для соединения 1119, с использованием соответствующих исходных материалов.

Пример 119. Получение (2R,4S)-N-((S)-1-((4-карбамимидоилбензил)амино)-1-оксопропан-2-ил)-4-(3-изопропилфенил)пирролидин-2-карбоксамида дигидрохлорида (1316)

(2R,4S)-N-((S)-1-((4-карбамимидоилбензил)амино)-1-оксопропан-2-ил)-4-(3-изопропилфенил)пирролидин-2-карбоксамид дигидрохлорид синтезировали в соответствии с методиками для соединения (1247).

Пример 120. Получение (R)-N-((S)-1-((5-хлор-2-гидрокси-3-метилбензил)амино)-1-оксопропан-2-ил)-4-(нафтален-1-ил)пиперазин-2-карбоксамида гидрохлорида (1317)

(R)-N-((S)-1-((5-хлор-2-гидрокси-3-метилбензил)амино)-1-оксопропан-2-ил)-4-(нафтален-1-ил)пиперазин-2-карбоксамид гидрохлорид синтезировали в соответствии с методиками для соединения (1230), за исключением использования (R)-1-(трет-бутоксикарбонил)-4-(нафтален-1-ил)пиперазин-2-карбоновой кислоты на этапе 1 и 2-(аминометил)-4-хлор-6-метилфенола на этапе 3.

Пример 121. Получение (2R,4S)-N-((S)-1-(((6-амино-2-метилпиридин-3-ил)метил)амино)-1-оксопропан-2-ил)-4-(3-(трифторметил)бензил)пирролидин-2-карбоксамида дигидрохлорида (1318)

(2R,4S)-N-((S)-1-(((6-амино-2-метилпиридин-3-ил)метил)амино)-1-оксопропан-2-ил)-4-(3-(трифторметил)бензил)пирролидин-2-карбоксамид дигидрохлорид синтезировали в соответствии с методиками для соединения (1304).

Пример 122. Получение (R)-N-((S)-1-(((6-амино-2-метилпиридин-3-ил)метил)амино)-1-оксопропан-2-ил)-2-((3-(3-гидроксифенил)пропил)амино)-4-фенилбутанамида дигидрохлоридной соли (1319)

Этап 1: (R)-2-((трет-бутоксикарбонил)амино)-4-фенилбутановую кислоту (5,0 г, 17,9 ммоль) присоединяли к коммерчески доступному бензил-L-аланинату гидрохлориду (4,8 г, 22,3 ммоль) в соответствии с методикой для соединения 1119, этап 1, с получением бензил((R)-2-((трет-бутоксикарбонил)амино)-4-фенилбутаноил)-L-аланината (6,9 г, 87% выход).

Этап 2: Снятие защиты бензил((R)-2-((трет-бутоксикарбонил)амино)-4-фенилбутаноил)-L-аланината (6,9 г, 15,7 ммоль) проводили в соответствии с методикой для соединения 1119, этап 2, с получением ((R)-2-((трет-бутоксикарбонил)амино)-4-фенилбутаноил)-L-аланина (5,3 г, 96% выход).

Этап 3: ((R)-2-((трет-бутоксикарбонил)амино)-4-фенилбутаноил)-L-аланин (470,0 мг, 1,34 ммоль) присоединяли к коммерчески доступному 5-(аминометил)-6-метилпиридин-2-амину (560,0 мг, 1,75 ммоль) в соответствии с методикой для соединения 1088, этап 2, за исключением того, что HBTU добавляли к реакционной смеси при 0°C, с получением трет-бутил((R)-1-(((S)-1-(((6-амино-2-метилпиридин-3-ил)метил)амино)-1-оксопропан-2-ил)амино)-1-оксо-4-фенилбутан-2-ил)карбамата (181,6 мг, 29% выход).

Этап 4: Снятие защиты трет-бутил((R)-1-(((S)-1-(((6-амино-2-метилпиридин-3-ил)метил)амино)-1-оксопропан-2-ил)амино)-1-оксо-4-фенилбутан-2-ил)карбамата (181,6 мг, 0,387 ммоль) проводили в соответствии с методикой для соединения 1119, этап 4, с получением (R)-2-амино-N-((S)-1-(((6-амино-2-метилпиридин-3-ил)метил)амино)-1-оксопропан-2-ил)-4-фенилбутанамида (115,7 мг, 81% выход).

Этап 5: Проводили реакцию (R)-2-амино-N-((S)-1-(((6-амино-2-метилпиридин-3-ил)метил)амино)-1-оксопропан-2-ил)-4-фенилбутанамида (115,7 мг, 0,313 ммоль) с 3-(3-гидроксифенил)пропаналом (68,0 мг, 0,453 ммоль) в соответствии с методикой для соединения 1130, этап 2. Неочищенный продукт растворяли в CH2Cl2 и адсорбировали на силикагеле. Очистка хроматографией (0-15% MeOH-CH2Cl2) приводила к получению (R)-N-((S)-1-(((6-амино-2-метилпиридин-3-ил)метил)амино)-1-оксопропан-2-ил)-2-((3-(3-гидроксифенил)пропил)амино)-4-фенилбутанамида (42,3 мг, 27% выход).

Этап 6: К раствору R)-N-((S)-1-(((6-амино-2-метилпиридин-3-ил)метил)амино)-1-оксопропан-2-ил)-2-((3-(3-гидроксифенил)пропил)амино)-4-фенилбутанамида в MeOH (1 мл) добавляли HCl в MeOH (0,5 мл, примерно 4 M). Летучие вещества выпаривали в вакууме, с получением (R)-N-((S)-1-(((6-амино-2-метилпиридин-3-ил)метил)амино)-1-оксопропан-2-ил)-2-((3-(3-гидроксифенил)пропил)амино)-4-фенилбутанамида дигидрохлоридной соли.

Пример 123. Получение (2R,4S)-N-((S)-1-(((6-амино-2-метилпиридин-3-ил)метил)амино)-1-оксопропан-2-ил)-5-оксо-4-(3-(трифторметил)бензил)пирролидин-2-карбоксамида ди-трифторацетатной соли (1320)

(2R,4S)-N-((S)-1-(((6-амино-2-метилпиридин-3-ил)метил)амино)-1-оксопропан-2-ил)-5-оксо-4-(3-(трифторметил)бензил)пирролидин-2-карбоксамида ди-трифторацетатную соль синтезировали в соответствии с методиками для соединения (1304), за исключением того, что конечный продукт очищали с использованием обращенно-фазовой ВЭЖХ.

Пример 124. Получение (2R,4S)-N-((R)-1-(((6-амино-2-метилпиридин-3-ил)метил)амино)-1-оксопропан-2-ил)-5-оксо-4-(3-(трифторметил)бензил)пирролидин-2-карбоксамида ди-трифторацетатной соли (1321)

(2R,4S)-N-((R)-1-(((6-амино-2-метилпиридин-3-ил)метил)амино)-1-оксопропан-2-ил)-5-оксо-4-(3-(трифторметил)бензил)пирролидин-2-карбоксамида ди-трифторацетатную соль синтезировали в соответствии с методиками для соединения (1304), за исключением того, что конечный продукт очищали с использованием обращенно-фазовой ВЭЖХ.

Пример 125. Получение (2R,4R)-N-((S)-1-(((6-амино-2-метилпиридин-3-ил)метил)амино)-1-оксопропан-2-ил)-4-фенэтилпирролидин-2-карбоксамида дигидрохлорида (1322)

(2R,4R)-N-((S)-1-(((6-амино-2-метилпиридин-3-ил)метил)амино)-1-оксопропан-2-ил)-4-фенэтилпирролидин-2-карбоксамид дигидрохлорид синтезировали в соответствии с методиками для соединения (1247).

Пример 126. Получение (2R,4R)-N-((S)-1-(((6-амино-2-этилпиридин-3-ил)метил)амино)-1-оксопропан-2-ил)-4-фенилпирролидин-2-карбоксамида дигидрохлорида (1323)

Этап 1: К раствору трет-бутил(5-циано-6-этилпиридин-2-ил)карбамата (370 мг, 1,5 ммоль; синтезированный в соответствии с US 5668289) в MeOH (5 мл) добавляли 7 M NH3-MeOH (25 мл). Раствор быстро дегазировали, затем добавляли никель Ренея (~0,3 г). Реакционную смесь помещали в атмосферу H2 и перемешивали 5,5 ч. После завершения восстановления часть смеси фильтровали через диатомовую землю. Остаток фильтровали через бумагу. Объединенные фильтраты концентрировали в вакууме. Осадок растворяли в 5% смеси H2O-MeOH и фильтровали (0,2 мкМ шприцевой фильтр), затем концентрировали в вакууме, с получением трет-бутил(5-(аминометил)-6-этилпиридин-2-ил)карбамата в виде белого твердого вещества (323 мг, 86% выход).

Этап 2: ((2R,4R)-1-(трет-бутоксикарбонил)-4-фенилпирролидин-2-карбонил)-L-аланин присоединяли к трет-бутил(5-(аминометил)-6-этилпиридин-2-ил)карбамату в соответствии с методикой для соединения (1265), этап 1, с получением трет-бутил(2R,4R)-2-(((S)-1-(((6-амино-2-этилпиридин-3-ил)метил)амино)-1-оксопропан-2-ил)карбамоил)-4-фенилпирролидин-1-карбоксилата (134 мг, 77% выход).

Этап 3: С трет-бутил(2R,4R)-2-(((S)-1-(((6-амино-2-этилпиридин-3-ил)метил)амино)-1-оксопропан-2-ил)карбамоил)-4-фенилпирролидин-1-карбоксилата снимали защиту в соответствии с методикой для соединения (1243), за исключением того, что продукт не экстрагировали CH2Cl2. Водный раствор фильтровали (0,2 мкМ шприцевой фильтр), затем лиофилизировали, с получением (2R,4R)-N-((S)-1-(((6-амино-2-этилпиридин-3-ил)метил)амино)-1-оксопропан-2-ил)-4-фенилпирролидин-2-карбоксамида дигидрохлорида (114,9 мг, количественный выход).

Пример 127. Получение (2R,4S)-N-((S)-1-(((6-амино-2-метилпиридин-3-ил)метил)амино)-1-оксопропан-2-ил)-4-(нафтален-1-илметил)пирролидин-2-карбоксамида ди-трифторацетатной соли (1324)

(2R,4S)-N-((S)-1-(((6-амино-2-метилпиридин-3-ил)метил)амино)-1-оксопропан-2-ил)-4-(нафтален-1-илметил)пирролидин-2-карбоксамида ди-трифторацетатную соль синтезировали в соответствии с методиками для соединения (1304), за исключением того, что конечный продукт очищали с использованием обращенно-фазовой ВЭЖХ.

Пример 128. Получение (R)-2-амино-N-((S)-1-((5-хлор-2-(1H-тетразол-1-ил)бензил)амино)-1-оксопропан-2-ил)-4-фенилбутанамида (1325)

Этапы 1-2: Указанное в заголовке соединение синтезировали в виде белого твердого вещества в соответствии с методиками этапов 3-4 для соединения (1313) с использованием соответствующих исходных материалов (42 мг, 38% выход за два этапа).

Пример 129. Получение (R)-2-амино-N-((S)-1-((4-карбамимидоилбензил)амино)-3-(4-гидроксифенил)-1-оксопропан-2-ил)-4-фенилбутанамида ди-трифторацетатной соли (1326)

Этап 1: К раствору Boc-D-гомофенилаланина (300 мг, 1,07 ммоль) в безводном DMF (6 мл, 0,18 M) добавляли HOBt (214 мг, 1,4 ммоль), DIEA (0,75 мл, 4,3 ммоль) и EDC (208 мг, 1,34 ммоль). После перемешивания в течение 30 мин при комнатной температуре добавляли L-тирозина метиловый эфир гидрохлорид (354 мг, 1,29 ммоль) и перемешивали в течение 16 ч. Реакционную смесь концентрировали, и осадок распределяли между EtOAc и 10% раствором KHSO4. Органический слой отделяли и промывали H2O и насыщенным водным NaHCO3. Органический слой сушили над безводным Na2SO4 и концентрировали. Осадок очищали хроматографией (0-100% EtOAc-гексаны), с получением метил((R)-2-((трет-бутоксикарбонил)амино)-4-фенилбутаноил)-L-тирозината (365 мг, 74% выход).

Этап 2: К раствору метил((R)-2-((трет-бутоксикарбонил)амино)-4-фенилбутаноил)-L-тирозината (365 мг, 0,8 ммоль) в THF (6 мл) и H2O (6 мл) добавляли LiOH (38 мг, 1,6 ммоль). После перемешивания в течение 4 ч при комнатной температуре реакционную смесь концентрировали для удаления THF. К вышеуказанной смеси добавляли 10% раствор KHSO4, экстрагировали EtOAc, сушили над безводным Na2SO4 и концентрировали в вакууме. Осадок очищали хроматографией (0-100% [5% 7 Н NH3 в MeOH/CH2Cl2]-CH2Cl2), с получением ((R)-2-((трет-бутоксикарбонил)амино)-4-фенилбутаноил)-L-тирозина (290 мг, 82% выход).

Этап 3: К раствору ((R)-2-((трет-бутоксикарбонил)амино)-4-фенилбутаноил)-L-тирозина (290 мг, 0,65 ммоль) в CH2Cl2 (18 мл, 0,04 M) добавляли NHS (83 мг, 0,72 ммоль) с перемешиванием при комнатной температуре до растворения. Добавляли DCC (148 мг, 0,72 ммоль) и перемешивали в течение 1 ч. К вышеуказанной смеси добавляли бензил((4-(аминометил)фенил)(имино)метил)карбамат (222 мг, 0,78 ммоль) и перемешивали в течение 1 ч. Реакционную смесь гасили добавлением H2O, полученную смесь экстрагировали CH2Cl2, сушили над безводным Na2SO4 и концентрировали в вакууме. Осадок очищали хроматографией (0-100% EtOAc-гексаны), с получением трет-бутил((R)-1-(((S)-1-((4-(N-((бензилокси)карбонил)карбамимидоил)бензил)амино)-3-(4-гидроксифенил)-1-оксопропан-2-ил)амино)-1-оксо-4-фенилбутан-2-ил)карбамата (244 мг, 52% выход).

Этап 4: Снятие защиты трет-бутил((R)-1-(((S)-1-((4-(N-((бензилокси)карбонил)карбамимидоил)бензил)амино)-3-(4-гидроксифенил)-1-оксопропан-2-ил)амино)-1-оксо-4-фенилбутан-2-ил)карбамата (244 мг, 0,34 ммоль) проводили в соответствии с методикой для соединения (1260), этап 4, с получением бензил((4-(((S)-2-((R)-2-амино-4-фенилбутанамидо)-3-(4-гидроксифенил)пропанамидо)метил)фенил)(имино)метил)карбамата (126 мг, 61% выход).

Этап 5: Снятие защиты бензил((4-(((S)-2-((R)-2-амино-4-фенилбутанамидо)-3-(4-гидроксифенил)пропанамидо)метил)фенил)(имино)метил)карбамата (126 мг, 0,21 ммоль) проводили в соответствии с методикой для соединения (1264), этап 2, за исключением того, что неочищенный материал очищали с использованием обращенно-фазовой ВЭЖХ.

Пример 130. Получение (R)-N-((S)-1-((4-карбамимидоилбензил)амино)-1-оксопропан-2-ил)-2-((4-гидроксифенэтил)амино)-4-фенилбутанамида дигидрохлорида (1327)

Этап 1: Бензил((4-(((S)-2-((R)-2-амино-4-фенилбутанамидо)пропанамидо)метил)фенил)(имино)метил)карбамат (1,9 г, 41% выход за 4 этапа) синтезировали методом, аналогичным методу, используемому для соединения 1119, за исключением того, что неочищенный продукт очищали хроматографией (10% MeOH-CH2Cl2 и затем 5% 7 Н NH3 в MeOH-CH2Cl2).

Этап 2: В 25-мл круглодонную колбу добавляли 4-(2-гидроксиэтил)фенол (1 г, 7,24 ммоль), а затем DMSO (8 мл). После продувания N2 реакционную смесь обрабатывали TEA (2,2 мл), с последующим добавлением раствора комплекса триоксида серы и пиридина (2,50 г, 15,7 ммоль) в DMSO (9 мл) путем канюлирования. Реакционную смесь перемешивали при комнатной температуре в течение 1 ч и гасили ледяной водой. Реакционную смесь разбавляли CH2Cl2 и промывали ледяной водой (3 раза). Органический слой собирали, промывали рассолом, сушили (Na2SO4), фильтровали в вакууме и выпаривали в вакууме. Неочищенный продукт растворяли в CH2Cl2 и адсорбировали на силикагеле. Очистка хроматографией (0-100% EtOAc-гексаны) приводила к получению 2-(4-гидроксифенил)ацетальдегида (227,4 мг, 23% выход).

Этап 3: Бензил((4-(((S)-2-((R)-2-((4-гидроксифенэтил)амино)-4 фенилбутанамидо)пропанамидо)метил)фенил)(имино)метил)карбамат синтезировали в соответствии с методикой для соединения 1130, этап 2.

Этап 4: Снятие защиты бензил((4-(((S)-2-((R)-2-((4-гидроксифенэтил)амино)-4-фенилбутанамидо)пропанамидо)метил)фенил)(имино)метила проводили в соответствии с методикой для соединения 1130, этап 3, с получением (R)-N-((S)-1-((4-карбамимидоилбензил)амино)-1-оксопропан-2-ил)-2-((4-гидроксифенэтил)амино)-4-фенилбутанамида.

Этап 5: (R)-N-((S)-1-((4-карбамимидоилбензил)амино)-1-оксопропан-2-ил)-2-((4-гидроксифенэтил)амино)-4-фенилбутанамид дигидрохлорид получали в соответствии с методикой для соединения (1319), этап 6.

Пример 131. Получение (2R,4S)-N-((S)-1-(((6-амино-2-метилпиридин-3-ил)метил)амино)-1-оксопропан-2-ил)-4-(3-хлорбензил)пирролидин-2-карбоксамида дигидрохлорида (1328)

(2R,4S)-N-((S)-1-(((6-амино-2-метилпиридин-3-ил)метил)амино)-1-оксопропан-2-ил)-4-(3-хлорбензил)пирролидин-2-карбоксамид дигидрохлорид синтезировали в соответствии с методиками для соединения (1304), за исключением того, что снятие защиты бензила проводили, следуя методике с LiOH, как показано ниже.

Этап 1: К перемешиваемому раствору 2-бензил-1-(трет-бутил)-(2R,4S)-4-(3-хлорбензил)пирролидин-1,2-дикарбоксилата (329 мг, 1 ммоль) в THF (24 мл), MeOH (12 мл) и воде (12 мл) добавляли LiOH (360 мг, 15 ммоль) при температуре окружающей среды. Полученную реакционную смесь перемешивали при температуре окружающей среды в течение ночи. К реакционной смеси добавляли водную HCl (12 мл, 1 M), и органические летучие вещества удаляли в вакууме. Водный слой экстрагировали EtOAc (3×20 мл). Объединенные органические экстракты тщательно сушили с использованием Na2SO4, фильтровали и концентрировали, с получением (2R,4S)-1-(трет-бутоксикарбонил)-4-(3-хлорбензил)пирролидин-2-карбоновой кислоты (320 мг неочищенной, 0,96 ммоль), которую непосредственно использовали на следующем этапе без дополнительной очистки.

Пример 132. Получение (2R,4R)-N-((S)-1-(((3-хлор-1H-пирроло[2,3-b]пиридин-5-ил)метил)амино)-1-оксопропан-2-ил)-4-фенилпирролидин-2-карбоксамида дигидрохлорида (1329)

Этап 1: К раствору 1H-пирроло[2,3-b]пиридин-5-карбонитрила (1,04 г, 7,24 ммоль) в безводном DMF (14 мл) в атмосфере Ar добавляли NCS (1,06 г, 6,9 ммоль). Смесь нагревали при 55°C в течение 2,5 ч, охлаждали до температуры окружающей среды, затем разбавляли H2O до достижения конечного объема ~90 мл. Смесь охлаждали, и твердое вещество выделяли фильтрованием, промывали H2O и сушили в вакуумной печи (при температуре окружающей среды), с получением 3-хлор-1H-пирроло[2,3-b]пиридин-5-карбонитрила (1,2 г, 93% выход).

Этап 2: К суспензии 3-хлор-1H-пирроло[2,3-b]пиридин-5-карбонитрила (0,50 г, 2,8 ммоль) в MeOH (75 мл) добавляли ди-трет-бутилдикарбонат (1,29 г, 5,9 ммоль) и CoCl2·6H2O (0,36 г, 1,5 ммоль). Добавляли NaBH4 (0,37 г, 9,8 ммоль) в 4 аликвотах в течение 20 мин. Смесь перемешивали в течение 2 ч, затем добавляли дополнительно NaBH4 (0,21 г, 5,6 ммоль) и перемешивали в течение ночи. Реакционную смесь подкисляли 0,5 M KHSO4 до достижения нейтрального значения pH. Летучие вещества удаляли в вакууме, затем водную смесь экстрагировали 10% MeOH-CH2Cl2 дважды. Водный слой повторно доводили до нейтрального значения pH и экстрагировали 10% MeOH-CH2Cl2. Объединенные органические слои концентрировали в вакууме для удаления всех летучих веществ и H2O. Очистка хроматографией (два прогона: с 0-5% MeOH-CH2Cl2, затем 0-25% ацетон-CH2Cl2) приводила к получению трет-бутил((3-хлор-1H-пирроло[2,3-b]пиридин-5-ил)метил)карбамата (307 мг, 39% выход).

Этап 3: К суспензии трет-бутил((3-хлор-1H-пирроло[2,3-b]пиридин-5-ил)метил)карбамата (305 мг, 1,08 ммоль) в MeOH (6 мл) добавляли 3 M HCl-CPME (9 мл). Полученный раствор перемешивали в течение 2,5 ч, затем добавляли дополнительно 3 M HCl-CPME (5 мл). После перемешивания в течение 45 мин раствор концентрировали в вакууме. Осадок растворяли в MeOH и концентрировали в вакууме. Твердое вещество суспендировали в MeOH-Et2O, твердое вещество собирали фильтрованием и сушили на воздухе, с получением (3-хлор-1H-пирроло[2,3-b]пиридин-5-ил)метанамина гидрохлорида (285 мг, количественный выход).

Этап 4: ((2R,4R)-1-(трет-бутоксикарбонил)-4-фенилпирролидин-2-карбонил)-L-аланин присоединяли к (3-хлор-1H-пирроло[2,3-b]пиридин-5-ил)метанамину в соответствии с методикой для соединения (1265), с получением трет-бутил(2R,4R)-2-(((S)-1-(((3-хлор-1H-пирроло[2,3-b]пиридин-5-ил)метил)амино)-1-оксопропан-2-ил)карбамоил)-4-фенилпирролидин-1-карбоксилата (71,7 мг, 62% выход).

Этап 5: С трет-бутил(2R,4R)-2-(((S)-1-(((3-хлор-1H-пирроло[2,3-b]пиридин-5-ил)метил)амино)-1-оксопропан-2-ил)карбамоил)-4-фенилпирролидин-1-карбоксилата снимали защиту в соответствии с методикой для соединения (1243), за исключением того, что реакционную смесь разбавляли Et2O. Твердое вещество собирали фильтрованием, промывали 2% MeOH-Et2O и сушили в вакуумной печи в течение ночи, с получением (2R,4R)-N-((S)-1-(((3-хлор-1H-пирроло[2,3-b]пиридин-5-ил)метил)амино)-1-оксопропан-2-ил)-4-фенилпирролидин-2-карбоксамида дигидрохлорида (64 мг, 96% выход).

Пример 133. Получение (R)-N-((S)-1-((4-карбамимидоилбензил)амино)-1-оксопропан-2-ил)-2-((3-гидроксифенэтил)амино)-4-фенилбутанамида ди-трифторацетатной соли (1330)

Этап 1: 2-(3-гидроксифенил)ацетальдегид синтезировали в соответствии с методикой для соединения (1327), этап 2.

Этап 2: Бензил((4-(((S)-2-((R)-2-((3-гидроксифенэтил)амино)-4-фенилбутанамидо)пропанамидо)метил)фенил)(имино)метил)карбамат синтезировали в соответствии с методикой для соединения 1130, этап 2.

Этап 3: Снятие защиты бензил((4-(((S)-2-((R)-2-((3-гидроксифенэтил)амино)-4-фенилбутанамидо)пропанамидо)метил)фенил)(имино)метил)карбамата проводили в соответствии с методикой для соединения 1130, этап 3. Очистка методом обращенно-фазовой ВЭЖХ (5-75% MeCN-H2O) приводила к получению (R)-N-((S)-1-((4-карбамимидоилбензил)амино)-1-оксопропан-2-ил)-2-((3-гидроксифенэтил)амино)-4-фенилбутанамида ди-трифторацетатной соли.

Пример 134. Получение (2R,4S)-N-((S)-1-(((6-амино-2-метилпиридин-3-ил)метил)амино)-1-оксопропан-2-ил)-4-(3,5-диметилбензил)пирролидин-2-карбоксамида дигидрохлорида (1331)

(2R,4S)-N-((S)-1-(((6-амино-2-метилпиридин-3-ил)метил)амино)-1-оксопропан-2-ил)-4-(3,5-диметилбензил)пирролидин-2-карбоксамид дигидрохлорид синтезировали в соответствии с методиками для соединения (1304).

Пример 135. Получение (R)-2-амино-N-((S)-1-((4-карбамимидоилбензил)амино)-3-(1H-имидазол-5-ил)-1-оксопропан-2-ил)-4-фенилбутанамида ди-трифторацетата (1332)

Этап 1: Метил((R)-2-((трет-бутоксикарбонил)амино)-4-фенилбутаноил)-L-гистидинат (500 мг, 65% выход) синтезировали из Boc-D-гомофенилаланина (500 мг, 1,79 ммоль) и L-гистидина метилового эфира дигидрохлорида в соответствии с методикой для соединения (1326), этап 1.

Этап 2: ((R)-2-((трет-бутоксикарбонил)амино)-4-фенилбутаноил)-L-гистидин (320 мг, 66% выход) синтезировали из метил((R)-2-((трет-бутоксикарбонил)амино)-4-фенилбутаноил)-L-гистидината (500 мг, 1,16 ммоль) в соответствии с методикой для соединения (1326), этап 2.

Этап 3: трет-бутил((R)-1-(((S)-1-((4-(N-((бензилокси)карбонил)карбамимидоил)бензил)амино)-3-(1H-имидазол-5-ил)-1-оксопропан-2-ил)амино)-1-оксо-4-фенилбутан-2-ил)карбамат (160 мг, 30% выход) синтезировали из ((R)-2-((трет-бутоксикарбонил)амино)-4-фенилбутаноил)-L-гистидина (320 мг, 0,77 ммоль) в соответствии с методикой для соединения (1326), этап 3.

Этап 4: Снятие защиты трет-бутил((R)-1-(((S)-1-((4-(N-((бензилокси)карбонил)карбамимидоил)бензил)амино)-3-(1H-имидазол-5-ил)-1-оксопропан-2-ил)амино)-1-оксо-4-фенилбутан-2-ил)карбамата (160 мг, 0,23 ммоль) проводили в соответствии с методикой для соединения (1260), этап 4, с получением бензил((4-(((S)-2-((R)-2-амино-4-фенилбутанамидо)-3-(1H-имидазол-5-ил)пропанамидо)метил)фенил)(имино)метил)карбамата (49 мг, 36% выход).

Этап 5: Снятие защиты бензил((4-(((S)-2-((R)-2-амино-4-фенилбутанамидо)-3-(1H-имидазол-5-ил)пропанамидо)метил)фенил)(имино)метил)карбамата (49 мг, 0,08 ммоль) проводили в соответствии с методикой для соединения (1264), этап 2, за исключением того, что неочищенный материал очищали с использованием обращенно-фазовой ВЭЖХ.

Пример 136. Получение (2R,4R)-N-((S)-1-((3-хлор-5-метилбензил)амино)-1-оксопропан-2-ил)-4-фенилпирролидин-2-карбоксамида гидрохлорида (1333)

Этапы 1-2: Указанное в заголовке соединение синтезировали в виде белого порошка в соответствии с методиками этапов 1-2 для соединения (1246) с использованием соответствующих исходных материалов (46 мг, 53% выход за два этапа).

Пример 137. Получение (2R,4S)-4-бензил-N-((S)-1-(((3-хлор-1H-пирроло[2,3-b]пиридин-5-ил)метил)амино)-1-оксопропан-2-ил)пирролидин-2-карбоксамида дигидрохлорида (1334)

Этап 1: Трет-бутил(2R,4S)-4-бензил-2-(((S)-1-(((3-хлор-1H-пирроло[2,3-b]пиридин-5-ил)метил)амино)-1-оксопропан-2-ил)карбамоил)пирролидин-1-карбоксилат (46 мг, 80% выход) синтезировали из ((2R,4S)-4-бензил-1-(трет-бутоксикарбонил)пирролидин-2-карбонил)-L-аланина (40 мг, 0,11 ммоль) в соответствии с методикой для соединения (1234), этап 3.

Этап 2: (2R,4S)-4-бензил-N-((S)-1-(((3-хлор-1H-пирроло[2,3-b]пиридин-5-ил)метил)амино)-1-оксопропан-2-ил)пирролидин-2-карбоксамид дигидрохлорид (38,2 мг, 80% выход) синтезировали из трет-бутил(2R,4S)-4-бензил-2-(((S)-1-(((3-хлор-1H-пирроло[2,3-b]пиридин-5-ил)метил)амино)-1-оксопропан-2-ил)карбамоил)пирролидин-1-карбоксилата (46 мг, 0,85 ммоль) в соответствии с методикой для соединения (1234), этап 3.

Пример 138. Получение (S)-2-((R)-2-амино-4-фенилбутанамидо)-N1-(4-карбамимидоилбензил)пентандиамида ди-трифторацетата (1335)

Этап 1: Метил((R)-2-((трет-бутоксикарбонил)амино)-4-фенилбутаноил)-L-глутаминат (149 мг, 41% выход) синтезировали из Boc-D-гомофенилаланина (241 мг, 0,86 ммоль) и L-глутамина метилового эфира гидрохлорида в соответствии с методикой для соединения (1326), этап 1.

Этап 2: ((R)-2-амино-4-фенилбутаноил)-L-глутамин (112 мг, 78% выход) синтезировали из метил((R)-2-((трет-бутоксикарбонил)амино)-4-фенилбутаноил)-L-глутамината (149 мг, 0,35 ммоль) в соответствии с методикой для соединения (1326), этап 2, за исключением того, что неочищенный материал использовали на следующем этапе без дополнительной очистки.

Этап 3: Трет-бутил((R)-1-(((S)-5-амино-1-((4-(N-((бензилокси)карбонил)карбамимидоил)бензил)амино)-1,5-диоксопентан-2-ил)амино)-1-оксо-4-фенилбутан-2-ил)карбамат (156 мг, 84% выход) синтезировали из ((R)-2-амино-4-фенилбутаноил)-L-глутамина (112 мг, 0,28 ммоль) в соответствии с методикой для соединения (1326), этап 3.

Этап 4: Снятие защиты трет-бутил((R)-1-(((S)-5-амино-1-((4-(N-((бензилокси)карбонил)карбамимидоил)бензил)амино)-1,5-диоксопентан-2-ил)амино)-1-оксо-4-фенилбутан-2-ил)карбамата (156 мг, 0,23 ммоль) проводили в соответствии с методикой для соединения (1260), этап 4, с получением бензил((4-(((S)-5-амино-2-((R)-2-амино-4-фенилбутанамидо)-5-оксопентанамидо)метил)фенил)(имино)метил)карбамата (47 мг, 36% выход).

Этап 5: Снятие защиты бензил((4-(((S)-5-амино-2-((R)-2-амино-4-фенилбутанамидо)-5-оксопентанамидо)метил)фенил)(имино)метил)карбамата (47 мг, 0,08 ммоль) проводили в соответствии с методикой для соединения (1264), этап 2, за исключением того, что неочищенный материал очищали с использованием обращенно-фазовой ВЭЖХ.

Пример 139. Получение (2R,4R)-N-((S)-1-(((3-амино-1H-пиразол-5-ил)метил)амино)-1-оксопропан-2-ил)-4-фенилпирролидин-2-карбоксамида дигидрохлорида (1336)

Этап 1: 3-амино-1H-пиразол-5-карбонитрил восстанавливали в соответствии с методикой для соединения (1311), этап 1, с получением 5-(аминометил)-1H-пиразол-3-амина, который использовали на следующем этапе без дополнительной очистки.

Этап 2: ((2R,4R)-1-(трет-бутоксикарбонил)-4-фенилпирролидин-2-карбонил)-L-аланин присоединяли с 5-(аминометил)-1H-пиразол-3-амину в соответствии с методикой для соединения (1265), этап 1, за исключением того, что амин добавляли к реакционной смеси в виде раствора в DMF. После завершения реакции смесь разбавляли 5% MeOH-CH2Cl2 и промывали насыщенным NaHCO3 и рассолом, сушили (Na2SO4) и концентрировали в вакууме. Очистка хроматографией (0-10% MeOH-CH2Cl2) приводила к получению трет-бутил(2R,4R)-2-(((S)-1-(((3-амино-1H-пиразол-5-ил)метил)амино)-1-оксопропан-2-ил)карбамоил)-4-фенилпирролидин-1-карбоксилата (64 мг, 47% выход).

Этап 3: С трет-бутил(2R,4R)-2-(((S)-1-(((3-амино-1H-пиразол-5-ил)метил)амино)-1-оксопропан-2-ил)карбамоил)-4-фенилпирролидин-1-карбоксилата снимали защиту в соответствии с методикой для соединения (1323), этап 3, с получением (2R,4R)-N-((S)-1-(((3-амино-1H-пиразол-5-ил)метил)амино)-1-оксопропан-2-ил)-4-фенилпирролидин-2-карбоксамида дигидрохлорида (60 мг, количественный выход).

Пример 140. Получение (2R,4S)-N-((S)-1-(((6-амино-2-метилпиридин-3-ил)метил)амино)-1-оксопропан-2-ил)-4-(3-метилбензил)пирролидин-2-карбоксамида дигидрохлорида (1337)

(2R,4S)-N-((S)-1-(((6-амино-2-метилпиридин-3-ил)метил)амино)-1-оксопропан-2-ил)-4-(3-метилбензил)пирролидин-2-карбоксамид дигидрохлорид синтезировали в соответствии с методиками для соединения (1304).

Пример 141. Получение (2R,4S)-N-((S)-1-(((6-амино-2-метилпиридин-3-ил)метил)амино)-1-оксопропан-2-ил)-4-(нафтален-2-илметил)пирролидин-2-карбоксамида дигидрохлорида (1338)

Этап 1: К перемешиваемому раствору 2-бензил-1-(трет-бутил)-(R)-5-оксопирролидин-1,2-дикарбоксилата (600 г, 1,88 ммоль) в THF (12,5 мл) при -78°C медленно добавляли литий бис(триметилсилил)амид (2,06 мл, 2,06 ммоль, 1 M в THF) в атмосфере Ar. После перемешивания в течение 1 ч при -78°C добавляли 2-(бромметил)нафталин (500 мг, 2,26 ммоль) в 1 мл THF, и перемешивание продолжали еще в течение 2 ч. Реакционную смесь гасили насыщенным раствором NH4Cl и экстрагировали диэтиловым эфиром (3×20 мл). Объединенные экстракты сушили над Na2SO4, фильтровали и концентрировали в вакууме. Осадок очищали хроматографией (EtOAc-гексаны), с получением 2-бензил-1-(трет-бутил)-(2R,4S)-4-(нафтален-2-илметил)-5-оксопирролидин-1,2-дикарбоксилата (600 мг, 70% выход).

Этап 2: К раствору 2-бензил-1-(трет-бутил)-(2R,4S)-4-(нафтален-2-илметил)-5-оксопирролидин-1,2-дикарбоксилата (600 мг, 3,91 ммоль) в THF (8,6 мл) при -78°C добавляли раствор лития триэтилборогидрида (1,56 мл, 1,56 ммоль, 1 M в THF) в атмосфере Ar. Через 30 мин реакционную смесь гасили насыщенным раствором NaHCO3 (3 мл) и нагревали до 0°C. При 0°C добавляли 30% H2O2 (примерно 10 капель), и реакционную смесь перемешивали при той же температуре в течение 30 мин. Органические летучие вещества удаляли в вакууме, и водный слой экстрагировали CH2Cl2 (3×10 мл). Объединенные органические экстракты тщательно сушили с использованием Na2SO4, фильтровали, концентрировали, с получением 2-бензил-1-(трет-бутил)-(2R,4S)-5-гидрокси-4-(нафтален-2-илметил)пирролидин-1,2-дикарбоксилата (550 мг неочищенного), который непосредственно использовали на следующем этапе без дополнительной очистки.

Этап 3: К перемешиваемому раствору 2-бензил-1-(трет-бутил)-(2R,4S)-5-гидрокси-4-(нафтален-2-илметил)пирролидин-1,2-дикарбоксилата (550 мг неочищенного) и триэтилсилана (0,25 мл, 1,56 ммоль) в CH2Cl2 (5,5 мл) при -78°C по каплям добавляли диэтилэфират трехфтористого бора (0,19 мл, 1,56 ммоль) в атмосфере Ar. Через 30 мин при той же температуре добавляли дополнительно триэтилсилан (0,25 мл, 1,56 ммоль) и диэтилэфират трехфтористого бора (0,19 мл, 1,56 ммоль). После перемешивания в течение 2 ч при -78°C реакционную смесь гасили насыщенным водным раствором NaHCO3 (5 мл) и экстрагировали CH2Cl2 (3×15 мл). Объединенные экстракты сушили над Na2SO4, фильтровали и концентрировали в вакууме. Осадок очищали хроматографией (EtOAc-гексаны), с получением 2-бензил-1-(трет-бутил)-(2R,4S)-4-(нафтален-2-илметил)пирролидин-1,2-дикарбоксилата (350 мг, 60% выход в два этапа).

Этап 4: Раствор 2-бензил-1-(трет-бутил)-(2R,4S)-4-(нафтален-2-илметил)пирролидин-1,2-дикарбоксилата (350 мг, 0,78 ммоль) в MeOH (8 мл) барботировали газообразным Ar в течение 5 минут. К реакционной смеси добавляли 10% Pd/C (35 мг) и перемешивали под 1 атмосферой H2 в течение 3 ч. Реакционную смесь фильтровали (0,2 мкМ шприцевой фильтр), и фильтрат концентрировали в вакууме, с получением (2R,4S)-1-(трет-бутоксикарбонил)-4-(нафтален-2-илметил)пирролидин-2-карбоновой кислоты (250 мг, 90% выход).

Этап 5: К перемешиваемому раствору (трет-бутоксикарбонил)-L-аланина (1,96 г, 10,38 ммоль) в CH2Cl2 (55 мл) добавляли NHS (1,25 г, 10,89 ммоль) при комнатной температуре. К реакционной смеси добавляли DCC (2,25 г 10,9 ммоль), и реакционную смесь перемешивали в течение 1,0 ч. К реакционной смеси добавляли 5-(аминометил)-6-метилпиридин-2-амин и обрабатывали ультразвуком в течение 5 мин. 5-(аминометил)-6-метилпиридин-2-амин полностью растворялся, и реакционную смесь перемешивали при температуре окружающей среды в течение 1 ч. Неочищенную реакционную смесь фильтровали и концентрировали при пониженном давлении. Очистка хроматографией с использованием MeOH-CH2Cl2 приводила к получению трет-бутил(S)-(1-(((6-амино-2-метилпиридин-3-ил)метил)амино)-1-оксопропан-2-ил)карбамата (2,35 г, 70% выход) в виде белого твердого вещества.

Этап 6: К трет-бутил(S)-(1-(((6-амино-2-метилпиридин-3-ил)метил)амино)-1-оксопропан-2-ил)карбамату (2,35 г, 7,62 ммоль) добавляли раствор MeOH-HCl (19 мл, 2 M) с перемешиванием при температуре окружающей среды, контролируя расход исходного материала (как правило, 1 ч). Раствор выпаривали до сухого состояния, добавляли MeOH (50 мл) и выпаривали до сухого состояния для удаления остаточного газа HCl, с получением (S)-2-амино-N-((6-амино-2-метилпиридин-3-ил)метил)пропанамида гидрохлорида (1,60 г, 90% выход) в виде не совсем белого твердого вещества (гигроскопического).

Этап 7: К перемешиваемому раствору (2R,4S)-1-(трет-бутоксикарбонил)-4-(нафтален-2-илметил)пирролидин-2-карбоновой кислоты (75 мг, 0,21 ммоль) в безводном DMF (1,4 мл) добавляли HOBt (32 мг, 0,23 ммоль), DIEA (0,15 мл, 0,84 ммоль) и EDC (45 мг, 0,23 ммоль) при температуре окружающей среды. Реакционную смесь перемешивали в течение 30 мин при температуре окружающей среды. К реакционной смеси добавляли (S)-2-амино-N-((6-амино-2-метилпиридин-3-ил)метил)пропанамид гидрохлорид (61 мг, 0,32 ммоль) и перемешивали в течение ночи. Раствор выпаривали до сухого состояния, и осадок распределяли между EtOAc (15 мл) и 10% KHSO4 (10 мл). Органический слой отделяли и промывали насыщенным раствором NaHCO3 (10 мл), сушили над безводным Na2SO4 и концентрировали в вакууме. Неочищенную реакционную смесь очищали хроматографией с использованием MeOH-CH2Cl2, с получением трет-бутил(2R,4S)-2-(((S)-1-(((6-амино-2-метилпиридин-3-ил)метил)амино)-1-оксопропан-2-ил)карбамоил)-4-(нафтален-2-илметил)пирролидин-1-карбоксилата (52 мг, 45% выход) в виде белого твердого вещества.

Этап 8: К трет-бутил(2R,4S)-2-(((S)-1-(((6-амино-2-метилпиридин-3-ил)метил)амино)-1-оксопропан-2-ил)карбамоил)-4-(нафтален-2-илметил)пирролидин-1-карбоксилату (52 мг, 0,095 ммоль) добавляли раствор MeOH-HCl (2,0 мл, 2 M) с перемешиванием при температуре окружающей среды, контролируя расход исходного материала (от 30 мин до 1 ч). Раствор выпаривали до сухого состояния, добавляли MeOH (10 мл) и выпаривали до сухого состояния для удаления остаточного газа HCl, с получением (2R,4S)-N-((S)-1-(((6-амино-2-метилпиридин-3-ил)метил)амино)-1-оксопропан-2-ил)-4-(нафтален-2-илметил)пирролидин-2-карбоксамида дигидрохлорида (29 мг, 74% выход) в виде белого твердого вещества.

Пример 142. Получение (R)-N-((S)-1-((4-карбамимидоилбензил)амино)-1-оксопропан-2-ил)-2-((4-хлорфенэтил)амино)-4-фенилбутанамида ди-трифторацетатной соли (1339)

Этап 1: Бензил((4-(((S)-2-((R)-2-((4-хлорфенэтил)амино)-4-фенилбутанамидо)пропанамидо)метил)фенил)(имино)метил)карбамат синтезировали в соответствии с методикой для соединения 1130, этап 2.

Этап 2: Снятие защиты бензил((4-(((S)-2-((R)-2-((4-хлорфенэтил)амино)-4-фенилбутанамидо)пропанамидо)метил)фенил)(имино)метил)карбамата проводили в соответствии с методикой для соединения 1130, этап 3. Очистка методом обращенно-фазовой ВЭЖХ (5-75% MeCN-H2O) приводила к получению (R)-N-((S)-1-((4-карбамимидоилбензил)амино)-1-оксопропан-2-ил)-2-((4-хлорфенэтил)амино)-4-фенилбутанамида ди-трифторацетатной соли.

Пример 143. Получение (R)-N-((S)-1-((4-карбамимидоилбензил)амино)-1-оксопропан-2-ил)-2-(фенэтиламино)-4-фенилбутанамида дигидрохлорида (1340)

Этап 1: Бензил(имино(4-(((S)-2-((R)-2-(фенэтиламино)-4-фенилбутанамидо)пропанамидо)метил)фенил)метил)карбамат синтезировали в соответствии с методикой для соединения 1130, этап 2.

Этап 2: Снятие защиты бензил(имино(4-(((S)-2-((R)-2-(фенэтиламино)-4-фенилбутанамидо)пропанамидо)метил)фенил)метил)карбамата проводили в соответствии с методикой для соединения 1130, этап 3, с получением (R)-N-((S)-1-((4-карбамимидоилбензил)амино)-1-оксопропан-2-ил)-2-(фенэтиламино)-4-фенилбутанамида.

Этап 3: (R)-N-((S)-1-((4-карбамимидоилбензил)амино)-1-оксопропан-2-ил)-2-(фенэтиламино)-4-фенилбутанамид дигидрохлорид получали в соответствии с методикой для соединения (1319), этап 6.

Пример 144. Получение (R)-2-амино-N-((S)-1-((5-хлор-2-(1H-1,2,4-триазол-1-ил)бензил)амино)-1-оксопропан-2-ил)-4-фенилбутанамида (1341)

Этапы 1-2: Указанное в заголовке соединение синтезировали в виде белого твердого вещества в соответствии с методиками этапов 3-4 для соединения (1313) с использованием соответствующих исходных материалов (36 мг, 32% выход за два этапа).

Пример 145. Получение (2R,4R)-N-((S)-1-(((6-амино-2-метилпиридин-3-ил)метил)амино)-1-оксопропан-2-ил)-4-(нафтален-1-ил)пиперидин-2-карбоксамида дигидрохлорида (1342)

(2R,4R)-N-((S)-1-(((6-амино-2-метилпиридин-3-ил)метил)амино)-1-оксопропан-2-ил)-4-(нафтален-1-ил)пиперидин-2-карбоксамид дигидрохлорид синтезировали в соответствии с методиками для соединения (1231) (первый УФ-активный материал, элюируемый с колонки на этапе 6, использовали в дальнейшем) и соединения (1253), этапы 1 и 2.

Пример 146. Получение (2R,4S)-N-((S)-1-(((6-амино-2-метилпиридин-3-ил)метил)амино)-1-оксопропан-2-ил)-4-(изохинолин-5-илметил)пирролидин-2-карбоксамида ди-трифторацетатной соли (1343)

(2R,4S)-N-((S)-1-(((6-амино-2-метилпиридин-3-ил)метил)амино)-1-оксопропан-2-ил)-4-(изохинолин-5-илметил)пирролидин-2-карбоксамида ди-трифторацетатную соль синтезировали в соответствии с методиками для соединения (1304), за исключением того, что конечный продукт очищали с использованием обращенно-фазовой ВЭЖХ.

Пример 147. Получение (2R,4S)-N-((S)-1-(((6-амино-2-метилпиридин-3-ил)метил)амино)-1-оксопропан-2-ил)-4-((±)-1-фенилэтил)пирролидин-2-карбоксамида дигидрохлорида (1344)

(2R,4S)-N-((S)-1-(((6-амино-2-метилпиридин-3-ил)метил)амино)-1-оксопропан-2-ил)-4-((±)-1-фенилэтил)пирролидин-2-карбоксамид дигидрохлорид получали в соответствии с методиками для соединения (1257).

Пример 148. Получение (R)-2-((4-ацетамидофенэтил)амино)-N-((S)-1-((4-карбамимидоилбензил)амино)-1-оксопропан-2-ил)-4-фенилбутанамида дигидрохлорида (1345)

Этап 1: Бензил((4-(((S)-2-((R)-2-((4-ацетамидофенэтил)амино)-4-фенилбутанамидо)пропанамидо)метил)фенил)(имино)метил)карбамат синтезировали в соответствии с методикой для соединения 1130, этап 2.

Этап 2: Снятие защиты бензил((4-(((S)-2-((R)-2-((4-ацетамидофенэтил)амино)-4-фенилбутанамидо)пропанамидо)метил)фенил)(имино)метила) проводили в соответствии с методикой для соединения 1130, этап 3, с получением (R)-2-((4-ацетамидофенэтил)амино)-N-((S)-1-((4-карбамимидоилбензил)амино)-1-оксопропан-2-ил)-4-фенилбутанамида.

Этап 3: (R)-2-((4-ацетамидофенэтил)амино)-N-((S)-1-((4-карбамимидоилбензил)амино)-1-оксопропан-2-ил)-4-фенилбутанамид дигидрохлорид получали в соответствии с методикой для соединения (1319), этап 6.

Пример 149. Получение (R)-2-амино-N-((S)-1-(((2-аминопиридин-3-ил)метил)амино)-1-оксопропан-2-ил)-4-фенилбутанамида дигидрохлорида (1346)

(R)-2-амино-N-((S)-1-(((2-аминопиридин-3-ил)метил)амино)-1-оксопропан-2-ил)-4-фенилбутанамид дигидрохлорид синтезировали в соответствии с методиками для соединения (1323), этапы 2 и 3.

Пример 150. Получение (R)-N-((S)-1-(((6-амино-2-метилпиридин-3-ил)метил)амино)-1-оксопропан-2-ил)-4-бензилпиперазин-2-карбоксамида дигидрохлорида (1347)

(R)-N-((S)-1-(((6-амино-2-метилпиридин-3-ил)метил)амино)-1-оксопропан-2-ил)-4-бензилпиперазин-2-карбоксамид дигидрохлорид синтезировали в соответствии с методиками для соединения (1253).

Пример 151. Получение (R)-N-((S)-1-(((6-амино-2-метилпиридин-3-ил)метил)амино)-1-оксопропан-2-ил)-4-(2-метилбензил)пиперазин-2-карбоксамида дигидрохлорида (1348)

(R)-N-((S)-1-(((6-амино-2-метилпиридин-3-ил)метил)амино)-1-оксопропан-2-ил)-4-(2-метилбензил)пиперазин-2-карбоксамид дигидрохлорид синтезировали в соответствии с методиками для соединения (1230), за исключением использования (R)-1-(трет-бутоксикарбонил)-4-(2-метилбензил)пиперазин-2-карбоновой кислоты на этапе 1 и 5-(аминометил)-6-метилпиридин-2-амина на этапе 3.

Пример 152. Получение (R)-N-((S)-1-(((6-амино-2-метилпиридин-3-ил)метил)амино)-1-оксопропан-2-ил)-2-((3-гидроксифенэтил)амино)-4-фенилбутанамида дигидрохлорида (1349)

Этап 1: Снятие защиты бензил((R)-2-((трет-бутоксикарбонил)амино)-4-фенилбутаноил)-L-аланината (789,3 мг, 1,79 ммоль) проводили в соответствии с методикой для соединения 1119, этап 2. Неочищенный продукт растворяли в CH2Cl2 и адсорбировали на силикагеле. Очистка хроматографией (0-15% MeOH-CH2Cl2) приводила к получению метил((R)-2-амино-4-фенилбутаноил)-L-аланината (335,0 мг, 71% выход).

Этап 2: 3-(2-гидроксиэтил)фенол (2,1 г, 15,2 ммоль) растворяли в DMSO (8 мл) в атмосфере N2. Раствор обрабатывали по каплям раствором комплекса триоксида серы и пиридина (2,5 г, 15,7 ммоль) в DMSO (9 мл). Реакционную смесь перемешивали при комнатной температуре в течение 1 ч, гасили ледяной водой и разбавляли CH2Cl2. Органический слой промывали ледяной водой (3 раза), промывали рассолом, сушили (Na2SO4), фильтровали в вакууме и выпаривали в вакууме. Неочищенный продукт растворяли в CH2Cl2 и адсорбировали на силикагеле. Очистка хроматографией (0-100% EtOAc-гексаны) приводила к получению неочищенного 2-(3-гидроксифенил)ацетальдегида (1,83 г, 88% выход).

Этап 3: Метил((R)-2-амино-4-фенилбутаноил)-L-аланинат (335,0 мг, 1,27 ммоль) присоединяли к неочищенному 2-(3-гидроксифенил)ацетальдегиду (417 мг, 3,06 ммоль) в соответствии с методикой для соединения 1130, этап 2. Неочищенный продукт растворяли в CH2Cl2 и адсорбировали на силикагеле. Очистка хроматографией (0-5% MeOH-CH2Cl2) приводила к получению метил((R)-2-((3-гидроксифенэтил)амино)-4-фенилбутаноил)-L-аланината (270 мг, 61% выход).

Этап 4: Смесь ((R)-2-((3-гидроксифенэтил)амино)-4-фенилбутаноил)-L-аланината (270,3 мг, 0,703 ммоль) в THF (3,4 мл) и воды (3,4 мл) обрабатывали LiOH (84 мг, 3,51 ммоль). Реакционную смесь перемешивали в течение 16 ч при комнатной температуре, доводили до pH 3 путем медленного добавления 10% раствора KHSO4 и экстрагировали EtOAc (3 раза). Органические слои объединяли, промывали 5% раствором NaHCO3, промывали рассолом, сушили (Na2SO4), фильтровали в вакууме и выпаривали в вакууме, с получением неочищенного ((R)-2-((3-гидроксифенэтил)амино)-4-фенилбутаноил)-L-аланина (213,6 мг, 82% выход).

Этап 5: ((R)-2-((3-гидроксифенэтил)амино)-4-фенилбутаноил)-L-аланин (110,6 мг, 0,299 ммоль) присоединяли к 5-(аминометил)-6-метилпиридин-2-амину (66 мг, 0,481 ммоль) в соответствии с методикой для соединения 1088, этап 2, за исключением того, что к реакционной смеси добавляли HBTU при 0°C, с получением (R)-N-((S)-1-(((6-амино-2-метилпиридин-3-ил)метил)амино)-1-оксопропан-2-ил)-2-((3-гидроксифенэтил)амино)-4-фенилбутанамида (97,6 мг, 67% выход).

Этап 6: (R)-N-((S)-1-(((6-амино-2-метилпиридин-3-ил)метил)амино)-1-оксопропан-2-ил)-2-((3-гидроксифенэтил)амино)-4-фенилбутанамид дигидрохлорид получали в соответствии с методикой для соединения (1319), этап 6.

Пример 153. Получение (2R,4S)-N-((S)-1-(((6-амино-2-метилпиридин-3-ил)метил)амино)-1-оксопропан-2-ил)-4-(4-бромбензил)пирролидин-2-карбоксамида дигидрохлорида (1350)

(2R,4S)-N-((S)-1-(((6-амино-2-метилпиридин-3-ил)метил)амино)-1-оксопропан-2-ил)-4-(4-бромбензил)пирролидин-2-карбоксамид дигидрохлорид синтезировали в соответствии с методиками для соединения (1328).

Пример 154. Получение (2R,4S)-4-([1,1'-бифенил]-4-илметил)-N-((S)-1-(((6-амино-2-метилпиридин-3-ил)метил)амино)-1-оксопропан-2-ил)пирролидин-2-карбоксамида дигидрохлорида (1351)

Этап 1: 2-бензил 1-(трет-бутил)-(2R,4S)-4-(4-бромбензил)пирролидин-1,2-дикарбоксилат синтезировали в соответствии с методиками для соединения (1304), этап 1 - этап 3.

Этап 2: В 50-мл круглодонную колбу, снабженную якорем магнитной мешалки и перегородкой, добавляли 2-бензил-1-(трет-бутил)-(2R,4S)-4-(4-бромбензил)пирролидин-1,2-дикарбоксилат (143 мг, 0,30 ммоль), фенилбороновую кислоту (44 мг, 0,36), Pd(dppf)Cl2 (22 мг, 0,03 ммоль), карбонат цезия (293 мг, 0,90 ммоль), THF (3 мл) и воду (0,3 мл). Полученную смесь дегазировали барботированием N2 через раствор в течение 10 мин. Затем реакционную смесь нагревали до 90°C в течение 4 ч. После охлаждения до комнатной температуры реакционный раствор фильтровали через диатомовую землю, элюируя EtOAc, концентрировали и очищали хроматографией, используя EtOAc-гексаны, с получением 2-бензил-1-(трет-бутил)-(2R,4S)-4-([1,1'-бифенил]-4-илметил)пирролидин-1,2-дикарбоксилата (110 мг, 78% выход) в виде бесцветной клейкой жидкости.

Этап 3: (2R,4S)-4-([1,1'-бифенил]-4-илметил)-N-((S)-1-(((6-амино-2-метилпиридин-3-ил)метил)амино)-1-оксопропан-2-ил)пирролидин-2-карбоксамид дигидрохлорид синтезировали в соответствии с методиками для соединения (1304), этап 4 - этап 8.

Пример 155. Получение (R)-N-((S)-1-((4-карбамимидоилбензил)амино)-1-оксопропан-2-ил)-4-фенил-2-((3-(трифторметокси)фенэтил)амино)бутанамида ди-трифторацетатной соли (1352)

Этап 1: Бензил(имино(4-(((S)-2-((R)-4-фенил-2-((3-(трифторметокси)фенэтил)амино)бутанамидо)пропанамидо)метил)фенил)метил)карбамат синтезировали в соответствии с методикой для соединения 1130, этап 2.

Этап 2: Снятие защиты бензил(имино(4-(((S)-2-((R)-4-фенил-2-((3-(трифторметокси)фенэтил)амино)бутанамидо)пропанамидо)метил)фенил)метил)карбамата проводили в соответствии с методикой для соединения 1130, этап 3. Очистка методом обращенно-фазовой ВЭЖХ (5-75% MeCN-H2O) приводила к получению (R)-N-((S)-1-((4-карбамимидоилбензил)амино)-1-оксопропан-2-ил)-4-фенил-2-((3-(трифторметокси)фенэтил)амино)бутанамида ди-трифторацетатной соли.

Пример 156. Получение (2R,4S)-N-((S)-1-(((6-амино-2-метилпиридин-3-ил)метил)амино)-1-оксопропан-2-ил)-4-бензилпиперидин-2-карбоксамида дигидрохлорида (1353)

(2R,4S)-N-((S)-1-(((6-амино-2-метилпиридин-3-ил)метил)амино)-1-оксопропан-2-ил)-4-бензилпиперидин-2-карбоксамид дигидрохлорид синтезировали в соответствии с методиками для соединения (1253).

Пример 157. Получение (2S,4R)-N-((S)-1-(((6-амино-2-метилпиридин-3-ил)метил)амино)-1-оксопропан-2-ил)-4-бензилпиперидин-2-карбоксамида дигидрохлорида (1354)

(2S,4R)-N-((S)-1-(((6-амино-2-метилпиридин-3-ил)метил)амино)-1-оксопропан-2-ил)-4-бензилпиперидин-2-карбоксамид синтезировали в соответствии с методиками для соединения (1230), за исключением использования 4-бензил-1-(трет-бутоксикарбонил)пиперидин-2-карбоновой кислоты на этапе 1 и 5-(аминометил)-6-метилпиридин-2-амина на этапе 3.

Пример 158. Получение (R)-2-амино-N-((S)-1-((5-бром-2-гидрокси-3-метилбензил)амино)-1-оксопропан-2-ил)-4-фенилбутанамида трифторацетатной соли (1355)

Этапы 1-2: Указанное в заголовке соединение синтезировали в виде белого гигроскопического твердого вещества в соответствии с методиками этапов 3-4 для соединения (1313) с использованием соответствующих исходных материалов (8,3 мг, 17% выход за два этапа).

Пример 159. Получение (2R,4S)-4-([1,1'-бифенил]-4-илметил)-N-((S)-1-(((3-хлор-1H-пирроло[2,3-b]пиридин-5-ил)метил)амино)-1-оксопропан-2-ил)пирролидин-2-карбоксамида ди-трифторацетатной соли (1356)

Этап 1: 2-бензил-1-(трет-бутил)-(2R,4S)-4-([1,1'-бифенил]-4-илметил)пирролидин-1,2-дикарбоксилат синтезировали в соответствии с методиками для соединения (1351), этап 1 и этап 2.

Этап 2: (2R,4S)-4-([1,1'-бифенил]-4-илметил)-N-((S)-1-(((3-хлор-1H-пирроло[2,3-b]пиридин-5-ил)метил)амино)-1-оксопропан-2-ил)пирролидин-2-карбоксамида ди-трифторацетатную соль синтезировали в соответствии с методиками для соединения (1307), этап 1 - этап 5, с последующей очисткой методом обращенно-фазовой ВЭЖХ.

Пример 160. Получение (2R,4S)-N-((S)-1-(((6-амино-2-метилпиридин-3-ил)метил)амино)-1-оксопропан-2-ил)-4-(4-(пиридин-3-ил)бензил)пирролидин-2-карбоксамида ди-трифторацетатной соли (1357)

(2R,4S)-N-((S)-1-(((6-амино-2-метилпиридин-3-ил)метил)амино)-1-оксопропан-2-ил)-4-(4-(пиридин-3-ил)бензил)пирролидин-2-карбоксамида ди-трифторацетатную соль синтезировали в соответствии с методиками для соединения (1351), за исключением того, что конечный продукт очищали хроматографией с использованием обращенно-фазовой ВЭЖХ.

Пример 161. Получение (2R,4R)-N-((S)-1-(((2-амино-5-хлорпиридин-3-ил)метил)амино)-1-оксопропан-2-ил)-4-фенилпирролидин-2-карбоксамида ди-трифторацетатной соли (1358)

Этап 1: Раствор 2-амино-5-хлорпиридин-3-карбонитрила (250 мг, 1,62 ммоль) в MeOH (5 мл) и 7 Н NH3 в MeOH (25 мл) дегазировали потоком Ar 2 раза. Добавляли никель Ренея (300 мг), и применяли вакуум в течение 1 мин. Подключали баллон H2, и реакционную смесь перемешивали в течение 16 ч при комнатной температуре. После завершения реакционную смесь дегазировали потоком Ar 2 раза. Катализатор удаляли фильтрованием через диатомовую землю, и раствор концентрировали. Осадок поглощали в 5% H2O в MeOH, фильтровали (0,2 мкМ шприцевой фильтр), и фильтрат концентрировали в вакууме, с получением 3-(аминометил)-5-хлорпиридин-2-амина (189 мг, 74% выход).

Этап 2: К раствору 3-(аминометил)-5-хлорпиридин-2-амина (47 мг, 0,3 ммоль) в DMF (5 мл, 0,06 ммоль) добавляли ((2R,4R)-1-(трет-бутоксикарбонил)-4-фенилпирролидин-2-карбонил)-L-аланин (84 мг, 0,23 ммоль). Полученную смесь охлаждали до 0°C. К вышеуказанной смеси добавляли HBTU (114 мг, 0,3 ммоль) и DIEA (0,16 мл). После перемешивания в течение 30 мин при той же температуре реакционную смесь нагревали до комнатной температуры. Реакционную смесь перемешивали в течение 90 мин, затем концентрировали в вакууме. Осадок растворяли в EtOAc-CH2Cl2, затем промывали 10% KHSO4, H2O, насыщенным водным NaHCO3 и рассолом. Органический слой сушили над безводным Na2SO4 и концентрировали в вакууме. Осадок очищали хроматографией (0-100% [5% 7 Н NH3 в MeOH/CH2Cl2]-CH2Cl2), с получением трет-бутил(2R,4R)-2-(((S)-1-(((2-амино-5-хлорпиридин-3-ил)метил)амино)-1-оксопропан-2-ил)карбамоил)-4-фенилпирролидин-1-карбоксилата (104 мг, 90% выход).

Этап 3: Снятие защиты трет-бутил(2R,4R)-2-(((S)-1-(((2-амино-5-хлорпиридин-3-ил)метил)амино)-1-оксопропан-2-ил)карбамоил)-4-фенилпирролидин-1-карбоксилата (104 мг, 0,21 ммоль) проводили в соответствии с методикой для соединения (1260), этап 4, за исключением того, что конечный продукт очищали с использованием обращенно-фазовой ВЭЖХ.

Пример 162. Получение (2R,4R)-4-([1,1'-бифенил]-3-ил)-N-((S)-1-(((6-амино-2-метилпиридин-3-ил)метил)амино)-1-оксопропан-2-ил)пирролидин-2-карбоксамида ди-трифторацетатной соли (1359)

Этап 1: (R)-4-([1,1'-бифенил]-3-ил)-1-(трет-бутоксикарбонил)-2,5-дигидро-1H-пиррол-2-карбоновую кислоту синтезировали из 1-(трет-бутил)-2-метил-(R)-4-оксопирролидин-1,2-дикарбоксилата в соответствии с методиками для соединения (1247), этап 1 - этап 3.

Этап 2: В атмосфере Ar (R)-4-([1,1'-бифенил]-3-ил)-1-(трет-бутоксикарбонил)-2,5-дигидро-1H-пиррол-2-карбоновую кислоту (347 мг, 0,95 ммоль) и хлортрис(трифенилфосфин)родий (88 мг, 0,095 ммоль) растворяли в безводном THF (15 мл), MeOH (15 мл) и Et3N (0,13 мл, 0,95 ммоль). Затем атмосферу во флаконе меняли на H2 и поддерживали небольшое положительное давление, пока раствор перемешивали в течение 36 ч. Летучие вещества выпаривали, осадок суспендировали в NaHCO3 (60 мл), и pH доводили до примерно 10 1 M водным раствором NaOH. Добавляли EtOAc (60 мл), и смесь распределяли. Органический слой промывали другими 30 мл NaHCO3, и объединенные водные слои доводили до pH 3-4 с использованием 1 M водного раствора HCl; продукт впоследствии обратно экстрагировали EtOAc (3×60 мл). Объединенные органические слои сушили над Na2SO4 и выпаривали, с получением (2R,4R)-4-([1,1'-бифенил]-3-ил)-1-(трет-бутоксикарбонил)пирролидин-2-карбоновой кислоты (175 мг, 50% выход) в виде оранжевой клейкой жидкости.

Этап 3: (2R,4R)-4-([1,1'-бифенил]-3-ил)-1-(трет-бутоксикарбонил)пирролидин-2-карбоновую кислоту присоединяли к (S)-2-амино-N-((6-амино-2-метилпиридин-3-ил)метил)пропанамида гидрохлориду в соответствии с методикой для соединения (1304), этап 7, с получением трет-бутил(2R,4S)-4-([1,1'-бифенил]-3-илметил)-2-(((S)-1-(((6-амино-2-метилпиридин-3-ил)метил)амино)-1-оксопропан-2-ил)карбамоил)пирролидин-1-карбоксилата.

Этап 4: Снятие защиты трет-бутил(2R,4S)-4-([1,1'-бифенил]-3-илметил)-2-(((S)-1-(((6-амино-2-метилпиридин-3-ил)метил)амино)-1-оксопропан-2-ил)карбамоил)пирролидин-1-карбоксилата в соответствии с методикой для соединения (1304), этап 8, приводило к получению (2R,4R)-4-([1,1'-бифенил]-3-ил)-N-((S)-1-(((6-амино-2-метилпиридин-3-ил)метил)амино)-1-оксопропан-2-ил)пирролидин-2-карбоксамида, который очищали с использованием обращенно-фазовой ВЭЖХ и выделяли в виде ди-трифторацетатной соли.

Пример 163. Получение (2R,4R)-4-([1,1'-бифенил]-3-ил)-N-((R)-1-(((6-амино-2-метилпиридин-3-ил)метил)амино)-1-оксопропан-2-ил)пирролидин-2-карбоксамида ди-трифторацетатной соли (1360)

С трет-бутил(2R,4R)-4-([1,1'-бифенил]-3-илметил)-2-(((S)-1-(((6-амино-2-метилпиридин-3-ил)метил)амино)-1-оксопропан-2-ил)карбамоил)пирролидин-1-карбоксилата, выделенного из препарата трет-бутил(2R,4S)-4-([1,1'-бифенил]-3-илметил)-2-(((S)-1-(((6-амино-2-метилпиридин-3-ил)метил)амино)-1-оксопропан-2-ил)карбамоил)пирролидин-1-карбоксилата (соединение (1359), этап 3, снимали защиту в соответствии с методикой для соединения (1304), этап 8, с получением (2R,4R)-4-([1,1'-бифенил]-3-ил)-N-((R)-1-(((6-амино-2-метилпиридин-3-ил)метил)амино)-1-оксопропан-2-ил)пирролидин-2-карбоксамида ди-трифторацетатной соли после очистки с использованием обращенно-фазовой ВЭЖХ.

Пример 164. Получение (2R,4S)-N-((S)-1-(((6-амино-2-метилпиридин-3-ил)метил)амино)-1-оксопропан-2-ил)-4-(4-(тиазол-2-ил)бензил)пирролидин-2-карбоксамида ди-трифторацетатной соли (1361)

(2R,4S)-N-((S)-1-(((6-амино-2-метилпиридин-3-ил)метил)амино)-1-оксопропан-2-ил)-4-(4-(тиазол-2-ил)бензил)пирролидин-2-карбоксамида ди-трифторацетатную соль синтезировали в соответствии с методиками для соединения (1304), за исключением того, что конечный продукт очищали с использованием обращенно-фазовой ВЭЖХ.

Пример 165. Получение (2R,4R)-N-((S)-1-(((3-хлор-1H-индол-5-ил)метил)амино)-1-оксопропан-2-ил)-4-фенилпирролидин-2-карбоксамида (1362)

Этап 1: ((2R,4R)-1-(трет-бутоксикарбонил)-4-фенилпирролидин-2-карбонил)-L-аланин присоединяли к (3-хлор-1H-индол-5-ил)метанамину (синтезированному в соответствии с методиками, описанными в WO200002611) в соответствии с методикой для соединения (1265), этап 1, с получением трет-бутил(2R,4R)-2-(((S)-1-(((3-хлор-1H-индол-5-ил)метил)амино)-1-оксопропан-2-ил)карбамоил)-4-фенилпирролидин-1-карбоксилата (71,7 мг, 62% выход).

Этап 2: К раствору трет-бутил(2R,4R)-2-(((S)-1-(((3-хлор-1H-индол-5-ил)метил)амино)-1-оксопропан-2-ил)карбамоил)-4-фенилпирролидин-1-карбоксилата (28,7 мг, 0,055 ммоль) в безводном CH2Cl2 (5 мл) в ледяной бане добавляли TFA (6 мкл), триэтилсилан (2 капли). Добавляли дополнительно TFA (6 мкл). После перемешивания в течение 15 мин ледяную баню удаляли, и перемешивание продолжали в течение 1 ч. Добавляли дополнительно TFA (0,25 мл), и смесь перемешивали в течение 75 мин. Реакционную смесь гасили путем медленного добавления 1 M NaOH (3 мл). После перемешивания в течение 5 мин смесь охлаждали в ледяной бане. Добавляли насыщенный NaHCO3 до нейтрального значения pH. Смесь насыщали NaCl и экстрагировали 10% MeOH-CH2Cl2. Объединенные органические слои сушили (Na2SO4) и концентрировали в вакууме. Очистка хроматографией (0-7,5% MeOH-CH2Cl2) приводила к получению (2R,4R)-N-((S)-1-(((3-хлор-1H-индол-5-ил)метил)амино)-1-оксопропан-2-ил)-4-фенилпирролидин-2-карбоксамид (12,8 мг, 55% выход).

Пример 166. Получение (2R,4S)-4-бензил-N-((S)-1-((5-хлор-2-гидрокси-3-метилбензил)амино)-1-оксопропан-2-ил)пиперидин-2-карбоксамида гидрохлорида (1363)

(2R,4S)-4-бензил-N-((S)-1-((5-хлор-2-гидрокси-3-метилбензил)амино)-1-оксопропан-2-ил)пиперидин-2-карбоксамид гидрохлорид синтезировали в соответствии с методиками для соединения (1230), за исключением использования ((2R,4S)-4-бензил-1-(трет-бутоксикарбонил)пиперидин-2-карбонил)-L-аланина на этапе 3.

Пример 167. Получение (2R,4R)-N-((S)-1-((3-хлор-5-гидроксибензил)амино)-1-оксопропан-2-ил)-4-фенилпирролидин-2-карбоксамида гидрохлорида (1364)

Этапы 1-2: Указанное в заголовке соединение синтезировали в виде белого порошка в соответствии с методиками этапов 3-4 для соединения 1119 с использованием соответствующих исходных материалов (8,5 мг, 11% выход за два этапа).

Пример 168. Получение (2R,4S)-N-((S)-1-((5-хлор-2-гидрокси-3-метилбензил)амино)-1-оксопропан-2-ил)-4-фенилпиперидин-2-карбоксамида гидрохлорида (1365)

Этапы 1-2: Указанное в заголовке соединение синтезировали в виде белого порошка в соответствии с методиками этапов 1-2 для соединения (1246) с использованием соответствующих исходных материалов (33 мг, 35% выход за два этапа).

Пример 169. Получение (2R,4R)-N-((S)-1-((имидазо[1,2-a]пиридин-7-илметил)амино)-1-оксопропан-2-ил)-4-фенилпирролидин-2-карбоксамида дигидрохлорида (1366)

(2R,4R)-N-((S)-1-((имидазо[1,2-a]пиридин-7-илметил)амино)-1-оксопропан-2-ил)-4-фенилпирролидин-2-карбоксамид дигидрохлорид синтезировали в соответствии с методикой для соединения (1323), этапы 2 и 3.

Пример 170. Получение (S)-N-(1-(((6-амино-2-метилпиридин-3-ил)метил)амино)-1-оксопропан-2-ил)-3-бензил-1H-пиразол-5-карбоксамида (1367)

(S)-N-(1-(((6-амино-2-метилпиридин-3-ил)метил)амино)-1-оксопропан-2-ил)-3-бензил-1H-пиразол-5-карбоксамид синтезировали в соответствии с методиками для соединения (1230), за исключением использования 3-бензил-1H-пиразол-5-карбоновой кислоты на этапе 1 и 5-(аминометил)-6-метилпиридин-2-амина на этапе 3.

Пример 171. Получение (R)-2-((4-ацетамидофенэтил)амино)-N-((S)-1-(((6-амино-2-метилпиридин-3-ил)метил)амино)-1-оксопропан-2-ил)-4-фенилбутанамида дигидрохлорида (1368)

Этап 1: Бензил((R)-2-амино-4-фенилбутаноил)-L-аланинат (403,0 мг, 1,18 ммоль) присоединяли к N-(4-(2-оксоэтил)фенил)ацетамиду (251,0 мг, 1,42 ммоль) в соответствии с методикой для соединения 1130, этап 2. Неочищенный продукт растворяли в CH2Cl2 и адсорбировали на силикагеле. Очистка хроматографией (0-10% MeOH-CH2Cl2) приводила к получению бензил((R)-2-((4-ацетамидофенэтил)амино)-4-фенилбутаноил)-L-аланината (500,1 мг, 84% выход).

Этап 2: Снятие защиты бензил((R)-2-((4-ацетамидофенэтил)амино)-4-фенилбутаноил)-L-аланината (500,1 мг, 0,997 ммоль) проводили в соответствии с методикой для соединения 1119, этап 2, с получением метил((R)-2-((4-ацетамидофенэтил)амино)-4-фенилбутаноил)-L-аланината (122,0 мг, 29% выход).

Этап 3: Гидролиз метил((R)-2-((4-ацетамидофенэтил)амино)-4-фенилбутаноил)-L-аланината (122,0 мг, 0,287 ммоль) проводили в соответствии с методикой для соединения (1349), этап 4, с получением неочищенного ((R)-2-((4-ацетамидофенэтил)амино)-4-фенилбутаноил)-L-аланина (37,5 мг, 32% выход).

Этап 4: ((R)-2-((4-ацетамидофенэтил)амино)-4-фенилбутаноил)-L-аланин (37,5 мг, 0,091 ммоль) присоединяли к 5-(аминометил)-6-метилпиридин-2-амину (21,0 мг, 0,15 ммоль) в соответствии с методикой для соединения 1088, этап 2, за исключением того, что к реакционной среде добавляли HBTU при 0°C. Неочищенный продукт растворяли в CH2Cl2 и адсорбировали на силикагеле. Очистка хроматографией (0-15% MeOH-CH2Cl2) приводила к получению (R)-2-((4-ацетамидофенэтил)амино)-N-((S)-1-(((6-амино-2-метилпиридин-3-ил)метил)амино)-1-оксопропан-2-ил)-4-фенилбутанамида (31,1 мг, 64% выход).

Этап 5: (R)-2-((4-ацетамидофенэтил)амино)-N-((S)-1-(((6-амино-2-метилпиридин-3-ил)метил)амино)-1-оксопропан-2-ил)-4-фенилбутанамид дигидрохлорид получали в соответствии с методикой для соединения (1319), этап 6.

Пример 172. Получение (2R,4S)-N-((S)-1-((5-хлор-2-гидрокси-3-метилбензил)амино)-1-оксопропан-2-ил)-4-(3-метилбензил)пирролидин-2-карбоксамида гидрохлорида (1369)

Этапы 1-2: В 250-мл круглодонную колбу вносили N-(трет-бутоксикарбонил)-L-аланин (503 мг, 2,66 ммоль) и ACN (13 мл), затем охлаждали до 0°C. Порционно добавляли оксим (435 мг, 3,06 ммоль) и EDC (560 мг, 2,92 ммоль), и оставляли для перемешивания на 10 мин. За тем добавляли 2-(аминометил)-4-хлор-6-метилфенол (500 мг, 2,92 ммоль) и DIEA (695 мкл, 4 ммоль), соответственно, и реакционную смесь оставляли медленно нагреваться до температуры окружающей среды в течение ночи. Растворитель удаляли при пониженном давлении, и осадок повторно растворяли в EtOAc, затем промывали 10% водным KHSO4 и рассолом, сушили над Na2SO4 и концентрировали в вакууме. Неочищенный продукт очищали хроматографией (60-70% EtOAc/гексаны). Трет-бутил(S)-(1-((5-хлор-2-гидрокси-3-метилбензил)амино)-1-оксопропан-2-ил)карбамат растворяли в концентрированной HCl в MeOH (10 мл) и перемешивали при температуре окружающей среды в течение ночи. Реакционную смесь затем концентрировали и очищали хроматографией (смесь MeOH/CH2Cl2, содержащая 2,5% 7 Н NH3-MeOH), с получением (S)-2-амино-N-(5-хлор-2-гидрокси-3-метилбензил)пропенамида в виде желтого порошка (469 мг, 73% выход за два этапа).

Этапы 3-4: Указанное в заголовке соединение синтезировали в виде белого твердого вещества в соответствии с методиками этапов 1-2 для соединения (1246) с использованием соответствующих исходных материалов (11 мг, 15% выход за два этапа).

Пример 173. Получение (2R,4S)-N-((S)-1-((5-хлор-2-гидрокси-3-метилбензил)амино)-1-оксопропан-2-ил)-4-(нафтален-2-илметил)пирролидин-2-карбоксамида (1370)

Этапы 1-2: Указанное в заголовке соединение синтезировали в виде белого твердого вещества в соответствии с методиками этапов 3-4 для соединения (1313) с использованием соответствующих исходных материалов (17,4 мг, 36% выход за два этапа).

Пример 174. Получение (2R,4S)-4-бензил-N-((S)-1-((5-хлор-2-(1H-тетразол-1-ил)бензил)амино)-1-оксопропан-2-ил)пирролидин-2-карбоксамида гидрохлорида (1371)

(2R,4S)-4-бензил-N-((S)-1-((5-хлор-2-(1H-тетразол-1-ил)бензил)амино)-1-оксопропан-2-ил)пирролидин-2-карбоксамид гидрохлорид синтезировали в соответствии с методиками для соединения (1307).

Пример 175. Получение (2R,4S)-N-((S)-1-(((6-амино-2-метилпиридин-3-ил)метил)амино)-1-оксопропан-2-ил)-4-(2-бромбензил)пирролидин-2-карбоксамида ди-трифторацетатной соли (1372)

(2R,4S)-N-((S)-1-(((6-амино-2-метилпиридин-3-ил)метил)амино)-1-оксопропан-2-ил)-4-(2-бромбензил)пирролидин-2-карбоксамида ди-трифторацетатную соль синтезировали в соответствии с методиками для соединения (1328), за исключением того, что конечный продукт очищали с использованием обращенно-фазовой ВЭЖХ.

Пример 176. Получение (2R,4S)-4-([1,1'-бифенил]-2-илметил)-N-((S)-1-(((6-амино-2-метилпиридин-3-ил)метил)амино)-1-оксопропан-2-ил)пирролидин-2-карбоксамида ди-трифторацетатной соли (1373)

Этап 1: К перемешиваемому раствору 2-бензил-1-(трет-бутил)-(R)-5-оксопирролидин-1,2-дикарбоксилата (2,0 г, 6,28 ммоль) в THF (40 мл) при -78°C медленно добавляли литий бис(триметилсилил)амид (6,90 мл, 6,90 ммоль, 1 M в THF) в атмосфере Ar. После перемешивания в течение 1 ч при -78°C добавляли 2-бромбензилбромид (1,88 г, 7,53 ммоль), и перемешивание продолжали еще в течение 2 ч. Реакционную смесь гасили насыщенным раствором NH4Cl и экстрагировали диэтиловым эфиром (3×60 мл). Объединенные экстракты сушили над Na2SO4, фильтровали и концентрировали в вакууме. Осадок очищали хроматографией (EtOAc-гексаны), с получением 2-бензил-1-(трет-бутил)-(2R,4S)-4-(2-бромбензил)-5-оксопирролидин-1,2-дикарбоксилата (2,63 г, 86% выход).

Этап 2: К раствору 2-бензил-1-(трет-бутил)-(2R,4S)-4-(2-бромбензил)-5-оксопирролидин-1,2-дикарбоксилата (1,60 г, 3,91 ммоль) в THF (22 мл) при -78°C добавляли раствор лития триэтилборогидрида (3,94 мл, 3,94 ммоль, 1 M в THF) в атмосфере Ar. Через 30 мин реакционную смесь гасили насыщенным раствором NaHCO3 (8,60 мл) и нагревали до 0°C. При 0°C добавляли 30% H2O2 (примерно 25 капель), и реакционную смесь перемешивали при той же температуре в течение 30 мин. Органические летучие вещества удаляли в вакууме, и водный слой экстрагировали CH2Cl2 (3×0 мл). Объединенные органические экстракты тщательно сушили с использованием Na2SO4, фильтровали, концентрировали, с получением 2-бензил-1-(трет-бутил)-(2R,4S)-4-(2-бромбензил)-5-гидроксипирролидин-1,2-дикарбоксилата (1,60 г неочищенного), который непосредственно использовали на следующем этапе без дополнительной очистки.

Этап 3: К перемешиваемому раствору 2-бензил-1-(трет-бутил)-(2R,4S)-4-(2-бромбензил)-5-гидроксипирролидин-1,2-дикарбоксилата (1,60 г неочищенного) и триэтилсилана (0,63 мл, 3,94 ммоль) в CH2Cl2 при -78°C по каплям добавляли диэтилэфират трехфтористого бора (0,49 мл, 3,94 ммоль) в атмосфере Ar. Через 30 мин при той же температуре добавляли дополнительно триэтилсилан (0,63 мл, 3,94 ммоль) и диэтилэфират трехфтористого бора (0,49 мл, 3,94 ммоль). После перемешивания в течение 2 h при -78°C реакционную смесь гасили насыщенным водным раствором NaHCO3 (10 мл) и экстрагировали CH2Cl2 (3×40 мл). Объединенные экстракты сушили над Na2SO4, фильтровали и концентрировали в вакууме. Осадок очищали хроматографией (EtOAc-гексаны), с получением 2-бензил-1-(трет-бутил)-(2R,4S)-4-(2-бромбензил)пирролидин-1,2-дикарбоксилата (931 мг, 60% выход в два этапа).

