ПОЛИМЕРЫ ДЛЯ ФОРМОВАНИЯ РАЗДУВОМ С УЛУЧШЕННЫМИ ПРОДОЛЖИТЕЛЬНОСТЬЮ ЦИКЛА, ТЕХНОЛОГИЧЕСКИМИ ХАРАКТЕРИСТИКАМИ И КАЧЕСТВОМ ПОВЕРХНОСТИ Российский патент 2025 года по МПК C08F210/16 C08F110/02 C08F10/02 C08F4/6592 B29C49/00 

Описание патента на изобретение RU2832931C2

УРОВЕНЬ ТЕХНИКИ

Полиолефины, например, гомополимерный и сополимерный полиэтилен высокой плотности (ПЭВП) и сополимерный линейный полиэтилен низкой плотности (ЛПЭНП), могут быть получены с использованием различных комбинаций каталитических систем и способов полимеризации. С использованием каталитических систем на основе хрома можно производить, например, олефиновые полимеры, имеющие хорошую экструдируемость и высокую прочность полимерного расплава, как правило, благодаря их широкому молекулярно-массовому распределению (MWD).

Для некоторых видов целевого назначения может быть целесообразно, чтобы технологические характеристики, продолжительность цикла и прочность расплава были аналогичными технологическим характеристикам олефинового полимера, полученного из каталитической системы на основе хрома, а также улучшены одно или более из следующего: ударная вязкость, ударная прочность и сопротивление растрескиванию под воздействием окружающей среды (ESCR) - и предпочтительно при эквивалентных или более высоких плотностях полимера. Соответственно, данное изобретение направлено, в целом, на эти цели.

СУЩНОСТЬ ИЗОБРЕТЕНИЯ

Этот раздел Сущность изобретения предложен для представления в упрощенной форме выбранных концепций, которые дополнительно описаны ниже в подробном описании. Этот раздел Сущность изобретения не предназначен для определения необходимых или существенных признаков заявленного предмета изобретения. Этот раздел Сущность изобретения также не предназначен для использования для ограничения объема заявленного предмета изобретения.

Данное изобретение, в целом, относится к полимерам этилена (например, сополимерам этилена и α-олефина), характеризующимся плотностью в диапазоне от около 0,952 до около 0,965 г/см3, индексом расплава при повышенном напряжении сдвига (HLMI) в диапазоне от около 5 до около 25 г/10 мин, средневесовой молекулярной массой (Mw) в диапазоне от около 275000 до около 450000 г/моль, среднечисловой молекулярной массой (Mn) в диапазоне от около 15000 до около 40000 г/моль, вязкостью при HLMI (эта @ HLMI или η @ HLMI) в диапазоне от около 1400 до около 4000 Па-с и тангенсом δ (tan d или тангенсом дельта) при 0,1 с-1 в диапазоне от около 0,65 до около 0,98 градуса. Также в данном документе раскрыты и охвачены полимеры этилена, имеющие плотность в диапазоне от около 0,952 до около 0,965 г/см3, HLMI в диапазоне от около 5 до около 25 г/10 мин, Mw в диапазоне от около 275000 до около 450000 г/моль, Mn в диапазоне от около 15000 до около 28000 г/моль и η @ HLMI в диапазоне от около 1400 до около 4000 Па-с. Полимеры этилена, описанные в данном документе, могут быть использованы для производства различных промышленных изделий, например, изделий, формованных раздувом.

Другой аспект этого изобретения относится к двойной каталитической системе, и в этом аспекте двойная каталитическая система может содержать каталитический компонент I, содержащий немостиковое металлоценовое соединение, каталитический компонент II, содержащий мостиковое металлоценовое соединение, активатор и, необязательно, сокатализатор. Еще в одном аспекте предложен способ полимеризации олефинов, и в этом аспекте указанный способ может включать приведение в контакт любой каталитической композиции, раскрытой в данном документе, с олефиновым мономером и необязательным олефиновым сомономером в системе реакторов полимеризации в условиях полимеризации для получения олефинового полимера. Например, олефиновый мономер может представлять собой этилен, а олефиновый сомономер может представлять собой 1-бутен, 1-гексен, 1-октен или их смесь.

Как в приведенном выше разделе Сущность изобретения, так и в последующем подробном описании предложены примеры, которые приведены исключительно для целей пояснения. Соответственно, приведенный выше раздел Сущность изобретения и последующее подробное описание не следует рассматривать как ограничительные. Кроме того, могут быть предложены признаки или варианты, кроме тех, что изложены в данном документе. Например, определенные аспекты и варианты осуществления изобретения могут относиться к разным комбинациям и подкомбинациям признаков, описанным в подробном описании.

КРАТКОЕ ОПИСАНИЕ ГРАФИЧЕСКИХ МАТЕРИАЛОВ

На Фиг. 1 проиллюстрирован график молекулярно-массового распределения полимеров Примеров 1-4.

На Фиг. 2 проиллюстрирован график молекулярно-массового распределения полимеров Примеров 5-8.

На Фиг. 3 проиллюстрирован график молекулярно-массового распределения полимеров Примеров 1, 5 и 9.

ОПРЕДЕЛЕНИЯ

Для более точного понимания терминов, используемых в данном документе, приведены следующие определения. Если не указано иное, то следующие определения применимы к этому изобретению. Если в данном описании используется термин, который конкретно не определен в данном документе, то можно использовать определение из Справочника по химической терминологии ИЮПАК, 2е изд. (1997), если это определение не противоречит какому-либо другому описанию или определению, используемому в данном документе, или не вносит неопределенность, или не делает невозможным какой-либо заявленный объект, к которому применяется это определение. Если какое-либо определение или использование термина, предложенное в каком-либо документе, включенном в данный документ посредством ссылки, противоречит определению или использованию термина, предложенному в данном документе, то предпочтение отдается определению или использованию термина, предложенному в данном документе.

В данном документе отличительные признаки объекта изобретения описаны таким образом, что в рамках конкретных аспектов может рассматриваться комбинация разных отличительных признаков. Для каждого и любого аспекта и/или отличительного признака, описанного в данном документе, подразумеваются все комбинации, которые не влияют отрицательно на конфигурации, композиции и/или способы, описанные в данном документе, при наличии явного описания конкретной комбинации или без него. Кроме того, если явно не указано иное, то любые аспекты и/или отличительные признаки, описанные в данном документе, могут быть объединены для описания заявленных отличительных признаков, соответствующих данному изобретению.

Несмотря на то, что композиции и способы описаны в данном документе как «содержащие» разные компоненты или стадии, композиции и способы также могут «по существу состоять из» или «состоять из» разных компонентов или стадий, если не утверждается иное. Например, каталитическая композиция в соответствии с аспектами данного изобретения может содержать; в альтернативном варианте, может по существу состоять из; или, в альтернативном варианте, может состоять из: каталитического компонента I, каталитического компонента II, активатора и сокатализатора.

Предполагается, что формы единственного числа (соотв. англ. терминам «a», «an», «the» и т. д.) включают альтернативные формы множественного числа, например, по меньшей мере один, если конкретно не указано иное. Например, предполагается, что описание «подложки-активатора» или «металлоценового соединения» охватывает одну (одно), или смеси, или комбинации более чем одной подложки-активатора или одного металлоценового соединения, соответственно, если конкретно не указано иное.

В общем случае, группы элементов указаны при помощи схемы нумерации, указанной в версии Периодической таблицы элементов, опубликованной в Chemical and Engineering News, 63(5), 27, 1985. В некоторых случаях группа элементов может быть указана при помощи общего названия, присвоенного группе; например, щелочные металлы для элементов группы 1, щелочноземельные металлы для элементов группы 2, переходные металлы для элементов групп 3-12 и галогены или галогениды для элементов группы 17.

Также предполагается, что для любого конкретного соединения, описанного в данном документе, представленная(ое) общая(ее) структура или название охватывает все структурные изомеры, конформационные изомеры и стереоизомеры, которые могут существовать при конкретном наборе заместителей, если не указано иное. Таким образом, общая ссылка на соединение включает все структурные изомеры, если явным образом не указано иное; например, общая ссылка на пентан включает н-пентан, 2-метилбутан и 2,2-диметилпропан, при этом общая ссылка на бутильную группу включает н-бутильную группу, втор-бутильную группу, изобутильную группу и трет-бутильную группу. Кроме того, описание общей структуры или названия охватывает все энантиомеры, диастереомеры и другие оптические изомеры как в энантиомерной, так и в рацемической формах, а также смеси стереоизомеров, если по контексту это допускается или требуется. Для любой(ого) конкретной(ого) представленной(ого) формулы или названия любая(ое) представленная(ое) формула или название также включает все конформационные изомеры, региоизомеры и стереоизомеры, которые могут существовать при конкретном наборе заместителей.

Предполагается, что термин «замещенный», если его используют для описания группы, например, замещенного аналога конкретной группы, описывает любой отличный от водорода фрагмент, который формально заменяет атом водорода в указанной группе; и является неограничивающим. Группа или группы также могут быть описаны в данном документе как «незамещенная(ые)» или эквивалентными терминами, например, «не содержащая(ие) заместителей», что относится к исходной группе, в которой отличный от водорода фрагмент не заменяет атом водорода. Если конкретно не указано иное, предполагается, что «замещенный» является неограничивающим и включает неорганические заместители или органические заместители, что понятно специалистам в данной области техники.

Термин «углеводород» как в этом описании, так и в формуле изобретения, относится к соединению, содержащему только атомы углерода и водорода. Могут быть использованы и другие определения, указывающие на наличие конкретных групп в углеводороде (например, галогенированный углеводород указывает на наличие одного или более атомов галогенов, которые заменяют эквивалентное число атомов водорода в углеводороде). Термин «гидрокарбильная группа» используется в данном документе в соответствии с определением, указанным ИЮПАК: одновалентная группа, образованная в результате удаления атома водорода из углеводорода (то есть, группа, содержащая только атомы углерода и водорода). Неограничивающие примеры гидрокарбильных групп включают, помимо прочих групп, алкильную, алкенильную, арильную и аралкильную группы.

Термин «полимер» используется в данном документе в широком значении и включает олефиновые гомополимеры, сополимеры, терполимеры и т. д., а также их сплавы и смеси. Термин «полимер» также включает ударопрочные, блок-сополимеры, привитые, статистические и чередующиеся сополимеры. Сополимер получают из олефинового мономера и одного олефинового сомономера, при этом терполимер получают из олефинового мономера и двух олефиновых сомономеров. Соответственно, «полимер» охватывает сополимеры и терполимеры, полученные из любого олефинового мономера и сомономера(ов), описанных в данном документе. Аналогичным образом, область применения термина «полимеризация» включает гомополимеризацию, сополимеризацию и терполимеризацию. Следовательно, полимер этилена включает гомополимеры этилена, сополимеры этилена (например, сополимеры этилена и α-олефина), терполимеры этилена и т. п., а также их комбинации или смеси. Таким образом, полимер этилена охватывает полимеры, часто обозначаемые в данной области техники как ЛПЭНП (линейный полиэтилен низкой плотности) и ПЭВП (полиэтилен высокой плотности). Например, олефиновый сополимер, например, сополимер этилена, может быть получен из этилена и сомономера, например, 1-бутена, 1-гексена или 1-октена. Если мономер и сомономер представляли собой этилен и 1-гексен, соответственно, то полученный полимер может быть классифицирован как сополимер этилена и 1-гексена. Термин «полимер» также включает все возможные геометрические конфигурации, если не указано иное, и такие конфигурации могут включать изотактическую, синдиотактическую и случайную симметрии. Кроме того, если не указано иное, предполагается, что термин «полимер» также включает полимеры с любой молекулярной массой, в том числе полимеры с более низкой молекулярной массой.

Термин «сокатализатор», в целом, используется в данном документе для описания соединений, например, алюмоксановых соединений, борорганических или бораторганических соединений, ионизирующих ионных соединений, алюминийорганических соединений, цинкорганических соединений, магнийорганических соединений, литийорганических соединений и аналогичных соединений, которые могут входить в состав одного компонента каталитической композиции при использовании, например, совместно с подложкой-активатором. Термин «сокатализатор» используется независимо от фактической функции соединения или любого химического механизма, посредством которого соединение может действовать.