Этап 4: В 50-мл круглодонную колбу, снабженную якорем магнитной мешалки и перегородкой, добавляли 2-бензил 1-(трет-бутил)-(2R,4S)-4-(2-бромбензил)пирролидин-1,2-дикарбоксилат (200 мг, 0,42 ммоль), фенилбороновую кислоту (62 мг, 0,51), Pd(dppf)Cl2 (31 мг, 0,042 ммоль), карбонат цезия (413 мг, 1,26 ммоль), THF (4,2 мл) и воду (0,42 мл). Полученную смесь дегазировали барботированием N2 через раствор в течение 10 мин. Затем реакционную смесь нагревали до 90°C в течение 4 ч. После охлаждения до комнатной температуры реакционный раствор фильтровали через диатомовую землю, элюировали EtOAc, концентрировали и очищали хроматографией, используя EtOAc-гексаны, с получением 2-бензил-1-(трет-бутил)-(2R,4S)-4-([1,1'-бифенил]-2-илметил)пирролидин-1,2-дикарбоксилата (200 мг, 99% выход) в виде бесцветной клейкой жидкости.

Этап 4: Раствор 2-бензил-1-(трет-бутил)-(2R,4S)-4-([1,1'-бифенил]-2-илметил)пирролидин-1,2-дикарбоксилата (200 мг, 0,42 ммоль) в MeOH (4,2 мл) барботировали газообразным Ar в течение 5 минут. К реакционной смеси добавляли 10% Pd/C (20 мг), и смесь перемешивали под 1 атмосферой H2 в течение 3 ч. Реакционную смесь фильтровали (0,2 мкМ шприцевой фильтр), и фильтрат концентрировали в вакууме, с получением (2R,4S)-4-([1,1'-бифенил]-2-илметил)-1-(трет-бутоксикарбонил)пирролидин-2-карбоновой кислоты (150 мг, 93% выход).

Этап 5: К перемешиваемому раствору (трет-бутоксикарбонил)-L-аланина (1,96 г, 10,38 ммоль) в CH2Cl2 (55 мл) добавляли NHS (1,25 г, 10,89 ммоль) при комнатной температуре. К реакционной смеси добавляли DCC (2,25 г, 10,9 ммоль), и реакционную смесь перемешивали в течение 1,0 ч. К реакционной смеси добавляли 5-(аминометил)-6-метилпиридин-2-амин и обрабатывали ультразвуком в течение 5 мин. 5-(аминометил)-6-метилпиридин-2-амин полностью растворялся, и реакционную смесь перемешивали при температуре окружающей среды в течение 1 ч. Неочищенную реакционную смесь фильтровали и концентрировали при пониженном давлении. Неочищенную реакционную смесь очищали хроматографией с использованием MeOH-CH2Cl2, с получением трет-бутил(S)-(1-(((6-амино-2-метилпиридин-3-ил)метил)амино)-1-оксопропан-2-ил)карбамата (2,35 г, 70% выход) в виде белого твердого вещества.

Этап 6: К трет-бутил(S)-(1-(((6-амино-2-метилпиридин-3-ил)метил)амино)-1-оксопропан-2-ил)карбамату (2,35 г, 7,62 ммоль) добавляли раствор MeOH-HCl (19 мл, 2 M) с перемешиванием при температуре окружающей среды, контролируя расход исходного материала (как правило, 1 ч). Раствор выпаривали до сухого состояния, добавляли MeOH (50 мл) и выпаривали до сухого состояния для удаления остаточного газа HCl, с получением (S)-2-амино-N-((6-амино-2-метилпиридин-3-ил)метил)пропанамида гидрохлорида (1,60 г, 90% выход) в виде не совсем белого твердого вещества (гигроскопического).

Этап 7: К перемешиваемому раствору (2R,4S)-4-([1,1'-бифенил]-2-илметил)-1-(трет-бутоксикарбонил)пирролидин-2-карбоновой кислоты (38 мг, 0,1 ммоль) в безводном DMF (1 мл) добавляли HOBt (24 мг, 0,11 ммоль), DIEA (0,1 мл, 0,52 ммоль) и EDC (28 мг, 0,11 ммоль) при температуре окружающей среды. Реакционную смесь перемешивали в течение 30 мин при температуре окружающей среды. К реакционной смеси добавляли (S)-2-амино-N-((6-амино-2-метилпиридин-3-ил)метил)пропанамид гидрохлорид (23 мг, 0,12 ммоль) и перемешивали в течение ночи. Раствор выпаривали до сухого состояния, и осадок распределяли между EtOAc (10 мл) и 10% KHSO4 (5 мл). Органический слой отделяли и промывали насыщенным раствором NaHCO3 (10 мл), сушили над безводным Na2SO4 и концентрировали в вакууме. Неочищенную реакционную смесь очищали хроматографией с использованием MeOH-CH2Cl2, с получением трет-бутил(2R,4S)-4-([1,1'-бифенил]-2-илметил)-2-(((S)-1-(((6-амино-2-метилпиридин-3-ил)метил)амино)-1-оксопропан-2-ил)карбамоил)пирролидин-1-карбоксилата (40 мг, 70% выход) в виде белого твердого вещества.

Этап 8: К трет-бутил(2R,4S)-4-([1,1'-бифенил]-2-илметил)-2-(((S)-1-(((6-амино-2-метилпиридин-3-ил)метил)амино)-1-оксопропан-2-ил)карбамоил)пирролидин-1-карбоксилату (40 мг, 0,07 ммоль) в 1 мл CH2Cl2 добавляли TFA (0,11 мл, 1,39 ммоль) с перемешиванием при температуре окружающей среды, контролируя расход исходного материала (от 30 мин до 1 ч). Раствор выпаривали до сухого состояния, добавляли MeOH (10 мл) и выпаривали до сухого состояния для удаления остатка TFA. Полученную неочищенную реакционную смесь очищали с использованием обращенно-фазовой ВЭЖХ, с получением (2R,4S)-4-([1,1'-бифенил]-2-илметил)-N-((S)-1-(((6-амино-2-метилпиридин-3-ил)метил)амино)-1-оксопропан-2-ил)пирролидин-2-карбоксамида ди-трифторацетатной соли (22,2 мг, 67% выход) в виде белого твердого вещества.

Пример 177. Получение (2R,4S)-4-(4-бромбензил)-N-((S)-1-((5-хлор-2-гидрокси-3-метилбензил)амино)-1-оксопропан-2-ил)пирролидин-2-карбоксамида гидрохлорида (1374)

Этапы 1-2: Трет-бутил(2R,4S)-4-(4-бромбензил)-2-(((S)-1-((5-хлор-2-гидрокси-3-метилбензил)амино)-1-оксопропан-2-ил)карбамоил)пирролидин-1-карбоксилат синтезировали в соответствии с методикой этапа 3 для соединения 1119 с использованием соответствующих исходных материалов. Удаление группы Boc проводили с использованием методики этапа 4 для соединения (1313). Неочищенный продукт очищали хроматографией (смесь MeOH/CH2Cl2, содержащая 2,5% 7 Н NH3-MeOH), затем собранные фракции концентрировали, обрабатывали 1 Н HCl и лиофилизировали, с получением указанного в заголовке соединения в виде белого порошка (28 мг, 47% выход за 2 этапа).

Пример 178. Получение (R)-N-((S)-1-(((6-амино-2-метилпиридин-3-ил)метил)амино)-1-оксопропан-2-ил)-2-((4-хлорбензил)амино)-4-фенилбутанамида (1375)

(R)-2-амино-N-((S)-1-(((6-амино-2-метилпиридин-3-ил)метил)амино)-1-оксопропан-2-ил)-4-фенилбутанамид (148,5 мг, 0,246 ммоль) присоединяли к 4-хлорбензальдегиду (45 мг, 0,320 ммоль) в соответствии с методикой для соединения 1130, этап 2. Неочищенный продукт растворяли в CH2Cl2 и адсорбировали на силикагеле. Очистка хроматографией (0-5% MeOH-CH2Cl2) приводила к получению (R)-N-((S)-1-(((6-амино-2-метилпиридин-3-ил)метил)амино)-1-оксопропан-2-ил)-2-((4-хлорбензил)амино)-4-фенилбутанамида (57,3 мг, 44% выход).

Пример 179. Получение (S)-N1-((6-амино-2-метилпиридин-3-ил)метил)-2-((R)-2-амино-4-фенилбутанамидо)пентандиамида ди-трифторацетата (1376)

Этап 1: Трет-бутил((R)-1-(((S)-5-амино-1-(((6-амино-2-метилпиридин-3-ил)метил)амино)-1,5-диоксопентан-2-ил)амино)-1-оксо-4-фенилбутан-2-ил)карбамат (49 мг, 17% выход) синтезировали из ((R)-2-амино-4-фенилбутаноил)-L-глутамина (230 мг, 0,56 ммоль), полученного в соответствии с методикой для соединения (1335), этап 1-2, и 5-(аминометил)-6-метилпиридин-2-амина в соответствии с методикой для соединения (1326), этап 3.

Этап 2: Снятие защиты трет-бутил((R)-1-(((S)-5-амино-1-(((6-амино-2-метилпиридин-3-ил)метил)амино)-1,5-диоксопентан-2-ил)амино)-1-оксо-4-фенилбутан-2-ил)карбамата (49 мг, 0,09 ммоль) проводили в соответствии с методикой для соединения (1260), этап 4, за исключением того, что конечный продукт очищали с использованием обращенно-фазовой ВЭЖХ.

Пример 180. Получение (R)-N-((S)-1-(((6-амино-2-метилпиридин-3-ил)метил)амино)-1-оксопропан-2-ил)-2-(пентиламино)-4-фенилбутанамида ди-трифторацетатной соли (1377)

Этап 1: (R)-2-амино-N-((S)-1-(((6-амино-2-метилпиридин-3-ил)метил)амино)-1-оксопропан-2-ил)-4-фенилбутанамид (99,0 мг, 0,224 ммоль) присоединяли к пентанaлу (30 мкл, 0,282 ммоль) в соответствии с методикой для соединения 1130, этап 2. Неочищенный продукт растворяли в CH2Cl2 и адсорбировали на силикагеле. Очистка хроматографией (0-5% MeOH-CH2Cl2) приводила к получению (R)-N-((S)-1-(((6-амино-2-метилпиридин-3-ил)метил)амино)-1-оксопропан-2-ил)-2-(пентиламино)-4-фенилбутанамида (12,5 мг, 13% выход).

Этап 2: К раствору (R)-N-((S)-1-(((6-амино-2-метилпиридин-3-ил)метил)амино)-1-оксопропан-2-ил)-2-(пентиламино)-4-фенилбутанамида в CH2Cl2 (1 мл) добавляли TFA (0,5 мл). Летучие вещества выпаривали в вакууме, с получением (R)-N-((S)-1-(((6-амино-2-метилпиридин-3-ил)метил)амино)-1-оксопропан-2-ил)-2-(пентиламино)-4-фенилбутанамида ди-трифторацетатной соли.

Пример 181. Получение (2R,4S)-N-((S)-1-(((3-хлор-1H-пирроло[2,3-b]пиридин-5-ил)метил)амино)-1-оксопропан-2-ил)-4-(4-циклобутилбензил)пирролидин-2-карбоксамида ди-трифторацетатной соли (1378)

(2R,4S)-N-((S)-1-(((3-хлор-1H-пирроло[2,3-b]пиридин-5-ил)метил)амино)-1-оксопропан-2-ил)-4-(4-циклобутилбензил)пирролидин-2-карбоксамида ди-трифторацетатную соль синтезировали в соответствии с методиками для соединения (1356).

Пример 182. Получение (2R,4S)-N-((S)-1-(((6-амино-2-метилпиридин-3-ил)метил)амино)-1-оксопропан-2-ил)-4-(4-циклобутилбензил)пирролидин-2-карбоксамида ди-трифторацетатной соли (1379)

Этап 1: 2-бензил-1-(трет-бутил)-(2R,4S)-4-(4-бромбензил)пирролидин-1,2-дикарбоксилат синтезировали в соответствии с методиками для соединения (1304), этап 1 - этап 3.

Этап 2: В 50-мл круглодонную колбу, снабженную якорем магнитной мешалки и перегородкой, добавляли 2-бензил-1-(трет-бутил)-(2R,4S)-4-(4-бромбензил)пирролидин-1,2-дикарбоксилат (200 мг, 0,42 ммоль), циклобутилбороновую кислоту (84 мг, 0,84), Pd(dppf)Cl2 (31 мг, 0,042 ммоль), K3PO4 (180 мг, 0,84 ммоль), толуол (3 мл) и воду (0,3 мл). Полученную смесь дегазировали барботированием N2 через раствор в течение 10 мин. Затем реакционную смесь нагревали до 90°C в течение 16 ч. После охлаждения до комнатной температуры реакционный раствор фильтровали через диатомовую землю, элюируя EtOAc, концентрировали и очищали хроматографией с использованием EtOAc/гексанов, с получением 2-бензил-1-(трет-бутил)-(2R,4S)-4-(4-циклобутилбензил)пирролидин-1,2-дикарбоксилата (30 мг, 16% выход) в виде бесцветной клейкой жидкости.

Этап 3: (2R,4S)-N-((S)-1-(((6-амино-2-метилпиридин-3-ил)метил)амино)-1-оксопропан-2-ил)-4-(4-циклобутилбензил)пирролидин-2-карбоксамида ди-трифторацетатную соль синтезировали в соответствии с методиками для соединения (1304), этап 4 - этап 8, за исключением того, что конечный продукт очищали с использованием обращенно-фазовой ВЭЖХ.

Пример 183. Получение (2R,4S)-N-((S)-1-(((6-амино-2-метилпиридин-3-ил)метил)амино)-1-оксопропан-2-ил)-4-(4-(трет-бутил)бензил)пирролидин-2-карбоксамида дигидрохлорида (1380)

(2R,4S)-N-((S)-1-(((6-амино-2-метилпиридин-3-ил)метил)амино)-1-оксопропан-2-ил)-4-(4-(трет-бутил)бензил)пирролидин-2-карбоксамид дигидрохлорид синтезировали в соответствии с методиками для соединения (1304).

Пример 184. Получение (R)-N-((S)-1-(((6-амино-2-метилпиридин-3-ил)метил)амино)-1-оксопропан-2-ил)-2-((4-(морфолин-4-карбонил)бензил)амино)-4-фенилбутанамида ди-трифторацетатной соли (1381)

Этап 1: (R)-2-амино-N-((S)-1-(((6-амино-2-метилпиридин-3-ил)метил)амино)-1-оксопропан-2-ил)-4-фенилбутанамид (42,5 мг, 0,115 ммоль) присоединяли к 4-(морфолин-4-карбонил)бензальдегиду (37,5 мг, 0,171 ммоль) в соответствии с методикой для соединения 1130, этап 2. Неочищенный продукт растворяли в CH2Cl2 и адсорбировали на силикагеле. Очистка хроматографией (0-10% MeOH-CH2Cl2) приводила к получению (R)-N-((S)-1-(((6-амино-2-метилпиридин-3-ил)метил)амино)-1-оксопропан-2-ил)-2-((4-(морфолин-4-карбонил)бензил)амино)-4-фенилбутанамида (21,4 мг, 32% выход).

Этап 2: (R)-N-((S)-1-(((6-амино-2-метилпиридин-3-ил)метил)амино)-1-оксопропан-2-ил)-2-((4-(морфолин-4-карбонил)бензил)амино)-4-фенилбутанамида ди-трифторацетатную соль получали в соответствии с методикой для соединения (1368), этап 2.

Пример 185. Получение (S)-N1-((6-амино-2-метилпиридин-3-ил)метил)-2-((2R,4S)-4-бензилпирролидин-2-карбоксамидо)пентандиамида ди-трифторацетатной соли (1382)

Этап 1: Метил((2R,4S)-4-бензилпирролидин-2-карбонил)-L-глутаминат (130 мг, 84% выход) синтезировали из (2R,4S)-4-бензил-1-(трет-бутоксикарбонил)пирролидин-2-карбоновой кислоты (106 мг, 0,35 ммоль) и L-глутамина метилового эфира гидрохлорида в соответствии с методикой для соединения (1326), этап 1.

Этап 2: ((2R,4S)-4-бензилпирролидин-2-карбонил)-L-глутамин (123 мг, 96% выход) синтезировали из метил((2R,4S)-4-бензилпирролидин-2-карбонил)-L-глутамината (130 мг, 0,29 ммоль) в соответствии с методикой для соединения (1326), этап 2, за исключением того, что неочищенный материал использовали на следующем этапе без дополнительной очистки.

Этап 3: Трет-бутил(2R,4S)-2-(((S)-5-амино-1-(((6-амино-2-метилпиридин-3-ил)метил)амино)-1,5-диоксопентан-2-ил)карбамоил)-4-бензилпирролидин-1-карбоксилат (125 мг, 81% выход) синтезировали из ((2R,4S)-4-бензилпирролидин-2-карбонил)-L-глутамина (123 мг, 0,28 ммоль) и 5-(аминометил)-6-метилпиридин-2-амина в соответствии с методикой для соединения (1326), этап 3.

Этап 4: Снятие защиты трет-бутил(2R,4S)-2-(((S)-5-амино-1-(((6-амино-2-метилпиридин-3-ил)метил)амино)-1,5-диоксопентан-2-ил)карбамоил)-4-бензилпирролидин-1-карбоксилата (125 мг, 0,23 ммоль) проводили в соответствии с методикой для соединения (1260), этап 4, за исключением того, что конечный продукт очищали с использованием обращенно-фазовой ВЭЖХ.

Пример 186. Получение (2R,4R)-N-((S)-1-((2-гидрокси-3,5-диметилбензил)амино)-1-оксопропан-2-ил)-4-фенилпирролидин-2-карбоксамида гидрохлорида (1383)

Этапы 1-2: Трет-бутил(2R,4S)-4-(4-бромбензил)-2-(((S)-1-((5-хлор-2-гидрокси-3-метилбензил)амино)-1-оксопропан-2-ил)карбамоил)пирролидин-1-карбоксилат синтезировали в соответствии с методикой этапа 3 для соединения 1119 с использованием соответствующих исходных материалов. Удаление группы Boc проводили с использованием методики этапа 4 для соединения (1313), с получением указанного в заголовке соединения в виде белого твердого вещества (17,4 мг, 39% за два этапа).

Пример 187. Получение (2R,4R)-N-((S)-1-(((3-хлор-1H-пиразолo[3,4-b]пиридин-5-ил)метил)амино)-1-оксопропан-2-ил)-4-фенилпирролидин-2-карбоксамида дигидрохлорида (1384)

Этап 1: К раствору 1H-пиразолo[3,4-b]пиридин-5-карбонитрила (303 мг, 2,1 ммоль) в безводном DMF (5 мл) в атмосфере Ar добавляли NCS (280 мг, 2,1 ммоль). Смесь нагревали при 40°C в течение 18 ч, после чего температуру повышали до 55°C. После нагревания в течение 5 ч добавляли дополнительно NCS (134 мг, 1,0 ммоль), и нагревание продолжали в течение 30 мин. Смесь медленно охлаждали до температуры окружающей среды, затем добавляли H2O. Смесь экстрагировали EtOAc, объединенные органические слои промывали H2O, насыщенным NaHCO3 и рассолом, затем сушили (Na2SO4) и концентрировали в вакууме. Твердое вещество очищали хроматографией (0-40% EtOAc-гексаны), с получением 3-хлор-1H-пиразолo[3,4-b]пиридин-5-карбонитрила (216 мг, 58% выход).

Этап 2: 3-хлор-1H-пиразолo[3,4-b]пиридин-5-карбонитрил восстанавливали в соответствии с методикой для соединения (1323), этап 1. После фильтрования реакционной смеси через диатомовую землю и концентрирования в вакууме, твердое вещество растворяли в 1 M HCl и промывали EtOAc 3x. Водный слой концентрировали в вакууме, с получением (3-хлор-1H-пиразолo[3,4-b]пиридин-5-ил)метанамина в виде желто-коричневого твердого вещества (184 мг, 60% выход).

Этап 3: ((2R,4R)-1-(трет-бутоксикарбонил)-4-фенилпирролидин-2-карбонил)-L-аланин присоединяли к (3-хлор-1H-пиразолo[3,4-b]пиридин-5-ил)метанамину в соответствии с методикой для соединения (1280). Очистка хроматографией (0-5% MeOH-CH2Cl2) приводила к получению продукта, загрязненного кислым исходным материалом. Продукт растворяли в EtOAc, промывали насыщенным NaHCO3 3x, рассолом, затем сушили над Na2SO4 и концентрировали в вакууме, с получением трет-бутил(2R,4R)-2-(((S)-1-(((3-хлор-1H-пиразолo[3,4-b]пиридин-5-ил)метил)амино)-1-оксопропан-2-ил)карбамоил)-4-фенилпирролидин-1-карбоксилата (81 мг, 61% выход).

Этап 4: С трет-бутил(2R,4R)-2-(((S)-1-(((3-хлор-1H-пиразолo[3,4-b]пиридин-5-ил)метил)амино)-1-оксопропан-2-ил)карбамоил)-4-фенилпирролидин-1-карбоксилата снимали защиту в соответствии с методикой для соединения (1311), этап 3, с получением (2R,4R)-N-((S)-1-(((3-хлор-1H-пиразолo[3,4-b]пиридин-5-ил)метил)амино)-1-оксопропан-2-ил)-4-фенилпирролидин-2-карбоксамида дигидрохлорида (67,6 мг, 88% выход).

Пример 188. Получение (2R,4S)-N-((S)-1-((5-хлор-2-(1H-тетразол-1-ил)бензил)амино)-1-оксопропан-2-ил)-4-(нафтален-2-илметил)пирролидин-2-карбоксамида трифторацетатной соли (1385)

Этапы 1-2: Трет-бутил(S)-(1-((5-хлор-2-(1H-тетразол-1-ил)бензил)амино)-1-оксопропан-2-ил)карбамат синтезировали в соответствии с методиками этапов 3-4 для соединения (1313) с использованием соответствующих исходных материалов (3,54 г, 76% выход за два этапа).

Этапы 3-4: Указанное в заголовке соединение синтезировали в виде белого порошка в соответствии с методиками этапов 3-4 для соединения (1313) с использованием соответствующих исходных материалов (15 мг, 40% выход за два этапа).

Пример 189. Получение (2R,4R)-N-((S)-1-((3-хлор-5-цианобензил)амино)-1-оксопропан-2-ил)-4-фенилпирролидин-2-карбоксамида трифторацетатной соли (1386)

Этап 1: Трет-бутил((R)-1-(((S)-1-((3-хлор-5-цианобензил)амино)-1-оксопропан-2-ил)амино)-1-оксо-4-фенилбутан-2-ил)карбамат синтезировали в виде бесцветного масла (95 мг, 62% выход) в соответствии с методикой этапа 1 для соединения (1246) с использованием соответствующих исходных материалов.

Этап 2: Удаление группы Boc проводили с использованием методики этапа 4 для соединения (1313), с получением указанного в заголовке соединения в виде белого порошка (21 мг, 67% выход).

Пример 190. Получение (2R,4R)-N-((S)-1-((3-карбамоил-5-хлорбензил)амино)-1-оксопропан-2-ил)-4-фенилпирролидин-2-карбоксамида трифторацетатной соли (1387)

Этап 1: Трет-бутил(2R,4R)-2-(((S)-1-((3-хлор-5-цианобензил)амино)-1-оксопропан-2-ил)карбамоил)-4-фенилпирролидин-1-карбоксилат (65 мг, 0,13 ммоль) растворяли в EtOH (0,5 мл) и добавляли по каплям к перемешиваемой смеси мочевины-пероксида водорода (72 мг, 0,76 ммоль) и NaOH (18 мг, 0,46 ммоль) в H2O (1,2 мл) при 0°C, затем оставляли нагреваться до температуры окружающей среды в течение 2 ч. После завершения реакционную смесь разбавляли EtOAc, промывали 10% водным KHSO4 и рассолом. Органический слой сушили над Na2SO4, концентрировали и очищали хроматографией. Затем промежуточное соединение растворяли в CH2Cl2 (2 мл) и обрабатывали TFA (0,5 мл) при температуре окружающей среды в течение 2 ч, после чего концентрировали, с получением указанного в заголовке соединения в виде белого порошка (28 мг, 40% выход за два этапа).

Пример 191. Получение N-((S)-1-(((6-амино-2-метилпиридин-3-ил)метил)амино)-1-оксопропан-2-ил)-7,7-диметил-5-оксо-4-фенил-1,4,5,6,7,8-гексагидрохинолин-2-карбоксамида (1388)

N-((S)-1-(((6-амино-2-метилпиридин-3-ил)метил)амино)-1-оксопропан-2-ил)-7,7-диметил-5-оксо-4-фенил-1,4,5,6,7,8-гексагидрохинолин-2-карбоксамид синтезировали в соответствии с методикой для соединения (1304), этап 7, с использованием 7,7-диметил-5-оксо-4-фенил-1,4,5,6,7,8-гексагидрохинолин-2-карбоновой кислоты.

Пример 192. Получение (R)-N-((S)-1-(((6-амино-2-метилпиридин-3-ил)метил)амино)-1-оксопропан-2-ил)-2,3,4,9-тетрагидро-1H-пиридо[3,4-b]индол-3-карбоксамида гидрохлорида (1389)

(R)-N-((S)-1-(((6-амино-2-метилпиридин-3-ил)метил)амино)-1-оксопропан-2-ил)-2,3,4,9-тетрагидро-1H-пиридо[3,4-b]индол-3-карбоксамид гидрохлорид синтезировали в соответствии с методиками для соединения (1304), этапы 7 и 8, с использованием (3R)-2-(трет-бутоксикарбонил)-2,3,4,4a,9,9a-гексагидро-1H-пиридо[3,4-b]индол-3-карбоновой кислоты.

Пример 193. Получение (2R,4R)-N-((S)-1-(((3-аминобензо[d]изоксазол-6-ил)метил)амино)-1-оксопропан-2-ил)-4-фенилпирролидин-2-карбоксамида ди-трифторацетатной соли (1390)

Этап 1: К раствору 4-аминометил-2-фторбензонитрила гидрохлорида (1,0 г, 5,35 ммоль) в MeOH (10 мл) и MeCN (10 мл) добавляли Et3N (2,2 мл, 16,05 ммоль), ди-трет-бутилдикарбонат (1,4 г, 6,43 ммоль) и DMAP (653 мг, 5,35 ммоль). После перемешивания в течение 16 ч реакционную смесь концентрировали, и осадок распределяли между EtOAc и H2O. Органический слой отделяли, промывали рассолом, сушили над безводным Na2SO4 и концентрировали в вакууме. Осадок очищали хроматографией (0-100% EtOAc-гексаны), с получением трет-бутил(4-циано-3-фторбензил)карбамата (1,13 г, 88% выход).

Этап 2: К раствору ацетогидроксамовой кислоты в безводном DMF добавляли KOtBu (1 M в THF, 7,1 мл, 7,1 ммоль). После перемешивания в течение 30 мин при температуре окружающей среды к вышеуказанной смеси добавляли трет-бутил(4-циано-3-фторбензил)карбамат (1,13 г, 4,73 ммоль). После перемешивания в течение 19 ч при той же температуре реакционную смесь гасили добавлением H2O и экстрагировали EtOAc. Органический слой промывали рассолом, сушили над безводным Na2SO4 и концентрировали в вакууме. Осадок очищали хроматографией (0-100% EtOAc-гексаны), с получением трет-бутил((3-аминобензо[d]изоксазол-6-ил)метил)карбамата (925 мг, 74% выход).

Этап 3: Снятие защиты трет-бутил((3-аминобензо[d]изоксазол-6-ил)метил)карбамата (125 мг, 0,48 ммоль) проводили в соответствии с методикой для соединения (1259), этап 2, с получением 6-(аминометил)бензо[d]изоксазол-3-амина ди-трифторацетатной соли (186 мг, 100% выход).

Этап 4: Трет-бутил(2R,4R)-2-(((S)-1-(((3-аминобензо[d]изоксазол-6-ил)метил)амино)-1-оксопропан-2-ил)карбамоил)-4-фенилпирролидин-1-карбоксилат (153 мг, 84% выход) синтезировали из 6-(аминометил)бензо[d]изоксазол-3-амина ди-трифторацетатной соли (130 мг, 0,47 ммоль) в соответствии с методикой для соединения (1358), этап 2.

Этап 5: Снятие защиты трет-бутил(2R,4R)-2-(((S)-1-(((3-аминобензо[d]изоксазол-6-ил)метил)амино)-1-оксопропан-2-ил)карбамоил)-4-фенилпирролидин-1-карбоксилата (153 мг, 0,3 ммоль) проводили в соответствии с методикой для соединения (1260), этап 4, за исключением того, что конечный продукт очищали с использованием обращенно-фазовой ВЭЖХ.

Пример 194. Получение (2R,4S)-N-((S)-1-(((6-амино-2-метилпиридин-3-ил)метил)амино)-1-оксопропан-2-ил)-4-(4-(2-оксопирролидин-1-ил)бензил)пирролидин-2-карбоксамида ди-трифторацетатной соли (1391)

Этап 1: 2-бензил-1-(трет-бутил)-(2R,4S)-4-(4-бромбензил)пирролидин-1,2-дикарбоксилат синтезировали в соответствии с методиками для соединения (1304), этап 1 - этап 3.

Этап 2: В 50-мл круглодонную колбу, снабженную якорем магнитной мешалки и перегородкой, добавляли 2-бензил-1-(трет-бутил)-(2R,4S)-4-(4-бромбензил)пирролидин-1,2-дикарбоксилат (120 мг, 0,25 ммоль), 2-пиридон (43 мг, 0,51), BrettPhos палладицикл (4,2 мг, 0,005 ммоль), K3PO4 (108 мг, 0,51 ммоль), трет-бутанол (1,2 мл). Полученную смесь дегазировали барботированием N2 через раствор в течение 5 мин. Затем реакционную смесь нагревали до 100° в течение 12 ч. После охлаждения до комнатной температуры реакционный раствор фильтровали через диатомовую землю, элюируя EtOAc, концентрировали и очищали хроматографией, используя EtOAc-гексаны, с получением 2-бензил-1-(трет-бутил)-(2R,4S)-4-(4-(2-оксопирролидин-1-ил)бензил)пирролидин-1,2-дикарбоксилата (30 мг, 25% выход) в виде бесцветного масла.

Этап 3: (2R,4S)-N-((S)-1-(((6-амино-2-метилпиридин-3-ил)метил)амино)-1-оксопропан-2-ил)-4-(4-(2-оксопирролидин-1-ил)бензил)пирролидин-2-карбоксамида ди-трифторацетатную соль синтезировали в соответствии с методиками для соединения (1304), этап 4 - этап 8, за исключением того, что конечный продукт очищали с использованием обращенно-фазовой ВЭЖХ.

Пример 195. Получение (2R,4S)-N-((S)-1-(((3-хлор-1H-пирроло[2,3-b]пиридин-5-ил)метил)амино)-1-оксопропан-2-ил)-4-(нафтален-2-илметил)пирролидин-2-карбоксамида ди-трифторацетатной соли (1392)

(2R,4S)-N-((S)-1-(((3-хлор-1H-пирроло[2,3-b]пиридин-5-ил)метил)амино)-1-оксопропан-2-ил)-4-(нафтален-2-илметил)пирролидин-2-карбоксамида ди-трифторацетатную соль синтезировали в соответствии с методиками для соединения (1334).

Пример 196. Получение (2R,4S)-4-([1,1'-бифенил]-2-илметил)-N-((S)-1-(((3-хлор-1H-пирроло[2,3-b]пиридин-5-ил)метил)амино)-1-оксопропан-2-ил)пирролидин-2-карбоксамида ди-трифторацетатной соли (1393)

(2R,4S)-4-([1,1'-бифенил]-2-илметил)-N-((S)-1-(((3-хлор-1H-пирроло[2,3-b]пиридин-5-ил)метил)амино)-1-оксопропан-2-ил)пирролидин-2-карбоксамида ди-трифторацетатную соль синтезировали в соответствии с методиками для соединения (1356).

Пример 197. Получение (2R,4R)-N-((S)-1-((5-хлор-2-(2H-тетразол-2-ил)бензил)амино)-1-оксопропан-2-ил)-4-фенилпирролидин-2-карбоксамида трифторацетата (1394)

Этап 1: 2-амино-5-хлорбензонитрил (1 г, 6,55 ммоль) растворяли в EtOH (5 мл) и H2O (10 мл), затем обрабатывали тетрафторборной кислотой (48% в H2O; 1,7 мл, 13,1 ммоль) и охлаждали до 0°C. К перемешиваемой смеси добавляли по каплям нитрит натрия (497 мг, 7,2 ммоль) в H2O (10 мл). Через 1 ч суспензию фильтровали с использованием холодного Et2O и H2O, затем сушили в вакууме, с получением диазония тетрафторборатной соли в виде желтого твердого вещества (502 мг, 31% выход).

Этап 2: Соль диазония (502 мг, 2 ммоль) и CF3CO2Ag (530 мг, 2,4 ммоль) суспендировали в сухом THF (20 мл) и охлаждали до -78°C в атмосфере Ar. Et3N (418 мкл, 3 ммоль) добавляли по каплям, с последующим добавлением TMSCHN2 (2 M в гексанах; 1,1 мл, 2,2 ммоль) через 10 минут. Реакционную смесь оставляли для перемешивания на 1 ч, затем медленно нагревали до температуры окружающей среды и гасили CsF (304 мг, 2 ммоль) в MeOH. Через 30 минут добавляли EtOAc и рассол, затем органический слой отделяли, сушили над Na2SO4 и концентрировали. Очистка хроматографией (30-40% EtOAc/гексаны) приводила к получению 5-хлор-2-(2H-тетразол-2-ил)бензонитрила в виде коричневого твердого вещества (86 мг, 21% выход).

Этап 3: Раствор 5-хлор-2-(2H-тетразол-2-ил)бензонитрила (86 мг, 0,42 ммоль) в 7 Н NH3 в MeOH (5 мл) дегазировали, используя баллон Ar. Добавляли никель Ренея (~40 мг) и применяли вакуум в течение 0,5 мин, с последующим повторным заполнением из баллона с H2. Реакционную смесь перемешивали в течение 16 ч при температуре окружающей среды. После завершения катализатор удаляли фильтрованием через диатомовую землю, и раствор концентрировали в вакууме, с получением (5-хлор-2-(2H-тетразол-2-ил)фенил)метанамина (78 мг, 89% выход) в виде коричневого масла.

Этапы 4-5: Указанное в заголовке соединение синтезировали в виде белого порошка в соответствии с методиками этапов 3-4 для соединения (1313) с использованием соответствующих исходных материалов, за исключением очистки методом препаративной ВЭЖХ (2,3 мг, 3% выход за два этапа).

Пример 198. Получение (2R,4R)-N-((S)-1-((3,5-дихлор-2-гидроксибензил)амино)-1-оксопропан-2-ил)-4-фенилпирролидин-2-карбоксамида трифторацетата (1395)

Этапы 1-2: Трет-бутил(2R,4R)-2-(((S)-1-((3,5-дихлор-2-гидроксибензил)амино)-1-оксопропан-2-ил)карбамоил)-4-фенилпирролидин-1-карбоксилат синтезировали в соответствии с методикой этапа 1 для соединения (1242) с использованием соответствующих исходных материалов. Удаление группы Boc проводили в соответствии с методикой этапа 4 для соединения (1313), с получением указанного в заголовке соединения в виде белого кристаллического твердого вещества (23 мг, 35% выход за два этапа).

Пример 199. Получение (2R,4S)-N-((S)-1-(((6-амино-2-метилпиридин-3-ил)метил)амино)-1-оксопропан-2-ил)-4-((2'-циано-4'-фтор-[1,1'-бифенил]-4-ил)метил)пирролидин-2-карбоксамида (1396)

(2R,4S)-N-((S)-1-(((6-амино-2-метилпиридин-3-ил)метил)амино)-1-оксопропан-2-ил)-4-((2'-циано-4'-фтор-[1,1'-бифенил]-4-ил)метил)пирролидин-2-карбоксамид синтезировали в соответствии с методиками для соединения (1351), за исключением того, что свободное основание выделяли после очистки колоночной хроматографией (0-10% [7 Н NH3-MeOH]-CH2Cl2).

Пример 200. Получение (2R,4S)-N-((S)-1-(((6-амино-2-метилпиридин-3-ил)метил)амино)-1-оксопропан-2-ил)-4-((2'-карбамоил-4'-фтор-[1,1'-бифенил]-4-ил)метил)пирролидин-2-карбоксамида ди-трифторацетатной соли (1397)

(2R,4S)-N-((S)-1-(((6-амино-2-метилпиридин-3-ил)метил)амино)-1-оксопропан-2-ил)-4-((2'-карбамоил-4'-фтор-[1,1'-бифенил]-4-ил)метил)пирролидин-2-карбоксамида ди-трифторацетатную соль синтезировали в соответствии с методиками для соединения (1351), за исключением того, что конечный продукт очищали с использованием обращенно-фазовой ВЭЖХ.

Пример 201. Получение 2-((2R,4S)-2-(((S)-1-(((6-амино-2-метилпиридин-3-ил)метил)амино)-1-оксопропан-2-ил)карбамоил)-4-фенилпиперидин-1-ил)уксусной кислоты трифторацетатной соли (1398)

К перемешиваемому раствору (2R,4S)-N-((S)-1-(((6-амино-2-метилпиридин-3-ил)метил)амино)-1-оксопропан-2-ил)-4-фенилпиперидин-2-карбоксамида дигидрохлорида (1253) (10 мг, 0,021 ммоль) в CH2Cl2 (1 мл) и NEt3 (0,3 мл) добавляли бензил-2-бромацетат (48 мг, 0,21 ммоль) в атмосфере Ar. После перемешивания в течение 24 ч при температуре окружающей среды реакционную смесь концентрировали и растворяли в MeOH. К раствору добавляли 10% Pd/C (50 мг) и перемешивали в атмосфере H2 при комнатной температуре в течение 18 ч. Реакционную смесь фильтровали через диатомовую землю и промывали MeOH. Органические слои концентрировали и очищали методом обращенно-фазовой ВЭЖХ, с получением 2-((2R,4S)-2-(((S)-1-(((6-амино-2-метилпиридин-3-ил)метил)амино)-1-оксопропан-2-ил)карбамоил)-4-фенилпиперидин-1-ил)уксусной кислоты трифторацетатной соли (6,2 мг, 52% выход за 2 этапа).

Пример 202. Получение (2R,4R)-N-((S)-1-(((6-амино-2-метилпиридин-3-ил)метил)амино)-1-оксопропан-2-ил)-4-((4-фенилтиофен-2-ил)метил)пирролидин-2-карбоксамида дигидрохлорида (1399)

Этап 1: 2-бензил-1-(трет-бутил)-(2R,4R)-4-((4-бромтиофен-2-ил)метил)-5-оксопирролидин-1,2-дикарбоксилат синтезировали в соответствии с методикой для соединения (1304).

Этап 2: Раствор 2-бензил-1-(трет-бутил)-(2R,4R)-4-((4-бромтиофен-2-ил)метил)-5-оксопирролидин-1,2-дикарбоксилата (270 мг, 0,55 ммоль) и фенилбороновой кислоты (0,66 ммоль, 1,2 эквив.) в THF/2M K2CO3 (1:1) дегазировали потоком Ar в течение 5 мин. Добавляли Pd(PPh3)4 (0,05 эквив.), и раствор нагревали при 60°C в течение ночи. THF удаляли выпариванием, и раствор экстрагировали EtOAc. Органический слой сушили над Na2SO4 и выпаривали. Хроматография на колонке (10% EtOAc-гексаны) приводила к получению 2-бензил-1-(трет-бутил)-(2R,4R)-5-оксо-4-((4-фенилтиофен-2-ил)метил)пирролидин-1,2-дикарбоксилата (141 мг, 53% выход) в виде масла.

Этап 3: 2-бензил-1-(трет-бутил)-(2R,4R)-4-((4-фенилтиофен-2-ил)метил)пирролидин-1,2-дикарбоксилат синтезировали в соответствии с методикой для соединения (1304).

Этап 4: К раствору 2-бензил-1-(трет-бутил)-(2R,4R)-4-((4-фенилтиофен-2-ил)метил)пирролидин-1,2-дикарбоксилата (100 мг, 0,21 ммоль) в THF (2,0 мл) и MeOH (1,0 мл) добавляли LiOH (3,14 ммоль, 15,0 эквив.) в H2O (1,0 мл) с перемешиванием при комнатной температуре в течение ночи. Раствор выпаривали до сухого состояния и H2O (5,0 мл) добавляли к осадку с перемешиванием вращением. Водный слой экстрагировали эфиром, отделяли, pH доводили до 5 при помощи 10% KHSO4 и экстрагировали CH2Cl2. Органический слой сушили над Na2SO4 и выпаривали, с получением (2R,4R)-1-(трет-бутоксикарбонил)-4-((4-фенилтиофен-2-ил)метил)пирролидин-2-карбоновой кислоты (75 мг, 93% выход) в виде пенистого белого твердого вещества.

Этапы 5-6: (2R,4R)-N-((S)-1-(((6-амино-2-метилпиридин-3-ил)метил)амино)-1-оксопропан-2-ил)-4-((4-фенилтиофен-2-ил)метил)пирролидин-2-карбоксамид дигидрохлорид синтезировали в соответствии с методиками для соединения (1304).

Пример 203. Получение (R)-N-((S)-1-(((6-амино-2-метилпиридин-3-ил)метил)амино)-1-оксопропан-2-ил)-1,2,3,4-тетрагидробензо[4,5]тиено[2,3-c]пиридин-3-карбоксамида гидрохлорида (1400)

(R)-N-((S)-1-(((6-амино-2-метилпиридин-3-ил)метил)амино)-1-оксопропан-2-ил)-1,2,3,4-тетрагидробензо[4,5]тиено[2,3-c]пиридин-3-карбоксамид гидрохлорид синтезировали в соответствии с методиками для соединения (1304), этапы 7 и 8, с использованием (R)-2-(трет-бутоксикарбонил)-1,2,3,4-тетрагидробензо[4,5]тиено[2,3-c]пиридин-3-карбоновой кислоты.

Пример 204. Получение (2R,4S)-4-([1,1'-бифенил]-2-илметил)-N-((S)-1-((5-хлор-2-гидрокси-3-метилбензил)амино)-1-оксопропан-2-ил)пирролидин-2-карбоксамида гидрохлорида (1401)

Этап 1-2: Указанное в заголовке соединение синтезировали в виде белого порошка (7,4 мг, 27% выход) в соответствии с методиками этапов 3-4 для соединения (1313) с использованием соответствующих исходных материалов, за исключением очистки неочищенного продукта хроматографией (смесь MeOH/CH2Cl2, содержащая 2,5% 7 Н NH3-MeOH), с последующей обработкой 1 Н HCl и лиофилизацией в течение ночи.

Пример 205. Получение (2R,4S)-4-([1,1'-бифенил]-2-илметил)-N-((S)-1-((5-хлор-2-(1H-тетразол-1-ил)бензил)амино)-1-оксопропан-2-ил)пирролидин-2-карбоксамида трифторацетата (1402)

Этапы 1-2: Указанное в заголовке соединение синтезировали в виде белого твердого вещества в соответствии с методиками этапов 3-4 для соединения (1313) с использованием соответствующих исходных материалов (11 мг, 33% выход за два этапа).

Пример 206. Получение (2R,4S)-N-((S)-1-(((6-амино-2-метилпиридин-3-ил)метил)амино)-1-оксопропан-2-ил)-4-((2'-(аминометил)-4'-фтор-[1,1'-бифенил]-4-ил)метил)пирролидин-2-карбоксамида (1403)

(2R,4S)-N-((S)-1-(((6-амино-2-метилпиридин-3-ил)метил)амино)-1-оксопропан-2-ил)-4-((2'-(аминометил)-4'-фтор-[1,1'-бифенил]-4-ил)метил)пирролидин-2-карбоксамид синтезировали из (1396) в соответствии с методикой для соединения (1304), этап 4.

Пример 207. Получение (2R,4S)-N-((S)-1-((5-хлор-2-(1H-тетразол-1-ил)бензил)амино)-1-оксопропан-2-ил)-4-(4-(пиридин-3-ил)бензил)пирролидин-2-карбоксамида гидрохлорида (1404)

Этап 1: Трет-бутил(2R,4S)-2-(((S)-1-((5-хлор-2-(1H-тетразол-1-ил)бензил)амино)-1-оксопропан-2-ил)карбамоил)-4-(4-(пиридин-3-ил)бензил)пирролидин-1-карбоксилат (47 мг, 80% выход) синтезировали из (S)-2-амино-N-(5-хлор-2-(1H-тетразол-1-ил)бензил)пропанамида трифторацетата (28 мг, 0,10 ммоль) в соответствии с методикой для соединения (1304), этап 7.

Этап 2: (2R,4S)-N-((S)-1-((5-хлор-2-(1H-тетразол-1-ил)бензил)амино)-1-оксопропан-2-ил)-4-(4-(пиридин-3-ил)бензил)пирролидин-2-карбоксамид гидрохлорид (43 мг, 90% выход) синтезировали из трет-бутил(2R,4S)-2-(((S)-1-((5-хлор-2-(1H-тетразол-1-ил)бензил)амино)-1-оксопропан-2-ил)карбамоил)-4-(4-(пиридин-3-ил)бензил)пирролидин-1-карбоксилата (47 мг, 0,07 ммоль) в соответствии с методикой для соединения (1304), этап 8.

Пример 208. Получение (2R,4S)-4-((2'-карбамоил-4'-фтор-[1,1'-бифенил]-4-ил)метил)-N-((S)-1-((5-хлор-2-(1H-тетразол-1-ил)бензил)амино)-1-оксопропан-2-ил)пирролидин-2-карбоксамида гидрохлорида (1405)

(2R,4S)-4-((2'-карбамоил-4'-фтор-[1,1'-бифенил]-4-ил)метил)-N-((S)-1-((5-хлор-2-(1H-тетразол-1-ил)бензил)амино)-1-оксопропан-2-ил)пирролидин-2-карбоксамид гидрохлорид синтезировали в соответствии с методиками для соединения (1404).

Пример 209. Получение (2R,4S)-4-([1,1'-бифенил]-3-илметил)-N-((S)-1-(((6-амино-2-метилпиридин-3-ил)метил)амино)-1-оксопропан-2-ил)пирролидин-2-карбоксамида дихлористоводородной кислоты (1406)

Этап 1: К перемешиваемому раствору 2-бензил-1-(трет-бутил)-(R)-5-оксопирролидин-1,2-дикарбоксилата (3,25 г, 10,2 ммоль) в THF (60 мл) при -78°C медленно добавляли литий бис(триметилсилил)амид (11,25 мл, 11,25 ммоль, 1 M в THF) в атмосфере Ar. После перемешивания в течение 1 ч при -78°C добавляли 3-бромбензилбромид (2,80 г, 11,25 ммоль), и перемешивание продолжали еще в течение 2 ч. Реакционную смесь гасили насыщенным раствором NH4Cl и экстрагировали диэтиловым эфиром (3×100 мл). Объединенные экстракты сушили над Na2SO4, фильтровали и концентрировали в вакууме. Осадок очищали хроматографией (EtOAc-гексаны), с получением 2-бензил-1-(трет-бутил)-(2R,4S)-4-(3-бромбензил)-5-оксопирролидин-1,2-дикарбоксилата (3,47 г, 70% выход).

Этап 2: К раствору 2-бензил-1-(трет-бутил)-(2R,4S)-4-(3-бромбензил)-5-оксопирролидин-1,2-дикарбоксилата (3,47 г, 7,12 ммоль) в THF (47 мл) при -78°C добавляли раствор лития триэтилборогидрида (7,83 мл, 7,83 ммоль, 1 M в THF) в атмосфере Ar. Через 30 мин реакционную смесь гасили насыщенным раствором NaHCO3 (20 мл) и нагревали до 0°C. При 0°C добавляли 30% H2O2 (примерно 60 капель), и реакционную смесь перемешивали при той же температуре в течение 30 мин. Летучие вещества удаляли в вакууме, и водный слой экстрагировали CH2Cl2 (3×60 мл). Объединенные органические экстракты тщательно сушили с использованием Na2SO4, фильтровали, концентрировали, с получением 2-бензил-1-(трет-бутил)-(2R,4S)-4-(3-бромбензил)-5-гидроксипирролидин-1,2-дикарбоксилата (3,30 г неочищенного), который непосредственно использовали на следующем этапе без дополнительной очистки.

Этап 3: К перемешиваемому раствору 2-бензил-1-(трет-бутил)-(2R,4S)-4-(3-бромбензил)-5-гидроксипирролидин-1,2-дикарбоксилата (3,30 г неочищенного) и триэтилсилана (1,25 мл, 7,80 ммоль) в CH2Cl2 (36 мл) при -78°C по каплям добавляли диэтилэфират трехфтористого бора (0,95 мл, 7,80 ммоль) в атмосфере Ar. Через 30 мин при той же температуре добавляли дополнительно триэтилсилан (1,25 мл, 7,80 ммоль) и диэтилэфират трехфтористого бора (0,95 мл, 7,80 ммоль). После перемешивания в течение 2 ч при -78°C реакционную смесь гасили насыщенным водным раствором NaHCO3 (20 мл) и экстрагировали CH2Cl2 (3×60 мл). Объединенные экстракты сушили над Na2SO4, фильтровали и концентрировали в вакууме. Осадок очищали хроматографией (EtOAc-гексаны), с получением 2-бензил-1-(трет-бутил)-(2R,4S)-4-(3-бромбензил)пирролидин-1,2-дикарбоксилата (1,60 г, 47% выход в два этапа).

Этап 4: В 50-мл круглодонную колбу, снабженную якорем магнитной мешалки и перегородкой, добавляли 2-бензил-1-(трет-бутил)-(2R,4S)-4-(3-бромбензил)пирролидин-1,2-дикарбоксилат (200 мг, 0,42 ммоль), фенилбороновую кислоту (62 мг, 0,51), Pd(dppf)Cl2 (31 мг, 0,042 ммоль), карбонат цезия (413 мг, 1,26 ммоль), THF (4,2 мл) и воду (0,42 мл). Полученную смесь дегазировали барботированием N2 через раствор в течение 10 мин. Затем реакционную смесь нагревали до 90°C в течение 4 ч. После охлаждения до температуры окружающей среды реакционный раствор фильтровали через диатомовую землю, элюируя EtOAc, концентрировали и очищали хроматографией, используя EtOAc-гексаны, с получением 2-бензил-1-(трет-бутил)-(2R,4S)-4-([1,1'-бифенил]-3-илметил)пирролидин-1,2-дикарбоксилата (167 мг, 83% выход) в виде бесцветной клейкой жидкости.

Этап 4: Раствор 2-бензил-1-(трет-бутил)-(2R,4S)-4-([1,1'-бифенил]-3-илметил)пирролидин-1,2-дикарбоксилата (167 мг, 0,35 ммоль) в MeOH (3 мл) барботировали газообразным Ar в течение 5 минут. К реакционной смеси добавляли 10% Pd/C (17 мг), и смесь перемешивали под 1 атмосферой H2 в течение 3 ч. Реакционную смесь фильтровали (0,2 мкМ шприцевой фильтр), и фильтрат концентрировали в вакууме, с получением (2R,4S)-4-([1,1'-бифенил]-3-илметил)-1-(трет-бутоксикарбонил)пирролидин-2-карбоновой кислоты (130 мг, 96% выход).

Этап 5: К перемешиваемому раствору (трет-бутоксикарбонил)-L-аланина (1,96 г, 10,38 ммоль) в CH2Cl2 (55 мл) добавляли NHS (1,25 г, 10,89 ммоль) при комнатной температуре. К реакционной смеси добавляли DCC (2,25 г 10,9 ммоль), и реакционную смесь перемешивали в течение 1,0 ч. К реакционной смеси добавляли 5-(аминометил)-6-метилпиридин-2-амин и обрабатывали ультразвуком в течение 5 мин. 5-(аминометил)-6-метилпиридин-2-амин полностью растворялся, и реакционную смесь перемешивали при температуре окружающей среды в течение 1 ч. Неочищенную реакционную смесь фильтровали и концентрировали при пониженном давлении. Неочищенную реакционную смесь очищали хроматографией с использованием MeOH-CH2Cl2, с получением трет-бутил-(S)-(1-(((6-амино-2-метилпиридин-3-ил)метил)амино)-1-оксопропан-2-ил)карбамата (2,35 г, 70% выход) в виде белого твердого вещества.

Этап 6: К трет-бутил(S)-(1-(((6-амино-2-метилпиридин-3-ил)метил)амино)-1-оксопропан-2-ил)карбамату (2,35 г, 7,62 ммоль) добавляли раствор MeOH-HCl (19 мл, 2 M) с перемешиванием при температуре окружающей среды, контролируя расход исходного материала (как правило, 1 ч). Раствор выпаривали до сухого состояния, добавляли MeOH (50 мл) и выпаривали до сухого состояния для удаления остаточного газа HCl, с получением (S)-2-амино-N-((6-амино-2-метилпиридин-3-ил)метил)пропанамида гидрохлорида (1,60 г, 90% выход) в виде не совсем белого твердого вещества (гигроскопического).

Этап 7: К перемешиваемому раствору (2R,4S)-4-([1,1'-бифенил]-3-илметил)-1-(трет-бутоксикарбонил)пирролидин-2-карбоновой кислоты (40 мг, 0,10 ммоль) в безводном DMF (1 мл) добавляли HOBt (16 мг, 0,11 ммоль), DIEA (0,07 мл, 0,42 ммоль) и EDC (22 мг, 0,11 ммоль) при температуре окружающей среды. Реакционную смесь перемешивали в течение 30 мин при температуре окружающей среды. К реакционной смеси добавляли (S)-2-амино-N-((6-амино-2-метилпиридин-3-ил)метил)пропанамид гидрохлорид (26 мг, 0,12 ммоль) и перемешивали в течение ночи. Раствор выпаривали до сухого состояния, и осадок распределяли между EtOAc (10 мл) и 10% KHSO4 (5 мл). Органический слой отделяли, промывали насыщенным раствором NaHCO3 (10 мл), сушили над безводным Na2SO4 и концентрировали в вакууме. Неочищенную реакционную смесь очищали хроматографией с использованием MeOH-CH2Cl2, с получением трет-бутил(2R,4S)-4-([1,1'-бифенил]-3-илметил)-2-(((S)-1-(((6-амино-2-метилпиридин-3-ил)метил)амино)-1-оксопропан-2-ил)карбамоил)пирролидин-1-карбоксилата (48 мг, 80% выход) в виде белого твердого вещества.

Этап 8: К трет-бутил(2R,4S)-4-([1,1'-бифенил]-3-илметил)-2-(((S)-1-(((6-амино-2-метилпиридин-3-ил)метил)амино)-1-оксопропан-2-ил)карбамоил)пирролидин-1-карбоксилату (48 мг, 0,08 ммоль) добавляли раствор MeOH-HCl (2,0 мл, 2 M) с перемешиванием при температуре окружающей среды, контролируя расход исходного материала (от 30 мин до 1 ч). Раствор выпаривали до сухого состояния, добавляли MeOH (10 мл) и выпаривали до сухого состояния для удаления остаточного газа HCl, с получением (2R,4S)-4-([1,1'-бифенил]-3-илметил)-N-((S)-1-(((6-амино-2-метилпиридин-3-ил)метил)амино)-1-оксопропан-2-ил)пирролидин-2-карбоксамида дигидрохлорида (48 мг, 95%) в виде белого твердого вещества.

Пример 210. Получение (2R,4S)-N-((S)-1-(((6-амино-2-метилпиридин-3-ил)метил)амино)-1-оксопропан-2-ил)-4-(3,5-диметоксибензил)пирролидин-2-карбоксамида ди-трифторацетатной соли (1407)

Этап 1: 2-бензил-1-(трет-бутил)-(2R,4S)-4-(3,5-диметоксибензил)-5-оксопирролидин-1,2-дикарбоксилат (619 мг, 85% выход) синтезировали из 2-бензил-1-(трет-бутил)-(R)-5-оксопирролидин-1,2-дикарбоксилата (500 мг, 1,56 ммоль) и 3,5-диметоксибензилбромида в соответствии с методикой для соединения (1304), этап 1.

Этап 2: 2-бензил-1-(трет-бутил)-(2R,4S)-4-(3,5-диметоксибензил)-5-гидроксипирролидин-1,2-дикарбоксилат синтезировали из 2-бензил-1-(трет-бутил)-(2R,4S)-4-(3,5-диметоксибензил)-5-оксопирролидин-1,2-дикарбоксилата (619 мг, 1,32 ммоль) в соответствии с методикой для соединения (1304), этап 2.

Этап 3: 2-бензил-1-(трет-бутил)-(2R,4S)-4-(3,5-диметоксибензил)пирролидин-1,2-дикарбоксилат (322 мг, 54% за 2 этапа) синтезировали из 2-бензил-1-(трет-бутил)-(2R,4S)-4-(3,5-диметоксибензил)-5-гидроксипирролидин-1,2-дикарбоксилата в соответствии с методикой для соединения (1304), этап 3.

Этап 4: (2R,4S)-1-(трет-бутоксикарбонил)-4-(3,5-диметоксибензил)пирролидин-2-карбоновую кислоту (232 мг, 90% выход) синтезировали из 2-бензил-1-(трет-бутил)-(2R,4S)-4-(3,5-диметоксибензил)пирролидин-1,2-дикарбоксилата (322 мг, 0,71 ммоль) в соответствии с методикой для соединения (1304), этап 4.

Этап 5: Трет-бутил(2R,4S)-2-(((S)-1-(((6-амино-2-метилпиридин-3-ил)метил)амино)-1-оксопропан-2-ил)карбамоил)-4-(3,5-диметоксибензил)пирролидин-1-карбоксилат (61 мг, 76% выход) синтезировали из (2R,4S)-1-(трет-бутоксикарбонил)-4-(3,5-диметоксибензил)пирролидин-2-карбоновой кислоты (53 мг, 0,15 ммоль) в соответствии с методикой для соединения (1304), этап 5.

Этап 6: Снятие защиты трет-бутил(2R,4S)-2-(((S)-1-(((6-амино-2-метилпиридин-3-ил)метил)амино)-1-оксопропан-2-ил)карбамоил)-4-(3,5-диметоксибензил)пирролидин-1-карбоксилата (61 мг, 0,11 ммоль) проводили в соответствии с методикой для соединения (1260), этап 4, за исключением того, что конечный продукт очищали с использованием обращенно-фазовой ВЭЖХ.

Пример 211. Получение (2R,4S)-N-((S)-1-((5-хлор-2-гидрокси-3-метилбензил)амино)-1-оксопропан-2-ил)-4-(2-(5-хлортиофен-2-ил)бензил)пирролидин-2-карбоксамида гидрохлорида (1408)

Этап 1: В 20-мл флакон высокого давления вносили 2-бензил-1-(трет-бутил)-(2R,4S)-4-(2-бромбензил)пирролидин-1,2-дикарбоксилат (121 мг, 0,26 ммоль), (5-хлортиофен-2-ил)бороновую кислоту (83 мг, 0,51 ммоль), Pd(dppf)Cl2 (19 мг, 0,026 ммоль) и K2CO3 (108 мг, 0,78 ммоль), с последующим барботированием Ar. Добавляли шприцем диоксан (3 мл) и H2O (0,3 мл), реакционную смесь герметично закрывали и оставляли для перемешивания при 90°C на 18 ч. После завершения реакционную смесь концентрировали и очищали хроматографией (0-30% EtOAc/гексаны), с получением 2-бензил-1-(трет-бутил)-(2R,4S)-4-(2-(5-хлортиофен-2-ил)бензил)пирролидин-1,2-дикарбоксилата (82 мг, 62% выход) в виде желтого масла.

Этап 2: В 50-мл круглодонную колбу вносили 2-бензил-1-(трет-бутил)-(2R,4S)-4-(2-(5-хлортиофен-2-ил)бензил)пирролидин-1,2-дикарбоксилат (82 мг, 0,16 ммоль), LiOH (58 мг, 2,4 ммоль) и смесь THF/MeOH/H2O (2:1:1). После завершения реакционную смесь концентрировали, подкисляли до pH ~3 при помощи 1 M HCl и экстрагировали EtOAc 2x. Концентрирование в вакууме приводило к получению (2R,4S)-1-(трет-бутоксикарбонил)-4-(2-(5-хлортиофен-2-ил)бензил)пирролидин-2-карбоновой кислоты в виде желтого масла.

Этап 3: (2R,4S)-1-(трет-бутоксикарбонил)-4-(2-(5-хлортиофен-2-ил)бензил)пирролидин-2-карбоновую кислоту (17 мг, 0,04 ммоль) и HOBt (5,9 мг, 0,044 ммоль) растворяли в DMF (1 мл). Затем добавляли EDC (8,4 мг, 0,044 ммоль) одной порцией, с последующим добавлением этиламина (2 M в THF, 150 мкл) и DIEA (21 мкл, 0,12 ммоль). Полученный раствор оставляли для перемешивания при комнатной температуре на 16 ч. Затем реакционную смесь разбавляли EtOAc, промывали 10% водным KHSO4 и рассолом. Очистка хроматографией (70-80% EtOAc/гексаны) приводила к получению трет-бутил(2R,4S)-2-(((S)-1-((5-хлор-2-гидрокси-3-метилбензил)амино)-1-оксопропан-2-ил)карбамоил)-4-(2-(5-хлортиофен-2-ил)бензил)пирролидин-1-карбоксилата в виде бесцветного масла.

Этап 4: Указанное в заголовке соединение синтезировали в виде не совсем белого порошка (10 мг, 46% выход за два этапа) в соответствии с методикой этапа 4 для соединения (1313), за исключением очистки хроматографией (5% смесь MeOH/CH2Cl2, содержащая 2,5% 7 Н NH3-MeOH), с последующей обработкой 1 Н HCl и лиофилизацией в течение ночи.

Пример 212. Получение (2R,4S)-N-((S)-1-((5-хлор-2-(1H-тетразол-1-ил)бензил)амино)-1-оксопропан-2-ил)-4-(2-(5-хлортиофен-2-ил)бензил)пирролидин-2-карбоксамида трифторацетата (1409)

Этапы 1-2: Указанное в заголовке соединение синтезировали в виде бежевого порошка (10 мг, 43% выход за два этапа) в соответствии с методиками этапов 3-4 для соединения (1408), за исключением очистки методом препаративной ВЭЖХ (ACN/H2O+TFA).

Пример 213. Получение (2R,4S)-N-((S)-1-(((6-амино-2-метилпиридин-3-ил)метил)амино)-1-оксопропан-2-ил)-4-(2-(5-хлортиофен-2-ил)бензил)пирролидин-2-карбоксамида трифторацетата (1410)

Этапы 1-2: Указанное в заголовке соединение синтезировали в виде бежевого порошка (7,6 мг, 37% выход за два этапа) в соответствии с методиками этапов 3-4 для соединения (1408), за исключением очистки методом препаративной ВЭЖХ (ACN/H2O+TFA).

Пример 214. Получение 3-((2R,4S)-2-(((S)-1-(((6-амино-2-метилпиридин-3-ил)метил)амино)-1-оксопропан-2-ил)карбамоил)-4-фенилпиперидин-1-ил)пропионовой кислоты трифторацетатной соли (1411)

Этапы 1 и 2: К перемешиваемому раствору (2R,4S)-N-((S)-1-(((6-амино-2-метилпиридин-3-ил)метил)амино)-1-оксопропан-2-ил)-4-фенилпиперидин-2-карбоксамида дигидрохлорида (10 мг, 0,021 ммоль) в CH2Cl2 (2 мл) и NEt3 (0,1 мл) добавляли этил-3-бромпропаноат (0,026 мл, 0,21 ммоль) в атмосфере Ar. После перемешивания в течение 24 ч при температуре окружающей среды реакционную смесь концентрировали и растворяли в THF (2 мл). К раствору добавляли LiOH (10 мг, 0,21 ммоль), растворенный в 2 мл воды при комнатной температуре, и перемешивали при температуре окружающей среды в течение 18 ч. Реакционную смесь подкисляли TFA и очищали методом обращенно-фазовой ВЭЖХ, с получением 3-((2R,4S)-2-(((S)-1-(((6-амино-2-метилпиридин-3-ил)метил)амино)-1-оксопропан-2-ил)карбамоил)-4-фенилпиперидин-1-ил)пропионовой кислоты трифторацетатной соли (8,0 мг, 81% выход за два этапа).

Пример 215. Получение 6-((2R,4S)-2-(((S)-1-(((6-амино-2-метилпиридин-3-ил)метил)амино)-1-оксопропан-2-ил)карбамоил)-4-фенилпиперидин-1-ил)гексановой кислоты трифторацетатной соли (1412)

6-((2R,4S)-2-(((S)-1-(((6-амино-2-метилпиридин-3-ил)метил)амино)-1-оксопропан-2-ил)карбамоил)-4-фенилпиперидин-1-ил)гексановой кислоты трифторацетатную соль синтезировали в соответствии с методиками для соединения (1411) с использованием соответствующего сложного бромэфира.

Пример 216. Получение (2R,4S,5R)-N-((S)-1-(((6-амино-2-метилпиридин-3-ил)метил)амино)-1-оксопропан-2-ил)-4-бензил-5-этилпирролидин-2-карбоксамида ди-трифторацетатной соли (1413)

К раствору 2-бензил-1-(трет-бутил)-(2R,4S)-4-бензил-5-оксопирролидин-1,2-дикарбоксилата (0,2 г, 0,49 ммоль) в THF (20 мл) при -78°C добавляли раствор этилмагнийбромида (0,53 мл, 0,53 ммоль, 1 M в THF) в атмосфере Ar. Через 30 мин реакционную смесь гасили насыщенным раствором NaHCO3 (5 мл) и нагревали до 0°C. Органические летучие вещества удаляли в вакууме, и водный слой экстрагировали CH2Cl2 (3×10 мл). Объединенные органические экстракты тщательно сушили с использованием Na2SO4, фильтровали и концентрировали, с получением 2-бензил-1-(трет-бутил)-(2R,4S)-4-бензил-5-этил-5-гидроксипирролидин-1,2-дикарбоксилата (220 мг неочищенного). Этот материал непосредственно использовали на следующем этапе без дополнительной очистки. Последующие этапы выполняли в соответствии с методиками для соединения (1304).

Пример 217. Получение (2R,4S)-N-((S)-1-((5-хлор-2-(1H-тетразол-1-ил)бензил)амино)-1-оксопропан-2-ил)-4-(нафтален-1-илметил)пирролидин-2-карбоксамида гидрохлорида (1414)

(2R,4S)-N-((S)-1-((5-хлор-2-(1H-тетразол-1-ил)бензил)амино)-1-оксопропан-2-ил)-4-(нафтален-1-илметил)пирролидин-2-карбоксамид гидрохлорид синтезировали в соответствии с методиками для соединения (1404).

Пример 218. Получение (2R,4S)-N-((S)-1-(((3-хлор-1H-пирроло[2,3-b]пиридин-5-ил)метил)амино)-1-оксопропан-2-ил)-4-(нафтален-1-илметил)пирролидин-2-карбоксамида гидрохлорида (1415)

(2R,4S)-N-((S)-1-(((3-хлор-1H-пирроло[2,3-b]пиридин-5-ил)метил)амино)-1-оксопропан-2-ил)-4-(нафтален-1-илметил)пирролидин-2-карбоксамид гидрохлорид синтезировали в соответствии с методиками для соединения (1334).

Пример 219. Получение (2R,4S)-N-((S)-1-((5-хлор-2-(1H-тетразол-1-ил)бензил)амино)-1-оксопропан-2-ил)-4-(3,5-диметилбензил)пирролидин-2-карбоксамида гидрохлорида (1416)

(2R,4S)-N-((S)-1-((5-хлор-2-(1H-тетразол-1-ил)бензил)амино)-1-оксопропан-2-ил)-4-(3,5-диметилбензил)пирролидин-2-карбоксамид гидрохлорид синтезировали в соответствии с методиками для соединения (1404).

Пример 220. Получение (2R,4R)-N-((S)-1-(((7-хлор-1H-бензо[d]имидазол-5-ил)метил)амино)-1-оксопропан-2-ил)-4-фенилпирролидин-2-карбоксамида трифторацетатной соли (1417)

Этап 1: Трет-бутил(2R,4R)-2-(((S)-1-(((7-хлор-1H-бензо[d]имидазол-5-ил)метил)амино)-1-оксопропан-2-ил)карбамоил)-4-фенилпирролидин-1-карбоксилат (102 мг, 92% выход) синтезировали из 1-(7-хлор-1H-бензимидазол-5-ил)метанамина (50 мг, 0,28 ммоль) в соответствии с методикой для соединения (1358), этап 2.

Этап 2: Снятие защиты трет-бутил(2R,4R)-2-(((S)-1-(((7-хлор-1H-бензо[d]имидазол-5-ил)метил)амино)-1-оксопропан-2-ил)карбамоил)-4-фенилпирролидин-1-карбоксилата (102 мг, 0,19 ммоль) проводили в соответствии с методикой для соединения (1260), этап 4, за исключением того, что конечный продукт очищали с использованием обращенно-фазовой ВЭЖХ.

Пример 221. Получение (2R,4R)-N-((S)-1-(((7-хлор-2-метил-1H-бензо[d]имидазол-5-ил)метил)амино)-1-оксопропан-2-ил)-4-фенилпирролидин-2-карбоксамида трифторацетатной соли (1418)

Этап 1: (7-хлор-2-метил-1H-бензо[d]имидазол-5-ил)метанамин синтезировали из 7-хлор-2-метил-1H-бензо[d]имидазол-5-карбонитрила (100 мг, 0,52 ммоль) в соответствии с методикой для соединения (1358), этап 1.

Этап 2: Трет-бутил(2R,4R)-2-(((S)-1-(((7-хлор-2-метил-1H-бензо[d]имидазол-5-ил)метил)амино)-1-оксопропан-2-ил)карбамоил)-4-фенилпирролидин-1-карбоксилат (98 мг, 35% за 2 этапа) синтезировали из (7-хлор-2-метил-1H-бензо[d]имидазол-5-ил)метанамина (102 мг, 0,52 ммоль) в соответствии с методикой для соединения (1358), этап 2.

Этап 3: Снятие защиты трет-бутил(2R,4R)-2-(((S)-1-(((7-хлор-2-метил-1H-бензо[d]имидазол-5-ил)метил)амино)-1-оксопропан-2-ил)карбамоил)-4-фенилпирролидин-1-карбоксилата (98 мг, 0,18 ммоль) проводили в соответствии с методикой для соединения (1260), этап 4, за исключением того, что конечный продукт очищали с использованием обращенно-фазовой ВЭЖХ.

Пример 222. Получение (2R,4S)-N-((S)-1-((5-хлор-2-(1H-тетразол-1-ил)бензил)амино)-1-оксопропан-2-ил)-4-(3,5-диметоксибензил)пирролидин-2-карбоксамида трифторацетатной соли (1419)

Этап 1: Трет-бутил(S)-(1-((5-хлор-2-(1H-тетразол-1-ил)бензил)амино)-1-оксопропан-2-ил)карбамат (3,54 г, 76% выход) синтезировали из 5-хлор-2-(1H-тетразол-1-ил)бензолметамина (3,0 г, 12,2 ммоль) в соответствии с методикой для соединения (1259), этап 3.

Этап 2: Снятие защиты трет-бутил(S)-(1-((5-хлор-2-(1H-тетразол-1-ил)бензил)амино)-1-оксопропан-2-ил)карбамата (3,54 г, 9,3 ммоль) проводили в соответствии с методикой для соединения (1259), этап 2.

Этап 3: Трет-бутил(2R,4S)-2-(((S)-1-((5-хлор-2-(1H-тетразол-1-ил)бензил)амино)-1-оксопропан-2-ил)карбамоил)-4-(3,5-диметоксибензил)пирролидин-1-карбоксилат (85 мг, 76% выход) синтезировали из (S)-2-амино-N-(5-хлор-2-(1H-тетразол-1-ил)бензил)пропенамида трифторацетатной соли (99 мг, 0,23 ммоль) в соответствии с методикой для соединения (1358), этап 2.

Этап 4: Снятие защиты трет-бутил(2R,4S)-2-(((S)-1-((5-хлор-2-(1H-тетразол-1-ил)бензил)амино)-1-оксопропан-2-ил)карбамоил)-4-(3,5-диметоксибензил)пирролидин-1-карбоксилата (85 мг, 0,14 ммоль) проводили в соответствии с методикой для соединения (1260), этап 4, за исключением того, что конечный продукт очищали с использованием обращенно-фазовой ВЭЖХ.

Пример 223. Получение (2R,4S)-N-((S)-1-(((6-амино-2-метилпиридин-3-ил)метил)амино)-1-оксопропан-2-ил)-4-(3-(азетидин-1-карбонил)бензил)пирролидин-2-карбоксамида ди-трифторацетатной соли (1420)

Этап 1: 2-бензил-1-(трет-бутил)-(2R,4S)-4-(3-бромбензил)пирролидин-1,2-дикарбоксилат синтезировали в соответствии с методиками для соединения (1304), этап 1 - этап 3.

Этап 2: В 25-мл пробирку, снабженную якорем магнитной мешалки, вносили (CO2H·H2O)2 (80 мг, 0,63 ммоль), Pd(OAc)2 (1 мг, 0,0042), ксантфос (2,5 мг, 0,0042), бензил (2R,4S)-4-(3-бромбензил)пирролидин-2-карбоксилат (200 мг, 0,42 ммоль), Ac2O (60 мкл, 0,633 ммоль), DIEA (0,11 мл, 0,63 ммоль) и DMF (2,0 мл) на воздухе. Пробирку быстро закрывали тефлоновым клапаном высокого давления, замораживали в жидком азоте, отгоняли воздух и вновь заполняли ее N2 (5 пять раз). После перемешивания реакционной смеси в предварительно нагретой масляной бане (100°C) в течение 6 ч ее оставляли охлаждаться до температуры окружающей среды. Реакционную смесь разбавляли EtOAc (10 мл), подкисляли 2 M HCl (5 мл, один раз) и промывали рассолом (5 мл, дважды). Органическую фазу сушили над безводным Na2SO4 и концентрировали в вакууме, с получением 3-(((3S,5R)-5-((бензилокси)карбонил)пирролидин-3-ил)метил)бензойной кислоты (45 мг, 25% выход), которую непосредственно использовали на следующем этапе без дополнительной очистки.

Этап 3: К перемешиваемому раствору 3-(((3S,5R)-5-((бензилокси)карбонил)пирролидин-3-ил)метил)бензойной кислоты (45 мг, 0,10 ммоль) и триэтиламина (0,10 мл, 0,70 ммоль) в CH2Cl2 (1 мл) при 0°C добавляли оксалилхлорид (0,34 мкл, 0,40 ммоль), азетидин (30 мг, 0,50 ммоль), а затем DMF (2 капли) в атмосфере Ar. Реакционную смесь перемешивали при температуре окружающей среды в течение ночи, и растворители удаляли при пониженном давлении. Осадок очищали хроматографией (EtOAc-гексаны), с получением бензил(2R,4S)-4-(3-(азетидин-1-карбонил)бензил)пирролидин-2-карбоксилата (31 мг, 61% выход).

Этап 4: (2R,4S)-N-((S)-1-(((6-амино-2-метилпиридин-3-ил)метил)амино)-1-оксопропан-2-ил)-4-(3-(азетидин-1-карбонил)бензил)пирролидин-2-карбоксамида ди-трифторацетатную соль синтезировали в соответствии с методиками для соединения (1304), этап 4 - этап 8, за исключением того, что конечный продукт очищали с использованием обращенно-фазовой ВЭЖХ.

Пример 224. Получение (2R,4R)-N-((S)-1-(((6-амино-2-метилпиридин-3-ил)метил)амино)-1-оксопропан-2-ил)-4-((3-бромизоксазол-5-ил)метил)пирролидин-2-карбоксамида ди-трифторацетатной соли (1421)

(2R,4R)-N-((S)-1-(((6-амино-2-метилпиридин-3-ил)метил)амино)-1-оксопропан-2-ил)-4-((3-бромизоксазол-5-ил)метил)пирролидин-2-карбоксамида ди-трифторацетатную соль синтезировали в соответствии с методиками для соединения (1328), за исключением того, что конечный продукт очищали с использованием обращенно-фазовой ВЭЖХ.

Пример 225. Получение (2R,4S)-N-((S)-1-(((6-амино-2-метилпиридин-3-ил)метил)амино)-1-оксопропан-2-ил)-4-(3,4-дихлорбензил)пирролидин-2-карбоксамида дигидрохлорида (1422)

(2R,4S)-N-((S)-1-(((6-амино-2-метилпиридин-3-ил)метил)амино)-1-оксопропан-2-ил)-4-(3,4-дихлорбензил)пирролидин-2-карбоксамид дигидрохлорид синтезировали в соответствии с методиками для соединения (1304), за исключением того, что снятие защиты бензила (этап 4) проводили, следуя методике с LiOH, как описано для соединения (1399).

Пример 226. Получение (2R,4S)-N-((S)-1-(((6-амино-2-метилпиридин-3-ил)метил)амино)-1-оксопропан-2-ил)-4-((4-фторнафтален-1-ил)метил)пирролидин-2-карбоксамида дигидрохлорида (1423)

(2R,4S)-N-((S)-1-(((6-амино-2-метилпиридин-3-ил)метил)амино)-1-оксопропан-2-ил)-4-((4-фторнафтален-1-ил)метил)пирролидин-2-карбоксамид дигидрохлорид синтезировали в соответствии с методиками для соединения (1304).

Пример 227. Получение (2R,4S)-N-((S)-1-(((6-амино-2-метилпиридин-3-ил)метил)амино)-1-оксопропан-2-ил)-4-(3,5-бис(трифторметил)бензил)пирролидин-2-карбоксамида ди-трифторацетатной соли (1424)

(2R,4S)-N-((S)-1-(((6-амино-2-метилпиридин-3-ил)метил)амино)-1-оксопропан-2-ил)-4-(3,5-бис(трифторметил)бензил)пирролидин-2-карбоксамида ди-трифторацетатную соль синтезировали в соответствии с методиками для соединения (1304), за исключением финального снятия защиты Boc.

К трет-бутил(2R,4S)-2-(((S)-1-(((6-амино-2-метилпиридин-3-ил)метил)амино)-1-оксопропан-2-ил)карбамоил)-4-(3,5-бис(трифторметил)бензил)пирролидин-1-карбоксилату (27,7 мг, 0,04 ммоль) в CH2Cl2 (200 мкл, 0,2 M) добавляли TFA (67 мкл, 0,88 ммоль) с перемешиванием при температуре окружающей среды, контролируя расход исходного материала (1-2 ч). Раствор выпаривали до сухого состояния и очищали с использованием обращенно-фазовой ВЭЖХ, с получением (2R,4S)-N-((S)-1-(((6-амино-2-метилпиридин-3-ил)метил)амино)-1-оксопропан-2-ил)-4-(3,5-бис(трифторметил)бензил)пирролидин-2-карбоксамида ди-трифторацетатной соли (12,8 мг, 39% выход) в виде белого твердого вещества.

Пример 228. Получение (2R,4R)-N-((S)-1-(((3-амино-1H-индазол-6-ил)метил)амино)-1-оксопропан-2-ил)-4-фенилпирролидин-2-карбоксамида трифторацетатной соли (1425)

Этап 1: трет-бутил(2R,4R)-2-(((S)-1-(((3-амино-1H-индазол-6-ил)метил)амино)-1-оксопропан-2-ил)карбамоил)-4-фенилпирролидин-1-карбоксилат (147 мг, 88% выход) синтезировали из 6-(аминометил)-1H-индазол-3-амина (70 мг, 0,43 ммоль) в соответствии с методикой для соединения (1358), этап 2.

Этап 2: Снятие защиты трет-бутил(2R,4R)-2-(((S)-1-(((3-амино-1H-индазол-6-ил)метил)амино)-1-оксопропан-2-ил)карбамоил)-4-фенилпирролидин-1-карбоксилата (147 мг, 0,29 ммоль) проводили в соответствии с методикой для соединения (1260), этап 4, за исключением того, что конечный продукт очищали с использованием обращенно-фазовой ВЭЖХ.

Пример 229. Получение (2R,4S)-N-((S)-1-((5-хлор-2-(1H-тетразол-1-ил)бензил)амино)-1-оксопропан-2-ил)-4-фенилпиперидин-2-карбоксамида трифторацетата (1426)

Этапы 1-2: Указанное в заголовке соединение синтезировали в виде белого порошка (11 мг, 16% выход за два этапа) в соответствии с методиками этапов 1-2 для соединения (1246) с использованием соответствующих исходных материалов, за исключением очистки методом препаративной ВЭЖХ (ACN/H2O+TFA).

Пример 230. Получение (2R,4S)-N-((S)-1-(((6-амино-2-метилпиридин-3-ил)метил)амино)-1-оксопропан-2-ил)-4-(4-бромбензил)пирролидин-2-карбоксамида ди-трифторацетатной соли (1427)

Этап 1: (2R,4S)-N-((S)-1-(((6-амино-2-метилпиридин-3-ил)метил)амино)-1-оксопропан-2-ил)-4-(4-бромбензил)пирролидин-2-карбоксамид синтезировали в соответствии с методикой для соединения (1304) (30% выход за 3 этапа).

Этап 2: Раствор (2R,4S)-N-((S)-1-(((6-амино-2-метилпиридин-3-ил)метил)амино)-1-оксопропан-2-ил)-4-(4-бромбензил)пирролидин-2-карбоксамида (503,3 мг, 1,06 ммоль) в THF (11 мл) и воде (1,1 мл) обрабатывали бензилтрифторборатом калия (287,0 мг, 1,45 ммоль), CsCO3 (1,05 г, 3,22 ммоль) и PdCl2(pddf) (78 мг, 0,11 ммоль). После продувания N2 реакционную смесь нагревали при 90°C в течение 16 ч и гасили водой. Реакционную смесь экстрагировали EtOAc (3 раза). Органические слои объединяли, промывали рассолом, сушили (Na2SO4), фильтровали в вакууме и выпаривали в вакууме. Неочищенный продукт растворяли в CH2Cl2 и адсорбировали на силикагеле. Очистка хроматографией (0-100% EtOAc-гексаны) приводила к получению 2-бензил-1-(трет-бутил)-(2R,4S)-4-(4-бензилбензил)пирролидин-1,2-дикарбоксилата (425,8 мг, 83% выход).

Этап 3: Снятие защиты 2-бензил-1-(трет-бутил)-(2R,4S)-4-(4-бензилбензил)пирролидин-1,2-дикарбоксилата проводили в соответствии с методикой для соединения (1304), этап 4, с получением неочищенной (2R,4S)-4-(4-бензилбензил)-1-(трет-бутоксикарбонил)пирролидин-2-карбоновой кислоты.

Этап 4: Трет-бутил(S)-(1-(((6-((трет-бутоксикарбонил)амино)-2-метилпиридин-3-ил)метил)амино)-1-оксопропан-2-ил)карбамат получали в соответствии с методикой для соединения (1304), этап 5 (87% выход).

Этап 5: Снятие защиты трет-бутил(S)-(1-(((6-((трет-бутоксикарбонил)амино)-2-метилпиридин-3-ил)метил)амино)-1-оксопропан-2-ил)карбамата проводили в соответствии с методикой для соединения (1304), этап 6, за исключением того, что неочищенный продукт очищали хроматографией (0-10% 7 Н NH3 в MeOH-CH2Cl2), с получением (S)-2-амино-N-((6-амино-2-метилпиридин-3-ил)метил)пропанамида (92% выход).

Этап 6: (S)-2-амино-N-((6-амино-2-метилпиридин-3-ил)метил)пропанамид присоединяли к неочищенной (2R,4S)-4-(4-бензилбензил)-1-(трет-бутоксикарбонил)пирролидин-2-карбоновой кислоте в соответствии с методикой для соединения 1119, этап 1, с получением трет-бутил(2R,4S)-2-(((S)-1-(((6-амино-2-метилпиридин-3-ил)метил)амино)-1-оксопропан-2-ил)карбамоил)-4-(4-бензилбензил)пирролидин-1-карбоксилата.

Этап 7: Раствор трет-бутил(2R,4S)-2-(((S)-1-(((6-амино-2-метилпиридин-3-ил)метил)амино)-1-оксопропан-2-ил)карбамоил)-4-(4-бензилбензил)пирролидин-1-карбоксилата (45,0 мг, 0,0768 ммоль) в CH2Cl2 (1,0 мл) и TES (50 мкл) обрабатывали TFA (500 мкл) при 0°C. Реакционную смесь перемешивали при комнатной температуре в течение 2 ч и концентрировали при пониженном давлении. Неочищенный продукт растворяли в CH2Cl2 и адсорбировали на силикагеле. Очистка хроматографией (0-5% 7 Н NH3 в MeOH-CH2Cl2) приводила к получению (2R,4S)-N-((S)-1-(((6-амино-2-метилпиридин-3-ил)метил)амино)-1-оксопропан-2-ил)-4-(4-бензилбензил)пирролидин-2-карбоксамида (33,0 мг, 88% выход).

Этап 8: (2R,4S)-N-((S)-1-(((6-амино-2-метилпиридин-3-ил)метил)амино)-1-оксопропан-2-ил)-4-(4-бензилбензил)пирролидин-2-карбоксамида ди-трифторацетатную соль получали в соответствии с методикой для соединения (1368), этап 2.

Пример 231. Получение (2R,4S)-N-((S)-1-(((6-амино-2-метилпиридин-3-ил)метил)амино)-1-оксопропан-2-ил)-4-(4-цианобензил)пирролидин-2-карбоксамида ди-трифторацетатной соли (1428)

(2R,4S)-N-((S)-1-(((6-амино-2-метилпиридин-3-ил)метил)амино)-1-оксопропан-2-ил)-4-(4-цианобензил)пирролидин-2-карбоксамида ди-трифторацетатную соль синтезировали в соответствии с методиками для соединения (1424).

Пример 232. Получение (2R,4S)-N-((S)-1-(((6-амино-2-метилпиридин-3-ил)метил)амино)-1-оксопропан-2-ил)-4-(3-цианобензил)пирролидин-2-карбоксамида ди-трифторацетатной соли (1429)

(2R,4S)-N-((S)-1-(((6-амино-2-метилпиридин-3-ил)метил)амино)-1-оксопропан-2-ил)-4-(3-цианобензил)пирролидин-2-карбоксамида ди-трифторацетатную соль синтезировали в соответствии с методиками для соединения (1424).

Пример 233. Получение (2R,4S)-N-((S)-1-(((6-амино-2-метилпиридин-3-ил)метил)амино)-1-оксопропан-2-ил)-4-(4-феноксибензил)пирролидин-2-карбоксамида ди-трифторацетатной соли (1430)

(2R,4S)-N-((S)-1-(((6-амино-2-метилпиридин-3-ил)метил)амино)-1-оксопропан-2-ил)-4-(4-феноксибензил)пирролидин-2-карбоксамида ди-трифторацетатную соль синтезировали в соответствии с методиками для соединения (1424).

Пример 234. Получение (2R,4S)-N-((S)-1-(((6-амино-2-метилпиридин-3-ил)метил)амино)-1-оксопропан-2-ил)-4-((4-цианонафтален-1-ил)метил)пирролидин-2-карбоксамида дигидрохлорида (1431)

(2R,4S)-N-((S)-1-(((6-амино-2-метилпиридин-3-ил)метил)амино)-1-оксопропан-2-ил)-4-((4-цианонафтален-1-ил)метил)пирролидин-2-карбоксамид дигидрохлорид синтезировали в соответствии с методиками для соединения (1304).

Пример 235. Получение (2R,4S)-N-((S)-1-(((6-амино-2-метилпиридин-3-ил)метил)амино)-1-оксопропан-2-ил)-4-((3-хлорнафтален-1-ил)метил)пирролидин-2-карбоксамида дигидрохлорида (1432)

(2R,4S)-N-((S)-1-(((6-амино-2-метилпиридин-3-ил)метил)амино)-1-оксопропан-2-ил)-4-((3-хлорнафтален-1-ил)метил)пирролидин-2-карбоксамид дигидрохлорид синтезировали в соответствии с методиками для соединения (1304), за исключением того, что снятие защиты бензила (этап 4) выполняли, следуя методике с LiOH, как описано для соединения (1399).

Пример 236. Получение (2R,4S)-N-((S)-1-(((3-хлор-1H-пирроло[2,3-b]пиридин-5-ил)метил)амино)-1-оксопропан-2-ил)-4-фенилпиперидин-2-карбоксамида (1433)

Этап 1: К раствору (2R,4S)-1-(трет-бутоксикарбонил)-4-фенилпиперидин-2-карбоновой кислоты (5,0 г, 16,4 ммоль) в MeCN (300 мл, 0,05 M) добавляли HOBt (2 г, 3,77 ммоль), DIEA (11,4 мл, 13,7 ммоль) и EDC (2,8 г, 3,77 ммоль). После перемешивания в течение 30 мин при температуре окружающей среды добавляли бензил-L-аланин гидрохлорид (814 мг, 18 ммоль) и перемешивали в течение 16 ч. Реакционную смесь концентрировали, и осадок распределяли между EtOAc и 10% раствором KHSO4. Органический слой отделяли и промывали H2O и насыщенным водным NaHCO3. Органический слой сушили над безводным Na2SO4 и концентрировали в вакууме. Осадок очищали хроматографией (0-20% EtOAc-гексаны), с получением трет-бутил(2R,4S)-2-(((S)-1-(бензилокси)-1-оксопропан-2-ил)карбамоил)-4-фенилпиперидин-1-карбоксилата (2,59 мг, 34% выход).

Этап 2: Раствор трет-бутил(2R,4S)-2-(((S)-1-(бензилокси)-1-оксопропан-2-ил)карбамоил)-4-фенилпиперидин-1-карбоксилата (2,59 мг, 5,54 ммоль) дегазировали потоком аргона в течение 2 мин. Добавляли 10% Pd/C (130 мг) и применяли вакуум в течение 1 мин. Подключали баллон H2, и за реакцией следили по расходу исходного материала в течение 1,5 ч. Катализатор удаляли фильтрованием, и раствор выпаривали, с получением ((2R,4S)-1-(трет-бутоксикарбонил)-4-фенилпиперидин-2-карбонил)-L-аланина (1,8 г, 86% выход).

Этап 3: Трет-бутил(2R,4S)-2-(((S)-1-(((3-хлор-1H-пирроло[2,3-b]пиридин-5-ил)метил)амино)-1-оксопропан-2-ил)карбамоил)-4-фенилпиперидин-1-карбоксилат (75 мг, 93% выход) синтезировали из (3-хлор-1H-пирроло[2,3-b]пиридин-5-ил)метанамина дигидрохлорида (50 мг, 0,2 ммоль) и ((2R,4S)-1-(трет-бутоксикарбонил)-4-фенилпиперидин-2-карбонил)-L-аланина (57 мг, 0,15 ммоль) в соответствии с методикой для соединения (1358), этап 2

Этап 4: Снятие защиты трет-бутил(2R,4S)-2-(((S)-1-(((3-хлор-1H-пирроло[2,3-b]пиридин-5-ил)метил)амино)-1-оксопропан-2-ил)карбамоил)-4-фенилпиперидин-1-карбоксилата (75 мг, 0,14 ммоль) проводили в соответствии с методикой для соединения (1260), этап 4, за исключением того, что конечный продукт очищали с использованием обращенно-фазовой ВЭЖХ.

Пример 237. Получение (2R,4R)-N-((S)-1-((имидазо[1,2-a]пиридин-6-илметил)амино)-1-оксопропан-2-ил)-4-фенилпирролидин-2-карбоксамида дигидрохлорида (1434)

Этап 1: ((2R,4R)-1-(трет-бутоксикарбонил)-4-фенилпирролидин-2-карбонил)-L-аланин присоединяли к имидазо[1,2-a]пиридин-6-илметанамину дигидрохлориду в соответствии с методикой для соединения (1280), этап 4, с получением трет-бутил(2R,4R)-2-(((S)-1-((имидазо[1,2-a]пиридин-6-илметил)амино)-1-оксопропан-2-ил)карбамоил)-4-фенилпирролидин-1-карбоксилата (80 мг, 74% выход).

Этап 2: С трет-бутил(2R,4R)-2-(((S)-1-((имидазо[1,2-a]пиридин-6-илметил)амино)-1-оксопропан-2-ил)карбамоил)-4-фенилпирролидин-1-карбоксилата снимали защиту в соответствии с методикой для соединения (1323), этап 3, с получением (2R,4R)-N-((S)-1-((имидазо[1,2-a]пиридин-6-илметил)амино)-1-оксопропан-2-ил)-4-фенилпирролидин-2-карбоксамида дигидрохлорида (86 мг, количественный выход).

Пример 238. Получение (2R,4S)-N-((S)-1-(((6-амино-2-метилпиридин-3-ил)метил)амино)-1-оксопропан-2-ил)-4-(3,5-дихлорбензил)пирролидин-2-карбоксамида дигидрохлорида (1435)

(2R,4S)-N-((S)-1-(((6-амино-2-метилпиридин-3-ил)метил)амино)-1-оксопропан-2-ил)-4-(3,5-дихлорбензил)пирролидин-2-карбоксамид дигидрохлорид синтезировали в соответствии с методиками для соединения (1328).

Пример 239. Получение (2R,4S)-4-бензил-N-((S)-1-((5-бром-3-метил-2-(1H-тетразол-1-ил)бензил)амино)-1-оксопропан-2-ил)пирролидин-2-карбоксамида трифторацетата (1436) и (2R,4S)-4-бензил-N-((S)-1-((3-метил-2-(2H-тетразол-2-ил)бензил)амино)-1-оксопропан-2-ил)пирролидин-2-карбоксамида (1437)

Этап 1: В 100-мл круглодонную колбу вносили 5-бром-2-фтор-3-метилбензонитрил (428 мг, 2 ммоль), 1H-тетразол (0,45 M в CAN; 5 мл), K2CO3 (318 мг, 2,3 ммоль) и DMF (15 мл), затем герметично закрывали в атмосфере Ar и перемешивали при 80°C в течение 72 ч. Затем реакционную смесь разбавляли EtOAc, промывали H2O, 5% водным раствором LiCl и рассолом. Органический слой сушили над Na2SO4, концентрировали и очищали хроматографией (20-60% EtOAc/гексаны), с получением 5-бром-3-метил-2-(2H-тетразол-2-ил)бензонитрила в виде белого твердого вещества (78 мг, 80% выход, исходя из извлеченного исходного материала).

Этап 2: Раствор 5-бром-3-метил-2-(2H-тетразол-2-ил)бензонитрила (49 мг, 0,19 ммоль) в 7 M NH3 в MeOH (5 мл) дегазировали при помощи баллона Ar. Добавляли никель Ренея (~40 мг) и применяли вакуум в течение 0,5 мин, с последующим повторным заполнением H2 из баллона. Реакционную смесь перемешивали в течение 16 ч при температуре окружающей среды. После завершения катализатор удаляли фильтрованием через диатомовую землю, и раствор концентрировали в вакууме, с получением неразделяемой смеси (5-бром-3-метил-2-(2H-тетразол-2-ил)фенил)метанамина и (3-метил-2-(2H-тетразол-2-ил)фенил)метанамина.

Этап 3: DCC-опосредуемое связывание проводили в соответствии с методикой этапа 3 для соединения (1313) с использованием соответствующих исходных материалов. Очистка хроматографией (EtOAc/гексаны) приводила к получению как трет-бутил(2R,4S)-4-бензил-2-(((S)-1-((5-бром-3-метил-2-(2H-тетразол-2-ил)бензил)амино)-1-оксопропан-2-ил)карбамоил)пирролидин-1-карбоксилата (44 мг, 35% выход), так и трет-бутил(2R,4S)-4-бензил-2-(((S)-1-((3-метил-2-(2H-тетразол-2-ил)бензил)амино)-1-оксопропан-2-ил)карбамоил)пирролидин-1-карбоксилата (66 мг, 60% выход).

Этап 4: Удаление группы Boc групп из трет-бутил(2R,4S)-4-бензил-2-(((S)-1-((5-бром-3-метил-2-(2H-тетразол-2-ил)бензил)амино)-1-оксопропан-2-ил)карбамоил)пирролидин-1-карбоксилата проводили с использованием методики этапа 4 для соединения (1313), за исключением очистки методом препаративной ВЭЖХ (ACN/H2O+TFA), с получением указанного в заголовке соединения в виде бежевого порошка (7 мг, 19% выход).

Этап 4: Удаление группы Boc из трет-бутил(2R,4S)-4-бензил-2-(((S)-1-((3-метил-2-(2H-тетразол-2-ил)бензил)амино)-1-оксопропан-2-ил)карбамоил)пирролидин-1-карбоксилата проводили с использованием методики этапа 4 для соединения (1313), за исключением очистки методом препаративной ВЭЖХ (ACN/H2O+TFA), с получением указанного в заголовке соединения в виде белого порошка (7 мг, 13% выход).

Пример 240. Получение (S)-N-((6-амино-2-метилпиридин-3-ил)метил)-1-((2R,4S)-4-(4-бромбензил)пирролидин-2-карбонил)азетидин-2-карбоксамида ди-трифторацетатной соли (1438)

(S)-N-((6-амино-2-метилпиридин-3-ил)метил)-1-((2R,4S)-4-(4-бромбензил)пирролидин-2-карбонил)азетидин-2-карбоксамида ди-трифторацетатную соль синтезировали в соответствии с методиками для соединения (1451), за исключением того, что на этапе 5 раствор 6 Н HCl в iPrOH использовали для снятия защиты группы Boc и присоединение амида проводили с использованием HATU.

К (S)-N-((6-амино-2-метилпиридин-3-ил)метил)азетидин-2-карбоксамида гидрохлориду (27 мг, 0,11 ммоль), (2R,4S)-4-(4-бромбензил)-1-(трет-бутоксикарбонил)пирролидин-2-карбоновой кислоте (0,11 ммоль), DIEA (100 мкл, 0,55 ммоль) в DMF (370 мкл, 0,3 M) добавляли HATU (63 мг, 0,17 ммоль) с перемешиванием при температуре окружающей среды, контролируя расход исходного материала (16 ч). Раствор разбавляли EtOAc, экстрагировали насыщенным водным раствором NH4Cl. Водный слой экстрагировали еще 2 раза, затем органический слой промывали H2O, затем рассолом, сушили над Na2SO4 и выпаривали до сухого состояния. Полученный осадок очищали на колонке с амином, используя EtOAc, затем MeOH/CH2Cl2, с получением трет-бутил(2R,4S)-2-((S)-2-(((6-амино-2-метилпиридин-3-ил)метил)карбамоил)азетидин-1-карбонил)-4-(4-бромбензил)пирролидин-1-карбоксилат (33 мг, 54% выход) в виде не совсем белой пленки.

Пример 241. Получение 4-((2R,4S)-2-(((S)-1-(((6-амино-2-метилпиридин-3-ил)метил)амино)-1-оксопропан-2-ил)карбамоил)-4-фенилпиперидин-1-ил)бутановой кислоты трифторацетатной соли (1439)

4-((2R,4S)-2-(((S)-1-(((6-амино-2-метилпиридин-3-ил)метил)амино)-1-оксопропан-2-ил)карбамоил)-4-фенилпиперидин-1-ил)бутановой кислоты трифторацетатную соль синтезировали в соответствии с методиками для соединения (1411) с использованием соответствующего сложного бромэфира.

Пример 242. Получение этил-4-((2R,4S)-2-(((S)-1-(((6-амино-2-метилпиридин-3-ил)метил)амино)-1-оксопропан-2-ил)карбамоил)-4-фенилпиперидин-1-ил)бутаноата (1439)

Этил-4-((2R,4S)-2-(((S)-1-(((6-амино-2-метилпиридин-3-ил)метил)амино)-1-оксопропан-2-ил)карбамоил)-4-фенилпиперидин-1-ил)бутаноат синтезировали в соответствии с методиками для соединения (1411), этап 1, с использованием соответствующего сложного бромэфира, за исключением того, что конечный продукт очищали на колонке с амином (100% EtOAc).

Пример 243. Получение (2R,4S)-N-((S)-1-(((6-амино-2-метилпиридин-3-ил)метил)амино)-1-оксопропан-2-ил)-1-метил-4-фенилпиперидин-2-карбоксамида (1441)

К перемешиваемому раствору (2R,4S)-N-((S)-1-(((6-амино-2-метилпиридин-3-ил)метил)амино)-1-оксопропан-2-ил)-4-фенилпиперидин-2-карбоксамида ди-трифторацетатной соли (100 мг, 0,16 ммоль) в CH2Cl2 (2 мл) и NEt3 (0,1 мл) добавляли метилиодид (0,048 мл, 0,8 ммоль) в атмосфере Ar. После перемешивания в течение 18 ч при температуре окружающей среды реакционную смесь концентрировали и очищали на колонке с амином (100% EtOAc), с получением (2R,4S)-N-((S)-1-(((6-амино-2-метилпиридин-3-ил)метил)амино)-1-оксопропан-2-ил)-1-метил-4-фенилпиперидин-2-карбоксамида (22 мг, 34% выход).

Пример 244. Получение (2R,4R)-N-((S)-1-(((3-хлор-1-метил-1H-пирроло[2,3-b]пиридин-5-ил)метил)амино)-1-оксопропан-2-ил)-4-фенилпирролидин-2-карбоксамида дигидрохлорида (1441)

Этап 1: Раствор 3-хлор-1H-пирроло[2,3-b]пиридин-5-карбонитрила (215 мг, 1,21 ммоль; описанный для соединения (1329)) в безводном DMF (7 мл) добавляли к ледяной суспензии NaH (60% в масле; 538 мг, 13,4 ммоль) в безводном DMF (2 мл) в атмосфере Ar. Смесь оставляли нагреваться до температуры окружающей среды. После перемешивания в течение 30 мин смесь охлаждали в ледяной бане и добавляли иодметан (0,22 мкл, 3,5 ммоль) в течение 5 мин. Смесь медленно нагревали до температуры окружающей среды, перемешивали 3 ч, затем охлаждали в ледяной бане. Реакционную смесь гасили H2O, затем добавляли EtOAc. Слои разделяли. Водный слой экстрагировали EtOAc, и объединенные органические слои промывали рассолом, сушили (Na2SO4) и концентрировали в вакууме. Очистка хроматографией (10-35% EtOAc-гексаны) приводила к получению 3-хлор-1-метил-1H-пирроло[2,3-b]пиридин-5-карбонитрила (226 мг, 97% выход).

Этапы 2-3: 3-хлор-1-метил-1H-пирроло[2,3-b]пиридин-5-карбонитрил восстанавливали с использованием двухэтапной методики, описанной для соединения (1329)), с получением (3-хлор-1-метил-1H-пирроло[2,3-b]пиридин-5-ил)метанамина дигидрохлорида (75 мг, 54% за два этапа).

Этап 4: ((2R,4R)-1-(трет-бутоксикарбонил)-4-фенилпирролидин-2-карбонил)-L-аланин присоединяли к (3-хлор-1-метил-1H-пирроло[2,3-b]пиридин-5-ил)метанамину дигидрохлориду в соответствии с методикой для соединения (1280), этап 4, с получением трет-бутил(2R,4R)-2-(((S)-1-(((3-хлор-1-метил-1H-пирроло[2,3-b]пиридин-5-ил)метил)амино)-1-оксопропан-2-ил)карбамоил)-4-фенилпирролидин-1-карбоксилата (35 мг, 64% выход).

Этап 5: С трет-бутил(2R,4R)-2-(((S)-1-(((3-хлор-1-метил-1H-пирроло[2,3-b]пиридин-5-ил)метил)амино)-1-оксопропан-2-ил)карбамоил)-4-фенилпирролидин-1-карбоксилата снимали защиту в соответствии с методикой для соединения (1323), этап 3, с получением (2R,4R)-N-((S)-1-(((3-хлор-1-метил-1H-пирроло[2,3-b]пиридин-5-ил)метил)амино)-1-оксопропан-2-ил)-4-фенилпирролидин-2-карбоксамида дигидрохлорида (30,9 мг, 93% выход).

Пример 245. Получение (2R,4S)-N-((S)-1-(((6-амино-2-метилпиридин-3-ил)метил)амино)-1-оксопропан-2-ил)-4-(2,4-дихлорбензил)пирролидин-2-карбоксамида дигидрохлорида (1443)

(2R,4S)-N-((S)-1-(((6-амино-2-метилпиридин-3-ил)метил)амино)-1-оксопропан-2-ил)-4-(2,4-дихлорбензил)пирролидин-2-карбоксамид дигидрохлорид синтезировали в соответствии с методиками для соединения (1328).

Пример 246. Получение (2R,4S)-N-((S)-1-(((6-амино-2-метилпиридин-3-ил)метил)амино)-1-оксопропан-2-ил)-4-(2,5-дихлорбензил)пирролидин-2-карбоксамида дигидрохлорида (1444)

(2R,4S)-N-((S)-1-(((6-амино-2-метилпиридин-3-ил)метил)амино)-1-оксопропан-2-ил)-4-(2,5-дихлорбензил)пирролидин-2-карбоксамид дигидрохлорид синтезировали в соответствии с методиками для соединения (1328).

Пример 247. Получение (2R,4S)-N-((S)-1-(((6-амино-2-метилпиридин-3-ил)метил)амино)-1-оксопропан-2-ил)-4-(4-бромфенокси)пирролидин-2-карбоксамида дигидрохлорида (1445)

Этап 1: К перемешиваемому раствору 2-бензил-1-(трет-бутил)-(2R,4R)-4-гидроксипирролидин-1,2-дикарбоксилата (410 мг, 1,27 ммоль), 4-бромфенола (242 мг, 1,39 ммоль) и TPP (367 мг, 1,39 ммоль) в THF (6,35 мл) добавляли DIAD (0,27 мл, 1,39 ммоль) при температуре окружающей среды в атмосфере Ar. Смесь перемешивали при температуре окружающей среды в течение ночи. После удаления растворителя полученный осадок очищали хроматографией, используя EtOAc-гексаны, с получением 2-бензил-1-(трет-бутил)-(2R,4S)-4-(4-бромфенокси)пирролидин-1,2-дикарбоксилата (533 мг, 88% выход) в виде бесцветного твердого вещества.

Этап 2: (2R,4S)-4-(4-бромфенокси)-1-(трет-бутоксикарбонил)пирролидин-2-карбоновую кислоту синтезировали из 2-бензил-1-(трет-бутил)-(2R,4S)-4-(4-бромфенокси)пирролидин-1,2-дикарбоксилата в соответствии с методиками для соединения (1328), этап 1.

Этап 3: (2R,4S)-N-((S)-1-(((6-амино-2-метилпиридин-3-ил)метил)амино)-1-оксопропан-2-ил)-4-(4-бромфенокси)пирролидин-2-карбоксамид дигидрохлорид синтезировали из (2R,4S)-4-(4-бромфенокси)-1-(трет-бутоксикарбонил)пирролидин-2-карбоновой кислоты в соответствии с методиками для соединения (1304), этап 7 и этап 8.

Пример 248. Получение (2R,4S)-N-((S)-1-(((6-амино-2-метилпиридин-3-ил)метил)амино)-1-оксопропан-2-ил)-4-феноксипирролидин-2-карбоксамида дигидрохлорида (1446)

(2R,4S)-N-((S)-1-(((6-амино-2-метилпиридин-3-ил)метил)амино)-1-оксопропан-2-ил)-4-феноксипирролидин-2-карбоксамид дигидрохлорид синтезировали из (2R,4S)-N-((S)-1-(((6-амино-2-метилпиридин-3-ил)метил)амино)-1-оксопропан-2-ил)-4-(4-бромфенокси)пирролидин-2-карбоксамида дигидрохлорида в соответствии с методиками для соединения (1304), этап 4.

Пример 249. Получение (2R,4S)-N-((S)-1-(((6-амино-2-метилпиридин-3-ил)метил)амино)-1-оксопропан-2-ил)-4-(4-фторбензил)пирролидин-2-карбоксамида ди-трифторацетатной соли (1447)

(2R,4S)-N-((S)-1-(((6-амино-2-метилпиридин-3-ил)метил)амино)-1-оксопропан-2-ил)-4-(4-фторбензил)пирролидин-2-карбоксамида ди-трифторацетатную соль синтезировали в соответствии с методиками для соединения (1304).

Пример 250. Получение (2R,4S)-4-бензил-N-((S)-1-((3,5-дихлор-2-гидроксибензил)амино)-1-оксопропан-2-ил)пирролидин-2-карбоксамида, гидрохлорида (1448)

Этапы 1-2: Указанное в заголовке соединение синтезировали в соответствии с методиками этапов 1-2 для соединения (1246) с использованием соответствующих исходных материалов, за исключением очистки на колонке (смесь MeOH/CH2Cl2, содержащая 2,5% 7 Н NH3-MeOH), с последующей обработкой 1 M HCl и лиофилизацией (10 мг, 19% выход за два этапа).

Пример 251. Получение (2R,4S)-N-((S)-1-(((6-амино-2-метилпиридин-3-ил)метил)амино)-1-оксопропан-2-ил)-4-(бензо[c][1,2,5]тиадиазол-5-илметил)пирролидин-2-карбоксамида ди-трифторацетатной соли (1449)

Этап 1: 2-бензил-1-(трет-бутил)-(2R,4S)-4-(бензо[c][1,2,5]тиадиазол-5-илметил)пирролидин-1,2-дикарбоксилат синтезировали в соответствии с методикой для соединения (1304).

Этап 2: К раствору 2-бензил-1-(трет-бутил)-(2R,4S)-4-(бензо[c][1,2,5]тиадиазол-5-илметил)пирролидин-1,2-дикарбоксилата (141,4 мг, 0,311 ммоль) в THF (7,2 мл) и MeOH (3,6 мл) добавляли воду (3,6 мл), с последующим добавлением LiOH (117,0 мг, 4,89 ммоль). После продувания N2 реакционную смесь перемешивали при комнатной температуре в течение 16 ч, разбавляли водой и промывали EtOAc. Органический слой отбрасывали. Водный слой доводили до pH 3 путем медленного добавления 1 M раствора KHSO4 и экстрагировали EtOAc (3 раза). Органические слои объединяли, промывали 5% раствором NaHCO3, промывали рассолом, сушили (Na2SO4), фильтровали в вакууме и выпаривали в вакууме, с получением неочищенной (2R,4S)-4-(бензо[c][1,2,5]тиадиазол-5-илметил)-1-(трет-бутоксикарбонил)пирролидин-2-карбоновой кислоты.

Этап 3: К неочищенной (2R,4S)-4-(бензо[c][1,2,5]тиадиазол-5-илметил)-1-(трет-бутоксикарбонил)пирролидин-2-карбоновой кислоте в DMF (5,2 мл) добавляли NHS (45,0 мг, 0,391 ммоль) и DCC (72,0 мг, 0,349 ммоль). После продувания N2 реакционную смесь перемешивали при комнатной температуре в течение 45 мин и добавляли (S)-2-амино-N-((6-амино-2-метилпиридин-3-ил)метил)пропанамид (81,0 мг, 0,389 ммоль). Реакционную смесь перемешивали при комнатной температуре в течение 16 ч и выпаривали при пониженном давлении до сухого состояния. Неочищенный продукт растворяли в CH2Cl2 и адсорбировали на силикагеле. Очистка хроматографией (0-10% MeOH-CH2Cl2) приводила к получению трет-бутил-(2R,4S)-2-(((S)-1-(((6-амино-2-метилпиридин-3-ил)метил)амино)-1-оксопропан-2-ил)карбамоил)-4-(бензо[c][1,2,5]тиадиазол-5-илметил)пирролидин-1-карбоксилата.

Этап 4: Снятие защиты с трет-бутил(2R,4S)-2-(((S)-1-(((6-амино-2-метилпиридин-3-ил)метил)амино)-1-оксопропан-2-ил)карбамоил)-4-(бензо[c][1,2,5]тиадиазол-5-илметил)пирролидин-1-карбоксилата проводили в соответствии с методикой для соединения (1427), этап 7, за исключением очистки методом обращенно-фазовой ВЭЖХ (5-75% MeCN-H2O), с получением (2R,4S)-N-((S)-1-(((6-амино-2-метилпиридин-3-ил)метил)амино)-1-оксопропан-2-ил)-4-(бензо[c][1,2,5]тиадиазол-5-илметил)пирролидин-2-карбоксамида ди-трифторацетатной соли.

Пример 252. Получение (2R,4S)-4-бензил-N-((S)-1-(((3-хлор-1-метил-1H-пирроло[2,3-b]пиридин-5-ил)метил)амино)-1-оксопропан-2-ил)пирролидин-2-карбоксамида дигидрохлорида (1450)

Этап 1: К раствору ((2R,4S)-4-бензилпирролидин-2-карбонил)-L-аланина (70,2 мг, 0,187 ммоль) и NHS (25 мг, 0,22 ммоль) в CH2Cl2 (3,5 мл) добавляли DCC (24 мг, 0,12 ммоль). После перемешивания в течение 30 мин к реакционной смеси добавляли смесь (3-хлор-1-метил-1H-пирроло[2,3-b]пиридин-5-ил)метанамина дигидрохлорида (55 мг, 0,24 ммоль) в CH2Cl2 (2 мл) и насыщенного NaHCO3 (3 мл). После перемешивания в течение 30 мин реакционную смесь разбавляли 5% MeOH-CH2Cl2 и промывали насыщенным NaHCO3 3x, сушили (Na2SO4) и концентрировали в вакууме. Очистка (0-10% MeOH-CH2Cl2; затем 50-100% EtOAc-гексаны) приводила к получению трет-бутил(2R,4S)-4-бензил-2-(((S)-1-(((3-хлор-1-метил-1H-пирроло[2,3-b]пиридин-5-ил)метил)амино)-1-оксопропан-2-ил)карбамоил)пирролидин-1-карбоксилата (67,8 мг, 66% выход).

Этап 2: К раствору трет-бутил(2R,4S)-4-бензил-2-(((S)-1-(((3-хлор-1-метил-1H-пирроло[2,3-b]пиридин-5-ил)метил)амино)-1-оксопропан-2-ил)карбамоил)пирролидин-1-карбоксилата (66 мг, 0,12 ммоль) в MeOH (2 мл) добавляли 3 M HCl-MeOH (5 мл). Смесь перемешивали в течение 2 ч, затем добавляли 6-7 M HCl-iPrOH (3 мл). После перемешивания в течение 45 мин реакционную смесь концентрировали в вакууме. Осадок растворяли в MeCN-H2O, фильтровали (0,2 мкМ шприцевой фильтр) и лиофилизировали, с получением (2R,4S)-4-бензил-N-((S)-1-(((3-хлор-1-метил-1H-пирроло[2,3-b]пиридин-5-ил)метил)амино)-1-оксопропан-2-ил)пирролидин-2-карбоксамида дигидрохлорида (55 мг, 85% выход).

Пример 253. Получение (2R,4S)-N-((S)-1-(((6-амино-2-метилпиридин-3-ил)метил)амино)-1-оксопропан-2-ил)-4-(3-бром-4-хлорбензил)пирролидин-2-карбоксамида ди-трифторацетатной соли (1451)

(2R,4S)-N-((S)-1-(((6-амино-2-метилпиридин-3-ил)метил)амино)-1-оксопропан-2-ил)-4-(3-бром-4-хлорбензил)пирролидин-2-карбоксамида ди-трифторацетатную соль синтезировали в соответствии с методиками для соединения (1424), за исключением того, что на этапе 4 снимали защиту сложного эфира в соответствии с методикой, описанной ниже. Кроме того, указанное в заголовке соединение не очищали методом препаративной ВЭЖХ.

К 2-бензил1-(трет-бутил)(2R,4S)-4-(3-бром-4-хлорбензил)пирролидин-1,2-дикарбоксилату (50 мг, 0,1 ммоль) в THF (2 мл, 0,05 M), MeOH (1 мл, 0,1 M), H2O (1 мл, 0,1 M) добавляли LiOH⋅H2O (66 мг, 1,5 ммоль) с перемешиванием при температуре окружающей среды, контролируя расход исходного материала (16 ч). Раствор доводили до pH 3 при помощи 1 Н HCl, экстрагировали 3x EtOAc, затем сушили над Na2SO4 и выпаривали до сухого состояния. Полученный осадок использовали в дальнейшем без дополнительной очистки.

Пример 254. Получение (2R,4S)-N-((S)-1-(((6-амино-2-метилпиридин-3-ил)метил)амино)-1-оксопропан-2-ил)-4-(3-бромбензил)пирролидин-2-карбоксамида дигидрохлорида (1452)

(2R,4S)-N-((S)-1-(((6-амино-2-метилпиридин-3-ил)метил)амино)-1-оксопропан-2-ил)-4-(3-бромбензил)пирролидин-2-карбоксамид дигидрохлорид синтезировали в соответствии с методиками для соединения (1328).

Пример 255. Получение (2R,4S)-N-((S)-1-(((6-амино-2-метилпиридин-3-ил)метил)амино)-1-оксопропан-2-ил)-4-((6-метоксинафтален-2-ил)метил)пирролидин-2-карбоксамида дигидрохлорида (1453)

(2R,4S)-N-((S)-1-(((6-амино-2-метилпиридин-3-ил)метил)амино)-1-оксопропан-2-ил)-4-((6-метоксинафтален-2-ил)метил)пирролидин-2-карбоксамид дигидрохлорид синтезировали в соответствии с методиками для соединения (1304).

Пример 256. Получение (2R,4R)-N-((S)-1-(((6-амино-2-метилпиридин-3-ил)метил)амино)-1-оксопропан-2-ил)-4-((5-хлортиофен-2-ил)метил)пирролидин-2-карбоксамида дигидрохлорида (1454)

(2R,4R)-N-((S)-1-(((6-амино-2-метилпиридин-3-ил)метил)амино)-1-оксопропан-2-ил)-4-((5-хлортиофен-2-ил)метил)пирролидин-2-карбоксамид дигидрохлорид синтезировали в соответствии с методиками для соединения (1304), за исключением того, что снятие защиты бензила (этап 4) выполняли, следуя методике с LiOH , как описано для соединения (1399).

Пример 257. Получение (2R,4S)-N-((S)-1-(((6-амино-2-метилпиридин-3-ил)метил)амино)-1-оксопропан-2-ил)-4-(3-хлор-4-(трифторметокси)бензил)пирролидин-2-карбоксамида ди-трифторацетатной соли (1455)

(2R,4S)-N-((S)-1-(((6-амино-2-метилпиридин-3-ил)метил)амино)-1-оксопропан-2-ил)-4-(3-хлор-4-(трифторметокси)бензил)пирролидин-2-карбоксамида ди-трифторацетатную соль синтезировали в соответствии с методиками для соединения (1328).

Пример 258. Получение (2R,4R)-N-((S)-1-((5-хлор-2-гидрокси-3-метилбензил)амино)-1-оксопропан-2-ил)-4-((5-хлортиофен-2-ил)метил)пирролидин-2-карбоксамида дигидрохлорида (1456)

(2R,4R)-N-((S)-1-((5-хлор-2-гидрокси-3-метилбензил)амино)-1-оксопропан-2-ил)-4-((5-хлортиофен-2-ил)метил)пирролидин-2-карбоксамид дигидрохлорид синтезировали в соответствии с методиками для соединения (1304), за исключением того, что (S)-2-амино-N-(5-хлор-2-гидрокси-3-метилбензил)пропенамид использовали на этапе 7 и снятие защиты бензила (этап 4) выполняли, следуя методике с LiOH, как описано для соединения (1399).

Пример 259. Получение (2R,4R)-N-((S)-1-(((5-хлорхинолин-3-ил)метил)амино)-1-оксопропан-2-ил)-4-фенилпирролидин-2-карбоксамида (1457)

Этапы 1-2: Указанное в заголовке соединение синтезировали в виде бежевого порошка в соответствии с методиками этапов 3-4 для соединения 1119 с использованием соответствующих исходных материалов (8,1 мг, 12% выход за два этапа).

Пример 260. Получение (2R,4R)-N-((S)-1-(((6-амино-2-метилпиридин-3-ил)метил)амино)-1-оксопропан-2-ил)-4-(бензо[b]тиофен-2-илметил)пирролидин-2-карбоксамида ди-трифторацетатной соли (1458)

(2R,4R)-N-((S)-1-(((6-амино-2-метилпиридин-3-ил)метил)амино)-1-оксопропан-2-ил)-4-(бензо[b]тиофен-2-илметил)пирролидин-2-карбоксамида ди-трифторацетатную соль синтезировали в соответствии с методиками для соединения (1451).

Пример 261. Получение (2R,4S)-N-((S)-1-(((6-амино-2-метилпиридин-3-ил)метил)амино)-1-оксопропан-2-ил)-4-(3-хлор-4-фторбензил)пирролидин-2-карбоксамида ди-трифторацетатной соли (1459)

(2R,4S)-N-((S)-1-(((6-амино-2-метилпиридин-3-ил)метил)амино)-1-оксопропан-2-ил)-4-(3-хлор-4-фторбензил)пирролидин-2-карбоксамида ди-трифторацетатную соль синтезировали в соответствии с методиками для соединения (1328).

Пример 262. Получение (2R,4R)-N-((S)-1-(((6-амино-2-метилпиридин-3-ил)метил)амино)-1-оксопропан-2-ил)-4-((5-хлорбензо[d]тиазол-2-ил)метил)пирролидин-2-карбоксамида ди-трифторацетатной соли (1460)

(2R,4R)-N-((S)-1-(((6-амино-2-метилпиридин-3-ил)метил)амино)-1-оксопропан-2-ил)-4-((5-хлорбензо[d]тиазол-2-ил)метил)пирролидин-2-карбоксамида ди-трифторацетатную соль синтезировали в соответствии с методиками для соединения (1328), за исключением того, что конечный продукт очищали с использованием обращенно-фазовой ВЭЖХ.

Пример 263. Получение (2R,4S)-N-((S)-1-(((6-амино-2-метилпиридин-3-ил)метил)амино)-1-оксопропан-2-ил)-4-((5-хлортиофен-3-ил)метил)пирролидин-2-карбоксамида дигидрохлорида (1461)

(2R,4S)-N-((S)-1-(((6-амино-2-метилпиридин-3-ил)метил)амино)-1-оксопропан-2-ил)-4-((5-хлортиофен-3-ил)метил)пирролидин-2-карбоксамид дигидрохлорид синтезировали в соответствии с методиками для соединения (1304), за исключением того, что снятие защиты бензила (этап 4) выполняли, следуя методике с LiOH, как описано для соединения (1399).

Пример 264. Получение (2R,4R)-N-((S)-1-(((5-бром-1H-индазол-7-ил)метил)амино)-1-оксопропан-2-ил)-4-фенилпирролидин-2-карбоксамида (1462)

Этап 1: (5-бром-1H-индазол-7-ил)метанол (62 мг, 0,2 ммоль) растворяли в CH2Cl2 (2 мл) и обрабатывали PBr3 (20 мкл, 0,21 ммоль), затем перемешивали при температуре окружающей среды в течение ночи. Реакционную смесь разбавляли CH2Cl2 и промывали H2O и рассолом, затем сушили над Na2SO4 и концентрировали, с получением 5-бром-7-(бромметил)-1H-индазола в виде белого твердого вещества (58 мг, количественный выход).

Этап 2: В 50-мл круглодонную колбу вносили 5-бром-7-(бромметил)-1H-индазол (58 мг, 0,2 ммоль), калий фталимид (37 мг, 0,2 ммоль) и DMF (2 мл), затем перемешивали при температуре окружающей среды в течение ночи. После завершения реакционную смесь концентрировали и очищали хроматографией, с получением 2-((5-бром-1H-индазол-7-ил)метил)изоиндолин-1,3-диона в виде белого твердого вещества (13 мг, 18% выход).

Этап 3 : 2-((5-бром-1H-индазол-7-ил)метил)изоиндолин-1,3-дион (13 мг, 0,04 ммоль) растворяли в EtOH (1 мл) и обрабатывали гидразин гидратом. Через 4 ч при температуре окружающей среды реакционную смесь концентрировали, растворяли в 3 Н HCl, фильтровали через шприцевой фильтр (0,2 мкМ) и концентрировали в вакууме, с получением (5-бром-1H-индазол-7-ил)метанамина, гидрохлорида в виде белого твердого вещества (10 мг, количественный выход).

Этап 4: Указанное в заголовке соединение синтезировали в виде белого твердого вещества (6,2 мг, 35% выход за два этапа) в соответствии с методиками этапов 1-2 для соединения (1246) с использованием соответствующих исходных материалов, за исключением очистки методом препаративной ВЭЖХ (ACN/H2O +TFA).

Пример 265. Получение (2R,4R)-N-((S)-1-(((1H-пирроло[3,2-c]пиридин-2-ил)метил)амино)-1-оксопропан-2-ил)-4-фенилпирролидин-2-карбоксамида ди-трифторацетатной соли (1463)

Этап 1: Трет-бутил(2R,4R)-2-(((S)-1-(((1H-пирроло[3,2-c]пиридин-2-ил)метил)амино)-1-оксопропан-2-ил)карбамоил)-4-фенилпирролидин-1-карбоксилат (49 мг, 48% выход) синтезировали из (1H-пирроло[3,2-c]пиридин-2-ил)метанамина в соответствии с методикой для соединения (1358), этап 2.

Этап 2: Снятие защиты трет-бутил(2R,4R)-2-(((S)-1-(((1H-пирроло[3,2-c]пиридин-2-ил)метил)амино)-1-оксопропан-2-ил)карбамоил)-4-фенилпирролидин-1-карбоксилата (49 мг, 0,1 ммоль) проводили в соответствии с методикой для соединения (1260), этап 4.

Пример 266. Получение (2R,4S)-N-((S)-1-(((6-амино-2-метилпиридин-3-ил)метил)амино)-1-оксопропан-2-ил)-4-(3-бром-4-хлорбензил)-1-этилпирролидин-2-карбоксамида (1464)

К (2R,4S)-N-((S)-1-(((6-амино-2-метилпиридин-3-ил)метил)амино)-1-оксопропан-2-ил)-4-(3-бром-4-хлорбензил)пирролидин-2-карбоксамида дитрифторацетату (20 мг, 0,027 ммоль) в NEt3 (20 мкл, 1,6 M) и CH2Cl2 (340 мкл, 0,08 M) добавляли этилбромид (10 мкл, 0,135 ммоль) с перемешиванием при температуре окружающей среды, контролируя расход исходного материала (3 д). Раствор концентрировали и выпаривали до сухого состояния. Полученный осадок очищали на колонке с амином, используя EtOAc, затем MeOH/CH2Cl2, с получением (2R,4S)-N-((S)-1-(((6-амино-2-метилпиридин-3-ил)метил)амино)-1-оксопропан-2-ил)-4-(3-бром-4-хлорбензил)-1-этилпирролидин-2-карбоксамида (4,6 мг, 32% выход) в виде не совсем белого твердого вещества.

Пример 267. Получение (S)-N-((6-амино-2-метилпиридин-3-ил)метил)-1-((2R,4S)-4-(4-бромбензил)пирролидин-2-карбонил)пирролидин-2-карбоксамида ди-трифторацетатной соли (1465)

(S)-N-((6-амино-2-метилпиридин-3-ил)метил)-1-((2R,4S)-4-(4-бромбензил)пирролидин-2-карбонил)пирролидин-2-карбоксамида дитрифторацетат синтезировали в соответствии с методиками для соединения (1438), за исключением того, что на этапе 5 DMF использовали в качестве растворителя вместо CH2Cl2 для присоединения DCC, и TFA (20 экв.) в CH2Cl2 (0,2 M) использовали для снятия защиты группы Boc.

Пример 268. Получение (2R,4S)-N-((S)-1-(((6-амино-2-метилпиридин-3-ил)метил)амино)-1-оксопропан-2-ил)-4-(4-бром-3-хлорбензил)пирролидин-2-карбоксамида ди-трифторацетатной соли (1466)

(2R,4S)-N-((S)-1-(((6-амино-2-метилпиридин-3-ил)метил)амино)-1-оксопропан-2-ил)-4-(4-бром-3-хлорбензил)пирролидин-2-карбоксамида ди-трифторацетатную соль синтезировали в соответствии с методиками для соединения (1451).

Пример 269. Получение (S)-N-(1-(((6-амино-2-метилпиридин-3-ил)метил)амино)-1-оксопропан-2-ил)-4-бензил-1H-пиррол-2-карбоксамида трифторуксусной кислоты (1467)

К раствору, состоящему из 4-бензил-1H-пиррол-2-карбоновой кислоты (25 мг, 0,13 ммоль) и HATU (53 мг, 0,14 ммоль) в безводном DMF (1 мл), добавляли DIEA (60 мкл, 0,34 ммоль). Реакционную смесь перемешивали в течение 30 мин при температуре окружающей среды, затем к реакционной смеси добавляли (S)-2-амино-N-((6-амино-2-метилпиридин-3-ил)метил)пропанамид гидрохлорид (28 мг, 0,11 ммоль) и перемешивали в течение ночи. Реакционную смесь подкисляли добавлением TFA (100 мкл), и неочищенную реакционную смесь очищали методом обращенно-фазовой ВЭЖХ, с получением (S)-N-(1-(((6-амино-2-метилпиридин-3-ил)метил)амино)-1-оксопропан-2-ил)-4-бензил-1H-пиррол-2-карбоксамида трифторуксусной кислоты (17,2 мг, 30%) в виде светлого желто-коричневого твердого вещества.

Пример 270. Получение (2R,4S)-N-((S)-1-(((3-хлор-1H-пирроло[2,3-b]пиридин-5-ил)метил)амино)-1-оксопропан-2-ил)-4-((2-метилпиридин-4-ил)метил)пирролидин-2-карбоксамида трифторацетата (1468)

Этап 1: 2-бензил-1-(трет-бутил)-(2R,4S)-4-((2-метилпиридин-4-ил)метил)-5-оксопирролидин-1,2-дикарбоксилат синтезировали в соответствии с методикой этапа 1 для соединения (1304) с использованием соответствующих исходных материалов (113 мг, 24% выход).

Этап 2: 2-Бензил 1-(трет-бутил)-(2R,4S)-5-гидрокси-4-((2-метилпиридин-4-ил)метил)пирролидин-1,2-дикарбоксилат синтезировали в виде бесцветного масла в соответствии с методикой этапа 2 для соединения (1304), за исключением того, что неочищенный продукт фильтровали через диатомовую землю (101 мг, 87% выход).

Этап 3: 2-бензил-1-(трет-бутил)-(2R,4S)-4-((2-метилпиридин-4-ил)метил)пирролидин-1,2-дикарбоксилат синтезировали в виде бесцветного масла в соответствии с методикой этапа 3 для соединения (1304) (52 мг, 62% выход).

Этап 4: (2R,4S)-1-(трет-бутоксикарбонил)-4-((2-метилпиридин-4-ил)метил)пирролидин-2-карбоновую кислоту синтезировали в виде бесцветного масла в соответствии с методикой этапа 4 для соединения (1304) (41 мг, 98% выход).

Этапы 5-6: Указанное в заголовке соединение синтезировали в виде светло-розового твердого вещества в соответствии с методиками этапов 5-6 для соединения (1304), за исключением очистки методом препаративной ВЭЖХ (ACN/H2O +TFA) (16,8 мг, 40% выход за два этапа).

Пример 271. Получение (2R,4S)-N-((S)-1-(((6-амино-2-метилпиридин-3-ил)метил)амино)-1-оксопропан-2-ил)-4-((2-метилпиридин-4-ил)метил)пирролидин-2-карбоксамида дигидрохлорида (1469)

Этапы 1-2: Указанное в заголовке соединение синтезировали в виде бежевого порошка в соответствии с методиками этапов 5-6 для соединения (1304) (15,4 мг, 75% выход за два этапа).

Пример 272. Получение (2R,4S)-N-((S)-1-(((6-амино-2-метилпиридин-3-ил)метил)амино)-1-оксопропан-2-ил)-4-(бензо[c][1,2,5]оксадиазол-5-илметил)пирролидин-2-карбоксамида ди-трифторацетатной соли (1470)

(2R,4S)-N-((S)-1-(((6-амино-2-метилпиридин-3-ил)метил)амино)-1-оксопропан-2-ил)-4-(бензо[c][1,2,5]оксадиазол-5-илметил)пирролидин-2-карбоксамида ди-трифторацетатную соль синтезировали в соответствии с методикой для соединения (1449), этап 1-4.

Пример 273. Получение (2R,4R)-N-((S)-1-оксо-1-((тиено[2,3-b]пиридин-5-илметил)амино)пропан-2-ил)-4-фенилпирролидин-2-карбоксамида трифторацетатной соли (1471) (69)

Этап 1: Тиено[2,3-b]пиридин-5-илметанамин (97 мг, 95% выход) синтезировали из тиено[2,3-b]пиридин-5-карбонитрила (100 мг, 0,62 ммоль) в соответствии с методикой для соединения (1358), этап 1.

Этап 2: Трет-бутил(2R,4R)-2-(((S)-1-оксо-1-((тиено[2,3-b]пиридин-5-илметил)амино)пропан-2-ил)карбамоил)-4-фенилпирролидин-1-карбоксилат (120 мг, 91% выход) синтезировали из тиено[2,3-b]пиридин-5-илметанамина (50 мг, 0,34 ммоль) в соответствии с методикой для соединения (1358), этап 2.

Этап 3: Снятие защиты трет-бутил(2R,4R)-2-(((S)-1-оксо-1-((тиено[2,3-b]пиридин-5-илметил)амино)пропан-2-ил)карбамоил)-4-фенилпирролидин-1-карбоксилата (120 мг, 0,29 ммоль) проводили в соответствии с методикой для соединения (1260), этап 4, за исключением того, что конечный продукт очищали с использованием обращенно-фазовой ВЭЖХ.

Пример 274. Получение (2R,4S)-N-((S)-1-(((1H-пирроло[3,2-c]пиридин-2-ил)метил)амино)-1-оксопропан-2-ил)-4-бензилпирролидин-2-карбоксамида ди-трифторацетатной соли (1472)

Этап 1: Трет-бутил(2R,4S)-2-(((S)-1-(((1H-пирроло[3,2-c]пиридин-2-ил)метил)амино)-1-оксопропан-2-ил)карбамоил)-4-бензилпирролидин-1-карбоксилат (36 мг, 33% выход) синтезировали из (1H-пирроло[3,2-c]пиридин-2-ил)метанамина и (2R,4S)-4-бензил-1-(трет-бутоксикарбонил)пирролидин-2-карбоновой кислоты (80 мг, 0,21 ммоль, полученной в соответствии с методикой для соединения (1304), этап 1-4, в соответствии с методикой для соединения (1358), этап 2.

Этап 2: Снятие защиты трет-бутил(2R,4S)-2-(((S)-1-(((1H-пирроло[3,2-c]пиридин-2-ил)метил)амино)-1-оксопропан-2-ил)карбамоил)-4-бензилпирролидин-1-карбоксилата (36 мг, 0,07 ммоль) проводили в соответствии с методикой для соединения (1260), этап 4, за исключением того, что конечный продукт очищали с использованием обращенно-фазовой ВЭЖХ.

Пример 275. Получение 3-((2R,4S)-2-(((S)-1-(((6-амино-2-метилпиридин-3-ил)метил)амино)-1-оксопропан-2-ил)карбамоил)-4-(3-хлор-4-фторбензил)пирролидин-1-ил)пропионовой кислоты трифторацетатной соли (1473)

3-((2R,4S)-2-(((S)-1-(((6-амино-2-метилпиридин-3-ил)метил)амино)-1-оксопропан-2-ил)карбамоил)-4-(3-хлор-4-фторбензил)пирролидин-1-ил)пропионовую кислоту синтезировали в соответствии с методиками для соединения (1411) с использованием соответствующего сложного бромэфира.

Пример 276. Получение (2R,4S)-N-((S)-1-(((3-хлор-1-метил-1H-пирроло[2,3-b]пиридин-5-ил)метил)амино)-1-оксопропан-2-ил)-4-(3-хлор-4-фторбензил)пирролидин-2-карбоксамида трифторацетатной соли (1474)

(2R,4S)-N-((S)-1-(((3-хлор-1-метил-1H-пирроло[2,3-b]пиридин-5-ил)метил)амино)-1-оксопропан-2-ил)-4-(3-хлор-4-фторбензил)пирролидин-2-карбоксамида трифторацетатную соль синтезировали в соответствии с методиками для соединения (1476).

Пример 277. Получение (2R,4S)-N-((S)-1-(((6-амино-2-метилпиридин-3-ил)метил)амино)-1-оксопропан-2-ил)-4-(3-хлор-4-метоксибензил)пирролидин-2-карбоксамида ди-трифторацетатной соли (1475)

(2R,4S)-N-((S)-1-(((6-амино-2-метилпиридин-3-ил)метил)амино)-1-оксопропан-2-ил)-4-(3-хлор-4-метоксибензил)пирролидин-2-карбоксамида ди-трифторацетатную соль синтезировали в соответствии с методиками для соединения (1328).

Пример 278. Получение (2R,4S)-N-((S)-1-(((3-хлор-1-метил-1H-пирроло[2,3-b]пиридин-5-ил)метил)амино)-1-оксопропан-2-ил)-4-(3-метилбензил)пирролидин-2-карбоксамида гидрохлорида (1476)

(2R,4S)-N-((S)-1-(((3-хлор-1-метил-1H-пирроло[2,3-b]пиридин-5-ил)метил)амино)-1-оксопропан-2-ил)-4-(3-метилбензил)пирролидин-2-карбоксамид гидрохлорид синтезировали в соответствии с методиками для соединения (1450).

Пример 279. Получение (2R,4S)-N-((S)-1-(((3-хлор-1-метил-1H-пирроло[2,3-b]пиридин-5-ил)метил)амино)-1-оксопропан-2-ил)-4-(3-хлорбензил)пирролидин-2-карбоксамида трифторацетатной соли (1477)

(2R,4S)-N-((S)-1-(((3-хлор-1-метил-1H-пирроло[2,3-b]пиридин-5-ил)метил)амино)-1-оксопропан-2-ил)-4-(3-хлорбензил)пирролидин-2-карбоксамида трифторацетатную соль синтезировали в соответствии с методиками для соединения (1450).

Пример 280. Получение (2R,4S)-N-((S)-1-(((6-амино-2-метилпиридин-3-ил)метил)амино)-1-оксопропан-2-ил)-4-((3-метоксинафтален-2-ил)метил)пирролидин-2-карбоксамида дигидрохлорида (1478)

(2R,4S)-N-((S)-1-(((6-амино-2-метилпиридин-3-ил)метил)амино)-1-оксопропан-2-ил)-4-((3-метоксинафтален-2-ил)метил)пирролидин-2-карбоксамид дигидрохлорид синтезировали в соответствии с методиками для соединения (1304).

Пример 281. Получение (2R,4S)-N-((S)-1-(((6-амино-2-метилпиридин-3-ил)метил)амино)-1-оксопропан-2-ил)-4-((4-метилнафтален-1-ил)метил)пирролидин-2-карбоксамида дигидрохлорида (1479)

(2R,4S)-N-((S)-1-(((6-амино-2-метилпиридин-3-ил)метил)амино)-1-оксопропан-2-ил)-4-((4-метилнафтален-1-ил)метил)пирролидин-2-карбоксамид дигидрохлорид синтезировали в соответствии с методиками для соединения (1304).

Пример 282. Получение (R)-N-((S)-1-(((6-амино-2-метилпиридин-3-ил)метил)амино)-1-оксопропан-2-ил)-4,4-бис(4-фторбензил)пирролидин-2-карбоксамида ди-трифторацетатной соли (1480)

(R)-N-((S)-1-(((6-амино-2-метилпиридин-3-ил)метил)амино)-1-оксопропан-2-ил)-4,4-бис(4-фторбензил)пирролидин-2-карбоксамида ди-трифторацетатную соль синтезировали в соответствии с методиками для соединения (1304).

Пример 283. Получение (2R,4R)-N-((S)-1-(((6-амино-2-метилпиридин-3-ил)метил)амино)-1-оксопропан-2-ил)-4-(1-фенилциклопропил)пирролидин-2-карбоксамида ди-трифторацетатной соли (1481)

Этап 1: (R)-1-(трет-бутоксикарбонил)-4-(1-фенилциклопропил)-2,5-дигидро-1H-пиррол-2-карбоновую кислоту синтезировали из 1-(трет-бутил)-2-метил-(R)-4-оксопирролидин-1,2-дикарбоксилата в соответствии с методиками для соединения (1247), этапы 1-3, используя трифтор(1-фенилциклопропил)борат калия в качестве партнера по связыванию на первом этапе.

Этапы 2-4: (2R,4R)-N-((S)-1-(((6-амино-2-метилпиридин-3-ил)метил)амино)-1-оксопропан-2-ил)-4-(1-фенилциклопропил)пирролидин-2-карбоксамида ди-трифторацетатную соль синтезировали в соответствии с методиками для соединения (1359), этапы 2-4.

Пример 284. Получение (2R,4S)-4-(2-бромбензил)-N-((S)-1-(((3-хлор-1-метил-1H-пирроло[2,3-b]пиридин-5-ил)метил)амино)-1-оксопропан-2-ил)пирролидин-2-карбоксамида гидрохлорида (1482)

(2R,4S)-4-(2-бромбензил)-N-((S)-1-(((3-хлор-1-метил-1H-пирроло[2,3-b]пиридин-5-ил)метил)амино)-1-оксопропан-2-ил)пирролидин-2-карбоксамида гидрохлорид синтезировали в соответствии с методиками для соединения (1450).

Пример 285. Получение (2R,4R)-N-((S)-1-(((6-амино-2-метилпиридин-3-ил)метил)амино)-1-оксопропан-2-ил)-4-((4-бром-5-хлортиофен-2-ил)метил)пирролидин-2-карбоксамида ди-трифторацетатной соли (1483)

(2R,4R)-N-((S)-1-(((6-амино-2-метилпиридин-3-ил)метил)амино)-1-оксопропан-2-ил)-4-((4-бром-5-хлортиофен-2-ил)метил)пирролидин-2-карбоксамида ди-трифторацетатную соль синтезировали в соответствии с методикой для соединения (1449).

Пример 286. Получение 2-((2R,4S)-2-(((S)-1-(((3-хлор-1-метил-1H-пирроло[2,3-b]пиридин-5-ил)метил)амино)-1-оксопропан-2-ил)карбамоил)-4-(3-хлор-4-фторбензил)пирролидин-1-ил)уксусной кислоты трифторацетатной соли (1484)

2-((2R,4S)-2-(((S)-1-(((3-хлор-1-метил-1H-пирроло[2,3-b]пиридин-5-ил)метил)амино)-1-оксопропан-2-ил)карбамоил)-4-(3-хлор-4-фторбензил)пирролидин-1-ил)уксусной кислоты трифторацетатную соль синтезировали в соответствии с методиками для соединения (1411).

Пример 287. Получение (2R,4R)-N-((S)-1-((4-карбамимидоилбензил)амино)-1-оксопропан-2-ил)-4-фенилпиперидин-2-карбоксамида дигидрохлорида (1485)

(2R,4R)-N-((S)-1-((4-карбамимидоилбензил)амино)-1-оксопропан-2-ил)-4-(м-толил)пиперидин-2-карбоксамид синтезировали в соответствии с методиками для соединения 6. Первый УФ-активный материал, элюируемый с колонки, на этапе 1.

Пример 288. Получение (2S,4S)-N-((S)-1-((4-карбамимидоилбензил)амино)-1-оксопропан-2-ил)-4-фенилпиперидин-2-карбоксамида дигидрохлорида (1486)

(2R,4R)-N-((S)-1-((4-карбамимидоилбензил)амино)-1-оксопропан-2-ил)-4-(м-толил)пиперидин-2-карбоксамид синтезировали в соответствии с методиками для соединения 6. Второй УФ-активный материал, элюируемый с колонки, на этапе 1.

Пример 289. Получение (2S,4R)-N-((S)-1-((4-карбамимидоилбензил)амино)-1-оксопропан-2-ил)-4-фенилпиперидин-2-карбоксамида дигидрохлорида (1487)

(2R,4R)-N-((S)-1-((4-карбамимидоилбензил)амино)-1-оксопропан-2-ил)-4-(м-толил)пиперидин-2-карбоксамид синтезировали в соответствии с методиками для соединения 6. Четвертый УФ-активный материал, элюируемый с колонки, на этапе 1.

Пример 290. Получение N-(5-[лор-2-(1H-тетразол-1-ил)бензил)-2-(6-метил-2-оксо-3-(фенэтиламино)пиразин-1(2H)-ил)ацетамид (1489)

Этап 1: Указанное в заголовке соединение получали в соответствии с методикой этапа 3 для соединения (1365) с использованием соответствующих исходных материалов, за исключением очистки хроматографией (95% EtOAc/гексаны; 42 мг, 88% выход).

Пример 291. Получение N-((3-хлор-1H-пирроло[2,3-b]пиридин-5-ил)метил)-2-(6-метил-2-оксо-3-(фенэтиламино)пиразин-1(2H)-ил)ацетамида ацетатной соли (1490)

Этап 1: Указанное в заголовке соединение получали в соответствии с методикой этапа 3 для соединения (1365) с использованием соответствующих исходных материалов, за исключением очистки хроматографией (MeOH/CH2Cl2+AcOH; 10 мг, 22% выход).

Пример 292. Получение N-((1-аминоизохинолин-6-ил)метил)-2-(6-метил-2-оксо-3-(фенэтиламино)пиразин-1(2H)-ил)ацетамида трифторацетамидной соли (1491)

Этап 1: Указанное в заголовке соединение получали в соответствии с методикой этапа 3 для соединения (1365) с использованием соответствующих исходных материалов (9 мг, 20% выход).

Пример 293. Получение N-((2-амино-1H-бензо[d]имидазол-6-ил)метил)-2-(6-метил-2-оксо-3-(фенэтиламино)пиразин-1(2H)-ил)ацетамида трифторацетамидной соли (1492)

Этап 1: Раствор этил-2-(3-бром-6-метил-2-оксопиразин-1(2H)-ил)ацетата (411 мг, 1,5 ммоль) и фенэтиламина (189 мкл, 1,5 ммоль) в 1:1 смеси толуол/EtOH (10 мл) нагревали при 125°C в течение 18 ч в герметично закрытой колбе. После охлаждения реакционную смесь концентрировали, затем поглощали в EtOAc и промывали насыщенным водным раствором NaHCO3, рассолом и сушили над Na2SO4, затем концентрировали. Неочищенный продукт очищали хроматографией (60% EtOAc/гексаны), с получением этил-2-(6-метил-2-оксо-3-(фенэтиламино)пиразин-1(2H)-ил)ацетата в виде белого твердого вещества (390 мг, 82% выход).

Этап 2: Этил-2-(6-метил-2-оксо-3-(фенэтиламино)пиразин-1(2H)-ил)ацетат (390 мг, 1,24 ммоль) растворяли в 1:1 смеси THF/MeOH (6 мл) и обрабатывали 1 Н водным раствором NaOH (3 мл). Через 2 ч органические растворители удаляли в вакууме и охлаждали до 0°C, с последующим подкислением 1 Н HCl. Осажденный продукт собирали фильтрованием, с получением 2-(6-метил-2-оксо-3-(фенэтиламино)пиразин-1(2H)-ил)уксусной кислоты в виде бледно-желтого порошка (285 мг, 81% выход).

Этап 3: В 50-мл круглодонную колбу вносили 2-(6-метил-2-оксо-3-(фенэтиламино)пиразин-1(2H)-ил)уксусную кислоту (29 мг, 0,1 ммоль), EDC (21 мг, 0,11 ммоль), HOBt (16 мг, 0,12 ммоль) и DMF (1 мл). Через 5 мин добавляли 6-(аминометил)-1H-бензо[d]имидазол-2-амин дигидрохлорид (26 мг, 0,11 ммоль) и DIEA (52 мкл, 0,3 ммоль), и реакционную смесь перемешивали в течение 16 ч при температуре окружающей среды. После завершения реакционную смесь разбавляли EtOAc и промывали насыщенным NaHCO3 и рассолом, затем сушили над Na2SO4 и концентрировали. Очистка методом препаративной ВЭЖХ (ACN/H2O+TFA) приводила к получению указанного в заголовке соединения в виде белого порошка (19 мг, 35% выход).

Пример 294. Получение (2R,4R)-N-((S)-1-(((4-бром-1H-пирроло[2,3-c]пиридин-2-ил)метил)амино)-1-оксопропан-2-ил)-4-фенилпирролидин-2-карбоксамида ди-трифторацетатной соли (1493)

Этап 1: К находящемуся при 0°C раствору метил 4-бром-1H-пирроло[2,3-c]пиридин-2-карбоксилата (1,0 г, 3,92 ммоль) в THF (20 мл, 5,1 M) добавляли алюмогидрид лития (1 M в THF, 6,3 мл, 6,3 ммоль). После перемешивания в течение 1 ч при той же температуре реакционную смесь гасили добавлением H2O. Полученную смесь экстрагировали EtOAc, сушили над безводным Na2SO4 и концентрировали в вакууме. Осадок очищали хроматографией (0-100% EtOAc-гексаны), с получением (4-бром-1H-пирроло[2,3-c]пиридин-2-ил)метанола (206 мг, 23% выход).

Этап 2: К раствору (4-бром-1H-пирроло[2,3-c]пиридин-2-ил)метанола (206 мг, 0,91 ммоль) в CH2Cl2 (1,5 мл, 0,6 M) добавляли 4,0 M HCl в диоксане (2,2 мл). После перемешивания в течение 15 мин реакционную смесь концентрировали в вакууме. К данному осадку добавляли тионилхлорид (1 мл) при 0°C. После перемешивания в течение 2 мин при кипячении с обратным колодильником реакционную смесь концентрировали, с получением неочищенной 4-бром-2-(хлорметил)-1H-пирроло[2,3-c]пиридин гидрохлоридной соли (256 мг, 99% выход).

Этап 3: К раствору ди-трет-бутилиминодикарбоксилата (295 мг, 1,36 ммоль) в DMF (5 мл, 0,27 M) добавляли гидрид натрия (60% дисперсия в минеральном масле). После перемешивания в течение 30 мин по каплям добавляли неочищенную 4-бром-2-(хлорметил)-1H-пирроло[2,3-c]пиридина гидрохлоридную соль (256 мг, 0,9 ммоль) в DMF (1,0 мл, 0,9 M). После перемешивания в течение 2 ч при комнатной температуре добавляли еще 0,5 экв. гидрида натрия. После перемешивания в течение 16 ч при той же температуре реакционную смесь гасили добавлением H2O. Полученную смесь экстрагировали EtOAc, сушили над безводным Na2SO4 и концентрировали в вакууме. Осадок растворяли в CH2Cl2 (5 мл) и добавляли 4,0 M HCl в диоксане. После перемешивания в течение 22 ч реакционную смесь концентрировали, сполучением неочищенной (4-бром-1H-пирроло[2,3-c]пиридин-2-ил)метанамина гидрохлоридной соли (233 мг, 86% выход).

Этап 4: : Трет-бутил(2R,4R)-2-(((S)-1-(((4-бром-1H-пирроло[2,3-c]пиридин-2-ил)метил)амино)-1-оксопропан-2-ил)карбамоил)-4-фенилпирролидин-1-карбоксилат (13 мг, 4% выход) синтезировали из неочищенной (4-бром-1H-пирроло[2,3-c]пиридин-2-ил)метанамина гидрохлоридной соли (217 мг, 0,6 ммоль) в соответствии с методикой для соединения, этап 2.

Этап 5: Снятие защиты трет-бутил(2R,4R)-2-(((S)-1-(((4-бром-1H-пирроло[2,3-c]пиридин-2-ил)метил)амино)-1-оксопропан-2-ил)карбамоил)-4-фенилпирролидин-1-карбоксилата (13 мг, 0,02 ммоль) проводили в соответствии с методикой для соединения, этап 4, за исключением того, что конечный продукт очищали с использованием обращенно-фазовой ВЭЖХ.

Пример 295. Получение (2R,4S)-N-((S)-1-(((1H-пирроло[3,2-c]пиридин-2-ил)метил)амино)-1-оксопропан-2-ил)-4-(3-хлор-4-фторбензил)пирролидин-2-карбоксамида ди-трифторацетатной соли (1494)

Этап 1: К находящемуся при температуре -78°C раствору 2-бензил-1-(трет-бутил)-(R)-5-оксопирролидин-1,2-дикарбоксилата (500 мг, 1,57 ммоль) в THF (10 мл, 0,16 M) медленно добавляли бис(триметилсилил)амид лития (1 M в THF, 1,72 мл, 1,72 ммоль). После перемешивания в течение 1 ч при той же температуре добавляли 4-(бромметил)-2-хлор-1-фторбензол (420 мг, 1,88 ммоль) в THF (2 мл). После перемешивания в течение 2 ч при той же температуре реакционную смесь гасили добавлением насыщенного водного раствора NH4Cl. Полученную смесь экстрагировали EtOAc, сушили над безводным Na2SO4 и концентрировали в вакууме. Осадок очищали хроматографией (0-100% EtOAc-гексаны), с получением 2-бензил 1-(трет-бутил)-(2R,4S)-4-(3-хлор-4-фторбензил)-5-оксопирролидин-1,2-дикарбоксилата (450 мг, 62% выход).

Этап 2: К находящемуся при температуре -78°C раствору 2-бензил-1-(трет-бутил)-(2R,4S)-4-(3-хлор-4-фторбензил)-5-оксопирролидин-1,2-дикарбоксилата (450 мг, 0,97 ммоль) в THF (7 мл, 0,14 M) добавляли триэтилборогидрид лития (1 M в THF, 1,07 мл, 1,07 ммоль). После перемешивания в течение 30 мин реакционную смесь гасили добавлением насыщенного водного NaHCO3 и нагревали до 0°C. Добавляли 30% H2O2 (примерно 8 капель), и реакционную смесь перемешивали в течение 30 мин при той же температуре. Органические летучие вещества удаляли в вакууме, и водный слой экстрагировали CH2Cl2. Объединенные экстракты сушили над безводным Na2SO4 и концентрировали в вакууме, с получением 2-бензил-1-(трет-бутил)-(2R,4S)-4-(3-хлор-4-фторбензил)-5-гидроксипирролидин-1,2-дикарбоксилата (450 мг, 100%), который использовали на следующем этапе без дополнительной очистки.

Этап 3: К находящемуся при температуре -78°C раствору 2-бензил-1-(трет-бутил)-(2R,4S)-4-(3-хлор-4-фторбензил)-5-гидроксипирролидин-1,2-дикарбоксилата (450 мг, 0,97 ммоль) в CH2Cl2 (6 мл, 0,16 M) добавляли триэтилсилан (0,38 мл, 2,13 ммоль) и диэтилэфират трехфтористого бора (0,65 мл, 2,13 ммоль). После перемешивания в течение 2 ч при той же температуре реакционную смесь гасили добавлением насыщенного водного раствора NaHCO3. Полученную смесь экстрагировали CH2Cl2, сушили над безводным Na2SO4 и концентрировали в вакууме. Осадок очищали хроматографией (0-100% EtOAc-гексаны), с получением 2-бензил-1-(трет-бутил)-(2R,4S)-4-(3-хлор-4-фторбензил)пирролидин-1,2-дикарбоксилата (220 мг, 51% выход за два этапа).

Этап 4: Раствор 2-бензил-1-(трет-бутил)-(2R,4S)-4-(3-хлор-4-фторбензил)пирролидин-1,2-дикарбоксилата (220 мг, 0,49 ммоль) дегазировали потоком Ar в течение 2 мин. Добавляли 10% Pd/C (10 мг) и применяли вакуум в течение 1 мин. Подключали баллон H2, и за реакцией следили по расходу исходного материала в течение 1,5 ч. Катализатор удаляли фильтрованием, и раствор выпаривали, с получением (2R,4S)-1-(трет-бутоксикарбонил)-4-(3-хлор-4-фторбензил)пирролидин-2-карбоновой кислоты (175 мг, 100% выход).

Этап 5: К раствору (трет-бутоксикарбонил)-L-аланина (467 мг, 2,47 ммоль) в CH2Cl2 (15 мл) и MeOH (5 мл) добавляли NHS (313 мг, 2,72 ммоль) с перемешиванием при комнатной температуре до растворения. Добавляли DCC (561 мг, 2,72 ммоль) и перемешивали в течение 1 ч. К вышеуказанной смеси добавляли (1H-пирроло[3,2-c]пиридин-2-ил)метанамин (400 мг, 2,72 ммоль) и перемешивали в течение 1 ч. Реакционную смесь гасили добавлением H2O, и полученную смесь экстрагировали CH2Cl2, сушили над безводным Na2SO4 и концентрировали в вакууме. Осадок очищали хроматографией (0-100% EtOAc-гексаны), с получением трет-бутил(S)-(1-(((1H-пирроло[3,2-c]пиридин-2-ил)метил)амино)-1-оксопропан-2-ил)карбамата (129 мг, 15% выход).

Этап 6: К находящемуся при 0°C раствору трет-бутил(S)-(1-(((1H-пирроло[3,2-c]пиридин-2-ил)метил)амино)-1-оксопропан-2-ил)карбамата (129 мг, 0,4 ммоль) в CH2Cl2 (10 мл, 0,04 M) добавляли 20% TFA в CH2Cl2 (10 мл). После перемешивания в течение 3 ч при комнатной температуре реакционную смесь концентрировали, с получением (S)-N-((1H-пирроло[3,2-c]пиридин-2-ил)метил)-2-аминопропанамида ди-трифторацетатной соли (180 мг, 100% выход).

Этап 7: К раствору 2-бензил-1-(трет-бутил)-(2R,4S)-4-(3-хлор-4-фторбензил)пирролидин-1,2-дикарбоксилата (25 мг, 0,07 ммоль) в безводном DMF (2 мл, 0,04 M) добавляли HOBt (14 мг, 0,09 ммоль), DIEA (0,05 мл, 0,28 ммоль) и EDC (14 мг, 0,09 ммоль). После перемешивания в течение 30 мин при температуре окружающей среды добавляли (S)-N-((1H-пирроло[3,2-c]пиридин-2-ил)метил)-2-аминопропанамида ди-трифторацетатную соль (38 мг, 0,08 ммоль) и перемешивали в течение 16 ч. Реакционную смесь концентрировали, и осадок распределяли между EtOAc и 10% раствором KHSO4. Органический слой отделяли и промывали H2O и насыщенным водным NaHCO3. Органический слой сушили над безводным Na2SO4 и концентрировали. Осадок очищали хроматографией (0-100% [5% 7 Н NH3 в MeOH/CH2Cl2]-CH2Cl2), с получением трет-бутил(2R,4S)-2-(((S)-1-(((1H-пирроло[3,2-c]пиридин-2-ил)метил)амино)-1-оксопропан-2-ил)карбамоил)-4-(3-хлор-4-фторбензил)пирролидин-1-карбоксилата (27 мг, 68% выход).

Этап 8: К находящемуся при 0°C раствору трет-бутил(2R,4S)-2-(((S)-1-(((1H-пирроло[3,2-c]пиридин-2-ил)метил)амино)-1-оксопропан-2-ил)карбамоил)-4-(3-хлор-4-фторбензил)пирролидин-1-карбоксилата (27 мг, 0,05 ммоль) в CH2Cl2 (1 мл, 0,05 M) добавляли 20% TFA в CH2Cl2 (1 мл). После перемешивания в течение 3 ч при комнатной температуре реакционную смесь концентрировали, с получением (2R,4S)-N-((S)-1-(((1H-пирроло[3,2-c]пиридин-2-ил)метил)амино)-1-оксопропан-2-ил)-4-(3-хлор-4-фторбензил)пирролидин-2-карбоксамида ди-трифторацетатной соли (33 мг, 100% выход).

Пример 296. Получение (2R,4R)-N-((S)-1-(((1H-пирроло[2,3-c]пиридин-2-ил)метил)амино)-1-оксопропан-2-ил)-4-фенилпирролидин-2-карбоксамида ди-трифторацетатной соли (1495)

Этап 1: (2R,4R)-N-((S)-1-(((1H-пирроло[2,3-c]пиридин-2-ил)метил)амино)-1-оксопропан-2-ил)-4-фенилпирролидин-2-карбоксамида ди-трифторацетатную соль (2,0 мг, 80% выход) синтезировали из (2R,4R)-N-((S)-1-(((4-бром-1H-пирроло[2,3-c]пиридин-2-ил)метил)амино)-1-оксопропан-2-ил)-4-фенилпирролидин-2-карбоксамида ди-трифторацетатной соли (полученной в соответствии с методикой для соединения (1493), этап 1-5) в соответствии с методикой для соединения (1264), этап 2.

Пример 297. Получение (2R,4S)-N-((S)-1-(((6-амино-2-метилпиридин-3-ил)метил)амино)-1-оксопропан-2-ил)-1-этил-4-фенилпиперидин-2-карбоксамида (1496)

(2R,4S)-N-((S)-1-(((6-амино-2-метилпиридин-3-ил)метил)амино)-1-оксопропан-2-ил)-1-этил-4-фенилпиперидин-2-карбоксамид синтезировали в соответствии с методиками для соединения (1464).

Пример 298. Получение (2R,4S)-N-((S)-1-(((6-амино-2-метилпиридин-3-ил)метил)амино)-1-оксопропан-2-ил)-4-(4-бромбензил)-N-метилпирролидин-2-карбоксамида ди-трифторацетатной соли (1497)

(2R,4S)-N-((S)-1-(((6-амино-2-метилпиридин-3-ил)метил)амино)-1-оксопропан-2-ил)-4-(4-бромбензил)-N-метилпирролидин-2-карбоксамида ди-трифторацетатную соль синтезировали в соответствии с методиками для соединения (1438), за исключением того, что указанное в заголовке соединение не очищали методом препаративной ВЭЖХ.

Пример 299. Получение 2-(пиридин-2-ил)-1H-бензо[d]имидазол-5-карбоксимидамида дигидрохлорида (2001)

Данный метод является модификацией общего метода, описанного в публикации W. B. Young et al., Bioorg. Med. Chem. Lett. 16 (2006) 710-713. Смесь 3,4-диаминобензимидамида-HCl (0,5 г, 2,6 ммоль), пиколинальдегида (0,22 мл, 2,3 ммоль), бензохинона (0,28 г, 2,6 ммоль) и этанола (15 мл) нагревали с обратным холодильником. После перемешивания в течение 3 ч смесь оставляли нагреваться до комнатной температуры, и летучие вещества удаляли при пониженном давлении. Осадок растворяли в метаноле (5 мл), затем добавляли к холодному MeCN (100 мл) при перемешивании, с получением преципитата, который выделяли фильтрованием. Преципитат растворяли в 6 Н HCl (20 мл) и вливали в перемешиваемый ацетон (150 мл), с получением преципитата. Преципитат выделяли фильтрованием, промывали ацетоном и сушили при пониженном давлении, с получением 2-(пиридин-2-ил)-1H-бензо[d]имидазол-5-карбоксимидамида, дигидрохлоридной соли (0,53 г, 65%).

Действуя в соответствии с методикой для соединения 2001, но с соответствующими исходными материалами, получали следующие соединения: 2-(1H-имидазол-4-ил)-1H-бензо[d]имидазол-5-карбоксимидамид дигидрохлорид (2000); 2-(6-метилпиридин-2-ил)-1H-бензо[d]имидазол-5-карбоксимидамид; 2-(6-метилпиридин-2-ил)-1H-бензо[d]имидазол-5-карбоксимидамид (2003); 2-(3-метилпиридин-2-ил)-1H-бензо[d]имидазол-5-карбоксимидамид дигидрохлорид (2004); 2-(4-метилпиридин-2-ил)-1H-бензо[d]имидазол-5-карбоксимидамид дигидрохлорид (2005); 2-(5-этилпиридин-2-ил)-1H-бензо[d]имидазол-5-карбоксимидамид дигидрохлорид (2007); 2-(6-этилпиридин-2-ил)-1H-бензо[d]имидазол-5-карбоксимидамид дигидрохлорид (2008); 1H,1'H-[2,2'-бибензо[d]имидазол-5-карбоксимидамид дигидрохлорид (2009); 2-(5-метилпиридин-2-ил)-1H-бензо[d]имидазол-5-карбоксимидамид дигидрохлорид (2010); 2-(6-(метоксиметил)пиридин-2-ил)-1H-бензо[d]имидазол-5-карбоксимидамид дигидрохлорид (2011); 2-(4-этоксипиридин-2-ил)-1H-бензо[d]имидазол-5-карбоксимидамид дигидрохлорид (2012); 2-(хинолин-2-ил)-1H-бензо[d]имидазол-5-карбоксимидамид дигидрохлорид (2013); 2-(изохинолин-3-ил)-1H-бензо[d]имидазол-5-карбоксимидамид дигидрохлорид (2014) и 2-(6-(4-фторфенил)пиридин-2-ил)-бензо[d]имидазол-5-карбоксимидамид дигидрохлорид (2016).