Термины «химически обработанный твердый оксид», «обработанное твердое оксидное соединение» и подобные термины используются в данном документе для обозначения твердого неорганического оксида с относительно высокой пористостью, который может иметь свойства кислоты Льюиса или кислоты Бренстеда, который обработан электроноакцепторным компонентом, как правило, анионом, и который прокаливают. Электроноакцепторный компонент, как правило, представляет собой соединение-источник электроноакцепторного аниона. Таким образом, химически обработанный твердый оксид может содержать прокаленный продукт приведения в контакт по меньшей мере одного твердого оксида по меньшей мере с одним соединением-источником электроноакцепторного аниона. Как правило, химически обработанный твердый оксид содержит по меньшей мере одно кислотное соединение твердого оксида. «Подложка-активатор» по данному изобретению может представлять собой химически обработанный твердый оксид. Термины «подложка» и «подложка-активатор» используются не для указания на то, что эти компоненты являются инертными, и такие компоненты не должны рассматриваться в качестве инертного компонента каталитической композиции. Термин «активатор» в контексте данного документа относится, в целом, к веществу, которое может превращать металлоценовый компонент в катализатор, который может полимеризовать олефины, или может превращать продукт приведения в контакт металлоценового компонента с компонентом, который обеспечивает активируемый лиганд (например, алкил, гидрид) для металлоцена, если металлоценовое соединение еще не содержит такой лиганд, в катализатор, который может полимеризовать олефины. Этот термин используется независимо от фактического механизма активации. Иллюстративные активаторы включают подложки-активаторы, алюмоксаны, борорганические или бораторганические соединения, ионизирующие ионные соединения и аналогичные соединения. Алюмоксаны, борорганические или бораторганические соединения и ионизирующие ионные соединения, в целом, называют активаторами, если их применяют в каталитической композиции, в которой отсутствует подложка-активатор. Если каталитическая композиция содержит подложку-активатор, то алюмоксан, борорганическое или бораторганическое соединение и ионизирующие ионные материалы, как правило, называют сокатализаторами.

Термин «металлоцен» в контексте данного документа описывает соединения, содержащие по меньшей мере один фрагмент типа ƞ35-циклоалкадиенила, где ƞ35-циклоалкадиенильные фрагменты включают циклопентадиенильные лиганды, инденильные лиганды, флуоренильные лиганды и аналогичные фрагменты, включая частично насыщенные или замещенные производные, или аналоги любого из этих фрагментов. Возможные заместители этих лигандов могут включать H, таким образом, это изобретение содержит лиганды, например, тетрагидроинденил, тетрагидрофлуоренил, октагидрофлуоренил, частично насыщенный инденил, частично насыщенный флуоренил, замещенный частично насыщенный инденил, замещенный частично насыщенный флуоренил и аналогичные лиганды. В некоторых контекстах металлоцен называется просто «катализатором», во многом схожим образом термин «сокатализатор» в контексте данного документа относится, например, к алюминийорганическому соединению.

Термины «каталитическая композиция», «каталитическая смесь», «каталитическая система» и аналогичные термины не зависят от фактического продукта или композиции, образующихся в результате приведения в контакт или во взаимодействие исходных компонентов описанной или заявленной каталитической композиции/смеси/системы, природы активного каталитического участка или изменения сокатализатора, каталитического компонента I, каталитического компонента II или активатора (например, подложки-активатора), после объединения этих компонентов. Таким образом, термины «каталитическая композиция», «каталитическая смесь», «каталитическая система» и аналогичные термины охватывают начальные исходные компоненты композиции, а также любой(ые) продукт(ы), который(е) может(гут) образовываться в результате приведения в контакт этих начальных исходных компонентов, и это включает как гетерогенные, так и гомогенные каталитические системы или композиции. Термины «каталитическая композиция», «каталитическая смесь», «каталитическая система» и аналогичные термины могут быть использованы в данном изобретении взаимозаменяемо.

Термин «продукт приведения в контакт» в данном документе описывает композиции, в которых компоненты приводят в контакт друг с другом в любом порядке любым способом и в течение любого периода времени, если конкретно не указано иное. Например, компоненты могут быть приведены в контакт посредством перемешивания или смешения. Кроме того, приведение какого-либо компонента в контакт можно проводить в присутствии или в отсутствие какого-либо другого компонента композиций, описанных в данном документе. Объединение дополнительных материалов или компонентов можно проводить любым подходящим способом. Кроме того, термин «продукт приведения в контакт» включает смеси, компаунды, растворы, суспензии, продукты взаимодействия и аналогичные продукты или их комбинации. Хотя «продукт приведения в контакт» может включать продукты взаимодействия, соответствующие компоненты не обязательно должны взаимодействовать друг с другом. Аналогично, термин «приведение в контакт» в данном документе относится к материалам, которые могут быть перемешаны, смешаны, суспендированы, растворены, приведены во взаимодействие, обработаны или каким-либо иным образом объединены.

Хотя любые способы, устройства и материалы, аналогичные или эквивалентные тем, что описаны в данном документе, могут быть использованы для реализации или исследования изобретения, типовые способы, устройства и материалы описаны в данном документе.

Содержание всех публикаций и патентов, упомянутых в данном документе, включено в данный документ посредством ссылки с целью описания и раскрытия, например, конструкций и методик, которые описаны в публикациях, которые могут быть использованы в связи с описанным в данном документе изобретением.

В данном изобретении описано несколько типов диапазонов. Если описан или заявлен диапазон какого-либо типа, то задачей является описание или заявка по отдельности каждого возможного числового значения, которое может быть обоснованно включено в указанный диапазон, включая конечные точки диапазона, а также любые включенные в них поддиапазоны и комбинации поддиапазонов. Например, если описан или заявлен химический фрагмент, содержащий определенное число атомов углерода, то задачей является описание или заявка по отдельности каждого возможного числа, которое может быть включено в указанный диапазон, в соответствии с изобретением, описанным в данном документе. Например, описание фрагмента, представляющего собой C1-C18 гидрокарбильную группу, или, в качестве альтернативной формулировки, гидрокарбильную группу, содержащую от 1 до 18 атомов углерода, в контексте данного документа относится к фрагменту, который может содержать 1, 2, 3, 4, 5, 6, 7, 8, 9, 10, 11, 12, 13, 14, 15, 16, 17 или 18 атомов углерода, а также любой диапазон между двумя из указанных чисел (например, к C1-C8 гидрокарбильной группе), а также включает любую комбинацию диапазонов между двумя из указанных чисел (например, к C2-C4 и C12-C16 гидрокарбильной группе).

Аналогично, следует другой типовой пример отношения Mw/Mn этиленового полимера в соответствии с аспектами данного изобретения. Задачей описания отношения Mw/Mn, которое может находиться в диапазоне от около 10 до около 20, является указание на то, что данное отношение Mw/Mn может представлять собой любое отношение в указанном диапазоне и, например, может составлять около 10, около 11, около 12, около 13, около 14, около 15, около 16, около 17, около 18, около 19 или около 20. Кроме того, отношение Mw/Mn может находиться в любом диапазоне от около 10 до около 20 (например, от около 10 до около 18) и также включает любую комбинацию диапазонов от около 10 до около 20 (например, отношение Mw/Mn может находиться в диапазоне от около 10 до около 14 или от около 16 до около 19). Кроме того, во всех случаях, когда «около» стоит при конкретном значении, данное значение раскрыто как таковое. Таким образом, указание на то, что отношение Mw/Mn может составлять от около 10 до около 20, также описывает отношение Mw/Mn от 10 до 20 (например, от 10 до 18) и также включает любую комбинацию диапазонов в интервале между 10 до 20 (например, отношение Mw/Mn может находиться в диапазоне от 10 до 14 или от 16 до 19). Аналогично, все другие диапазоны, раскрытые в данном документе, следует толковать так же, как и эти примеры.

Термин «около» означает, что количества, размеры, составы, параметры и другие количественные величины и характеристики не являются и не должны быть точными, но могут представлять собой приблизительные значения и/или быть большими или меньшими, при желании, отражающими допустимые отклонения, коэффициенты пересчета, округления, погрешности измерения и т. д., и другие факторы, известные специалистам в данной области техники. В целом, количество, размер, состав, параметр или другая количественная величина или характеристика являются «около» или «приблизительными» независимо от того, указано это в явном виде, или нет. Термин «около» также охватывает количества, которые различаются вследствие разных равновесных условий в композициях, полученных из конкретной исходной смеси. Пункты формулы изобретения включают эквиваленты количественных величин независимо от того, модифицированы они термином «около» или нет. Термин «около» может обозначать в пределах 10% от указанного числового значения, предпочтительно в пределах 5% от указанного числового значения.

ПОДРОБНОЕ ОПИСАНИЕ СУЩНОСТИ ИЗОБРЕТЕНИЯ

Данное изобретение относится, в целом, к двойным металлоценовым каталитическим системам, к способам применения каталитических систем при полимеризации олефинов, к полимерным смолам, полученным с использованием таких каталитических систем, и к изделиям, изготовленным с использованием этих полимерных смол. В частности, данное изобретение относится к полимерам на основе этилена, имеющим превосходные ESCR и прочностные свойства, но с улучшенными технологическими характеристиками и уменьшенной продолжительностью цикла в областях применения формования раздувом. Изделия, изготовленные из этих полимеров на основе этилена, имеют внутренние и внешние поверхности, которые практически не имеют дефектов.

Обычные смолы на основе хрома для формования раздувом, как правило, имеют широкий MWD, приемлемые разбухание экструдируемого потока/весовую набухаемость, высокую прочность расплава и, в целом, отличные технологические характеристики на широком диапазоне оборудования для формования раздувом. Несмотря на эти преимущества, желательно улучшить ударную вязкость, ударную прочность и ESCR. Полимеры на основе этилена, описанные в данном документе, в определенных аспектах могут обеспечить такие улучшения наряду с простотой обработки, как правило, связанной с обычными смолами на основе хрома (например, приемлемые разбухание экструдируемого потока/весовую набухаемость, высокую прочность расплава, хорошие технологические характеристики и т. д.). Например, описанные в данном документе полимеры этилена обладают значительно лучшими ESCR-свойствами, чем обычные смолы на основе хрома, и неожиданно могут быть превращены в формованные раздувом изделия при меньшей продолжительности цикла, чем у обычных смол на основе хрома. Выгодно, что меньшая продолжительность цикла может привести к более высокой производительности (больше деталей, полученных выдувным формованием в час), что приведет к более высокой рентабельности.

Выгодно, что описанные в данном документе полимеры этилена также обеспечивают улучшения по сравнению с другими смолами на основе металлоцена для формования раздувом. Например, при формовании раздувом крупных деталей, например, продукции для хранения на открытом воздухе (например, панелей для стен подсобного сооружения) и игрового оборудования на открытом воздухе (например, байдарок, стоек для баскетбольных ворот), с использованием обычных смол для выдувного формования на основе металлоцена производят детали с хорошей прочностью/ударной вязкостью, но с некоторыми недостатками. Во-первых, происходит чрезмерное разбухание экструдируемого потока/весовая набухаемость, что приводит к переполнению формы. Во-вторых, отрицательно сказываются технологические характеристики экструзии из-за высокого противодавления, снижения производительности экструзии и более длительной продолжительности цикла. Наконец, внешний вид поверхности часто является неприемлемым, с наличием полос на поверхности, шероховатостью поверхности или другими дефектами поверхности, которые могут сделать деталь, полученную выдувным формованием, непригодной для продажи.

Неожиданно было обнаружено, что комбинация полимерных свойств описанных в данном документе полимеров этилена приводит к улучшениям по сравнению с обычными смолами на основе хрома и металлоцена для формования раздувом, в частности, для больших деталей, формованных раздувом. Молекулярно-массовые свойства смолы - например, отражаемые Mw и HLMI - должны быть достаточно высокими, чтобы обеспечить прочность расплава, подходящую для больших деталей, формованных раздувом, с гораздо более строгими требованиями, чем для небольших изделий, формованных раздувом, например, молочных бутылок. Однако вязкость расплава при высоких скоростях сдвига - например, отражаемая η @ HLMI - не может быть слишком высокой, иначе это отрицательно скажется на технологических характеристиках экструзии (высокое противодавление и температура расплава) и продолжительности цикла. Кроме того, не желая ограничиваться следующей теорией, считается, что объединенные полимерные свойства HLMI, Mw, Mn, η @ HLMI и/или tan δ могут привести к желаемому разбуханию экструдируемого потока и превосходной эстетике поверхности сформованных раздувом деталей.

ЭТИЛЕНОВЫЕ ПОЛИМЕРЫ

В целом, полимеры, раскрытые в данном документе, представляют собой полимеры на основе этилена или полимеры этилена, включая гомополимеры этилена, а также сополимеры, терполимеры и т. д. этилена и по меньшей мере одного олефинового сомономера. Сомономеры, которые могут быть сополимеризованы с этиленом, часто могут содержать от 3 до 20 атомов углерода в своей молекулярной цепи. Например, типичные сомономеры могут включать, но не ограничиваются ими, пропилен, 1-бутен, 1-пентен, 1-гексен, 1-гептен, 1-октен и аналогичные сомономеры или их комбинации. В одном аспекте, олефиновый сомономер может содержать C3-C18 олефин; в альтернативном варианте, олефиновый сомономер может содержать C3-C10 олефин; в альтернативном варианте, олефиновый сомономер может содержать C4-C10 олефин; в альтернативном варианте, олефиновый сомономер может содержать C3-C10 α-олефин; в альтернативном варианте, олефиновый сомономер может содержать C4-C10 α-олефин; в альтернативном варианте, олефиновый сомономер может содержать 1-бутен, 1-гексен, 1-октен или любую их комбинацию; или в альтернативном варианте, сомономер может содержать 1-гексен. Как правило, количество сомономера в пересчете на общую массу мономера (этилена) и сомономера может находиться в диапазоне от около 0,01 до около 20% мас., от около 0,1 до около 10% мас., от около 0,5 до около 15% мас., от около 0,5 до около 8% мас. или от около 1 до около 15% мас.