Пример 300. Получение 2-(пиридин-2-илметил)-1H-бензо[d]имидазол-5-карбоксимидамида дигидрохлорида (2002)

Данный метод является модификацией общего метода, описанного в публикации W. B. Young et al., Bioorg. Med. Chem. Lett. 16 (2006) 710-713. В колбу, высушенную в печи, вносили 3,4-диаминобензимидамид-HCl (0,99 г, 5,3 ммоль), этил-2-(пиридин-2-ил)ацетат (0,9 мл, 5,9 ммоль) и полифосфорную кислоту (8 мл). Смесь нагревали до 180°C. После перемешивания в течение 2 ч смесь оставляли охлаждаться до комнатной температуры. Смесь разбавляли H2O (50 мл), а затем охлаждали в ледяной бане. После охлаждения смеси добавляли 50% водный раствор NaOH для доведения pH до 8, и смесь оставляли нагреваться до комнатной температуры. К смолистой смеси добавляли MeOH (10 мл); летучие вещества удаляли при пониженном давлении. Добавляли водный насыщенный раствор NaHCO3 при интенсивном перемешивании до образования преципитата. Преципитат затем выделяли фильтрованием и промывали H2O. Преципитат растворяли в 6 Н HCl (15 мл). Раствор вливали в перемешиваемый ацетон (150 мл), с получением преципитата, который выделяли фильтрованием, промывали ацетоном и сушили, с получением 2-(пиридин-2-илметил)-1H-бензо[d]имидазол-5-карбоксимидамида, дигидрохлоридной соли (0,24 г, 14%).

Пример 301. Получение 2-((1H-бензо[d]имидазол-2-ил)метил)-1H-бензо[d]имидазол-5-карбоксимидамида дигидрохлорида (2015)

Данный метод является модификацией общего метода, описанного в публикации W. B. Young et al., Bioorg. Med. Chem. Lett. 16 (2006) 710-713. В колбу, высушенную в печи, вносили 3,4-диаминобензимидамид-HCl (0,98 г, 5,2 ммоль), этил-2-(1H-бензо[d]имидазол-2-ил)ацетат (1,2 г, 5,8 ммоль) и полифосфорную кислоту (8 мл). Смесь нагревали до 185°C. После перемешивания в течение 2 ч смесь оставляли охлаждаться до комнатной температуры. Через 8 ч смесь разбавляли H2O (50 мл), а затем охлаждали в ледяной бане. После охлаждения смеси добавляли 50% раствор NaOH для доведения pH до 9. Смесь интенсивно перемешивали и постепенно нагревали до комнатной температуры; твердые вещества выделяли вакуумным фильтрованием и промывали H2O. Твердые вещества затем перемешивали в течение 30 мин с насыщенным водным раствором NaHCO3, фильтровали и промывали H2O. Преципитат собирали и растворяли в 6 Н HCl (15 мл). Раствор вливали перемешиваемый ацетон (150 мл), с получением преципитата. Преципитат выделяли фильтрованием, промывали ацетоном и сушили, с получением 2-((1H-бензо[d]имидазол-2-ил)метил)-1H-бензо[d]имидазол-5-карбоксимидамида, дигидрохлоридной соли (1,6 г, 85%).

Пример 302. Получение ((4-((2-(3-бензил-7-карбамоил-2,4-диоксо-3,4-дигидрохиназолин-1(2H)-ил)ацетамидо)метил)фенил)(имино)метил)-λ5-азанеилацетата (2017)

Этап 1: В реакционный сосуд вносили 2-аминотерефталевую кислоту (600 мг, 3,31 ммоль) и THF (10 мл). К этой смеси добавляли бензилизоцианат (485 мг, 3,64 ммоль), и смесь нагревали с обратным холодильником при 70°C в течение 4 ч. Реакционную смесь затем охлаждали, растворитель выпаривали в вакууме и заменяли EtOH (10 мл). Реакционную смесь обрабатывали H2SO4 (2 мл) и перемешивали при 70°C в течение 2 ч. После завершения реакционную смесь охлаждали до 5°C и обрабатывали водой, после чего образовывалась густая суспензия. Преципитат фильтровали и промывали H2O и гексанами, затем собирали в виде не совсем белого твердого вещества, которое впоследствии ресуспендировали в THF (10 мл) и H2O (10 мл). Добавляли LiOH (2 эквив., 159 мг) одной порцией, и реакционную смесь перемешивали при температуре окружающей среды в течение 2 ч. После завершения THF удаляли в вакууме, затем реакционную смесь подкисляли 1 Н HCl. Полученную густую суспензию фильтровали, с получением 3-бензил-2,4-диоксо-1,2,3,4-тетрагидрохиназолин-7-карбоновой кислоты в виде белого порошка (650 мг, 66% выход за 3 этапа).

Этап 2: Смесь 3-бензил-2,4-диоксо-1,2,3,4-тетрагидрохиназолин-7-карбоновой кислоты (297 мг, 1 ммоль), тритиламина (285 мг, 1,1 ммоль), Et3N (418 мкл, 3 ммоль) в DMF (10 мл) обрабатывали PyBOP (513 мг, 1,1 ммоль). Реакционную смесь оставляли для перемешивания при температуре окружающей среды на ночь, затем разбавляли EtOAc и промывали 10% водным KHSO4, рассолом и насыщенным водным раствором NaHCO3. Органический слой сушили над Na2SO4, фильтровали, концентрировали в вакууме, и затем очищали хроматографией (10-30% EtOAc-гексаны), с получением 3-бензил-2,4-диоксо-N-тритил-1,2,3,4-тетрагидрохиназолин-7-карбоксамида в виде белого кристаллического твердого вещества (126 мг, 23% выход).

Этап 3: В реакционный сосуд вносили 3-бензил-2,4-диоксо-N-тритил-1,2,3,4-тетрагидрохиназолин-7-карбоксамид (120 мг, 0,22 ммоль), K2CO3 (76 мг, 0,55 ммоль) и DMF (2 мл). К этому перемешиваемому раствору добавляли этилбромацетат (28 мкл, 0,25 ммоль), и смесь оставляли для перемешивания при комнатной температуре в течение ночи. После завершения реакционную смесь обрабатывали H2O, после чего этил-2-(3-бензил-2,4-диоксо-7-(тритилкарбамоил)-3,4-дигидрохиназолин-1(2H)-ил)ацетат выпадал в осадок в виде белого твердого вещества (62 мг, количественный выход), который собирали фильтрованием.

Этап 4: К перемешиваемой суспензии этил-2-(3-бензил-2,4-диоксо-7-(тритилкарбамоил)-3,4-дигидрохиназолин-1(2H)-ил)ацетата (137 мг, 0,22 ммоль) в THF (2,5 мл) и H2O (2,5 мл) добавляли LiOH (11 мг, 0,44 ммоль) одной порцией. Реакционную смесь перемешивали при температуре окружающей среды в течение ночи. После завершения реакционную смесь нейтрализовали 10% водным раствором KHSO4 и экстрагировали EtOAc (10 мл x 3). Объединенные органические слои промывали рассолом, сушили (Na2SO4), фильтровали и концентрировали в вакууме, с получением 2-(3-бензил-2,4-диоксо-7-(тритилкарбамоил)-3,4-дигидрохиназолин-1(2H)-ил)уксусной кислоты в виде белого порошка (59 мг, 45% выход).

Этап 5: В реакционный сосуд добавляли 2-(3-бензил-2,4-диоксо-7-(тритилкарбамоил)-3,4-дигидрохиназолин-1(2H)-ил)уксусную кислоту (59 мг, 0,1 ммоль), DMAP (24,4 мг, 0,2 ммоль) и CH2Cl2 (1 мл). К этой перемешиваемой смеси добавляли EDC (23 мг, 0,12 ммоль), с последующим добавлением бензил((4-(аминометил)фенил)(имино)метил)карбамата (35,2 мг, 0,11 ммоль). Реакционную смесь перемешивали при температуре окружающей среды в течение ночи, после чего ее промывали последовательно 10% водным KHSO4, H2O, насыщенным водным раствором NaHCO3 и рассолом. Органический слой сушили (Na2SO4) и концентрировали в вакууме, с получением бензил((4-((2-(3-бензил-2,4-диоксо-7-(тритилкарбамоил)-3,4-дигидрохиназолин-1(2H)-ил)ацетамидо)метил)фенил)(имино)метил)карбамата в виде белого твердого вещества (86 мг, количественный выход).

Этап 6: Бензил((4-((2-(3-бензил-2,4-диоксо-7-(тритилкарбамоил)-3,4-дигидрохиназолин-1(2H)-ил)ацетамидо)метил)фенил)(имино)метил)карбамат (86 мг, 0,1 ммоль) растворяли в CH2Cl2 (1 мл) и обрабатывали TFA (600 мкл). Полученный желтый раствор перемешивали в течение 3 ч, а затем обрабатывали MeOH (150 мкл), после чего раствор немедленно обесцвечивался. Реакционную смесь выпаривали до сухого состояния и очищали хроматографией (10% MeOH-CH2Cl2+1% 7 M NH3-MeOH), с получением бензил((4-((2-(3-бензил-7-карбамоил-2,4-диоксо-3,4-дигидрохиназолин-1(2H)-ил)ацетамидо)метил)фенил)(имино)метил)карбамата в виде белого твердого вещества (42 мг, 68% выход).

Этап 7: Бензил((4-((2-(3-бензил-7-карбамоил-2,4-диоксо-3,4-дигидрохиназолин-1(2H)-ил)ацетамидо)метил)фенил)(имино)метил)карбамат (14 мг, 0,023 ммоль) растворяли в смеси MeOH (6 мл) и HOAc (3 мл). Полученный раствор дегазировали потоком азота в течение 2-3 мин. Добавляли 10% Pd/C (5 мг), и смесь помещали в вакуум на примерно 1 минуту. Подключали баллон с водородом, и за реакцией следили по расходу исходного материала. Реакционную смесь фильтровали через 0,2-мкм шприцевой фильтр и выпаривали до сухого состояния, с получением соединения 2017 в виде белого твердого вещества (11 мг, 99% выход).

Пример 303. Получение 3-бензил-1-(2-((4-карбамимидоилбензил)амино)-2-оксоэтил)-N-метил-2,4-диоксо-1,2,3,4-тетрагидрохиназолин-7-карбоксамида (2018)

Этап 1: 3-бензил-2,4-диоксо-1,2,3,4-тетрагидрохиназолин-7-карбоновую кислоту (330 мг, 1,1 ммоль) суспендировали в CH2Cl2 (15 мл). К перемешиваемой смеси добавляли метиламин (2 M в THF, 660 мкл, 1,32 ммоль) и DIEA (570 мкл, 3,3 ммоль). Через 5 мин при температуре окружающей среды реакционная смесь становилась прозрачным раствором. К этому раствору добавляли HATU (550 мг, 1,32 ммоль). После завершения реакции через 4 ч реакционную смесь промывали 1 M HCl, H2O и насыщенным водным раствором NaHCO3, затем фильтровали через воронку со стеклянным пористым фильтром, с получением 3-бензил-N-метил-2,4-диоксо-1,2,3,4-тетрагидрохиназолин-7-карбоксамида в виде белого твердого вещества (340 мг, количественный выход).

Этапы 2-5: 3-бензил-1-(2-((4-карбамимидоилбензил)амино)-2-оксоэтил)-N-метил-2,4-диоксо-1,2,3,4-тетрагидрохиназолин-7-карбоксамид получали из 3-бензил-N-метил-2,4-диоксо-1,2,3,4-тетрагидрохиназолин-7-карбоксамида, следуя методикам, аналогичным тем, которые описаны для этапов 3-5 и 7 в Примере 4 (то есть, для соединения 2017).

Пример 304. Получение 3-бензил-1-(2-((4-карбамимидоилбензил)амино)-2-оксоэтил)-N-циклогексил-2,4-диоксо-1,2,3,4-тетрагидрохиназолин-7-карбоксамида (2021)

Этап 1: 3-бензил-2,4-диоксо-1,2,3,4-тетрагидрохиназолин-7-карбоновую кислоту (300 мг, 1,0 ммоль) суспендировали в CH2Cl2 (10 мл). К этой перемешиваемой смеси последовательно добавляли циклогексиламин (140 мкл, 1,2 ммоль), DIEA (529 мкл, 3 ммоль), HOBt (165 мг, 1,2 ммоль) и EDC (234 мг, 1,2 ммоль). Смесь перемешивали в течение 24 ч. После завершения реакционную смесь промывали 1 Н HCl и насыщенным водным раствором NaHCO3. Органический слой сушили над Na2SO4 и концентрировали в вакууме, с получением 3-бензил-N-циклогексил-2,4-диоксо-1,2,3,4-тетрагидрохиназолин-7-карбоксамида в виде белого твердого вещества (200 мг, 52% выход).

Этапы 2-5: 3-бензил-1-(2-((4-карбамимидоилбензил)амино)-2-оксоэтил)-н-циклогексил-2,4-диоксо-1,2,3,4-тетрагидрохиназолин-7-карбоксамид получали из 3-бензил-N-циклогексил-2,4-диоксо-1,2,3,4-тетрагидрохиназолин-7-карбоксамида следуя методикам, аналогичным тем, которые описаны для этапов 3-5 и 7 в Примере 4 (то есть, для соединения 2017).

В Таблице 31 приведены соединения Примеров, описанных выше, а также дополнительные соединения, которые могут быть получены способами, аналогичными тем, которые описаны для вышеуказанных соединений, и другими способами, известными квалифицированному специалисту в данной области.

Таблица 31. Список соединений Соединение № Структура Соль Точная масса (ES+; M+H, получ.) Точная масса (рассч.) 1000 Н/П 304,20 303,17 1001 Н/П 318,15 317,19 1002 Н/П 330,20 329,19 1003 Н/П 330,12 329,19 1004 2HCl 339,26 338,24 1005 Н/П 346,13 345,22 1006 2HCl 353,28 352,26 1007 2HCl 356,00 355,20 1008 Н/П 358,20 357,22 1009 Н/П 362,16 361,18 1010 2HCl 363,28 362,24 1011 Н/П 366,12 365,19 1012 2HCl 368,26 367,20 1013 2HCl 368,25 367,24 1014 2HCl 369,25 368,22 1015 2HCl 370,16 369,22 1016 2HCl 370,17 369,22 1017 Н/П 372,23 371,23 1018 Н/П 372,23 371,23 1019 Н/П 372,18 371,23 1020 Н/П 373,16 372,22 1021 HCl 374,17 373,16 1022 Н/П 376,13 375,19 1023 Н/П 380,13 379,20 1024 2HCl 382,26 381,22 1025 2HCl 382,25 381,22 1026 Н/П 384,14 383,23 1027 2HCl 386,28 385,25 1028 Н/П 388,24 387,19 1029 Н/П 388,11 387,19 1030 Н/П 390,11 389,19 1031 HCl 390,17 389,15 1032 2HCl 392,22 391,20 1033 Н/П 392,10 391,20 1034 Н/П 392,12 391,20 1035 2HCl 394,25 393,22 1036 2HCl 394,23 393,22 1037 2HCl 394,23 393,22 1038 2HCl 394,22 393,48 1039 2HCl 393,12 (ES-) 394,21 1040 2HCl 395,12 394,21 1041 2HCl 396,13 395,23 1042 2HCl 396,27 395,23 1043 2HCl 396,28 395,23 1044 2HCl 396,15 395,23 1045 2HCl 396,18 395,23 1046 2HCl 396,17 395,23 1047 2HCl 400,24 399,21 1048 2HCl 400,24 399,21 1049 2HCl 400,14 399,21 1050 2HCl 400,24 399,21 1051 2HCl 400,30 399,26 1052 2HCl 402,20 401,19 1053 2 TFA 404,20 403,20 1054 2HCl 404,25 403,22 1055 Н/П 404,25 403,22 1056 2HCl 406,20 405,22 1057 2HCl 406,21 405,22 1058 Н/П 406,06 405,22 1059 2HCl 407,16 406,21 1060 2HCl 407,20 406,21 1061 2HCl 407,16 406,21 1062 2HCl 408,14 407,23 1063 2HCl 408,23 407,23 1064 2HCl 408,21 407,23 1065 2HCl 408,21 407,23 1066 2HCl 408,22 407,23 1067 2HCl 408,17 407,23 1068 2HCl 408,26 407,23 1069 Н/П 408,17 407,23 1070 2HCl 410,22 409,21 1071 2HCl 410,17 409,21 1072 2HCl 410,20 409,25 1073 2HCl 410,19 409,25 1074 2HCl 412,13 411,23 1075 2HCl 412,12 411,23 1076 2HCl 412,12 411,23 1077 Н/П 414,18 413,24 1078 HCl 416,16 415,17 1079 HCl 416,18 415,17 1080 2HCl 416,18 415,18 1081 2HCl 416,18 415,18 1082 2HCl 416,07 415,18 1083 Н/П 416,14 415,22 1084 2HCl 418,20 417,20 1085 2HCl 418,20 417,20 1086 2HCl 418,19 417,20 1087 2HCl 418,19 417,20 1088 2HCl 418,12 417,22 1089 2HCl 418,19 417,22 1090 2HCl 418,01 417,22 1091 2HCl 416,13 (ES-) 417,22 1092 2HCl 418,10 417,22 1093 2HCl 418,05 417,22 1094 2HCl 418,23 417,24 1095 2HCl 418,08 417,24 1096 Н/П 418,26 417,24 1097 2HCl 419,17 418,21 1098 2HCl 422,25 421,25 1099 2HCl 424,17 423,17 1100 Н/П 423,99 423,19 1101 2HCl 424,18 423,23 1102 Н/П 429,24 428,25 1103 2HCl 430,19 429,19 1104 2HCl 430,21 429,24 1105 Н/П 430,16 429,24 1106 2HCl 432,24 431,25 1107 Н/П 432,25 431,25 1108 2HCl 436,16 435,26 1109 Н/П 438,02 437,21 1110 2HCl 440,19 439,22 1111 2HCl 442,22 441,24 1112 2HCl 442,21 441,24 1113 Н/П 441,99 441,24 1114 Н/П 444,10 443,25 1115 Н/П 444,25 443,25 1116 Н/П 445,99 445,23 1117 Н/П 446,25 445,27 1118 2HCl 449,90 449,14 1119 2HCl 450,15 449,20 1120 2HCl 450,16 449,20 1121 Н/П 449,94 449,21 1122 2HCl 450,25 449,28 1123 2HCl 452,10 451,22 1124 2HCl 452,20 451,22 1125 2HCl 452,30 451,29 1126 2HCl 452,29 451,29 1127 Н/П 458,24 457,27 1128 2HCl 459,19 (ES-) 460,26 1129 Н/П 463,98 463,22 1130 2HCl 464,32 463,29 1131 Н/П 466,09 465,24 1132 3HCl 467,30 466,31 1133 Н/П 468,07 467,24 1134 2HCl 472,25 471,26 1135 3HCl 473,15 472,26 1136 2HCl 474,19 473,20 1137 TFA 475,20 474,20 1138 Н/П 486,31 485,30 1139 2HCl 488,20 487,22 1140 2HCl 487,98 487,26 1141 2HCl 490,27 489,25 1142 2HCl 510,26 509,30 1143 2HCl 509,23
(ES-)
510,27
1144 3TFA 515,33 514,31 1145 2HCl 516,35 515,29 1146 Н/П 546,32 545,26 1147 2HCl 548,33 547,29 1148 3TFA 556,39 555,33 1149 2HCl 557,28 556,32 1150 2HCl 557,34 556,32 1151 2HCl 558,17 559,28 1152 2HCl 570,33 569,35 1153 2HCl 585,32 584,31 1154 Н/П 458,22 457,27 1156 Н/П 430,22 429,24 1157 2HCl 398,15 397,21 1158 2HCl 386,17 385,25 1170 1171 2HCl 421,14 420,23 1192 1HCl 408,12 407,12 1194 Н/П 316,11 315,17 1195 2HCl 404,17 403,22 1207 2HCl 380,25 379,20 1211 2HCl 557,34 536,32 1213 2HCl 384,27 383,23 1215 2HCl 386,15 385,21 1218 2HCl 388,28 387,26 1223 2HCl 509,22 510,27 1229 1HCl 476,18 475,19 999 (мелагатран контроль) 429,24 1230 2HCl 408,21 407,23 1231 2HCl 422,25 421,25 1232 2TFA 570,38 569,35 1233 2TFA 540,33 539,28 1234 Н/П 440,18 439,2 1235 Н/П 422,2 421,19 1236 2TFA 532,34 531,28 1237 HCl 504,21 (ES-) 505,01 1238 TFA 420,2 419,2 1239 TFA 404,16 403,2 1240 Н/П 466,21 465,22 1241 HCl 422,26 421,25 1242 Н/П 402,15 401,15 1243 2HCl 370,23 369,22 1244 2HCl 370,23 369,22 1245 2HCl 370,22 369,22 1246 HCl 419,13 418,14 1247 2HCl 408,22 407,23 1248 2HCl 422,23 421,25 1249 2HCl 422,24 421,25 1250 2TFA 634,31 633,31 1251 TFA 412,22 411,23 1252 2HCl 408,24 407,23 1253 HCl 396,27 395,23 1254 HCl 416,16 415,17 1255 2HCl 368,23 367,2 1256 2TFA 538,28 537,27 1257 2HCl 396,26 395,23 1258 Н/П 452,18 451,22 1259 Н/П 528,27 527,25 1260 Н/П 522,32 521,3 1261 2HCl 368,24 367,2 1262 2HCl 424,20 423,23 1263 Н/П 480,23 479,25 1264 Н/П 452,19 451,22 1265 Н/П 382,25 381,22 1266 2HCl 386,22 385,21 1267 2HCl 374,24 373,19 1268 2TFA 515,27 514,27 1269 HCl 443,13 442,18 1270 2HCl 383,25 382,21 1271 HCl 366,25 365,21 1272 2HCl 395,22 394,21 1273 HCl 395,2 394,21 1274 HCl 479,12 478,14 1275 2HCl 390,17 389,16 1276 2HCl 462,16 461,20 1277 3HCl 423,20 422,24 1278 2HCl 419,19 418,21 1279 HCl 432,05
(ES-)
433,1
1280 2HCl 370,23 369,22 1281 2TFA 428,17 427,2 1282 2HCl 396,27 395,23 1283 2HCl 396,25 395,23 1284 2TFA 408,24 407,23 1285 2HCl 408,23 407,23 1286 HCl 408,14 407,14 1287 HCl 404,17 403,17 1288 Н/П 568,13 567,12 1289 HCl 396,24 395,23 1290 HCl 408,21 407,23 1291 2HCl 411,2 410,24 1292 Н/П 410,18 409,21 1293 Н/П 494,25 493,27 1294 Н/П 466,11 465,24 1295 Н/П 391,19 390,18 1296 2HCl 356,21 355,2 1297 2HCl 446,1 445,25 1298 HCl 416,13 415,17 1299 HCl 404,15 403,17 1300 2TFA 412,19 411,21 1301 Н/П 403,13 402,15 1302 2HCl 422,22 421,25 1303 2HCl 410,21 409,25 1304 2HCl 396,24 395,23 1305 Н/П 520,19 519,21 1306 2HCl 408,21 407,23 1307 HCl 430,12 429,18 1308 2HCl 396,22 395,23 1309 2HCl 447,13 446,24 1310 2HCl 398,19 397,21 1311 2HCl 392,2 391,2 1312 2TFA 516,24 515,29 1313 TFA 399,13 398,15 1314 TFA 379,11 (ES-) 380,18 1315 HCl 383,19 382,2 1316 2HCl 436,19 435,26 1317 HCl 481,06 480,19 1318 2HCl 464,12 463,22 1319 2HCl 504,24 503,29 1320 2TFA 478,09 477,2 1321 2TFA 478,14 477,2 1322 2HCl 410,2 409,25 1323 2HCl 396,2 395,23 1324 2TFA 446,16 445,25 1325 TFA 442,01 441,17 1326 2TFA 474,09 473,24 1327 2HCl 502,19 501,27 1328 2HCl 430,12 429,19 1329 2HCl 426,07 425,16 1330 2TFA 502,21 501,27 1331 2HCl 424,18 423,26 1332 2TFA 448,1 447,24 1333 HCl 400,12 399,17 1334 2HCl 440,04 439,18 1335 2TFA 439,15 438,24 1336 2HCl 357,16 356,2 1337 2HCl 410,15 409,25 1338 2HCl 446,1 445,25 1339 2TFA 520,17 519,24 1340 2HCl 486,21 485,28 1341 TFA 441,1 440,17 1342 2HCl 446,07 445,25 1343 2TFA 447,12 446,24 1344 2HCl 410,17 409,25 1345 2HCl 543,23 542,3 1346 2HCl 356,18 355,2 1347 2HCl 411,17 410,24 1348 2HCl 425,18 424,26 1349 2HCl 489,27 490,14 1350 2HCl 474,02 473,14 1351 2HCl 472,12 471,26 1352 2TFA 570,21 569,26 1353 2HCl 410,17 409,25 1354 2HCl 410,24 409,25 1355 TFA 448,03 447,12 1356 TFA 516,16 515,21 1357 2TFA 473,13 472,26 1358 2TFA 402,1 401,16 1359 2TFA 458,04 457,25 1360 2TFA 458,12 457,25 1361 2TFA 479,10 478,22 1362 Н/П 425,09 424,17 1363 HCl 444,08 443,2 1364 HCl 402,09 401,15 1365 HCl 430,1 429,18 1366 2HCl 392,2 391,2 1367 Н/П 393,19 392,2 1368 2HCl 531,26 530,3 1369 HCl 444,12 443,2 1370 TFA 480,13 479,2 1371 HCl 468,07 467,18 1372 2TFA 474,08 473,14 1373 2TFA 472,23 471,26 1374 HCl 508,08 507,09 1375 Н/П 494,18 493,22 1376 2TFA 427,16 426,24 1377 2TFA 440,21 439,29 1378 2TFA 494,21 493,22 1379 2TFA 450,14 449,28 1380 2HCl 452,24 451,29 1381 2TFA 573,32 572,31 1382 2TFA 453,2 452,25 1383 TFA 396,24 395,22 1384 2HCl 427,12 426,16 1385 TFA 518,23 517,2 1386 TFA 411,16 410,15 1387 TFA 429,12 428,16 1388 Н/П 488,28 487,26 1389 2HCl 407,21 406,21 1390 2TFA 408,19 407,2 1391 2TFA 479,29 478,27 1392 2TFA 490,19 489,19 1393 2TFA 516,25 515,21 1394 TFA 454,14 453,17 1395 TFA 436,16 435,11 1396 Н/П 515,29 514,25 1397 2TFA 533,24 532,26 1398 TFA 454,28 453,24 1399 2HCl 478,29 477,22 1400 2HCl 424,24 423,17 1401 HCl 506,27 505,21 1402 TFA 544,29 543,21 1403 Н/П 519,34 518,28 1404 HCl 545,29 544,21 1405 HCl 605,3 604,21 1406 2HCl 472,33 471,26 1407 2TFA 456,35 455,25 1408 HCl 546,2 545,13 1409 TFA 584,23 583,13 1410 TFA 512,27 511,18 1411 TFA 468,33 467,25 1412 TFA 510,38 509,3 1413 2TFA 424,36 423,26 1414 HCl 518,27 517,2 1415 HCl 490,26 489,19 1416 HCl 496,30 495,21 1417 TFA 426,23 425,16 1418 TFA 440,26 439,18 1419 TFA 528,28 527,2 1420 2TFA 479,36 478,27 1421 2TFA 465,19 464,12 1422 HCl 464,24 463,15 1423 HCl 464,32 463,24 1424 2TFA 532,29 531,21 1425 TFA 407,34 406,21 1426 TFA 468,26 467,18 1427 2TFA 486,35 485,28 1428 2TFA 421,35 420,23 1429 2TFA 421,35 420,23 1430 2TFA 488,38 487,26 1431 HCl 471,33 470,24 1432 HCl 480,30 479,21 1433 TFA 440,28 439,18 1434 2HCl 392,35 391,2 1435 2HCl 464,24 463,15 1436 TFA 526,3 525,15 1437 TFA 448,35 447,24 1438 2TFA 486,26 485,14 1439 TFA 482,39 481,27 1440 Н/П 510,43 509,3 1441 Н/П 410,36 409,25 1442 2HCl 440,3 439,18 1443 2HCl 464,26 463,15 1444 2HCl 464,28 463,15 1445 2HCl 476,18 475,12 1446 2HCl 398,37 397,21 1447 2TFA 414,46 413,22 1448 HCl 450,2 449,13 1449 2TFA 454,12 453,19 1450 2HCl 454,11 453,19 1451 2TFA 508,32 507,1 1452 2HCl 474,24 473,14 1453 HCl 476,20 475,26 1454 HCl 436,08 435,15 1455 2TFA 514,41 513,18 1456 HCl 470,01 469,1 1457 HCl 437,1 436,17 1458 2TFA 452,41 451,2 1459 2TFA 448,36 447,18 1460 2TFA 487,10 486,16 1461 HCl 436,08 435,15 1462 TFA 470,05 469,11 1463 2TFA 392,16 391,2 1464 Н/П 536,23 535,13 1465 2TFA 500,28 499,16 1466 2TFA 508,37 507,1 1467 TFA 392,19 391,2 1468 TFA 469,15 468,2 1469 HCl 411,21 410,24 1470 2TFA 438,16 437,22 1471 1TFA 409,1 408,16 1472 2TFA 406,18 405,22 1473 1TFA 520,48 519,2 1474 TFA 506,46 505,14 1475 2TFA 460,55 459,2 1476 HCl 468,16 467,21 1477 TFA 488,09 487,15 1478 HCl 476,18 475,26 1479 HCl 460,19 459,26 1480 2TFA 522,45 521,26 1481 2TFA 422,2 421,25 1482 HCl 532,05 531,1 1483 2TFA 513,97 513,06 1484 1TFA 564,28 563,15 1485 2HCl 408,23 407,23 1486 2HCl 408,21 407,23 1487 2HCl 408,22 407,23 1488* Закуплено Н/П 407,17 406,21 1489 Н/П 479,09 478,16 1490 AcOH 451,05 450,16 1491 TFA 443,17 442,21 1492 TFA 432,19 431,21 1493 2TFA 470,03 469,11 1494 2TFA 458,08 457,17 1495 2TFA 392,16 391,20 1496 Н/П 424,50 423,26 1497 2TFA 488,25 487,16 2000 2HCl 227,11 226,10 2001 2HCl 238,11 237,10 2002 2HCl 252,07 251,12 2003 2HCl 252,12 251,12 2004 2HCl 252,11 251,12 2005 2HCl 252,13 251,12 2006* Закуплено 278,13 2007 2HCl 266,11 265,13 2008 2HCl 266,10 265,13 2009 2HCl 277,09 276,11 2010 2HCl 252,11 251,12 2011 2HCl 282,13 281,13 2012 2HCl 282,12 281,13 2013 2HCl 288,13 287,12 2014 2HCl 288,12 287,12 2015 2HCl 291,07 290,13 2016 2HCl 332,15 331,12 2017 HOAc 485,16 484,19 2018 HOAc 499,17 498,20 2019* Закуплено Н/П Н/П 422,20 2020* Закуплено Н/П Н/П 408,45 2021 Н/П 567,15 566,26

Пример 305. Ферментативный анализ для MASP-2

В анализе для MASP-2 используют флуорогенный субстрат, основанный на сайте расщепления его естественного субстрата C2. Анализ проводили при комнатной температуре в аналитическом буфере, содержащем 20 мМ Hepes, pH 7,4, 140 мМ NaCl и 0,1% Tween 20. Аналитические параметры корректировали так, что анализ был линейным в отношении времени, концентраций фермента и субстрата. В этих оптимизированных условиях анализа значения IC50 были эквивалентны значениям Ki, за исключением нескольких случаев «прочно связывающихся» ингибиторов. В случаях «прочно связывающихся» или возможных «медленно связывающихся» ингибиторов применяли методы, описанные в публикации Copeland R.A. (2013) Evaluation of Enzyme Inhibitors in Drug Discovery. 2nd Ed., John Wiley and Sons, Inc., главы 5-7.

Протокол анализа MASP-2 выполняли следующим образом. Тестируемые соединения серийно разбавляли в DMSO, затем 100 нл каждого разведенного соединения переносили в аналитический планшет(ы). Добавляли 10 мкл аналитического буфера, с последующим добавлением 15 мкл фермента (MASP-2 (CCP1-CCP2-SP) в аналитическом буфере. Затем добавляли 15 мкл субстрата в аналитическом буфере и смешивали для инициации реакций. Через 20 мин при комнатной температуре добавляли 15 мкл останавливающего раствора (0,1 M уксусная кислота), перемешивали, показания с планшетов снимали на микропланшетном ридере SpectraMax i3x и экспортировали в виде файлов Excel. Каждый аналитический планшет имел контроль «без ингибитора» (только DMSO), контроль «без фермента» и контроль с эталонным ингибитором. Показатели активности, %, = 100*(средняя флуоресценция тестируемого соединения - средняя флуоресценция образца «без фермента») / (средняя флуоресценция образца «только DMSO» - средняя флуоресценция образца «без фермента)). Значения IC50 и Ki были очень воспроизводимыми, хорошо попадая в границы ± 2-кратных.

Пример 306. Анализ активации лектинового пути в человеческой сыворотке, обработанной низкомолекулярными соединениями

Лунки планшета для микротитрования ELISA покрывали маннаном из Saccharomyces cerevisiae (Sigma-Aldrich, M7504) в течение ночи при 4°C в буфере для нанесения [15 мМ Na2CO3, 35 мМ NaHCO3]. Лунки планшета блокировали 1% бычьим сывороточным альбумином (BSA) (Sigma-Aldrich, A3294) в Tris-буферном солевом растворе (TBS) [10 мМ Tris-HCl, 140 мМ NaCl] в течение 2 часов при комнатной температуре. 1% человеческую сыворотку инкубировали с низкомолекулярными соединениями в серийных разведениях в GVB++ [4 мМ барбитал, 145 мМ NaCl, 0,2 мМ MgCl2, 0,2 мМ CaCl2, 1% желатин] в течение 15 минут при комнатной температуре. Затем 100 мкл этой смеси добавляли в лунки планшета, и планшет инкубировали при 37°C в течение примерно часа с осторожным встряхиванием, 200 об/мин. После этого планшет промывали три раза промывающим буфером [TBS, содержащий 5 мМ CaCl2 и 0,05% Tween-20], добавляли 100 мкл антител кролика против C3c человека (Dako, A0062), разбавленных 1:5000 в промывающем буфере, и инкубировали при 37°C в течение 30 минут. Планшет промывали, добавляли 100 мкл конъюгированных с HRP антител козы против IgG кролика (Southern Biotech, 4050-05), разбавленных 1:8000 в промывающем буфере, и инкубировали при комнатной температуре в течение 30 минут. После этого планшет промывали три раза, добавляли 100 мкл/лунку колориметрического субстрата TMB (Thermo Scientific, 34029) и инкубировали при комнатной температуре в течение 5 минут, реакцию останавливали добавлением 100 мкл/лунку 0,1 Н серной кислоты (BDH7230) и измеряли поглощение при 450 нм.

Пример 307. Ферментативный анализ для тромбина

В анализе для тромбина использовали флуорогенный пептидный субстрат (Boc-VPR-AMC (R&D Systems), и проводили его при комнатной температуре в аналитическом буфере, содержащем 20 мМ Hepes, pH 7,4, 140 мМ NaCl и 0,1% Tween 20. Аналитические параметры корректировали так, что анализ был линейным в отношении времени, концентраций фермента и субстрата. В этих оптимизированных условиях анализа значения IC50 были эквивалентны значениям Ki, за исключением нескольких случаев «прочно связывающихся» ингибиторов. В случаях «прочно связывающихся» или возможных «медленно связывающихся» ингибиторов применяли методы, описанные в публикации Copeland R.A. (2013) Evaluation of Enzyme Inhibitors in Drug Discovery. 2nd Ed., John Wiley and Sons, Inc., главы 5-7.

Протокол анализа для тромбина выполняли следующим образом. Тестируемые соединения серийно разбавляли в DMSO, затем 100 нл каждого разведенного соединения переносили в аналитический планшет(ы). Добавляли 10 мкл аналитического буфера, с последующим добавлением 15 мкл фермента (человеческий α-тромбин (BioPharm Lab.)) в аналитическом буфере. Затем добавляли 15 мкл субстрата в аналитическом буфере и смешивали для инициации реакций. Через 20 мин при комнатной температуре добавляли 15 мкл останавливающего раствора (0,1 M уксусная кислота), перемешивали, показания с планшетов снимали на микропланшетном ридере SpectraMax i3x и экспортировали в виде файлов Excel. Каждый аналитический планшет имел контроль «без ингибитора» (только DMSO), контроль «без фермента» и контроль с эталонным ингибитором. Показатели активности, %, = 100*(средняя флуоресценция тестируемого соединения - средняя флуоресценция образца «без фермента») / (средняя флуоресценция образца «только DMSO» - средняя флуоресценция образца «без фермента)). Значения IC50 и Ki были очень воспроизводимыми, хорошо попадая в границы ± 2-кратных.

Результаты биологических анализов для соединений, приведенных в Таблице 31, приведены в Таблицах 32, 33 и 34, ниже.

Таблица 32: Ингибирование MASP-2/тромбина/лектинового пути для соединений 1000-1229 Соединение MASP-2, Ki (мкМ) mMASP-2, Ki (мкМ) Тромбин, Ki (мкМ) Лектиновый путь, IC50 (мкМ) Избирательность для MASP-2 относительно тромбина 1000 *** Н/О *** Н/О + 1001 ** Н/О *** Н/О -- 1002 ** Н/О **** Н/О Н/О 1003 *** Н/О **** Н/О -- 1004 *** Н/О **** Н/О -- 1005 ** Н/О **** Н/О -- 1006 **** **** **** Н/О -- 1007 **** ** * Н/О *** 1008 *** Н/О **** + -- 1009 ** Н/О *** Н/О -- 1010 **** Н/О -- Н/О **** 1011 **** Н/О **** ++ -- 1012 *** Н/О -- Н/О *** 1013 ** Н/О * Н/О ** 1014 ** Н/О -- Н/О ** 1015 *** * -- + * 1016 *** * -- + ** 1017 **** Н/О **** Н/О -- 1018 ** Н/О **/*** -- -- 1019 *** Н/О *** Н/О -- 1020 **** Н/О **** Н/О -- 1021 ** -- -- -- *** 1022 * Н/О *** Н/О -- 1023 *** Н/О **** + -- 1024 **** Н/О **** +++/++++ ** 1025 **** Н/О -- ++ **** 1026 *** Н/О **** Н/О ** 1027 **** Н/О **** ++/+++ -- 1028 ** Н/О **** Н/О -- 1029 ** Н/О *** Н/О -- 1030 **** **** ** ++ *** 1031 *** Н/О * Н/О ** 1032 **** Н/О ** Н/О **** 1033 ** Н/О ** Н/О -- 1034 **** Н/О *** +/++ * 1035 **** Н/О **** ++++ ** 1036 **** **** ***/** +++/++++ **** 1037 **** Н/О *** Н/О *** 1038 **** Н/О **** +++/++++ * 1039 ** * -- Н/О *** 1040 **** **** -- ++ **** 1041 *** Н/О **** + -- 1042 **** Н/О **** ++++ ** 1043 **** **** *** ++/+++ ** 1044 **** **** **** Н/О ** 1045 **** **** **** Н/О ** 1046 **** **** **** Н/О ** 1047 **** **** **** ++/+++ ** 1048 **** **** **** ++/+++ ** 1049 **** Н/О **** Н/О ** 1050 **** Н/О ** Н/О Н/О 1051 ** Н/О **** + -- 1053 **** Н/О ** ++ ** 1054 *** Н/О ** + * 1055 *** Н/О **** + -- 1056 **** Н/О *** Н/О **** 1057 **** Н/О *** Н/О **** 1058 **** Н/О **** ++/+++ -- 1059 **** **** -- ++/+++ **** 1060 ****/*** -- -- -- *** 1061 **** Н/О *** Н/О * 1062 *** Н/О * Н/О *** 1063 **** Н/О *** Н/О ** 1064 *** Н/О ** Н/О ** 1065 **** **** * ++++ **** 1066 **** Н/О -- Н/О *** 1067 **** **** ** Н/О **** 1068 *** Н/О * Н/О ** 1069 **** Н/О **** ++ -- 1070 ** Н/О -- Н/О * 1071 **** **** ** Н/О *** 1072 **** **** **** Н/О ** 1073 **** **** **** Н/О ** 1074 **** **** **** Н/О ** 1075 **** **** **** Н/О ** 1076 **** Н/О **** Н/О ** 1077 ** Н/О **** Н/О -- 1078 **** Н/О Н/О ++ Н/О 1079 **** Н/О Н/О + Н/О 1080 **** **** **** ++/+++ ** 1081 **** **** **** ++/+++ ** 1082 **** Н/О **** Н/О * 1083 **** Н/О **** + -- 1084 **** Н/О **** Н/О ** 1085 **** Н/О **** Н/О ** 1086 **** Н/О **** Н/О ** 1087 **** Н/О **** Н/О ** 1088 **** **** *** +++ ** 1089 **** Н/О ** Н/О *** 1090 **** **** **/* ++ *** 1091 *** **** -- + *** 1092 **** **** **** ++/+++ -- 1093 **** Н/О **** Н/О -- 1094 **** Н/О **** + -- 1095 ** Н/О ** Н/О * 1096 *** Н/О **** +/++ -- 1097 **** **** **** Н/О *** 1098 **** Н/О Н/О ++++ Н/О 1099 **** Н/О **** +++ -- 1100 *** Н/О **** Н/О -- 1101 **** **** *** Н/О * 1102 *** Н/О **** Н/О -- 1103 **** **** **** +++ ** 1104 * Н/О *** Н/О -- 1105 ** Н/О *** Н/О -- 1106 *** Н/О **** Н/О -- 1107 **** Н/О **** ++/+ -- 1108 **** **** **** Н/О * 1109 ** Н/О **** -- -- 1110 **** Н/О **** +++/++++ * 1111 **** Н/О **** Н/О * 1112 **** Н/О **** Н/О ** 1113 ** Н/О *** Н/О -- 1114 **** Н/О **** ++ -- 1115 **** Н/О **** ++ -- 1116 *** Н/О **** + -- 1117 ** Н/О **** Н/О -- 1118 **** **** **** Н/О ** 1119 **** Н/О *** Н/О ** 1120 **** Н/О **** Н/О ** 1121 ** Н/О *** Н/О -- 1122 **** Н/О **** Н/О -- 1123 **** Н/О *** ++ ** 1124 **** Н/О **** +++/++++ -- 1125 **** **** **** Н/О -- 1126 **** Н/О **** Н/О -- 1127 *** Н/О **** + -- 1128 **** **** **** Н/О * 1129 **** Н/О **** ++ -- 1130 **** Н/О **** Н/О -- 1131 **** Н/О **** ++ -- 1132 *** Н/О Н/О Н/О Н/О 1133 **** Н/О **** + -- 1134 **** **** **** Н/О -- 1135 **** Н/О *** Н/О * 1136 **** Н/О *** Н/О *** 1137 *** Н/О Н/О -- Н/О 1138 ** Н/О **** Н/О -- 1139 **** ** *** + * 1140 **** Н/О **** Н/О -- 1141 **** Н/О **** Н/О -- 1142 **** Н/О **** Н/О * 1143 **** **** **** Н/О -- 1144 *** Н/О Н/О Н/О Н/О 1145 **** Н/О Н/О +++ Н/О 1146 **** Н/О *** Н/О * 1147 *** Н/О *** Н/О * 1148 **** Н/О Н/О Н/О Н/О 1149 **** **** **** Н/О ** 1151 **** Н/О **** Н/О -- 1152 **** Н/О **** Н/О * 1153 **** Н/О **** Н/О **** 1154 **** Н/О **** Н/О -- 1156 * Н/О ***/**** Н/О -- 1157 * Н/О -- Н/О * 1158 * Н/О **** Н/О -- 1170 **** * -- Н/О **** 1171 * * -- -- * 1192 * Н/О -- Н/О * 1194 * Н/О ** Н/О -- 1195 * Н/О * Н/О -- 1207 ** Н/О *** Н/О -- 1211 **** Н/О **** Н/О -- 1213 * Н/О -- Н/О * 1215 ** * -- Н/О * 1218 **** Н/О **** Н/О -- 1223 **** **** **** Н/О *** 1229 ** Н/О ** Н/О * 999 (мелагатран control) **** **** **** +/++ --

Значения Ki ингибирования MASP-2 и ингибирования тромбина:

* Ki менее 25 мкМ

** Ki менее 10 мкМ

*** Ki менее 2,5 мкМ

**** Ki менее 0,5 мкМ

-- Ki of >25 мкМ

Ингибирование лектинового пути

-- Значение IC50 >50 мкМ

+ Значение IC50 в диапазоне от 5 мкМ до 50 мкМ

++ Значение IC50 в диапазоне от 0,5 мкМ до 5 мкМ

+++ Значение IC50 в диапазоне от 0,05 мкМ до 0,5 мкМ

++++ Значение IC50 <0,05 мкМ

Избирательность соединений для ингибирования MASP-2 относительно тромбина:

-- менее 1,0-кратной

* от 1,0 до 5,0-кратной

** от 5,0 до 25-кратной

*** от 25 до 100-кратной

**** >100-кратной

Н/О - Не определено

Таблица 33. Ингибирование MASP-2/тромбина/лектинового пути для соединений 1230-1497 Соединение MASP-2, Ki (мкМ) mMASP-2, Ki (мкМ) Тромбин, Ki (мкМ) Лектиновый путь, IC50 (мкМ) Избирательность для MASP-2 относительно тромбина 1230 **** **** * ++++ **** 1231 **** **** ** Н/О **** 1232 *** Н/О **** Н/О -- 1233 **** **** *** Н/О * 1234 **** **** * Н/О *** 1235 **** Н/О * Н/О *** 1236 **** **** **** Н/О * 1237 * Н/О *** Н/О -- 1238(:02 **** **** ** Н/О *** 1239 **** **** ** ++ ** 1240 *** Н/О * ++ ** 1241 **** **** **** Н/О * 1242 *** ** ** Н/О ** 1243 * Н/О -- Н/О Н/О 1244 *** Н/О -- Н/О ** 1245 **** * * Н/О **** 1246 * Н/О * Н/О * 1247 **** **** *** Н/О *** 1248 **** **** *** Н/О ** 1249 **** **** * Н/О **** 1250 **** **** **** Н/О * 1251 *** Н/О **** Н/О -- 1252 **** Н/О ** Н/О *** 1253 **** *** -- +++ Н/О 1254 **** Н/О * Н/О *** 1255 *** Н/О -- Н/О Н/О 1256 **** Н/О **** Н/О * 1257 **** * -- Н/О *** 1258 ** Н/О -- Н/О Н/О 1259 ** Н/О -- Н/О Н/О 1260 ** Н/О -- Н/О Н/О 1261 * * -- Н/О * 1262 **** Н/О *** Н/О *** 1263 ** ** -- Н/О Н/О 1264 ** * -- Н/О Н/О 1265 **** ** -- Н/О **** 1266 *** -- -- Н/О ** 1267 ** -- -- Н/О Н/О 1268 **** **** **** Н/О * 1269 *** * -- Н/О ** 1270 **** **** **** Н/О ** 1271 ** -- -- Н/О Н/О 1272 **** **** *** Н/О *** 1273 * * -- Н/О Н/О 1274 ** * -- Н/О ** 1275 *** -- -- Н/О *** 1276 **** **** *** Н/О *** 1277 **** **** **** Н/О ** 1278 **** **** ** Н/О *** 1279 *** -- ** Н/О ** 1280 ** * -- Н/О Н/О 1281 ** -- -- Н/О Н/О 1282 * -- -- Н/О Н/О 1283 **** *** ** Н/О *** 1284 **** **** **** Н/О * 1285 *** *** ** Н/О ** 1286 ** **** *** Н/О -- 1287 * -- -- Н/О Н/О 1288 ** ** -- Н/О Н/О 1289 **** **** **** Н/О -- 1290 **** **** *** Н/О ** 1291 *** * -- Н/О Н/О 1292 ** * -- Н/О Н/О 1293 ** ** -- Н/О * 1294 ** ** -- Н/О Н/О 1295 **** **** ** Н/О *** 1296 ** -- -- Н/О ** 1297 **** **** * Н/О **** 1298 **** ** -- Н/О Н/О 1299 **** * -- Н/О **** 1300 **** **** ** Н/О *** 1301 ** -- -- Н/О Н/О 1302 **** **** *** Н/О *** 1303 **** ** -- Н/О *** 1304 **** *** *** +++ *** 1305 *** **** -- Н/О ** 1306 **** **** **** Н/О * 1307 **** **** -- +++ **** 1308 *** *** * Н/О ** 1309 **** **** -- Н/О **** 1310 *** -- -- Н/О *** 1311 ** ** -- Н/О * 1312 **** **** **** Н/О * 1313 ** -- * Н/О * 1314 * -- -- Н/О * 1315 *** **** ** Н/О * 1316 **** **** *** Н/О *** 1317 **** *** -- Н/О Н/О 1318 **** **** ** Н/О **** 1319 **** * ** Н/О ** 1320 **** *** *** Н/О ** 1321 * -- -- Н/О Н/О 1322 **** *** * Н/О *** 1323 -- * -- Н/О Н/О 1324 **** **** *** +++ *** 1325 *** * **** Н/О -- 1326 **** **** * Н/О *** 1327 **** **** **** Н/О *** 1328 **** **** *** +++ **** 1329 **** **** *** Н/О * 1330 **** **** **** Н/О *** 1331 **** **** -- +++ **** 1332 * ** -- Н/О Н/О 1333 ** * -- Н/О Н/О 1334 **** **** **** +++ -- 1335 **** **** ** Н/О *** 1336 * -- -- Н/О Н/О 1337 **** **** *** ++ **** 1338 **** **** -- +++ **** 1339 **** **** **** ++++ ** 1340 **** **** **** Н/О ** 1341 * -- *** Н/О -- 1342 **** *** * Н/О **** 1343 **** **** ** +++ **** 1344 **** **** ** Н/О **** 1345 **** **** **** ++++ **** 1346 * -- -- Н/О Н/О 1347 **** **** *** ++++ *** 1348 **** **** **** ++++ *** 1349 *** ** -- Н/О ** 1350 **** **** ** ++ **** 1351 **** **** -- ++++ **** 1352 **** **** *** +++ *** 1353 **** **** **** ++++ *** 1354 **** *** ** Н/О *** 1355 **** * -- Н/О Н/О 1356 **** **** -- +++ **** 1357 **** **** -- ++++ **** 1358 *** -- -- Н/О Н/О 1359 *** * -- Н/О ** 1360 **** **** -- +++ **** 1361 **** **** -- ++++ **** 1362 *** *** *** Н/О * 1363 **** **** ** +++ **** 1364 *** * -- Н/О Н/О 1365 **** **** -- ++++ **** 1366 ** ** -- Н/О Н/О 1367 **** * -- Н/О Н/О 1368 *** * -- +++ ** 1369 **** **** -- Н/О **** 1370 **** *** -- +++ Н/О 1371 **** *** **** +++ -- 1372 **** **** **** +++ ** 1373 **** **** *** +++ *** 1374 **** **** -- Н/О Н/О 1375 *** * * ++ ** 1376 *** -- -- Н/О Н/О 1377 *** -- * +++ ** 1378 **** **** *** ++ * 1379 **** **** -- ++ **** 1380 *** **** -- -- *** 1381 *** * * ++ ** 1382 **** ** -- + *** 1383 *** ** -- + Н/О 1384 * -- -- Н/О * 1385 **** **** **** +++ ** 1386 * -- -- Н/О Н/О 1387 ** * -- Н/О Н/О 1388 **** **** -- ++++ **** 1389 **** ** -- ++ **** 1390 ** -- -- Н/О Н/О 1391 **** **** -- ++ **** 1392 **** **** *** ++ *** 1393 **** **** **** +++ * 1394 ** -- * Н/О * 1395 *** ** -- + Н/О 1396 **** **** -- ++ **** 1397 **** **** -- +++ **** 1398 **** *** -- +++ Н/О 1399 **** **** * +++ **** 1400 **** ** -- ++ Н/О 1401 **** *** -- Н/О Н/О 1402 **** *** **** Н/О * 1403 **** *** -- Н/О Н/О 1404 **** **** **** Н/О ** 1405 **** *** *** Н/О ** 1406 **** **** ** +++ **** 1407 **** **** ** +++ **** 1408 **** ** ** Н/О ** 1409 **** ** **** ++ * 1410 **** *** *** ++ *** 1411 **** **** -- +++ Н/О 1412 **** ** -- Н/О Н/О 1413 *** ** -- Н/О *** 1414 **** **** **** +++ -- 1415 **** **** **** +++ * 1416 **** **** **** +++ ** 1417 *** ** -- Н/О Н/О 1418 ** * -- Н/О Н/О 1419 **** **** **** ++++ * 1420 **** **** ** +++ **** 1421 **** *** * Н/О **** 1422 **** **** ** ++ **** 1423 **** **** ** +++ **** 1424 *** *** **** Н/О Н/О 1425 ** *** -- Н/О Н/О 1426 **** *** *** ++++ *** 1427 **** **** -- Н/О **** 1428 **** *** * ++ **** 1429 **** **** ** ++ **** 1430 **** **** -- ++ **** 1431 **** **** * +++ **** 1432 **** **** * ++ **** 1433 **** **** *** +++ **** 1434 * * -- Н/О Н/О 1435 **** **** * ++ **** 1436 *** -- * Н/О ** 1437 *** ** -- Н/О ** 1438 **** *** **** ++ ** 1439 **** ** -- Н/О Н/О 1440 **** ** -- Н/О Н/О 1441 **** **** -- +++ Н/О 1442 **** **** -- ++ Н/О 1443 **** **** *** ++ *** 1444 **** **** **** ++ ** 1445 **** *** -- + **** 1446 **** *** -- + **** 1447 **** **** ** ++ **** 1448 **** ** -- Н/О **** 1449 **** **** ** ++ **** 1450 **** **** ** +++ **** 1451 **** **** * ++ **** 1452 **** **** *** ++ **** 1453 **** **** * ++++ **** 1454 **** **** *** ++ *** 1455 **** **** -- Н/О **** 1456 **** *** -- + Н/О 1457 * ** -- Н/О Н/О 1458 **** **** -- Н/О **** 1459 **** **** ** Н/О **** 1460 **** **** -- Н/О **** 1461 **** **** *** Н/О **** 1462 *** ** * Н/О ** 1463 **** **** -- Н/О Н/О 1464 **** **** -- Н/О Н/О 1465 **** *** **** Н/О * 1466 **** **** * Н/О **** 1467 **** *** -- Н/О **** 1468 **** **** -- Н/О **** 1469 **** **** ** Н/О **** 1470 **** **** ** Н/О **** 1471 ** ** -- Н/О Н/О 1472 **** **** ** Н/О **** 1473 **** **** -- Н/О Н/О 1474 **** **** -- Н/О **** 1475 **** **** * Н/О **** 1476 **** **** ** Н/О **** 1477 **** **** * Н/О **** 1478 **** **** * Н/О **** 1479 **** **** * Н/О **** 1480 **** *** -- Н/О **** 1481 **** **** ** Н/О **** 1482 **** **** *** Н/О *** 1483 **** **** * Н/О **** 1484 *** *** -- Н/О Н/О 1485 **** **** *** Н/О ** 1486 *** **** ** Н/О ** 1487 **** Н/О -- Н/О *** 1488* Закуплено **** ** **** ++ -- 1489 **** *** **** Н/О -- 1490 **** ** **** + -- 1491 *** **** **** + -- 1492 **** **** **** +++ ** 1493 * -- * Н/О * 1494 **** **** ** Н/О **** 1495 ** *** -- Н/О ** 1496 **** *** -- Н/О Н/О 1497 **** ** ** Н/О **

Значения Ki ингибирования MASP-2 и ингибирования тромбина:

* 10 мкМ <Ki ≤25 мкМ

** 2,5 мкМ ≤ Ki <10 мкМ

*** 0,5 мкМ ≤ Ki <2,5 мкМ

**** Ki <0,5 мкМ

-- Ki >25 мкМ

Н/О - Не определено

Ингибирование лектинового пути

+ 5 мкМ < IC50 ≤50 мкМ

++ 0,5 мкМ ≤ IC50 <5 мкМ

+++ 0,05 мкМ ≤ Ki <0,5 мкМ

++++ Ki <0,05 мкМ

-- IC50 >50 мкМ

Избирательность соединений для ингибирования MASP-2 относительно тромбина:

-- <1,0-кратной

* ≥1,0 до <5,0-кратной

** ≥5,0 до <25-кратной

*** ≥25 до <100-кратной

**** ≥100-кратной

Н/О - Не определено

Таблица 34. Ингибирование MASP-2/тромбина/лектинового пути Соединение № MASP-2, Ki (мкМ) Тромбин, Ki (мкМ) Лектин, Ki Избирательность для MASP-2 относительно тромбина 2000 **** (+Zn)
-- (+ЭДТА)
** (+Zn)
-- (+ЭДТА)
Н/О ++ (+Zn)
2001 **** (+Zn)
-- (+ЭДТА)
*** (+Zn)
-- (+ЭДТА)
Н/О ++ (+Zn)
2002 *** (+Zn)
-- (+ЭДТА)
* (+Zn)
-- (+ЭДТА)
Н/О ++ (+Zn)
2003 ***** (+Zn)
-- (+ЭДТА)
*** (+Zn)
-- (+ЭДТА)
Н/О +++ (+Zn)
2004 **** (+Zn)
-- (+ЭДТА)
**** (+Zn)
-- (+ЭДТА)
Н/О + (+Zn)
2005 ***** (+Zn)
-- (+ЭДТА)
***** (+Zn)
-- (+ЭДТА)
Н/О + (+Zn)
2006 ** (+Zn)
-- (+ЭДТА)
-- (+Zn)
-- (+ЭДТА)
Н/О + (+Zn)
2007 **** (+Zn)
-- (+ЭДТА)
*** (+Zn)
-- (+ЭДТА)
Н/О ++ (+Zn)
2008 **** (+Zn)
-- (+ЭДТА)
** (+Zn)
-- (+ЭДТА)
Н/О +++ (+Zn)
2009 **** (+Zn)
-- (+ЭДТА)
*** (+Zn)
* (+ЭДТА)
Н/О ++ (+Zn)
2010 ***** (+Zn)
-- (+ЭДТА)
*** (+Zn)
* (+ЭДТА)
Н/О ++ (+Zn)
2011 **** (+Zn)
-- (+ЭДТА)
*** (+Zn)
-- (+ЭДТА)
Н/О ++ (+Zn)
2012 ***** (+Zn)
-- (+ЭДТА)
**** (+Zn)
-- (+ЭДТА)
Н/О + (+Zn)
2013 **** (+Zn)
-- (+ЭДТА)
** (+Zn)
-- (+ЭДТА)
Н/О ++++ (+Zn)
2014 **** (+Zn)
-- (+ЭДТА)
*** (+Zn)
* (+ЭДТА)
Н/О +++ (+Zn)
2015 *** (- Zn)
***** (+Zn)
-- (+ЭДТА)]
*** (- Zn)
**** (+Zn)
-- (+ЭДТА)]
Н/О + (+Zn)
2016 **** (+Zn)
-- (+ЭДТА)
* (+Zn)
* (+ЭДТА)
Н/О +++ (+Zn)
2017 *** -- Н/О >++ 2018 *** -- Н/О >++ 2019 ** -- Н/О >+ 2020 * -- Н/О >+ 2021 ** -- + >++

Значения Ki ингибирования MASP-2 и ингибирования тромбина:

* Ki менее 25 мкМ

** Ki менее 10 мкМ

*** Ki менее 2,5 мкМ

**** Ki менее 0,5 мкМ

***** Ki менее 0,05 мкМ

-- Ki >25 мкМ

Ингибирование лектинового пути:

-- Значение IC50 >50 мкМ

+ Значение IC50 в диапазоне от 5 мкМ до 50 мкМ

Избирательность соединений для MASP-2 относительно тромбина:

-- менее 1,0-кратной

+ от 1,0 до 5,0-кратной

++ от 5,0 до 25-кратной

+++ от 25 до 100-кратной

++++ >100-кратной

Н/О - Не определено

Пример 308. Получение белка MASP-2

Данный пример иллюстрирует получение рекомбинантного белка MASP-2, на основе UniProt O00187, маннан-связывающей лектин-ассоциированной сериновой протеазы 2 человека. Были получены экспрессионные конструкты MASP-2 человека CCP2-SP и CCP2-SP-6HIS для рекомбинантной экспрессии в клетках E. coli.

Рекомбинантную экспрессию MASP-2 в E. coli в виде телец включения и очистку белка проводили в соответствии с методами, описанными в публикации Ambrus G. et al., 2003, с небольшими модификациями. В случае варианта с HIS-маркером белок MASP-2 (CCP2-SP-6HIS) очищали в денатурирующих условиях в соответствии с методами, описанными в Ni-NTA Superflow Cartridge Handbook, Qiagen, March 2007.

Очистка MASP-2 включала экстракцию, разворачивание, рефолдинг и хроматографию с использованием стандартных методов, описанных в публикациях Harmat et al., J. Mol. Biol. 2004;342:1533-1546; Gal et al., J. Biol. Chem. 2005;280:33435-33444; и Ambrus et al. J Immunol. 2003 Feb 1;170(3):1374-82. После эксклюзионной хроматографии рекомбинантный белок MASP-2 концентрировали от 5 мг/мл до 20 мг/мл с использованием концентратор-центрифуги (Amicon НОММ 10 кДа). Образцы концентрированного белка MASP-2 быстро замораживали и хранили до размораживания с целью образования комплекса. Очистку и расщепление контролировали методом SDS-ПААГ с окрашиванием кумасси синим Simply Blue™ Safe Stain (Invitrogen).

Пример 309. Сокристаллизация MASP-2

Для получения растворов MASP-2 с ингибирующими соединениями для сокристаллизации соединения растворяли в водном растворе в концентрации от 100 мМ до 10 мМ. Такие маточные растворы разбавляли 1:10 в образцах белка MASP-2 при концентрации белка от 5 до 20 мг/мл.

Эксперименты по кристаллизации проводили с использованием метода сидячей капли с диффузией пара, объединяя равные объемы раствора комплекса MASP-2-соединение с коммерчески доступными препаратами для кристаллизации. Как правило, «хиты» кристаллизации получали путем скрининга против двух 96-луночных наборов реагентов кристаллизации (GRAS6, GRAS2, Hampton Research; MORPHEUS, Molecular Dimensions; Wizard 1&2 Cryo, Rigaku Reagents), и рост кристаллов проверяли методом оптической микроскопии. Кристаллы использовали непосредственно или дополнительно оптимизировали для рентгенодиффракции. Кристаллы захватывали криогенными петлями и погружали в жидкий азот непосредственно, либо в препарат кристаллизации перед быстрым охлаждением в жидком азоте добавляли 20% глицерин в качестве криопротектора.

Перечень кристаллографических структур соединение-MASP-2 с их соответствующими используемыми конструктами, а также полученные пространственные группы и расстояния, приведены для каждой структуры сокристалла в Таблице A3 (Приложение).

В случаях, когда наблюдали несколько положений лиганда в одной или нескольких кристаллографических ячейках, и в случаях, когда были получены кристаллические структуры нескольких пространственных групп, для анализа водородных связей и ван-дер-ваальсовых контактов выбирали наиболее репрезентативное положение.

Пример 310. Вымачивание кристаллов MASP-2

Для получения кристаллов, включающих комплексы MASP-2, связанного с ингибирующими соединениями, кристаллы, выращенные со слабо связанными соединениями, могут быть промыты и вымочены. Сначала выращивают кристаллы комплекса MASP-2-соединение, например, с соединением 43, и отдельные кристаллы промывают дважды в течение минимум 4 ч раствором для кристаллизации, не содержащим какие-либо соединения ингибиторов. Затем кристаллы переносят один раз или два раза для вымачивания в раствор для кристаллизации, содержащий ингибитор MASP-2. Дальнейшее обращение с кристаллом и обработку данных проводят как описано в предшествующем Примере 307.

Пример 311. Рентгеновская кристаллография

Рентгенодиффракция и определение структуры

Дифракцию кристаллов проводили с использованием рентгеновских лучей синхротрона с длиной волны 1,0 Å, и наборы данных рентгенодиффракции собирали при пучках синхротронного излучения SSRL BL9-2, BL14-1, BL12-2, а также ALS сектора 5 с использованием детекторов Dectris Pilatus и Eiger. Структуры определяли путем молекулярного замещения с использованием частей структуры 1Q3X в качестве поисковых моделей и частично уточняли с использованием Buster 2.10.2 или Refmac 5.8. Электронные плотности изучали при помощи Coot (Emsley et al., 2010) и подвергали итеративным циклам корректировки до того момента, когда плотность лиганда в связывающем кармане становилась четко видимой и R-факторы достаточными; в этот момент частичную корректировку считали завершенной и изучали модели лиганда, растворителя и белка. Когда наблюдали несколько положений лиганда, например, выступающих из нескольких молекул в асимметричной единице, или уточненные двойные положения в одной и той же молекуле, выбирали и анализировали только одно положение.

Пример 312. Структурный анализ

Частично уточненные структуры анализировали на типы и расстояния взаимодействий лиганд-белок и -растворитель с использованием программы LigPlot+ (Laskowski and Swindells, 2011) и ICM-Pro (Molsoft, LLC) с параметрами, установленными на 3,35 Å для максимального расстояния между донором и акцептором водородной связи; и параметрами несвязанных контактов от гидрофобных до любых контактов, например, ван-дер-ваальсовых взаимодействий, с максимальным контактным расстоянием 3,90 Å. В Таблице A2 (Приложение) показаны ван-дер-ваальсовы взаимодействия атомов MASP-2 с атомами соединений, которые являются результатом анализа LigPlot кристаллографических структур. LigPlot+ называет их «несвязанными контактами» или «гидрофобными контактами». Несмотря на название, там имеются пары атомов, которые включают возможные H-связи. Таким образом, в некоторых случаях Таблица A2 также содержит взаимодействия H-связи.

В конкретных аспектах аминокислоты MASP-2 CCP2-SP взаимодействуют с (1129) посредством ван-дер-ваальсовых взаимодействий. Ван-дер-ваальсовы взаимодействия включают слабые, близкодействующие силы электростатического притяжения между незаряженными молекулами, возникающие в результате взаимодействия постоянных или переходных электрических дипольных моментов.

Как показано в Таблице A2, атом CO2 соединения 1129 взаимодействует с атомом CD2 в HIS483. C30 взаимодействует с CE1 в PHE 529, и атомы NO4, CO3 и CO1 взаимодействуют с CZ в PHE529. Атом углерода C в PRO 606 аминокислоте MASP-2 CCP2-SP взаимодействует с (1129) через C28. Кроме того, азот амидина N19 взаимодействует с углеродом CG в ASP 627. Углерод C14 в (1129) взаимодействует с C в SER 628. Атомы углерода C18, C15 и C14 в (1129) взаимодействуют с кислородом в SER 628. C14 в (1129) также взаимодействует с кислородом OG в SER 628. C17 и C12 в (1129) взаимодействуют с углеродом CA в CYS 629. Атомы углерода C13, C12 и C11 в (1129) взаимодействуют с кислородом O в CYS 629. Кислород O25 в (1129) взаимодействует с углеродом CD и CG в ARG 630. Кислород 08 взаимодействует с углеродом CG в ARG 630. Углерод C17 взаимодействует с азотом ARG 630. Углерод C11 и углерод 06 взаимодействуют с кислородом OG в SER 633. Углерод C13 взаимодействует с углеродом CG1 в VAL 653. Азот N10 взаимодействует с углеродом C в SER 654. Атомы углерода C11, C06 и C01 взаимодействуют с углеродом C в SER 654. Атомы углерода C14 и C13, и кислород O07 взаимодействуют с углеродом C в TRP 655. Азот N10 и кислород O07 взаимодействуют с углеродом CA в TRP 655. Кислород 07 взаимодействует с углеродом CB в TRP 655. Атомы углерода C14 и C13 взаимодействуют с кислородом O в TRP 655. Азот N20 в (1129) взаимодействует с углеродом C в GLY 656. Азот N20 и атомы углерода C18 и C15, все взаимодействуют с углеродом CA в GLY 656. Атомы углерода C16 и 15 взаимодействуют с азотом N в GLY 656. Атомы углерода C23, C09 и C05 взаимодействуют с кислородом O в GLY 656. Углерод C23 и азот N20 взаимодействуют с углеродом C в SER 657. Атомы углерода C24, C23 и C16 взаимодействуют с кислородом O в SER 657. Кислород O25 и углерод C24 взаимодействуют с углеродом CA в MET 658. Кислород O26 взаимодействует с углеродом CG в MET 658. Азот N19 взаимодействует с атомами углерода CA и CB в CYS 660. Углерод C18 взаимодействует с углеродом CB в CYS 660. Азот N20 и атомы углерода C18, C16 и C15 взаимодействуют с серой SG в CYS 660. Углерод C18 взаимодействует с кислородом OE1 в GLN 665. Азот N19 взаимодействует с углеродом CA в GLY 667.

В конкретных аспектах аминокислоты MASP-2 CCP2-SP взаимодействуют с (1034) посредством ван-дер-ваальсовых взаимодействий. Как показано в Таблице A2, углерод C28 в (1034) взаимодействует с углеродом CG в PRO 606. Атом азота 04, CO3, C02 и CO1 в (1034) взаимодействуют с CZ в PHE 529. Атомы углерода C28 и C27 взаимодействуют с кислородом O в PRO 606. Азот N20 взаимодействует с углеродом CG в ASP 627. Углерод C16 взаимодействует с углеродом C в SER 628. Атомы углерода C18, C16 и C15 взаимодействуют с кислородом O в SER 628. Углерод C16 в (1034) взаимодействует с кислородом OG в SER 628. Атомы углерода C17, C13, C12, C11, C17, C14, C13 и C12 взаимодействуют с углеродом CA в CYS 629. Атомы углерода C12 и C11 взаимодействуют с кислородом O в CYS 629. Углерод C11 в (1034) взаимодействует с углеродом CA в ARG 630. Атомы углерода C13, C12, C11 взаимодействуют с азотом N в ARG 630. Углерод C11 взаимодействует с кислородом OG в SER 633. Углерод C11 в (1034) взаимодействует с углеродом C в SER 654. Атомы углерода C17 и C16, и кислород O07 взаимодействуют с углеродом C в TRP 655. Кислород O07 взаимодействуют с углеродом CA в TRP 655. Кислород 07 и углерод 05 взаимодействуют с углеродом CB в TRP 655. Углерод C16 взаимодействует с кислородом O в TRP 655. Азот N19 и кислород 07 в (1129) взаимодействуют с углеродом C в GLY 656. Азот N19 и углерод C18, и кислород O07, все взаимодействуют с углеродом CA в GLY 656. Атомы углерода C24, C09 и C05 взаимодействуют с кислородом O в GLY 656. Азот N19 взаимодействует с углеродом C в SER 657. Азот N19 взаимодействует с углеродом CA в SER 657. Атомы углерода C18, C14 взаимодействуют с кислородом O в SER 657. Азот N19 взаимодействует с углеродом CD в GLN 665. Углерод C18 взаимодействует с кислородом OE1 в GLN 665. Азот N20 взаимодействует с углеродом CA в GLY 667.

В конкретных аспектах аминокислоты MASP-2 CCP2-SP взаимодействуют с (1024) посредством ван-дер-ваальсовых взаимодействий. Как показано в Таблице A2, конкретные атомы в (1024) взаимодействуют с конкретными атомами в TYR 607, PRO 608, SER 611, ASP 627, SER 628, CYS 629, ARG 630, SER 633, SER 654, TRP 655, GLY 656, SER 657 и GLY 667 образом, аналогичным позициям 1 и 2 в Таблице 9, и описанным выше.

В конкретных аспектах аминокислоты MASP-2 CCP2-SP взаимодействуют с (1059) посредством ван-дер-ваальсовых взаимодействий. Как показано в Таблице A2, конкретные атомы в (1059) взаимодействуют с конкретными атомами в TYR 607, PRO 608, ASP 627, SER 628, CYS 629, ARG 630, SER 633, VAL 653, SER 654, TRP 655, GLY 656, SER 657, CYS 660 и GLY 667.

В конкретных аспектах аминокислоты MASP-2 CCP2-SP взаимодействуют с (1088) посредством ван-дер-ваальсовых взаимодействий. Как показано в Таблице A2, конкретные атомы в (1088) взаимодействуют с конкретными атомами в PRO 606, TYR 607, PRO 608, ASP 627, SER 628, ARG 630, SER 633, VAL 653, SER 654, TRP 655, GLY 656, SER 657, CYS 660 и GLY 667.

В конкретных аспектах аминокислоты MASP-2 CCP2-SP взаимодействуют с (1036) посредством ван-дер-ваальсовых взаимодействий. Как показано в Таблице A2, конкретные атомы в (1088) взаимодействуют с конкретными атомами в ASP 627, SER 628, CYS 629, ARG 630, SER 633, SER 654, TRP 655, GLY 656, SER 657, ASN 659, CYS 660 и GLY 667.

В конкретных аспектах аминокислоты MASP-2 CCP2-SP взаимодействуют с (1081) посредством ван-дер-ваальсовых взаимодействий. Как показано в Таблице A2, конкретные атомы в (1081) взаимодействуют с конкретными атомами в SER 611, ASP 627, SER 628, CYS 629, ARG 630, SER 633, VAL 653, SER 654, TRP 655, GLY 656, SER 657 и GLY 667.

В конкретных аспектах аминокислоты MASP-2 CCP2-SP взаимодействуют с (1063) посредством ван-дер-ваальсовых взаимодействий. Как показано в Таблице A2, конкретные атомы в (1063) взаимодействуют с конкретными атомами в SER 611, ASP 627, SER 628, CYS 629, ARG 630, SER 633, VAL 653, SER 654, TRP 655, GLY 656, SER 657 и GLY 667.

В конкретных аспектах аминокислоты MASP-2 CCP2-SP взаимодействуют с (1065) посредством ван-дер-ваальсовых взаимодействий. Как показано в Таблице A2, конкретные атомы в (1065) взаимодействуют с конкретными атомами в TYR 607, PRO 608, SER 611, ASP 627, SER 628, CYS 629, ARG 630, SER 633, VAL 653, SER 654, TRP 655, GLY 656, SER 657, MET 658, CYS 660 и GLY 667.

В конкретных аспектах аминокислоты MASP-2 CCP2-SP взаимодействуют с (1030) посредством ван-дер-ваальсовых взаимодействий. Как показано в Таблице A2, конкретные атомы в (1030) взаимодействуют с конкретными атомами в ASP 627, SER 628, ARG 630, SER 633, SER 654, TRP 655, GLY 656, SER 657, CYS 660 и GLY 667.

В конкретных аспектах аминокислоты MASP-2 CCP2-SP взаимодействуют с (1037) посредством ван-дер-ваальсовых взаимодействий. Как показано в Таблице A2, конкретные атомы в (1037) взаимодействуют с конкретными атомами в PRO 606, ASP 627, SER 628, CYS 629, ARG 630, SER 633, VAL 653, SER 654, TRP 655, GLY 656, SER 657, MET 658, CYS 660 и GLY 667.

В конкретных аспектах аминокислоты MASP-2 CCP2-SP взаимодействуют с (1118) посредством ван-дер-ваальсовых взаимодействий. Как показано в Таблице A2, конкретные атомы в (1118) взаимодействуют с конкретными атомами в TYR 607, PRO 608, SER 611, ASP 627, SER 628, CYS 629, ARG 630, SER 633, VAL 653, SER 654, TRP 655, GLY 656, SER 657, CYS 660 и GLY 667.

В конкретных аспектах аминокислоты MASP-2 CCP2-SP взаимодействуют с (1007) посредством ван-дер-ваальсовых взаимодействий. Как показано в Таблице A2, конкретные атомы в (1007) взаимодействуют с конкретными атомами в TYR 607, SER 611, ASP 627, SER 628, CYS 629, ARG 630, SER 633, SER 654, TRP 655, GLY 656, SER 656 и MET 658.

В конкретных аспектах аминокислоты MASP-2 CCP2-SP взаимодействуют с (мелагатраном) посредством ван-дер-ваальсовых взаимодействий. Как показано в Таблице A2, конкретные атомы в (мелагатране) взаимодействуют с конкретными атомами в TYR 607, ASP 627, SER 628, CYS 629, ARG 630, SER 633, SER 654, TRP 655, GLY 656, SER 657, MET 658 и GLY 667.

В конкретных аспектах аминокислоты MASP-2 CCP2-SP взаимодействуют с (1090) посредством ван-дер-ваальсовых взаимодействий. Как показано в Таблице A2, конкретные атомы в (1090) взаимодействуют с конкретными атомами в PRO 606, TYR 607, PRO 608, ASP 627, SER 628, CYS 629, ARG 630, SER 633, TRP 655, GLY 656 и SER 657.

В конкретных аспектах аминокислоты MASP-2 CCP2-SP взаимодействуют с (1089) посредством ван-дер-ваальсовых взаимодействий. Как показано в Таблице A2, конкретные атомы в (1089) взаимодействуют с конкретными атомами в PRO 606, ASP 627, SER 628, ARG 630, SER 633, SER 654, TRP 655, GLY 656, SER 657, CYS 660 и GLY 667.

В конкретных аспектах аминокислоты MASP-2 CCP2-SP взаимодействуют с (1021) посредством ван-дер-ваальсовых взаимодействий. Как показано в Таблице A2, конкретные атомы в (1021) взаимодействуют с конкретными атомами в ASP 627, SER 628, CYS 629, ARG 630, SER 633, VAL 653, SER 654, TRP 655, GLY 656, SER 657, MET 658, GLY 667 и TYR 669.

В конкретных аспектах аминокислоты MASP-2 CCP2-SP взаимодействуют с (1097) посредством ван-дер-ваальсовых взаимодействий. Как показано в Таблице A2, конкретные атомы в (1118) взаимодействуют с конкретными атомами в PRO 606, TYR 607, PRO 608, ASP 627, SER 628, CYS 629, ARG 630, SER 633, SER 654, TRP 655, GLY 656, SER 657, MET 658, CYS 660 и GLY 667.

Кристаллическая структура показала, что аминокислоты MASP-2 CCP2-SP взаимодействуют с соединением (54) посредством ван-дер-ваальсовых взаимодействий. Как показано в Таблице A2, конкретные атомы соединения (54) взаимодействуют с конкретными атомами в ALA 468, ALA 469, PHE 529, SER 628, CYS 629, ARG 630, GLY 631, ASP 632, GLY 634, GLY 635, VAL 653, SER 654, TRP 655, GLY656, SER 657 и MET 658.

Кристаллическая структура показала, что аминокислоты MASP-2 CCP2-SP взаимодействуют с соединением (54) посредством ван-дер-ваальсовых взаимодействий. Как показано в Таблице A2, конкретные атомы соединения (54) взаимодействуют с конкретными атомами в GLY 528, ASP627, SER628, CYS 629, ARG 630, SER 633, VAL653, SER 654, TRP 655, GLY 656, SER 657, CYS 660 и GLY 667.

Кристаллическая структура показала, что аминокислоты MASP-2 CCP2-SP взаимодействуют с соединением (54) посредством ван-дер-ваальсовых взаимодействий. Как показано в Таблице A2, конкретные атомы соединения (54) взаимодействуют с конкретными атомами в HIS 483, PHE 529, PRO 608, SER 611, ASP 627, SER 628, CYS 629, SER 633, SER 654, TRP 655, GLY656, SER 657 и GLY 667.

Кристаллическая структура показала, что аминокислоты MASP-2 CCP2-SP взаимодействуют с соединением (2018) посредством ван-дер-ваальсовых взаимодействий. Как показано в Таблице A2, конкретные атомы соединения (2018) взаимодействуют с конкретными атомами в HIS 483, PHE 529, TYR 607, ASP 627, SER 628, CYS 629, ARG 630, SER 633, SER 654, TRP 655, GLY656, SER 657, CYS 660, GLN 665 и GLY 667.

Кристаллическая структура показала, что аминокислоты MASP-2 CCP2-SP взаимодействуют с соединением (1149) посредством ван-дер-ваальсовых взаимодействий. Как показано в Таблице A2, конкретные атомы соединения (1149) взаимодействуют с конкретными атомами в HIS 483, ASP 526, GLY 528, PHE 529, PRO 608, SER 611, ASP 627, SER 628, CYS 629, SER 633, SER 654, TRP 655, GLY656, SER 657, MET 658, CYS 660 и GLY 667.

Кристаллическая структура показала, что аминокислоты MASP-2 CCP2-SP взаимодействуют с соединением (1031) посредством ван-дер-ваальсовых взаимодействий. Как показано в Таблице A2, конкретные атомы соединения (1031) взаимодействуют с конкретными атомами в HIS 483, PHE 529, TYR 607, SER 611, ASP 627, SER 628, CYS 629, ARG 630, SER 633, VAL 653, SER 654, TRP 655, GLY656, SER 657 и CYS 660.

Кристаллическая структура показала, что аминокислоты MASP-2 CCP2-SP взаимодействуют с соединением (1153) посредством ван-дер-ваальсовых взаимодействий. Как показано в Таблице A2, конкретные атомы соединения (1153) взаимодействуют с конкретными атомами в HIS 483, PHE 529, ASP 627, SER 628, CYS 629, ARG 630, SER 633, VAL 653, SER 654, TRP 655, GLY656, SER 657, MET 658, CYS 660 и GLY 667.

Кристаллическая структура показала, что аминокислоты MASP-2 CCP2-SP взаимодействуют с соединением (1025) посредством ван-дер-ваальсовых взаимодействий. Как показано в Таблице A2, конкретные атомы соединения (1025) взаимодействуют с конкретными атомами в HIS 483, PHE 529, TYR 607, ASP 627, SER 628, CYS 629, SER 633, SER 654, TRP 655, GLY656, SER 657, MET 658 и CYS 660.

Кристаллическая структура показала, что аминокислоты MASP-2 CCP2-SP взаимодействуют с соединением (1012) посредством ван-дер-ваальсовых взаимодействий. Как показано в Таблице A2, конкретные атомы соединения (1012) взаимодействуют с конкретными атомами в HIS 483, PHE 529, PRO 606, TYR 607, PRO 608, SER 628, CYS 629, ARG 630, SER 633, SER 654, TRP 655, GLY656, SER 657, MET 658 и CYS 660.

Кристаллическая структура показала, что аминокислоты MASP-2 CCP2-SP взаимодействуют с соединением (1078) посредством ван-дер-ваальсовых взаимодействий. Как показано в Таблице A2, конкретные атомы соединения (1078) взаимодействуют с конкретными атомами в HIS 483, PHE 529, PRO 608, SER 611, ASP 627, SER 628, CYS 629, ARG 630, SER 633, VAL 653, SER 654, TRP 655, GLY656, MET 658, GLY 667 и TYR 669

Кристаллическая структура показала, что аминокислоты MASP-2 CCP2-SP взаимодействуют с соединением (1145) посредством ван-дер-ваальсовых взаимодействий. Как показано в Таблице A2, конкретные атомы соединения (1145) взаимодействуют с конкретными атомами в HIS 483, PHE 529, TYR 607, SER 611, ASP 627, SER 628, CYS 629, ARG 630, SER 633, VAL 653, SER 654, TRP 655, GLY656, SER 657, MET 658, CYS 660 и GLY 667.