В одном аспекте, этиленовый полимер по этому изобретению может содержать сополимер этилена и α-олефина, при этом в другом аспекте этиленовый полимер может содержать гомополимер этилена, и еще в одном аспекте, этиленовый полимер по этому изобретению может содержать сополимер этилена и α-олефина и гомополимер этилена. Например, этиленовый полимер может содержать сополимер этилена и 1-бутена, сополимер этилена и 1-гексена, сополимер этилена и 1-октена, гомополимер этилена или любую их комбинацию; в альтернативном варианте, сополимер этилена и 1-бутена, сополимер этилена и 1-гексена, сополимер этилена и 1-октена или любую их комбинацию; или в альтернативном варианте, сополимер этилена и 1-гексена.

Иллюстративный и неограничивающий пример полимера этилена (например, содержащий сополимер этилена), соответствующий данному изобретению, может иметь плотность в диапазоне от около 0,952 до около 0,965 г/см3, индекс расплава при повышенном напряжении сдвига (HLMI) в диапазоне от около 5 до около 25 г/10 мин, средневесовую молекулярную массу (Mw) в диапазоне от около 275000 до около 450000 г/моль, среднечисловую молекулярную массу (Mn) в диапазоне от около 15000 до около 40000 г/моль, вязкость при HLMI (эта @ HLMI или η @ HLMI) в диапазоне от около 1400 до около 4000 Па-с и tan δ (tan d или тангенс дельта) при 0,1 с-1 в диапазоне от около 0,65 до около 0,98 градусов. Другой иллюстративный и неограничивающий пример полимера этилена, соответствующий данному изобретению, может иметь плотность в диапазоне от около 0,952 до около 0,965 г/см3, HLMI в диапазоне от около 5 до около 25 г/10 мин, Mw в диапазоне от около 275000 до около 450000 г/моль, Mn в диапазоне от около 15000 до около 28000 г/моль и η @ HLMI в диапазоне от около 1400 до около 4000 Па-с. Эти иллюстративные и неограничивающие примеры полимеров этилена, соответствующих данному изобретению, также могут иметь любые из свойств полимера, перечисленных ниже, и в любой комбинации, если не указано иное.

Плотности полимеров на основе этилена, раскрытые в данном документе, часто превышают или равны около 0,95 г/см3, например, превышают или равны около 0,952 г/см3 или превышают или равны около 0,954 г/см3. Также, в конкретных аспектах, плотность может находиться в диапазоне от около 0,952 до около 0,962 г/см3, от около 0,952 до около 0,96 г/см3, от около 0,954 до около 0,965 г/см3, от около 0,954 до около 0,962 г/см3 или от около 0,954 до около 0,96 г/см3.

Этиленовые полимеры, описанные в данном документе, часто могут иметь индекс расплава (MI) менее чем или равный около 1 г/10 мин, менее чем или равный около 0,7 г/10 мин, или менее чем или равный около 0,6 г/10 мин. В дополнительных аспектах, этиленовые полимеры, описанные в данном документе, могут иметь индекс расплава (MI) менее чем или равный около 0,4 г/10 мин, менее чем или равный около 0,3 г/10 мин, менее чем или равный около 0,2 г/10 мин, или менее чем или равный около 0,1 г/10 мин.

Не ограничиваясь указанными значениями, этиленовый полимер может иметь индекс расплава при повышенном напряжении сдвига (HLMI) в диапазоне от около 5 до около 25 г/10 мин; в альтернативном варианте, от около 5 до около 20 г/10 мин; в альтернативном варианте, от около 5 до около 18 г/10 мин; в альтернативном варианте, от около 6 до около 18 г/10 мин; в альтернативном варианте, от около 6 до около 16 г/10 мин; или в альтернативном варианте, от около 7 до около 15 г/10 мин.

В одном аспекте, этиленовые полимеры, описанные в данном документе, могут иметь отношение Mw/Mn, или коэффициент полидисперсности, в диапазоне от около 7 до около 20, от около 7 до около 18, от около 8 до около 20, от около 8 до около 18, от около 10 до около 20, от около 10 до около 18 или от около 11 до около 17. Дополнительно или в альтернативном варианте, этиленовый полимер может иметь отношение Mz/Mw в диапазоне от около 4 до около 9, от около 4,5 до около 8, от около 4,5 до около 7,5 или от около 5 до около 7.

В одном аспекте, этиленовые полимеры, описанные в данном документе, могут иметь средневесовую молекулярную массу (Mw) в диапазоне от около 275000 до около 425000, от около 275000 до около 400000, от около 300000 до около 450000, от около 300000 до около 425000, от около 300000 до около 400000, от около 325000 до около 450000, от около 325000 до около 425000 или от около 325000 до около 400000 г/моль. Дополнительно или в альтернативном варианте, этиленовый полимер может иметь среднечисловую молекулярную массу (Mn) в диапазоне от около 15000 до около 40000, от около 15000 до около 35000, от около 15000 до около 28000, от около 17000 до около 40000, от около 17000 до около 35000 или от около 17000 до около 27000 г/моль. Дополнительно или в альтернативном варианте, этиленовый полимер может иметь z-среднюю молекулярную массу (Mz) в диапазоне от около 1500000 до около 3000000, от около 1750000 до около 3000000, от около 1500000 до около 2750000, от около 1750000 до около 2750000 или от около 1850000 до около 2750000 г/моль. Дополнительно или в альтернативном варианте, этиленовый полимер может иметь пиковую молекулярную массу (Mp) в диапазоне от около 45000 до около 85000, от около 45000 до около 65000, от около 50000 до около 80000 или от около 50000 до около 62000 г/моль.

Этиленовые полимеры согласно некоторым аспектам изобретения часто могут иметь бимодальное молекулярно-массовое распределение (определенное методом гельпроникающей хроматографии (ГПХ) или с использованием другого связанного с этим аналитического метода). Часто при бимодальном молекулярно-массовом распределении между пиками есть впадина, и пики могут быть разделены или развернуты. Как правило, бимодальное молекулярно-массовое распределение может быть охарактеризовано, как имеющее идентифицируемый компонент с высокой молекулярной массой (или распределение) и идентифицируемый компонент с низкой молекулярной массой (или распределение). Иллюстративные одномодальные кривые MWD и бимодальные кривые MWD показаны в патенте США № 8,383,754, включенном в данный документ в полном объеме посредством ссылки.

Не ограничиваясь этим, этиленовые полимеры, описанные в данном документе, могут иметь вязкость при нулевом сдвиге при 190 oC, большую или равную около 5×105, большую или равную около 7,5×105, большую или равную около 1 х 106 или в диапазоне от около 1 х 106 до около 1 х 107 Па-с. Дополнительно или в альтернативном варианте, эти этиленовые полимеры могут иметь параметр CY-a от около 0,1 до около 0,45, от около 0,15 до около 0,4, от около 0,18 до около 0,36 или от около 0,2 до около 0,35 и т. п. Дополнительно или в альтернативном варианте, эти этиленовые полимеры могут характеризоваться вязкостью при HLMI (эта @ HLMI или η @ HLMI) при 190°C в диапазоне от около 1400 до около 4000 Па-с и, чаще, в диапазоне от около 1500 до около 4000, от около 1600 до около 4000, от около 1400 до около 3900, от около 1500 до около 3900 или от около 1600 до около 3900 Па-с. Дополнительно или в альтернативном варианте, эти этиленовые полимеры могут иметь вязкость при 100 с-1 (эта @ 100 или η @ 100) при 190°C в диапазоне от около 1500 до около 3000, от около 1600 до около 2800, от около 1700 до около 2700, от около 1650 до около 2650 или от около 1750 до около 2500 Па-с. Дополнительно или в альтернативном варианте, эти этиленовые полимеры могут иметь соотношение η @ 0,1 к η @ 100 (вязкость при 0,1 с-1, разделенная на вязкость при 100 с-1) в диапазоне от около 50 до около 150, от около 60 до около 130, от около 85 до около 130 или от около 90 до около 120. Дополнительно или в альтернативном варианте, эти этиленовые полимеры могут иметь tan δ (tan d или тангенс дельта) при 0,1 с-1 и 190°C в диапазоне от около 0,65 до около 0,98 градусов и, чаще, от около 0,7 до около 0,98 градусов, от около 0,7 до около 0,95 градусов, от около 0,8 до около 0,98 градусов или от около 0,82 до около 0,97 градусов. Эти реологические параметры определяют по данным вязкости, измеренной при 190°C с использованием эмпирической модели Карро-Ясуда (CY), как описано в данном документе.

Как правило, этиленовые полимеры в аспектах данного изобретения являются по существу линейными или имеют очень низкие уровни длинноцепочечного разветвления, как правило, с менее чем около 0,01 длинноцепочечных разветвлений (LCB) на 1000 общих атомов углерода - с использованием модели Янцена-Колби - и часто аналогичны по содержанию LCB полимерам, показанным, например, в патентах США № 7,517,939, 8,114,946 и 8,383,754, которые включены в данный документ в полном объеме посредством ссылки. В некоторых аспектах, количество LCB на 1000 общих атомов углерода может составлять менее чем около 0,008, менее чем около 0,007, менее чем около 0,005 или менее чем около 0,003 LCB на 1000 общих атомов углерода.

Этиленовые сополимеры, например, полученные с применением способов полимеризации и каталитических систем, описанных в данном документе, в некоторых аспектах имеют убывающее распределение сомономера, в целом, в компоненты полимера с более высокой молекулярной массой встроено большее количество сомономера по сравнению с компонентами с более низкой молекулярной массой. Как правило, происходит увеличение включения сомономера с увеличением молекулярной массы. В одном аспекте, число короткоцепочечных разветвлений (SCB) на 1000 общих атомов углерода в полимере может быть больше для Mw, чем для Mn. В другом аспекте, число SCB на 1000 общих атомов углерода в полимере может быть больше для Mz, чем для Mw. Еще в одном аспекте, число SCB на 1000 общих атомов углерода в полимере может быть больше для Mz, чем для Mn.

В соответствии с аспектами этого раскрытия, этиленовые полимеры могут иметь сопротивление растрескиванию под воздействием окружающей среды (ESCR) по меньшей мере 250 часов. Более того, в некоторых аспектах, этиленовые полимеры, раскрытые в данном документе, могут иметь ESCR по меньшей мере 500 часов, по меньшей мере 750 часов, по меньшей мере 1000 часов, по меньшей мере 1500 часов, по меньшей мере 1750 часов или по меньшей мере 2000 часов, и часто могут находиться в диапазоне от 2500 до 4000 часов. Испытание на ESCR, как правило, останавливается по прошествии определенного количества часов, и, учитывая большую продолжительность испытания, верхний предел ESCR (в часах), как правило, не определяется. Проведение испытания на ESCR и результаты испытания, раскрытые в данном документе, соответствуют ASTM D1693, условие B, 10% игепал, и является гораздо более обязательным испытанием, чем проведение испытания на ESCR, выполняемое с использованием 100% раствора игепала.

Не ограничиваясь этим, описанные в данном документе этиленовые полимеры могут иметь IVc (характеристическую вязкость, определяемую методом GPC), которая, как правило, находится в диапазоне от около 2,9 до около 3,7, от около 3 до около 3,6 или от около 3,1 до около 3,5 дл/г. Дополнительно или в альтернативном варианте, эти этиленовые полимеры могут иметь отношение Mn/IVc (Mn в кг/моль и IVc в дл/г), как правило, в диапазоне от около 5,5 до около 12, от около 6 до около 10, от около 5,5 до около 8,2 или от около 6 до около 8.

Аспекты этого изобретения также относятся к характеристикам этиленового полимера (например, сополимера этилена и 1-гексена) на типичном оборудовании для формования раздувом, как описано в данном документе ниже. Этиленовые полимеры, описанные в данном документе, могут иметь продолжительность цикла от около 150 до около 300, от около 150 до около 275, от около 160 до около 280 или от около 160 до около 260 секунд; неожиданно эти полимеры могут иметь продолжительность цикла меньше, чем у сопоставимых смол на основе хрома. Дополнительно или в альтернативном варианте, этиленовые полимеры, описанные в данном документе, могут иметь частичную массу в диапазоне от около 1800 до около 2500, от около 1800 до около 2200, от около 1800 до около 2100, от около 1850 до около 2100 или от около 1850 до около 2050 грамм. Дополнительно или в альтернативном варианте, этиленовые полимеры, описанные в данном документе, могут иметь рабочую поверхность (верх) в диапазоне от около 9,3 до около 10,5, от около 9,5 до около 10,5 или от около 9,6 до около 10,3 дюймов (от около 23,6 до около 26,7, от около 24,1 до около 26,7 или от около 24,4 до около 26,2 сантиметров).