Кристаллическая структура показала, что аминокислоты MASP-2 CCP2-SP взаимодействуют с соединением (1050) посредством ван-дер-ваальсовых взаимодействий. Как показано в Таблице A2, конкретные атомы соединения (1050) взаимодействуют с конкретными атомами в PHE 529, TYR 607, PRO 608, ASP 627, SER 628, CYS 629, ARG 630, SER 633, VAL 653, SER 654, TRP 655, GLY656, SER 657, CYS 660 и GLY 667.

Кристаллическая структура показала, что аминокислоты MASP-2 CCP2-SP взаимодействуют с соединением (1253) посредством ван-дер-ваальсовых взаимодействий. Как показано в Таблице A2, конкретные атомы соединения (1253) взаимодействуют с конкретными атомами в HIS 483, PHE 529, TYR 607, SER 611, SER 628, CYS 629, ARG 630, SER 633, VAL 653, SER 654, TRP 655, GLY656, SER 657 и CYS 660.

Кристаллическая структура показала, что аминокислоты MASP-2 CCP2-SP взаимодействуют с соединением (1257) посредством ван-дер-ваальсовых взаимодействий. Как показано в Таблице A2, конкретные атомы соединения (1257) взаимодействуют с конкретными атомами в HIS 483, PHE 529, PRO 606, TYR 607, PRO 608, SER 611, SER 628, CYS 629, ARG 630, SER 633, VAL 653, SER 654, TRP 655, GLY656, SER 657 и CYS 660.

Кристаллическая структура показала, что аминокислоты MASP-2 CCP2-SP взаимодействуют с соединением (1297) посредством ван-дер-ваальсовых взаимодействий. Как показано в Таблице A2, конкретные атомы соединения (1297) взаимодействуют с конкретными атомами в HIS 483, GLY 528, PHE 529, TYR 607, PRO 608, SER 611, SER 628, CYS 629, ARG 630, SER 633, VAL 653, SER 654, TRP 655, GLY656 и SER 657.

Кристаллическая структура показала, что аминокислоты MASP-2 CCP2-SP взаимодействуют с соединением (1304) посредством ван-дер-ваальсовых взаимодействий. Как показано в Таблице A2, конкретные атомы соединения (1304) взаимодействуют с конкретными атомами в HIS 483, GLY 528, PHE 529, TYR 607, PRO 608, SER 611, SER 628, CYS 629, ARG 630, SER 633, VAL 653, SER 654, TRP 655, GLY656, SER 657 и CYS 660.

Кристаллическая структура показала, что аминокислоты MASP-2 CCP2-SP взаимодействуют с соединением (1306) посредством ван-дер-ваальсовых взаимодействий. Как показано в Таблице A2, конкретные атомы соединения (1306) взаимодействуют с конкретными атомами в HIS 483, PHE 529, TYR 607, PRO 608, SER 611, ASP 627, SER 628, ARG 630, SER 633, SER 654, TRP 655, GLY656, SER 657, CYS 660.

Кристаллическая структура показала, что аминокислоты MASP-2 CCP2-SP взаимодействуют с соединением (1307) посредством ван-дер-ваальсовых взаимодействий. Как показано в Таблице A2, конкретные атомы соединения (1307) взаимодействуют с конкретными атомами в HIS 483, GLY 528, PHE 529, TYR 607, PRO 608, SER 611, ASP 627, SER 628, CYS 629, ARG 630, SER 633, VAL 653, SER 654, TRP 655, GLY656, SER 657, MET 658, CYS 660, GLY 667 и TYR 669

Кристаллическая структура показала, что аминокислоты MASP-2 CCP2-SP взаимодействуют с соединением (1328) посредством ван-дер-ваальсовых взаимодействий. Как показано в Таблице A2, конкретные атомы соединения (1328) взаимодействуют с конкретными атомами в HIS 483, PHE 529, TYR 607, PRO 608, SER 611, SER 628, CYS 629, ARG 630, SER 633, VAL 653, SER 654, TRP 655, GLY656, SER 657, MET 658 и CYS 660.

Кристаллическая структура показала, что аминокислоты MASP-2 CCP2-SP взаимодействуют с соединением (1334) посредством ван-дер-ваальсовых взаимодействий. Как показано в Таблице A2, конкретные атомы соединения (1334) взаимодействуют с конкретными атомами в HIS 483, PHE 529, TYR 607, PRO 608, SER 611, ASP 627, SER 628, CYS 629, ARG 630, SER 633, VAL 653, SER 654, TRP 655, GLY656, CYS 660, GLY 667 и TYR 669.

Кристаллическая структура показала, что аминокислоты MASP-2 CCP2-SP взаимодействуют с соединением (1335) посредством ван-дер-ваальсовых взаимодействий. Как показано в Таблице A2, конкретные атомы соединения (1335) взаимодействуют с конкретными атомами в HIS 483, PHE 529, TYR 607, PRO 608, ASP 627, SER 628, CYS 629, ARG 630, SER 633, VAL 653, SER 654, TRP 655, GLY656, SER 657, CYS 660, GLN 665 и GLY 667.

Кристаллическая структура показала, что аминокислоты MASP-2 CCP2-SP взаимодействуют с соединением (1338) посредством ван-дер-ваальсовых взаимодействий. Как показано в Таблице A2, конкретные атомы соединения (1338) взаимодействуют с конкретными атомами в HIS 483, ALA 527, GLY 528, PHE 529, PRO 608, SER 611, SER 628, CYS 629, ARG 630, SER 633, VAL 653, SER 654, TRP 655, GLY656, SER 657, MET 658 и CYS 660.

Кристаллическая структура показала, что аминокислоты MASP-2 CCP2-SP взаимодействуют с соединением (1345) посредством ван-дер-ваальсовых взаимодействий. Как показано в Таблице A2, конкретные атомы соединения (1345) взаимодействуют с конкретными атомами в HIS 483, PHE 529, LEU 575, SER 611, ASP 627, SER 628, CYS 629, ARG 630, SER 633, SER 654, TRP 655, GLY656, SER 657, MET 658, CYS 660, GLN 665 и GLY 667.

Кристаллическая структура показала, что аминокислоты MASP-2 CCP2-SP взаимодействуют с соединением (1351) посредством ван-дер-ваальсовых взаимодействий. Как показано в Таблице A2, конкретные атомы соединения (1351) взаимодействуют с конкретными атомами в HIS 483, ALA 527, GLY 528, PHE 529, TYR 607, PRO 608, SER 611, SER 628, CYS 629, ARG 630, SER 633, VAL 653, SER 654, TRP 655, GLY656, SER 657 и CYS 660.

Кристаллическая структура показала, что аминокислоты MASP-2 CCP2-SP взаимодействуют с соединением (1353) посредством ван-дер-ваальсовых взаимодействий. Как показано в Таблице A2, конкретные атомы соединения (1353) взаимодействуют с конкретными атомами в HIS 483, GLY 528, PHE 529, TYR 607, PRO 608, SER 611, SER 628, CYS 629, ARG 630, SER 633, VAL 653, SER 654, TRP 655, GLY656, SER 657 и MET 658.

Кристаллическая структура показала, что аминокислоты MASP-2 CCP2-SP взаимодействуют с соединением (1360) посредством ван-дер-ваальсовых взаимодействий. Как показано в Таблице A2, конкретные атомы соединения (1360) взаимодействуют с конкретными атомами в HIS 483, GLY 528, GLY 528, PHE 529, PRO 606, TYR 607, PRO 608, SER 611, SER 628, CYS 629, ARG 630, SER 654, TRP 655, GLY656 и SER 657.

Кристаллическая структура показала, что аминокислоты MASP-2 CCP2-SP взаимодействуют с соединением (1367) посредством ван-дер-ваальсовых взаимодействий. Как показано в Таблице A2, конкретные атомы соединения (1367) взаимодействуют с конкретными атомами в HIS 483, GLY 528, PHE 529, TYR 607, PRO 608, SER 628, CYS 629, ARG 630, SER 633, VAL 653, SER 654, TRP 655, GLY656 и SER 657.

Кристаллическая структура показала, что аминокислоты MASP-2 CCP2-SP взаимодействуют с соединением (1368) посредством ван-дер-ваальсовых взаимодействий. Как показано в Таблице A2, конкретные атомы соединения (1368) взаимодействуют с конкретными атомами в HIS 483, PHE 529, PRO 606, TYR 607, SER 611, SER 628, CYS 629, ARG 630, SER 633, VAL 653, SER 654, TRP 655, GLY656, SER 657, MET 658 и CYS 660.

Кристаллическая структура показала, что аминокислоты MASP-2 CCP2-SP взаимодействуют с соединением (1371) посредством ван-дер-ваальсовых взаимодействий. Как показано в Таблице A2, конкретные атомы соединения (1371) взаимодействуют с конкретными атомами в HIS 483, GLY 528, PHE 529, TYR 607, PRO 608, SER 611, ASP 627, SER 628, CYS 629, ARG 630, SER 633, VAL 653, SER 654, TRP 655, GLY656, SER 657, MET 658, CYS 660, GLY 667 и TYR 669.

Кристаллическая структура показала, что аминокислоты MASP-2 CCP2-SP взаимодействуют с соединением (1372) посредством ван-дер-ваальсовых взаимодействий. Как показано в Таблице A2, конкретные атомы соединения (1372) взаимодействуют с конкретными атомами в HIS 483, GLY 528, PHE 529, TYR 607, PRO 608, SER 611, SER 628, CYS 629, ARG 630, SER 633, VAL 653, SER 654, TRP 655, GLY656, SER 657 и CYS 660.

Кристаллическая структура показала, что аминокислоты MASP-2 CCP2-SP взаимодействуют с соединением (1373) посредством ван-дер-ваальсовых взаимодействий. Как показано в Таблице A2, конкретные атомы соединения (1373) взаимодействуют с конкретными атомами в HIS 483, GLY 528, PHE 529, TYR 607, PRO 608, SER 611, SER 628, CYS 629, ARG 630, SER 633, VAL 653, SER 654, TRP 655, GLY656, SER 657 и CYS 660.

Кристаллическая структура показала, что аминокислоты MASP-2 CCP2-SP взаимодействуют с соединением (1492) посредством ван-дер-ваальсовых взаимодействий. Как показано в Таблице A2, конкретные атомы соединения (1492) взаимодействуют с конкретными атомами в HIS 483, PHE 529, PRO 606, ASP 627, SER 628, CYS 629, ARG 630, SER 633, VAL 653, SER 654, TRP 655, GLY656, SER 657, CYS 660 и GLY 667.

Кристаллическая структура показала, что аминокислоты MASP-2 CCP2-SP взаимодействуют с соединением (1399) посредством ван-дер-ваальсовых взаимодействий. Как показано в Таблице A2, конкретные атомы соединения (1399) взаимодействуют с конкретными атомами в HIS 483, ALA 527, GLY 528, PHE 529, TYR 607, PRO 608, SER 628, CYS 629, ARG 630, SER 633, VAL 653, SER 654, TRP 655, GLY656 и SER 657.

Кристаллическая структура показала, что аминокислоты MASP-2 CCP2-SP взаимодействуют с соединением (1406) посредством ван-дер-ваальсовых взаимодействий. Как показано в Таблице A2, конкретные атомы соединения (1406) взаимодействуют с конкретными атомами в HIS 483, ASP 526, ALA 527, GLY 528, PHE 529, TYR 607, PRO 608, SER 628, CYS 629, ARG 630, SER 633, VAL 653, SER 654, TRP 655, GLY656, SER 657 и CYS 660.

Кристаллическая структура показала, что аминокислоты MASP-2 CCP2-SP взаимодействуют с соединением (1411) посредством ван-дер-ваальсовых взаимодействий. Как показано в Таблице A2, конкретные атомы соединения (1411) взаимодействуют с конкретными атомами в HIS 483, GLY 528, PHE 529, TYR 607, PRO 608, SER 611, SER 628, CYS 629, ARG 630, SER 633, VAL 653, SER 654, TRP 655, GLY656, SER 657, MET 658 и CYS 660.

Кристаллическая структура показала, что аминокислоты MASP-2 CCP2-SP взаимодействуют с соединением (1433) посредством ван-дер-ваальсовых взаимодействий. Как показано в Таблице A2, конкретные атомы соединения (1433) взаимодействуют с конкретными атомами в HIS 483, PHE 529, TYR 607, ASP 627, SER 628, CYS 629, ARG 630, SER 633, VAL 653, SER 654, TRP 655, GLY656, MET 658, GLY 667 и TYR 669.

Кристаллическая структура показала, что аминокислоты MASP-2 CCP2-SP взаимодействуют с соединением (1435) посредством ван-дер-ваальсовых взаимодействий. Как показано в Таблице A2, конкретные атомы соединения (1435) взаимодействуют с конкретными атомами в HIS 483, PHE 529, TYR 607, ASP 627, SER 628, CYS 629, ARG 630, SER 633, VAL 653, SER 654, TRP 655, GLY656, GLY 667 и TYR 669.

Кристаллическая структура показала, что аминокислоты MASP-2 CCP2-SP взаимодействуют с соединением (1441) посредством ван-дер-ваальсовых взаимодействий. Как показано в Таблице A2, конкретные атомы соединения (1441) взаимодействуют с конкретными атомами в HIS 483, GLY 528, PHE 529, TYR 607, PRO 608, SER 611, SER 628, CYS 629, ARG 630, SER 633, VAL 653, SER 654, TRP 655, GLY656, SER 657, MET 658 и CYS 660.

Кристаллическая структура показала, что аминокислоты MASP-2 CCP2-SP взаимодействуют с соединением (1450) посредством ван-дер-ваальсовых взаимодействий. Как показано в Таблице A2, конкретные атомы соединения (1450) взаимодействуют с конкретными атомами в HIS 483, GLY 528, PHE 529, TYR 607, ASP 627, SER 628, CYS 629, SER 654, TRP 655, GLY656, SER 657, CYS 660, GLY 667 и TYR 669.

Пример 313. Специфичность для MASP-2 относительно тромбина

Кристаллографическую структуру тромбина в комплексе с мелагатраном (регистрационный код базы данных белков 4BAH) сравнивали с кристаллографической структурой MASP-2 в комплексе с мелагатраном, а также со структурой с другими соединениями.

Также определяли рентгеновскую кристаллографическую структуру человеческого альфа-тромбина в комплексе с соединением (1334), как описано в публикации Biela et al., J. Med. Chem 2012, 55, 6094-6110, до разрешения 1,8 A в пространственной группе C 1 2 1 и сравнивали с кристаллографической структурой MASP-2, совместно кристаллизованного с соединением (1334).

Наложение осуществляли при помощи функции MatchMaker в компьютерной программе Chimera (Pettersen et al., 2004), с использованием соответствующих доменов сериновой протеазы для итеративного совмещения.

На совместную структуру тромбина и мелагатрана (4BAH) накладывали совместную структуру соединения 1065 с MASP-2.

На совместную структуру тромбина с соединением (1334) (с использованием нумерации в соответствии с PDB регистрационным кодом базы данных белков 1K22) накладывали совместную структуру соединения по настоящему изобретению с MASP-2 (смотри, ФИГ. 61-63). На ФИГ. 63 отчетливо видно, что удлиненный и объемный сегмент M4 ингибитора MASP-2 не вмещается, а также изменение на обратную ориентации фрагмента пирролидина и бензила соединения (1334).

Было обнаружено, что тромбин имеет гребень, состоящий из остатков GLU 130 и ILE 209 (ASN98, LEU99 и ILE 174), который создает барьер, не позволяющий крупным объемным остаткам занимать этот сайт (смотри, ФИГ. 61-63). Однако в соответствующей области в MASP-2 имеется щель, выстланная аминокислотами PHE 529, GLY 528, TRP 655, SER 611, PRO 608, TYR 607 и PRO 606. ФИГ. 61, ФИГ. 65. Важно то, что, в MASP-2 отсутствует соответствующий барьер для крупных объемных остатков, таким образом, крупные объемные остатки имеют возможность связываться, это позволяет разрабатывать средства, специфические для MASP-2 относительно тромбина и других аналогичных протеаз.

Как обсуждалось, соединения по изобретению могут иметь специфичность для MASP-2 относительно тромбина. MASP-2 имеет V-образную щель, которая выходит за пределы связывающего кармана S3 и S4. Соединения могут проникать в эту щель и образовывать продуктивные ван-дер-ваальсовы взаимодействия с объемными ароматическими остатками в области M4. Однако соответствующая область в тромбине блокирована образующими гребень остатками GLU 130 и ILE 209 (GLU 259, ASN98, LEU99 и ILE 209). ФИГ. 61, ФИГ. 65.

Как обсуждалось, соединения по изобретению могут иметь специфичность для MASP-2 относительно тромбина. MASP-2 имеет впадину S1, простирающуюся внутри связывающего кармана S1. Соединения могут проникать в эту щель и образовывать продуктивные ван-дер-ваальсовы взаимодействия с остатками CYS629, CYS660, которые взаимодействуют с областью M1. Однако соответствующая область в тромбине блокирована образующими гребень остатками CYS220 и GLY219 (1k22).

Как обсуждалось, соединения по изобретению могут иметь специфичность для MASP-2 относительно тромбина. MASP-2 имеет выступ S2, выходящий за пределы связывающего кармана S1. Соединения могут проникать в эту щель и образовывать продуктивные ван-дер-ваальсовы взаимодействия с LEU99, SER654, HIS483, остатками в области M3. Однако соответствующая область в тромбине блокирована образующими гребень остатками TYR60A и LYS60F (1k22).

Как обсуждалось, соединения по изобретению могут иметь специфичность для MASP-2 относительно тромбина. MASP-2 имеет входную впадину S3 в связывающей области S3. Соединения могут проникать в эту щель и образовывать продуктивные водородные связи с GLY656, остатком в области M3. Соответствующая область около остатка GLY 216 (1k22) в тромбине смещена в сравнении с соответствующим остатком GLY656 в MASP-2.

На основании экспериментально определенных взаимодействий соединения с MASP-2 очевидно, что H-связи предпочтительно образуются с остатками ASP627, SER628, SER654, GLY656, GLN 665, ARG630, PRO606, SER 633, CYS660 и SER 657, ионные/электростатические взаимодействия с ASP627 или ARG 630, через молекулу воды, а также дополнительные ван-дер-ваальсовы контакты с ALA 468, ALA469, HIS 483, ASP526, ALA527, GLY528, PHE 529, LEU575, PRO 606, TYR 607, PRO608, SER 611, ASP627, SER 628, CYS 629, ARG 630, GLY 631, ASP 632, SER 633, GLY634, GLY 635, VAL 653, SER 654, TRP 655, GLY656, SER 657, MET 658, ASN 659, CYS 660, GLN 665, GLY 667, TYR 669.

Литература:

Ambrus, G., Gál, P., Kojima, M., Szilágyi, K., Balczer, J., Antal, J., Gráf, L., Laich, A., Moffat, B. E., Schwaeble, W., Sim, R. B., and Závodszky, P. Natural Substrates and Inhibitors of Mannan-Binding Lectin-Associated Serine Protease-1 and -2: A Study on Recombinant Catalytic Fragments J. Immunol. 170, 1374-1382 (2003).

Harmat V, Gál P, Kardos J, Szilágyi K, Ambrus G, Végh B, Náray-Szabó G, Závodszky P. The structure of MBL-associated serine protease-2 reveals that identical substrate specificities of C1s and MASP-2 are realized through different sets of enzyme-substrate interactions. J Mol Biol. 2004 Oct 1;342(5):1533-46.

Gál P, Harmat V, Kocsis A, Bián T, Barna L, Ambrus G, Végh B, Balczer J, Sim RB, Náray-Szabó G, Závodszky P. J Biol Chem. 2005 Sep 30;280(39):33435-44. Epub 2005 Jul 21. A true autoactivating enzyme. Structural insight into mannose-binding lectin-associated serine protease-2 activations.

Laskowski R A, Swindells M B (2011). LigPlot+: multiple ligand-protein interaction diagrams for drug discovery. J. Chem. Inf. Model., 51, 2778-2786.

Paul Emsley, Bernhard Lohkamp, William G. Scott, Kevin Cowtan Features and Development of Coot. Acta Crystallographica Section D - Biological Crystallography (2010) 66,486-501.

UCSF Chimera--a visualization system for exploratory research and analysis. Pettersen EF, Goddard TD, Huang CC, Couch GS, Greenblatt DM, Meng EC, Ferrin TE. J Comput Chem. 2004 Oct;25(13):1605-12.

Пример 314. Тестирование способа определения виртуального сайта связывания

Для оценки полезности определенных кристаллографическими методами совместных структур MASP-2-CCP2-SP-низкомолекулярное ингибирующее соединение для идентификации виртуальных сайтов связывания соединений-хитов HTS проводили предварительный контрольный эксперимент способом определения виртуальных сайтов связывания по изобретению.

Определенную кристаллографическими методами структуру MASP-2 со связанным 1030 (ФИГ. 10) получали для стыковки путем создания исходной модели MASP-2 в соответствии с методикой этапа 1 (ФИГ. 76). С этой целью цепь CCP2, сульфат-ионы, молекулу полиэтиленгликоля, 307 молекул воды и связанную молекулу 1030 удаляли из параметров экспериментальной кристаллографической структуры в файле PDB, с последующим воспроизведением модифицированной кристаллической структуры в качестве исходной модели MASP-2 с использованием компьютерной программы ICM Pro (Abagyan & Totrov, 1994 и Abagyan et al., 1994).

В соответствии с этапом 2 способа по изобретению в процессе перевода из файла типа PDB в объект ICM модель MASP-2 оптимизируется за счет добавления атомов водорода и оптимизации следующих аминокислот: His, Pro, Asn, Gln, Cys. На следующем этапе определяют часть площади поверхности (примерно 1/3 молекулярной поверхности домена SP MASP-2) вокруг сайта связывания S1, и внутренние поверхности исключают с использованием инструмента поиска кармана ICM, используя установку допуска на 1. Этим методом получают площадь поверхности примерно 2300 квадратных ангстрем. Затем рассчитывают рецепторную карту MASP-2 для бокса, который ограничивает расчеты стыковки лишь 1/3-ей белковой поверхности.

Этап 3 включает конвертацию цифрового представления данных для малой молекулы 1030 (ФИГ. 10) и малой молекулы (1024) (ФИГ. 3) в виде трехмерных цифровых представлений с минимизированной энергией. Цифровые представления для 1030 и 1024 воспроизведены ниже:

3D представления для 1030 и 1024 получали путем загрузки представлений в формате файла структурных данных (SDF) для каждого соединения, с последующим встраиванием вычислительными методами атомов водорода для каждого соединения, присваиванием зарядов и, наконец, конвертацией соединений в 3D молекулы и последующим использованием в расчетах виртуальной стыковки (Этап 4). Расчеты виртуальной стыковки с использованием программы ICM Pro проводили с параметрами попыток 1 или 2, и полученную локализацию, ориентацию и положения сравнивали с показателями, кристаллографически определенными для той же молекулы.

Повторная стыковка 1030 в кристаллическую структуру MASP-2, связанного с 1030, воспроизводит положение с показателем -38,46 и RMSD 1,75 Å. Проведенная перекрестная стыковка 1024 в кристаллическую структуру MASP-2, связанного с 1030, и сравнение с наложенной кристаллографически определенной молекулой 1024 в MASP-2 воспроизводит положение с показателем -35,41 и RMSD 0,577 Å.

Контакты MASP-2 с образующими водородную связь остатками и атомами ASP 627 (OD2), Ser 628 (O), SER 654 (O), GLY 656 (N) и SER 657 (O) были воспроизведены для перекрестно стыкуемого соединения 1024, подтверждая, что взаимодействие малых молекул из Таблицы A1, имеющих аффинность и ингибирующую активность, также может быть предсказано вычислительными методами с высокой точностью.

Пример 315. Взаимодействие MASP-2 с пептидом SGMI-2

В публикации Heja et al. (2012) описано взаимодействие 38-мерного пептида (SGMI-2) с доменом сериновой протеазы MASP-2. В описанной ими высокого разрешения кристаллографической структуре SGMI-2, связанного с MASP-2 (регистрационный код базы данных белков 3TJV), анализ H-связей по настоящему изобретению (с использованием отсечения по расстоянию, описанного выше) обнаруживает образующие водородные связи остатки и соответствующие атомы для MASP-2 аминокислот GLY 464 (O атом), GLY 465 (O атом), Thr (N, O и OG1 атомы), PRO 606 (O атом), ARG 609 (OG атом), ASP 627 (O атом), SER 628 (O и OG атомы), GLY 631 (N атом), SER 633( N и OG атомы), GLY 656 (N и O атомы) и N атом MET 657, связывающиеся посредством H-связей с SGMI-2. Примечательно, что водородные связи не образуются между пептидом SGMI-2 и атомом кислорода O в SER 654 MASP-2, атомами кислорода O и OG в SER 657, атомом серы в CYS 660 или атомами кислорода O и OE1 в GLN 665.

Кроме того, в описанной ими высокого разрешения кристаллографической структуре (регистрационный код базы данных белков 3TJV), анализ ван-дер-ваальсововых взаимодействий по настоящему изобретению (с использованием отсечения по расстоянию, описанного выше) выявляет связывание атомов аминокислот MASP-2 с конкретными атомами SGMI-2, с участием MASP-2 атома углерода C и атома кислорода O в Gly 464, атомов углерода C, CA, CB, CG2 и атома азота N, и атомов кислорода O и OG1 в Thr 467, атома углерода CB в аланине 468, атомов углерода CE1 и CG и атома азота ND1 в His 483, атомов углерода CA и CB в Ala 484, атома кислорода O в His 525, атома углерода O и атома кислорода O в Asp 526, атома углерода CA в Ala 527, атома азота N в Gly 528, атома углерода CD1 в Leu 575, атомов углерода CD1, CD2, CG и атома азота в Leu 581, атома углерода CE2 в Tyr 601, атома углерода CA в PRO 606, атома углерода C и атома кислорода O в Arg 609, атома углерода C в Gly 610, атома углерода CA и атома азота N в Ser 611, атомов углерода C и CB и атома кислорода O в ARG 630, атомов углерода C и CA и атома азота N в Gly 631, атома азота N и атомов углерода CA и CB в Asp 632, атомов углерода CB и CE в Met 658, а также атома углерода CD2 и атома азота NE2 в гистидине 483, атомов углерода CE1, CD2 и CZ в Phe 529, атомов углерода C, CB, CG и атома кислорода в PRO 606, атома углерода CD2 в Tyr 607, атомов углерода CB и CG в PRO 608, атома кислорода OG в Ser 611, атома кислорода OD1 в ASP 627, атома углерода C, атомов кислорода O и OG в Ser 628, атомов углерода CA, CD, CG в ARG 630, атома кислорода OG и атома углерода CG1 в Ser 633, атома углерода CG1 в Val 653, атома кислорода O в Ser 654, атомов углерода C, CA, CB, CE3, CZ3 и атома кислорода O в Trp 655, атома азота N и атома кислорода O в Gly 656, атома азота в Met 658 и атома углерода CA в Gly 667. Примечательно, что ван-дер-ваальсовы взаимодействия не устанавливаются между пептидом SGMI-2 и MASP-2 атомами углерода C и CA в ALA 468, атомом углерода CA в ALA 469, атомом углерода CA в ASP 526, атомом углерода C и атомом кислорода O в ALA 527, атомом азота N и атомом углерода CA в GLY528, атомами углерода CD2 и CE1 в PHE 529, атомом OH в TYR 607, атомом углерода CB в SER 611, атомом углерода CG и атомом кислорода OD2 в SER 628, атомами углерода C, CA, CB и атомом азота N в CYS 629, атомом углерода CZ и атомом азота NE2 в ARG 630, атомом C в GLY 631, атомами углерода C, CA и CB, а также атомом кислорода O в ASP 632, атомами углерода C и CA, а также атомом азота N в GLY634, атомом азота N в GLY 635, атомом углерода CB и атомом кислорода O в VAL 653, атомом углерода CH2 в TRP 655, атомом углерода CB и атомом кислорода OG в SER 657, атомами углерода CA, C и CE, а также атомом кислорода O в MET658, атомом углерода C и атомом азота N в GLY 667, атомом углерода CE2 в TYR669, C и CA, атомом азота и атомом кислорода в SER657, атомом углерода C в аспарагине 659, атомами углерода CA, CB и атомом серы SG в цистеине 660, атомом углерода CD и атомом кислорода OE1 в глутамине 665, атомами углерода CZ2 и CE1 тирозина 669.

Понятно, что примеры и варианты осуществления, описанные в настоящем документе, предназначены исключительно для иллюстративных целей, и что специалистами в данной области будут предложены различные модификации или изменения изобретения, и они должны быть включены в сферу действия настоящего изобретения и объем прилагаемой формулы изобретения. Каждый литературный источник, включая, без ограничения, все патенты, патентные заявки и публикации, цитируемые в настоящей заявке, включены в настоящий документ посредством ссылки в полном объеме для всех целей.

ПРИЛОЖЕНИЕ

ТАБЛИЦА A1 (H-связи)

Аминокислота ASP SER ARG SER GLY SER GLN SER PRO HIS ALA CYS MASP-2 АК № 627 628 630 654 656 657 665 633 606 483 469 660 АК атом OD1 OD2 O O OG OG NE NH1 NH1 O O N O OG O OE1 OE1 OG O NE2 N SG 1 1097 2,74 3,03 2,81 2,98 3,12 2,74 N5 N5 N4 N1 O2 N6 D D D D A D 2 1024 2,74 2,79 2,86 3,06 2,94 N4 N4 N3 O2 N5 D D D A D 3 1036 2,96 2,9 2,8 3,22 2,93 N27 N27 N17 029 N26 D D D D D 4 1081 2,86 2,81 2,92 2,69 N27 N17 N03 N26 D D D D 5 1063 2,93 2,94 3,25 2,83 N4 N3 O1 N5 D D A D 6 1065 3,14 3,08 2,92 3,31 N29 N28 N14 O09 D D D A 7 1030 3,17 2,82 2,82 3,12 2,91 N5 N3 N1 O2 N4 D D D A D 8 1037 2,91 2,89 3,35 2,85 N19 N09 O04 N18 D D A D 9 1118 3,18 2,88 2,77 3,07 2,93 N5 N3 N1 O1 N4 D D D A D 10 Мелагатран
999
2,75 2,84
N24 N25 D D 11 1129 2,79 2,86 2,84 2,93 2,92 2,76 N19 N19 N10 O07 N20 N20 D D D A D D 12 1034 2,9 2,91 2,99 2,91 2,75 3,26 2,8 N20 N20 N10 O07 N19 N20 N19 D D D A D D D 13 1088 2,91 3,16 3,16 2,89 3,22 N31 N29 N31 N01 O07 D D D D A 14 1059 2,99 2,95 2,95 2,94 3,13 2,77 2,94 3,31 N4 N6 N1 N3 O2 N5 N6 N6 D D D A D D D 15 1007 3,27 2,59 2,94 2,88 N5 N1 N2 N5 D D D D 16 1090 2,8 2,96 2,78 3,3 2,73 N4 N2 N1 O2 N5 D D D A D 17 1089 2,8 2,93 2,82 3,3 2,93 N4 N3 N1 O2 N5 D D D A D 18 1021 2,99 3,08 N1 O1 D A 19 1297 3,13 2,96 2,88 2,67 3,33 3,06 N5 N4 N3 N1 O1 N5 D D D D A D 20 1304 3,17 3,18 2,97 2,81 3,2 2,96 N5 N4 N3 N2 O1 N5 D D D D A D 21 1306 2,6 2,24 2,69 3,05 2,87 N4 N4 N2 O1 N5 D D D A D 22 1307 2,91 2,86 2,95 N3 N2 O1 D D A 23 1328 3,06 2,67 2,82 3,33 2,44 N4 N3 N2 O1 N5 D D D A D 24 1334 2,81 2,83 3,16 N3 N2 O1 D D A 25 1335 3,21 2,99 2,77 3,08 2,85 2,73 N5 N1 N3 O1 N6 N6 D D D A D D 26 1338 3,2 3,04 2,99 2,78 3,23 2,93 N5 N4 N3 N2 O1 N5 D D D D A D 27 1345 2,64 2,37 3,02 3,13 3,05 3,01 2,63 N5 O1 N1 N3 O2 N6 N6 D A D D A D D 28 1351 3,22 2,98 2,76 3,25 2,8 N5 N3 N2 O1 N5 D D D A D 29 1353 3,17 3 2,85 3,15 2,91 N5 N3 N1 O1 N5 D D D A D 30 1367 3,15 3,15 3,08 2,77 3,15 2,88 N4 N3 N2 N6 O2 N4 D D D D A D 31 1368 3,24 3,16 3,04 3,07 2,94 3,21 N38 N34 NO1 O29 N38 N17 D D D A D D 32 1371 2,86 2,75 3,18 2,96 N3 N2 O1 C23 D D A D 33 1372 3,17 3,18 2,97 2,81 3,23 2,87 N4 N3 N2 N5 O2 N4 D D D D A D 34 1373 3,21 3,18 3,04 2,76 3,2 2,89 N5 N4 N3 N2 O1 N5 D D D D A D 35 1492 3,32 2,78 2,7 3,06 2,72 2,62 N7 N4 N3 O1 N5 N7 D D D A D D 36 1399 3,26 3,15 3,04 2,75 3,21 2,86 N5 N4 N3 N1 O2 N5 D D D D A D 37 1406 3,22 2,96 2,76 3,28 2,78 N5 N3 N2 O1 N5 D D D A D 38 54 2,81 2,74 2,57 N11 O09 N15 A A D 39 2018 3,01 2,94 3,26 2,84 2,56 3,08 N5 N3 O2 N4 N4 N3 D D A D D A 40 1031 2,18 2,83 2,67 O04 O09 N11 A A D 41 1153 3,27 2,96 2,3 2,84 2,96 2,98 N1 N2 O1 N5 O2 N1 D D A D A D 42 1025 3,11 2,38 3,17 N09 N05 N09 D D D 43 1012 3,18 2,93 2,77 3,18 2,89 N5 N3 N1 O2 N5 D D D A D 44 1078 2,92 3,25 2,66 3,14 O2 N2 N1 O1 A D D A 45 1145 2,84 2,84 2,58 3,09 2,81 N4 N1 N3 O2 N5 D D D A D 46 1050 3,03 2,58 3,18 2,86 N2 N5 O2 N4 D D A D 47 1253 3,33 3,12 2,99 2,83 3,23 2,85 N07 N01 N10 N22 O17 N07 D D D D A D 48 1257 3,12 3,02 2,82 2,86 N01 N10 N18 N08 D D D D 49 14 2,89 3 O2 O7 D D 50 1042 3,32 2,74 2,34 2,65 N22 N22 N03 N21 D D D D 51 1433 2,89 2,75 3,13 N3 N5 O2 D D A 52 1360 3,15 3,18 3,04 2,9 3,21 2,96 N5 N3 N4 N2 O1 N5 D D D D A D 53 1450 2,97 2,78 3,04 N3 N2 O1 D D A 54 1435 3,32 3,01 2,79 3,26 2,84 N5 N3 N2 O1 N5 D D D A D 55 1441 3,23 3,06 3,07 3,2 2,91 N5 N4 N1 O1 N5 D D D A D 56 1411 3,17 3,2 2,66 3,06 3,07 2,61 N5 N4 O3 N1 O2 N5 D D A D A D 57 1149 3,09 2,7 3,24 2,75 3,19 3,16 N1 N3 O2 N2 N2 N2 D D A D D D

ТАБЛИЦА A2

ТАБЛИЦА A2-1: Ван-дер-ваальсовы взаимодействия

Аминокислота ALA
468
ALA
469
HIS
483
ASP
526
MASP-2 АК № АК атом C CA CB CA CD2 CE1 NE2 C CA O 1 1129 3,75 C02 2 1034 3 1024 3,39 C21 4 1059 3,69 C14 5 1088 6 1036 3,81 C28 7 1081 3,74 C29 8 1063 9 1065 3,67 C30 10 1030 3,61 C22 11 1037 12 1118 3,64 C8 13 1007 3,38 C8 14 Мелагатран
999
15 1090 3,74 C19 16 1089 3,71 3,83 C24 C24 17 1021 3,51 3,58 C20 C20 18 1097 3,63 3,53 C23 C23 19 54 20 1042 3,56 C29 21 2018 3,7 3,87 N6 C16 22 1031 3,57 3,62 3,17 C07 C07 C07 23 1153 3,83 C11 24 1025 3,68 3,81 O28 O28 25 1012 3,63 3,57 C20 C20 26 1078 3,35 3,28 C15 C15 27 1145 3,75 C22 28 1050 29 1253 3,74 3,66 C29 C29 30 1257 3,7 3,72 C29 C29 31 1297 3,74 3,84 C18 C20 32 1304 3,71 3,65 C14 C14 33 1306 3,47 3,32 C14 C14 34 1307 3,5 C14 35 1328 3,79 3,73 C14 C14 36 1334 3,66 3,84 C14 N3 37 1335 3,72 3,7 3,58 3,84 C20 C22 N4 C20 38 1338 3,58 3,82 C18 C18 39 1345 3,69 3,37 C3 C3 40 1351 3,66 3,9 C20 C20 41 1353 3,77 3,67 C23 C23 42 1367 3,71 3,59 C12 C12 43 1368 3,86 3,67 C04 C04 44 1371 3,55 3,61 C14 C14 45 1372 3,77 3,67 C2 C2 46 1373 3,71 3,62 C14 C14 47 1492 3,78 3,84 3,68 C13 C13 C14 48 1399 3,72 3,6 C26 C26 49 1406 3,7 3,67 3,55 3,89 3,69 C15 C15 C26 C26 C26 50 1433 3,73 3,76 C23 C23 51 14 3,69 3,52 3,52 3,89 3,72 3,84 3,78 3 3,59 O7 O7 O7 O7 O5 C15 C8 O2 O5 52 1360 3,76 3,69 C19 C19 53 1450 3,9 3,88 C14 C14 54 1435 3,7 3,6 C14 C14 55 1441 3,74 3,61 C18 C18 56 1411 3,51 3,46 C2 C2 57 1149 3,81 3,29 3,87 C11 C27 C28

ТАБЛИЦА A2-2: Ван-дер-ваальсовы взаимодействия

Аминокислота ALA
527
GLY
528
MASP-2 АК № АК атом C CA O CA N 1 1129 2 1034 3 1024 4 1059 5 1088 6 1036 7 1081 8 1063 9 1065 10 1030 11 1037 12 1118 13 1007 14 Мелагатран
999
15 1090 16 1089 17 1021 18 1097 19 54 3,87 C17 20 1042 21 2018 22 1031 23 1153 24 1025 25 1012 26 1078 27 1145 28 1050 29 1253 30 1257 31 1297 3,76 3,61 3,39 C15 C14 C15 32 1304 3,79 C11 33 1306 34 1307 3,75 C11 35 1328 36 1334 37 1335 38 1338 3,67 3,33 3,32 3,72 3,32 3,84 C16 C16 C17 C15 C16 C17 39 1345 40 1351 3,59 3,35 3,71 3,51 3,72 3,66 3,68 3,81 3,9 3,79 3,8 3,42 3,5 C17 C18 C18 C17 C18 C14 C15 C16 C18 C19 C17 C18 C19 41 1353 3,52 3,81 C10 C9 42 1367 3,78 3,52 C18 C19 43 1368 44 1371 3,8 C11 45 1372 3,83 C19 46 1373 3,79 C11 47 1492 48 1399 3,73 3,49 3,72 3,8 3,71 3,79 3,69 3,45 3,84 3,87 3,49 3,75 3,61 3,53 3,67 3,81 3,86 C12 C13 C14 C12 C13 C13 C14 C10 C11 C14 C15 C10 C11 C12 C13 C14 C15 49 1406 3,68 3,83 3,71 3,75 3,56 3,51 C25 C25 C12 C24 C24 C25 50 1433 51 14 52 1360 3,79 3,31 3,82 C12 C13 C14 53 1450 3,89 C10 54 1435 55 1441 3,71 C15 56 1411 3,85 C13 57 1149 3,61 3,49 C3,72 3,76 3,4 C29 C31 N6 O3 C29

ТАБЛИЦА A2-3: Ван-дер-ваальсовы взаимодействия

Аминокислота PHE
529
MASP-2 АК № АК атом CD1 CD2 CE1 CE2 CZ 1 1129         3,52                   3,68 3,86 3,84         C30                   N04 C03 C01   2 1034                             3,7 3,41 3,71 3,69                             N04 C03 C02 C01 3 1024 3,85 3,58     3,46 3,7 3,8               3,87 3,79 3,74   C7 C6     C6 C5 C4               C21 C11 N2   4 1059                   3,9 3,61 3,72   3,8 3,76 3,71                       C13 C8 C7   C14 N2 C2   5 1088         3,62 3,66 3,52       3,64 3,86 3,54   3,83 3,71 3,59           C13 C12 C06       C19 C04 C19   C13 N05 C04   6 1036                         3,72   3,45 3,84                           C14   N13 C06     7 1081 3,38       3,4 3,58 3,49       3,64 3,71 3,62   3,58 3,7     C16       C16 C08 C07       C29 C09 C29   C09 N04     8 1063 3,71       3,51 3,63         3,66 3,56 3,54   3,44 3,34     C15       C15 C2         C10 C8 C10   C8 N2     9 1065       3,69 3,85         3,86 3,76 3,72   3,66 3,56             C30 C11         C19 C02 C30   C11 N10     10 1030       3,56 3,7         3,86   3,51   3,4 3,3             C22 C12         N2   C22   C12 N2     11 1037         3,27 3,49             3,73   3,78 3,37 3,85           C20 C13             C20   C05 N03 C01   12 1118 3,52                   3,76 3,8 3,79   3,72 3,63     C13                   C8 C6 C8   C6 N2     13 1007 3,83       3,58 3,6 3,75 3,89 3,88 3,74 3,85 3,81 3,62   3,82       C16       C18 C17 C16 C15 C14 C13 C8 C7 N3   C7       14 Мелагатран
999
                            3,48 3,8 3,87 3,73
                            C27 C26 C12 N11 15 1090         3,87                   3,57 3,61 3,84           C18                   C18 N3 C19   16 1089         3,83 3,81         3,86 3,56     3,68 3,66 3,85           C12 C24         C9 C10     N2 C12 C24   17 1021                                                                         18 1097                             3,79 3,88                                 N3 C13     19 54                                                                         20 1042                     3,64 3,24     3,57                           C09 C29     C29       21 2018                     3,68       3,74 3,85 3,55                       C11       C16 C7 N1   22 1031                     3,75                                   C07               23 1153 3,36 3,48     3,58 3,05 3,57       2,93       3,87 3,08     C17 C18     C16 C17 C18       C11       C10 C11     24 1025     3,74 3,8             3,55 3,67 3,25 3,56 3,88           C21 C22             C15 C20 C21 C22 C15       25 1012         3,75           3,78       3,72 3,79 3,54           C20           C4       C12 C20 N2   26 1078         3,85 3,61 3,87       3,87 3,85     3,88 3,8 3,82           C14 C8 C9       C15 C2     C2 C8 N2   27 1145 3,54       3,69 3,51 3,67       3,78 3,88     3,75 3,88 3,69   C12       C12 C6 C7       C15 C2     C2 C22 N2   28 1050 3,61       3,56                   3,88       C17       C17                   N1       29 1253         3,7 3,86         3,77       3,82 3,81 3,65           C18 C24         C29       C12 C29 N14   30 1257 3,89                           3,79 3,88 3,82   C28                           C12 C29 N14   31 1297                     3,67 3,5 3,77   3,67 3,82                         C11 C2 C6   C2 N2     32 1304     3,79   3,85 3,75         3,84 3,84 3,84   3,71 3,81 3,55       C12   C1 C14         C11 C12 C4   C1 C14 N1   33 1306 3,88 3,82                         3,63       C10 C11                         N1       34 1307     3,69               3,74 3,9     3,86           C10               C10 C4     N1       35 1328 3,78       3,8 3,76         3,81 3,61     3,65 3,69 3,75   C12       C11 C12         C1 C14     C1 C14 N1   36 1334     3,73   3,76 3,6         3,7 3,88     3,7 3,81 3,69       C12   C11 C14         C12 C13     C1 C14 N1   37 1335 3,75       3,58           3,8       3,85       C15       C15           C20       C20       38 1338         3,84 3,72         3,86       3,76 3,51             C1 C18         C4       C1 N1     39 1345                     3,51 3,7 3,71   3,88                           C18 C19 C23   N2       40 1351         3,8           3,83 3,59     3,7 3,69 3,45           C4           C1 C20     C1 C20 N1   41 1353     3,68   3,84 3,7         3,82 3,71     3,6 3,65 3,54       C9   C14 C23         C8 C9     C14 C23 N2   42 1367     3,8   3,76 3,87         3,64 3,86     3,8 3,68 3,39       C20   C12 C3         C13 C20     C12 C3 N1   43 1368 3,76 3,43     3,34 3,51 3,7       3,79       3,71       C23 C28     C22 C23 C28       C04       C04       44 1371     3,86               3,89       3,84 3,61         C10               C4       C1 N1     45 1372     3,74 3,81 3,84 3,69         3,89 3,88     3,61 3,68 3,45       C18 C19 C1 C2         C18 C19     C1 C2 N1   46 1373     3,79 3,84 3,88 3,75         3,88 3,82 3,81   3,7 3,77 3,47       C11 C12 C1 C14         C10 C11 C4   C1 C14 N1   47 1492                             3,73 3,89                                 C1 C13     48 1399     3,85   3,89 3,7         3,7       3,71 3,76 3,47       C7   C17 C26         C2       C17 C26 N2   49 1406     3,63 3,74 3,64 3,84         3,8 3,73 3,82   3,73 3,69 3,45       C11 C12 C15 C2         C11 C12 C5   C15 C2 N1   50 1433         3,77           3,82       3,76 3,78 3,73           C23           C13       C10 C23 N4   51 14         3,21                   3,47 3,86 3,1           O5                   N2 O4 O5   52 1360         3,78                   3,72 3,75 3,59           C19                   C1 C19 N1   53 1450         3,86 3,58         3,76 3,89     3,6 3,47 3,63           C13 C14         C10 C11     C13 C14 N1   54 1435     3,61   3,88 3,7                 3,66 3,71 3,51       Cl2   C1 C14                 C1 C14 N1   55 1441         3,85           3,87 3,61     3,89 3,7             C18           C12 C7     C18 N2     56 1411         3,69           3,71 3,59     3,83 3,63             C2           C11 C6     C2 N2     57 1149         3,68           3,78 3,53     3,8 3,34             C11           C27 C28     C10 C11    

ТАБЛИЦА A2-4: Ван-дер-ваальсовы взаимодействия

Аминокислота LEU
575
PRO
606
TYR
607
MASP-2 АК № АК атом CD1 C CB CG CD O CA CD1 CD2 1 1129 3,86 C28 2 1034 3,71 3,33 3,41 C28 C28 C27 3 1024 3,9 C8 4 1059 3,89 C13 5 1088 3,89 3,88 2,97 3,79 3,82 C16 C17 C16 C15 C16 6 1036 7 1081 8 1063 9 1065 10 1030 11 1037 3,89 3,49 3,73 C28 C28 C27 12 1118 3,79 C27 13 1007 3,84 C14 14 Мелагатран
999
3,72
C5 15 1090 3,36 3,3 C7 C8 16 1089 3,85 3,62 3,4 C7 C8 C7 17 1021 18 1097 3,74 3,84 3,82 3,33 3,79 3,8 3,61 3,73 C10 C9 C9 C10 C10 C8 C9 C10 19 54 20 1042 21 2018 3,9 3,56 3,77 C12 C13 C14 22 1031 3,85 C15 23 1153 24 1025 25 1012 3,85 3,33 3,86 C9 C8 C9 26 1078 27 1145 3,89 C9 28 1050 3,82 3,74 C20 C21 29 1253 30 1257 3,38 3,83 3,72 3,82 C26 C24 C25 C26 31 1297 3,81 C7 32 1304 3,78 C7 33 1306 3,85 C7 34 1307 3,83 C7 35 1328 3,86 3,68 C13 C7 36 1334 3,81 C7 37 1335 3,84 3,84 C18 C19 38 1338 39 1345 3,59 3,66 3,8 C14 N4 O1 40 1351 41 1353 3,75 C6 42 1367 43 1368 3,6 3,44 3,74 3,75 C15 C15 C16 C18 44 1371 3,79 3,81 3,6 C7 C8 C9 45 1372 3,77 3,77 C16 C17 46 1373 3,82 3,81 C13 C7 47 1492 3,81 C9 48 1399 3,7 C5 49 1406 3,74 C8 50 1433 51 14 52 1360 3,83 3,75 C16 C17 53 1450 3,44 C12 54 1435 3,83 C7 55 1441 3,8 C9 56 1411 3,8 C8 57 1149

ТАБЛИЦА A2-5: Ван-дер-ваальсовы взаимодействия

Аминокислота TYR
607
PRO
608
SER
611
MASP-2 АК № АК атом CE1 CE2 OH CD CG CA 1 1129 2 1034 3 1024 3,54 3,69 C9 C8 4 1059 3,89 C12 5 1088 3,73 C15 6 1036 7 1081 8 1063 3,85 C12 9 1065 3,84 3,58 3,86 3,43 3,81 C04 C17 C16 C17 C16 10 1030 11 1037 12 1118 3,64 3,74 C27 Cl1 13 1007 3,58 3,81 3,83 3,59 C16 C15 C17 C16 14 Мелагатран
999
3,67
C4 15 1090 3,76 3,82 3,63 C6 C5 C8 16 1089 17 1021 18 1097 3,61 3,8 3,78 3,84 3,62 C8 N2 C9 C10 C11 19 54 20 1042 3,79 3,69 3,65 3,55 C26 C27 C26 C27 21 2018 22 1031 23 1153 24 1025 3,64 C17 25 1012 3,88 3,79 C5 C7 26 1078 3,66 3,84 3,68 3,78 C11 C12 C11 C12 27 1145 28 1050 3,68 C19 29 1253 3,73 C20 30 1257 3,8 C25 31 1297 3,66 3,54 3,89 3,67 C4 C9 C15 C9 32 1304 3,83 3,65 3,69 3,73 3,86 C7 C10 C11 C10 C11 33 1306 3,5 3,58 C11 C12 34 1307 3,83 3,81 3,88 C7 C11 C12 35 1328 3,78 3,64 3,78 3,72 3,87 3,55 C7 C10 C11 C10 C11 Cl1 36 1334 3,78 3,7 3,6 3,6 C7 C10 C10 C11 37 1335 3,82 C17 38 1338 3,79 3,88 3,88 3,9 3,63 3,6 C11 C12 C11 C15 C16 C17 39 1345 40 1351 3,71 3,86 3,79 3,75 3,86 3,63 3,58 3,79 3,85 C7 C10 C11 C14 C15 C14 C15 C16 C17 41 1353 3,81 3,89 3,86 3,89 C4 C7 C10 C11 42 1367 3,69 3,79 3,88 N5 C18 C19 43 1368 3,36 3,72 C09 C16 44 1371 3,74 3,74 3,8 3,42 3,87 3,8 C5 C7 C11 C12 C13 C12 45 1372 3,81 3,8 3,53 3,76 3,71 C16 C19 C20 C21 C20 46 1373 3,66 3,76 3,86 3,82 C10 C11 C9 C10 47 1492 48 1399 3,84 3,82 3,84 3,77 3,78 3,61 C5 C10 C8 C10 C14 C15 49 1406 3,86 3,6 C8 C24 50 1433 3,73 C15 51 14 52 1360 3,88 3,88 3,87 3,43 3,37 3,47 3,83 C18 C7 C14 C15 C14 C15 C12 53 1450 3,54 3,38 3,7 3,69 3,6 C12 C4 C6 C4 C5 54 1435 3,73 3,65 C7 C11 55 1441 3,59 3,66 3,72 3,85 3,78 C9 C15 C16 C15 C16 56 1411 3,6 3,81 3,56 3,62 3,25 C8 C12 C13 C12 C13 57 1149 3,58 3,71 3,89 C30 C31 C32

ТАБЛИЦА A2-6: Ван-дер-ваальсовы взаимодействия

Аминокислота SER
611
ASP
627
SER
628
MASP-2 АК № АК атом CB OG CG OD1 OD2 C CA 1 1129 3,07 3,88 N19 C14 2 1034 3,18 3,75 N20 C16 3 1024 3,54 3,04 3,62 C8 N4 C20 4 1059 3,36 3,34 3,87 3,44 N4 C22 C19 C18 5 1088 3,54 3,83 3,84 3,76 3,66 3,81 N31 N29 C30 C30 N31 C30 6 1036 3,4 3,89 N27 C25 7 1081 3,86 3,19 C14 N27 8 1063 3,09 3,89 3,85 N4 C23 N4 9 1065 3,54 3,79 3,76 3,84 3,85 3,8 3,8 3,85 C18 N29 N28 C27 C27 N29 C27 C23 10 1030 3,11 3,62 3,74 N5 C21 N5 11 1037 3,31 3,68 3,8 N19 C17 C13 12 1118 3,73 3,15 3,79 Cl2 N5 C21 13 1007 3,57 3,88 3,36 3,82 C15 N5 N1 C2 14 Мелагатран
999
3,02 3,61 3,85 3,69
N24 C23 N24 C21 15 1090 3,33 3,51 3,09 3,45 3,75 3,54 N4 C23 C23 C23 C22 C24 16 1089 3,56 3,22 2,93 3,62 3,51 3,54 3,54 C22 N4 C22 C22 C23 C21 C22 17 1021 3,83 3,78 3,77 C2 C1 C2 18 1097 3,17 3,78 N5 C22 19 54 3,28 3,35 3,37 3,76 3,64 3,77 3,36 3,28 3,9 C12 C12 C12 C08 C12 C14 N10 N11 N11 20 1042 3,62 3,64 3,64 3,84 C25 C26 N22 N22 21 2018 3,03 3,63 N5 C25 22 1031 3,89 3,65 3,83 3,5 3,48 C16 C23 C23 C22 C23 23 1153 3,87 2,95 3,72 3,54 3,32 C8 N2 C8 C8 N2 24 1025 3,84 3,41 N09 N05 25 1012 3,6 N4 26 1078 3,36 3,65 3,62 3,82 3,82 3,81 C12 C13 C20 C20 C19 C20 27 1145 3,54 3,78 3,04 3,67 3,75 C10 C11 N4 C30 N4 28 1050 3,17 3,89 3,8 N3 C10 N3 29 1253 3,8 3,71 C25 N01 30 1257 3,75 3,82 C28 N01 31 1297 3,78 3,28 3,33 3,57 C8 C8 C9 N4 32 1304 3,79 3,74 3,38 3,73 C12 C11 C12 N4 33 1306 3,84 3,47 3,01 3,49 3,38 C10 C10 N4 C23 N4 34 1307 3,83 3,27 3,63 3,72 3,75 3,88 C10 C10 C11 C20 C23 C19 35 1328 3,83 3,57 3,61 C12 C22 N4 36 1334 3,89 3,73 3,18 3,82 3,76 3,81 C12 N23 C23 C23 C23 N5 37 1335 3,09 3,71 3,8 N5 C23 N5 38 1338 3,46 3,78 3,69 3,68 C10 C11 C17 N4 39 1345 3,89 3,88 2,7 3,37 3,69 C21 C31 N5 C31 N5 40 1351 3,79 3,73 C15 N4 41 1353 3,61 3,43 3,76 C8 C9 N4 42 1367 3,71 N3 43 1368 3,88 3,37 3,73 C26 C26 N34 44 1371 3,72 3,49 C11 C20 45 1372 3,68 3,35 3,4 3,72 C18 C18 C19 N3 46 1373 3,63 3,39 3,88 3,73 C12 C7 S1 N4 47 1492 3,24 3,45 3,45 3,44 3,75 3,53 N6 C19 C20 C23 C18 C19 48 1399 3,85 3,71 C7 N4 49 1406 3,78 3,68 3,11 3,66 3,79 C11 C10 C11 C12 N4 50 1433 3,7 3,14 3,79 3,7 3,74 C6 C6 C6 C6 N2 51 14 52 1360 3,68 C11 C12 C13 3,73 C12 3,74 3,63 3,82 N4 53 1450 3,51 3,57 3,82 2,86 3,84 3,61 2,89 3,79 3,63 3,53 C22 C24 N5 C22 C24 C22 C24 C20 C22 N5 54 1435 3,78 3,77 Cl2 N4 55 1441 3,87 3,5 3,71 3,72 C14 C14 C15 N4 56 1411 3,73 3,66 3,38 3,82 3,77 C14 C13 C14 C22 N4 57 1149 3,78 3,67 3,38 3,54 C32 N1 C8 C1

ТАБЛИЦА A2-7: Ван-дер-ваальсовы взаимодействия

Аминокислота SER
628
CYS
629
MASP-2 АК № АК атом CB O OG CA 1 1129 3,47 3,46 3,34 3,71 3,75 3,66 C18 C15 C14 C14 C17 C12 2 1034 3,29 3,13 3,22 3,82 3,89 3,69 3,48 3,69 3,86 3,89 3,85 3,83 C18 C16 C15 C16 C17 C13 C12 C11 C17 C14 C13 C12 3 1024 3,34 3,43 3,42 3,66 3,75 3,75 C20 C18 C17 C18 C15 C14 4 1059 3,35 3,37 3,4 3,72 3,76 3,86 C19 C18 C18 C17 C16 C17 5 1088 3,11 3,81 C30 C24 6 1036 3,35 3,24 3,25 3,49 3,75 3,82 3,82 C25 C22 C21 C24 C19 C24 C23 7 1081 3,37 3,42 3,42 3,8 C25 C22 C21 C19 8 1063 3,57 3,82 3,64 C23 C20 C21 9 1065 2,89 3,46 3,66 3,59 3,78 3,76 C27 C24 C23 C23 C22 C21 10 1030 3,43 3,79 3,38 C21 C18 C19 11 1037 3,34 3,1 2,92 3,61 3,56 3,85 C17 C14 C13 C16 C11 C10 12 1118 3,34 3,1 2,92 3,57 3,26 3,76 3,89 C17 C14 C13 C12 C17 C20 C15 13 1007 3,13 3,44 3,8 3,8 3,53 3,41 3,76 3,55 3,61 C3 C2 C19 C5 C2 C1 C3 N1 C2 14 Мелагатран
999
3,87 3,06 3,27 3,1 3,89 3,63 3,68 3,64 3,8 3,84 3,88 3,74 3,55 3,48 3,67
C20 C23 C21 C20 C19 C21 C18 C17 C16 C22 C21 C20 C19 C18 C17 15 1090 3,64 3,77 3,77 2,93 3,21 3,18 3,46 3,89 C23 C15 C22 C23 C24 C24 C23 C15 16 1089 3,79 3,32 2,97 C23 3,11 3,26 C19 C21 C22 3,48 C21 C22 17 1021 3,79 3,05 3,05 3,78 3,84 3,58 C6 C1 C2 C3 C1 C6 18 1097 3,39 3,46 3,54 3,71 C18 C19 C22 C18 19 54 3,86 3,58 3,61 2,56 2,88 3,38 3,78 3,88 3,73 3,79 3,74 N11 O09 C08 C12 C14 C08 C12 C08 C14 N10 N15 20 1042 3,55 3,58 3,26 C16 C17 C20 21 2018 3,48 3,33 3,36 3,77 3,14 3,87 C21 C22 C25 C20 C21 C24 22 1031 3,64 3,62 3,18 3,28 3,76 3,62 3,67 C23 C24 C22 C23 C21 C22 O26 23 1153 3,7 3,16 3,35 3,85 C2 C8 C3 C2 24 1025 3,3 3,06 3,83 3,84 3,48 C04 C06 C04 C06 N05 25 1012 3,53 3,71 3,72 C17 C16 N4 26 1078 3,85 3,07 3,1 3,89 3,86 3,34 3,86 3,74 3,63 C18 C19 C20 C21 C20 C21 C22 C18 O3 27 1145 3,59 3,27 3,36 3,85 C27 C30 C28 C26 28 1050 3,34 3,58 3,39 C10 C7 C6 29 1253 3,58 3,75 3,68 C02 C06 N01 30 1257 3,68 3,84 3,85 3,86 3,86 C02 C06 C07 C06 N01 31 1297 3,79 3,51 3,61 3,6 3,89 3,55 C22 C23 C26 C22 C23 N4 32 1304 3,65 3,81 C19 N4 33 1306 3,65 3,63 3,33 3,89 3,51 C19 C20 C23 C18 C19 34 1307 3,67 3,76 3,45 3,63 3,4 3,8 3,7 C21 Cl1 C19 C20 C23 C18 O3 35 1328 3,67 3,76 3,76 3,79 3,51 3,59 3,86 3,6 C22 C18 C19 C22 C22 C18 C22 N4 36 1334 3,83 3,73 3,25 3,77 3,66 Cl1 C19 C23 C19 N4 37 1335 3,65 3,42 3,28 3,84 C1 C23 C2 C6 38 1338 3,81 3,52 3,75 3,74 C22 C23 C22 N4 39 1345 3,66 3,33 3,12 3,33 3,62 3,71 C27 C28 C31 C27 C29 C30 40 1351 3,89 3,7 3,85 3,82 C28 C25 C24 N4 41 1353 3,66 3,76 3,65 C19 C18 N4 42 1367 3,56 3,89 3,79 C8 C7 N3 43 1368 3,63 3,86 3,76 C35 C33 N4 44 1371 3,87 3,41 3,36 3,75 3,15 3,78 3,76 Cl1 C19 C20 C20 C21 C22 N5 45 1372 3,68 3,9 3,78 C9 C6 N3 46 1373 3,64 3,83 C19 N4 47 1492 3,82 3,81 3,24 3,38 3,16 2,8 3,86 C19 C18 C19 C20 C18 C19 C17 48 1399 3,61 3,81 C22 N4 49 1406 3,76 3,81 3,78 C20 C19 N4 50 1433 3,67 3,64 3,71 3,22 3,89 3,77 3,66 C7 Cl1 C5 C6 C7 C5 N1 51 14 3,65 3,89 C14 C14 52 1360 C24 3,86 3,75 3,61 C23 N4 53 1450 3,65 3,71 C19 C20 C22 C23 C24 3,78 3,57 C23 Cl1 3,88 3,33 3,01 3,71 2,95 C20 N4 54 1435 C19 3,88 3,85 3,67 C18 N4 55 1441 3,85 3,53 3,87 3,83 C19 C20 C19 N4 56 1411 3,82 3,76 3,68 3,72 C22 C20 C21 N4 57 1149 3,41 3,69 3,44 3,68 3,82 C1 C2 C8 C1 C6

ТАБЛИЦА A2-8 Ван-дер-ваальсовы взаимодействия

Аминокислота CYS
629
ARG
630
MASP-2 АК № АК атом CB N C O CA CB CD 1 1129 3,88 3,66 3,6 3,67 C13 C12 C11 O25 2 1034 3,74 3,6 3,8 C12 C11 C11 3 1024 4 1059 3,65 3,83 3,73 3,8 C18 C17 C17 O1 5 1088 6 1036 3,84 3,66 3,58 C24 C19 C18 7 1081 3,8 3,86 C19 C18 8 1063 9 1065 3,65 3,82 C22 C21 10 1030 11 1037 3,8 3,44 3,38 3,86 C12 C11 C10 C10 12 1118 13 1007 3,41 3,4 3,39 C19 C2 C1 14 Мелагатран
999
3,84 3,76 3,86
C19 C16 O31 15 1090 3,9 C16 16 1089 17 1021 3,78 3,52 3,8 3,66 3,86 3,47 C5 C6 C7 C5 C6 C7 18 1097 3,83 3,88 3,81 3,89 C16 C21 C15 C16 19 54 3,71 3,62 3,77 3,79 3,68 3,86 C01 C02 C02 C05 C06 C06 20 1042 3,68 3,76 3,54 3,27 3,2 3,82 C14 C15 C13 C14 C15 C16 21 2018 3,78 3,6 3,58 3,64 3,81 3,39 C18 C19 C24 C18 C19 O3 22 1031 3,72 3,84 3,53 2,94 C22 C21 O26 O04 23 1153 3,85 3,8 3,8 3,52 3,43 2,94 C3 C4 C7 C9 N3 O1 24 1025 3,53 3,74 3,69 3,17 C04 N05 C03 C04 25 1012 3,88 3,55 3,7 3,72 3,73 3,83 C16 C15 C16 C14 C15 C16 26 1078 3,86 3,51 C18 O3 27 1145 3,84 3,69 3,83 3,43 3,49 3,62 C24 C25 C24 C15 C16 C17 28 1050 3,78 3,88 C9 C4 29 1253 3,62 3,66 3,85 3,82 3,73 3,82 3,86 C05 C06 C05 C06 C08 C09 C09 30 1257 3,68 3,73 3,8 3,89 C05 C06 C07 C09 31 1297 3,87 3,58 3,54 3,89 3,79 3,81 3,69 3,57 C26 C21 C22 C26 C20 C21 C22 C26 32 1304 3,71 3,75 3,9 3,85 3,71 3,89 C17 C18 C16 C18 C22 C16 33 1306 34 1307 3,77 3,48 3,54 3,87 C18 O3 C16 C17 35 1328 3,81 3,55 3,74 3,68 3,85 3,85 3,68 C18 C22 C17 C18 C16 C18 C22 36 1334 3,71 3,78 C18 N4 37 1335 3,82 3,7 3,86 C4 C5 C4 38 1338 3,9 3,61 3,71 3,71 3,76 3,76 3,75 C20 C21 C22 C20 C21 C22 C26 39 1345 3,89 3,55 3,85 3,37 3,45 3,37 3,77 3,68 3,72 C24 C25 C29 C30 C24 C25 C26 C30 O1 40 1351 3,62 3,73 3,85 3,85 3,83 3,73 3,86 C23 C24 C22 C23 C24 C28 C22 41 1353 3,72 3,68 3,85 3,87 3,75 3,69 C17 C18 C16 C17 C18 C22 42 1367 3,74 3,78 3,78 C6 C7 C11 43 1368 3,66 3,69 3,85 3,8 3,74 C32 C33 C32 C33 C39 44 1371 3,52 3,75 3,83 N5 N5 N6 45 1372 3,73 3,72 3,69 3,83 C5 C6 C22 C6 46 1373 3,68 3,77 3,87 3,86 3,72 C17 C18 C17 C18 C22 47 1492 3,8 3,51 3,66 3,5 C18 C16 C17 C16 48 1399 3,69 3,73 3,84 3,73 C20 C21 C21 C25 49 1406 3,69 3,74 3,87 3,87 3,71 C18 C19 C17 C19 C23 50 1433 3,88 3,55 3,61 3,77 3,89 C3 C4 N1 C3 C4 51 14 3,83 3,58 3,51 3,63 3,78 C13 C14 C13 C14 C1 52 1360 3,68 3,77 3,81 3,82 3,83 3,75 C22 C23 C21 C22 C23 C27 53 1450 3,86 3,51 3,62 3,77 3,88 C17 C21 N4 C17 C21 54 1435 3,71 3,78 3,84 C17 C18 C22 55 1441 3,6 3,75 3,85 3,89 3,82 3,83 3,85 C1 C19 C1 C19 C2 C23 C2 56 1411 3,72 3,81 3,59 3,67 3,89 3,62 3,76 3,74 3,51 3,85 3,47 3,72 C22 C16 C17 C21 C22 C16 C17 C21 C22 C16 O3 O4 57 1149 3,64 3,66 3,54 C1 C6 C6

ТАБЛИЦА A2-9: Ван-дер-ваальсовы взаимодействия

Аминокислота ARG
630
MASP-2 АК № АК атом CG CZ N NE NH1 1 1129 3,41 3,85 3,69 O25 O08 C17 2 1034 3,45 3,63 3,71 C13 C12 C11 3 1024 3,48 3,83 C15 C14 4 1059 3,14 O1 5 1088 3,79 3,9 3,83 O03 C26 C27 6 1036 3,5 C24 7 1081 3,76 3,81 O11 C24 8 1063 3,71 3,88 C18 C17 9 1065 3,55 3,77 3,82 O13 C26 C21 10 1030 3,83 C16 11 1037 3,54 3,86 C16 C11 12 1118 3,85 3,67 O2 C20 13 1007 3,61 3,77 3,74 O1 C5 C1 14 Мелагатран
999
3,8 3,64 3,89
O31 C18 C16 15 1090 3,64 3,85 O1 C11 16 1089 3,88 3,86 C15 C16 17 1021 3,89 C6 18 1097 3,71 C21 19 54 3,89 3,31 2,93 3,5 3,86 3,63 C01 C05 C06 C01 C02 C06 20 1042 21 2018 3,89 3,82 3,43 3,28 3,34 3,33 C18 C19 C24 C1 C2 C26 22 1031 3,05 3,17 3,86 3,34 3,81 O04 O04 O09 C03 C08 23 1153 3,89 3,51 3,86 3,25 3,76 3,78 3,87 3,03 3,86 C6 C7 C9 N3 O1 C7 C9 O1 C6 24 1025 25 1012 3,83 3,74 3,73 O1 C15 C19 26 1078 3,78 O2 27 1145 3,44 3,77 3,6 2,85 3,57 3,58 3,69 3,37 2,93 3,51 3,72 3,55 C15 C15 C16 C17 C18 C25 C15 C16 C17 C18 C15 C17 28 1050 3,66 3,66 O1 C9 29 1253 3,77 3,63 3,78 3,69 C04 O13 C04 C05 30 1257 3,53 3,81 3,72 O13 C04 C05 31 1297 3,47 3,87 3,61 3,76 O2 C20 C21 C25 32 1304 3,71 3,7 3,76 3,88 C21 O2 C17 C21 33 1306 3,76 C22 34 1307 3,57 3,85 O2 O3 35 1328 3,9 3,79 C21 O2 36 1334 3,89 3,59 C18 C18 37 1335 3,48 3,57 O3 C5 38 1338 3,75 3,88 3,7 3,71 O2 C20 C21 C25 39 1345 3,52 3,44 3,31 O1 C30 C14 40 1351 3,81 3,89 3,69 3,76 C27 C22 C23 C27 41 1353 3,74 3,81 3,89 C21 C17 C21 42 1367 3,86 3,8 O1 C6 43 1368 3,67 3,78 3,71 3,81 C37 O30 C32 C37 44 1371 3,44 N5 45 1372 3,68 3,69 3,79 3,86 C7 O1 C5 C7 46 1373 3,7 3,66 3,76 3,86 C21 O2 C17 C21 47 1492 3,71 C16 48 1399 3,73 3,74 3,75 3,81 3,82 C24 O1 C20 C24 C23 49 1406 3,7 3,81 C18 C22 50 1433 3,49 C4 51 14 3,73 3,71 3,8 C10 C11 N1 52 1360 53 1450 54 1435 55 1441 3,87 3,68 3,89 3,72 O2 C1 C2 C22 56 1411 3,7 3,57 3,71 3,88 3,76 3,87 C18 O3 O3 C16 C17 C18 57 1149

ТАБЛИЦА A2-10 Ван-дер-ваальсовы взаимодействия

Аминокислота ARG
630
GLY
631
ASP
632
SER
633
MASP-2 АК № АК атом NH2 C CA CB O OG O 1 1129 3,11 3,9 C11 C06 2 1034 3,11 C11 3 1024 3,41 C13 4 1059 3,51 C15 5 1088 3,7 C20 6 1036 3,53 3,8 C18 C15 7 1081 3,36 C18 8 1063 3,67 C16 9 1065 3,14 C20 10 1030 3,31 C14 11 1037 3,31 C10 12 1118 3,4 C14 13 1007 3,2 C19 14 Мелагатран
999
2,98
C16 15 1090 3,2 3,61 C21 C21 16 1089 3,17 C14 17 1021 3,29 3,8 C7 C8 18 1097 3,45 C15 19 54 2,86 2,68 C03 C04 20 1042 3,28 C13 21 2018 3,17 C18 22 1031 3,7 C01 23 1153 3,36 3,32 C9 C7 24 1025 3,82 C02 25 1012 3,47 C14 26 1078 3,71 3,75 3,75 3,85 3,5 C1 C15 C2 C3 C16 27 1145 2,92 3,23 3,23 C17 C18 C23 28 1050 3,17 C3 29 1253 3,82 3,22 C03 C09 30 1257 3,24 C09 31 1297 3,19 C20 32 1304 3,29 C16 33 1306 3,39 C16 34 1307 3,18 C16 35 1328 3,14 C16 36 1334 3,35 C16 37 1335 3,44 C7 38 1338 3,47 C20 39 1345 3,31 C24 40 1351 3,53 C22 41 1353 3,31 C26 42 1367 3,37 C5 43 1368 3,75 3,32 C36 C31 44 1371 3,68 C16 45 1372 3,88 3,3 C8 C4 46 1373 3,27 C16 47 1492 3,49 C16 48 1399 3,31 C19 49 1406 3,25 C17 50 1433 3,17 C8 51 14 3,25 3,61 2,34 3,08 3,89 3,14 3,69 2,4 3,37 2,66 3,09 N3 C15 C16 C17 O3 O7 C16 N3 N3 C16 C17 52 1360 53 1450 54 1435 55 1441 3,88 3,38 C21 C2 56 1411 3,62 3,47 C25 C16 57 1149 3,45 C7

ТАБЛИЦА A2-11: Ван-дер-ваальсовы взаимодействия

Аминокислота GLY
634
GLY
635
VAL
653
SER
654
MASP-2 АК № АК атом C CA N N CB CG1 O C 1 1129 3,9 3,65 3,8 3,74 3,71 C13 N10 C11 C06 C01 2 1034 3,83 C11 3 1024 3,75 3,72 3,7 3,62 N3 C13 C12 C11 4 1059 3,81 3,87 3,73 C17 N1 C15 5 1088 3,62 3,55 3,68 3,55 3,74 3,5 C23 C22 C22 C22 C21 C20 6 1036 3,52 3,52 3,75 3,71 N17 C18 C15 C14 7 1081 3,84 3,78 3,74 3,72 3,71 C20 N17 C18 C10 C09 8 1063 3,87 3,76 3,65 C16 C9 C8 9 1065 3,6 3,78 C22 C20 10 1030 3,79 3,62 3,77 3,81 N3 C14 C13 C12 11 1037 3,9 3,79 3,85 C12 C10 C06 12 1118 3,86 3,84 3,79 3,76 3,73 3,7 C16 N09 N3 C14 C7 C6 13 1007 3,76 3,85 3,85 C19 C7 C6 14 Мелагатран999 3,66 C16 15 1090 16 1089 17 1021 3,43 3,84 C4 C4 18 1097 3,73 N4 19 54 3,75 O09 20 1042 3,36 O11 21 2018 3,79 N3 22 1031 3,58 3,77 3,56 C25 C01 C25 23 1153 3,9 C4 24 1025 25 1012 26 1078 3,49 3,66 3,48 C22 C22 N1 27 1145 3,9 C29 28 1050 3,74 C5 29 1253 3,31 C08 30 1257 3,36 C07 31 1297 3,22 C26 32 1304 3,27 C22 33 1306 34 1307 3,47 3,79 C22 N1 35 1328 3,23 3,62 C22 C16 36 1334 3,55 3,81 3,72 3,79 C21 Cl1 C22 N3 37 1335 3,83 3,71 C3 N3 38 1338 3,33 3,89 3,76 C26 C21 N3 39 1345 3,84 N1 40 1351 3,3 C28 41 1353 3,3 C22 42 1367 3,35 C11 43 1368 3,32 C39 44 1371 3,43 3,87 3,9 C22 Cl1 C26 45 1372 3,32 C22 46 1373 3,34 C22 47 1492 3,61 3,88 C18 N1 48 1399 3,32 3,89 3,62 C25 C22 N3 49 1406 3,27 3,59 C23 N4 50 1433 3,71 3,88 3,89 C2 C2 N3 51 14 3,52 3,74 3,81 2,57 3 3,12 2,33 3,52 3,77 3,71 3,44 3,77 3,45 3,71 3,57 3,67 C17 O7 C16 C17 O7 C15 C16 C17 C16 C13 C16 N3 O3 C15 C16 C17 52 1360 53 1450 3,81 C18 54 1435 55 1441 3,38 C23 56 1411 3,52 C22 57 1149 3,68 N3

ТАБЛИЦА A2-12: Ван-дер-ваальсовы взаимодействия

Аминокислота SER
654
TRP
655
MASP-2 АК № АК атом O C CA CB CD CE2 1 1129 3,64 3,75 3,56 3,7 3,25 3,26 C14 C13 O07 N10 O07 O07 2 1034 3,88 3,71 3,64 3,42 3,4 3,87 C17 C16 O07 O07 O07 C05 3 1024 3,71 3,66 3,5 3,28 3,66 3,76 3,23 3,89 3,84 O2 C19 C18 O2 C19 N3 O2 C1 C6 4 1059 3,85 3,76 3,82 3,49 3,61 3,3 C21 C20 O2 O2 N1 O2 5 1088 3,62 3,72 3,89 3,82 3,76 3,47 3,89 3,34 C24 C23 O07 C23 C22 O07 N01 O07 6 1036 3,84 3,19 3,21 3,83 3,4 3,33 3,63 3,85 3,22 C22 C21 C20 C19 O29 C20 C19 C18 O29 7 1081 3,83 3,49 3,84 3,88 3,67 3,5 3,31 3,48 C22 C21 C20 C21 C20 O05 O05 C16 8 1063 3,75 3,48 3,77 3,62 3,22 3,89 3,25 3,42 3,65 3,84 C22 C21 O1 C22 O1 C7 O1 C7 C2 C1 9 1065 3,61 3,73 3,89 3,46 3,35 C24 C23 O09 O09 O09 10 1030 3,77 3,57 3,44 3,4 3,6 3,68 3,24 O2 C20 C19 O2 C20 N3 O2 11 1037 3,5 3,68 3,8 3,85 3,3 3,2 3,69 C13 C12 O04 C12 O04 O04 C01 12 1118 3,34 3,57 3,73 3,61 3,78 3,32 3,68 C17 C16 O1 C16 N3 O1 C13 13 1007 3,31 3,13 3,89 O2 O2 C9 14 Мелагатран999 3,73 3,57 3,89 3,79 3,85 C22 C21 C20 C22 O14 15 1090 3,79 3,65 3,87 3,59 3,88 3,83 3,31 C14 C15 C16 O2 N2 C16 O2 16 1089 3,57 3,82 3,61 3,77 3,55 3,76 3,84 3,84 3,39 C14 C20 C19 C18 O2 C20 C15 N3 O2 17 1021 3,73 3,83 3,84 3,9 3,82 3,74 3,72 3,38 3,57 3,38 3,68 3,87 3,59 C9 C8 C7 C4 Cl1 O1 C4 C3 C2 O1 C4 C3 O1 18 1097 3,76 3,75 3,59 3,67 3,59 3,76 3,79 3,8 3,34 3,27 C13 C14 C15 C17 C18 O2 N4 C17 O2 O2 19 54 3,69 3,58 3,81 3,57 3,41 3,61 C03 C04 C02 C08 O09 C03 20 1042 3,84 3,85 3,17 3,57 3,67 3,78 3,89 3,23 3,64 3,33 C10 C13 C15 C16 C15 C16 O05 O11 O05 O11 21 2018 3,46 3,68 3,88 3,53 3,48 3,88 3,73 3,74 3,45 3,15 C16 C17 C18 C20 C21 O2 C20 N3 O2 O2 22 1031 3 3,17 3,76 3,59 3,67 3,4 3,26 3,64 3,52 3,25 3,68 3,53 C01 C07 C20 C25 C20 C24 C25 C01 C20 C25 N06 N06 23 1153 3,77 3,76 3,86 3,58 3,19 3,87 3,05 C10 C7 C3 O2 O2 C12 O2 24 1025 3,51 3,68 3,84 C02 O26 O26 25 1012 3,68 3,76 3,87 3,8 3,36 3,89 3,32 C12 C13 C14 O2 O2 C11 O2 26 1078 3,59 3,48 3,62 3,67 3,39 3,5 3,87 3,71 3,88 3,42 3,48 3,55 3,52 C1 C16 C2 C20 C21 C22 O1 C17 C21 C22 N1 O1 O1 27 1145 3,81 3,89 3,61 3,45 3,57 3,71 3,59 3,74 3,28 3,88 3,08 3,67 C1 C2 C23 C28 C29 O2 C29 N1 O2 C3 O2 C12 28 1050 3,72 3,47 3,31 3,74 3,85 3,77 3,48 3,89 3,66 3,47 3,23 3,9 C3 C5 C6 C7 O2 C4 C5 C6 N2 O2 O2 C17 29 1253 3,82 3,83 3,8 3,82 3,41 3,31 C09 C12 N01 O17 O17 O17 30 1257 3,73 3,86 3,76 3,57 3,36 C09 C06 N01 O17 O17 31 1297 3,51 3,89 3,49 3,38 C20 N4 O1 O1 32 1304 3,87 3,88 3,79 3,82 3,76 3,83 3,42 3,89 3,3 C1 C15 C16 C18 N4 O1 O1 C2 O1 33 1306 3,71 3,08 3,58 3,72 3,71 3,69 3,68 3,67 3,35 3,33 C1 C16 C18 C19 O1 C16 C17 C18 O1 O1 34 1307 3,74 3,79 3,73 3,56 3,4 3,61 3,64 3,84 3,59 3,79 3,3 3,33 C1 C15 C16 C20 C21 C22 O1 C17 C22 N3 O1 O1 35 1328 3,79 3,65 3,44 3,73 3,45 3,4 C1 C15 C16 N3 O1 O1 36 1334 3,82 3,77 3,58 3,51 3,74 3,69 3,81 3,6 3,88 3,42 3,31 C1 C15 C16 C20 C21 C22 O1 C21 N3 O1 O1 37 1335 3,79 3,9 3,87 3,48 3,68 3,73 3,73 3,87 3,36 3,38 3,84 C7 C8 C9 C2 C3 O1 C3 N1 O1 O1 C15 38 1338 3,86 3,88 3,81 3,84 3,82 3,84 3,4 3,9 3,32 C1 C19 C20 C26 N4 O1 O1 C2 O1 39 1345 3,75 3,61 3,61 3,66 3,81 3,7 3,25 3,23 C24 C26 C27 O2 C26 N1 O2 O2 40 1351 3,89 3,9 3,81 3,86 3,8 3,81 3,34 3,8 3,24 C1 C21 C22 C28 N4 O1 O1 C2 O1 41 1353 3,86 3,89 3,82 3,8 3,72 3,3 3,77 3,22 C14 C15 C16 N4 O1 O1 C13 O1 42 1367 3,87 3,81 3,73 3,29 3,71 3,22 C5 N3 O2 O2 C2 O2 43 1368 3,85 3,89 3,71 3,29 3,81 3,27 3,52 C03 N34 O29 O29 C06 O29 C28 44 1371 3,53 3,66 3,85 3,89 3,63 3,56 3,83 3,81 3,72 3,69 3,4 3,45 C1 C15 C16 C19 C20 C21 C22 O1 C22 N3 O1 O1 45 1372 3,9 3,89 3,77 3,85 3,88 3,48 3,35 C1 C3 C4 N3 O2 O2 O2 46 1373 3,83 3,84 3,77 3,84 3,44 3,87 3,34 C16 C18 N4 O1 O1 C2 O1 47 1492 3,25 3,47 3,82 3,7 3,87 3,58 3,33 3,44 C14 C15 C16 O1 C15 N4 O1 O1 48 1399 3,88 3,85 3,83 3,75 3,84 3,43 3,85 3,31 3,76 C17 C19 C21 N4 O2 O2 C16 O2 S1 49 1406 3,88 3,76 3,88 3,81 3,72 3,87 3,84 3,89 3,38 3,84 3,13 C16 C17 C2 C19 N4 O1 C19 N3 O1 C3 O1 50 1433 3,89 3,89 3,57 3,87 3,5 3,74 3,67 3,75 3,62 3,37 3,32 C10 C2 C8 C9 C1 C2 C7 O2 C2 O2 O2 51 14 3,54 3,21 3,72 3,69 3,68 C12 C8 C9 O1 O1 52 1360 3,89 3,85 3,9 3,85 3,82 3,44 3,36 C1 C21 C23 N4 O1 O1 O1 53 1450 3,68 3,79 3,65 3,39 3,54 3,67 3,53 3,85 3,9 3,31 3,83 3,28 C16 C18 C18 C19 C23 O1 C18 C19 N3 O1 C1 O1 54 1435 3,88 3,9 3,85 3,87 3,75 3,87 3,41 3,3 C1 C15 C16 C18 N4 O1 O1 O1 55 1441 C4 3,88 3,77 3,77 3,34 3,8 3,25 3,85 C19 N4 O1 O1 C5 O1 56 1411 C1 C3 3,86 3,61 3,14 3,63 3,02 3,77 3,88 N4 O2 O2 C4 O2 57 1149 C7 C9 3,82 3,83 3,87 3,88 3,73 3,51 3,61 3,88 3,24 3,34 3,69 C1 C2 C3 C6 C5 N3 O2 C12 O2

ТАБЛИЦА A2-13: Ван-дер-ваальсовы взаимодействия

Аминокислота TRP
655
GLY
656
MASP-2 АК № АК атом CE3 CH2 CZ2 CZ3 N O C CA 1 1129 3,54 3,9 3,54 3,47 3,66 3,66 C14 C13 N20 N20 C18 C15 2 1034 3,77 3,63 3,7 3,84 3,83 3,86 C16 N19 O07 N19 C18 O07 3 1024 3,9 3,5 3,86 3,86 3,78 3,59 3,53 3,54 3,57 3,58 C7 C6 C7 C6 C19 C18 N5 N5 C20 C17 4 1059 3,66 3,57 3,23 3,84 3,88 3,28 3,83 3,4 3,69 3,85 C13 C9 C16 C13 C19 N5 C22 N5 C22 C20 5 1088 3,78 3,7 3,77 3,72 3,75 3,75 3,56 3,75 3,67 3,89 C23 C22 C30 C24 C23 C28 N18 N29 C28 C27 6 1036 3,58 3,2 3,48 3,48 3,83 3,88 3,82 3,64 3,56 3,75 C20 C21 C20 N26 C25 C22 N26 C25 C22 C21 7 1081 3,23 3,86 3,9 3,67 3,82 3,83 3,8 3,27 3,28 3,54 3,83 C16 C15 C08 C16 C15 C20 C21 N26 N26 C25 C22 8 1063 3,83 3,81 3,84 3,36 3,24 3,46 3,64 C15 C2 C21 N5 N5 C23 C20 9 1065 3,6 3,88 3,74 C19 N28 C27 10 1030 3,81 3,8 3,39 3,73 3,86 C20 C20 C19 N4 N4 11 1037 3,25 3,64 3,7 3,69 3,79 C13 C12 N18 C17 C14 12 1118 3,4 3,8 3,66 3,87 3,69 3,76 3,4 3,88 3,63 3,7 3,78 3,88 C13 C5 C4 Cl2 C13 C16 C17 C16 N4 N4 C21 C18 13 1007 3,69 3,78 3,74 3,63 3,86 C14 C14 N5 N5 C3 14 Мелагатран
999
3,75 3,79 3,39 3,42 3,42 3,59 3,69
C6 C22 C21 N25 N25 C23 C20 15 1090 3,81 3,79 3,82 3,86 3,44 3,74 3,5 3,37 3,44 C15 C24 C13 C22 N5 C13 C14 C22 N5 16 1089 3,59 3,77 3,71 3,84 3,59 3,83 3,66 3,67 3,67 C10 C21 C19 C17 N5 C17 C18 C23 N5 17 1021 3,88 3,61 3,31 3,6 3,76 3,72 3,55 C3 C4 C3 C2 N3 C1 C2 18 1097 3,87 3,56 3,46 3,81 3,78 3,65 C17 C18 N6 C19 C22 N6 19 54 3,7 3,86 3,66 C08 C14 N10 20 1042 3,42 3,65 3,88 3,38 3,45 3,86 3,57 3,45 3,29 3,85 3,85 3,53 3,76 3,76 C24 C25 C25 C24 C25 C17 C20 N03 N21 O05 C17 C20 N21 N22 21 2018 3,76 3,89 3,74 3,42 3,64 3,82 3,85 3,81 C11 C20 C20 C21 N4 C22 C25 N4 22 1031 3,49 3,68 3,28 3,31 3,54 3,61 C15 C15 C25 C24 C25 N11 23 1153 3,61 3,78 3,85 3,88 C17 C18 C3 N1 24 1025 3,88 3,89 C18 N19 25 1012 3,86 3,53 3,73 3,57 C17 N5 C17 N5 26 1078 3,71 3,28 3,62 3,47 3,85 3,29 3,77 3,39 3,83 3,87 3,89 3,76 3,66 C13 C14 C13 C14 C21 C22 C20 C21 C22 C5 O1 C19 C20 27 1145 3,49 3,79 3,47 3,84 3,78 3,54 3,82 3,79 3,61 C12 C29 C28 C29 N3 N5 C27 C30 N5 28 1050 3,84 3,5 3,81 3,74 3,56 3,09 3,72 3,54 3,6 3,7 3,77 3,46 C15 C17 C17 C5 C5 C6 C7 N4 N5 C10 C7 N4 29 1253 3,61 3,71 3,85 3,52 3,67 3,52 C24 C24 C02 N07 C02 N07 30 1257 3,87 3,74 3,77 3,72 3,39 3,63 3,88 3,45 C23 C28 C28 C02 N08 C02 N01 N08 31 1297 3,54 3,86 3,38 3,7 3,88 3,65 3,59 3,44 C7 C8 C7 C8 N1 N5 C23 N5 32 1304 3,78 3,68 3,82 3,56 3,61 3,49 C13 C13 C19 N5 C19 N5 33 1306 3,87 3,44 3,84 3,66 3,27 3,85 3,78 3,79 3,75 3,54 3,61 C10 C9 C10 C10 C9 C16 C18 C18 C19 N5 N5 34 1307 3,75 3,76 3,87 3,48 3,57 3,3 3,85 3,7 3,64 3,78 C9 C9 C21 C22 C20 C21 C22 C19 C20 C23 35 1328 3,49 3,53 3,67 3,31 3,53 3,76 3,41 C13 C13 C19 N5 C19 N4 N5 36 1334 3,66 3,67 3,68 3,68 3,38 3,78 3,85 3,58 C13 C13 C21 C20 C22 C19 C23 N5 37 1335 3,84 3,39 3,7 3,82 3,44 3,9 3,51 3,86 3,6 C13 C15 C15 C3 C2 C3 N6 C23 N6 38 1338 3,83 3,74 3,9 3,86 3,56 3,75 3,57 C9 C9 C26 C23 N5 C23 N5 39 1345 3,77 3,52 3,74 3,83 3,52 3,63 3,51 C26 C27 N6 C27 C28 C31 N6 40 1351 3,84 3,45 3,62 3,37 C25 N5 C25 N5 41 1353 3,77 3,44 3,68 3,5 C19 N5 C19 N5 42 1367 3,89 3,86 3,8 3,49 3,78 3,61 C21 C21 C8 N4 C8 N4 43 1368 3,52 3,87 3,72 3,46 3,67 3,55 C28 C28 C35 N38 C35 N38 44 1371 3,78 3,63 3,7 3,68 3,86 3,54 3,56 3,42 3,84 3,52 3,69 C10 C9 C10 C9 C21 C22 C20 C21 N2 C19 C20 45 1372 3,54 3,48 3,73 3,47 3,6 3,49 C17 C17 C9 N4 C9 N4 46 1373 3,65 3,57 3,82 3,52 3,68 3,53 C13 C13 C19 N5 C19 N5 47 1492 3,74 3,72 3,31 3,72 3,65 3,47 C12 C23 N5 C21 C23 N5 48 1399 3,89 3,49 3,65 3,42 3,73 3,41 3,61 3,44 C3 S1 S1 S1 C22 N5 C22 N5 49 1406 3,7 3,84 3,51 3,85 3,84 3,54 3,62 3,46 C10 C10 C10 C23 C20 N5 C20 N5 50 1433 3,59 3,73 3,68 3,75 3,44 3,88 3,67 C22 C22 C2 C1 C7 C5 N2 51 14 3,72 C9 52 1360 3,8 3,47 3,68 3,5 C24 N5 C24 N5 53 1450 3,66 3,63 3,79 3,26 3,75 C18 C19 C22 C23 N5 54 1435 3,82 3,49 3,72 3,55 C19 N5 C19 N5 55 1441 3,65 3,75 3,85 3,55 3,75 3,6 C13 C13 C20 N5 C20 N5 56 1411 3,6 3,57 3,86 3,89 3,6 3,82 3,7 C15 C15 C20 N3 N5 C20 N5 57 1149 3,6 3,85 3,88 3,89 3,54 3,72 3,89 3,66 3,67 3,63 3,47 C1 C2 C6 C2 C3 C8 N1 C2 C3 C8 N1

ТАБЛИЦА A2-14: Ван-дер-ваальсовы взаимодействия

Аминокислота GLY
656
SER
657
MASP-2 АК № АК атом N O C CA CB N O OG 1 1129 3,87 3,77 3,3 3,39 3,79 3,8 3,75 3,84 3,56 3,63 C16 C15 C23 C09 C05 C23 N20 C24 C23 C16 2 1034 3,69 3,27 3,51 3,51 3,68 3,9 3,56 C24 C09 C05 N19 N19 C18 C14 3 1024 3,66 3,59 3,84 3,49 3,72 3,77 3,86 3,44 C18 C17 C16 C3 C2 N5 C20 C16 4 1059 3,68 3,5 3,41 3,75 3,83 3,78 3,74 3,59 3,67 3,79 C21 C20 C9 C4 C3 N5 N3 C22 C22 C20 5 1088 3,77 3,6 3,73 3,35 3,86 3,64 3,6 3,1 3,19 C27 C25 C24 C08 C06 N18 C28 C28 C27 6 1036 3,75 3,41 3,26 3,53 3,86 3,29 3,55 3,57 3,71 3,83 3,77 3,41 C23 C22 C21 C20 C19 C04 C02 N26 N26 C25 C25 C23 7 1081 3,71 3,79 3,41 3,58 3,81 3,62 3,86 3,85 C25 C23 C22 C21 C02 N26 N26 C23 8 1063 3,81 3,88 3,45 3,4 3,79 3,46 3,46 3,69 3,07 3,75 3,8 3,5 C23 C22 C21 C20 C19 C5 C4 C2 C1 N5 C23 C19 9 1065 3,82 3,61 3,55 3,06 3,68 3,64 3,59 C27 C25 C24 C05 C04 C01 C17 10 1030 3,77 3,78 3,65 3,84 3,82 C19 C18 C3 C2 N4 11 1037 3,86 3,86 3,66 3,57 3,86 3,73 3,84 3,47 C14 C13 C22 C02 C01 N18 C17 C15 12 1118 3,67 3,58 3,62 3,79 3,8 3,77 C18 C17 C4 C2 N4 C19 13 1007 3,71 3,85 3,87 3,51 C3 C11 N5 C3 14 Мелагатран
999
3,9 3,72 3,25 3,81 3,68 3,77 3,8 3,55
C21 C20 C28 C6 C28 N25 C23 C19 15 1090 3,83 3,74 3,8 3,41 3,38 3,88 3,83 3,16 3,87 3,7 3,57 3,77 3,41 3,46 3,78 C22 C15 C12 C13 C14 C1 C3 C4 C13 N5 N5 N4 C23 C13 C22 16 1089 3,47 3,48 3,85 2,95 3,86 3,58 C17 C18 C19 C2 N5 C17 17 1021 3,58 3,47 3,75 3,85 3,79 3,55 C1 C2 C3 C11 C12 N3 18 1097 3,76 3,8 3,84 3,71 3,64 3,84 3,52 3,68 3,66 3,85 3,28 C18 C19 C1 C2 C3 C6 N6 N6 C22 C19 C20 19 54 3,78 3,64 3,68 3,6 3,57 C02 C08 N15 C14 C14 20 1042 3,67 3,76 3,47 3,39 3,85 3,7 3,53 3,49 3,75 3,73 3,79 3,3 3,69 C16 C17 C01 C02 C17 C18 N03 N21 N03 N21 C20 C18 C20 21 2018 3,74 3,78 3,3 3,7 3,89 3,36 3,79 C21 C22 C9 N4 N4 C23 C25 22 1031 3,76 3,82 3,83 3,76 3,3 3,7 C20 C21 C24 C25 C10 N11 23 1153 3,75 3,82 3,79 3,56 3,66 3,39 C1 C2 C12 C13 C14 C1 24 1025 3,46 3,54 2,68 3,58 C14 C17 C18 C07 25 1012 3,64 3,85 3,11 3,54 3,81 3,55 3,41 C17 C1 C2 C3 N5 C17 C18 26 1078 3,87 3,63 3,59 3,79 2,71 C18 C19 C20 C21 C5 27 1145 3,61 3,62 3,47 3,8 3,59 3,83 3,75 3,74 C27 C28 C13 C3 C4 C13 N5 C26 28 1050 3,74 3,68 3,89 3,89 3,65 3,53 3,79 3,76 3,62 C6 C7 C8 C12 C13 C15 N4 N5 C8 29 1253 3,55 3,79 3,79 3,15 3,82 3,5 3,29 C02 C16 C20 C21 N07 C02 C03 30 1257 3,53 3,88 3,9 3,8 3,04 3,85 3,52 3,39 C02 C03 C06 C03 C19 N08 C02 C03 31 1297 3,65 3,78 3,79 3,66 3,29 3,64 3,37 C23 C24 C1 C4 C5 C23 C24 32 1304 3,9 3,53 3,64 3,14 3,52 3,31 C18 C19 C5 C6 C19 C20 33 1306 3,86 3,83 3,78 3,62 3,14 3,86 3,61 3,64 C19 C2 C3 C5 C6 N5 C21 C23 34 1307 3,8 3,54 3,54 3,85 3,87 3,49 3,11 3,73 3,55 C18 C19 C20 C21 C3 C5 C6 C23 C23 35 1328 3,78 3,48 3,76 3,8 3,8 3,4 3,16 3,5 3,28 3,34 C18 C19 C20 C20 C3 C5 C6 N5 C19 C20 36 1334 3,7 3,72 3,58 3,21 C19 C20 C5 C6 37 1335 3,74 3,7 3,75 3,72 3,83 3,74 3,89 3,85 3,54 C1 C2 C11 C13 N3 N6 N6 C23 C6 38 1338 3,57 3,85 3,64 3,21 3,89 3,48 3,26 C23 C3 C5 C6 N5 C23 C24 39 1345 3,89 3,7 3,76 3,62 3,78 3,85 3,75 3,86 C26 C27 C28 C16 C5 C29 C7 C9 40 1351 3,49 3,84 3,61 3,18 3,83 3,47 3,31 C25 C3 C5 C6 N5 C25 C26 41 1353 3,55 3,87 3,81 3,44 3,33 3,87 3,52 3,28 C19 C20 C1 C4 C5 N5 C19 C20 42 1367 3,54 3,87 3,78 3,71 3,82 3,52 3,32 C8 C9 C1 C9 N4 C8 C9 43 1368 3,66 3,55 3,18 3,82 3,89 3,88 3,54 3,32 C35 C07 C09 C21 C36 N38 C35 C36 44 1371 3,64 3,79 3,89 3,78 3,77 3,38 3,85 3,87 C19 C20 C2 C3 C5 C6 N2 C23 45 1372 3,52 3,78 3,14 3,84 3,3 3,5 C9 C13 C14 N4 C8 C9 46 1373 3,86 3,51 3,88 3,88 3,75 3,2 3,84 3,5 3,31 C18 C19 C20 C3 C5 C6 N5 C19 C20 47 1492 3,56 3,73 3,69 3,79 3,37 3,38 3,79 3,82 3,69 3,53 3,84 3,51 3,75 C21 C22 C3 C4 C5 C6 N5 N7 N7 C23 C21 C23 C23 48 1399 3,83 3,5 3,88 3,82 3,16 3,82 3,46 3,24 C21 C22 C23 C3 C4 N5 C22 C23 49 1406 3,56 3,65 3,13 3,84 3,4 3,21 C20 C6 C7 N5 C20 C21 50 1433 3,69 3,61 3,83 3,75 3,32 C1 C5 C12 C15 C16 51 14 3,59 3,47 3,82 3,82 C10 C9 C10 C9 52 1360 3,66 3,6 3,13 3,53 3,32 C24 C5 C6 C24 C25 53 1450 3,61 3,62 3,89 3,65 3,65 3,78 3,28 3,89 3,58 C19 C20 C1 C2 C3 C4 C5 C24 C24 54 1435 3,58 3,88 3,55 3,1 3,85 3,46 3,29 C19 C3 C5 C6 N5 C19 C20 55 1441 3,61 3,24 3,08 3,89 3,79 3,88 3,88 3,49 3,28 C20 C10 C11 C6 C9 C11 N5 C20 C21 56 1411 3,66 2,92 3,76 3,88 3,37 3,88 3,67 3,23 3,28 C20 C23 C5 C8 C9 C23 N5 C19 C20 57 1149 3,72 3,5 3,8 3,78 3,66 3,68 3,51 3,75 3,15 3,44 C2 C3 C4 C14 C3 N2 C8 C2 C3 C8

ТАБЛИЦА A2-15: Ван-дер-ваальсовы взаимодействия

Аминокислота MET
658
MASP-2 АК № АК атом C CA CB CE CG N O 1 1129 3,89 O25 C24 O26 2 1034 3,72 3,76 3 1024 4 1059 5 1088 6 1036 7 1081 8 1063 9 1065 3,85 C05 10 1030 11 1037 12 1118 13 1007 14 Мелагатран
999
3,83 3,84 3,52
C28 O30 C28 15 1090 16 1089 17 1021 3,74 N3 18 1097 3,69 C3 19 54 20 1042 21 2018 22 1031 23 1153 3,86 3,79 C28 C28 24 1025 3,41 C18 25 1012 3,86 C2 26 1078 3,72 C5 27 1145 3,81 3,81 3,87 3,58 3,28 3,84 3,46 3,2 3,28 3,59 3,8 3,74 3,3 3,23 3,33 3,68 3,44 3,56 C17 C13 C15 C16 C17 C18 C16 C17 C18 C19 C20 C21 C19 C20 O1 C13 C17 C18 28 1050 29 1253 30 1257 31 1297 32 1304 33 1306 34 1307 3,64 C6 35 1328 3,76 C6 36 1334 37 1335 38 1338 3,89 C6 39 1345 3,77 3,79 3,83 3,75 3,32 3,48 C9 C6 C8 C9 C10 C9 40 1351 41 1353 3,74 C5 42 1367 43 1368 3,65 C09 44 1371 3,83 C6 45 1372 46 1373 47 1492 48 1399 49 1406 50 1433 51 14 3,37 C2 52 1360 53 1450 54 1435 3,89 C6 55 1441 3,71 3,61 C11 C11 56 1411 3,8 3,79 3,47 3,56 C23 C25 O3 C23 57 1149 3,69 3,58 3,74 C15 C16 C21

ТАБЛИЦА A2-16: Ван-дер-ваальсовы взаимодействия

Аминокислота Met
658
ASN
659
CYS
660
GLN
665
GLY
667
TYR
669
MASP-2 АК № АК атом SD C CA CB SG CD OE1 C CA N CZ CE1 CE2 1 1129 3,55 3,54 3,71 3,43 3,45 3,35 3,63 3,68 3,36 N19 N19 C18 N20 C18 C16 C15 C18 N19 2 1034 3,78 3,47 3,32 N19 C18 N20 3 1024 3,47 N4 4 1059 3,72 3,68 N6 N4 5 1088 3,86 3,84 3,78 3,35 C28 N29 C28 N31 6 1036 3,7 3,63 3,44 N26 N26 N27 7 1081 3,86 N27 8 1063 3,76 N4 9 1065 3,64 3,78 3,48 C05 N28 N29 10 1030 3,74 3,76 3,5 3,44 N4 N4 C17 N5 11 1037 3,6 3,46 3,51 N18 N19 12 1118 N1 3,84 3,53 N4 N5 13 1007 14 Мелагатран
999
3,49
N24 15 1090 16 1089 3,49 3,66 3,35 3,73 N5 N5 C22 N4 17 1021 3,7 3,82 3,89 Cl1 Cl1 Cl1 18 1097 3,85 3,5 N6 N5 19 54 3,75 3,53 3,22 3,67 3,84 3,42 3,87 N15 C14 N13 N15 C12 N11 C12 20 1042 3,87 N22 21 2018 3,84 3,66 3,47 3,4 N4 N4 C25 N5 22 1031 23 1153 3,8 3,62 3,31 C8 N1 N2 24 1025 3,78 N09 25 1012 3,7 3,68 3,53 C17 C18 N5 26 1078 3,67 3,46 3,47 3,49 Cl1 Cl1 Cl1 Cl1 27 1145 3,83 3,83 3,33 C30 N4 N4 28 1050 3,78 3,27 C8 N3 29 1253 3,55 3,6 3,33 C02 C03 N07 30 1257 3,83 N08 31 1297 32 1304 3,86 N5 33 1306 3,65 3,21 3,63 3,61 3,02 3,42 C23 N4 N5 C23 N4 N4 34 1307 3,66 3,89 3,63 3,44 3,67 3,8 C23 Cl1 Cl1 Cl1 Cl1 Cl1 35 1328 3,42 3,61 2,92 N5 C19 N5 36 1334 3,75 3,65 3,65 3,69 N4 C23 Cl1 Cl1 37 1335 3,64 3,9 3,72 3,45 C6 N6 C23 N5 38 1338 3,83 N5 39 1345 3,69 3,8 3,34 3,87 3,6 3,7 3,85 3,56 3,68 N6 C10 C29 C31 C9 N6 N6 C31 N5 40 1351 3,68 3,66 3,55 C25 C26 N5 41 1353 42 1367 43 1368 3,74 3,36 N38 N38 44 1371 3,55 3,78 3,8 3,67 3,34 3,64 3,71 N5 N4 N6 Cl1 Cl1 Cl1 Cl1 45 1372 3,82 3,54 N4 N4 46 1373 3,82 N5 47 1492 3,9 3,72 3,65 C23 N7 N6 48 1399 49 1406 3,78 N5 50 1433 3,7 3,69 3,58 3,83 C6 Cl1 Cl1 Cl1 51 14 3,82 C2 52 1360 53 1450 3,77 3,39 3,6 3,72 3,56 3,77 3,9 C24 C24 C22 Cl1 Cl1 Cl1 Cl1 54 1435 3,88 3,88 N5 N5 55 1441 3,78 N5 56 1411 3,73 3,56 N5 N5 57 1149 3,39 3,76 3,19 N2 N2 N1

Таблица A3

# Соединение Конструкт Разрешение
[Å]
Пространств. группа Параметры элементарной ячейки
1 Мелагатран
999
CCP2-SP 2,31 C121 a = 72,6, b = 40,8, c = 103,4, beta=98,45
2 1129 CCP2-SP 1,90 C2221 a = 41,1, b = 72,5, c = 267,1 3 1088 CCP2-SP-HIS 1,17 P1211 a = 40,82, b = 76,72, c = 50,53, b=105,09 4 1036 CCP2-SP-HIS 1,69 P1211 a = 40,59, b = 75,96, c = 50,87, a = 90, b = 105,21, c = 90,0 5 1024 CCP2-SP 2 C121 a = 72,34, b = 41,26, c = 110,59, a=90,0, b=106,2, g=90,0 6 1037 CCP2-SP 1,88 P65 a = 41,61, b = 41,61, c = 326,15, a=90, b=90, g=120 7 1081 CCP2-SP 2,5 P1 a = 39,62, b = 41,69, c = 51,34, a=78,25, b=86,48, g=64,20 8 1065 CCP2-SP-HIS 1,70 P212121 a = 40,64, b = 50,83, c = 137,20, a=90, b=90, g=90 9 1034 CCP2-SP-HIS 2,7 P6122 a = 83,29, b = 83,29, c = 150,80, a=90, b=90, g=120 10 1059 CCP2-SP-HIS 1,90 I222 a = 73,62, b = 99,42, c = 105,36, a=90, b=90, g=90 11 1030 CCP2-SP-HIS 1,8 I222 a = 74,04, b = 99,58, c = 106,24, a=90, b=90, g=90 12 1118 CCP2-SP-HIS 1,20 P1 a = 39,64, b = 42,06, c = 51,38, a=78,45, b=86,21, g=63,56 13 1063 CCP2-SP-HIS 2,5 P1 a = 39,34, b = 41,65, c = 51,18, a=77,87, b=85,71, g=63,57 14 1007 CCP2-SP-HIS 2,50 P1 a = 41,13, b = 41,23, c = 119,53, a=87,46, b=82,51, g=61,13 15 1090 CCP2-SP-HIS 2,3 P21 a = 40,50, b = 76,50, c = 50,64, a=90, b=105,24, g=90 16 1089 CCP2-SP-HIS 1,10 P21 a = 40,64, b = 76,04, c = 50,67, a=90, b=105,31, g=90 17 1021 CCP2-SP-HIS 2,3 C2221 a = 72,14, b = 40,68, c = 102,91, a=90, b=98,14, g=90 18 1097 CCP2-SP-HIS 1,90 P21 a = 55,54, b = 75,63, c = 71,86, a=90, b=102,69, g=90 19 1297 CCP2-SP-HIS 2 P1 a = 50,63, b = 99,39, c = 138,7, a=90,17, b=90,24, g=90,16 20 1304 CCP2-SP-HIS 1,30 P212121 a = 51,70, b = 71,61, c = 79,83, a=90, b=90, g=90 21 1306 CCP2-SP-HIS 2 P61 a = 84,11, b = 84,11, c = 156,08, a=90,00, b=90,00, g=90,00 22 1307 CCP2-SP-HIS 1,54 P212121 a = 51,24, b = 71,10, c = 79,16, a=90, b=90, g=90 23 1328 CCP2-SP-HIS 2,71 P1211 a = 75,44, b = 128,52, c = 84,66, a=90, b=108,58, g=90 24 1334 CCP2-SP-HIS 1,67 P1 a = 39,52, b = 41,90, c = 51,02, a=78,01, b=85,84, g=63,92 25 1335 CCP2-SP-HIS 1,5 P212121 a = 38,06, b = 68,48, c = 117,67, a=90, b=90, g=90 26 1338 CCP2-SP-HIS 1,49 P1 a = 40,54, b = 41,78, c = 53,96, a=86,44, b=81,35, g=61,04 27 1345 CCP2-SP-HIS 2 P61 a = 84,12, b = 84,12, c = 156,10, a=90,00, b=90, g=120 28 1351 CCP2-SP-HIS 2,00 P212121 a = 60,80, b = 62,80, c = 93,87, a=90,00, b=90,00, g=90,00 29 1353 CCP2-SP-HIS 1,2 P212121 a = 51,36, b = 71,52, c = 81,32, a=90, b=90, g=90 30 1367 CCP2-SP-HIS 1,54 P212121 a = 51,60, b = 71,42, c = 79,38, a=90, b=90, g=90 31 1368 CCP2-SP-HIS 1,38 P212121 a = 51,63, b = 71,60, c = 79,19, a=90, b=90, g=90 32 1371 CCP2-SP-HIS 2,30 C121 a = 73,03, b = 41,12, c = 108,70, a=90, b=106,51, g=90 33 1372 CCP2-SP-HIS 1,3 P212121 a = 51,71, b = 71,71, c = 79,67, a=90, b=90, g=90 34 1373 CCP2-SP-HIS 1,40 P212121 a = 51,65, b = 71,58, c = 79,78, a=90, b=90, g=90 35 1492 CCP2-SP-HIS 2,2 P61 a = 83,60, b = 83,60, c = 154,39, a=90, b=90, g=120 36 1399 CCP2-SP-HIS 1,50 P212121 a = 51,64, b = 71,47, c = 79,62, a=90, b=90, g=90 37 1406 CCP2-SP-HIS 1,84 P212121 a = 51,55, b = 71,49, c = 79,77, a=90, b=90, g=90 38 54 CCP2-SP-HIS 1,85 P212121 a = 37,76, b = 68,38, c = 118,06, a=90, b=90, g=90 39 2018 CCP2-SP 1,48 P212121 a = 51,43, b = 71,49, c = 79,01, a=90, b=90, g=90 40 1031 CCP2-SP-HIS 3,00 P4212 a = 142,10, b = 142,10, c = 174,33, a=90, b=90, g=90 41 1153 CCP2-SP-HIS 2,3 P6122 a = 83,05, b = 83,05, c = 149,46, a=90, b=90, g=120 42 1025 CCP2-SP-HIS 2,45 P1 a = 50,279, b = 99,140, c = 138,454, a=90,01, b=90,01, g=90,00 43 1012 CCP2-SP-HIS 1,8 P212121 a = 50,71, b = 102,21, c = 137,53, a=90, b=90, g=90 44 1078 CCP2-SP-HIS 2,90 P1211 a = 92,20, b = 180,97, c = 196,95, a=90, b=92,5, g=90 45 1145 CCP2-SP-HIS 1,9 P212121 a = 38,23, b = 68,15, c = 117,16, a=90, b=90, g=90 46 1050 CCP2-SP-HIS 2,50 P212121 a = 37,80, b = 67,96, c = 116,92, a=90, b=90, g=90 47 1253 CCP2-SP 1,3 P212121 a = 51,30, b = 71,56, c = 79,40, a=90, b=90, g=90 48 1257 CCP2-SP 1,10 P1211 a = 40,86, b = 75,91, c = 51,05, a=90, b=105,47, g=90 49 14 CCP2-SP-HIS 1,8 P212121 a = 37,94, b = 69,14, c = 117,53, a=90, b=90, g=90 50 1042 CCP2-SP-HIS 2,25 P31 a = 83,758, b = 83,758, c = 153,239, a=90,00, b=90,00, g=120,00 51 1433 CCP2-SP-HIS 1,4 P212121 a = 51,62, b = 71,81, c = 79,86, a=90, b=90, g=90 52 1360 CCP2-SP-HIS 1,40 P212121 a = 51,71, b = 71,95, c = 82,20, a=90, b=90, g=90 53 1450 CCP2-SP-HIS 1,4 P212121 a = 51,73, b = 71,79, c = 79,73, a=90, b=90, g=90 54 1435 CCP2-SP-HIS 1,50 P212121 a = 51,66, b = 71,54, c = 79,96, a=90, b=90, g=90 55 1441 CCP2-SP-HIS 1,40 P212121 a = 51,48, b = 71,24, c = 79,57, a=90, b=90, g=90 56 1411 CCP2-SP-HIS 1,60 P212121 a = 51,51, b = 71,35, c = 79,80, a=90, b=90, g=90 57 1149 CCP2-SP-HIS 2,8 P 61 2 2 a=80,11, b= 80,11 c= 150,17, a= 90 b= 90 c=120

Таблица A4

Таблица A4-1: Расстояния лиганд - фармакофорный элемент

Фармакофорн. элемент C2 C3 C4 C5 C6 C7 CA1 CA2 CA3 CA4 CA5 CA6 соединения 1 14 0 0 0 0 0 0 1,47 0 0 0 0 1,68 2 999_1 2,69 0 0 0 0 0 0,48 0 0 0 0 0 3 999_2_A 2,87 0 0 0 0 0 0,6 0 0 0 0 0 4 999_2_B 2,86 0 0 0 0 0 0,57 0 0 0 0 0 5 54_A 0 4,06 0 0 0 0 0,6 0 0 0 0 0 6 54_B 4 0 0 0 0 0 0,49 0 0 0 0 0 7 1129 3,15 0 0 0 0 0 0,35 0 0 0 0,67 0 8 1034 2,4 0 0 0 0 0 0,28 0 0 0 0,98 0 9 1024 0 0 0 0 0 0 0,4 0,33 0 0 0 0 10 1042_1 1,81 0 0 0 0 0 0,87 0,48 0 0 0 0 11 1042_2 1,33 0 0 0 0 0 0,5 0,72 0 0 0 0 12 1042_3 2,05 0 0 0 0 0 0,5 1,65 0 0 0 0 13 2018 0 9,61 0 0 0 0 0,54 0 0 0 1,25 1,35 14 1059 1,86 0 0 0 0 0 1,27 0,8 0 0 0 0 15 1088_A 1,75 0 0 0 0 0 0,4 0 0 0 0,39 0 16 1088_B 1,93 0 0 0 0 0 0,62 0,2 0 0 0 0 17 1036_1 0 0 0 0 0 0 0,35 0 0 0 1 0 18 1036_2_1 0 0 0 0 0 0 0,47 0 0 0 0,78 0 19 1036_2_2 0 0 0 0 0 0 0,54 0 0 0 1,25 0 20 1081 0 0 1,99 0 0 0 0,48 0,76 0 0 0 0 21 1063 0,48 0 0 0 0 0 0,3 0,85 0 0 0 0 22 1065 0,11 0 0 0 0 0 0,88 0,1 0 0 0 0 23 1030_A 0 0 0 0 0 0 0,34 0 0 0 4,24 3,19 24 1030_B 0 0 0 0 0 0 0,39 0 0 0 1,57 0 25 1037 0 0 0 0 0 0 0,27 0 0 0 1,21 0 26 1118 0 0 2,54 0 1,17 0 0,43 0,69 0 0 0 0 27 1090 0 0 0 0 0 0 0,98 0 0 0 0,91 0 28 1007_1 0 0 0 0 0 0 0,35 0,77 0 0 0 0 29 1007_2 0 0 0 0 0 0 0,59 0,86 0 0 0 0 30 1149 0 0 3,8 0 0 0 0,35 0 0 1,47 0 4,96 31 1021_A 0 0 0 0,53 0 0 1,4 0 0 0 3,03 0 32 1021_B 0 0 0 0,45 0 0 1,36 0,48 0 0 0 0 33 1097_1 0,69 0 0 0 0 0 0,29 0 0 0 0,98 0 34 1097_2 0,72 0 0 0 0 0 0,32 0 0 0 1,1 0 35 1031_1 0 0 0 0,34 0 0 1,42 0,36 0 0 0 0 36 1031_2 0 0 0 0,41 0 0 1,56 0,6 0 0 0 0 37 1031_3 0 0 0 0,48 0 0 1,56 0,44 0 0 0 0 38 1031_4 0 0 0 0,3 0 0 1,41 0,5 0 0 0 0 39 1153_A 8,69 0 0 0 0 0 0,43 0,34 4,19 0 0 0 40 1153_B 10,14 0 0 0 0 0 0,39 0,58 0 0 6,17 0 41 1025_1 0,84 0 0 0 0 0 0,49 0,53 0 0 0 0 42 1025_2 0,79 0 0 0 0 0 0,98 0,18 0 0 0 0 43 1025_3 0,49 0 0 0 0 0 0,81 0,86 0 0 0 0 44 1025_4 0,51 0 0 0 0 0 0,28 0,97 0 0 0 0 45 1025_5 0,67 0 0 0 0 0 0,62 0,37 0 0 0 0 46 1025_6 0,52 0 0 0 0 0 1,03 0,55 0 0 0 0 47 1089_A 0 0 0 0 0 0 1 0,89 0 0 0 0 48 1089_B 0 0 0 0 0 0 0,99 0 0 0 1,16 0 49 1012_1 0 0 0 0 0 0 0,4 0 0 0 1,27 0 50 1012_2 0 0 0 0 0 0 0,44 0 0 0 0,94 0 51 1078_1 0,69 0 0 0,4 0 0 1,58 0,48 0 0 0 0 52 1078_10 0,49 0 0 0,3 0 0 1,34 0,49 0 0 0 0 53 1078_11 0,6 0 0 0,41 0 0 1,64 0,64 0 0 0 0 54 1078_12 0,4 0 0 0,52 0 0 1,43 0,64 0 0 0 0 55 1078_13 0,58 0 0 0,47 0 0 1,62 0,73 0 0 0 0 56 1078_14 0,74 0 0 0,47 0 0 1,61 0,8 0 0 0 0 57 1078_15 0,81 0 0 0,43 0 0 1,56 0,65 0 0 0 0 58 1078_16 0,64 0 0 0,42 0 0 1,49 0,49 0 0 0 0 59 1078_2 0,61 0 0 0,46 0 0 1,55 0,61 0 0 0 0 60 1078_3 0,43 0 0 0,45 0 0 1,53 0,27 0 0 0 0 61 1078_4 0,67 0 0 0,52 0 0 1,62 0,59 0 0 0 0 62 1078_5 0,71 0 0 0,42 0 0 1,76 0,6 0 0 0 0 63 1078_6 1,09 0 0 0,48 0 0 1,31 0,65 0 0 0 0 64 1078_7 0,64 0 0 0,61 0 0 1,69 0,55 0 0 0 0 65 1078_8 0,85 0 0 0,78 0 0 1,67 0,92 0 0 0 0 66 1078_9 0,67 0 0 0,46 0 0 1,62 0,56 0 0 0 0 67 1145_A 0 0 0 0 0 0 0,47 0,41 1,22 0 0 0 68 1145_B 0 0 0 0 0 0 0,47 0,41 1,22 0 0 0 69 1050 6,95 0 0 0 0 0 0,57 0,33 0 0 0 0 70 1253 0,28 0,07 0 0 0 0 0,59 0,23 0 0 0 0 71 1257 0 0,1 0 0 0,53 0 0,65 0 0 0 1,2 0 72 1297_1 0,34 0,3 0 0 0 0 0,39 0,19 0 1,24 0 0 73 1297_2 0,34 0,17 0 0 0 0 0,47 0,22 0 1,25 0 0 74 1297_3 0,28 0,23 0 0 0 0 0,33 0,22 0 0,94 0 0 75 1297_4 0,31 0,18 0 0 0 0 0,48 0,24 0 0,98 0 0 76 1297_5 0,24 0,29 0 0 0 0 0,44 0,07 0 1,22 0 0 77 1297_6 0,33 0,4 0 0 0 0 0,36 0,24 0 1,14 0 0 78 1304 0 0,09 0 0 0 0 0,56 0,23 0 0 0 0 79 1306_1 0 0 0 0 0 0 0,05 0,6 0 0 0 0 80 1306_2 0 0 0 0 0 0 0,74 1,14 0 0 0 0 81 1307 0 0 0 0,37 0 0,76 1,55 0,17 0 0 0 0 82 1328_1 0 0,4 0,76 0 0 0 0,49 0,5 0 0 0 0 83 1328_2 0 0,15 1,28 0 0 0 0,41 0,43 0 0 0 0 84 1328_3 0 0,21 1,76 0 0 0 0,4 0,48 0 0 0 0 85 1328_4 0 0,18 1,86 0 0 0 0,5 0,3 0 0 0 0 86 1334 0 0 0 0,34 0 0 1,04 0,7 0 0 0 0 87 1335 0 0 0 0 0 0 0,38 0,56 0 0 0 0 88 1338 0 0,12 0 0 0 0 0,55 0,59 0 1,21 0 0 89 1345_1 0 0 0 0 0 0 0,51 1,2 1,44 0 0 0 90 1345_2 0 0 0 0 0 0 0,45 0,89 1,13 0 0 0 91 1351 0 0,12 0 0 0 0 0,57 0,8 0 3,3 0 0 92 1353 0,58 0,13 0 0 0 0 0,61 0,5 0 0 0 0 93 1360 0 0,11 0 0 0 0 0,57 2,35 0 0 1,11 0 94 1367 0 0,13 0 0 0 0 0,5 0,57 0 0 3,27 0 95 1368 0 0,16 0 0 0 0 0,62 0,95 0 0 2,23 0 96 1371 0 0 0 0,48 0 0 0,58 0,46 0 0 0 0 97 1372_A 0 0,09 1,91 0 0 0 0,55 0,47 0 0 0 0 98 1372_B 0 0,1 0 0 1,46 0 0,57 1,41 0 0 0 0 99 1373 0 0,08 0 0 0 0 0,56 0,54 0 0 2,5 0 100 1492 2,91 0 0 0 0 0 1,7 0 0 0 0,84 0 101 1399 0 0,14 0 0 0 0 0,59 0,85 0 2,39 0 0 102 1406 0 0,12 0 0 0 0 0,56 0,42 0 1,59 0 0 103 1411 0,42 0,32 0 0 0 0 0,71 0,52 0 0 0 0 104 1433 0,26 0 0 0,2 0 0 0,98 0,18 0 0 0 0 105 1435 0 0,15 1,37 0 0,38 0 0,6 0,8 0 0 0 0 106 1441 0,54 0,17 0 0 0 0 0,64 0,64 0 0 0 0 107 1450_A 0 0 0 0,34 0 0,72 1,03 0,4 0 0 0 0 108 1450_B 0 0 0 1,67 0 1,3 0,94 1,24 0 0 0 0

Таблица A4-2: Расстояния лиганд - фармакофорный элемент

Фармакофорн. элемент H1 H2 H3 H4 N1 N2 O1 O2 O3 O4 соединения 1 14 0 4,66 0 1,82 0 0 3,89 0,46 0 0 2 999_1 0 0 4,95 3,36 1,77 0,72 1,53 0,41 0 0 3 999_2_A 0 0 4,85 3,24 1,71 0,89 1,86 0,53 0 0 4 999_2_B 0 0 4,73 3,33 1,63 1,1 1,77 0,77 0 0 5 54_A 0 0 5,03 0 0 0 0 0 0 3,96 6 54_B 0 0 4,44 0 0 0 0 0 0 3,94 7 1129 0 0 1,34 3,79 1,8 1,8 0,39 0,58 0 0 8 1034 0 0 1,08 3,56 1,87 0,86 0,39 0,49 0 0 9 1024 0 0 4,93 3,21 1,74 0,59 0,4 0,4 0 0 10 1042_1 0 0 5,4 3,08 1,3 0,56 2,71 0,67 0 0 11 1042_2 0 0 5,3 3,52 1,61 1,72 3,1 0,75 0 0 12 1042_3 0 0 6,42 4,11 1,45 1,33 0 1,19 0 0 13 2018 0 0 7,09 1,03 2,16 0 2,54 2,38 0 0 14 1059 0 0 4,5 3,89 1,27 0,41 0,82 0,49 0 0 15 1088_A 0 0 3,41 5 0,89 0,36 0,57 0,41 0 0 16 1088_B 0 0 3,63 5,04 1,15 0,49 0,72 0,37 0 0 17 1036_1 0 0 5,87 3,25 1,78 0,45 0,38 0,34 0 0 18 1036_2_1 0 0 4,76 3,7 2,16 0,81 0,74 0,45 0 0 19 1036_2_2 0 0 5,81 3,32 2,08 0,66 0,8 0,68 0 0 20 1081 0 0 5,53 3,48 1,57 0,21 0,28 0,45 0 0 21 1063 0 0 4,66 3,47 1,56 1,21 0,6 0,68 0 0 22 1065 0 0 4,27 4,71 0,96 0,26 0,31 0,26 0 0 23 1030_A 0 0 3,05 3,42 1,55 0 0,5 0,57 0 0 24 1030_B 0 0 3,03 3,19 1,49 0 0,96 0,61 0 0 25 1037 0 0 3,03 3,2 1,98 0 0,66 0,53 0 0 26 1118 0 0 5,69 3,5 1,59 0,32 0,25 0,55 0 0 27 1090 0 0 5,6 0,54 1,59 0,46 0,53 0,47 0 0 28 1007_1 0 0 4,59 2,28 1,39 0,59 0,76 0,57 0 0 29 1007_2 0 0 4,59 2,16 1,55 1,03 0,89 0,77 0 0 30 1149 0 0 2,9 3,72 1,89 3,4 0,77 6,17 0 0 31 1021_A 0 0 0,8 1,73 0 0,95 1 0,87 0 0 32 1021_B 0 0 0,84 0,53 0 0,62 1,02 0,5 0 0 33 1097_1 0 0 2,07 3,33 1,92 0,61 0,51 0,44 0 0 34 1097_2 0 0 2,16 3,54 1,79 0,4 0,51 0,32 0 0 35 1031_1 0 1,6 1,16 2,79 0 0,64 0,91 0,63 0 0,92 36 1031_2 0 1,47 0,45 2,01 0 0,8 1,17 2,33 0 1,05 37 1031_3 0 1,36 1,16 2,79 0 0,3 1,05 0,83 0 0,97 38 1031_4 0 1,46 1,26 2,97 0 0,74 1,04 0,82 0 0,95 39 1153_A 0 0 0,44 4,25 1,41 0,34 1,73 0,79 7,39 0 40 1153_B 0 0 1,01 4,21 1,5 1,88 2,22 6,33 12,11 0 41 1025_1 0 0 2,07 3,53 1,74 0,97 2,51 2,94 0 0 42 1025_2 0 0 1,75 2,28 1,85 1,08 2,55 2,63 0 0 43 1025_3 0 0 1,7 3,95 1,06 0,59 1,27 3 0 0 44 1025_4 0 0 1,05 3,36 1,39 0,23 2,33 0,72 0 0 45 1025_5 0 0 2,04 3,68 0,4 0,91 1,12 2,96 0 0 46 1025_6 0 0 1,77 3,75 1,11 0,59 1,36 2,83 0 0 47 1089_A 0 0 5,67 0,59 1,52 0,5 0,41 0,42 0 0 48 1089_B 0 0 5,68 0,57 1,56 0,38 0,4 0,43 0 0 49 1012_1 0 0 4,44 2,79 1,21 0,32 0,39 0,42 0 0 50 1012_2 0 0 4,08 1,93 2,54 0,66 0,67 0,65 0 0 51 1078_1 0 0,54 0,94 1,67 0 0,64 1,05 0,43 0 1,26 52 1078_10 0 0,46 1,24 0,6 0 0,35 1,12 0,63 0 1,08 53 1078_11 0 0,5 0,5 1,68 0 0,3 1,35 0,7 0 1,19 54 1078_12 0 0,71 1 1,45 0 0,59 1,02 1 0 1,32 55 1078_13 0 0,71 1,11 0,63 0 0,2 1,24 0,51 0 1,38 56 1078_14 0 0,41 0,69 1,45 0 0,5 1,29 0,8 0 1,28 57 1078_15 0 0,41 0,85 1,59 0 0,61 1,2 0,69 0 1,34 58 1078_16 0 0,69 0,73 1,7 0 0,5 1,02 0,54 0 1,38 59 1078_2 0 0,34 0,59 1,74 0 0,35 1,19 0,55 0 0,98 60 1078_3 0 0,36 1,07 0,56 0 0,31 1,27 0,59 0 1,01 61 1078_4 0 0,67 0,39 1,67 0 0,33 1,17 0,51 0 1,28 62 1078_5 0 0,97 0,81 1,7 0 0,53 1,35 0,58 0 1,67 63 1078_6 0 0,61 1,78 1,01 0 1,38 1,26 0 0 1 64 1078_7 0 0,39 0,93 1,7 0 0,6 1,04 0,57 0 1,19 65 1078_8 0 0,46 0,74 1,57 0 0,58 1,21 0,73 0 1,36 66 1078_9 0 0,89 0,85 1,8 0 0,58 1,16 0,48 0 1,63 67 1145_A 0,1 0 4,73 3,44 1,47 0,31 0,23 0,61 2,39 0 68 1145_B 0,1 0 4,73 3,44 1,47 0,31 0,23 0,61 2,39 0 69 1050 0 0 0,65 3,44 1,43 0,26 0,59 0,42 0 0 70 1253 0 0 0,98 2,74 1,13 0,22 0,54 0,29 0 0 71 1257 0 0 0,74 2,6 1,22 0,23 0,61 0,29 0 0 72 1297_1 0 0 4,44 2,65 1,26 0,28 0,62 0,38 0 0 73 1297_2 0 0 4,23 2,77 1,12 0,14 0,6 0,37 0 0 74 1297_3 0 0 4,4 2,74 1,14 0,39 0,57 0,3 0 0 75 1297_4 0 0 4,27 2,72 1,17 0,19 0,57 0,38 0 0 76 1297_5 0 0 4,24 2,61 1,32 0,32 0,56 0,24 0 0 77 1297_6 0 0 4,25 2,58 1,39 0,88 0,6 0,28 0 0 78 1304 0 0 4,52 2,76 1,15 0,15 0,48 0,26 0 0 79 1306_1 0 0 4,93 4,21 2,05 0,66 1,07 0,19 0 0 80 1306_2 0 0 4,37 5,03 1,16 0,57 0,69 0,58 0 0 81 1307 0 0 0,82 0,55 0 0,56 1,43 0,73 0 0,83 82 1328_1 0 0 4,33 2,79 1,13 0,47 0,31 0,56 0 0 83 1328_2 0 0 4,58 2,68 1,16 0,17 0,48 0,39 0 0 84 1328_3 0 0 4,6 2,34 1,24 0,5 0,68 0,55 0 0 85 1328_4 0 0 4,56 2,55 1,1 0,61 1,12 0,58 0 0 86 1334 0 0 3,01 0,91 0 0,21 0,16 0,43 0 1,1 87 1335 0 0 4,98 1,46 1,65 0,36 2,14 0,29 0 0 88 1338 0 0 4,52 2,7 1,17 0,16 0,38 0,31 0 0 89 1345_1 0 0 5,45 3,64 1,98 1,06 1,1 0,38 2,93 0 90 1345_2 0 0 4,78 3,63 1,74 0,43 0,35 0,38 1,87 0 91 1351 0 0 4,36 2,69 1,21 0,31 0,43 0,39 0 0 92 1353 0 0 4,4 2,73 1,16 0,26 0,56 0,31 0 0 93 1360 0 0 4,55 2,82 1,1 0,18 0,59 0,27 0 0 94 1367 0 0 2,46 2,75 1,12 0 0,67 2 0 0 95 1368 0 0 3,8 2,77 1,11 0,24 0,6 5,09 0 0 96 1371 0 0 1,21 0,82 0 0,35 0,72 0,46 0 1,38 97 1372_A 0 0 1,18 2,8 1,11 0,16 0,53 0,24 0 0 98 1372_B 0 0 1,2 2,8 1,12 0,41 0,54 0,26 0 0 99 1373 0 0 4,46 2,77 1,11 0,22 0,51 0,26 0 0 100 1492 0 0 6 1,08 1,71 0 1,53 1,38 0 0 101 1399 0 0 4,29 2,79 1,08 0,52 0,59 0,3 0 0 102 1406 0 0 4,51 2,81 1,02 0,33 0,56 0,38 0 0 103 1411 0 0 4,01 2,9 1,03 0,54 0,46 0,47 0 0 104 1433 0 0 3,08 0,52 0 0,16 0,36 0,25 0 1,03 105 1435 0 0 4,44 2,75 1,1 0,18 0,49 0,23 0 0 106 1441 0 0 4,36 2,76 1,1 0,63 0,57 0,33 0 0 107 1450_A 0 0 0,97 0,46 0 0,17 0,58 0,38 0 1,16 108 1450_B 0 0 1,04 0,36 0 0,24 0,5 0,38 0 0,53

Таблица A5

Таблица A5-1: Фармакофоры: расстояние между элементами

Фармакофорная область Область S2 Область S1 Элементы d(H4,O1) d(H4,O2) d(O1,O2) d(CA6,O1) d(CA6,O2) d(CA1,O1) d(CA1,O2) d(CA1,N1) d(C3,CA1) d(CA1,N1)2 d(CA1,O4) d(CA1,C5) d(O4,H2) 1 14 3,02 3,13 5,28 7,02 3,51 3,49 3,51 2 999_1 3,57 4,90 2,29 3,61 4,51 3,61 3 999_2_A 3,49 5,01 2,30 3,58 4,73 3,64 4 999_2_B 3,18 5,07 2,52 3,35 4,89 3,60 5 1129 5,00 4,63 3,49 4,47 4,37 3,60 6 1034 4,86 4,31 3,48 4,35 4,19 3,64 7 1024 3,99 3,27 3,23 4,37 4,23 3,55 8 1042_1 3,35 3,67 3,40 3,98 4,13 3,58 9 1042_2 4,02 4,01 3,46 4,47 4,74 3,61 10 1042_3 4,90 4,54 3,63 11 2018 3,89 5,39 4,92 2,73 2,50 7,59 6,76 3,56 12 1059 4,89 4,48 3,20 5,32 5,00 1,85 13 1088_A 6,97 5,89 3,49 5,33 4,61 14 1088_B 6,73 6,06 3,02 5,22 4,78 15 1036_1 4,04 3,64 3,31 4,41 4,55 3,60 16 1036_2_1 4,42 3,44 3,17 4,62 4,33 3,66 17 1036_2_2 4,14 3,26 3,29 4,55 4,34 3,61 18 1081 5,10 4,46 3,45 4,57 4,27 3,62 19 1063 5,37 3,82 3,31 4,95 3,58 3,56 20 1065 6,39 5,35 3,30 4,32 4,20 3,47 21 1030_A 5,04 4,57 3,20 5,19 3,40 4,56 4,46 22 1030_B 4,76 4,55 3,30 4,31 4,50 23 1037 4,16 3,07 3,31 4,49 4,30 3,64 24 1118 4,85 4,52 3,25 4,35 4,33 3,55 25 1090 3,15 3,68 3,38 5,59 5,11 26 1007_1 3,59 2,73 3,55 4,39 3,86 1,38 27 1007_2 3,69 2,76 3,63 4,52 4,00 1,38 28 1149 5,59 8,32 8,70 7,04 8,45 5,15 9,42 3,57 29 1021_A 2,33 2,48 3,05 4,71 4,16 3,10 30 1021_B 3,14 3,94 3,20 4,52 4,58 3,11 31 1097_1 3,88 3,35 3,32 4,28 4,28 3,53 32 1097_2 4,74 4,28 3,33 4,35 4,09 3,52 33 1031_1 2,48 3,90 3,55 5,66 4,45 2,84 3,16 0,96 34 1031_2 2,45 3,99 3,45 5,53 7,12 2,73 3,08 0,96 35 1031_3 2,45 3,87 3,43 5,37 4,35 2,79 3,16 0,96 36 1031_4 2,53 3,54 3,29 5,59 4,22 2,71 3,09 0,96 37 1153_A 6,25 4,36 4,62 5,79 4,38 3,54 38 1153_B 5,77 7,90 9,57 5,51 8,18 3,54 39 1025_1 5,36 5,79 5,16 5,54 5,58 1,36 40 1025_2 4,52 4,59 4,97 5,40 4,61 1,35 41 1025_3 4,84 4,68 4,91 5,60 4,57 1,36 42 1025_4 4,83 3,57 2,98 5,48 3,79 1,36 43 1025_5 4,66 5,13 4,84 5,62 5,31 1,37 44 1025_6 4,98 4,26 5,71 6,05 4,12 1,36 45 1089_A 3,13 3,70 3,34 5,75 5,19 46 1089_B 3,14 3,69 3,33 5,68 5,17 47 1012_1 4,36 3,79 3,51 4,38 3,84 1,39 48 1012_2 2,36 2,42 3,35 4,38 3,81 1,39 49 1078_1 2,29 2,61 3,05 4,56 4,72 2,75 3,12 0,97 50 1078_10 3,11 3,46 2,72 4,35 4,37 2,76 3,12 0,97 51 1078_11 2,26 2,51 3,42 4,69 4,58 2,75 3,12 0,97 52 1078_12 3,08 3,40 2,81 4,34 4,51 2,74 3,12 0,98 53 1078_13 3,14 3,66 3,25 4,37 4,66 2,76 3,12 0,98 54 1078_14 2,48 2,59 2,91 4,46 4,47 2,75 3,13 0,97 55 1078_15 2,66 2,49 2,93 4,59 4,59 2,74 3,13 0,97 56 1078_16 2,20 2,69 3,11 4,42 4,54 2,74 3,13 0,97 57 1078_2 2,19 2,44 3,25 4,69 4,62 2,75 3,12 0,97 58 1078_3 3,13 3,61 3,17 4,44 4,54 2,75 3,13 0,98 59 1078_4 2,27 2,64 3,39 4,56 4,61 2,76 3,13 0,97 60 1078_5 2,40 2,46 3,41 4,48 4,88 2,72 3,12 0,98 61 1078_6 2,75 5,90 2,75 3,11 0,98 62 1078_7 2,08 2,49 3,35 4,83 4,83 2,77 3,14 0,97 63 1078_8 2,28 2,53 2,73 4,33 4,59 2,75 3,10 0,98 64 1078_9 2,21 2,49 3,11 4,31 4,77 2,74 3,11 0,98 65 1145_A 4,89 4,48 3,28 4,42 4,42 3,54 66 1145_B 4,89 4,48 3,28 4,42 4,42 3,54 67 1050 4,58 4,38 3,01 4,10 4,29 3,47 68 1253 4,38 3,69 3,39 4,36 3,83 2,87 1,37 69 1257 4,43 3,84 3,61 4,45 4,03 2,87 1,35 70 1297_1 4,31 3,81 3,46 4,35 3,86 2,87 1,39 71 1297_2 4,41 3,62 3,57 4,48 3,69 2,88 1,37 72 1297_3 4,37 3,85 3,55 4,43 3,92 2,85 1,39 73 1297_4 4,35 3,67 3,50 4,44 3,67 2,87 1,37 74 1297_5 4,56 3,82 3,43 4,59 3,88 2,86 1,38 75 1297_6 4,65 4,26 3,53 4,73 4,23 2,86 1,38 76 1304 4,40 3,85 3,37 4,39 3,89 2,84 1,38 77 1306_1 4,25 5,09 3,06 4,38 4,22 3,54 78 1306_2 6,07 5,71 2,68 3,99 4,29 3,60 79 1307 3,15 3,80 3,17 4,60 4,57 2,74 3,13 0,98 80 1328_1 4,21 3,54 3,13 4,24 3,54 2,85 1,37 81 1328_2 4,38 3,84 3,08 4,43 4,01 2,85 1,38 82 1328_3 3,99 2,55 3,40 4,82 3,89 2,85 1,38 83 1328_4 4,21 2,53 3,71 5,05 3,83 2,85 1,37 84 1334 3,14 3,74 3,24 5,33 4,84 1,75 3,47 85 1335 4,68 3,12 5,11 6,60 4,33 3,55 86 1338 4,33 3,75 3,35 4,35 3,80 2,88 1,37 87 1345_1 4,08 3,57 3,48 4,52 4,49 88 1345_2 4,97 4,32 3,32 4,58 4,16 89 1351 4,47 3,70 3,38 4,47 3,79 2,85 1,38 90 1353 4,38 3,72 3,27 4,38 3,79 2,85 1,36 91 1360 4,38 3,80 3,32 4,35 3,85 2,85 1,36 92 1367 4,37 5,63 4,72 4,35 5,37 2,85 1,39 93 1368 4,34 8,84 7,07 4,30 8,92 2,86 1,39 94 1371 3,13 3,66 3,25 3,46 3,72 95 1372_A 4,40 3,88 3,32 4,38 3,94 2,85 1,38 96 1372_B 4,39 3,91 3,35 4,37 4,00 2,85 1,38 97 1373 4,40 3,78 3,38 4,41 3,86 2,85 1,37 98 1492 3,14 5,11 3,18 3,43 1,13 4,66 6,47 1,85 99 1399 4,40 3,82 3,33 4,40 3,92 2,86 1,38 100 1406 4,35 3,89 3,29 4,36 4,00 2,86 1,38 101 1411 4,34 3,90 3,50 4,37 4,05 2,87 1,34 102 1433 3,16 3,59 3,46 5,49 4,76 1,77 3,47 103 1435 4,37 3,79 3,37 4,36 3,86 2,85 1,38 104 1441 4,29 3,79 3,29 4,27 3,96 2,85 1,37 105 1450_A 3,16 3,57 3,11 5,47 4,73 1,75 3,55 106 1450_B 3,14 3,46 3,83 5,49 4,57 1,74 3,41 среднее расстояние 3,98 3,97 3,59 5,08 3,80 4,70 4,52 3,46 2,86 1,37 2,59 3,17 0,97 стандартное отклонение 1,07 1,13 1,03 1,78 2,48 0,65 0,95 0,43 0,01 0,01 0,37 0,13 0,01 минимальное значение 2,08 2,42 2,29 2,73 1,13 3,35 3,51 1,85 2,84 1,34 1,74 3,08 0,96 максимальное значение 6,97 8,84 9,57 7,04 8,45 7,59 9,42 3,66 2,88 1,39 2,84 3,55 0,98 размер выборки 105 105 104 5 5 105 105 31 27 37 25 27 21

Таблица A5-2 Фармакофорное расстояние

Фармакофорная область Область S3 Область S4 Элементы d(O2,H3) d(O2,N2) d(N2,C2) d(N2,C4) d(CA5,N2) d(N2,CA2) d(N2,C4)4 d(N2,C6) d(N2,CA3) d(N2,O3) d(N2,H1) 1 14 2 999_1 5,38 2,64 2,93 3 999_2_A 5,47 2,40 3,23 4 999_2_B 5,15 2,58 3,00 5 1129 2,83 3,19 2,76 5,54 6 1034 2,74 3,03 2,26 3,72 7 1024 5,45 2,78 6,19 8 1042_1 5,43 2,64 3,42 6,20 9 1042_2 5,89 2,86 4,38 7,44 10 1042_3 6,75 4,11 3,55 6,60 11 2018 9,00 12 1059 4,97 2,67 3,70 5,88 13 1088_A 3,72 2,73 3,41 5,30 14 1088_B 3,82 2,68 3,90 6,13 15 1036_1 6,25 2,67 5,05 16 1036_2_1 5,47 2,80 5,11 17 1036_2_2 6,42 2,84 5,14 18 1081 5,78 2,76 7,56 6,05 7,56 19 1063 4,92 3,36 1,38 5,62 20 1065 4,40 2,83 1,40 5,75 21 1030_A 3,36 22 1030_B 3,28 23 1037 3,99 24 1118 5,85 2,67 7,40 5,84 7,40 8,27 25 1090 5,87 2,72 5,09 7,94 26 1007_1 4,41 2,79 6,02 27 1007_2 4,67 2,86 6,11 28 1149 5,29 4,42 7,94 29 1021_A 2,83 2,71 4,69 30 1021_B 2,30 2,65 5,22 31 1097_1 4,58 2,81 1,42 4,50 32 1097_2 4,29 2,81 1,42 4,50 33 1031_1 2,99 3,03 6,25 34 1031_2 3,09 3,00 5,86 35 1031_3 3,21 3,22 5,84 36 1031_4 3,10 3,13 6,23 37 1153_A 2,71 2,88 8,34 6,18 3,78 7,78 38 1153_B 3,10 2,99 8,53 3,75 5,06 9,72 39 1025_1 3,35 2,94 1,35 5,67 40 1025_2 2,63 2,79 1,32 5,62 41 1025_3 2,66 2,64 1,34 5,66 42 1025_4 2,43 2,95 1,35 5,58 43 1025_5 2,78 2,68 1,32 5,61 44 1025_6 1,27 3,00 1,34 5,64 45 1089_A 5,94 2,66 5,10 46 1089_B 5,91 2,70 5,10 47 1012_1 4,08 2,65 5,07 48 1012_2 4,07 2,78 5,10 49 1078_1 2,93 2,77 1,48 5,74 50 1078_10 1,97 2,74 1,48 5,72 51 1078_11 3,05 2,97 1,47 5,75 52 1078_12 2,85 2,84 1,45 5,74 53 1078_13 2,11 2,79 1,47 5,61 54 1078_14 2,58 2,77 1,45 5,69 55 1078_15 2,97 2,84 1,45 5,66 56 1078_16 2,96 2,90 1,49 5,80 57 1078_2 2,53 2,72 1,44 5,72 58 1078_3 2,05 2,79 1,45 5,70 59 1078_4 2,72 2,70 1,51 5,66 60 1078_5 3,24 2,95 1,45 5,65 61 1078_6 1,49 5,49 62 1078_7 3,26 3,04 1,47 5,74 63 1078_8 2,69 2,85 1,44 5,66 64 1078_9 3,06 2,89 1,46 5,71 65 1145_A 5,36 2,77 5,91 5,59 7,97 8,64 66 1145_B 5,36 2,77 5,91 5,59 7,97 8,68 67 1050 2,72 2,76 6,69 5,73 68 1253 2,04 2,70 1,46 5,74 69 1257 2,18 2,71 5,09 6,64 70 1297_1 4,23 2,71 1,44 5,68 71 1297_2 3,98 2,84 1,47 5,78 72 1297_3 4,22 2,72 1,43 5,64 73 1297_4 4,02 2,76 1,47 5,72 74 1297_5 4,06 2,67 1,43 5,69 75 1297_6 4,15 2,83 1,44 5,72 76 1304 4,37 2,62 5,96 77 1306_1 5,26 2,66 6,06 78 1306_2 4,46 2,71 6,15 79 1307 2,09 2,81 6,14 80 1328_1 4,20 2,79 8,09 5,88 8,09 81 1328_2 4,54 2,75 7,87 5,92 7,87 82 1328_3 4,77 2,77 7,95 6,00 7,95 83 1328_4 4,71 2,79 7,92 6,17 7,92 84 1334 2,99 2,77 6,09 85 1335 5,33 2,70 5,83 86 1338 4,29 2,74 6,05 87 1345_1 5,98 2,90 6,14 5,17 8,75 88 1345_2 5,51 2,87 5,98 5,15 8,73 89 1351 4,26 2,76 6,12 90 1353 4,10 2,69 1,45 6,50 91 1360 4,32 2,66 5,07 8,32 92 1367 2,68 93 1368 7,79 4,30 4,47 6,36 94 1371 1,96 2,79 5,90 95 1372_A 2,30 2,66 6,06 5,99 6,06 96 1372_B 2,23 2,63 6,02 5,56 97 1373 4,31 2,65 6,60 6,03 98 1492 7,20 99 1399 4,09 2,67 5,96 100 1406 4,44 2,64 5,98 101 1411 4,13 2,68 1,46 5,72 102 1433 2,89 2,65 1,51 5,79 103 1435 4,33 2,62 8,24 6,00 8,24 7,51 104 1441 4,15 2,72 1,45 5,75 105 1450_A 2,13 2,81 5,88 106 1450_B 2,32 2,67 6,07 среднее расстояние 3,99 2,83 2,22 7,67 4,94 5,91 7,67 6,99 5,06 8,49 8,66 стандартное отклонение 1,42 0,30 1,64 0,62 0,62 0,41 0,62 1,01 0,67 0,67 0,02 минимальное значение 1,27 2,40 1,32 6,06 3,72 5,06 6,06 5,56 3,78 7,78 8,64 максимальное значение 9,00 4,42 8,53 8,24 6,60 8,32 8,24 8,27 5,59 9,72 8,68 размер выборки 104,00 98 51 9 18 81 9 4 5 6 2

Таблица A6

Таблица A6-1 Фармакофорные углы

Фармакофорная область Область S1 Область S2 Элементы a(O1,O2,H4) a(O1,CA6,O2) a(CA1,O1,O2) A(N1,CA1,O1)a) a(C3,CA1,O1) a(N1,CA1,O1)b) a(O1,CA1,O4) a(C5,CA1,O1) a(O1,CA1,C7) a(CA1,O4,H2) 1 14 61,95 75,74 139,05 2 999_1 154,32 127,44 159,37 3 999_2_A 156,25 133,11 156,55 4 999_2_B 156,16 140,65 153,11 5 1129 137,67 111,77 164,78 6 1034 135,95 111,64 160,69 7 1024 128,26 109,78 163,32 8 1042_1 122,15 117,21 158,11 9 1042_2 128,91 116,12 164,17 10 1042_3 11 2018 118,45 159,18 100,76 169,37 12 1059 140,37 102,43 176,16 13 1088_A 149,95 99,08 14 1088_B 153,40 99,27 15 1036_1 129,34 113,86 162,74 16 1036_2_1 134,57 105,64 163,26 17 1036_2_2 128,96 108,40 164,16 18 1081 138,44 108,25 163,55 19 1063 142,43 88,32 167,99 20 1065 148,95 110,77 165,45 21 1030_A 141,50 76,43 109,09 22 1030_B 138,56 115,15 23 1037 128,21 108,98 162,36 24 1118 139,63 111,55 162,73 25 1090 121,29 100,34 26 1007_1 113,31 107,37 174,46 27 1007_2 113,36 107,55 174,22 28 1149 105,44 131,55 147,27 168,87 29 1021_A 101,19 87,17 100,00 158,12 30 1021_B 127,69 111,61 159,75 31 1097_1 125,81 112,80 162,99 32 1097_2 137,06 109,11 163,92 33 1031_1 116,98 90,53 62,36 160,22 123,26 34 1031_2 120,91 130,70 51,33 162,16 126,02 35 1031_3 119,04 93,66 52,73 163,39 122,20 36 1031_4 116,96 84,57 55,13 161,31 122,41 37 1153_A 132,39 99,83 174,13 38 1153_B 92,62 144,91 171,50 39 1025_1 125,08 118,04 171,14 40 1025_2 113,88 111,48 171,54 41 1025_3 117,96 107,75 174,66 42 1025_4 142,08 72,65 171,39 43 1025_5 120,99 112,95 174,47 44 1025_6 104,02 106,08 170,14 45 1089_A 122,16 98,23 46 1089_B 122,31 99,20 47 1012_1 129,53 107,17 173,56 48 1012_2 90,89 105,03 161,82 49 1078_1 103,21 111,94 68,03 160,22 126,79 50 1078_10 131,53 108,49 71,55 160,63 127,01 51 1078_11 88,73 109,94 59,87 161,80 130,34 52 1078_12 128,90 111,74 67,44 161,92 127,55 53 1078_13 123,59 115,77 65,06 162,99 129,33 54 1078_14 109,80 109,29 70,42 159,36 126,58 55 1078_15 110,90 108,62 65,89 160,41 127,31 56 1078_16 101,76 112,44 67,40 161,46 126,68 57 1078_2 91,16 109,26 65,74 159,94 128,74 58 1078_3 124,44 112,44 67,41 162,08 128,44 59 1078_4 93,17 112,48 65,56 161,60 128,57 60 1078_5 90,82 117,54 55,67 164,79 131,80 61 1078_6 67,49 152,72 126,69 62 1078_7 86,28 110,36 67,29 158,86 126,10 63 1078_8 111,09 112,99 73,28 159,05 125,48 64 1078_9 97,24 117,85 66,67 161,68 128,05 65 1145_A 139,31 111,73 162,28 66 1145_B 139,31 111,73 162,28 67 1050 140,76 114,34 160,78 68 1253 131,28 105,84 149,95 174,19 69 1257 128,83 109,00 150,46 174,64 70 1297_1 130,08 107,14 149,59 174,57 71 1297_2 128,26 103,93 150,01 174,54 72 1297_3 129,38 107,42 150,32 174,78 73 1297_4 129,06 103,60 149,60 174,41 74 1297_5 132,64 102,43 150,41 174,11 75 1297_6 133,61 105,49 150,35 173,49 76 1304 132,43 105,87 149,82 173,92 77 1306_1 143,05 107,94 158,44 78 1306_2 153,92 114,80 161,00 79 1307 126,83 109,57 66,49 161,35 121,00 127,11 80 1328_1 133,34 101,20 150,62 175,41 81 1328_2 136,71 103,89 150,10 173,89 82 1328_3 122,23 97,62 150,74 173,57 83 1328_4 119,12 96,00 151,05 173,49 84 1334 124,74 100,10 68,25 150,49 85 1335 100,88 91,76 170,77 86 1338 131,78 105,30 148,99 173,72 87 1345_1 126,38 112,39 88 1345_2 138,87 105,43 89 1351 132,32 103,11 149,86 173,60 90 1353 133,22 103,61 149,99 173,73 91 1360 132,69 105,67 150,18 174,23 92 1367 125,36 129,48 149,67 173,97 93 1368 127,75 151,69 149,59 173,57 94 1371 123,31 121,03 95 1372_A 133,23 106,33 149,88 174,16 96 1372_B 132,88 107,52 149,88 174,13 97 1373 131,90 105,28 149,81 174,08 98 1492 143,64 87,17 137,45 173,84 99 1399 132,84 105,80 149,86 173,87 100 1406 133,28 107,31 149,47 173,92 101 1411 130,04 109,85 149,02 173,43 102 1433 118,66 97,80 65,77 151,25 103 1435 131,96 106,19 149,49 173,74 104 1441 132,47 108,56 148,89 173,13 105 1450_A 125,38 94,14 68,80 150,97 136,18 106 1450_B 109,15 98,92 66,73 150,20 139,92 среднее расстояние 125,22 102,87 109,45 164,29 149,91 173,40 64,89 159,21 132,37 126,98 стандартное отклонение 16,57 31,42 12,06 5,24 0,51 2,19 5,55 4,12 8,18 2,30 минимальное значение 61,95 75,74 72,65 153,11 148,89 161,82 51,33 150,20 121,00 122,20 максимальное значение 156,25 159,18 151,69 176,16 151,05 175,41 73,28 164,79 139,92 131,80 размер выборки 104 6 104 30 27 37 25 27 3 21

Примечания:

a) Все соединения с протонируемым центром N1 за исключением метиламинопиридина

b) Соединения метиламинопиридина

Таблица A6-2 Фармакофорный угол

Фармакофорная область Область S3 Область S4 Область RM Элементы a(O1,O2,H3) a(O1,O2,N2) a(O2,N2,C2) a(O2,N2,C4) a(O2,N2,CA2) a(O2,N2,C4)2 a(O2,N2,C6) a(O2,N2,CA3) a(O2,N2,O3) a(O2,N2,H1) 1 14 2 999_1 158,16 168,00 125,23 3 999_2_A 157,15 164,18 134,23 4 999_2_B 152,90 175,07 127,87 5 1129 122,63 127,76 110,31 6 1034 135,88 137,69 100,68 7 1024 151,79 136,56 154,55 8 1042_1 149,96 170,80 140,47 155,50 9 1042_2 152,56 148,96 139,99 158,67 10 1042_3 129,44 145,75 11 2018 154,86 12 1059 148,70 132,46 139,14 153,47 13 1088_A 144,04 141,09 141,58 14 1088_B 144,52 135,22 140,65 154,54 15 1036_1 153,49 143,79 16 1036_2_1 153,56 149,24 17 1036_2_2 154,60 146,84 18 1081 153,00 139,53 161,57 153,98 119,80 19 1063 157,64 139,49 118,75 154,05 20 1065 145,76 144,81 124,85 154,55 21 1030_A 146,48 22 1030_B 142,99 23 1037 145,74 24 1118 152,79 137,47 162,84 154,60 125,21 88,59 25 1090 152,05 140,84 26 1007_1 146,43 138,95 154,71 27 1007_2 145,74 133,10 153,46 28 1149 54,88 62,73 154,82 49,80 29 1021_A 141,44 142,62 30 1021_B 140,90 147,46 155,32 31 1097_1 152,91 134,93 125,76 32 1097_2 153,30 137,12 128,45 33 1031_1 123,16 130,39 153,37 34 1031_2 132,76 133,59 150,67 35 1031_3 128,81 134,55 152,13 36 1031_4 124,03 130,34 152,78 37 1153_A 138,79 132,96 168,69 152,46 157,3814094 167,70665 38 1153_B 25,95 44,76 163,28 150,51 165,2913429 39 1025_1 129,17 125,11 132,16 158,42 40 1025_2 137,62 130,51 139,00 161,47 41 1025_3 141,10 134,33 141,57 163,85 42 1025_4 170,92 162,26 126,70 154,93 43 1025_5 137,39 135,64 140,45 163,61 44 1025_6 108,29 105,09 124,73 154,93 45 1089_A 153,00 141,72 154,37 46 1089_B 152,83 141,07 47 1012_1 144,24 141,07 48 1012_2 141,64 140,42 49 1078_1 141,96 145,93 121,70 154,68 50 1078_10 146,00 152,80 131,78 156,19 51 1078_11 137,81 142,32 120,15 152,82 52 1078_12 150,80 154,56 130,32 157,60 53 1078_13 135,66 146,15 127,57 154,39 54 1078_14 144,55 148,03 129,57 155,65 55 1078_15 143,22 147,42 124,17 155,02 56 1078_16 140,06 144,54 122,62 154,31 57 1078_2 141,98 146,00 128,07 155,89 58 1078_3 132,07 145,54 126,01 154,83 59 1078_4 141,42 146,07 126,96 155,54 60 1078_5 138,56 141,15 114,27 151,79 61 1078_6 62 1078_7 137,32 140,50 114,22 151,33 63 1078_8 140,66 145,13 125,44 153,81 64 1078_9 142,04 146,14 119,45 153,36 65 1145_A 150,25 136,24 153,28 161,48 168,41 168,81 66 1145_B 150,25 136,24 153,28 161,48 168,41 168,66 67 1050 137,51 140,97 159,29 153,66 68 1253 134,57 140,99 130,77 155,92 69 1257 132,63 141,45 105,30 70 1297_1 144,22 143,88 130,88 156,06 71 1297_2 144,48 141,45 127,48 154,79 72 1297_3 143,41 144,44 132,31 156,50 73 1297_4 145,24 143,80 131,10 156,08 74 1297_5 146,79 147,10 132,77 157,05 75 1297_6 144,79 141,32 116,76 154,05 76 1304 147,16 139,74 156,83 77 1306_1 152,11 135,46 155,89 78 1306_2 151,24 153,80 158,08 79 1307 129,22 142,81 155,37 80 1328_1 150,01 145,32 161,66 155,25 114,03 81 1328_2 149,68 139,05 160,74 154,85 109,44 82 1328_3 151,35 139,67 160,41 154,95 106,08 83 1328_4 150,66 142,82 160,57 156,25 109,36 84 1334 136,63 143,82 155,99 85 1335 152,03 130,91 154,21 86 1338 148,03 141,48 157,11 87 1345_1 149,79 134,33 153,15 153,91 163,54 88 1345_2 152,27 142,63 153,90 151,66 162,76 89 1351 148,60 141,59 158,04 90 1353 146,74 137,66 130,69 157,19 91 1360 147,57 138,89 162,09 92 1367 107,78 93 1368 119,72 74,03 145,05 94 1371 136,64 146,93 155,86 95 1372_A 137,15 140,15 159,60 155,91 127,51 96 1372_B 139,74 143,19 157,88 115,79 97 1373 147,32 141,07 156,78 98 1492 153,97 99 1399 145,77 143,45 157,06 100 1406 147,38 140,17 156,30 101 1411 142,75 140,47 130,32 155,94 102 1433 135,90 141,60 129,89 155,75 103 1435 147,24 139,75 164,21 157,86 121,06 99,38 104 1441 145,43 144,23 131,10 156,32 105 1450_A 127,40 139,62 154,51 106 1450_B 123,50 138,89 155,81 среднее расстояние 141,41 139,32 130,19 160,71 155,18 109,14 102,26 157,18 166,02 168,74 стандартное отклонение 17,50 16,79 11,79 2,46 2,86 22,13 9,84 3,95 2,29 0,08 минимальное значение 25,95 44,76 100,68 154,82 145,05 49,80 88,59 151,66 162,76 168,66 максимальное значение 170,92 175,07 168,69 164,21 163,85 127,51 115,79 161,48 168,41 168,81 размер выборки 103 97 97 9 80 9 4 5 6 2