В одном аспекте, этиленовый полимер, описанный в данном документе, может представлять собой продукт реактора (например, единственный продукт реактора), а, например, не полученную после извлечения из реактора смесь двух полимеров, например, имеющих разные молекулярно-массовые характеристики. Специалисту в данной области техники будет очевидно, что могут быть получены физические смеси двух разных полимерных смол, но это требует дополнительной обработки и связано со сложностями, которые отсутствуют в случае продукта реактора.

Более того, этиленовые полимеры могут быть получены с использованием двойных металлоценовых каталитических систем, содержащих цирконий и/или гафний, что дополнительно рассмотрено ниже. Катализаторы Циглера-Натта и каталитические системы на основе хрома не требуются. Таким образом, этиленовый полимер может содержать не поддающиеся измерению количества хрома или титана (остаток катализатора), т. е. менее чем 0,1 м. д. мас. В некоторых аспектах, этиленовый полимер может содержать, независимо, менее 0,08 м. д., менее 0,05 м. д. или менее 0,03 м. д. хрома и титана.

ИЗДЕЛИЯ И ПРОДУКЦИЯ

Промышленные изделия могут быть изготовлены из и/или могут содержать олефиновые полимеры (например, этиленовые полимеры) по данному изобретению, и, соответственно, включены в данный документ. Например, изделия, которые могут содержать полимеры по данному изобретению, могут включать, но не ограничиваются ими, сельскохозяйственную пленку, автомобильную деталь, бутылку, контейнер для химических веществ, барабан, волокно или ткань, пленку или контейнер для упаковки пищевых продуктов, изделие для предприятий общественного питания, топливный бак, геомембрану, бытовой контейнер, вкладыш, формованный продукт, медицинское устройство или материал, продукт для открытого хранения (например, панели для стен уличного подсобного сооружения), оборудование для игр на открытом воздухе (например, байдарки, стойки для баскетбольных ворот), трубу, лист или ленту, игрушку или дорожное заграждение, и аналогичные изделия. Для изготовления этих изделий можно применять разные способы. Неограничивающие примеры этих способов включают литье под давлением, формование раздувом, центробежное формование, экструзию пленки, экструзию листов, экструзию профилей, термоформование и аналогичные способы. Кроме того, к этим полимерам часто добавляют добавки и модификаторы для того, чтобы обеспечить эффективную обработку полимера или эффективные параметры конечной продукции. Такие способы и материалы описаны в Modern Plastics Encyclopedia, Mid-November 1995 Issue, том 72, No. 12; и Film Extrusion Manual - Process, Materials, Properties, TAPPI Press, 1992; описание которых включено в данный документ в полном объеме посредством ссылки. В некоторых аспектах этого изобретения промышленное изделие может содержать любой из олефиновых полимеров (или этиленовых полимеров), описанных в данном документе, и указанное промышленное изделие может представлять собой или может содержать продукцию, изготовленную формованием раздувом.

Обеспечивает преимущество то, что изделия (например, формованные раздувом изделия), сформированные из описанных этиленовых полимеров или содержащие их, обладают превосходным качеством поверхности или эстетикой поверхности. Это можно количественно оценить, как описано в приведенных ниже примерах. В целом, рассматриваемые в данном документе изделия (например, формованные раздувом изделия) могут иметь менее 10 выступов или серьезных дефектов поверхности в изделии, при этом в некоторых аспектах менее 5 или менее 2 выступов или серьезных дефектов поверхности, и в конкретных аспектах только 1 выступ или серьезный дефект поверхности, или нулевые выступы или серьезные дефекты поверхности в изделии.

В данном документе также рассматривается способ формования или изготовления промышленного изделия, содержащего любой полимер, раскрытый в данном документе. Например, способ может включать (i) приведение каталитической композиции в контакт с олефиновым мономером (например, этиленом) и необязательным олефиновым сомономером в условиях полимеризации в системе реакторов полимеризации для получения олефинового полимера (например, этиленового полимера), при этом каталитическая композиция может содержать каталитический компонент I, каталитический компонент II, активатор (например, подложку-активатор, содержащую твердый оксид, обработанный электроноакцепторным анионом) и необязательный сокатализатор (например, алюминийорганическое соединение); и (ii) формование промышленного изделия, содержащего олефиновый полимер (или этиленовый полимер). Стадия формования может включать смешение, обработку расплава, экструзию, литье (например, формование раздувом) или термоформование и т. д., включая их комбинации. Любые подходящие добавки могут быть объединены с полимером на стадии обработки расплава (стадии экструзии), например, антиокислители, нейтрализаторы кислот, добавки, препятствующие слипанию, добавки для улучшения скольжения, красители, наполнители, технологические добавки, УФ-ингибиторы и аналогичные добавки, а также их комбинации.

КАТАЛИТИЧЕСКИЕ СИСТЕМЫ И СПОСОБЫ ПОЛИМЕРИЗАЦИИ

В соответствии с аспектами данного изобретения, олефиновый полимер (например, этиленовый полимер) может быть получен с применением двойной каталитической системы. В этих аспектах, каталитический компонент I может содержать любое подходящее немостиковое металлоценовое соединение, раскрытое в данном документе, а каталитический компонент II может содержать любое подходящее мостиковое металлоценовое соединение, раскрытое в данном документе. Каталитическая система также может содержать любой подходящий активатор или любой активатор, раскрытый в данном документе, и, необязательно, любой подходящий сокатализатор или любой сокатализатор, раскрытый в данном документе.

Обратимся сначала к каталитическому компоненту I, который может содержать немостиковое металлоценовое соединение на основе циркония или гафния, содержащее две циклопентадиенильные группы, две инденильные группы или циклопентадиенильную и инденильную группы. В другом аспекте, каталитический компонент I может содержать немостиковое металлоценовое соединение на основе циркония или гафния, содержащее две циклопентадиенильные группы. В другом аспекте, каталитический компонент I может содержать немостиковое металлоценовое соединение на основе циркония или гафния, содержащее две инденильные группы. Еще в одном аспекте, каталитический компонент I может содержать немостиковое металлоценовое соединение на основе циркония или гафния, содержащее циклопентадиенильную и инденильную группы.

Каталитический компонент I может содержать, в конкретных аспектах данного изобретения, немостиковое металлоценовое соединение формулы (I):

В формуле (I) M, CpA, CpB и каждый X являются независимыми элементами немостикового металлоценового соединения. Соответственно, немостиковое металлоценовое соединение формулы (I) может быть описано с использованием любой комбинации M, CpA, CpB и X, раскрытой в данном документе. Если не указано иное, формула (I) выше, любые другие структурные формулы, раскрытые в данном документе, и любой металлоценовый комплекс, соединение или молекулы, раскрытые в данном документе, не предназначены изображать стереохимическое или изомерное расположение различных фрагментов молекулы (например, эти формулы не предназначены отображать цис- или транс-изомеры, или R- или S-диастереоизомеры), хотя эти формулы и/или структуры подразумевают и охватывают такие соединения.

В соответствии с аспектами этого изобретения, металл в формуле (I), M, может представлять собой Zr или Hf. Таким образом, M может представлять собой Zr в одном аспекте, и M может представлять собой Hf в другом аспекте. Каждый X в формуле (I), независимо, может представлять собой моноанионный лиганд. В некоторых аспектах, подходящие моноанионные лиганды могут включать, но не ограничиваются ими, H (гидрид), BH4, галогенид, C1-C36 гидрокарбильную группу, C1-C36 гидрокарбоксигруппу, C1-C36 гидрокарбиламинильную группу, C1-C36 гидрокарбилсилильную группу, C1-C36 гидрокарбиламинилсилильную группу, -OBR12 или -OSO2R1, где R1 представляет собой C1-C36 гидрокарбильную группу. Предполагается, что каждый X может представлять собой такой же либо отличный моноанионный лиганд. Подходящие гидрокарбильные группы, гидрокарбоксигруппы, гидрокарбиламинильные группы, гидрокарбилсилильные группы и гидрокарбиламинилсилильные группы раскрыты, например, в патенте США № 9,758,600, содержание которого включено в данный документ в полном объеме посредством ссылки.

В целом, гидрокарбильная группа, которая может представлять собой Х в формуле (I), может представлять собой С136 гидрокарбильную группу, включая C136 алкильную группу, С236 алкенильную группу, С436 циклоалкильную группу, C6-C36 арильную группу или C736 аралкильную группу. Например, каждый X, независимо, может представлять собой C1-C18 алкильную группу, C2-C18 алкенильную группу, C4-C18 циклоалкильную группу, C6-C18 арильную группу или C7-C18 аралкильную группу; в альтернативном варианте, каждый X, независимо, может представлять собой C1-C12 алкильную группу, C2-C12 алкенильную группу, C4-C12 циклоалкильную группу, C6-C12 арильную группу или С712 аралкильную группу; в альтернативном варианте, каждый X, независимо, может представлять собой C1-C10 алкильную группу, C2-C10 алкенильную группу, C4-C10 циклоалкильную группу, C6-C10 арильную группу или C7-C10 аралкильную группу; или, в альтернативном варианте, каждый X, независимо, может представлять собой С15 алкильную группу, С25 алкенильную группу, С58 циклоалкильную группу, С68 арильную группу или C78 аралкильную группу.

В конкретных аспектах этого изобретения, каждый X, независимо, может представлять собой галогенид или C1-C18 гидрокарбильную группу. Например, каждый X может представлять собой Cl.

В формуле (I) CpA и CpB, независимо, могут представлять собой замещенную или незамещенную циклопентадиенильную или инденильную группу. В одном аспекте, CpA и CpB, независимо, могут представлять собой незамещенную циклопентадиенильную или инденильную группу. В альтернативном варианте, CpA и CpB, независимо, могут представлять собой замещенную инденильную или циклопентадиенильную группу, например, имеющую до 5 заместителей.

При наличии, каждый заместитель в CpA и CpB, независимо, может представлять собой H, галогенид, C1-C36 гидрокарбильную группу, C1-C36 галогенированную гидрокарбильную группу, C1-C36 гидрокарбоксигруппу или C1-C36 гидрокарбилсилильную группу. Важно отметить, что каждый заместитель в CpA и/или CpB может представлять собой такую же либо отличную группу-заместитель. Более того, каждый заместитель может располагаться в любом положении соответствующей циклопентадиенильной или инденильной кольцевой структуры, что соответствует правилам химической валентности. В одном аспекте, количество заместителей в CpA и/или в CpB, и/или положения каждого заместителя в CpA и/или в CpB не зависят друг от друга. Например, два или более заместителей в CpA могут быть разными, или в альтернативном варианте, каждый заместитель в CpA может быть одинаковым. Дополнительно или в альтернативном варианте, два или более заместителей в CpB могут быть разными, или в альтернативном варианте, все заместители в CpB могут быть одинаковыми. В другом аспекте, один или более заместителей в CpA могут отличаться от одного или более заместителей в CpB, или в альтернативном варианте, все заместители как в CpA, так и/или в CpB могут быть одинаковыми. В этих и других аспектах, каждый заместитель может находиться в любом положении соответствующей циклопентадиенильной или инденильной кольцевой структуры. Если CpA и/или CpB замещены, то они, независимо, могут иметь один заместитель, или два заместителя, или три заместителя, или четыре заместителя и так далее.

Подходящие гидрокарбильные группы, галогенированные гидрокарбильные группы, гидрокарбоксигруппы и гидрокарбилсилильные группы, которые могут быть заместителями, раскрыты, например, в патенте США № 9,758,600, включенном в данный документ в полном объеме посредством ссылки. Например, галогенированная гидрокарбильная группа указывает на присутствие одного или более атомов галогена, замещающих эквивалентное количество атомов водорода в гидрокарбильной группе. Галогенированная гидрокарбильная группа часто может представлять собой галогенированную алкильную группу, галогенированную алкенильную группу, галогенированную циклоалкильную группу, галогенированную арильную группу или галогенированную аралкильную группу. Типичные и неограничивающие галогенированные гидрокарбильные группы включают пентафторфенильную, трифторметильную (CF3) и аналогичные группы.

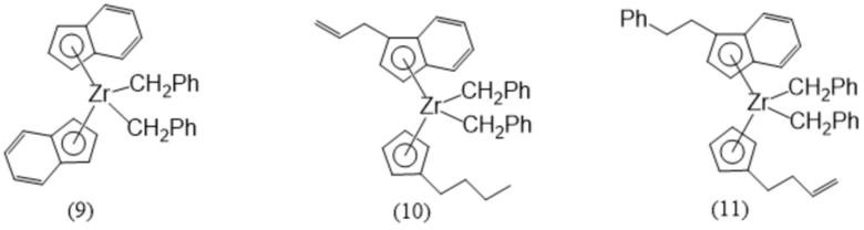
Иллюстративные и неограничивающие примеры немостиковых металлоценовых соединений формулы (I) и/или подходящие для применения в качестве каталитического компонента I могут включать следующие соединения (Ph=фенил):

и аналогичные соединения, а также их комбинации.

Каталитический компонент I не ограничен только немостиковыми металлоценовыми соединениями, например, описанными выше. Другие подходящие немостиковые металлоценовые соединения раскрыты в патентах США № 7,199,073, 7,226,886, 7,312,283 и 7,619,047, содержание которых включено в данный документ в полном объеме посредством ссылки.

Обратимся теперь к каталитическому компоненту II, который может быть мостиковым металлоценовым соединением. Например, в одном аспекте, каталитический компонент II может содержать мостиковое металлоценовое соединение на основе циркония или гафния. В другом аспекте, каталитический компонент II может содержать мостиковое металлоценовое соединение на основе циркония или гафния с алкенильным заместителем. В другом аспекте, каталитический компонент II может содержать мостиковое металлоценовое соединение на основе циркония или гафния с алкенильным заместителем и флуоренильной группой. Еще в одном аспекте, каталитический компонент II может содержать мостиковое металлоценовое соединение на основе циркония или гафния с циклопентадиенильной группой и флуоренильной группой, а также с алкенильным заместителем в мостиковой группе и/или в циклопентадиенильной группе. Кроме того, каталитический компонент II может содержать мостиковое металлоценовое соединение, имеющее заместитель арильной группы в мостиковой группе.

Каталитический компонент II может содержать, в конкретных аспектах этого изобретения, мостиковое металлоценовое соединение, имеющее формулу (II):

В формуле (II) M, Cp, RX, RY, E и каждый X представляют собой независимые элементы мостикового металлоценового соединения. Соответственно, мостиковое металлоценовое соединение формулы (II), может быть описано с использованием любой комбинации M, Cp, RX, RY, E и X, описанных в данном документе. Выбор для M и каждого X в формуле (II) такой же, как описано в данном документе выше для формулы (I). В формуле (II) Cp может представлять собой замещенную циклопентадиенильную, инденильную или флуоренильную группу. В одном аспекте, Cp может представлять собой замещенную циклопентадиенильную группу, при этом в другом аспекте, Cp может представлять собой замещенную инденильную группу.

В некоторых аспектах, Cp может не содержать дополнительных заместителей, например, кроме мостиковой группы E, которая дополнительно рассмотрена в данном документе ниже. В других аспектах, Cp может быть дополнительно замещен одним заместителем, или двумя заместителями, или тремя заместителями, или четырьмя заместителями и так далее. При наличии, каждый заместитель в Cp, независимо, может представлять собой H, галогенид, C1-C36 гидрокарбильную группу, C1-C36 галогенированную гидрокарбильную группу, C1-C36 гидрокарбоксигруппу или C1-C36 гидрокарбилсилильную группу. Важно отметить, что каждый заместитель в Cp может представлять собой такую же либо отличную группу-заместитель. Более того, каждый заместитель может быть расположен в любом положении соответствующей циклопентадиенильной, инденильной или флуоренильной кольцевой структуры, что соответствует правилам химической валентности. В целом, любой заместитель в Cp независимо может представлять собой H или любой галогенид, C1-C36 гидрокарбильную группу, C1-C36 галогенированную гидрокарбильную группу, C1-C36 гидрокарбоксигруппу или C1-C36 гидрокарбилсилильную группу, описанную в данном документе (например, что касается заместителей в CpA и CpB в формуле (I)).

Аналогично, RX и RY в формуле (II) независимо могут представлять собой H или любой галогенид, C1-C36 гидрокарбильную группу, C1-C36 галогенированную гидрокарбильную группу, C1-C36 гидрокарбоксигруппу или C1-C36 гидрокарбилсилильную группу, описанную в данном документе (например, что касается заместителей в CpA и CpB в формуле (I)). В одном аспекте, например, RX и RY независимо могут представлять собой H или C1-C12 гидрокарбильную группу. В другом аспекте, RX и RY независимо могут представлять собой C1-C10 гидрокарбильную группу. Еще в одном аспекте, RX и RY независимо могут представлять собой H, Cl, CF3, метильную группу, этильную группу, пропильную группу, бутильную группу (например, t-Bu), пентильную группу, гексильную группу, гептильную группу, октильную группу, нонильную группу, децильную группу, этенильную группу, пропенильную группу, бутенильную группу, пентенильную группу, гексенильную группу, гептенильную группу, октенильную группу, ноненильную группу, деценильную группу, фенильную группу, толильную группу, бензильную группу, нафтильную группу, триметилсилильную группу, триизопропилсилильную группу, трифенилсилильную группу или аллилдиметилсилильную группу и аналогичные группы. Еще в одном аспекте, RX и RY независимо могут представлять собой метильную группу, этильную группу, пропильную группу, бутильную группу, пентильную группу, гексильную группу, гептильную группу, октильную группу, нонильную группу, децильную группу, этенильную группу, пропенильную группу, бутенильную группу, пентенильную группу, гексенильную группу, гептенильную группу, октенильную группу, ноненильную группу, деценильную группу, фенильную группу, толильную группу или бензильную группу.

Мостиковая группа E в формуле (II) может представлять собой мостиковую группу, имеющую формулу >EARARB, где EA может представлять собой C, Si или Ge, и RA и RB независимо могут представлять собой H или C1-C18 гидрокарбильную группу. В некоторых аспектах данного изобретения, RA и RB независимо могут представлять собой C1-C12 гидрокарбильную группу; в альтернативном варианте, RA и RB независимо могут представлять собой C1-C8 гидрокарбильную группу; в альтернативном варианте, RA и RB независимо могут представлять собой фенильную группу, C1-C8 алкильную группу или C3-C8 алкенильную группу; в альтернативном варианте, RA и RB независимо могут представлять собой метильную группу, этильную группу, пропильную группу, бутильную группу, пентильную группу, гексильную группу, гептильную группу, октильную группу, нонильную группу, децильную группу, этенильную группу, пропенильную группу, бутенильную группу, пентенильную группу, гексенильную группу, гептенильную группу, октенильную группу, ноненильную группу, деценильную группу, фенильную группу, циклогексилфенильную группу, нафтильную группу, толильную группу или бензильную группу; или, в альтернативном варианте, RA и RB независимо могут представлять собой метильную группу, этильную группу, пропильную группу, бутильную группу, пентильную группу, гексильную группу, пропенильную группу, бутенильную группу, пентенильную группу, гексенильную группу, фенильную группу или бензильную группу. В этих и других аспектах, RA и RB могут быть одинаковыми либо разными.

Иллюстративные и неограничивающие примеры мостиковых металлоценовых соединений, имеющих формулу (II) и/или подходящих для применения в качестве каталитического компонента II, могут включать следующие соединения (Me=метил, Ph=фенил; t-Bu=трет-бутил):

и аналогичные соединения, а также их комбинации.

Каталитический компонент II не ограничен исключительно мостиковыми металлоценовыми соединениями, например, описанными выше. Другие подходящие мостиковые металлоценовые соединения раскрыты в патентах США № 7,026,494, 7,041,617, 7,226,886, 7,312,283, 7,517,939 и 7,619,047, содержание которых включено в данный документ в полном объеме посредством ссылки.

Согласно одному из аспектов данного изобретения, массовое отношение каталитического компонента I к каталитическому компоненту II в каталитической композиции может находиться в диапазоне от около 10:1 до около 1:10, от около 8:1 до около 1:8, от около 5:1 до около 1:5, от около 4:1 до около 1:4, от около 3:1 до около 1:3; от около 2:1 до около 1:2, от около 1,5:1 до около 1:1,5, от около 1,25:1 до около 1:1,25 или от около 1,1:1 до около 1:1,1. В другом аспекте, каталитический компонент I является основным компонентом каталитической композиции и в таких аспектах массовое отношение каталитического компонента I к каталитическому компоненту II в каталитической композиции может находиться в диапазоне от около 10:1 до около 1:1, от около 5:1 до около 1,1:1, от около 2:1 до около 1,1:1 или от около 1,8:1 до около 1,1:1.

Кроме того, двойная каталитическая система содержит активатор. Например, каталитическая система может содержать подложку-активатор, алюмоксановое соединение, борорганическое или бораторганическое соединение, ионизирующее ионное соединение и аналогичные соединения или любую их комбинацию. Каталитическая система может содержать один или более одного активатора.

В одном аспекте, каталитическая система может содержать алюмоксановое соединение, борорганическое или бораторганическое соединение, ионизирующее ионное соединение и аналогичные соединения или их комбинацию. Примеры таких активаторов раскрыты, например, в патентах США № 3,242,099, 4,794,096, 4,808,561, 5,576,259, 5,807,938, 5,919,983 и 8,114,946, содержание которых включено в данный документ в полном объеме посредством ссылки. В другом аспекте, каталитическая система может содержать алюмоксановое соединение. Еще в одном аспекте, каталитическая система может содержать борорганическое или бораторганическое соединение. Еще в одном аспекте, каталитическая система может содержать ионизирующее ионное соединение.

В других аспектах, каталитическая система может содержать подложку-активатор, например, подложку-активатор, содержащую твердый оксид, обработанный электроноакцепторным анионом. Примеры таких материалов раскрыты, например, в патентах США № 7,294,599, 7,601,665, 7,884,163, 8,309,485, 8,623,973 и 9,023,959, содержание которых включено в данный документ в полном объеме посредством ссылки. Например, подложка-активатор может содержать фторированный оксид алюминия, хлорированный оксид алюминия, бромированный оксид алюминия, сульфатированный оксид алюминия, фторированный диоксид кремния-оксид алюминия, хлорированный диоксид кремния-оксид алюминия, бромированный диоксид кремния-оксид алюминия, сульфатированный диоксид кремния-оксид алюминия, фторированный диоксид кремния-диоксид циркония, хлорированный диоксид кремния-диоксид циркония, бромированный диоксид кремния-диоксид циркония, сульфатированный диоксид кремния-диоксид циркония, фторированный диоксид кремния-диоксид титана, фторированный-хлорированный оксид алюминия с покрытием из диоксида кремния, фторированный оксид алюминия с покрытием из диоксида кремния, сульфатированный оксид алюминия с покрытием из диоксида кремния или фосфатированный оксид алюминия с покрытием из диоксида кремния и аналогичные соединения, а также любую их комбинацию. В некоторых аспектах, подложка-активатор может содержать фторированный твердый оксид и/или сульфатированный твердый оксид.

Можно применять различные способы для получения подложек-активаторов, подходящих для данного изобретения. Способы приведения твердого оксида в контакт с электроноакцепторным компонентом, подходящие электроноакцепторные компоненты и добавляемые количества, пропитка металлами или ионами металлов (например, цинком, никелем, ванадием, титаном, серебром, медью, галлием, оловом, вольфрамом, молибденом, цирконием и аналогичными металлами или их комбинациями) и различные способы и условия прокаливания раскрыты, например, в патентах США № 6,107,230, 6,165,929, 6,294,494, 6,300,271, 6,316,553, 6,355,594, 6,376,415, 6,388,017, 6,391,816, 6,395,666, 6,524,987, 6,548,441, 6,548,442, 6,576,583, 6,613,712, 6,632,894, 6,667,274, 6,750,302, 7,294,599, 7,601,665, 7,884,163 и 8,309,485, содержание которых включено в данный документ в полном объеме посредством ссылки. Другие подходящие способы и методики получения подложек-активаторов (например, фторированных твердых оксидов, сульфатированных твердых оксидов и т. д.) хорошо известны специалистам в данной области техники.

В данном изобретении можно применять каталитические композиции, содержащие каталитический компонент I, каталитический компонент II, активатор (один или более одного) и, необязательно, сокатализатор. При наличии, сокатализатор может включать, но не ограничивается ими, алкилметаллические или металлорганические сокатализаторы, где металл включает бор, алюминий, цинк и аналогичные металлы. Необязательно, каталитические системы, предложенные в данном документе, могут содержать сокатализатор или комбинацию сокатализаторов. Например, соединения на основе алкилбора, алкилалюминия и алкилцинка часто могут быть использованы в качестве сокатализаторов в таких каталитических системах. Типовые соединения бора могут включать, но не ограничиваются ими, три-н-бутилборан, трипропилборан, триэтилборан и аналогичные соединения, включая комбинации двух или более из этих материалов. Не ограничиваясь указанными, типовые соединения алюминия (например, алюминийорганические соединения) могут включать триметилалюминий, триэтилалюминий, три-н-пропилалюминий, три-н-бутилалюминий, триизобутилалюминий, три-н-гексилалюминий, три-н-октилалюминий, гидрид диизобутилалюминия, этоксид диэтилалюминия, хлорид диэтилалюминия и аналогичные соединения, а также любую их комбинацию. Примеры соединений цинка (например, цинкорганических соединений), которые могут быть использованы в качестве сокатализаторов, могут включать, но не ограничиваются ими, диметилцинк, диэтилцинк, дипропилцинк, дибутилцинк, динеопентилцинк, ди(триметилсилил)цинк, ди(триэтилсилил)цинк, ди(триизопропилсилил)цинк, ди(трифенилсилил)цинк, ди(аллилдиметилсилил)цинк, ди(триметилсилилметил)цинк и аналогичные соединения или их комбинации. Соответственно, в аспекте данного изобретения, двойная каталитическая композиция может содержать каталитический компонент I, каталитический компонент II, подложку-активатор и алюминийорганическое соединение (и/или цинкорганическое соединение).