Таблица A7

Таблица A7-1 Фармакофорные торсионные углы

Фармакофорная область Область S2 Область S1 Область S3 Элементы a(CA6,O1,H4,O2) a(O1,H4,O2,CA1) a(N1,CA1,O2,H4) a(C3,CA1,O1,H4) a(N1,CA1,O1,H4) a(C5,CA1,O1,H4) a(C7,CA1,O1,H4) a(H4,O1,O2,H3) a(H4,O1,O2,N2) a(O1,O2,N2,C2) a(O1,O2,N2,C2)2 1 14 43,29 38,29 2 999_1 -126,77 -136,63 21,52 126,59 95,00 95,00 3 999_2_A -126,58 -134,62 20,92 107,88 109,28 109,28 4 999_2_B -154,08 -159,59 12,97 142,07 73,39 73,39 5 1129 -65,27 -139,56 104,70 133,45 95,54 95,54 6 1034 -61,32 -127,27 93,33 142,83 68,39 68,39 7 1024 -63,40 -97,21 44,69 125,09 8 1042_1 -160,50 9,10 -19,99 68,67 115,48 115,48 9 1042_2 68,80 69,40 -9,33 44,33 151,54 151,54 10 1042_3 11 2018 -9,94 -146,71 -154,72 30,27 12 1059 -89,48 -131,19 47,74 121,97 129,30 129,30 13 1088_A -54,60 49,33 120,82 103,40 103,40 14 1088_B -63,34 45,99 121,15 129,99 129,99 15 1036_1 -63,13 -93,66 32,81 124,11 16 1036_2_1 -44,90 -89,39 41,52 133,12 17 1036_2_2 -56,75 -100,27 33,33 119,08 18 1081 -62,03 -125,05 36,36 121,47 19 1063 -74,94 -130,71 54,13 155,02 150,29 150,29 20 1065 -21,94 -89,34 44,38 129,83 124,96 124,96 21 1030_A 18,23 -63,68 52,95 22 1030_B -59,93 53,99 23 1037 -51,12 -92,49 57,29 24 1118 -65,17 -132,91 38,74 128,20 25 1090 -92,71 91,31 -177,46 26 1007_1 -94,99 39,07 50,93 137,94 27 1007_2 -94,30 48,80 47,32 126,25 28 1149 55,30 -48,11 -109,82 105,58 125,02 29 1021_A -66,24 32,57 -132,46 -124,87 30 1021_B -86,96 -13,44 -171,75 -168,95 31 1097_1 -66,34 -97,71 86,65 121,05 136,92 136,92 32 1097_2 -71,28 -142,69 91,00 129,42 125,27 125,27 33 1031_1 -175,07 -101,95 142,57 137,86 34 1031_2 -138,43 36,72 63,49 56,56 35 1031_3 -164,95 -92,95 149,50 144,29 36 1031_4 -175,49 -110,81 138,85 134,30 37 1153_A 15,20 -11,60 86,11 97,90 30,40 30,40 38 1153_B 23,08 56,56 70,64 133,70 -139,94 -139,94 39 1025_1 -141,34 6,68 -40,49 -77,23 -47,33 -47,33 40 1025_2 -163,82 -28,78 -54,10 -98,22 -27,27 -27,27 41 1025_3 139,58 -15,01 -52,28 -100,26 -32,71 -32,71 42 1025_4 150,81 -85,37 127,24 161,32 45,78 45,78 43 1025_5 -169,75 -23,34 -32,05 -85,30 -34,65 -34,65 44 1025_6 -135,64 -7,52 122,08 166,26 88,55 88,55 45 1089_A -95,88 88,95 -175,67 46 1089_B -94,63 89,27 -178,39 47 1012_1 -84,31 10,25 50,86 137,94 48 1012_2 -50,19 -107,13 162,80 -124,02 49 1078_1 -60,12 25,08 -119,94 -112,97 138,25 138,25 50 1078_10 -84,11 -9,97 -152,67 -164,78 123,40 123,40 51 1078_11 -55,96 37,14 -120,02 -112,40 136,21 136,21 52 1078_12 -75,31 11,21 -120,32 -108,09 114,97 114,97 53 1078_13 -78,80 -7,66 -157,30 -162,99 118,91 118,91 54 1078_14 -62,09 20,44 -134,39 -121,21 126,74 126,74 55 1078_15 -64,96 19,98 -124,63 -117,88 139,14 139,14 56 1078_16 -58,07 14,30 -119,50 -111,94 136,30 136,30 57 1078_2 -57,88 38,04 -132,87 -119,25 127,17 127,17 58 1078_3 -82,33 -5,62 -160,53 -166,69 132,95 132,95 59 1078_4 -58,33 32,90 -123,98 -113,42 124,98 124,98 60 1078_5 -52,04 21,83 -119,72 -115,76 148,01 148,01 61 1078_6 -22,50 62 1078_7 -57,85 30,48 -121,10 -116,26 144,61 144,61 63 1078_8 -58,50 5,11 -134,33 -122,87 135,84 135,84 64 1078_9 -50,72 14,92 -116,62 -110,81 144,64 144,64 65 1145_A -59,90 -128,41 48,71 124,15 66 1145_B -59,90 -128,41 48,71 124,15 67 1050 -58,32 -131,38 102,21 123,45 66,94 66,94 68 1253 -82,09 26,20 3,75 115,64 140,24 120,69 120,69 69 1257 -81,51 30,77 11,94 108,60 132,94 70 1297_1 -85,98 30,15 26,85 50,42 137,09 117,40 117,40 71 1297_2 -87,24 29,10 23,27 51,75 141,21 116,16 116,16 72 1297_3 -86,03 28,95 22,83 50,29 141,16 114,36 114,36 73 1297_4 -89,51 28,23 26,25 51,40 142,16 110,29 110,29 74 1297_5 -86,41 30,12 10,41 47,86 144,38 111,81 111,81 75 1297_6 -89,84 27,46 5,20 43,22 150,19 132,97 132,97 76 1304 -84,58 24,93 5,90 49,79 138,09 77 1306_1 -170,32 106,51 36,21 120,80 78 1306_2 -12,97 -77,87 40,51 134,08 79 1307 -88,47 -6,78 -161,01 -163,22 -170,13 80 1328_1 -88,07 30,10 20,31 55,62 136,65 81 1328_2 -83,12 21,76 -4,36 51,26 134,72 82 1328_3 -87,28 57,52 39,33 47,98 130,71 83 1328_4 -91,48 66,00 58,16 44,95 135,08 84 1334 -93,67 2,51 110,57 -172,73 85 1335 -127,40 -112,46 55,79 140,77 86 1338 -85,13 23,02 -3,32 52,11 140,39 87 1345_1 -62,84 39,71 114,36 88 1345_2 -68,67 49,59 128,64 89 1351 -83,97 26,55 -0,13 51,88 138,69 90 1353 -84,72 23,38 3,14 51,34 136,30 126,15 126,15 91 1360 -83,81 24,01 3,34 51,00 138,89 92 1367 -85,54 23,21 1,25 42,45 93 1368 -74,89 22,95 -2,26 40,86 68,19 94 1371 -68,15 -165,12 -174,11 95 1372_A -83,68 25,78 5,73 99,84 136,36 96 1372_B -82,66 25,77 4,96 99,85 139,62 97 1373 -84,42 25,67 4,28 50,98 139,02 98 1492 -19,90 -60,21 -132,36 94,72 99 1399 -83,35 24,20 0,87 50,25 142,63 100 1406 -83,05 23,93 -2,51 50,99 135,75 101 1411 -82,11 24,51 -2,21 55,16 137,13 117,46 117,46 102 1433 -96,26 6,40 109,26 -171,69 118,46 118,46 103 1435 -83,48 24,44 1,43 51,39 136,22 104 1441 -80,01 21,88 -6,82 50,54 141,99 117,29 117,29 105 1450_A -99,46 -8,42 -160,66 -165,58 -172,83 106 1450_B -91,88 13,21 -150,35 -176,95 177,59 среднее расстояние 17,40 -76,06 -92,19 28,54 2,57 -0,88 -157,34 17,91 47,94 99,05 99,05 стандартное отклонение 29,14 50,45 67,16 9,82 29,67 39,57 4,95 88,16 124,93 59,50 59,50 минимальное значение -19,90 -175,49 -159,59 21,76 -107,13 -110,81 -161,01 -176,95 -178,39 -139,94 -139,94 максимальное значение 55,30 150,81 106,51 66,00 58,16 38,04 -150,35 162,80 177,59 151,54 151,54 размер выборки 5 104 30 27 37 27 3 103 97 49 49

Таблица A7-2 Фармакофорные торсионные углы

Фармакофорная область Область S4 Область RM Элементы a(O1,O2,N2,CA5) a(O1,O2,N2,CA2) a(O1,O2,N2,CA4) a(O1,O2,N2,C6) a(O2,N2,CA2) a(O1,O2,N2,O3) a(O1,O2,N2,H1) a(O1,O2,N2,CA3) 1 14 2 999_1 3 999_2_A 4 999_2_B 5 1129 145,95 6 1034 137,68 7 1024 139,71 154,55 8 1042_1 136,01 155,50 9 1042_2 159,77 158,67 10 1042_3 145,75 11 2018 12 1059 134,69 153,47 13 1088_A 116,27 14 1088_B 134,51 154,54 15 1036_1 142,62 16 1036_2_1 136,82 17 1036_2_2 137,32 18 1081 142,86 153,98 19 1063 133,32 154,05 20 1065 129,88 154,55 21 1030_A 22 1030_B 23 1037 24 1118 145,00 150,07 154,60 25 1090 134,91 26 1007_1 128,23 154,71 27 1007_2 131,44 153,46 28 1149 155,91 29 1021_A 94,53 30 1021_B 136,58 155,32 31 1097_1 148,15 32 1097_2 137,08 33 1031_1 124,94 153,37 34 1031_2 -157,89 150,67 35 1031_3 133,88 152,13 36 1031_4 127,07 152,78 37 1153_A 116,41 152,46 43,95 24,87 38 1153_B -161,98 76,90 150,51 -144,09 39 1025_1 -46,36 158,42 40 1025_2 -25,28 161,47 41 1025_3 -34,46 163,85 42 1025_4 44,29 154,93 43 1025_5 -36,22 163,61 44 1025_6 87,30 154,93 45 1089_A 137,41 154,37 46 1089_B 133,38 47 1012_1 127,02 48 1012_2 133,17 49 1078_1 140,46 154,68 50 1078_10 136,18 156,19 51 1078_11 138,54 152,82 52 1078_12 110,39 157,60 53 1078_13 137,37 154,39 54 1078_14 134,23 155,65 55 1078_15 141,63 155,02 56 1078_16 139,28 154,31 57 1078_2 137,47 155,89 58 1078_3 140,71 154,83 59 1078_4 136,93 155,54 60 1078_5 149,21 151,79 61 1078_6 62 1078_7 143,84 151,33 63 1078_8 143,43 153,81 64 1078_9 146,06 153,36 65 1145_A 140,87 153,28 -10,98 -17,10 -15,65 66 1145_B 140,87 153,28 -10,98 -15,97 -15,65 67 1050 147,29 153,66 68 1253 126,24 155,92 69 1257 134,25 146,13 70 1297_1 131,38 110,58 156,06 71 1297_2 126,84 106,20 154,79 72 1297_3 129,56 108,64 156,50 73 1297_4 126,11 105,94 156,08 74 1297_5 122,50 101,00 157,05 75 1297_6 131,04 109,63 154,05 76 1304 125,90 156,83 77 1306_1 136,58 155,89 78 1306_2 124,98 158,08 79 1307 138,35 155,37 80 1328_1 126,19 155,25 81 1328_2 132,29 154,85 82 1328_3 131,79 154,95 83 1328_4 128,70 156,25 84 1334 133,84 155,99 85 1335 118,45 154,21 86 1338 124,64 116,54 157,11 87 1345_1 138,94 153,15 -11,99 -27,29 88 1345_2 129,85 153,90 -20,78 -34,52 89 1351 121,52 119,61 158,04 90 1353 120,30 157,19 91 1360 129,35 130,24 162,09 92 1367 93 1368 124,36 -100,57 145,05 94 1371 136,54 155,86 95 1372_A 129,48 155,91 96 1372_B 109,73 141,41 157,88 97 1373 91,76 127,58 156,78 98 1492 99 1399 126,87 113,10 157,06 100 1406 127,54 102,90 156,30 101 1411 127,52 155,94 102 1433 127,94 155,75 103 1435 123,48 137,30 157,86 104 1441 126,16 156,32 105 1450_A 120,74 154,51 106 1450_B 137,59 155,81 среднее расстояние 113,48 114,59 113,64 143,73 155,18 -25,81 -16,54 -13,65 стандартное отклонение 68,44 56,45 14,37 4,82 2,89 57,03 0,57 20,56 минимальное значение -161,98 -157,89 101,00 137,30 145,05 -144,09 -17,10 -34,52 максимальное значение 148,15 159,77 155,91 150,07 163,85 43,95 -15,97 24,87 размер выборки 18 79 11 4 80 6 2 5

Таблица A8

Таблица A8-1 Фармакофор-белковое расстояние

Фармакофорн. элемент H4 O2 CA6 C3 белок TRP_655 SER_633 HIS_483 SER_654 GLY_656 TRP_655 PHE_529 CYS_629 SER_628 VAL_653 TRP_655 1 14 HA 2,47 HE1 2,86 O 2,46 H 2,53 HB2 2,82 HZ 2,99 O 3,64 HB2 3,26 HG12 2,83 HA 3,56 2 54_A HA 2,52 HG 2,62 HE1 3,37 O 2,47 H 2,64 HB2 2,67 HZ 3,05 O 3,54 HB2 3,40 HG12 2,74 HA 3,49 3 54_B HA 2,52 OG 2,71 HE1 3,37 O 2,47 H 2,64 HB2 2,67 HZ 3,05 O 3,54 HB2 3,40 HG12 2,74 HA 3,49 4 1129 HA 2,51 HG 2,83 HE1 3,47 O 2,47 H 2,13 HA 2,99 HZ 3,41 O 3,35 HG 3,42 HG13 2,71 HA 3,97 5 1034 HA 2,65 HG 2,58 NE2 3,42 O 2,38 H 2,36 HA 2,95 HZ 3,60 HA 3,14 OG 3,64 HG12 2,61 HA 4,08 6 1024 HA 2,61 HG 3,11 NE2 3,44 O 2,40 H 2,24 HB2 2,82 HZ 3,53 O 3,55 HG 3,21 HG12 2,71 HA 3,82 7 1042_1 HA 2,73 HG 2,65 HE1 3,09 O 2,37 H 2,70 HB2 3,15 HZ 4,53 H 3,31 HB2 2,80 HG11 2,67 HA 3,39 8 1042_2 HA 2,72 HG 3,87 HE1 3,73 O 2,79 H 2,65 HB2 3,10 HZ 3,24 HA 3,29 HB2 3,71 HG11 3,04 HA 3,67 9 1042_3 HA 3,26 HG 2,70 HE2 2,63 O 2,57 H 2,94 HA 2,93 HZ 3,22 HA 3,33 HB2 2,73 HG11 1,96 HA 4,22 10 2018 HA 2,70 OG 2,80 HE2 2,92 O 2,35 H 2,45 HB2 2,92 HZ 2,96 O 3,55 HB2 3,40 HG12 2,68 HA 3,78 11 1059 HA 2,60 OG 3,18 HE1 3,16 O 2,22 H 2,39 HB2 2,82 HZ 3,38 HA 3,59 OG 3,91 HG13 2,81 HA 3,77 12 1088_A HA 2,57 HG 3,34 NE2 3,59 O 2,31 H 2,29 HB2 2,85 HZ 3,50 O 3,66 OG 3,94 HG13 2,77 HA 3,81 13 1088_B HA 2,57 HG 3,31 NE2 3,59 O 2,31 H 2,29 HB2 2,85 HZ 3,50 O 3,66 OG 3,94 HG13 2,77 HA 3,81 14 1036_1 HA 2,50 HG 3,07 HE1 3,49 O 2,32 H 2,14 HB2 2,82 HZ 3,24 O 3,70 HB2 3,21 HG12 2,60 HA 3,84 15 1036_2_1 HA 2,59 OG 3,43 HE1 2,60 O 2,32 H 2,64 HB2 2,82 HZ 3,00 O 3,78 HG 3,48 HG13 2,72 HA 3,81 16 1036_2_2 HA 2,50 HG 3,12 HE1 3,86 O 2,50 H 2,23 HB2 2,68 HZ 3,12 O 3,28 OG 3,72 HG12 2,66 HA 3,57 17 1081 HA 2,72 OG 3,67 HE2 3,39 O 2,26 H 2,47 HB2 2,87 HZ 3,32 O 3,56 OG 3,74 HG13 2,61 HA 3,77 18 1063 HA 2,65 HG 3,27 HE1 3,62 O 2,30 H 2,39 HB2 2,74 HZ 3,29 O 3,73 HG 3,36 HG13 2,52 HA 3,72 19 1065 HA 2,52 HG 3,30 NE2 3,54 O 2,32 H 2,36 HB2 2,73 HZ 3,17 O 3,71 OG 3,46 HG13 2,57 HA 3,67 20 1030_A HA 2,50 OG 3,23 HE1 3,18 O 2,26 H 2,27 HB2 2,88 HZ 3,32 O 3,73 HB2 3,19 HG13 2,58 HA 3,87 21 1030_B HA 2,50 OG 3,23 HE1 3,18 O 2,26 H 2,27 HB2 2,88 HZ 3,32 O 3,73 HB2 3,19 HG13 2,58 HA 3,87 22 1037 HA 2,46 HG 2,93 NE2 3,86 O 2,26 H 2,44 HB2 2,67 HZ 3,17 O 3,33 HB3 3,70 HG13 2,62 HA 3,71 23 1118 HA 2,60 HG 3,29 NE2 3,67 O 2,52 H 2,22 HA 2,94 HZ 3,57 O 3,65 HB2 3,03 HG13 2,55 HA 4,01 24 1090 HA 2,56 HG 2,81 HE1 3,32 O 2,19 H 2,26 HB2 2,67 HZ 3,06 HA 3,62 OG 4,05 HG12 2,57 HA 3,71 25 1007_1 HA 2,35 HG 3,50 HE1 3,77 O 2,45 H 2,30 HB2 2,69 HZ 3,18 O 3,43 O 3,15 HG13 2,77 HA 3,46 26 1007_2 HA 2,41 OG 3,64 HE2 3,45 O 2,25 H 2,45 HB2 2,61 HZ 3,20 O 3,63 O 3,65 HG13 2,76 HA 3,39 27 1149 HA 2,51 OG 3,42 HE2 2,91 O 2,14 H 2,79 HB2 2,71 HZ 3,69 O 3,35 OG 3,58 HG12 2,84 HA 3,65 28 1021_A HA 2,60 OG 3,35 HE2 3,09 O 2,31 H 2,48 HB2 2,82 HZ 2,97 O 3,74 HB2 3,38 HG12 2,87 HA 3,64 29 1021_B HA 2,59 OG 3,35 HE2 3,09 O 2,30 H 2,47 HB2 2,82 HZ 2,97 O 3,75 HB2 3,38 HG12 2,87 HA 3,64 30 1097_1 HA 2,66 OG 3,29 HE2 3,33 O 2,34 H 2,32 HB2 2,90 HZ 3,38 O 3,44 HG 3,36 HG13 2,73 HA 3,91 31 1097_2 HA 2,63 OG 3,22 HE2 3,32 O 2,31 H 2,17 HB2 2,81 HZ 3,38 O 3,55 HG 3,34 HG13 2,76 HA 3,86 32 1031_1 HA 2,61 HG 3,13 NE2 3,48 O 2,43 H 2,51 HB2 2,73 HZ 3,24 O 3,85 HB3 3,29 HG13 2,71 HA 3,57 33 1031_2 HA 2,59 HG 3,14 NE2 3,54 O 2,42 H 2,48 HB2 2,71 HZ 3,17 O 3,83 HB3 3,34 HG13 2,77 HA 3,53 34 1031_3 HA 2,64 OG 3,56 HE2 3,19 O 2,49 H 2,50 HB2 2,81 HZ 3,25 O 3,74 HB3 3,30 HG13 2,78 HA 3,63 35 1031_4 HA 2,61 HG 2,98 NE2 3,46 O 2,47 H 2,49 HB2 2,76 HZ 3,28 O 3,74 HB3 3,31 HG13 2,78 HA 3,58 36 1153_A HA 2,62 HG 2,60 HE1 3,31 O 2,43 H 2,29 HB2 2,91 HZ 4,04 O 3,49 HG 3,30 HG13 2,63 HA 3,93 37 1153_B HA 2,62 HG 2,59 HE1 3,31 O 2,43 H 2,29 HB2 2,91 HZ 4,04 O 3,49 HG 3,24 HG13 2,63 HA 3,93 38 1025_1 HA 2,80 HG 2,82 HE2 3,29 O 2,27 H 2,57 HB2 2,95 HZ 3,38 O 3,70 HG 3,34 HG11 2,52 HA 3,77 39 1025_2 HA 2,89 OG 3,45 HE2 3,18 O 2,47 H 2,79 HB2 3,08 HZ 3,24 O 3,70 O 3,35 HG11 2,74 HA 3,71 40 1025_3 HA 2,61 OG 3,89 HE2 3,46 O 2,46 H 2,45 HB2 2,72 HZ 3,05 O 3,79 HG 2,70 HG12 2,83 HA 3,55 41 1025_4 HA 2,55 HG 3,33 NE2 3,68 O 2,28 H 2,72 HB2 2,86 HZ 3,28 O 3,16 O 3,36 HG11 2,83 HA 3,75 42 1025_5 HA 2,72 HG 3,45 NE2 3,51 O 2,13 H 2,53 HB2 2,80 HZ 2,94 HA 3,46 O 2,97 HG11 2,65 HA 3,63 43 1025_6 HA 2,78 HG 2,97 HE1 3,10 O 2,22 H 2,91 HB2 2,71 HZ 3,18 O 3,67 HB2 3,35 HG12 2,75 HA 3,37 44 1089_A HA 2,55 HG 2,97 HE1 3,32 O 2,23 H 2,24 HB2 2,73 HZ 3,35 O 3,61 OG 4,12 HG12 2,72 HA 3,75 45 1089_B HA 2,55 HG 2,96 HE1 3,32 O 2,23 H 2,24 HB2 2,73 HZ 3,35 O 3,61 OG 4,12 HG12 2,72 HA 3,75 46 1012_1 HA 2,64 HG 3,23 HE1 3,40 O 2,35 H 2,49 HB2 2,74 HZ 3,07 O 3,84 HB2 3,35 HG13 2,65 HA 3,62 47 1012_2 HA 2,37 HG 3,42 HE1 3,75 O 2,23 H 2,27 HB2 2,54 HZ 3,13 O 3,89 OG 3,25 HG13 2,67 HA 3,58 48 1078_1 HA 2,51 HG 3,32 NE2 3,69 O 2,43 H 2,41 HB2 2,75 HZ 3,10 HA 3,83 OG 3,80 HG13 2,88 HA 3,49 49 1078_10 HA 2,71 OG 3,45 HE2 3,15 O 2,48 H 2,53 HB2 2,89 HZ 3,20 HA 3,85 HG 2,94 HG13 2,77 HA 3,60 50 1078_11 HA 2,50 OG 3,65 HE2 3,36 O 2,42 H 2,40 HB2 2,76 HZ 3,03 HA 3,82 HG 2,96 HG13 2,88 HA 3,48 51 1078_12 HA 2,47 HG 3,42 NE2 3,76 O 2,43 H 2,38 HB2 2,76 HZ 3,08 HA 3,80 HG 2,87 HG13 2,90 HA 3,49 52 1078_13 HA 2,50 HG 3,39 NE2 3,69 O 2,42 H 2,37 HB2 2,76 HZ 3,07 HA 3,83 HG 2,87 HG13 2,87 HA 3,51 53 1078_14 HA 2,49 HG 3,29 NE2 3,73 O 2,44 H 2,36 HB2 2,77 HZ 3,15 HA 3,79 HG 2,89 HG13 2,89 HA 3,51 54 1078_15 HA 2,49 OG 3,64 HE2 3,38 O 2,45 H 2,39 HB2 2,77 HZ 3,17 HA 3,80 HG 2,92 HG13 2,91 HA 3,49 55 1078_16 HA 2,47 OG 3,70 HE2 3,43 O 2,43 H 2,36 HB2 2,78 HZ 3,12 HA 3,83 HG 2,91 HG13 2,89 HA 3,50 56 1078_2 HA 2,47 HG 3,32 NE2 3,76 O 2,45 H 2,35 HB2 2,76 HZ 3,25 HA 3,80 HG 2,88 HG13 2,87 HA 3,52 57 1078_3 HA 2,67 HG 3,18 NE2 3,59 O 2,47 H 2,51 HB2 2,84 HZ 3,16 HA 3,77 HG 2,85 HG13 2,81 HA 3,59 58 1078_4 HA 2,45 HG 3,36 NE2 3,77 O 2,44 H 2,35 HB2 2,75 HZ 3,13 HA 3,80 HG 2,85 HG13 2,89 HA 3,49 59 1078_5 HA 2,48 HG 3,36 NE2 3,72 O 2,44 H 2,38 HB2 2,75 HZ 3,20 HA 3,80 HG 2,90 HG13 2,90 HA 3,49 60 1078_6 HA 2,50 HG 3,35 NE2 3,72 O 2,46 H 2,38 HB2 2,78 HZ 3,14 HA 3,82 HG 2,91 HG13 2,90 HA 3,51 61 1078_7 HA 2,51 HG 3,34 NE2 3,70 O 2,43 H 2,40 HB2 2,76 HZ 3,07 HA 3,82 HG 2,88 HG13 2,88 HA 3,49 62 1078_8 HA 2,49 HG 3,32 NE2 3,71 O 2,42 H 2,38 HB2 2,74 HZ 3,07 HA 3,84 HG 2,86 HG13 2,87 HA 3,48 63 1078_9 HA 2,46 HG 3,41 NE2 3,78 O 2,44 H 2,37 HB2 2,77 HZ 3,11 HA 3,79 HG 2,84 HG13 2,93 HA 3,48 64 1145_A HA 2,52 HG 3,11 HE1 3,76 O 2,40 H 2,20 HB2 2,83 HZ 3,75 O 3,54 HG 3,09 HG13 2,70 HA 3,83 65 1145_B HA 2,52 HG 3,10 HE1 3,76 O 2,40 H 2,20 HB2 2,83 HZ 3,75 O 3,54 HG 3,08 HG13 2,70 HA 3,83 66 1050 HA 2,50 OG 3,34 HE1 3,60 O 2,57 H 2,30 HB2 2,70 HZ 3,43 O 3,63 HB2 3,34 HG13 2,66 HA 3,60 67 1253 HA 2,59 OG 3,04 HE1 3,01 O 2,09 H 2,47 HB2 2,70 HZ 3,30 O 3,74 HB3 3,45 HG12 2,89 HA 3,56 68 1257 HA 2,49 OG 3,16 HE1 3,21 O 2,15 H 2,28 HB2 2,65 HZ 3,23 O 3,72 HG 3,45 HG12 2,93 HA 3,60 69 999_1 HA 2,59 HG 2,76 HE1 3,12 O 2,41 H 2,48 HB2 2,85 HZ 3,08 HA 2,96 HB2 3,82 HG12 2,77 HA 3,75 70 999_2_A HA 2,50 HG 3,08 NE2 3,53 O 2,51 H 2,48 HB2 2,87 HZ 3,44 O 3,32 HB2 3,58 HG13 2,65 HA 3,92 71 999_2_B HA 2,50 HG 3,03 HE2 3,08 O 2,51 H 2,48 HB2 2,87 HZ 3,44 O 3,32 HB2 3,58 HG13 2,65 HA 3,92 72 1297_1 HA 2,50 HG 2,82 HE1 3,61 O 2,07 H 2,42 HB2 2,66 HZ 3,05 O 3,74 HB2 3,76 HG13 2,95 HA 3,42 73 1297_2 HA 2,48 HG 2,85 HE1 3,63 O 2,06 H 2,38 HB2 2,63 HZ 3,01 O 3,78 HB2 3,12 HG13 2,94 HA 3,42 74 1297_3 HA 2,55 OG 3,19 HE2 3,19 O 2,11 H 2,43 HB2 2,72 HZ 3,18 O 3,72 OG 3,70 HG13 2,92 HA 3,50 75 1297_4 HA 2,46 HG 2,90 HE1 3,63 O 2,06 H 2,36 HB2 2,63 HZ 3,04 HA 3,78 HB2 3,12 HG13 2,95 HA 3,42 76 1297_5 HA 2,52 HG 2,88 HE1 3,62 O 2,09 H 2,41 HB2 2,68 HZ 3,10 HA 3,68 HG 3,46 HG13 2,95 HA 3,46 77 1297_6 HA 2,59 HG 2,82 NE2 3,62 O 2,15 H 2,47 HB2 2,74 HZ 3,17 HA 3,65 HB2 3,69 HG13 2,92 HA 3,52 78 1304 HA 2,59 OG 2,92 HE1 3,01 O 2,09 H 2,46 HB2 2,69 HZ 3,22 O 3,73 HB2 3,29 HG12 2,83 HA 3,59 79 1306_1 HA 2,52 HG 2,70 HE2 3,08 O 2,04 H 2,08 HB2 2,36 HZ 2,88 O 3,38 OG 3,49 HG13 2,51 HA 3,80 80 1306_2 HA 2,50 HG 2,36 HE1 3,23 O 2,16 H 2,22 HB2 2,36 HZ 2,59 O 3,32 OG 3,41 HG13 2,40 HA 3,76 81 1307 HA 2,72 OG 2,90 HE2 3,07 O 2,22 H 2,64 HB2 2,74 HZ 2,56 O 3,81 HB2 3,37 HG13 2,80 HA 3,54 82 1328_1 HA 2,48 HG 3,28 HE1 3,22 O 2,17 H 2,55 HB2 2,63 HZ 3,13 HA 3,68 HB2 3,33 HG12 2,91 HA 3,38 83 1328_2 HA 2,51 OG 3,21 HE1 3,27 O 2,19 H 2,58 HB2 2,69 HZ 3,05 O 3,65 HB2 3,10 HG12 2,87 HA 3,40 84 1328_3 HA 2,43 HG 2,84 HE1 3,23 O 2,23 H 2,43 HB2 2,67 HZ 3,13 O 3,67 HB2 3,09 HG12 2,88 HA 3,49 85 1328_4 HA 2,49 HG 2,92 HE1 3,22 O 2,19 H 2,43 HB2 2,68 HZ 3,17 O 3,70 HB2 3,03 HG12 2,83 HA 3,52 86 1334 HA 2,70 OG 3,82 HE2 3,29 O 2,59 H 2,38 HB2 2,88 HZ 3,31 O 3,77 HB2 3,52 HG13 2,60 HA 3,85 87 1335 HA 2,61 HG 3,26 HE1 3,62 O 2,38 H 2,25 HA 2,84 HZ 3,47 O 3,65 HB2 3,30 HG13 2,53 HA 3,95 88 1338 HA 2,65 HG 3,05 HE1 3,38 O 2,13 H 2,52 HB2 2,63 HZ 3,07 O 3,69 HB3 3,40 HG13 2,83 HA 3,54 89 1345_1 HA 2,32 HG 2,83 HE1 3,25 O 2,13 H 2,03 HB2 2,41 HZ 2,79 O 3,50 HB2 3,31 HG12 2,77 HA 3,57 90 1345_2 HA 2,56 HG 2,99 HE1 3,59 O 2,43 H 2,24 HA 2,88 HZ 3,38 O 3,21 HB2 2,96 HG12 2,60 HA 3,86 91 1351 HA 2,59 HG 3,14 HE1 3,61 O 2,19 H 2,50 HB2 2,75 HZ 3,33 O 3,71 HB2 3,25 HG13 2,93 HA 3,60 92 1353 HA 2,59 OG 2,90 HE1 2,98 O 2,06 H 2,47 HB2 2,58 HZ 3,20 O 3,71 HB2 3,41 HG12 2,79 HA 3,54 93 1367 HA 2,66 OG 2,94 HE1 2,96 O 2,06 H 2,55 HB2 2,78 HZ 3,13 O 3,80 HB3 3,43 HG13 2,90 HA 3,64 94 1371 HA 2,90 HG 3,39 HE2 3,12 O 2,49 H 2,74 HA 3,03 HZ 3,17 O 3,87 HB2 3,27 HG13 2,75 HA 3,83 95 1372_A HA 2,62 OG 2,90 HE1 3,08 O 2,07 H 2,46 HB2 2,72 HZ 3,15 O 3,71 HB2 3,30 HG13 2,87 HA 3,60 96 1372_B HA 2,61 OG 2,90 HE1 3,08 O 2,07 H 2,46 HB2 2,71 HZ 3,15 O 3,71 HB2 3,29 HG13 2,86 HA 3,60 97 1373 HA 2,61 OG 2,89 HE1 3,10 O 2,12 H 2,49 HB2 2,71 HZ 3,12 O 3,73 HB2 3,29 HG13 2,89 HA 3,59 98 1492 HA 2,63 HG 3,14 HE2 3,15 O 2,36 H 2,35 HB2 2,97 HZ 3,43 O 3,66 HB2 3,81 HG13 2,62 HA 3,75 99 1399 HA 2,64 OG 2,86 HE1 3,10 O 2,11 H 2,50 HB2 2,71 HZ 3,25 O 3,68 HB2 3,34 HG13 2,83 HA 3,60 100 1360 HA 2,60 OG 2,96 HE1 3,12 O 2,07 H 2,49 HB2 2,62 HZ 3,13 O 3,74 HB3 3,38 HG12 2,87 HA 3,56 101 1368 HA 2,65 OG 2,88 HE1 3,05 O 2,15 H 2,47 HB2 2,82 HZ 3,82 O 3,69 HB2 3,47 HG12 2,82 HA 3,67 102 1406 HA 2,65 OG 2,75 HE1 3,16 O 2,09 H 2,63 HB2 2,58 HZ 3,22 O 3,70 HB2 3,19 HG12 2,80 HA 3,42 103 1411 HA 2,57 OG 2,92 HE2 3,25 O 2,09 H 2,48 HB2 2,62 HZ 3,48 O 3,71 HB2 3,18 HG12 2,92 HA 3,55 104 1433 HA 2,54 HG 3,36 HE1 3,53 O 2,32 H 2,28 HB2 2,71 HZ 3,26 O 3,74 HB2 3,50 HG13 2,68 HA 3,71 105 1441 HA 2,62 OG 2,94 HE1 3,11 O 2,08 H 2,50 HB2 2,75 HZ 3,51 O 3,79 HB3 3,41 HG12 2,87 HA 3,62 106 1435 HA 2,60 OG 2,93 HE1 3,07 O 2,09 H 2,50 HB2 2,68 HZ 3,13 O 3,79 HB2 3,30 HG13 2,81 HA 3,60 107 1450_A HA 2,59 OG 2,85 HE2 3,15 O 2,27 H 2,42 HB2 2,79 HZ 3,33 O 3,69 HB3 3,44 HG13 2,76 HA 3,70 108 1450_B HA 2,59 OG 2,85 HE2 3,15 O 2,27 H 2,42 HB2 2,79 HZ 3,33 O 3,69 HB3 3,44 HG13 2,76 HA 3,70 среднее расстояние 2,58 3,13 3,36 2,31 2,42 2,77 3,24 3,64 3,32 2,76 3,65 стандартное отклонение 0,12 0,30 0,27 0,16 0,16 0,13 0,26 0,18 0,31 0,15 0,17 минимальное значение 2,32 2,36 2,60 2,04 2,03 2,36 2,56 2,96 2,70 1,96 3,37 максимальное значение 3,26 3,89 3,86 2,79 2,94 3,15 4,53 3,89 4,12 3,04 4,22 размер выборки 108 107 108 108 108 108 108 108 108 108 108

Таблица A8-2 Фармакофор-белковые расстояния

Фармакофорн. элемент C5 CA1 N1 белок GLY_667 SER_628 TYR_669 TRP_655 VAL_668 SER_654 CYS_629 GLY_656 TRP_655 CYS_629 ASP_627 1 14 HA3 2,61 HG 1,19 CZ 4,09 O 2,88 H 2,83 H 3,85 HA 3,35 HA3 3,28 HA 3,62 HA 3,16 OD1 5,08 2 54_A HA3 2,66 OG 2,24 HH 3,99 O 2,89 H 2,77 H 3,76 HA 3,15 H 3,49 HA 3,53 HA 3,03 OD1 5,27 3 54_B HA3 2,66 OG 2,24 HH 4,00 O 2,89 H 2,77 H 3,76 HA 3,15 H 3,49 HA 3,53 HA 3,03 OD1 5,27 4 1129 HA3 2,59 HG 2,10 CZ 3,88 O 3,60 H 2,83 H 3,77 HA 3,01 HA3 3,64 HA 3,91 HA 3,03 OD1 4,45 5 1034 HA3 2,60 OG 1,95 CZ 4,01 O 3,77 H 3,36 H 3,86 HA 2,41 HA3 4,05 HA 3,96 HA 2,78 OD1 4,19 6 1024 HA3 2,80 HG 2,14 CZ 3,83 O 3,61 H 3,01 H 3,67 HA 3,01 HA3 3,76 HA 3,65 HA 2,96 OD2 4,38 7 1042_1 HA2 2,94 OG 2,33 CE1 4,33 O 3,14 H 2,90 H 3,72 HA 3,01 H 3,73 HA 3,50 HA 3,20 OD2 3,93 8 1042_2 HA2 3,14 OG 2,48 CZ 3,92 O 3,38 H 3,01 H 4,11 HA 3,01 H 3,76 HA 3,77 HA 3,17 OD1 4,16 9 1042_3 HA2 3,12 OG 2,31 HE1 1,82 O 3,94 H 3,39 H 3,65 HA 2,57 H 4,52 HA 3,87 HA 2,95 OD2 4,55 10 2018 HA3 2,96 HG 1,26 CZ 3,90 O 3,41 H 2,93 H 3,56 HA 3,13 H 3,87 HA 3,65 HA 3,02 OD2 4,77 11 1059 HA3 2,77 OG 2,80 CZ 3,71 O 3,47 H 2,91 H 3,60 HA 2,81 H 3,99 HA 3,58 HA 3,03 OD1 3,99 12 1088_A HA3 2,89 HG 2,65 HH 3,65 O 3,34 H 2,92 H 3,67 HA 3,26 HA3 3,73 HA 3,63 HA 3,33 OD2 3,80 13 1088_B HA3 2,89 OG 2,75 CZ 3,73 O 3,34 H 2,92 H 3,67 HA 3,26 HA3 3,73 HA 3,63 HA 3,33 OD2 3,80 14 1036_1 HA3 2,83 HG 1,29 CZ 3,84 O 3,52 H 2,91 H 3,72 HA 2,94 H 3,74 HA 3,69 HA 2,99 OD2 4,61 15 1036_2_1 HA3 2,84 HG 2,49 CZ 3,79 O 3,32 H 2,71 H 3,80 HA 3,32 HA3 4,19 HA 3,65 HA 3,21 OD1 4,47 16 1036_2_2 HA3 2,72 OG 2,48 HE1 3,77 O 3,51 H 2,95 H 3,77 HA 2,90 H 3,39 HA 3,53 HA 2,91 OD2 4,76 17 1081 HA2 3,00 OG 2,66 CE1 3,70 O 3,53 H 3,33 H 3,76 HA 3,02 H 3,42 HA 3,56 HA 3,18 OD2 4,39 18 1063 HA2 2,92 HG 1,90 CZ 3,88 O 3,60 H 3,07 H 3,86 HA 3,24 H 3,38 HA 3,57 HA 3,35 OD1 4,24 19 1065 HA3 3,05 HG 2,33 CZ 3,80 O 3,31 H 2,85 H 3,76 HA 3,10 H 3,61 HA 3,53 HA 3,27 OD2 4,05 20 1030_A HA3 2,83 HG 1,33 CZ 3,92 O 3,38 H 2,99 H 3,74 HA 2,96 N 3,92 HA 3,76 HA 3,14 OD2 4,34 21 1030_B HA3 2,83 HG 1,33 CZ 3,92 O 3,38 H 2,99 H 3,74 HA 2,96 N 3,92 HA 3,76 HA 3,14 OD2 4,34 22 1037 HA3 2,83 HB2 2,42 CE2 3,68 O 3,18 H 2,77 H 3,83 HA 3,32 HA3 3,85 HA 3,64 HA 3,28 OD2 4,49 23 1118 HA3 2,81 HG 1,21 CZ 3,89 O 3,55 H 2,94 H 3,76 HA 3,08 H 3,85 HA 3,88 HA 3,22 OD2 4,36 24 1090 HA2 3,12 OG 2,85 CZ 3,74 O 3,39 H 2,83 H 3,77 HA 2,93 H 3,60 HA 3,55 HA 3,02 OD2 4,20 25 1007_1 HA3 3,06 HG 2,59 HH 3,62 O 3,06 H 3,12 H 4,19 HA 3,14 HA3 3,37 HA 3,63 HA 3,32 OD2 3,20 26 1007_2 HA3 2,89 OG 2,76 CZ 3,68 O 3,17 H 3,22 H 4,00 HA 2,88 H 3,39 HA 3,43 HA 3,24 OD2 3,37 27 1149 HA3 2,71 OG 2,00 HE1 3,74 O 2,99 O 3,22 H 3,78 HA 2,89 HA3 4,06 HA 3,57 HA 2,99 OD2 3,98 28 1021_A HA3 3,04 OG 3,61 HH 3,36 O 3,33 H 3,01 H 3,83 HA 3,16 H 3,29 HA 3,60 HA 3,26 OD2 3,84 29 1021_B HA3 3,04 OG 3,61 HH 3,35 O 3,34 H 3,01 H 3,83 HA 3,16 H 3,29 HA 3,60 HA 3,27 OD2 3,83 30 1097_1 HA3 2,76 HG 1,68 CZ 3,84 O 3,54 H 2,65 H 3,67 HA 2,99 N 4,02 HA 3,76 HA 3,04 OD2 4,46 31 1097_2 HA3 2,88 HG 1,75 CZ 3,88 O 3,78 H 2,75 H 3,81 HA 2,99 H 3,89 HA 3,72 HA 3,06 OD2 4,47 32 1031_1 HA2 3,13 HB2 2,45 CZ 3,56 O 3,32 H 2,93 H 3,99 HA 3,17 H 3,34 HA 3,57 HA 3,35 HD2 3,00 33 1031_2 HA2 3,12 HB2 2,47 CZ 3,59 O 3,29 H 2,95 H 3,97 HA 3,21 H 3,30 HA 3,55 HA 3,39 HD2 3,04 34 1031_3 HA2 3,10 HB2 2,39 CZ 3,63 O 3,36 H 2,98 H 4,01 HA 3,11 HA3 3,36 HA 3,67 HA 3,23 HD2 3,18 35 1031_4 HA2 3,11 HB2 2,42 CZ 3,62 O 3,31 H 2,92 H 4,02 HA 3,16 HA3 3,27 HA 3,62 HA 3,21 OD2 3,69 36 1153_A HA2 2,70 HG 1,40 CE1 3,91 O 3,48 H 2,84 H 3,71 HA 3,02 H 3,80 HA 3,79 HA 3,02 OD2 4,25 37 1153_B HA2 2,70 HG 1,38 CE1 3,91 O 3,48 H 2,84 H 3,71 HA 3,02 H 3,80 HA 3,79 HA 3,02 OD2 4,25 38 1025_1 HA3 3,07 OG 3,31 CE1 4,03 O 3,45 H 3,11 H 3,83 HA 2,96 HA3 3,37 HA 3,66 HA 3,05 OD1 3,74 39 1025_2 HA2 3,21 HG 2,29 CE1 3,73 O 3,28 H 3,10 H 3,97 HA 3,17 H 4,13 HA 3,69 HA 3,24 OD1 3,81 40 1025_3 HA2 2,99 OG 2,86 HH 3,03 O 3,18 H 3,53 H 3,83 HA 3,05 HA3 3,06 HA 3,54 HA 3,25 OD2 3,71 41 1025_4 HA3 3,19 HG 2,68 HH 3,68 O 3,19 H 3,20 H 4,07 HA 3,11 HA3 3,52 HA 3,63 HA 3,17 OD2 3,79 42 1025_5 HA3 3,01 HG 2,24 HH 3,46 O 3,27 H 3,24 H 3,90 HA 2,63 H 3,70 HA 3,55 HA 2,84 OD2 3,97 43 1025_6 HA3 2,96 OG 2,87 CZ 3,95 O 3,13 O 3,34 H 3,94 HA 3,13 H 3,72 HA 3,34 HA 3,16 OD1 3,53 44 1089_A HA3 2,97 OG 2,85 CZ 3,82 O 3,43 H 2,90 H 3,57 HA 3,21 H 3,74 HA 3,54 HA 3,23 OD2 4,10 45 1089_B HA3 2,97 OG 2,85 CZ 3,82 O 3,43 H 2,90 H 3,57 HA 3,21 H 3,74 HA 3,54 HA 3,23 OD2 4,10 46 1012_1 HA3 3,13 OG 2,72 CZ 3,68 O 3,22 H 2,96 H 3,78 HA 2,99 H 3,31 HA 3,53 HA 3,26 OD2 3,43 47 1012_2 HA3 3,10 HG 2,00 CZ 3,67 O 3,22 H 2,80 H 3,89 HA 3,09 H 3,33 HA 3,54 HA 3,29 OD2 3,40 48 1078_1 HA3 3,00 HG 2,96 CZ 3,64 O 3,45 H 2,92 H 3,73 HA 3,15 H 3,21 HA 3,53 HA 3,39 OD2 3,32 49 1078_10 HA3 3,10 HG 2,45 CZ 3,65 O 3,50 H 2,99 H 3,60 HA 3,08 H 3,37 HA 3,55 HA 3,30 HD2 2,86 50 1078_11 HA3 3,01 HG 2,47 CZ 3,63 O 3,45 H 2,92 H 3,73 HA 3,14 H 3,21 HA 3,53 HA 3,38 HD2 2,77 51 1078_12 HA3 2,95 HG 2,54 CZ 3,64 O 3,46 H 2,92 H 3,77 HA 3,14 H 3,22 HA 3,55 HA 3,40 HD2 2,70 52 1078_13 HA3 3,00 HG 2,51 HH 3,50 O 3,46 H 2,93 H 3,73 HA 3,14 H 3,23 HA 3,54 HA 3,39 HD2 2,71 53 1078_14 HA3 2,97 HG 2,48 CZ 3,61 O 3,48 H 2,95 H 3,75 HA 3,13 H 3,26 HA 3,57 HA 3,39 HD2 2,70 54 1078_15 HA3 2,98 HG 2,47 HH 3,53 O 3,46 H 2,93 H 3,75 HA 3,13 H 3,22 HA 3,55 HA 3,38 HD2 2,73 55 1078_16 HA3 2,97 HG 2,49 HH 3,54 O 3,46 H 2,91 H 3,76 HA 3,17 H 3,21 HA 3,57 HA 3,41 HD2 2,73 56 1078_2 HA3 2,96 HG 2,47 HH 3,48 O 3,48 H 2,95 H 3,77 HA 3,12 H 3,24 HA 3,58 HA 3,38 HD2 2,70 57 1078_3 HA3 3,07 HG 2,41 CZ 3,62 O 3,50 H 3,00 H 3,70 HA 3,02 H 3,32 HA 3,56 HA 3,26 HD2 2,79 58 1078_4 HA3 2,95 HG 2,50 CZ 3,63 O 3,45 H 2,90 H 3,77 HA 3,14 H 3,20 HA 3,55 HA 3,40 HD2 2,70 59 1078_5 HA3 3,00 HG 2,49 HH 3,53 O 3,45 H 2,93 H 3,74 HA 3,14 H 3,20 HA 3,54 HA 3,38 HD2 2,72 60 1078_6 HA3 2,98 HG 2,50 CZ 3,64 O 3,48 H 2,94 H 3,75 HA 3,17 H 3,23 HA 3,57 HA 3,41 HD2 2,73 61 1078_7 HA3 3,00 HG 2,52 HH 3,50 O 3,44 H 2,92 H 3,72 HA 3,15 H 3,20 HA 3,53 HA 3,38 HD2 2,73 62 1078_8 HA3 2,99 HG 2,50 CZ 3,64 O 3,46 H 2,91 H 3,73 HA 3,15 H 3,21 HA 3,53 HA 3,37 HD2 2,77 63 1078_9 HA3 2,96 HG 2,52 HH 3,51 O 3,43 H 2,89 H 3,75 HA 3,14 H 3,18 HA 3,55 HA 3,42 HD2 2,67 64 1145_A HA3 2,49 HG 1,41 CZ 3,81 O 3,46 H 2,81 H 3,66 HA 3,04 H 3,58 HA 3,75 HA 3,13 OD2 4,31 65 1145_B HA3 2,49 HG 1,41 CZ 3,81 O 3,46 H 2,81 H 3,66 HA 3,04 H 3,58 HA 3,75 HA 3,13 OD2 4,31 66 1050 HA3 2,73 HG 1,60 CZ 3,82 O 3,17 H 3,10 H 3,83 HA 3,07 HA3 3,83 HA 3,62 HA 3,09 OD2 4,56 67 1253 HA3 3,24 HB2 2,53 CZ 3,71 O 3,19 H 2,92 H 3,50 HA 2,98 H 3,31 HA 3,43 HA 3,15 OD2 3,62 68 1257 HA3 3,08 HG 2,17 CZ 3,70 O 3,31 H 2,87 H 3,58 HA 3,08 H 3,40 HA 3,49 HA 3,30 OD2 3,82 69 999_1 HA2 2,82 OG 2,54 CZ 3,93 O 3,27 H 2,80 H 3,92 HA 2,20 HA3 3,86 HA 3,71 HA 2,75 OD2 4,47 70 999_2_A HA3 2,79 OG 2,07 CZ 3,86 O 3,19 H 2,71 H 3,79 HA 3,05 HA3 3,65 HA 3,83 HA 3,08 OD1 4,44 71 999_2_B HA3 2,79 OG 2,07 CZ 3,86 O 3,19 H 2,71 H 3,79 HA 3,05 HA3 3,65 HA 3,83 HA 3,08 OD1 4,44 72 1297_1 HA3 3,02 OG 2,89 CZ 3,75 O 3,19 H 2,89 H 3,68 HA 2,88 HA3 3,43 HA 3,36 HA 3,09 OD2 3,33 73 1297_2 HA3 2,99 HB2 3,24 CZ 3,67 O 3,21 H 2,88 H 3,70 HA 2,91 HA3 3,47 HA 3,36 HA 3,12 OD2 3,31 74 1297_3 HA3 3,01 OG 2,86 CZ 3,71 O 3,22 H 2,90 H 3,66 HA 2,84 HA3 3,44 HA 3,42 HA 3,11 OD2 3,29 75 1297_4 HA3 2,98 HB2 3,25 CZ 3,65 O 3,20 H 2,87 H 3,70 HA 2,89 HA3 3,45 HA 3,36 HA 3,13 OD2 3,30 76 1297_5 HA3 2,99 HG 2,38 HH 3,57 O 3,24 H 2,95 H 3,66 HA 2,80 HA3 3,52 HA 3,40 HA 3,09 OD2 3,25 77 1297_6 HA3 3,02 OG 2,87 CZ 3,71 O 3,26 H 2,97 H 3,64 HA 2,76 HA3 3,53 HA 3,44 HA 3,08 OD2 3,23 78 1304 HA3 3,20 HB2 2,57 CZ 3,71 O 3,19 H 2,95 H 3,49 HA 3,05 H 3,39 HA 3,42 HA 3,20 OD2 3,45 79 1306_1 HA3 2,72 OG 2,26 CZ 3,52 O 3,65 H 3,07 H 3,33 HA 3,62 N 3,71 HA 3,40 HA 3,64 OD1 4,28 80 1306_2 HA3 2,74 HG 1,92 CZ 3,60 O 3,43 H 3,03 H 3,49 HA 3,11 HA3 3,60 HA 3,43 HA 3,32 OD2 4,34 81 1307 HA3 3,20 HB2 2,60 CZ 3,70 O 3,32 H 2,87 H 3,42 HA 3,37 H 3,24 HA 3,39 HA 3,36 OD1 4,13 82 1328_1 HA3 3,12 OG 2,56 CZ 3,77 O 3,22 H 2,85 H 3,76 HA 2,97 H 3,01 HA 3,38 HA 3,27 OD2 3,14 83 1328_2 HA3 3,15 HB2 2,59 CZ 3,73 O 3,22 H 2,87 H 3,75 HA 2,95 H 3,04 HA 3,39 HA 3,21 OD2 3,17 84 1328_3 HA3 3,06 HB2 2,51 CZ 3,71 O 3,32 H 2,91 H 3,83 HA 3,03 H 3,10 HA 3,49 HA 3,27 OD2 3,24 85 1328_4 HA3 3,12 HB2 2,59 CZ 3,63 O 3,36 H 2,93 H 3,74 HA 2,98 H 3,16 HA 3,46 HA 3,27 OD2 3,16 86 1334 HA3 3,01 HB2 2,69 CZ 3,83 O 3,46 H 2,88 H 3,85 HA 2,95 HA3 3,36 HA 3,74 HA 3,08 OD2 4,09 87 1335 HA3 2,77 HG 1,38 CZ 3,89 O 3,50 H 2,95 H 3,72 HA 3,03 H 3,76 HA 3,75 HA 3,10 OD2 4,50 88 1338 HA3 3,27 HB2 2,50 CZ 3,83 O 3,22 H 2,87 H 3,57 HA 3,03 H 3,26 HA 3,36 HA 3,26 OD2 3,50 89 1345_1 HA2 2,74 HG 2,73 CZ 3,85 O 3,27 H 2,48 H 3,39 HA 3,38 HA3 3,10 HA 3,39 HA 3,39 OD2 4,56 90 1345_2 HA2 2,50 OG 2,17 CE1 3,88 H 3,66 H 2,79 H 3,65 HA 2,85 H 3,85 HA 3,70 HA 2,93 OD2 4,39 91 1351 HA2 3,17 HB2 2,44 CZ 3,72 O 3,30 H 2,98 H 3,78 HA 2,99 H 3,28 HA 3,51 HA 3,24 OD2 3,29 92 1353 HA3 3,18 HB2 2,52 CZ 3,74 O 3,25 H 2,96 H 3,43 HA 3,08 H 3,31 HA 3,32 HA 3,21 OD2 3,49 93 1367 HA3 3,18 HB2 2,52 CZ 3,73 O 3,23 H 2,92 H 3,41 HA 3,02 H 3,23 HA 3,45 HA 3,18 OD2 3,54 94 1371 HA2 2,97 OG 2,59 CZ 3,52 O 3,49 H 3,12 H 3,59 HA 3,18 HA3 3,61 HA 3,63 HA 3,42 OD1 3,75 95 1372_A HA3 3,20 HB2 2,60 CZ 3,74 O 3,19 H 2,89 H 3,50 HA 2,98 H 3,34 HA 3,41 HA 3,13 OD2 3,46 96 1372_B HA3 3,20 HB2 2,60 CZ 3,73 O 3,19 H 2,89 H 3,50 HA 2,98 H 3,34 HA 3,41 HA 3,13 OD2 3,46 97 1373 HA3 3,23 HB2 2,56 CZ 3,70 O 3,21 H 2,91 H 3,48 HA 2,96 H 3,24 HA 3,43 HA 3,14 OD2 3,47 98 1492 HA2 2,81 OG 2,44 CZ 3,90 O 3,53 H 3,10 H 3,89 HA 3,05 H 3,70 HA 3,69 HA 3,13 OD1 3,90 99 1399 HA3 3,23 HB2 2,54 CZ 3,71 O 3,17 H 2,91 H 3,45 HA 3,01 H 3,26 HA 3,42 HA 3,16 OD2 3,55 100 1360 HA3 3,23 HB2 2,53 CZ 3,75 O 3,24 H 2,92 H 3,48 HA 3,06 H 3,47 HA 3,37 HA 3,23 OD2 3,51 101 1368 HA3 3,15 HB2 2,53 CZ 3,73 O 3,21 H 2,91 H 3,51 HA 3,19 H 3,40 HA 3,47 HA 3,28 OD2 3,59 102 1406 HA3 3,18 HB2 2,59 CZ 3,68 O 3,06 H 2,89 H 3,47 HA 3,07 H 3,44 HA 3,22 HA 3,23 OD2 3,49 103 1411 HA3 3,33 HB2 2,57 CZ 3,73 O 3,25 H 3,01 H 3,43 HA 3,11 H 3,35 HA 3,31 HA 3,28 OD2 3,35 104 1433 HA3 3,08 HB2 2,59 CZ 3,67 O 3,44 H 2,80 H 3,61 HA 3,09 H 3,36 HA 3,58 HA 3,12 OD2 4,15 105 1441 HA3 3,23 HB2 2,53 CZ 3,68 O 3,24 H 2,93 H 3,46 HA 3,03 H 3,30 HA 3,46 HA 3,21 OD2 3,53 106 1435 HA3 3,20 HB2 2,60 CZ 3,69 O 3,21 H 2,93 H 3,49 HA 2,98 H 3,36 HA 3,41 HA 3,18 OD2 3,56 107 1450_A HA3 3,10 HB2 2,53 CZ 3,69 O 3,32 H 2,89 H 3,58 HA 3,18 H 3,34 HA 3,55 HA 3,22 OD2 3,94 108 1450_B HA3 3,10 HB2 2,53 CZ 3,69 O 3,32 H 2,89 H 3,58 HA 3,18 H 3,34 HA 3,55 HA 3,22 OD2 3,94 среднее расстояние 2,97 2,39 3,71 3,34 2,94 3,71 3,05 3,49 3,56 3,20 3,75 стандартное отклонение 0,19 0,48 0,25 0,18 0,15 0,16 0,18 0,28 0,14 0,15 0,63 минимальное значение 2,49 1,19 1,82 2,88 2,48 3,33 2,20 3,01 3,22 2,75 2,67 максимальное значение 3,33 3,61 4,33 3,94 3,53 4,19 3,62 4,52 3,96 3,64 5,27 размер выборки 108 108 108 108 108 108 108 108 108 108 108

Таблица A8-3 Фармакофор-белковые расстояния

Фармакофорн. элемент N1 C7 O4 белок GLY_667 GLY_656 SER_628 CYS_660 CYS_629 GLY_661 ASP_627 SER_657 GLY_656 SER_628 CYS_660 1 14 HA2 3,80 HA3 2,39 O 3,27 HA 3,82 HA 3,17 H 4,04 HB3 5,20 O 2,68 HA3 3,17 O 3,50 HA 5,32 2 54_A HA2 3,78 HA3 2,55 O 3,09 HA 3,39 HA 3,09 H 4,22 HB3 5,19 H 2,75 HA3 3,30 O 3,38 HB2 4,19 3
54_B
HA2 3,78 HA3 2,55 O 3,09 HA 3,39 HA 3,09 H 4,22 HB3 5,19 H 2,75 HA3 3,30 O 3,38 HB2 4,19
4 1129 HA2 3,57 HA3 3,00 O 2,95 HG 1,07 HA 3,35 H 4,30 OD2 4,25 O 3,25 HA3 3,56 O 3,67 HG 3,37 5 1034 HA2 3,67 HA3 3,36 O 2,57 HB3 1,55 HA 3,46 H 4,11 OD2 4,11 O 3,50 HA3 3,90 O 3,43 HB3 3,80 6 1024 HA2 3,79 HA3 2,97 O 2,94 HA 2,63 HA 3,32 H 4,14 OD2 3,87 O 3,08 HA3 3,52 O 3,64 HB2 5,18 7 1042_1 HA2 3,84 HA3 3,11 O 3,06 HA 2,49 HA 3,56 H 4,00 OD2 3,49 O 3,06 HA3 3,77 O 3,59 SG 4,30 8 1042_2 HA2 4,12 HA3 3,26 O 4,59 HA 2,46 HA 3,89 H 3,85 OD2 4,45 O 2,74 HA3 3,95 O 5,00 SG 4,34 9 1042_3 HA2 4,11 HA3 3,89 OG 3,18 HA 3,22 SG 2,61 H 3,35 OD2 4,07 O 2,89 HA3 4,36 OG 4,62 SG 4,32 10 2018 HA2 3,93 HA3 3,36 O 3,05 HB3 2,22 HA 3,24 H 4,46 OD2 4,21 O 2,85 HA3 3,91 O 3,56 HB3 4,02 11 1059 HA2 3,82 HA3 3,55 O 3,27 HA 2,40 HA 3,49 H 4,22 OD2 3,60 O 3,26 HA3 4,07 O 3,72 SG 3,37 12 1088_A HA2 3,96 HA3 2,90 O 3,26 HB3 2,40 HA 3,60 H 4,02 OD2 3,39 O 3,46 HA3 3,40 O 3,78 HB3 3,93 13 1088_B HA2 3,96 HA3 2,90 O 3,26 HB3 2,40 HA 3,60 H 4,02 OD2 3,39 O 3,46 HA3 3,40 O 3,78 HB3 3,93 14 1036_1 HA2 3,76 HA3 3,15 O 3,05 HA 2,64 HA 3,25 H 4,40 OD2 4,08 O 3,18 HA3 3,69 O 3,48 SG 3,82 15 1036_2_1 HA2 3,69 HA3 3,48 O 2,98 HA 2,71 HA 3,41 H 4,19 OD2 4,41 O 3,09 HA3 4,03 O 3,68 SG 5,28 16 1036_2_2 HA2 3,74 HA3 3,30 O 2,73 HA 2,43 HA 3,23 H 4,34 OD2 4,20 O 3,06 HA3 3,82 O 3,55 H 4,53 17 1081 HA2 4,01 HA3 3,25 O 2,87 HA 2,48 HA 3,59 H 3,74 OD2 4,05 O 3,21 HA3 3,73 O 3,64 HB2 4,46 18 1063 HA2 3,83 HA3 2,94 O 3,28 HA 2,51 HA 3,65 H 4,01 OD2 4,01 O 3,03 HA3 3,42 O 3,70 SG 4,21 19 1065 HA2 4,07 HA3 3,00 O 2,95 HA 2,37 HA 3,59 H 3,79 OD2 3,53 O 3,21 HA3 3,57 O 3,55 HB2 4,72 20 1030_A HA2 3,81 HA3 3,29 O 3,35 HA 2,46 HA 3,45 H 4,14 OD2 3,82 O 2,96 HA3 3,89 O 3,68 SG 3,54 21 1030_B HA2 3,81 HA3 3,29 O 3,35 HA 2,46 HA 3,45 H 4,14 OD2 3,82 O 2,96 HA3 3,89 O 3,68 SG 3,54 22 1037 HA2 3,72 HA3 3,08 O 2,71 HA 2,55 HA 3,54 H 4,19 OD2 4,00 O 3,16 HA3 3,65 O 3,61 HB2 4,31 23 1118 HA2 3,81 HA3 3,28 O 3,18 HA 2,33 HA 3,46 H 4,00 OD2 3,83 O 3,28 HA3 3,80 O 3,53 HB2 4,31 24 1090 HA2 3,94 HA3 2,83 O 3,36 HA 2,28 HA 3,50 H 3,98 OD2 3,81 O 3,17 HA3 3,31 O 3,87 HB2 4,16 25 1007_1 HA2 4,04 HA3 2,51 O 2,88 HA 2,14 HA 3,64 H 3,49 OD2 2,89 O 2,65 HA3 3,31 O 4,02 HB2 3,76 26 1007_2 HA2 3,98 HA3 2,63 O 2,70 HA 2,28 HA 3,64 H 3,40 OD2 3,01 O 2,38 HA3 3,38 O 3,55 HB2 4,10 27 1149 HA2 3,66 HA3 3,20 O 3,03 HA 2,70 HA 3,20 H 3,83 OD2 3,39 O 2,94 HA3 3,88 O 3,30 SG 3,83 28 1021_A HA2 4,00 HA3 2,53 O 2,86 HA 2,61 HA 3,43 H 3,83 OD2 3,28 O 2,74 HA3 3,23 O 3,50 HB2 4,61 29 1021_B HA2 3,99 HA3 2,54 O 2,86 HA 2,61 HA 3,44 H 3,82 OD2 3,27 O 2,75 HA3 3,23 O 3,50 HB2 4,61 30 1097_1 HA2 3,60 HA3 3,31 O 2,90 HA 2,36 HA 3,37 H 4,09 OD2 3,95 O 3,21 HA3 3,84 O 3,56 HB2 4,35 31 1097_2 HA2 3,70 HA3 3,16 O 2,89 HA 2,28 HA 3,33 H 4,07 OD2 3,96 O 3,18 HA3 3,70 O 3,48 HB2 4,24 32 1031_1 HA2 4,16 HA3 2,38 O 3,36 HA 2,62 HA 3,61 H 3,17 HD2 3,11 H 2,71 HA3 3,10 O 3,70 SG 3,80 33 1031_2 HA2 4,15 HA3 2,35 O 3,39 HA 2,60 HA 3,68 H 3,05 HD2 3,14 H 2,71 HA3 3,06 O 3,75 SG 3,81 34 1031_3 HA2 4,17 HA3 2,39 O 3,37 HA 3,08 HA 3,53 H 3,10 HD2 3,23 H 2,63 HA3 3,14 O 3,71 HA 4,96 35 1031_4 HA2 4,18 HA3 2,27 O 3,42 HA 3,12 HA 3,47 H 3,03 OD2 3,46 H 2,64 HA3 3,02 O 3,75 HA 4,96 36 1153_A HA2 3,57 HA3 3,17 O 3,35 SG 2,74 HA 3,34 H 4,47 OD2 3,81 O 2,56 HA3 3,77 O 3,78 SG 4,17 37 1153_B HA2 3,57 HA3 3,17 O 3,35 SG 2,74 HA 3,34 H 4,47 OD2 3,81 O 2,56 HA3 3,77 O 3,78 SG 4,17 38 1025_1 HA2 4,26 HA3 2,47 O 2,67 HA 2,27 HA 3,42 H 3,52 OD2 3,57 O 2,77 HA3 3,14 O 3,62 HB2 3,76 39 1025_2 HA2 4,17 HA3 3,43 O 2,66 HA 2,71 HA 3,48 H 3,62 OD2 3,59 O 2,61 HA3 3,99 O 3,70 HB2 3,70 40 1025_3 HA2 4,09 HA3 2,17 O 2,63 HA 2,34 HA 3,60 H 3,23 OD2 3,36 O 3,02 HA3 2,80 O 3,74 HB2 4,55 41 1025_4 HA2 4,16 HA3 2,69 O 2,70 HA 2,30 HA 3,51 H 3,27 OD2 3,26 O 2,84 HA3 3,34 O 3,76 HB2 4,06 42 1025_5 HA2 4,12 HA3 3,07 O 2,73 HA 2,74 HA 3,35 H 3,76 OD2 3,53 O 2,89 HA3 3,67 O 3,96 HA 5,06 43 1025_6 HA2 4,28 HA3 3,11 O 2,58 HA 2,18 HA 3,37 H 3,69 OD2 2,92 H 2,52 HA3 3,77 O 3,37 HB2 3,78 44 1089_A HA2 4,01 HA3 3,03 O 3,30 HB3 2,29 HA 3,51 H 4,12 OD2 3,66 O 3,12 HA3 3,54 O 3,76 HB3 3,95 45 1089_B HA2 4,01 HA3 3,03 O 3,30 HB3 2,29 HA 3,51 H 4,12 OD2 3,66 O 3,12 HA3 3,54 O 3,76 HB3 3,95 46 1012_1 HA2 4,13 HA3 2,71 O 3,01 HA 2,33 HA 3,54 H 3,54 OD2 3,03 O 2,58 HA3 3,36 O 3,51 SG 3,69 47 1012_2 HA2 4,01 HA3 2,56 O 2,99 HA 2,31 HA 3,57 H 3,56 OD2 3,08 O 2,67 HA3 3,25 O 3,54 SG 3,65 48 1078_1 HA2 4,00 HA3 2,47 O 3,07 HA 2,30 HA 3,77 H 3,50 OD2 2,95 H 2,77 HA3 3,16 O 3,70 SG 3,59 49 1078_10 HA2 4,04 HA3 2,62 O 3,03 HA 2,30 HA 3,64 H 3,55 HD2 2,75 H 2,97 HA3 3,22 O 3,61 SG 3,59 50 1078_11 HA2 3,97 HA3 2,47 O 3,07 HA 2,29 HA 3,76 H 3,52 HD2 2,71 H 2,74 HA3 3,16 O 3,70 SG 3,65 51 1078_12 HA2 3,97 HA3 2,49 O 3,07 HA 2,24 HA 3,80 H 3,47 HD2 2,67 H 2,78 HA3 3,20 O 3,72 SG 3,59 52 1078_13 HA2 3,99 HA3 2,47 O 3,06 HA 2,28 HA 3,77 H 3,50 HD2 2,66 H 2,77 HA3 3,15 O 3,69 SG 3,61 53 1078_14 HA2 3,96 HA3 2,50 O 3,08 HA 2,22 HA 3,79 H 3,45 HD2 2,67 H 2,78 HA3 3,20 O 3,73 SG 3,54 54 1078_15 HA2 3,98 HA3 2,45 O 3,05 HA 2,26 HA 3,77 H 3,47 HD2 2,70 H 2,75 HA3 3,15 O 3,70 SG 3,46 55 1078_16 HA2 3,97 HA3 2,48 O 3,09 HA 2,25 HA 3,80 H 3,49 HD2 2,70 H 2,76 HA3 3,19 O 3,73 SG 3,60 56 1078_2 HA2 3,97 HA3 2,47 O 3,05 HA 2,30 HA 3,77 H 3,50 HD2 2,63 H 2,78 HA3 3,18 O 3,70 SG 3,58 57 1078_3 HA2 4,08 HA3 2,57 O 2,99 HA 2,30 HA 3,64 H 3,54 HD2 2,73 H 2,88 HA3 3,21 O 3,63 SG 3,53 58 1078_4 HA2 3,96 HA3 2,43 O 3,06 HA 2,25 HA 3,79 H 3,47 HD2 2,66 H 2,72 HA3 3,15 O 3,70 SG 3,63 59 1078_5 HA2 3,98 HA3 2,46 O 3,07 HA 2,28 HA 3,78 H 3,48 HD2 2,68 H 2,70 HA3 3,17 O 3,71 SG 3,61 60 1078_6 HA2 3,99 HA3 2,49 O 3,08 HA 2,26 HA 3,80 H 3,49 HD2 2,69 H 2,74 HA3 3,20 O 3,72 SG 3,64 61 1078_7 HA2 3,98 HA3 2,47 O 3,06 HA 2,29 HA 3,77 H 3,50 HD2 2,66 H 2,76 HA3 3,15 O 3,70 SG 3,62 62 1078_8 HA2 3,97 HA3 2,44 O 3,07 HA 2,27 HA 3,74 H 3,52 HD2 2,71 H 2,76 HA3 3,13 O 3,69 SG 3,64 63 1078_9 HA2 3,98 HA3 2,45 O 3,05 HA 2,22 HA 3,83 H 3,42 HD2 2,64 H 2,71 HA3 3,17 O 3,71 SG 3,57 64 1145_A HA2 3,55 HA3 3,14 O 3,15 HA 2,66 HA 3,37 H 4,43 OD2 3,80 O 2,98 HA3 3,70 O 3,57 HB2 4,52 65 1145_B HA2 3,55 HA3 3,14 O 3,15 HA 2,66 HA 3,37 H 4,43 OD2 3,80 O 2,98 HA3 3,70 O 3,57 HB2 4,52 66 1050 HA2 3,67 HA3 3,07 O 3,15 HA 2,58 HA 3,29 H 4,25 OD2 4,13 O 2,89 HA3 3,61 O 3,54 SG 3,61 67 1253 HA2 4,18 HA3 2,67 O 2,85 HA 2,45 HA 3,45 H 3,82 OD2 3,11 O 2,79 HA3 3,25 O 3,42 SG 3,72 68 1257 HA2 4,07 HA3 2,72 O 2,73 HA 2,25 HA 3,59 H 3,98 OD2 3,31 O 3,00 HA3 3,30 O 3,44 HB2 4,14 69 999_1 HA2 3,85 HA3 3,03 O 2,72 HB2 2,47 HB3 2,93 H 4,30 OD2 3,98 O 2,72 HA3 3,61 O 3,28 HB2 4,12 70 999_2_A HA2 3,67 HA3 2,87 O 2,91 HB2 2,39 HA 3,40 H 3,82 OD2 4,09 O 3,09 HA3 3,49 O 3,54 HB2 4,00 71 999_2_B HA2 3,67 HA3 2,87 O 2,91 HB2 2,39 HA 3,40 H 3,82 OD2 4,09 O 3,09 HA3 3,49 O 3,54 HB2 4,00 72 1297_1 HA2 4,11 HA3 2,49 O 2,88 HA 2,23 HA 3,45 H 3,36 OD2 2,99 O 2,75 HA3 3,13 O 3,54 HB2 4,37 73 1297_2 HA2 4,10 HA3 2,55 O 2,85 HA 2,25 HA 3,45 H 3,36 OD2 2,96 O 2,76 HA3 3,17 O 3,50 HB2 4,41 74 1297_3 HA2 4,08 HA3 2,52 O 2,84 HA 2,18 HA 3,47 H 3,29 OD2 2,93 O 2,83 HA3 3,13 O 3,51 HB2 4,28 75 1297_4 HA2 4,09 HA3 2,53 O 2,84 HA 2,26 HA 3,47 H 3,35 OD2 2,94 O 2,77 HA3 3,17 O 3,50 HB2 4,29 76 1297_5 HA2 4,11 HA3 2,61 O 2,81 HA 2,17 HA 3,47 H 3,27 OD2 2,92 O 2,86 HA3 3,22 O 3,51 HB2 4,17 77 1297_6 HA2 4,10 HA3 2,61 O 2,80 HA 2,17 HA 3,48 H 3,25 OD2 2,88 O 2,88 HA3 3,21 O 3,50 HB2 4,12 78 1304 HA2 4,17 HA3 2,63 O 2,95 HA 2,44 HA 3,48 H 3,74 OD2 3,01 O 2,78 HA3 3,21 O 3,48 SG 3,73 79 1306_1 HA2 3,21 HA3 3,11 O 3,37 HA 2,51 HA 3,73 H 4,27 OD2 3,70 O 3,12 HA3 3,40 O 3,72 HB2 3,84 80 1306_2 HA2 3,35 HA3 2,71 O 3,38 HA 2,76 HA 3,66 H 4,32 OD2 3,75 O 2,86 HA3 3,12 O 3,80 SG 4,28 81 1307 HA2 4,13 HA3 2,69 O 3,42 HA 2,56 HA 3,46 H 4,14 OD2 3,57 O 3,04 HA3 3,30 O 3,67 SG 4,18 82 1328_1 HA2 4,16 HA3 2,33 O 3,00 HB3 2,07 HA 3,70 H 3,41 OD2 3,04 O 2,52 HA3 3,05 O 3,63 HB3 3,28 83 1328_2 HA2 4,18 HA3 2,41 O 2,92 HA 2,10 HA 3,57 H 3,47 OD2 2,99 O 2,57 HA3 3,12 O 3,51 SG 3,61 84 1328_3 HA2 4,14 HA3 2,41 O 2,96 HA 2,08 HA 3,65 H 3,50 OD2 3,08 O 2,51 HA3 3,15 O 3,57 SG 3,63 85 1328_4 HA2 4,11 HA3 2,44 O 2,87 HA 2,08 HA 3,62 H 3,46 OD2 2,96 O 2,63 HA3 3,12 O 3,48 SG 3,62 86 1334 HA2 4,04 HA3 2,47 O 3,33 SG 2,65 HA 3,44 H 4,18 OD2 3,53 O 2,93 HA3 3,12 O 3,72 SG 3,64 87 1335 HA2 3,79 HA3 3,32 O 3,27 HA 2,68 HA 3,37 H 4,39 OD2 3,96 O 2,92 HA3 3,85 O 3,60 SG 3,75 88 1338 HA2 4,26 HA3 2,79 O 2,85 HA 2,32 HA 3,54 H 3,69 OD2 3,02 O 2,74 HA3 3,36 O 3,50 HB2 4,64 89 1345_1 HA2 3,45 HA3 2,29 O 3,43 HA 2,91 HA 3,46 H 4,47 OD2 3,95 O 3,08 HA3 2,71 O 3,64 SG 3,92 90 1345_2 HA2 3,63 HA3 3,12 O 3,00 HA 2,72 HA 3,01 H 4,49 OD2 3,68 O 3,48 HA3 3,60 O 3,14 SG 3,73 91 1351 HA2 4,12 HA3 2,66 O 2,90 HA 2,21 HA 3,50 H 3,54 OD2 2,87 O 2,67 HA3 3,25 O 3,48 SG 3,62 92 1353 HA2 4,18 HA3 2,69 O 3,02 HA 2,46 HA 3,45 H 3,76 OD2 3,02 O 2,72 HA3 3,27 O 3,50 SG 3,86 93 1367 HA2 4,19 HA3 3,00 O 2,96 HA 2,47 HA 3,46 H 3,80 OD2 3,09 O 2,58 HA3 3,60 O 3,49 SG 3,77 94 1371 HA2 3,95 HA3 2,66 O 3,05 HA 2,38 HA 3,70 H 3,84 OD2 3,21 O 3,05 HA3 3,23 O 3,59 SG 3,47 95 1372_A HA2 4,19 HA3 2,70 O 2,96 HA 2,47 HA 3,41 H 3,89 OD2 3,00 O 2,74 HA3 3,28 O 3,48 SG 3,72 96 1372_B HA2 4,18 HA3 2,70 O 2,95 HA 2,47 HA 3,41 H 3,89 OD2 3,00 O 2,75 HA3 3,27 O 3,48 SG 3,72 97 1373 HA2 4,18 HA3 2,78 O 2,94 HA 2,42 HA 3,44 H 3,83 OD2 3,01 O 2,76 HA3 3,33 O 3,47 SG 3,74 98 1492 HA2 3,81 HA3 3,40 O 3,38 HA 2,22 HA 3,57 H 4,06 OD2 3,99 O 3,30 HA3 3,91 O 3,86 HB2 3,95 99 1399 HA2 4,16 HA3 2,68 O 2,90 HA 2,41 HA 3,42 H 3,88 OD2 3,06 O 2,76 HA3 3,25 O 3,44 SG 3,79 100 1360 HA2 4,20 HA3 2,64 O 3,00 HA 2,47 HA 3,48 H 3,77 OD2 3,05 O 2,77 HA3 3,24 O 3,52 SG 3,78 101 1368 HA2 4,14 HA3 2,63 O 2,94 HA 2,48 HA 3,48 H 3,91 OD2 3,12 O 2,79 HA3 3,23 O 3,51 SG 3,83 102 1406 HA2 4,12 HA3 2,62 O 3,06 HA 2,37 HA 3,51 H 3,84 OD2 3,12 O 2,71 HA3 3,14 O 3,60 SG 3,83 103 1411 HA2 4,23 HA3 2,87 O 3,03 HG 1,74 HA 3,53 H 3,80 OD2 3,00 O 2,64 HA3 3,39 O 3,58 HG 3,02 104 1433 HA2 4,03 HA3 2,60 O 3,35 HA 2,82 HA 3,34 H 4,31 OD2 3,58 O 2,94 HA3 3,17 O 3,65 SG 3,89 105 1441 HA2 4,16 HA3 2,78 O 2,84 HA 2,47 HA 3,48 H 3,81 OD2 3,04 O 2,82 HA3 3,35 O 3,46 SG 3,79 106 1435 HA2 4,13 HA3 2,80 O 2,95 HA 2,40 HA 3,48 H 3,82 OD2 3,07 O 2,77 HA3 3,37 O 3,49 SG 3,67 107 1450_A HA2 4,06 HA3 2,70 O 3,10 HA 2,73 HA 3,39 H 4,06 OD2 3,41 O 2,88 HA3 3,30 O 3,54 SG 4,12 108 1450_B HA2 4,06 HA3 2,70 O 3,10 HA 2,73 HA 3,39 H 4,06 OD2 3,41 O 2,88 HA3 3,30 O 3,54 SG 4,12 среднее расстояние 3,96 2,79 3,05 2,44 3,49 3,82 3,41 2,87 3,40 3,62 3,98 стандартное отклонение 0,21 0,34 0,26 0,33 0,20 0,37 0,57 0,23 0,30 0,22 0,43 минимальное значение 3,21 2,17 2,57 1,07 2,61 3,03 2,63 2,38 2,71 3,14 3,02 максимальное значение 4,28 3,89 4,59 3,82 3,89 4,49 5,20 3,50 4,36 5,00 5,32 размер выборки 108 108 108 108 108 108 108 108 108 108 108