В другом аспекте данного изобретения предложена каталитическая композиция, которая содержит каталитический компонент I, каталитический компонент II, подложку-активатор и алюминийорганическое соединение, при этом эта каталитическая композиция по существу не содержит алюмоксаны, борорганические или бораторганические соединения, ионизирующие ионные соединения и/или другие аналогичные материалы; в альтернативном варианте, по существу не содержит алюмоксаны; в альтернативном варианте, по существу не содержит борорганические или бораторганические соединения; или, в альтернативном варианте, по существу не содержит ионизирующие ионные соединения. В этих аспектах, каталитическая композиция имеет каталитическую активность, рассмотренную в данном документе, и отсутствие этих дополнительных материалов. Например, каталитическая композиция по данному изобретению может по существу состоять из каталитического компонента I, каталитического компонента II, подложки-активатора и алюминийорганического соединения, при этом в каталитической композиции отсутствуют другие материалы, которые могли бы повышать/снижать активность каталитической композиции более чем на около 10% относительно каталитической активности каталитической композиции в отсутствие указанных материалов.

Каталитические композиции по данному изобретению, в целом, имеют каталитическую активность более чем около 250 граммов этиленового полимера (гомополимера и/или сополимера, как требуется по контексту) на грамм подложки-активатора в час (сокращенно г/г/ч). В другом аспекте, каталитическая активность может составлять более чем около 350, более чем около 450 или более чем около 550 г/г/ч. Также, в другом аспекте, каталитическая активность может составлять более чем около 700 г/г/ч, более чем около 1000 г/г/ч или более чем около 2000 г/г/ч и часто даже 5000-10000 г/г/ч. Иллюстративные и неограничивающие диапазоны каталитической активности включают от около 500 до около 5000, от около 750 до около 4000 или от около 1000 до около 3500 г/г/ч и аналогичные диапазоны. Эту активность измеряют в условиях суспензионной полимеризации с использованием триизобутилалюминия в качестве сокатализатора, изобутана в качестве разбавителя, при температуре полимеризации около 95 ºC и давлении в реакторе около 590 фунтов/кв.дюйм изб. (psig) (4,1 МПа изб.). Кроме того, в некоторых аспектах, подложка-активатор может содержать сульфатированный оксид алюминия, фторированный диоксид кремния-оксид алюминия или фторированный оксид алюминия с покрытием из диоксида кремния, хотя и не ограничивается ими.

Это изобретение также охватывает способы получения этих каталитических композиций, например, приведение в контакт соответствующих каталитических компонентов в любом порядке или последовательности. В одном аспекте, например, каталитическая композиция может быть получена способом, включающим приведение в контакт, в любом порядке, каталитического компонента I, каталитического компонента II и активатора, при этом, в другом аспекте, каталитическая композиция может быть получена способом, включающим приведение в контакт, в любом порядке, каталитического компонента I, каталитического компонента II, активатора и сокатализатора.

Олефиновые полимеры (например, этиленовые полимеры) могут быть получены с использованием раскрытых каталитических систем любым подходящим способом полимеризации олефинов с применением различных типов реакторов полимеризации, систем реакторов полимеризации и условий реакции полимеризации. Один из таких способов полимеризации олефинов для полимеризации олефинов в присутствии каталитической композиции по данному изобретению может включать приведение каталитической композиции в контакт с олефиновым мономером и, необязательно, олефиновым сомономером (одним или более) в системе реакторов полимеризации в условиях полимеризации для получения олефинового полимера, при этом каталитическая композиция может содержать, как описано в данном документе, каталитический компонент I, каталитический компонент II, активатор и необязательный сокатализатор. Данное изобретение также охватывает любые олефиновые полимеры (например, этиленовые полимеры), полученные любым из способов полимеризации, раскрытых в данном документе.

В контексте данного изобретения «реактор полимеризации» включает любой реактор полимеризации, в котором можно полимеризовать (включая олигомеризацию) олефиновые мономеры и сомономеры (один или более одного сомономера) для получения гомополимеров, сополимеров, терполимеров и аналогичных соединений. Различные типы реакторов полимеризации включают реакторы, которые могут быть названы реактором периодического действия, суспензионным реактором, газофазным реактором, растворным реактором, реактором высокого давления, трубчатым реактором, автоклавным реактором и аналогичными реакторами, или их комбинации; или, в альтернативном варианте, система реакторов полимеризации может содержать суспензионный реактор, газофазный реактор, растворный реактор или их комбинацию. Условия полимеризации для различных типов реакторов хорошо известны специалистам в данной области техники. Газофазные реакторы могут включать реакторы с псевдоожиженным слоем или многоступенчатые горизонтальные реакторы. Суспензионные реакторы могут содержать вертикальные или горизонтальные петли. Реакторы высокого давления могут включать автоклавные или трубчатые реакторы. Разные типы реакторов могут включать проведение периодических или непрерывных процессов. Реакторы с непрерывными процессами могут использовать периодический или непрерывный выпуск продукта. Системы и процессы реактора полимеризации могут также включать частичную или полную прямую рециркуляцию непрореагировавшего мономера, непрореагировавшего сомономера и/или разбавителя.

Система реакторов полимеризации может включать один реактор или несколько реакторов (2 реактора, более 2 реакторов и т. д.) одного и того же или разных типов. Например, система реакторов полимеризации может включать суспензионный реактор, газофазный реактор, растворный реактор или комбинацию двух или более этих реакторов. Получение полимеров в нескольких реакторах может включать несколько стадий по меньшей мере в двух отдельных реакторах полимеризации, соединенных друг с другом устройством переноса, которое позволяет переносить полимеры, полученные в первом реакторе полимеризации, во второй реактор. Желаемые условия полимеризации в одном из реакторов могут отличаться от рабочих условий в другом(их) реакторе(ах). В альтернативном варианте, полимеризация в нескольких реакторах может включать ручной перенос полимера из одного реактора в последующие реакторы для продолжения полимеризации. Системы из нескольких реакторов могут включать любую комбинацию, включая, но не ограничиваясь ими, несколько петлевых реакторов, несколько газофазных реакторов, комбинацию петлевых и газофазных реакторов, несколько реакторов высокого давления или комбинацию реакторов высокого давления с петлевыми и/или газофазными реакторами. Несколько реакторов могут работать последовательно, параллельно или как последовательно, так и параллельно. Соответственно, данное изобретение охватывает системы реакторов полимеризации, состоящие из одного реактора, состоящие из двух реакторов и состоящие из более чем двух реакторов. В определенных аспектах данного изобретения, система реакторов полимеризации может включать суспензионный реактор, газофазный реактор, растворный реактор, а также их многореакторные комбинации.

В соответствии с одним аспектом, система реакторов полимеризации может включать по меньшей мере один петлевой суспензионный реактор, содержащий вертикальные или горизонтальные петли. Мономер, разбавитель, катализатор и сомономер могут непрерывно подаваться в петлевой реактор, в котором проводят полимеризацию. В целом, непрерывные процессы могут включать непрерывное введение мономера/сомономера, катализатора и разбавителя в реактор полимеризации и непрерывное удаление из указанного реактора суспензии, содержащей частицы полимера и разбавитель. Выходящий поток реактора может быть подвергнут быстрому испарению для удаления твердого полимера из жидких компонентов, которые содержат разбавитель, мономер и/или сомономер. Для этой стадии разделения могут применяться различные технологии, включая, но не ограничиваясь ими, быстрое испарение, которое может включать любую комбинацию подвода теплоты и снижения давления, разделение посредством циклонного воздействия в циклоне либо в гидроциклоне, или разделение посредством центрифугирования.

Типовой способ суспензионной полимеризации (также называемый способом получения полимерных частиц) описан, например, в патентах США № 3,248,179, 4,501,885, 5,565,175, 5,575,979, 6,239,235, 6,262,191, 6,833,415 и 8,822,608, содержание каждого из которых включено в данный документ в полном объеме посредством ссылки.

Подходящие разбавители, применяемые в суспензионной полимеризации, включают, но не ограничиваются ими, полимеризуемый мономер и углеводороды, которые являются жидкими в реакционных условиях. Примеры подходящих разбавителей включают, но не ограничиваются ими, углеводороды, например, пропан, циклогексан, изобутан, н-бутан, н-пентан, изопентан, неопентан и н-гексан. Некоторые реакции полимеризации в петлевом реакторе можно проводить в массе, когда разбавитель не применяют.

Согласно еще одному аспекту, система реакторов полимеризации может содержать по меньшей мере один газофазный реактор (например, реактор с псевдоожиженным слоем). В таких системах реакторов может применяться непрерывный используемый повторно поток, содержащий один или более мономеров, непрерывно циркулирующих через псевдоожиженный слой в присутствии катализатора в условиях полимеризации. Используемый повторно поток может быть отведен из псевдоожиженного слоя и возвращен обратно в реактор. Одновременно, может быть отведен полимерный продукт из реактора и может быть добавлен новый или свежий мономер для замены полимеризовавшегося мономера. Такие газофазные реакторы могут обеспечивать проведение способа многостадийной газофазной полимеризации олефинов, при котором олефины полимеризуют в газовой фазе по меньшей мере в двух независимых зонах газофазной полимеризации, при этом полимер, содержащий катализатор, образующийся в первой зоне полимеризации, подают во вторую зону полимеризации. Типовые газофазные реакторы раскрыты в патентах США № 5,352,749, 4,588,790, 5,436,304, 7,531,606 и 7,598,327, содержание каждого из которых включено в данный документ в полном объеме посредством ссылки.

Согласно еще одному аспекту, система реакторов полимеризации может содержать реактор полимеризации высокого давления, например, может содержать трубчатый реактор или автоклавный реактор. Трубчатые реакторы могут иметь несколько зон, в которые добавляют свежий мономер, инициаторы или катализаторы. Мономер может быть захвачен потоком инертного газа и введен в одну зону реактора. Инициаторы, катализаторы и/или компоненты катализатора могут быть захвачены газовым потоком и введены в другую зону реактора. Для полимеризации газовые потоки могут быть смешаны. Теплота и давление могут быть подведены надлежащим образом для обеспечения оптимальных условий реакции полимеризации.

Согласно еще одному аспекту, система реакторов полимеризации может содержать реактор растворной полимеризации, в котором мономер/сомономер приводят в контакт с каталитической композицией с использованием подходящих перемешивающих или иных средств. Может быть применен носитель, содержащий инертный органический разбавитель или избыток мономера. При желании, мономер/сомономер могут быть приведены в паровой фазе в контакт с продуктом каталитической реакции в присутствии жидкого материала или без него. Зону полимеризации можно поддерживать при температуре и давлении, которые приводят к образованию раствора полимера в реакционной среде. Для обеспечения лучшего контроля температуры и поддержания однородности полимеризационных смесей, в зоне полимеризации может быть применено перемешивание. Для рассеивания экзотермической теплоты реакции полимеризации применяют надлежащие средства.

Система реакторов полимеризации может дополнительно содержать любую комбинацию по меньшей мере одной системы подачи сырья, по меньшей мере одной системы подачи катализатора или компонентов катализатора и/или по меньшей мере одной системы извлечения полимера. Подходящие системы реакторов могут дополнительно содержать системы очистки исходного сырья, хранения и подготовки катализатора, экструзии, охлаждения реактора, извлечения полимера, фракционирования, рециркуляции, хранения, выгрузки, лабораторного анализа и управления технологическим процессом. В зависимости от желаемых свойств олефинового полимера при необходимости в реактор полимеризации может быть добавлен водород (например, непрерывно, периодически и т. д.).

Условия полимеризации, которые могут быть управляемыми для обеспечения эффективности процесса и желаемых свойств полимера, могут включать температуру, давление и концентрации различных реагентов. Температура полимеризации может влиять на производительность катализатора, молекулярную массу полимера и молекулярно-массовое распределение. Различные условия полимеризации можно поддерживать по существу на постоянном уровне, например, для получения олефинового полимера (или этиленового полимера) конкретного класса. Подходящая температура полимеризации может представлять собой любую температуру ниже температуры деполимеризации согласно уравнению свободной энергии Гиббса. Как правило, она включает температуру от около 60 °C до около 280 °C, например, от около 60 °C до около 120 °C, в зависимости от типа реактора(ов) полимеризации. В некоторых системах реакторов температура полимеризации, в целом, может находиться в диапазоне от около 70 °C до около 100 °C или от около 75 °C до около 95 °C.

Подходящее давление также может варьироваться в зависимости от типа реактора и типа полимеризации. Давление при жидкофазной полимеризации в петлевом реакторе, как правило, составляет менее 1000 фунтов/кв.дюйм изб. (6,9 МПа изб.). Давление при газофазной полимеризации, как правило, составляет от около 200 до 500 фунтов/кв.дюйм изб. (от 1,4 до 3,4 МПа изб.). Полимеризацию при высоком давлении в трубчатых или автоклавных реакторах, как правило, проводят при давлении от около 20000 до 75000 фунтов/кв.дюйм изб. (от 138 до 517 МПа изб.). Реакторы полимеризации также можно эксплуатировать в сверхкритической области, соответствующей, как правило, повышенной температуре и повышенному давлению. Эксплуатация свыше критической точки на диаграмме зависимости давление/температура (сверхкритическая фаза) может обеспечивать преимущества для процесса реакции полимеризации.

Олефиновые мономеры, которые можно применять совместно с каталитическими композициями в способах полимеризации по данному изобретению, как правило, могут включать олефиновые соединения, содержащие от 2 до 30 атомов углерода в молекуле и по меньшей мере одну олефиновую двойную связь, например, этилен или пропилен. В одном аспекте, олефиновый мономер может содержать C2-C20 олефин; в альтернативном варианте, C2-C20 альфа-олефин; в альтернативном варианте, C2-C10 олефин; в альтернативном варианте, C2-C10 альфа-олефин; в альтернативном варианте, олефиновый мономер может содержать этилен; или, в альтернативном варианте, олефиновый мономер может содержать пропилен (например, для получения гомополимерного полипропилена или сополимера на основе пропилена).

Если требуется сополимер (или, в альтернативном варианте, терполимер), то олефиновый мономер и олефиновый сомономер независимо могут содержать, например, C2-C20 альфа-олефин. В некоторых аспектах, олефиновый мономер может содержать этилен или пропилен, который сополимеризуется по меньшей мере с одним сомономером (например, с C2-C20 альфа-олефином, C3-C20 альфа-олефином и аналогичными сомономерами). Согласно одному из аспектов этого изобретения, олефиновый мономер, применяемый в способе полимеризации, может содержать этилен. В этом аспекте, сомономер может содержать C3-C10 альфа-олефин; в альтернативном варианте, сомономер может содержать 1-бутен, 1-пентен, 1-гексен, 1-октен, 1-децен, стирол или любую их комбинацию; в альтернативном варианте, сомономер может содержать 1-бутен, 1-гексен, 1-октен или любую их комбинацию; в альтернативном варианте, сомономер может содержать 1-бутен; в альтернативном варианте, сомономер может содержать 1-гексен; или, в альтернативном варианте, сомономер может содержать 1-октен.

ПРИМЕРЫ

Изобретение дополнительно проиллюстрировано в приведенных ниже примерах, которые не следует рассматривать, как накладывающие какие-либо ограничения на объем этого изобретения. Различные другие аспекты, варианты осуществления изобретения, модификации и эквиваленты могут быть предложены специалистами обычной квалификации в данной области техники после изучения описания, приведенного в данном документе, не выходя за рамки сущности данного изобретения или объема прилагаемой формулы изобретения.

Индекс расплава (MI, г/10 мин) может быть определен согласно ASTM D1238 при 190 ºC при нагрузке 2,160 грамм, а индекс расплава при повышенном напряжении сдвига (HLMI, г/10 мин) может быть определен согласно ASTM D1238 при 190 ºC при нагрузке 21,600 грамм. Плотность определяли в граммах на кубический сантиметр (г/см3) в образце, полученном прессованием в форме, охлажденном со скоростью 15 ºC в минуту и выдержанном в течение 40 часов при комнатной температуре согласно ASTM D1505 и ASTM D4703. ESCR определяли согласно ASTM D1693, условие B, с 10% игепала.

Молекулярную массу и молекулярно-массовое распределение получали с использованием системы PL-GPC 220 (Polymer Labs, Agilent Company), оборудованной детектором IR4 (Polymer Char, Испания) и тремя колонками для GPC Styragel HMW-6E (Waters, штат Массачусетс, США), эксплуатируемой при 145 °C. Устанавливали расход подвижной фазы 1,2,4-трихлорбензола (TCB), содержащей 0,5 г/л 2,6-ди-трет-бутил-4-метилфенола (BHT), на 1 мл/мин, концентрации раствора полимера находились в диапазоне 1,0-1,5 мг/мл в зависимости от молекулярной массы. Подготовку образцов проводили при 150°C в течение 4 часов с периодическим и осторожным встряхиванием, прежде чем растворы переносили в пробирки с образцами для ввода пробы. Вводили пробу объемом около 200 мкл. Для определения молекулярных масс и молекулярно-массового распределения применяли интегральный метод калибровки с использованием полиэтиленовой смолы высокой плотности HDPE MARLEX® BHB5003 от компании Chevron Phillips Chemical Company в качестве широкого стандарта. Предварительно получали таблицу с интегрированными значениями для стандарта с широким молекулярно-массовым распределением в отдельном эксперименте SEC-MALS. Mn представляет собой среднечисловую молекулярную массу, Mw представляет собой средневесовую молекулярную массу, Mz представляет собой z-среднюю молекулярную массу, Mv представляет собой средневязкостную молекулярную массу и Mp представляет собой пиковую молекулярную массу (положение точки максимума кривой молекулярно-массового распределения на оси молекулярной массы). IVc - характеристическая вязкость [η], которая рассчитывается на основе уравнения 1:

[η]=K Mva Уравнение 1

где Mv - средневязкостная молекулярная масса, K и a - константы Марка-Хаувинка для интересующего полимера. Для полиэтилена K и a равны 3,95E-04 (дл/г) и 0,726 (без единиц измерения), соответственно. Mv рассчитывается на основе уравнения 2:

Уравнение 2

где и - массовая доля и молекулярная масса тонкого среза i, соответственно.

Реологические характеристики расплава представляли следующим образом. Измерения пульсирующего сдвига малой деформации (менее 10%) проводили на реометре Anton Paar MCR с использованием геометрии с параллельными пластинами. Все реологические испытания проводили при 190 °С. Затем проводили подстановку данных в кривую зависимости комплексной вязкости |ƞ*| от частоты (ω) с использованием модифицированной трехпараметрической эмпирической модели Карро-Ясуда (CY) для получения вязкости при нулевой скорости сдвига - ƞ0, характеристического времени вязкой релаксации - τƞ и параметра реологической ширины - a (параметр CY-a). Упрощенная эмпирическая модель Карро-Ясуда (CY) представлена ниже.

,

где: |ƞ*(ω) |=величина комплексной вязкости при сдвиге;

ƞ 0=вязкость при нулевом сдвиге;

τƞ=время вязкой релаксации (Tau(η));

a=параметр «ширина» (параметр CY-a);

n=корректирует конечный коэффициент наклона степенной функции, заданное значение 2/11; и

ω=угловая частота деформации при колебательном сдвиге.

Подробное описание значимости и интерпретации модели CY и выводимых на ее основе параметров можно найти в публикациях: C. A. Hieber and H. H. Chiang, Rheol. Acta, 28, 321 (1989); C.A. Hieber and H.H. Chiang, Polym. Eng. Sci., 32, 931 (1992); и R. B. Bird, R. C. Armstrong and O. Hasseger, Dynamics of Polymeric Liquids, том 1, Fluid Mechanics, 2е издание, John Wiley & Sons (1987); содержание каждой из которых включено в данный документ в полном объеме посредством ссылки. Вязкость при HLMI (эта @ HLMI или η @ HLMI) представляет собой вязкость при напряжении HLMI для полимера при его HLMI.

Содержание короткоцепочечных разветвлений (SCB) и распределение короткоцепочечных разветвлений (SCBD) по молекулярно-массовому распределению может быть определено с использованием GPC системы с детектором IR5 (IR5-GPC), причем указанная GPC система представляет собой систему PL220 GPC/SEC (Polymer Labs, Agilent Company), оснащенную тремя колонками Styragel HMW-6E (Waters, штат Массачусетс, США) для разделения полимеров. К GPC колонкам подключали детектор IR5 MCT (IR5) (Polymer Char, Испания) с термоэлектрическим охлаждением посредством горячей линии передачи. Хроматографические данные получали из двух выходных портов детектора IR5. Сначала аналоговый сигнал поступает из аналогового выходного порта в аналого-цифровой преобразователь, а затем подключается к компьютеру «А» для определения молекулярной массы с помощью программного обеспечения Cirrus (Polymer Labs, теперь компания Agilent) и интегрального метода калибровки с использованием смолы HDPE с широким молекулярно-массовым распределением (MWD) Marlex™ BHB5003 (Chevron Phillips Chemical) в качестве широкого стандарта молекулярной массы. Цифровые сигналы, с другой стороны, проходят по кабелю USB напрямую в компьютер «В», где их собирают при помощи программного обеспечения для сбора данных LabView, поставляемого Polymer Char. Хроматографические условия задавали следующим образом: температура термостата колонок 145 °С; скорость потока 1 мл/мин; объем вводимой пробы 0,4 мл; и концентрация полимера около 2 мг/мл, в зависимости от молекулярной массы образца. Температуру линии теплопередачи и измерительной ячейки детектора IR5 устанавливали на 150 °C, а температуру электронных элементов детектора IR5 устанавливали на 60 °C. Содержание короткоцепочечных разветвлений определяли с помощью внутрилабораторного метода с применением отношения интенсивности CH3 (ICH3) к CH2 (ICH2) в сочетании с калибровочной кривой. Калибровочная кривая представляет собой график зависимости содержания короткоцепочечных разветвлений, SCB (xSCB), от отношения интенсивностей ICH3/ICH2. Для построения калибровочной кривой использовали группу полиэтиленовых смол (не менее 5) со степенью SCB в диапазоне от нуля до около 32 SCB/1000 всех атомов углерода (стандартные образцы SCB). Все эти стандартные образцы SCB имеют известные уровни SCB и плоские профили SCBD, предварительно полученные отдельно методами ЯМР и фракционирования с градиентом растворителя в сочетании с ЯМР (SGF-ЯМР). Используя калибровочные кривые SCB, построенные таким образом, получали профили распределения короткоцепочечных разветвлений по молекулярно-массовому распределению для смол, фракционированных с помощью системы IR5-GPC в точно таких же условиях записи хроматограмм, что и для этих стандартов SCB. Взаимосвязь между отношением интенсивностей и объемом элюирования пересчитывали в распределение SCB в зависимости от MWD с использованием ранее построенной калибровочной кривой SCB (то есть кривой зависимости отношения интенсивностей ICH3/ICH2 от содержания SCB) и калибровочной кривой MW (то есть кривой зависимости молекулярной массы от времени элюирования) для пересчета отношения интенсивностей ICH3/ICH2 и времени элюирования в содержание SCB и молекулярную массу, соответственно.

Число длинноцепочечных разветвлений (LCB) на 1000 атомов углерода в полимере в целом вычисляли с применением способа Янзена и Колби (J. Mol. Struct., 485/486, 569-584 (1999), содержание включено в данный документ в полном объеме посредством ссылки) на основании значений вязкости при нулевой скорости сдвига, ηo (определена в модели Карро-Ясуда, как описано выше в данном документе) и измеренных значений Mw, полученных с использованием детектора многоуглового светорассеяния Dawn EOS (Wyatt).

Оценки формования раздувом примеров 1-10 были выполнены на выдувной машине Sterling со следующими характеристиками. Выбирали это конкретное оборудование и эти конкретные технологические условия, поскольку характеристики и свойства формования раздувом, полученные таким образом, как правило, являются типичными для характеристик и свойств формования раздувом, получаемых в более масштабных, промышленных операциях формования раздувом. Диаметр шнека экструдера составлял 3 дюйма (7,62 см), отношение L/D составляло 24:1, приводным двигателем был привод постоянного тока мощностью 75 л.с., а максимальная пластифицирующая способность составляла около 350 фунтов (158,757) полиэтилена в час. Экструдер был снабжен индикатором давления dynicso, четырьмя зонами нагрева с воздушным охлаждением и гладкоствольным цилиндром с жидкостным охлаждением в зоне подачи.

Головка гидроаккумулятора (конструкция FIFO) имела максимальную емкость выстрела 10 фунтов (4,536 кг), максимальный и минимальный диаметр втулки экструзионной головки 8 дюймов и 1 дюйм (20,32 см и 2,54 см) (соответственно), где 1-3½ дюйма (8,89 см) сходятся, а 4 (10,16 см) - 8 дюймов расходятся. Машина формования раздувом была также оснащена программатором MACO на 100 пунктов.

Для примеров 1-10 все зоны экструдера и головки были установлены на 390 oF (199 oC). Форма представляла собой бутылку емкостью 9 галлонов (34 л) (Fremont Plastics Mold, 42 дюйма (106,68 см) в окружности) и использовалась 4,5-дюймовая (11,43 см) расширяющаяся фильерная головка с углом контакта 30 градусов. Использовалась постоянная скорость выталкивания. Температура формы составляла 50-60 oF (10-15,6 oC). Установками таймера были задержка раздува на 0,5 с, предварительный раздув 0 с и задержка закрытия зажима 0,25 с. Давление воздуха составляло приблизительно 90 фунтов/кв.дюйм изб. (0,6 МПа изб.) Минимальная толщина стенок деталей находилась в диапазоне 45-50 мил, а щелевой зазор экструзионной головки составлял 0,196 дюйма (0,5 см). Детали изготавливали при скорости экструдера 30 об/мин и времени раздува 90 секунд.