Таблица A8-4 Фармакофор-белковые расстояния

Фармакофорн. элемент O4 N2 H3 CA2 белок CYS_629 ARG_630 SER_657 GLY_656 MET_658 SER_657 GLY_656 MET_658 SER_657 GLY_656 TYR_607 1 14 HA 3,52 HG3 2,07 O 2,87 HA3 4,22 HE2 2,43 C 3,76 O 2,85 HE2 2,64 C 3,24 O 2,69 HD1 3,03 2 54_A HA 3,33 HG3 2,47 O 3,26 H 4,02 HA 3,15 C 3,88 O 3,02 HA 2,71 C 3,39 O 2,85 HD2 3,18 3 54_B HA 3,33 HG3 2,47 O 3,26 H 4,02 HA 3,15 C 3,88 O 3,02 HA 2,71 C 3,39 O 2,85 HD2 3,18 4 1129 HA 3,34 HG3 2,96 O 3,78 HA3 4,37 HA 4,00 HA 3,69 O 2,29 HA 3,51 C 3,36 O 2,22 HD1 3,07 5 1034 HA 2,96 H 3,08 O 3,77 H 4,61 HA 3,53 O 3,57 O 2,48 HA 3,08 O 3,05 O 2,45 HD1 3,62 6 1024 HA 3,41 H 2,89 O 3,50 H 4,14 HA 3,58 HA 3,63 O 2,60 HA 3,08 C 3,24 O 2,52 HD1 2,64 7 1042_1 HA 3,29 H 3,78 O 3,35 H 4,33 HA 3,93 C 3,73 O 2,75 HA 3,42 O 3,22 O 2,63 HA 4,32 8 1042_2 HA 3,66 H 3,71 O 3,14 H 4,33 HG3 3,08 C 3,73 O 2,82 HG3 2,76 C 3,25 O 2,72 HA 4,49 9 1042_3 HA 2,98 H 3,09 O 4,14 H 4,91 HG3 3,30 HA 4,26 O 3,19 HG3 3,05 HA 4,01 O 3,12 HA 4,90 10 2018 HA 3,45 H 3,08 O 3,75 H 4,25 N 3,81 C 3,93 O 2,66 HA 3,29 C 3,47 O 2,50 HD1 3,42 11 1059 HA 3,18 HH11 2,69 O 3,68 H 4,34 HA 3,60 O 3,79 O 2,65 HA 3,11 O 3,27 O 2,57 HD1 3,09 12 1088_A HA 3,52 HG3 2,66 O 3,83 H 4,07 HA 3,94 O 3,77 O 2,69 HA 3,48 O 3,25 O 2,61 HD1 3,32 13 1088_B HA 3,52 HG3 2,66 O 3,83 H 4,07 HA 3,94 O 3,77 O 2,69 HA 3,48 O 3,25 O 2,61 HD1 3,32 14 1036_1 HA 3,20 HG3 2,93 O 3,69 H 4,06 HA 3,87 HA 3,85 O 2,41 HA 3,38 C 3,44 O 2,28 HD1 3,46 15 1036_2_1 HA 3,61 H 3,25 O 3,81 O 4,60 HA 3,61 HA 3,58 O 2,36 HA 3,11 C 3,26 O 2,25 HD1 2,88 16 1036_2_2 HA 3,25 H 3,14 O 3,42 H 3,79 N 3,39 HA 3,50 O 2,42 N 2,94 C 3,01 O 2,22 HD1 2,83 17 1081 HA 3,37 H 3,54 O 3,93 H 3,86 HA 3,36 C 3,83 O 2,70 HA 2,91 C 3,40 O 2,61 HD2 3,75 18 1063 HA 3,50 HG3 2,82 O 3,73 H 3,80 HA 3,61 C 3,85 O 2,78 HA 3,10 C 3,39 O 2,69 HD1 4,59 19 1065 HA 3,36 HG3 3,18 O 3,75 H 3,98 HA 3,71 C 3,97 O 2,82 HA 3,26 O 3,50 O 2,68 HD1 4,13 20 1030_A HA 3,20 HG2 3,21 O 3,73 H 4,32 HA 3,69 C 3,87 O 2,63 HA 3,17 C 3,42 O 2,49 HD1 3,30 21 1030_B HA 3,20 HG2 3,21 O 3,73 H 4,32 HA 3,69 C 3,87 O 2,63 HA 3,17 C 3,42 O 2,49 HD1 3,30 22 1037 HA 3,63 HB2 3,59 O 3,50 O 4,20 N 3,54 C 3,53 O 2,37 N 3,10 C 3,05 O 2,21 HD1 2,93 23 1118 HA 3,27 HG3 2,89 O 3,70 H 4,20 SD 3,52 C 3,69 O 2,47 HA 3,10 C 3,24 O 2,37 HD1 4,09 24 1090 HA 3,37 HG3 2,84 O 3,85 H 3,94 HA 3,83 HA 3,80 O 2,53 HA 3,35 C 3,49 O 2,39 HD1 3,48 25 1007_1 HA 3,39 HG3 3,19 O 3,40 H 3,96 H 3,39 HA 3,87 O 2,69 H 3,03 C 3,46 O 2,53 HD1 3,35 26 1007_2 HA 3,10 HH11 3,32 O 3,34 H 3,89 H 3,29 HA 3,95 O 3,07 H 2,90 C 3,60 O 2,94 HD1 3,22 27 1149 HA 3,06 H 3,48 O 3,74 O 4,83 HA 3,24 C 4,09 O 2,91 HA 2,75 C 3,65 O 2,79 HD1 3,48 28 1021_A HA 3,30 H 3,51 O 3,51 H 3,81 HA 3,44 C 4,06 O 3,17 HA 2,94 C 3,59 O 3,07 HD1 2,94 29 1021_B HA 3,30 H 3,52 O 3,52 H 3,80 HA 3,45 C 4,06 O 3,15 HA 2,95 C 3,58 O 3,05 HD1 2,94 30 1097_1 HA 3,31 H 3,31 O 3,53 H 4,39 HA 3,67 C 3,60 O 2,41 HA 3,19 C 3,14 O 2,30 HD1 3,48 31 1097_2 HA 3,24 H 3,15 O 3,67 H 4,21 HA 3,56 C 3,72 O 2,48 HA 3,07 C 3,28 O 2,40 HD1 3,29 32 1031_1 HA 3,36 HD3 3,95 O 3,63 H 3,84 HA 3,47 C 4,09 O 3,13 HA 3,03 C 3,60 O 2,97 HD1 3,66 33 1031_2 HA 3,42 H 4,08 O 3,62 H 3,80 HA 3,44 C 4,00 O 3,09 HA 3,03 C 3,52 O 2,94 HD1 3,67 34 1031_3 HA 3,37 H 4,04 O 3,54 H 3,94 HA 3,33 C 3,89 O 3,05 HA 2,92 C 3,41 O 2,91 HD1 3,37 35 1031_4 HA 3,42 H 3,89 O 3,55 H 3,84 HA 3,32 C 3,87 O 3,05 HA 2,92 C 3,39 O 2,91 HD1 3,33 36 1153_A HA 3,36 HG2 3,01 O 3,58 H 4,16 HA 4,28 HA 3,90 O 2,59 HA 3,76 HA 3,64 O 2,47 HD2 3,20 37 1153_B HA 3,36 HG2 3,01 O 3,58 H 4,16 HA 4,28 HA 3,90 O 2,59 HA 3,76 HA 3,64 O 2,47 HD2 3,20 38 1025_1 HA 3,31 H 3,22 O 3,58 HA3 4,23 HA 3,79 HA 3,97 O 2,86 HA 3,28 C 3,60 O 2,68 HD1 3,93 39 1025_2 HA 3,39 H 3,44 O 3,54 H 4,63 HA 3,43 C 4,10 O 2,83 HA 2,88 C 3,65 O 2,72 HD1 3,78 40 1025_3 HA 3,32 H 3,39 O 4,38 HA3 3,88 H 2,96 HA 4,08 O 3,00 H 2,63 C 3,77 O 2,86 HD2 3,57 41 1025_4 HA 3,44 HB3 3,18 O 4,07 HA3 4,37 HA 3,27 C 4,23 O 2,74 HA 2,77 C 3,77 O 2,55 HD1 3,63 42 1025_5 HA 3,05 H 2,73 O 3,87 H 4,15 HA 3,49 C 4,31 O 2,87 HA 3,00 C 3,85 O 2,62 HD1 3,67 43 1025_6 HA 3,36 H 3,54 O 4,25 H 4,29 HA 3,40 HA 4,34 O 3,70 HA 2,91 C 3,95 O 3,61 HD1 3,84 44 1089_A HA 3,50 H 3,11 O 3,81 H 4,04 HA 3,94 HA 3,94 O 2,49 HA 3,46 C 3,51 O 2,32 HD1 3,59 45 1089_B HA 3,50 H 3,11 O 3,81 H 4,04 HA 3,94 HA 3,94 O 2,49 HA 3,46 C 3,51 O 2,32 HD1 3,59 46 1012_1 HA 3,15 HG3 3,06 O 3,75 H 3,78 HB2 3,60 C 4,31 O 2,92 HA 3,28 C 3,82 O 2,71 HD1 4,05 47 1012_2 HA 3,28 HG3 3,28 O 3,61 H 3,74 H 3,91 HA 3,98 O 2,63 N 3,51 HA 3,69 O 2,41 HD1 3,70 48 1078_1 HA 3,42 H 3,98 O 3,63 H 3,72 H 3,54 C 3,92 O 2,79 H 3,22 C 3,43 O 2,65 HD1 3,63 49 1078_10 HA 3,33 HG2 3,27 O 3,79 H 3,88 H 3,63 C 3,95 O 2,94 HA 3,27 C 3,47 O 2,82 HD1 3,77 50 1078_11 HA 3,42 H 3,97 O 3,62 H 3,72 H 3,51 HA 3,90 O 2,78 H 3,18 C 3,42 O 2,63 HD1 3,52 51 1078_12 HA 3,43 HG2 3,48 O 3,59 H 3,74 H 3,47 HA 3,84 O 2,73 H 3,15 C 3,36 O 2,59 HD1 3,47 52 1078_13 HA 3,42 HD3 3,52 O 3,63 H 3,73 H 3,52 HA 3,90 O 2,76 H 3,20 C 3,41 O 2,62 HD1 3,55 53 1078_14 HA 3,42 HG2 3,33 O 3,59 H 3,76 H 3,48 C 3,86 O 2,75 H 3,16 C 3,36 O 2,62 HD1 3,50 54 1078_15 HA 3,42 HG2 3,31 O 3,60 H 3,73 H 3,47 HA 3,86 O 2,75 H 3,15 C 3,37 O 2,61 HD1 3,51 55 1078_16 HA 3,46 HD2 3,33 O 3,57 H 3,72 H 3,46 C 3,86 O 2,75 H 3,14 C 3,36 O 2,62 HD1 3,53 56 1078_2 HA 3,40 HD2 3,28 O 3,56 H 3,74 H 3,49 HA 3,85 O 2,71 H 3,15 C 3,40 O 2,57 HD1 3,56 57 1078_3 HA 3,30 HD2 3,18 O 3,75 H 3,84 H 3,70 C 4,01 O 2,94 HA 3,30 C 3,53 O 2,80 HD1 3,89 58 1078_4 HA 3,42 HD2 3,36 O 3,57 H 3,71 H 3,49 HA 3,86 O 2,76 H 3,17 C 3,38 O 2,61 HD1 3,52 59 1078_5 HA 3,43 HD2 3,26 O 3,59 H 3,71 H 3,48 HA 3,89 O 2,76 H 3,16 C 3,40 O 2,62 HD1 3,53 60 1078_6 HA 3,45 HD2 3,23 O 3,57 H 3,75 H 3,46 C 3,88 O 2,80 H 3,14 C 3,39 O 2,66 HD1 3,58 61 1078_7 HA 3,42 HD3 3,55 O 3,62 H 3,72 H 3,54 C 3,91 O 2,78 H 3,21 C 3,42 O 2,64 HD1 3,59 62 1078_8 HA 3,43 HD2 3,26 O 3,63 H 3,72 H 3,54 HA 3,88 O 2,74 H 3,21 C 3,42 O 2,59 HD1 3,59 63 1078_9 HA 3,42 HD2 3,49 O 3,55 H 3,71 H 3,42 HA 3,84 O 2,77 H 3,10 C 3,35 O 2,63 HD1 3,50 64 1145_A HA 3,25 HG3 3,08 O 3,64 H 3,95 N 4,03 HA 3,63 O 2,38 N 3,59 C 3,38 O 2,25 HD2 2,87 65 1145_B HA 3,25 HG3 3,08 O 3,64 H 3,95 N 4,03 HA 3,63 O 2,38 N 3,59 C 3,38 O 2,25 HD2 2,87 66 1050 HA 3,30 HG3 3,06 O 3,53 H 4,34 H 3,59 HA 3,44 O 2,48 N 3,23 HA 3,21 O 2,43 HD1 3,00 67 1253 HA 3,22 HG3 3,03 O 3,84 H 3,74 HA 3,69 C 4,30 O 2,96 HA 3,19 C 3,83 O 2,78 HD1 3,98 68 1257 HA 3,27 HG3 3,28 O 3,83 H 3,78 HA 3,66 HA 3,89 O 2,64 HA 3,19 C 3,61 O 2,43 HD1 3,56 69 999_1 HA 2,76 H 3,12 O 3,70 O 4,44 H 4,15 HA 3,47 O 2,51 N 3,68 HA 3,22 O 2,36 HD2 3,10 70 999_2_A HA 3,38 HG3 2,63 O 3,77 HA3 4,47 HA 3,98 HA 3,68 O 2,54 HA 3,50 HA 3,47 O 2,43 HD1 2,81 71 999_2_B HA 3,38 HG3 2,63 O 3,77 HA3 4,47 HA 3,98 HA 3,68 O 2,54 HA 3,50 HA 3,47 O 2,43 HD1 2,81 72 1297_1 HA 3,14 H 3,20 O 3,77 H 4,09 HA 3,86 HA 4,01 O 2,79 HA 3,35 C 3,72 O 2,62 HD1 3,77 73 1297_2 HA 3,14 HG3 3,04 O 3,77 H 4,04 HA 3,90 HA 3,99 O 2,76 HA 3,39 C 3,71 O 2,59 HD1 3,79 74 1297_3 HA 3,07 HG3 3,01 O 3,76 H 4,15 HA 3,76 HA 3,98 O 2,76 HA 3,26 C 3,65 O 2,61 HD1 3,82 75 1297_4 HA 3,13 HG3 3,05 O 3,75 H 4,05 HA 3,88 HA 3,95 O 2,70 HA 3,37 C 3,68 O 2,54 HD1 3,79 76 1297_5 HA 3,06 H 3,16 O 3,80 H 4,13 HA 3,78 HA 3,99 O 2,75 HA 3,28 C 3,65 O 2,60 HD1 3,80 77 1297_6 HA 3,01 H 3,12 O 3,79 H 4,19 HA 3,75 HA 4,03 O 2,80 HA 3,26 C 3,65 O 2,65 HD1 3,90 78 1304 HA 3,27 HG3 2,93 O 3,92 H 3,81 HA 3,83 C 4,36 O 2,95 HA 3,31 C 3,89 O 2,75 HD1 4,00 79 1306_1 HA 3,75 H 3,46 O 3,79 H 3,89 HA 3,82 C 4,00 O 2,18 HA 3,34 C 3,52 O 1,96 HD1 4,12 80 1306_2 HA 3,37 H 3,17 O 3,88 H 4,08 HA 4,20 HA 4,39 O 2,46 HA 3,70 C 3,97 O 2,15 HD1 4,64 81 1307 HA 3,52 HG2 2,95 O 3,97 H 3,74 HA 4,06 O 4,48 O 3,25 HA 3,63 O 3,97 O 3,07 HD1 4,00 82 1328_1 HA 3,26 HG3 3,02 O 3,65 H 3,55 HA 3,70 C 4,35 O 2,97 HA 3,18 C 3,87 O 2,76 HD2 3,99 83 1328_2 HA 3,19 HG3 2,89 O 3,69 H 3,59 HE2 3,57 C 4,32 O 3,02 HA 3,12 C 3,84 O 2,82 HD2 4,05 84 1328_3 HA 3,30 HG3 3,03 O 3,61 H 3,61 HA 3,76 C 4,29 O 2,89 HA 3,24 C 3,81 O 2,69 HD2 3,90 85 1328_4 HA 3,19 HG3 3,07 O 3,66 H 3,64 HA 3,72 C 4,26 O 2,86 HA 3,21 C 3,79 O 2,66 HD2 3,90 86 1334 HA 3,27 HG3 2,93 O 3,85 H 4,11 HA 3,88 HA 4,07 O 2,79 HA 3,40 C 3,74 O 2,61 HD1 4,28 87 1335 HA 3,28 HG3 2,85 O 3,55 H 4,09 HA 3,83 C 3,86 O 2,56 HA 3,32 C 3,40 O 2,44 HD1 3,23 88 1338 HA 3,20 HG3 3,33 O 3,77 H 3,71 HA 3,79 C 4,19 O 2,94 HA 3,28 C 3,71 O 2,74 HD1 4,20 89 1345_1 HA 3,49 H 3,77 O 3,80 H 3,65 N 3,96 HA 3,83 O 2,41 N 3,52 C 3,48 O 2,25 HD1 3,39 90 1345_2 HA 2,92 N 3,67 O 4,00 H 4,19 HA 3,88 C 3,72 O 2,36 HA 3,41 O 3,27 O 2,31 HD1 3,03 91 1351 HA 3,14 HG3 3,09 O 3,78 H 3,76 HG3 3,72 C 4,21 O 2,93 HA 3,24 C 3,74 O 2,79 HD1 3,83 92 1353 HA 3,28 HG3 3,00 O 3,95 H 3,69 HA 4,11 C 4,56 O 3,00 HA 3,60 C 4,09 O 2,77 HD1 4,41 93 1367 HA 3,23 HG3 3,13 O 4,03 H 3,69 HG2 2,27 C 4,53 O 3,03 HG2 2,06 C 4,05 O 2,80 HD1 3,69 94 1371 HA 3,36 HA 4,57 O 3,59 HA3 4,44 HA 3,59 HA 3,81 O 2,95 HA 3,14 C 3,36 O 2,83 HD1 3,51 95 1372_A HA 3,20 HG3 2,85 O 3,93 H 3,76 HA 3,91 C 4,44 O 2,93 HA 3,40 C 3,96 O 2,72 HD1 3,92 96 1372_B HA 3,20 HG3 2,86 O 3,94 H 3,76 HA 3,91 C 4,43 O 2,93 HA 3,40 C 3,96 O 2,72 HD1 3,92 97 1373 HA 3,18 HG3 2,92 O 3,93 H 3,67 HA 3,90 C 4,42 O 2,96 HA 3,38 C 3,94 O 2,76 HD1 4,03 98 1492 HA 3,48 H 3,16 O 3,65 H 4,12 HA 3,54 O 3,69 O 2,40 HA 3,07 O 3,17 O 2,27 HD2 4,06 99 1399 HA 3,21 HG3 2,96 O 3,93 H 3,69 HA 3,86 C 4,42 O 2,97 HA 3,35 C 3,95 O 2,77 HD1 4,09 100 1360 HA 3,26 HG3 3,03 O 3,94 H 3,86 HA 3,91 C 4,45 O 2,99 HA 3,40 C 3,98 O 2,77 HD1 4,08 101 1368 HA 3,36 HG3 2,92 O 3,99 H 3,82 HA 4,04 C 4,58 O 2,94 HA 3,54 C 4,11 O 2,71 HD1 3,53 102 1406 HA 3,29 H 3,40 O 3,93 H 3,88 HA 3,90 C 4,45 O 3,03 HA 3,38 C 3,98 O 2,85 HD1 4,28 103 1411 HA 3,28 HG3 3,33 O 3,98 H 3,73 H 4,04 C 4,48 O 2,89 HA 3,53 C 4,01 O 2,71 HD1 4,05 104 1433 HA 3,33 HG3 2,84 O 3,93 H 3,74 HA 3,98 C 4,25 O 2,74 HA 3,48 C 3,78 O 2,55 HD1 3,65 105 1441 HA 3,22 HG3 3,22 O 3,92 H 3,73 HA 3,83 C 4,39 O 2,99 HA 3,32 C 3,92 O 2,80 HD1 4,05 106 1435 HA 3,19 HG3 3,00 O 3,92 H 3,79 HA 3,79 C 4,38 O 2,96 HA 3,28 C 3,91 O 2,77 HD1 4,02 107 1450_A HA 3,35 HG3 2,92 O 3,89 H 3,74 HA 4,01 C 4,48 O 2,89 HA 3,52 C 4,01 O 2,66 HD1 3,48 108 1450_B HA 3,35 HG3 2,92 O 3,89 H 3,74 HA 4,01 C 4,48 O 2,89 HA 3,52 C 4,01 O 2,66 HD1 3,48 среднее расстояние 3,31 3,19 3,72 3,99 3,66 3,99 2,77 3,22 3,56 2,62 3,62 стандартное отклонение 0,16 0,37 0,21 0,29 0,32 0,28 0,24 0,27 0,27 0,24 0,44 минимальное значение 2,76 2,07 2,87 3,55 2,27 3,44 2,18 2,06 3,01 1,96 2,64 максимальное значение 3,75 4,57 4,38 4,91 4,28 4,58 3,70 3,76 4,11 3,61 4,90 размер выборки 108 108 108 108 108 108 108 108 108 108 108

Таблица A8-5 Фармакофор-белковые расстояния

Фармакофорн. элемент CA2 CA4 C2 C4 CA5 белок PHE_529 PRO_608 PHE_529 PRO_608 GLY_528 TYR_607 GLY_656 TRP_655 PRO_608 TYR_607 1 14 HE2 2,94 HD2 4,26 HE2 4,18 HD2 4,56 HA2 3,16 HE1 2,86 O 3,61 HE3 4,07 HD2 4,18 HD1 3,14 2 54_A HE1 3,38 HD2 4,39 HE1 4,32 HD2 4,90 HA2 3,15 HE2 2,87 O 3,79 HE3 4,07 HD2 4,49 HE2 3,00 3 54_B HE1 3,38 HD2 4,39 HE1 4,32 HD2 4,90 HA2 3,15 HE2 2,87 O 3,79 HE3 4,07 HD2 4,49 HE2 3,00 4 1129 HE1 3,21 HD2 4,10 HE1 3,86 HD3 4,02 H 3,14 HE1 3,29 O 2,92 HE3 3,81 HD3 3,42 HE1 3,36 5 1034 HE2 3,60 HD2 2,94 HE2 4,03 HG3 2,99 HA2 3,44 HE1 3,89 O 2,94 HE3 3,65 HD3 2,64 HD1 3,48 6 1024 HE1 3,52 HD2 3,77 HE1 3,82 HD2 3,65 H 3,12 HE1 2,95 O 3,18 HE3 3,90 HD3 3,31 HE1 2,98 7 1042_1 HD1 3,81 HD3 3,44 HE1 3,31 HG3 3,20 HA2 3,24 HE1 4,35 O 3,48 HE3 4,01 HD3 3,09 HD1 3,65 8 1042_2 HE1 3,48 HD3 3,39 HE1 3,82 HG3 3,28 H 3,09 HE1 4,29 O 3,46 HE3 3,77 HD3 3,24 HD1 3,63 9 1042_3 HE2 2,72 HD3 4,05 HE2 3,89 HG3 3,61 H 2,24 HE2 5,63 O 3,58 HE3 3,94 HG3 3,32 HA 4,32 10 2018 HE2 3,04 HD2 3,81 HE2 3,94 HG2 3,94 HA2 3,15 HE1 3,54 O 3,43 HE3 4,05 HD3 3,64 HD1 3,62 11 1059 HE2 3,22 HD2 3,66 HE2 4,14 HG2 3,10 HA2 3,15 HE1 3,27 O 3,20 HE3 3,81 HD3 3,03 HD1 3,27 12 1088_A HE1 2,77 HD2 3,83 HE1 3,63 HG2 3,79 H 3,31 HE1 3,54 O 3,22 HE3 4,01 HD3 3,53 HD1 3,51 13 1088_B HE1 2,77 HD2 3,83 HE1 3,63 HG2 3,79 H 3,31 HE1 3,54 O 3,22 HE3 4,01 HD3 3,53 HD1 3,51 14 1036_1 HE1 3,13 HD2 4,04 HE1 3,80 HD2 4,18 H 3,25 HE1 3,64 O 3,16 HE3 3,75 HD3 3,85 HD1 3,68 15 1036_2_1 HE1 3,34 HD2 4,07 HE1 4,10 HD2 3,86 H 3,18 HE1 3,26 O 3,07 HE3 3,89 HD2 3,64 HD1 3,12 16 1036_2_2 HE1 3,42 HD2 4,28 HE1 4,30 HD2 4,07 H 2,86 HE1 3,11 O 3,35 HE3 3,66 HD2 3,81 HD1 2,74 17 1081 HE1 3,38 HD2 4,75 HE1 3,76 HG3 4,86 H 3,04 HE2 3,60 O 3,27 HE3 4,23 HD2 4,41 HE2 3,60 18 1063 HE1 3,14 HD2 4,82 HE1 3,65 HG3 5,00 H 2,88 HE1 4,25 O 3,33 HE3 4,09 HG3 4,68 HD1 4,11 19 1065 HE2 2,79 HD2 3,59 HE2 3,73 HG3 3,28 HA2 3,22 HE1 3,99 O 3,46 HE3 3,81 HG3 3,07 HD1 3,92 20 1030_A HE2 3,07 HD2 3,42 HE2 3,88 HG2 3,09 HA2 3,11 HE1 3,45 O 3,33 HE3 3,79 HD3 3,20 HD1 3,32 21 1030_B HE2 3,07 HD2 3,42 HE2 3,88 HG2 3,09 HA2 3,11 HE1 3,45 O 3,33 HE3 3,79 HD3 3,20 HD1 3,32 22 1037 HE1 3,61 HD2 4,28 HE1 4,25 HD2 4,28 H 3,32 HE1 3,12 O 3,26 HE3 3,58 HD3 3,98 HD1 3,14 23 1118 HE1 3,15 HD2 4,98 HE1 3,49 HG2 5,23 HA2 3,39 HE1 4,10 O 3,12 HE3 4,09 HD2 4,99 HD1 4,06 24 1090 HE2 2,91 HD2 4,04 HE2 3,93 HG2 4,11 HA2 3,24 HE1 3,54 O 3,25 HE3 3,71 HD3 4,04 HE1 3,67 25 1007_1 HE1 3,36 HD2 2,45 HE1 4,14 HG3 2,40 H 3,49 HE1 3,19 O 3,49 HE3 3,81 HD3 2,21 HD1 2,89 26 1007_2 HE1 3,32 HD2 2,40 HE1 3,92 HG2 2,08 H 3,40 HE1 3,11 O 3,69 HE3 3,85 HG2 2,22 HD1 3,09 27 1149 HE2 3,05 HD2 4,16 HE2 4,04 HD2 4,51 H 3,41 HE1 3,01 O 3,52 HE3 3,66 HD2 4,06 HD1 2,46 28 1021_A HE1 3,11 HD2 3,41 HE1 4,06 HG3 3,26 H 2,95 HE1 2,90 O 3,70 HE3 4,07 HD3 2,84 HD1 3,09 29 1021_B HE1 3,10 HD2 3,43 HE1 4,05 HG3 3,27 H 2,94 HE1 2,90 O 3,68 HE3 4,06 HD3 2,86 HD1 3,08 30 1097_1 HE1 3,14 HD2 3,88 HE1 3,98 HG2 3,91 HA2 3,20 HE1 3,53 O 3,12 HE3 3,52 HD3 3,72 HD1 3,41 31 1097_2 HE1 2,91 HD2 3,71 HE1 3,72 HD3 3,71 H 3,06 HE1 3,49 O 3,09 HE3 3,42 HD3 3,25 HD1 3,08 32 1031_1 HE1 3,16 HD2 3,05 HE1 3,76 HG3 3,31 H 3,19 HE1 3,28 O 3,80 HE3 3,94 HG3 3,07 HD1 3,50 33 1031_2 HE1 3,22 HD2 3,02 HE1 3,82 HG3 3,30 H 3,20 HE1 3,26 O 3,77 HE3 3,92 HG3 3,06 HD1 3,48 34 1031_3 HE1 3,17 HD2 3,00 HE1 3,76 HG3 3,40 H 3,26 HE1 3,02 O 3,71 HE3 3,96 HD2 3,02 HD1 3,19 35 1031_4 HE1 3,17 HD2 2,97 HE1 3,73 HG3 3,35 H 3,19 HE1 2,99 O 3,73 HE3 3,96 HD2 2,96 HD1 3,16 36 1153_A HE1 3,32 HD2 4,47 HE1 3,44 HD2 4,63 H 3,05 HE2 3,20 O 3,28 HE3 3,87 HD3 4,25 HE2 3,01 37 1153_B HE1 3,32 HD2 4,47 HE1 3,44 HD2 4,63 H 3,05 HE2 3,20 O 3,28 HE3 3,87 HD3 4,25 HE2 3,01 38 1025_1 HE2 3,64 HD3 3,34 HE2 4,56 HG2 2,96 H 2,73 HE1 4,04 O 3,63 HE3 3,88 HG2 3,00 HD1 3,74 39 1025_2 HE1 2,81 HD2 3,22 HE1 3,42 HG2 2,83 H 2,80 HE1 4,15 O 3,46 HE3 4,18 HG2 2,95 HD1 4,05 40 1025_3 HE1 3,08 HD2 3,55 HE1 3,98 HG3 3,68 H 2,83 HE2 3,72 O 3,63 HE3 3,87 HD2 3,18 HD2 3,20 41 1025_4 HE2 2,85 HD2 4,23 HE2 4,08 HG2 3,44 H 2,77 HE1 3,56 O 3,54 HE3 3,80 HG2 3,26 HD1 3,27 42 1025_5 HE2 3,18 HD2 3,65 HE2 4,21 HG3 3,37 H 3,01 HE1 3,85 O 3,81 HE3 4,00 HG3 3,25 HD1 3,62 43 1025_6 HE1 3,04 HD2 3,19 HE1 4,13 HG3 3,07 H 2,68 HE1 3,43 O 4,09 HE3 3,96 HG3 2,97 HD1 3,37 44 1089_A HE2 2,87 HD2 4,07 HE2 3,84 HD2 4,23 H 3,25 HE1 3,73 O 3,27 HE3 3,71 HD3 3,81 HD1 3,78 45 1089_B HE2 2,87 HD2 4,07 HE2 3,84 HD2 4,23 H 3,25 HE1 3,73 O 3,27 HE3 3,71 HD3 3,81 HD1 3,78 46 1012_1 HE2 2,84 HD2 3,82 HE2 4,04 HG3 3,88 H 3,04 HE1 3,95 O 3,77 HE3 3,91 HG3 3,66 HD1 3,92 47 1012_2 HE1 3,02 HD2 3,59 HE1 3,93 HG3 3,86 HA2 3,24 HE1 3,49 O 3,57 HE3 3,67 HG3 3,62 HD1 3,49 48 1078_1 HE1 3,36 HD2 2,94 HE1 4,01 HG3 2,83 HA2 3,32 HE1 3,67 O 3,52 HE3 3,86 HG3 2,68 HD1 3,41 49 1078_10 HE1 3,14 HD2 2,98 HE1 3,87 HG3 2,80 H 3,33 HE1 3,93 O 3,57 HE3 4,02 HG3 2,70 HD1 3,68 50 1078_11 HE1 3,41 HD2 2,72 HE1 4,04 HG3 2,52 HA2 3,33 HE1 3,61 O 3,51 HE3 3,91 HG3 2,42 HD1 3,35 51 1078_12 HE1 3,50 HD2 2,86 HE1 4,08 HG3 2,76 HA2 3,39 HE1 3,56 O 3,46 HE3 3,87 HG3 2,65 HD1 3,32 52 1078_13 HE1 3,37 HD2 2,83 HE1 4,00 HG3 2,64 HA2 3,35 HE1 3,64 O 3,50 HE3 3,90 HG3 2,54 HD1 3,38 53 1078_14 HE1 3,45 HD2 2,78 HE1 4,03 HG3 2,63 HA2 3,39 HE1 3,56 O 3,46 HE3 3,85 HG3 2,54 HD1 3,29 54 1078_15 HE1 3,43 HD2 2,76 HE1 4,05 HG3 2,55 HA2 3,40 HE1 3,59 O 3,48 HE3 3,90 HG3 2,43 HD1 3,32 55 1078_16 HE1 3,44 HD2 2,91 HE1 4,05 HG3 2,80 HA2 3,39 HE1 3,59 O 3,47 HE3 3,87 HG3 2,68 HD1 3,36 56 1078_2 HE1 3,44 HD2 2,86 HE1 4,03 HG3 2,75 HA2 3,37 HE1 3,61 O 3,46 HE3 3,85 HG3 2,60 HD1 3,36 57 1078_3 HE1 3,16 HD2 3,06 HE1 3,88 HG3 2,91 HA2 3,26 HE1 3,96 O 3,60 HE3 3,98 HG3 2,67 HD1 3,70 58 1078_4 HE1 3,47 HD2 2,84 HE1 4,04 HG3 2,79 HA2 3,42 HE1 3,55 O 3,50 HE3 3,86 HG3 2,65 HD1 3,33 59 1078_5 HE1 3,44 HD2 2,75 HE1 4,06 HG3 2,62 HA2 3,36 HE1 3,58 O 3,51 HE3 3,87 HG3 2,50 HD1 3,34 60 1078_6 HE1 3,45 HD2 2,81 HE1 4,02 HG3 2,70 HA2 3,40 HE1 3,63 O 3,52 HE3 3,86 HG3 2,54 HD1 3,37 61 1078_7 HE1 3,39 HD2 2,92 HE1 4,03 HG3 2,81 HA2 3,35 HE1 3,65 O 3,52 HE3 3,89 HG3 2,68 HD1 3,40 62 1078_8 HE1 3,42 HD2 2,78 HE1 4,03 HG3 2,66 HA2 3,35 HE1 3,64 O 3,49 HE3 3,84 HG3 2,49 HD1 3,38 63 1078_9 HE1 3,49 HD2 2,80 HE1 4,07 HG3 2,64 HA2 3,41 HE1 3,56 O 3,51 HE3 3,90 HG3 2,53 HD1 3,34 64 1145_A HE1 3,84 HD2 4,06 HE1 3,74 HD2 4,32 HA2 3,39 HE2 2,78 O 3,15 HE3 3,98 HD2 3,93 HE2 3,11 65 1145_B HE1 3,84 HD2 4,06 HE1 3,74 HD2 4,32 HA2 3,39 HE2 2,78 O 3,15 HE3 3,98 HD2 3,93 HE2 3,11 66 1050 HE1 3,44 HD2 3,89 HE1 3,59 HD2 4,18 H 2,83 HE1 2,83 O 3,03 HE3 3,86 HD2 3,84 HD1 3,17 67 1253 HE1 2,82 HD2 3,85 HE1 3,65 HG2 3,80 HA2 3,20 HE1 4,06 O 3,72 HE3 4,09 HD3 3,72 HD1 4,14 68 1257 HE1 3,01 HD2 4,22 HE1 3,94 HD2 4,26 HA2 3,22 HE1 3,71 O 3,51 HE3 3,82 HD3 3,95 HD1 3,91 69 999_1 HE1 3,35 HD2 3,47 HE1 4,36 HD2 3,51 HA2 3,53 HE2 3,18 O 3,30 HE3 3,73 HD2 3,11 HD2 2,83 70 999_2_A HE2 3,51 HD2 3,50 HE2 4,26 HG3 3,50 H 3,42 HE1 2,82 O 3,22 HE3 3,77 HD3 3,21 HD1 2,69 71 999_2_B HE2 3,51 HD2 3,50 HE2 4,26 HG3 3,50 H 3,42 HE1 2,82 O 3,22 HE3 3,77 HD3 3,21 HD1 2,69 72 1297_1 HE2 2,80 HD2 3,25 HE2 3,89 HG3 3,22 H 3,05 HE1 3,78 O 3,55 HE3 3,76 HG3 3,10 HD1 3,39 73 1297_2 HE2 2,83 HD2 3,33 HE2 3,90 HG3 3,36 H 3,11 HE1 3,80 O 3,53 HE3 3,69 HG3 3,23 HD1 3,41 74 1297_3 HE2 2,73 HD2 3,38 HE2 3,84 HG3 3,40 H 3,05 HE1 3,83 O 3,50 HE3 3,79 HG3 3,29 HD1 3,47 75 1297_4 HE2 2,84 HD2 3,35 HE2 3,91 HG3 3,38 H 3,11 HE1 3,79 O 3,48 HE3 3,66 HG3 3,24 HD1 3,41 76 1297_5 HE2 2,84 HD2 3,38 HE2 3,90 HG3 3,38 H 3,09 HE1 3,86 O 3,47 HE3 3,74 HG3 3,29 HD1 3,43 77 1297_6 HE2 2,73 HD2 3,48 HE2 3,85 HG3 3,55 H 3,03 HE1 3,91 O 3,51 HE3 3,79 HG3 3,43 HD1 3,53 78 1304 HE2 2,73 HD2 3,25 HE2 3,87 HG2 2,79 HA2 3,20 HE1 4,02 O 3,74 HE3 3,98 HG2 2,73 HD1 4,07 79 1306_1 HE1 3,11 HG2 3,29 HE1 3,94 HG3 2,57 HA2 2,95 HE1 3,72 O 3,14 HE3 3,09 HG3 2,23 HD1 3,02 80 1306_2 HE2 3,44 HD2 3,54 HE2 4,76 HG2 3,21 HA2 2,72 HE1 4,24 O 3,54 HE3 3,30 HG2 2,86 HD1 3,57 81 1307 HE2 2,96 HD2 3,31 HE2 4,24 HG2 2,81 HA2 3,07 HE1 3,85 O 3,92 HE3 4,14 HG2 2,74 HD1 4,09 82 1328_1 HE1 3,00 HD2 3,11 HE1 4,14 HG3 3,10 H 3,53 HE2 3,81 O 3,82 HE3 3,99 HG3 2,66 HD2 3,75 83 1328_2 HE1 3,01 HD2 3,23 HE1 4,18 HG3 3,19 H 3,51 HE2 3,90 O 3,84 HE3 4,05 HG3 2,76 HD2 3,84 84 1328_3 HE1 2,93 HD2 3,01 HE1 4,03 HG2 2,99 H 3,51 HE2 3,78 O 3,75 HE3 3,96 HG3 2,65 HD2 3,60 85 1328_4 HE1 2,89 HD2 3,12 HE1 3,99 HG3 3,11 H 3,54 HE2 3,79 O 3,70 HE3 3,94 HG3 2,77 HD2 3,63 86 1334 HE2 2,49 HD2 3,91 HE2 3,69 HG3 3,70 HA2 3,42 HE1 4,17 O 3,57 HE3 4,13 HG3 3,44 HD1 4,06 87 1335 HE1 3,17 HD2 4,16 HE1 3,69 HD2 4,39 HA2 3,18 HE1 3,16 O 3,21 HE3 3,88 HD2 4,01 HD1 3,33 88 1338 HE2 2,66 HD2 3,77 HE2 4,01 HG3 3,91 HA2 3,20 HE1 4,09 O 3,72 HE3 3,88 HG3 3,68 HD1 4,08 89 1345_1 HE2 3,45 HD2 3,25 HE2 4,32 HG3 2,93 HA2 2,86 HE1 3,20 O 3,22 HE3 3,72 HD2 2,66 HD1 2,73 90 1345_2 HE1 3,30 HD2 3,50 HE1 3,92 HG3 3,60 HA2 3,53 HE1 3,36 O 2,95 HE3 3,74 HD3 3,13 HD1 3,06 91 1351 HE1 2,79 HD2 4,25 HE1 3,82 HG2 4,52 HA2 3,32 HE1 3,79 O 3,64 HE3 3,90 HD3 4,24 HD1 4,03 92 1353 HE2 2,90 HD2 3,12 HE2 3,96 HG2 2,70 HA2 3,25 HE1 4,37 O 3,85 HE3 3,93 HG2 2,45 HA 4,28 93 1367 HE2 2,76 HD2 3,76 HE2 3,91 HG2 3,65 HA2 3,09 HE1 3,75 O 3,91 HE3 4,02 HD3 3,47 HD1 3,78 94 1371 HE2 2,97 HD2 3,45 HE2 3,91 HG3 3,53 H 2,83 HE1 3,48 O 3,59 HE3 4,26 HD3 3,22 HD1 3,64 95 1372_A HE2 2,79 HD2 3,18 HE2 3,94 HG2 2,75 HA2 3,15 HE1 3,95 O 3,76 HE3 4,00 HG2 2,70 HD1 4,04 96 1372_B HE2 2,79 HD2 3,18 HE2 3,94 HG2 2,75 HA2 3,15 HE1 3,94 O 3,75 HE3 3,99 HG2 2,70 HD1 4,04 97 1373 HE2 2,71 HD2 3,39 HE2 3,89 HG2 2,98 HA2 3,15 HE1 4,02 O 3,77 HE3 4,03 HG2 2,98 HD1 4,09 98 1492 HD1 3,54 HD2 3,74 HE1 3,79 HG3 3,93 HA2 2,98 HE2 4,07 O 3,17 HE3 3,52 HD3 3,67 HD2 4,11 99 1399 HE2 2,74 HD2 3,85 HE2 3,77 HG2 3,83 HA2 3,17 HE1 4,09 O 3,77 HE3 4,14 HD3 3,70 HD1 4,30 100 1360 HE2 2,83 HD2 4,28 HE2 3,87 HG3 4,66 HA2 3,14 HE1 4,00 O 3,83 HE3 3,84 HG3 4,46 HD1 4,18 101 1368 HE1 3,40 HD2 4,44 HE1 3,45 HD2 4,58 HA2 3,26 HE1 3,47 O 3,80 HB2 4,32 HD3 4,09 HE1 3,74 102 1406 HE2 2,66 HD2 3,44 HE2 3,81 HG2 3,12 HA2 3,08 HE1 4,29 O 3,80 HE3 4,00 HG2 2,99 HD1 4,37 103 1411 HE2 3,01 HD2 3,26 HE2 3,59 HG3 3,06 H 3,04 HE1 4,13 O 3,66 HE3 4,01 HG3 3,01 HD1 4,12 104 1433 HE2 3,01 HD2 4,25 HE2 3,58 HD2 4,45 HA2 3,20 HE1 3,81 O 3,57 HE3 4,04 HD3 4,14 HD1 3,87 105 1441 HE2 3,02 HD2 3,61 HE2 3,59 HG2 3,23 HA2 3,18 HE1 4,16 O 3,74 HE3 4,13 HG2 3,24 HD1 4,05 106 1435 HE2 2,82 HD2 3,90 HE2 3,87 HG2 3,87 HA2 3,08 HE1 4,06 O 3,73 HE3 3,98 HD3 3,60 HD1 4,12 107 1450_A HE2 2,97 HD2 4,02 HE2 3,67 HG2 4,21 HA2 3,20 HE1 3,62 O 3,77 HE3 4,10 HD3 3,84 HE1 4,03 108 1450_B HE2 2,97 HD2 4,02 HE2 3,67 HG2 4,21 HA2 3,20 HE1 3,62 O 3,77 HE3 4,10 HD3 3,84 HE1 4,03 среднее расстояние 3,14 3,56 3,92 3,51 3,18 3,62 3,50 3,89 3,28 3,52 стандартное отклонение 0,30 0,55 0,24 0,68 0,21 0,45 0,25 0,19 0,61 0,42 минимальное значение 2,49 2,40 3,31 2,08 2,24 2,78 2,92 3,09 2,21 2,46 максимальное значение 3,84 4,98 4,76 5,23 3,54 5,63 4,09 4,32 4,99 4,37 размер выборки 108 108 108 108 108 108 108 108 108 108

Таблица A8-6 Фармакофор-белковые расстояния

Фармакофорн. элемент C6 CA3 O3 H1 белок TRP_655 PHE_529 SER_611 PRO_608 GLY_528 MET_658 ARG_630 ARG_630 MET_658 1 14 CH2 3,76 HD2 2,77 HB3 2,64 HD2 4,32 HA2 3,51 O 2,13 HH11 1,53 HH12 2,47 HG2 3,80 2 54_A CH2 3,90 HD1 2,99 HB3 2,76 HD2 4,34 HA2 3,70 O 2,38 HD3 1,88 HH12 2,44 HG2 3,80 3 54_B CH2 3,90 HD1 2,99 HB3 2,76 HD2 4,34 HA2 3,70 O 2,38 HD3 1,88 HH12 2,44 HG2 3,80 4 1129 CZ3 3,31 HD1 2,98 HB3 2,58 HD2 4,05 HA2 3,51 HG2 2,85 HD2 2,14 HD2 3,63 HE3 3,11 5 1034 CZ3 3,27 HD2 3,09 OG 3,32 HD2 2,97 HA2 3,79 HG2 2,86 HD2 4,27 HH11 3,41 HG2 3,46 6 1024 CH2 3,53 HD1 3,20 HB3 2,54 HD2 3,95 HA2 3,60 HG2 1,94 HD3 3,62 HH11 3,35 HG2 3,26 7 1042_1 CZ3 3,28 HD1 3,84 HB3 2,14 HD2 3,46 HA2 4,67 HG2 2,06 HB2 4,52 HH11 4,01 SD 3,40 8 1042_2 CZ3 3,27 HD1 3,09 HB3 2,54 HD2 3,74 HA2 4,01 HG2 1,07 HB2 5,37 HD2 5,65 HG2 4,17 9 1042_3 CZ3 3,21 HD2 2,42 HB3 2,32 HD2 4,06 HA2 2,99 HG2 2,74 HD2 4,10 HD2 4,10 HG2 4,20 10 2018 CH2 3,77 HD2 2,90 HB3 2,86 HD2 3,74 HA2 3,65 HG2 1,58 HB2 4,11 HH22 5,01 SD 2,86 11 1059 CZ3 3,64 HD2 2,97 HB3 2,61 HD2 3,70 HA2 3,81 SD 1,94 CZ 2,01 HH21 3,32 HE2 0,74 12 1088_A CH2 3,75 HD1 2,75 HB3 2,71 HD2 3,74 HA2 3,66 HG3 3,04 NH1 2,33 HE 3,72 HE2 3,12 13 1088_B CH2 3,75 HD1 2,75 HB3 2,71 HD2 3,74 HA2 3,66 HG3 3,04 NH1 2,33 HE 3,72 HE2 3,12 14 1036_1 CH2 3,49 HD1 2,97 HB3 2,82 HD2 3,87 HA2 3,62 HG2 2,89 HH11 1,75 HH22 2,82 HG2 3,32 15 1036_2_1 CZ3 3,43 HD1 3,12 HB3 2,69 HD2 4,19 HA2 3,51 HG3 1,86 HD3 3,64 HH11 3,13 SD 2,42 16 1036_2_2 CH2 3,51 HD1 3,09 HB3 2,65 HD2 4,42 HA2 3,26 HG2 2,14 HB2 4,14 HH11 3,90 SD 2,62 17 1081 CZ3 3,69 HD1 3,23 HB3 2,66 HG2 4,72 HA2 3,22 HG3 3,11 HD3 4,09 HH11 3,97 HG2 3,70 18 1063 CZ3 3,73 HD1 3,00 HB3 3,00 HG2 4,92 HA2 3,37 HG2 1,74 HD2 2,08 HH11 2,64 SD 2,75 19 1065 CH2 3,87 HD2 2,70 HB3 2,57 HD2 3,75 HA2 3,56 O 3,34 HD2 2,94 HD3 4,01 HE3 3,79 20 1030_A CZ3 3,63 HD2 2,90 HB3 2,90 HD2 3,66 HA2 3,77 HB2 3,11 HD2 3,07 HD3 4,19 HG3 3,33 21 1030_B CZ3 3,63 HD2 2,90 HB3 2,90 HD2 3,66 HA2 3,77 HB2 3,11 HD2 3,07 HD3 4,19 HG3 3,33 22 1037 CH2 3,29 HD1 3,25 HB3 2,19 HD2 4,17 HA2 3,46 HG3 2,38 HH11 3,02 HH12 2,95 HG3 3,03 23 1118 CZ3 3,71 HD1 3,01 HB3 3,12 HD2 4,83 HA2 3,82 HE3 1,45 HH11 2,14 HH21 3,05 HE2 3,28 24 1090 CH2 3,50 HD2 2,77 HB3 2,87 HD2 3,95 HA2 3,61 HG3 2,69 HE 1,87 HH21 2,38 HE2 2,71 25 1007_1 CH2 3,70 HD1 3,15 HB3 2,06 HD2 3,15 HA2 3,76 HA 2,61 NH1 2,01 HH21 3,34 HG2 3,25 26 1007_2 CH2 3,60 HD1 3,20 HB3 2,21 HD2 3,12 HA2 3,72 HA 2,59 NH1 2,20 NE 3,80 HG3 3,37 27 1149 CZ3 3,27 HD2 2,93 HB3 2,96 HD2 4,39 HA2 3,92 HG2 2,55 HB2 4,48 HH11 4,24 SD 3,25 28 1021_A CZ3 3,96 HD1 2,91 HB3 2,27 HD2 3,43 HA2 3,58 HG2 2,19 HB2 4,48 HD2 5,78 SD 3,50 29 1021_B CZ3 3,95 HD1 2,90 HB3 2,27 HD2 3,45 HA2 3,59 HG2 2,20 HB2 4,47 HD2 5,77 SD 3,50 30 1097_1 CZ3 3,24 HD1 2,89 HB3 3,04 HD2 3,89 HA2 3,46 HG2 2,40 HH11 3,62 HH11 2,96 HG2 3,49 31 1097_2 CZ3 3,09 HD1 3,02 HB3 3,29 HD2 3,56 HA2 3,52 HG2 2,55 HH11 3,42 HH12 3,06 SD 3,13 32 1031_1 CH2 3,81 HD1 3,12 HB3 2,09 HD2 3,68 HA2 3,40 O 3,12 HD3 3,31 HH11 4,78 HG2 4,43 33 1031_2 CH2 3,80 HD1 3,14 HB3 2,00 HD2 3,67 HA2 3,46 O 3,02 HD2 3,25 HD2 4,71 O 4,44 34 1031_3 CH2 3,77 HD1 3,16 HB3 2,21 HD2 3,52 HA2 3,51 O 2,96 HD2 3,12 HH21 4,69 O 4,41 35 1031_4 CH2 3,78 HD1 3,11 HB3 2,18 HD2 3,53 HA2 3,41 O 2,96 HD2 3,18 HD2 4,47 O 4,40 36 1153_A CH2 3,42 HD1 3,23 HB3 2,46 HD2 4,41 HA2 3,41 HG3 2,53 HG3 3,85 HG3 5,84 HG2 3,26 37 1153_B CH2 3,42 HD1 3,23 HB3 2,46 HD2 4,41 HA2 3,41 HG3 2,53 HG3 3,85 HG3 5,84 HG2 3,26 38 1025_1 CZ3 3,64 HD2 3,33 HB3 2,92 HD2 3,34 HA2 3,40 HG3 2,13 HD2 2,63 HD2 3,92 HG2 3,17 39 1025_2 CZ3 3,94 HD1 2,86 HB3 2,64 HD2 3,48 HA2 3,65 HG2 2,04 HD2 2,22 HH11 2,23 HG2 3,76 40 1025_3 CZ2 3,77 HD1 3,29 HB3 1,99 HG2 3,92 HA2 3,28 HG2 2,77 HH22 0,15 HH12 2,66 HG2 3,75 41 1025_4 CZ3 4,11 HD2 2,69 HB3 2,77 HG2 4,73 HA2 3,71 HG2 2,30 HD2 3,03 HH12 1,74 HG2 3,43 42 1025_5 CH2 3,83 HD2 2,96 HB3 3,26 HG2 4,19 HA2 3,45 HG2 2,64 HG3 3,76 HH11 3,56 SD 3,27 43 1025_6 CZ2 4,08 HD1 2,99 HB3 2,70 HG2 3,50 HA2 3,01 O 3,09 HD2 3,57 HD3 3,91 HG2 3,64 44 1089_A CH2 3,57 HD2 2,81 HB3 2,79 HD2 3,90 HA2 3,59 HG3 2,61 HB3 4,55 HD2 5,31 HG3 3,31 45 1089_B CH2 3,57 HD2 2,81 HB3 2,79 HD2 3,90 HA2 3,59 HG3 2,61 HB3 4,55 HD2 5,31 HG3 3,31 46 1012_1 CZ2 3,91 HD2 2,66 HB3 3,15 HD2 4,17 HA2 3,39 HG3 1,78 HH21 2,09 HE 3,57 HG2 3,32 47 1012_2 CH2 3,61 HD1 2,98 HB3 2,57 HD2 3,98 HA2 3,69 HG2 1,87 HH11 1,95 NE 3,50 SD 3,25 48 1078_1 CH2 3,68 HD1 3,30 HB3 2,41 HD2 3,85 HA2 3,66 O 2,97 HD2 3,27 HD3 4,80 HG2 3,50 49 1078_10 CH2 3,89 HD1 3,08 HB3 2,78 HD2 3,66 HA2 3,40 O 3,04 HG3 3,67 HH12 4,55 HG2 3,81 50 1078_11 CH2 3,64 HD1 3,33 HB3 2,38 HD2 3,69 HA2 3,68 HA 3,00 HD2 3,33 HD2 4,87 HG2 3,71 51 1078_12 CH2 3,63 HD1 3,41 HB3 2,36 HD2 3,77 HA2 3,71 O 2,95 HG3 3,99 HH12 5,01 HG2 3,50 52 1078_13 CH2 3,66 HD1 3,31 HB3 2,46 HD2 3,75 HA2 3,63 HA 2,99 HH22 3,72 HH12 4,91 HG2 3,66 53 1078_14 CH2 3,60 HD1 3,36 HB3 2,33 HD2 3,74 HA2 3,63 O 2,94 HG3 3,85 HH12 4,50 HG2 3,46 54 1078_15 CH2 3,62 HD1 3,35 HB3 2,34 HD2 3,75 HA2 3,65 O 2,92 HG3 3,82 HH12 4,35 HG2 3,44 55 1078_16 CH2 3,62 HD1 3,38 HB3 2,38 HD2 3,81 HA2 3,72 O 2,91 HD3 3,38 HH12 4,49 HG2 3,54 56 1078_2 CH2 3,62 HD1 3,35 HB3 2,35 HD2 3,80 HA2 3,67 HA 2,86 HD3 3,38 HH12 4,58 HG2 3,34 57 1078_3 CH2 3,85 HD1 3,07 HB3 2,66 HG2 3,81 HA2 3,42 O 3,08 HD3 3,18 HH12 4,30 HG2 3,79 58 1078_4 CH2 3,63 HD1 3,40 HB3 2,27 HD2 3,78 HA2 3,71 O 2,91 HD3 3,43 HH22 4,75 HG2 3,41 59 1078_5 CH2 3,64 HD1 3,36 HB3 2,31 HD2 3,70 HA2 3,70 O 2,94 HD3 3,42 HH22 4,78 HG2 3,52 60 1078_6 CH2 3,64 HD1 3,36 HB3 2,29 HD2 3,75 HA2 3,71 O 2,91 HD3 3,39 HH12 4,89 HG2 3,53 61 1078_7 CH2 3,70 HD1 3,31 HB3 2,46 HD2 3,81 HA2 3,67 O 2,92 HH12 3,06 HH22 4,82 HG2 3,42 62 1078_8 CH2 3,66 HD1 3,34 HB3 2,31 HD2 3,76 HA2 3,68 HA 2,93 HD3 3,32 HH12 5,00 HG2 3,44 63 1078_9 CH2 3,64 HD1 3,40 HB3 2,41 HD2 3,75 HA2 3,70 O 2,86 HD3 3,54 HH22 5,17 HG2 3,48 64 1145_A CH2 3,75 HD1 3,57 HB3 2,78 HD2 4,21 HA2 3,65 HA 2,98 NE 2,66 HE 2,55 HE2 3,20 65 1145_B CH2 3,75 HD1 3,57 HB3 2,78 HD2 4,21 HA2 3,65 HA 2,98 NE 2,66 HE 2,55 HE2 3,20 66 1050 CH2 3,63 HD1 3,25 HB3 2,37 HD2 3,95 HA2 3,29 HE3 1,47 CZ 2,22 HH21 2,49 HE1 1,56 67 1253 CZ2 3,95 HD1 2,74 HB3 2,80 HD2 3,72 HA2 3,46 HG3 2,41 NH2 1,82 HE 3,25 HG2 3,48 68 1257 CH2 3,67 HD1 2,93 HB3 2,74 HD2 4,08 HA2 3,65 HG3 2,77 HD2 2,81 HH11 2,55 HG3 3,40 69 999_1 CH2 3,48 HD1 2,96 HB3 2,66 HD2 3,94 HA2 3,99 HG2 2,26 HD2 3,21 HD2 4,39 SD 3,11 70 999_2_A CH2 3,40 HD2 3,21 HB3 2,27 HD2 3,82 HA2 3,73 HG3 2,79 HH11 1,60 HH11 3,10 HG2 3,29 71 999_2_B CH2 3,40 HD2 3,21 HB3 2,27 HD2 3,82 HA2 3,73 HG3 2,79 HH11 1,60 HH11 3,10 HG2 3,29 72 1297_1 CH2 3,63 HD2 2,85 HB3 2,48 HD2 3,78 HA2 3,45 HG2 2,30 HH21 1,91 NE 3,76 HG2 3,36 73 1297_2 CH2 3,59 HD2 2,89 HB3 2,43 HD2 3,86 HA2 3,52 HG3 2,40 HD2 2,03 CZ 2,94 HG2 3,16 74 1297_3 CH2 3,70 HD2 2,77 HB3 2,59 HD2 3,81 HA2 3,38 HG3 2,14 HD2 2,04 CZ 2,86 HG2 3,11 75 1297_4 CH2 3,59 HD2 2,91 HB3 2,43 HD2 3,87 HA2 3,52 HG3 2,26 HD2 2,07 CZ 2,94 HG2 3,14 76 1297_5 CH2 3,59 HD2 2,89 HB3 2,45 HD2 3,84 HA2 3,48 HG2 2,76 HD3 2,88 HH11 2,37 HG2 3,37 77 1297_6 CH2 3,70 HD2 2,77 HB3 2,58 HD2 3,89 HA2 3,37 HG3 2,95 HD3 2,83 HH11 2,30 HG2 3,30 78 1304 CH2 3,94 HD2 2,67 HB3 2,51 HD2 3,39 HA2 3,58 HG3 2,32 HH21 1,91 NE 3,62 HG2 3,59 79 1306_1 CH2 3,13 HD1 2,73 HB3 2,43 HG2 3,86 HA2 3,95 HG3 1,89 HB2 4,40 HH11 4,30 HG2 2,63 80 1306_2 CZ2 3,55 HD2 3,00 HB3 2,50 HG2 4,35 HA2 3,56 HG3 2,31 HD3 3,67 HH11 3,19 SD 2,81 81 1307 CZ2 3,92 HD2 2,83 HB3 2,40 HD2 3,30 HA2 3,75 O 3,89 HD3 1,72 HE 3,05 O 5,28 82 1328_1 CH2 4,09 HD1 2,89 HB3 2,57 HD2 3,34 HA2 3,66 HG3 1,94 HH11 2,13 CZ 3,94 HG2 3,33 83 1328_2 CH2 4,11 HD1 2,88 HB3 2,57 HD2 3,42 HA2 3,60 HG3 1,97 NH1 1,93 HE 3,83 HG2 3,33 84 1328_3 CH2 3,95 HD1 2,89 HB3 2,40 HD2 3,31 HA2 3,68 HG3 2,39 HH11 1,88 NE 3,91 SD 3,35 85 1328_4 CH2 3,99 HD1 2,81 HB3 2,60 HD2 3,35 HA2 3,67 HG3 2,56 HH11 1,79 CZ 3,88 HG2 3,37 86 1334 CZ2 3,99 HD2 2,49 HB3 3,19 HG2 3,99 HA2 3,67 HA 3,22 NH1 2,39 HH21 2,89 HG3 3,30 87 1335 CZ3 3,67 HD1 3,02 HB3 2,61 HD2 4,28 HA2 3,61 HG2 2,32 NH1 2,16 HE 3,48 HG2 3,06 88 1338 CH2 3,95 HD2 2,71 HB3 2,70 HD2 3,97 HA2 3,41 HG3 2,23 HD2 2,83 HD3 3,89 SD 3,52 89 1345_1 CZ2 3,73 HD2 3,08 HB3 1,99 HG2 4,30 HA2 4,16 HG3 2,28 HB2 4,41 HH11 4,40 HG2 2,61 90 1345_2 CZ3 3,43 HD1 3,19 HB3 2,43 HD2 3,65 HA2 3,88 HG3 2,44 HD3 3,90 HH11 3,53 HG2 3,14 91 1351 CH2 3,95 HD1 2,76 HB3 3,12 HD2 4,09 HA2 3,43 HG2 2,00 NH1 2,02 HE 3,59 SD 3,56 92 1353 CZ2 3,88 HD2 2,80 HB2 2,14 HD2 3,40 HA2 3,73 HG3 3,02 HD3 1,94 HE 3,51 HG2 3,34 93 1367 CH2 3,76 HD2 2,76 HB2 2,49 HD2 3,60 HA2 3,45 HE3 1,19 HH11 1,94 NE 3,55 HE3 3,97 94 1371 CZ3 3,79 HD2 2,82 HB3 2,49 HD2 3,61 HA2 3,24 O 2,76 HH21 4,08 HH21 4,14 HE2 3,05 95 1372_A CZ2 3,97 HD2 2,69 HB3 2,55 HD2 3,39 HA2 3,70 HG3 2,31 HH21 2,06 HE 3,50 HG2 3,43 96 1372_B CZ2 3,97 HD2 2,69 HB3 2,55 HD2 3,39 HA2 3,70 HG3 2,31 HH21 2,05 HE 3,49 HG2 3,43 97 1373 CZ2 4,01 HD2 2,70 HB3 2,75 HD2 3,33 HA2 3,61 HG3 2,29 HH11 1,95 HE 3,49 HG2 3,49 98 1492 CZ3 3,27 HD1 3,18 HB3 2,95 HD2 3,74 HA2 3,82 HG3 2,74 HD3 2,94 HD3 3,59 HG2 3,00 99 1399 CZ2 4,00 HD2 2,77 HB3 2,91 HD2 3,78 HA2 3,67 HG3 2,32 NH1 1,97 HE 3,51 HG2 3,41 100 1360 CH2 3,66 HD2 2,63 HB3 3,07 HD2 4,29 HA2 3,60 HG3 2,20 HH21 2,01 HE 3,56 HG2 3,42 101 1368 CZ2 4,04 HD1 3,15 HB3 2,97 HD2 4,11 HA2 3,92 HG3 2,92 NH2 1,93 HE 3,35 HG3 3,55 102 1406 CH2 3,90 HD2 2,59 OG 2,95 HD2 3,64 HA2 3,81 HG3 2,37 HE 3,85 HH11 2,90 HG2 3,38 103 1411 CH2 3,99 HD2 2,88 HB3 2,94 HG2 3,54 HA2 3,39 HG3 2,39 HH21 2,01 HE 3,43 HG2 3,39 104 1433 CZ2 3,84 HD2 2,89 HB3 2,81 HD2 4,16 HA2 3,69 HG3 2,51 HD3 1,75 HE 3,17 HG2 3,37 105 1441 CZ2 4,00 HD2 2,92 HB3 2,98 HD2 3,43 HA2 3,56 HG3 2,38 NH2 1,86 HE 3,44 HG2 3,34 106 1435 CH2 3,79 HD2 2,76 HB3 2,95 HD2 3,69 HA2 3,54 HG3 2,37 HH21 1,91 HE 3,47 HG2 3,43 107 1450_A CZ2 3,95 HD2 2,90 HB3 2,76 HD2 3,92 HA2 3,75 HG3 2,75 HH21 1,92 HE 3,38 HG2 3,38 108 1450_B CZ2 3,95 HD2 2,90 HB3 2,76 HD2 3,92 HA2 3,75 HG3 2,75 HH21 1,92 HE 3,38 HG2 3,38 среднее расстояние 3,70 3,01 2,60 3,84 3,61 2,53 2,86 3,77 3,37 стандартное отклонение 0,23 0,25 0,30 0,36 0,21 0,47 0,96 0,89 0,50 минимальное значение 3,09 2,42 1,99 2,97 2,99 1,07 0,15 1,74 0,74 максимальное значение 4,11 3,84 3,32 4,92 4,67 3,89 5,37 5,84 5,28 размер выборки 108 108 108 108 108 108 108 108 108

--->

СПИСОК ПОСЛЕДОВАТЕЛЬНОСТЕЙ

<110> Omeros Corporation

CUTSHALL, Neil S.

GAGE, Jennifer Lynn

GRUSWITZ, Franz A.

KHALAF, Juhienah

LITTLE, Thomas L.

METZ, Markus

NGUYEN, Jeremiah H.

NOLLERT VON SPECHT, Peter Kurt

TSOUNG, Jennifer

CICIRELLI, Michael

GOLDSTEIN, Sara Rebecca

KESHIPEDDY, Santosh Kumar

KWON, Do Yeon

LEMUS, Robert Huerta

VADDELA, Sudheer Babu

<120> ИНГИБИТОРЫ MASP-2

<130> MP.1.0281.PCT

<150> 62/677,472

<151> 2018-05-29

<150> 62/677,538

<151> 2018-05-29

<150> 62/677,495

<151> 2018-05-29

<150> 62/677,514

<151> 2018-05-29

<160> 1

<170> PatentIn version 3.5

<210> 1

<211> 686

<212> БЕЛОК

<213> Homo sapiens

<400> 1

Met Arg Leu Leu Thr Leu Leu Gly Leu Leu Cys Gly Ser Val Ala Thr

1 5 10 15

Pro Leu Gly Pro Lys Trp Pro Glu Pro Val Phe Gly Arg Leu Ala Ser

20 25 30

Pro Gly Phe Pro Gly Glu Tyr Ala Asn Asp Gln Glu Arg Arg Trp Thr

35 40 45

Leu Thr Ala Pro Pro Gly Tyr Arg Leu Arg Leu Tyr Phe Thr His Phe

50 55 60

Asp Leu Glu Leu Ser His Leu Cys Glu Tyr Asp Phe Val Lys Leu Ser

65 70 75 80

Ser Gly Ala Lys Val Leu Ala Thr Leu Cys Gly Gln Glu Ser Thr Asp

85 90 95

Thr Glu Arg Ala Pro Gly Lys Asp Thr Phe Tyr Ser Leu Gly Ser Ser

100 105 110

Leu Asp Ile Thr Phe Arg Ser Asp Tyr Ser Asn Glu Lys Pro Phe Thr

115 120 125

Gly Phe Glu Ala Phe Tyr Ala Ala Glu Asp Ile Asp Glu Cys Gln Val

130 135 140

Ala Pro Gly Glu Ala Pro Thr Cys Asp His His Cys His Asn His Leu

145 150 155 160

Gly Gly Phe Tyr Cys Ser Cys Arg Ala Gly Tyr Val Leu His Arg Asn

165 170 175

Lys Arg Thr Cys Ser Ala Leu Cys Ser Gly Gln Val Phe Thr Gln Arg

180 185 190

Ser Gly Glu Leu Ser Ser Pro Glu Tyr Pro Arg Pro Tyr Pro Lys Leu

195 200 205

Ser Ser Cys Thr Tyr Ser Ile Ser Leu Glu Glu Gly Phe Ser Val Ile

210 215 220

Leu Asp Phe Val Glu Ser Phe Asp Val Glu Thr His Pro Glu Thr Leu

225 230 235 240

Cys Pro Tyr Asp Phe Leu Lys Ile Gln Thr Asp Arg Glu Glu His Gly

245 250 255

Pro Phe Cys Gly Lys Thr Leu Pro His Arg Ile Glu Thr Lys Ser Asn

260 265 270

Thr Val Thr Ile Thr Phe Val Thr Asp Glu Ser Gly Asp His Thr Gly

275 280 285

Trp Lys Ile His Tyr Thr Ser Thr Ala Gln Pro Cys Pro Tyr Pro Met

290 295 300

Ala Pro Pro Asn Gly His Val Ser Pro Val Gln Ala Lys Tyr Ile Leu

305 310 315 320

Lys Asp Ser Phe Ser Ile Phe Cys Glu Thr Gly Tyr Glu Leu Leu Gln

325 330 335

Gly His Leu Pro Leu Lys Ser Phe Thr Ala Val Cys Gln Lys Asp Gly

340 345 350

Ser Trp Asp Arg Pro Met Pro Ala Cys Ser Ile Val Asp Cys Gly Pro

355 360 365

Pro Asp Asp Leu Pro Ser Gly Arg Val Glu Tyr Ile Thr Gly Pro Gly

370 375 380

Val Thr Thr Tyr Lys Ala Val Ile Gln Tyr Ser Cys Glu Glu Thr Phe

385 390 395 400

Tyr Thr Met Lys Val Asn Asp Gly Lys Tyr Val Cys Glu Ala Asp Gly

405 410 415

Phe Trp Thr Ser Ser Lys Gly Glu Lys Ser Leu Pro Val Cys Glu Pro

420 425 430

Val Cys Gly Leu Ser Ala Arg Thr Thr Gly Gly Arg Ile Tyr Gly Gly

435 440 445

Gln Lys Ala Lys Pro Gly Asp Phe Pro Trp Gln Val Leu Ile Leu Gly

450 455 460

Gly Thr Thr Ala Ala Gly Ala Leu Leu Tyr Asp Asn Trp Val Leu Thr

465 470 475 480

Ala Ala His Ala Val Tyr Glu Gln Lys His Asp Ala Ser Ala Leu Asp

485 490 495

Ile Arg Met Gly Thr Leu Lys Arg Leu Ser Pro His Tyr Thr Gln Ala

500 505 510

Trp Ser Glu Ala Val Phe Ile His Glu Gly Tyr Thr His Asp Ala Gly

515 520 525

Phe Asp Asn Asp Ile Ala Leu Ile Lys Leu Asn Asn Lys Val Val Ile

530 535 540

Asn Ser Asn Ile Thr Pro Ile Cys Leu Pro Arg Lys Glu Ala Glu Ser

545 550 555 560

Phe Met Arg Thr Asp Asp Ile Gly Thr Ala Ser Gly Trp Gly Leu Thr

565 570 575

Gln Arg Gly Phe Leu Ala Arg Asn Leu Met Tyr Val Asp Ile Pro Ile

580 585 590

Val Asp His Gln Lys Cys Thr Ala Ala Tyr Glu Lys Pro Pro Tyr Pro

595 600 605

Arg Gly Ser Val Thr Ala Asn Met Leu Cys Ala Gly Leu Glu Ser Gly

610 615 620

Gly Lys Asp Ser Cys Arg Gly Asp Ser Gly Gly Ala Leu Val Phe Leu

625 630 635 640

Asp Ser Glu Thr Glu Arg Trp Phe Val Gly Gly Ile Val Ser Trp Gly

645 650 655

Ser Met Asn Cys Gly Glu Ala Gly Gln Tyr Gly Val Tyr Thr Lys Val

660 665 670

Ile Asn Tyr Ile Pro Trp Ile Glu Asn Ile Ile Ser Asp Phe

675 680 685

<---

Похожие патенты RU2832708C2

название год авторы номер документа
НОВЫЕ КОНЪЮГАТЫ СВЯЗЫВАЮЩЕЕ СОЕДИНЕНИЕ - АКТИВНОЕ СОЕДИНЕНИЕ (ADC) И ИХ ПРИМЕНЕНИЕ 2012
  • Лерхен Ханс-Георг
  • Линден Ларс
  • Эль Шейх Шериф
  • Виллуда Йорг
  • Копитц Шарлотте Кристине
  • Шумахер Иоахим
  • Гревен Зимоне
  • Малерт Кристоф
  • Штельте-Людвиг Беатрикс
  • Гольфир Свен
  • Байер Рудольф
  • Хайслер Иринг
  • Харренга Аксель
  • Тираух Карл-Хайнц
  • Брудер Зандра
  • Петруль Хайке
  • Иориссен Ханна
  • Борковски Зандра
RU2610336C2
ПРОИЗВОДНЫЕ КАЛИХЕАМИЦИНА И ИХ КОНЪЮГАТЫ "АНТИТЕЛО-ЛЕКАРСТВЕННОЕ СРЕДСТВО" 2018
  • Ахмад, Омар Кхалед
  • Браун, Стефен Пол
  • Дирико, Кеннет Джон
  • Дашин, Расселл
  • Филзен, Гари Фредерик
  • Путенвитил, Суджиет
  • Строп, Павел
  • Субраманиам, Чакрапани
  • Тами, Лоренс Н.
RU2732568C1
ПРОИЗВОДНЫЕ ПЕПТИДОВ ДОЛАПРОИН-ДОЛАИЗОЛЕЙИНА 2015
  • Мендельсон Брайан Алан
  • Дюгаль-Теccье Жюльен
  • Барншер Стюарт Дэниел
RU2747989C2
СОЕДИНЕНИЯ, ПРИГОДНЫЕ ДЛЯ ТЕРАПИИ ПРОТИВ ВИЧ 2019
  • Дэ Ла Роса Марта Алисиа
  • Данхэм Ричард М
  • Марголис Дэвид
  • Таи Винсент Уинг-Фаи
  • Танг Джун
RU2806030C2
СОЕДИНЕНИЯ, ИНГИБИРУЮЩИЕ MASP, И ИХ ПРИМЕНЕНИЯ 2020
  • Бирер, Дональд
  • Фламме, Инго
  • Зубов, Дмитрий
  • Нойбауэр, Томас
  • Терштееген, Адриан
  • Юль, Кэтлин
  • Глатц, Мари
  • Дреер, Ян
  • Хольтон, Зимон
  • Терйунг, Карстен
  • Бауманн, Ларс
  • Поетко, Торстен
  • Сюн, Цзяньчэн
  • Цю, Ибо
RU2840441C2
ЦИТОТОКСИЧЕСКИЕ ПЕПТИДЫ И ИХ КОНЪЮГАТЫ АНТИТЕЛО-ЛЕКАРСТВЕННОЕ СРЕДСТВО 2012
  • Дороски Мэттью Дэвид
  • Мадерна Андреас
  • О'Доннелл Кристофер Джон
  • Субраманьям Чакрапани
  • Ветелино Бет Купер
  • Душин Рассел Джордж
  • Строп Павел
  • Грациани Эдмунд Идрис
RU2586885C2
ПРОИЗВОДНЫЕ СЕРИНА В КАЧЕСТВЕ АГОНИСТОВ ГРЕЛИНОВЫХ РЕЦЕПТОРОВ 2015
  • Ивата Ясухиро
  • Кавамура Кийоси
  • Судо Масаки
  • Симада Каору
  • Коидзуми Синити
  • Такахаси Нобуюки
  • Обата Кейко
  • Курода Макико
RU2695649C2
ПРОТИВОГЕЛЬМИНТНЫЕ ДЕПСИПЕПТИДНЫЕ СОЕДИНЕНИЯ 2016
  • Ле Ир Де Фалуа Лоик
  • Пасофски Грегори
  • Лонг Алан
  • Менг Чарльз
  • Ли Хён Ик
RU2715556C2
ПРОИЗВОДНЫЕ 3-(5-ГИДРОКСИ-1-ОКСОИЗОИНДОЛИН-2-ИЛ) ПИПЕРИДИН-2,6-ДИОНА И ИХ ПРИМЕНЕНИЕ В ЛЕЧЕНИИ ЗАБОЛЕВАНИЙ, СВЯЗАННЫХ С БЕЛКОМ С "ЦИНКОВЫМИ ПАЛЬЦАМИ" 2 (IKZF2) СЕМЕЙСТВА IKAROS 2019
  • Эдкок, Клэр
  • Бонацци, Симоне
  • Черниенко, Артем
  • Лам, Филип
  • Линкенс, Кэтрин Тэйлор
  • Малик, Хаснейн Ахмед
  • Томсен, Ноэль Мари-Франс
  • Виссер, Майкл Скотт
RU2797559C2
ПРОТИВОГЕЛЬМИНТНЫЕ ДЕПСИПЕПТИДНЫЕ СОЕДИНЕНИЯ 2016
  • Де Фалуа Лоик Лё Ир
  • Пакофски Грегори
  • Лонг Алан
  • Менг Чарльз
  • Ли Хён Ик
  • Огбу Циприан О.
RU2707298C2

Иллюстрации к изобретению RU 2 832 708 C2

Реферат патента 2024 года ИНГИБИТОРЫ MASP-2 И СПОСОБЫ ИХ ПРИМЕНЕНИЯ

Изобретение относится к соединению формулы (I-1)

или его фармацевтически приемлемой соли, где Cy1A представляет собой замещенный фенил или незамещенный или замещенный 5-10-членный гетероарил; при этом кольцевые атомы 5-10-членного гетероарила, образующего Cy1A, состоят из атомов углерода и 1, 2 или 3 гетероатомов, выбранных из O, N и S, n1 равен 1 или 2 и n2 равен 1, которое обладает MASP-2-ингибирующей активностью, фармацевтической композиции на их основе и применению для получения лекарственного средства для ингибирования MASP-2. Технический результат: получены новые соединения, которые могут быть использованы для получения лекарственного средства для лечения MASP-2-связанных заболеваний или расстройств. 4 н. и 17 з.п. ф-лы, 38 табл., 315 пр., 76 ил.

Формула изобретения RU 2 832 708 C2

1. Соединение формулы (I-1)

или его фармацевтически приемлемая соль,

где Cy1A представляет собой замещенный фенил или незамещенный или замещенный 5-10-членный гетероарил; при этом кольцевые атомы 5-10-членного гетероарила, образующего Cy1A, состоят из атомов углерода и 1, 2 или 3 гетероатомов, выбранных из O, N и S; при этом замещенный C6-10 арил или замещенный 5-10-членный гетероарил, образующие Cy1A, замещены 1, 2 или 3 заместителями, каждый из которых независимо выбирают из RCy1A, галогена, CN, ORa11, C(O)NRc11Rd11, NRc11Rd11, NRc11C(O)Rb11, C(=NRe11)NRc11Rd11, C(=NORa11)NRc11Rd11, C(=NOC(O)Rb11)NRc11Rd11, C(=NRe11)NRc11C(O)ORa11, NRc11S(O)2Rb11 и оксо;

каждый RCy1A независимо выбирают из C1-6 алкила и 5-10-членного гетероарила, при этом кольцевые атомы 5-10-членного гетероарила, образующего RCy1A, состоят из атомов углерода и 1, 2, 3 или 4 гетероатомов N;

R11 представляет собой H или C1-6 алкил, при этом C1-6 алкил, образующий R11, является незамещенным или замещенным C(O)NRc11Rd11; и

R12 представляет собой H или C1-6 алкил; и

A11 представляет собой CR13R15, N-нафтил, N-бензил или N-2-метилбензил; и

каждый R13 независимо представляет собой Cy1B, (CR13AR13B)n3Cy1B, (C1-6 алкилен)Cy1B или OCy1B; и

каждый R13A независимо представляет собой H или C1-6 алкил и

каждый R13B независимо представляет собой H или C1-6 алкил или

R13A и R13B, присоединенные к одному и тому же атому углерода, независимо от любых других групп R13A и R13B, совместно могут образовывать -(CH2)2-5-, тем самым образуя 3-6-членное циклоалкильное кольцо; и

каждый R14 независимо выбирают из H и C1-6 алкила; и

R15 выбирают из H, R13 и OH; и

Cy1B представляет собой незамещенный или замещенный C6-10 арил, незамещенный или замещенный 5-10-членный гетероарил; при этом кольцевые атомы 5-10-членного гетероарила, образующего Cy1B, состоят из атомов углерода и 1, 2 или 3 гетероатомов, выбранных из O, N и S;

при этом замещенный C6-10 арил и замещенный 5-10-членный гетероарил, образующий Cy1B, замещен 1 или 2 заместителями, каждый из которых независимо выбирают из RCy1B, C1-6 галоалкила, CN, ORa11 и NRc11C(O)Rb11; и

каждый RCy1B независимо выбирают из C1-6 алкила, C6-10 арила, 5-10-членного гетероарила, C3-10 циклоалкила, при этом кольцевые атомы 5-10-членного гетероарила, образующего RCy1B, состоят из атомов углерода и 1 или 2 гетероатомов, выбранных из N и S; при этом каждый C1-6 алкил, образующий RCy1B, независимо является незамещенным или замещенным NRc11Rd11 или фенилом; и при этом каждый C6-10 арил и 5-10-членный гетероарил, образующий RCy1B, независимо является незамещенным или замещенным 1 или 2 заместителями, независимо выбранными из галогена, CN, C(O)NRc11Rd11 и NRc11Rd11; и

R16 представляет собой H или C1-6 алкил, при этом C1-6 алкил, образующий R16, является незамещенным или замещенным C(O)ORa11;

Ra11 и Rb11 каждый независимо выбирают из H, C1-6 алкила, C6-10 арила и C6-10 арил-C1-3 алкила, при этом указанный C1-6 алкил, образующий Ra11 и Rb11, каждый, незамещен или замещен 3 атомами галогена;

Rc11 и Rd11 каждый независимо выбран из H, C1-6 алкила, C6-10 арила и C6-10 арил-C1-3 алкила, где указанный C1-6 алкил, образующий Rc11 и Rd11, в каждом случае является незамещенным или замещенным 3 атомами галогена, или

Rc11 и Rd11, присоединенные к одному и тому же атому N, вместе с атомом N, к которому они оба присоединены, образуют 5-членную гетероциклоалкильную группу;

Re11 и Re12 каждый независимо представляет собой H; и

n1 равен 1 или 2; и

n2 равен 1.

2. Соединение или его соль по п. 1, где соединение имеет Формулу (I-2)

3. Соединение или его соль по п. 1, где Cy1A замещен по меньшей мере одним ORa11, C(=NRe11)NRc11Rd11, C(=NORa11)NRc11Rd11, C(=NOC(O)Rb11)NRc11Rd11 или C(=NRe11)NRc11C(O)ORa11.

4. Соединение или его соль по п. 1, где Cy1A представляет собой одну из следующих формул:

где каждый RCy1A, Ra11 и Rb11 независимо представляет собой Н или C1-6 алкил.

5. Соединение или его соль по п. 1, где Cy1A представляет собой одну из следующих формул:

где каждый RCy1A, присоединенный к атому углерода, независимо представляет собой С1-6 алкил и каждый RCy1A, присоединенный к атому азота, представляет собой Н или С1-6 алкил.

6. Соединение или его соль по п. 1, где R11 представляет собой метил.

7. Соединение или его соль по п. 1, где соединение представляет собой одну из следующих Формул (I-3)-(I-9):

8. Соединение или его соль по п. 1, где соединение представляет собой одну из следующих Формул (I-9а)-(I-9z):

9. Соединение или его соль по п. 8, где R13 представляет собой Cy1B, CH2Cy1B, CH2CH2Cy1B или OCy1B и где Cy1B представляет собой замещенный или незамещенный С6-10 арил или замещенный или незамещенный 5-10-членный гетероарил.

10. Соединение или его соль по п. 9, где Cy1B замещен 1 или 2 заместителями, каждый из которых независимо выбран из RCy1B, галогена и C1-6 галогеналкила;

где каждый RCy1B независимо выбран из C1-6 алкила, C6-10 арила или 5-10-членного гетероарила, где каждый C6-10 арил или 5-10-членный гетероарил, образующий RCy1B, незамещен или замещен 1 или 2 заместителями, независимо выбранными из галогена.

11. Соединение или его соль по п. 1, где соединение представляет собой одну из следующих Формул (I-8a)–(I-8z):

12. Соединение или его соль по п. 11, где R13 представляет собой Cy1B, CH2Cy1B, CH2CH2Cy1B или OCy1B и Cy1B представляет собой замещенный или незамещенный C6-10 арил или замещенный или незамещенный 5-10-членный гетероарил.

13. Соединение или его соль по п. 12, где Cy1B замещен 1 или 2 заместителями, каждый из которых независимо выбран из RCy1B, C1-6 галогеналкила, CN, ORa11 и NRc11C(O)Rb11,

где каждый RCy1B независимо выбран из C1-6 алкила, C3-10 циклоалкила, арилалкил, аминоалкила, C6-10 арила, галогена и 5-10 членного гетероарила, где каждый C6-10 арил или 5-10 членный гетероарил, образующий RCy1B, незамещен или замещен 1 или 2 заместителями, независимо выбранными из галогена, CN, C(O)NRc11Rd11 и аминоалкила.

14. Соединение или его соль по п. 1, где R13 представляет собой группу, выбранную из групп следующих формул:

где RCy1B представляет собой H, C1-6 алкил или галоген.

15. Соединение или его соль по п. 1, где каждый R14 представляет собой водород.

16. Соединение или его соль по п. 1, где R15 представляет собой водород.

17. Соединение или его соль по п. 1, где R16 представляет собой водород или незамещенный или замещенный С1-6 алкил.

18. Соединение или его соль по п. 1, имеющее структуру, выбранную из группы, состоящей из:

19. Фармацевтическая композиция, обладающая ингибирующей активностью в отношении маннансвязывающей лектин-ассоциированной сериновой протеазы 2 (MASP-2), включающая эффективное количество соединения по любому из пп. 1-18 или его фармацевтически приемлемой соли и фармацевтически приемлемый носитель или наполнитель.

20. Применение соединения по любому из пп. 1-18 или его фармацевтически приемлемой соли для получения лекарственного средства для ингибирования MASP-2 у пациента.

21. Применение соединения по любому из пп. 1-18 или его фармацевтически приемлемой соли для получения лекарственного средства для лечения MASP-2-связанных заболеваний или расстройств.

Документы, цитированные в отчете о поиске Патент 2024 года RU2832708C2

RONN R et al
Переносная печь для варки пищи и отопления в окопах, походных помещениях и т.п. 1921
  • Богач Б.И.
SU3A1
Bioorganic, Elsevier, Amsterdam, NL, vol
Паровоз для отопления неспекающейся каменноугольной мелочью 1916
  • Драго С.И.
SU14A1
Аппарат для очищения воды при помощи химических реактивов 1917
  • Гордон И.Д.
SU2A1
Стрелочный замыкатель 1922
  • Потресов А.П.
SU544A1
ВРАЩАТЕЛЬНЫЙ АППАРАТ С ТУРБИННЫМ ДВИГАТЕЛЕМ ДЛЯ ГИДРАВЛИЧЕСКОГО БУРЕНИЯ СКВАЖИН 1922
  • Капелюшников М.А.
SU546A1
WO 2012151481 A1, 08.11.2012
Аппарат для очищения воды при помощи химических реактивов 1917
  • Гордон И.Д.
SU2A1
WO 00/55188 A1, 21.09.2000
Экономайзер 0
  • Каблиц Р.К.
SU94A1

RU 2 832 708 C2

Авторы

Катшелл, Нил С.

Гейдж, Дженнифер Линн

Грусвитц, Франц А.

Кхалаф, Джухиенах

Литтл, Томас Л.

Нгуйен, Джеремая Х.

Ноллерт Фон Шпехт, Питер Курт

Тсоунг, Дженнифер

Чичирелли, Майкл

Метц, Маркус

Гольдштейн, Сара Ребекка

Кешипедди, Сантош Кумар

Квон, До Йон

Лемус, Роберт Уэрта

Ваддела, Судхир Бабу

Даты

2024-12-27Публикация

2019-05-28Подача