Регистрировали вес произведенной продукции (вес детали) и измеряли ширину гидроизоляции в верхней части продукции (верх рабочей поверхности) и нижней части продукции (низ рабочей поверхности). Можно определить разбухание экструдируемого потока (размер заготовки в зависимости от размера экструзионной головки) и весовую набухаемость (изменение массы детали при постоянном зазоре экструзионной головки и скорости заготовки). Прочность расплава полимеров сравнивали с помощью испытания на время зависания с использованием зазора экструзионной головки 0,089 дюйма (0,23 см) и скорости экструдера 20 об/мин. Заготовку экструдировали и давали зависнуть; скорость экструдера была обращена к нулю, пока заготовка висела. Время от окончания выстрела до момента отрыва заготовки от втулки регистрировали как время зависания.

Носители-активаторы из оксида алюминия, покрытые фторированным диоксидом кремния, используемые в примерах 1-8, получали следующим образом. Получали бемит в W.R. Grace & Company под названием «Оксид алюминия A», который имел площадь поверхности около 300 м2/г, объем пор 1,3 мл/г и средний размер частиц около 100 микрон. Сначала прокаливали оксид алюминия в сухом воздухе при около 600°C в течение приблизительно 6 часов, охлаждали до температуры окружающей среды, а затем приводили в контакт с тетраэтилортосиликатом в изопропаноле для достижения 25% мас. SiO2. После сушки прокаливали оксид алюминия с покрытием из диоксида кремния при 600°C в течение 3 часов. Фторированный оксид алюминия с покрытием из диоксида кремния (7% мас. F) получали посредством пропитки прокаленного оксида алюминия с покрытием из диоксида кремния раствором бифторида аммония в метаноле, сушки и последующего прокаливания в течение 3 часов при 600°C в сухом воздухе. После этого собирали фторированный оксид алюминия с покрытием из диоксида кремния, хранили в атмосфере сухого азота и использовали без доступа окружающей атмосферы.

Полимеризацию на экспериментальной установке проводили в суспензионном петлевом реакторе емкостью 30 галлонов (113,6 л) с производительностью приблизительно 33 фунта (15 кг) полимера в час. Полимеризационная работа проводилась в условиях процесса непрерывной формы частиц в петлевом реакторе (также называемом суспензионным процессом) посредством контактирования раствора двойного металлоцена в изобутане, алюминийорганического раствора (триизобутилалюминий, TIBA) и носителя-активатора (фторированный оксид алюминия с покрытием из диоксида кремния) в автоклаве объемом 1 л с мешалкой с непрерывной подачей в петлевой реактор. Растворы TIBA и двойного металлоцена подавали отдельными потоками в тройник перед автоклавом, где они контактировали друг с другом. Носитель-активатор промывали изобутаном в точке после вышеупомянутого тройника, при контактировании со смесью алюминийорганического соединения и металлоцена и совместном стекании в автоклав. Промывка изобутаном, используемая для транспортировки носителя-активатора в автоклав, была настроена на такую скорость, которая обеспечила бы время пребывания в автоклаве приблизительно 30 минут. Затем весь поток из автоклава поступал в петлевой реактор.

Используемый этилен представлял собой этилен класса для полимеризации, полученный от AirGas, который очищали через колонку с адсорбентом из оксида алюминия и цеолита (активированным при 230-290°C в азоте). 1-Гексен степени полимеризации (получен от Chevron Phillips Chemical Company) очищали дистилляцией и пропускали через колонку с абсорбентом из оксида алюминия и цеолита, активированным при 230-290 ° C в азоте. Петлевой реактор был заполнен жидкостью, имел диаметр 15,2 см и объем 30 галлонов. В качестве разбавителя использовали жидкий изобутан. Водород добавляли со скоростью около 0,001-0,004 фунта/час (0,454-1,814 г/час) для регулирования молекулярной массы и/или HLMI полимерного продукта. Изобутан представлял собой изобутан класса для полимеризации (полученный от Enterprise), который дополнительно очищали перегонкой и затем пропускали через колонку с оксидом алюминия (активированным при 230-290°C в азоте). Сокатализатор TIBA получали в виде 10-12% мас. раствора в углеводороде и дополнительно разбавляли до 2% мас. в изобутане. Сокатализатор добавляли в концентрации приблизительно 125 м.д. в пересчете на массу разбавителя в реакторе полимеризации.

Условия в реакторе включали давление в реакторе около 590 фунтов/кв.дюйм изб. (4,1 МПа изб.), молярный процент этилена 11-13% (в пересчете на изобутановый разбавитель) и температуру полимеризации 93-100 °C. Время пребывания в реакторе составляло около 0,8-1,3 часа. Концентрации металлоцена в реакторе находились в диапазоне от около 1,5 до 2,5 миллионных долей (м.д.) по массе разбавителя. Носитель-активатор (оксид алюминия, покрытый фторированным диоксидом кремния) подавали в реактор со скоростью приблизительно 0,015-0,03 фунта в час (6,804-13,608 г в час). Полимер удаляли из реактора со скоростью около 33 фунтов/час (15 кг/час) и пропускали через испарительную камеру и продувочную колонну. Азот подавали в продувочную колонну, чтобы гарантировать, что хлопья не содержат углеводородов. Структуры для MET 1 и MET 2, используемые в примерах 1-8, показаны ниже:

MET 1 MET 2

В таблице I обобщена определенная информация, относящаяся к экспериментам по полимеризации Примеров 1-8. В каждом из Примеров 1-8 использовалась двойная каталитическая система, содержащая МЕТ 1 и МЕТ 2 в относительных количествах, перечисленных в таблице I.

ПРИМЕРЫ 1-10

Пример 9 представлял собой широкую мономодальную сополимерную смолу с номинальным значением 12 HLMI и плотностью 0,949, полученную с использованием каталитической системы на основе хрома (Chevron-Phillips Chemical Company LP). Пример 10 представлял собой широкую бимодальную сополимерную смолу с номинальным значением 5 HLMI и плотностью 0,955, полученную с использованием каталитической системы на основе металлоцена (Chevron-Phillips Chemical Company LP).

На Фиг. 1 проиллюстрированы бимодальные молекулярно-массовые распределения (количество полимера по сравнению с логарифмом молекулярной массы) полимеров Примеров 1-4, на Фиг. 2 проиллюстрированы бимодальные молекулярно-массовые распределения полимеров Примеров 5-8, на Фиг. 3 проиллюстрированы молекулярно-массовые распределения полимеров Примеров 1, 5 и 9, в таблице I обобщены характеристики HLMI, плотности и ESCR полимера, а в таблице II обобщены некоторые характеристики молекулярной массы полимеров Примеров 1-9. Полимеры Примеров 1-8 имели плотности в диапазоне от 0,956 до 0,96 г/см3, значения HLMI в диапазоне от 9 до 14 г/10 мин, значения ESCR более 1000 часов, значения Mw в диапазоне от 330000 до 400000 г/моль, значения Mn в диапазоне от 20000 до 33000 г/моль и значения IVc в диапазоне от 3 до 3,6 дл/г. В отличие от этого, унимодальный хромовый полимер Примера 9 имел более низкие значения Mw, Mn и IVc.

В таблице III обобщены некоторые реологические характеристики при 190°C для полимеров Примеров 1-9. Неожиданно оказалось, что многие полимеры на основе металлоцена (Примеры 1-8) имели приблизительно такие же технологичные характеристики, что и полимеры на основе хрома (Пример 9). Полимеры Примеров 1-8 имели значения η @ HLMI в диапазоне от 1400 до около 4000 Па-с и значения tan δ при 0,1 с-1 в диапазоне от 0,7 до 0,96 градуса.

В таблице IV обобщена производительность формования раздувом Примеров 1-4 и 9-10. Используя полимер хрома из Примера 9 в качестве эталона, можно увидеть, что сравнительный Пример 10, имея хорошую прочность расплава, имел неприемлемо высокое давление экструзии (фунтов/кв.дюйм изб.) и неприемлемо высокую продолжительность цикла (с), а также низкую производительность (фунтов/час). Более того, кроме чрезмерного разбухания экструдируемого потока (размеры рабочей поверхности намного больше 10 дюймов), формованные раздувом изделия, полученные из Примера 9, имели плохую эстетику поверхности с заметными искажениями поверхности, линиями и полосами. В отличие от этого, полимеры Примеров 1-4 работали аналогично полимеру хрома из Примера 9. Примеры 1-4 показали отличную обрабатываемость (давление, производительность), сопоставимое время разбухания экструдируемого потока и время зависания, и неожиданно меньшую продолжительность цикла (на 5-10%), что приводит к производству большего количества деталей в час. Примеры 5-8 также оценивали аналогичным образом, и было обнаружено сокращение продолжительности цикла более чем на 20%.

Продукты формования раздувом из Примеров 1-10 также оценивали на эстетику поверхности. Оценивали панели деталей, полученных формованием раздувом, причем панели представляли собой секции детали с шириной, которая составляет половину окружности формы, используемой при формовании раздувом, и высотой 1 дюйм. Меньшие дефекты поверхности определяли, как незначительные отклонения во внешнем виде поверхности, например, полосы, на которых цвет и/или текстура детали меняются неравномерно. Выступы или серьезные дефекты поверхности определяли, как критические дефекты поверхности, вызванные растянутыми нитями или тонкими пластинами полимера; наличие таких дефектов может сделать деталь, полученную формованием раздувом, непригодной для использования. Детали, полученные формованием раздувом в Примере 10, имели более чем 200 менее значительных дефектов поверхности и более 10 выступов или серьезных дефектов поверхности в панели, при этом формованные раздувом детали Примеров 1-4 были на удивление лучше, имели 75-150 менее значительных дефектов поверхности и от 1 до 9 выступов или серьезных дефектов поверхности панели. Изделия, полученные формованием раздувом Примеров 5-8, неожиданно оказались даже лучше, имели лишь 10-75 менее значительных дефектов поверхности и не имели (ноль) выступов или серьезных дефектов поверхности в панели. В качестве эталона, полученные формованием раздувом изделия Примера 9 также не имели выступов или серьезных дефектов поверхности в панели и, как правило, имели менее 10 дефектов поверхности.

Изобретение описано выше со ссылками на многочисленные аспекты и конкретные примеры. Специалисты в данной области техники смогут предложить множество вариантов с учетом приведенного выше подробного описания. Все такие очевидные варианты включены в полный предполагаемый объем прилагаемой формулы изобретения. Другие аспекты изобретения могут включать, но не ограничиваются ими, следующее (аспекты описаны как «содержащие», но, в альтернативном варианте, могут «по существу состоять из» или «состоять из»):

Аспект 1. Этиленовый полимер, имеющий (или характеризующийся указанным):

плотность в диапазоне от около 0,952 до около 0,965 г/см3;

индекс расплава при повышенном напряжении сдвига (HLMI) в диапазоне от около 5 до около 25 г/10 мин;

средневесовую молекулярную массу (Mw) в диапазоне от около 275000 до около 450000 г/моль;

среднечисловую молекулярную массу (Mn) в диапазоне от около 15000 до около 40000 г/моль;

вязкость при HLMI (эта @ HLMI или η @ HLMI) в диапазоне от около 1400 до около 4000 Па-с; и

тангенс δ (тангенс d или тангенс дельта) при 0,1 с-1 в диапазоне от около 0,65 до около 0,98 градуса.

Аспект 2. Этиленовый полимер, имеющий (или характеризующийся указанным):

плотность в диапазоне от около 0,952 до около 0,965 г/см3;

HLMI в диапазоне от около 5 до около 25 г/10 мин;

Mw в диапазоне от около 275000 до около 450000 г/моль;

Mn в диапазоне от около 15000 до около 28000 г/моль; и

η @ HLMI в диапазоне от около 1400 до около 4000 Па-с.

Аспект 3. Полимер по аспекту 1 или 2, при этом указанный этиленовый полимер имеет сопротивление растрескиванию под воздействием окружающей среды (ESCR) в любом диапазоне, раскрытом в данном документе, например, по меньшей мере 250 часов, по меньшей мере 500 часов, по меньшей мере 1000 часов, по меньшей мере 1500 часов, по меньшей мере 2000 часов и т. д.

Аспект 4. Полимер по любому из предшествующих аспектов, при этом указанный этиленовый полимер имеет индекс расплава (MI) в любом диапазоне, раскрытом в данном документе, например, от 0 до около 0,6, от 0 до около 0,3, от 0 до около 0,2, от 0 до около 0,1 г/10 мин и т. д.

Аспект 5. Полимер по любому из предшествующих аспектов, при этом указанный этиленовый полимер имеет отношение HLMI в любом диапазоне, раскрытом в данном документе, например, от около 5 до около 20, от около 5 до около 18, от около 6 до около 16, от около 7 до около 15 г/10 мин и т. д.

Аспект 6. Полимер по любому из предшествующих аспектов, при этом указанный этиленовый полимер имеет плотность в любом диапазоне, раскрытом в данном документе, например, от около 0,952 до около 0,962, от около 0,952 до около 0,96, от около 0,954 до около 0,965, от около 0,954 до около 0,962, от около 0,954 до около 0,96 г/см3 и т. д.

Аспект 7. Полимер по любому из предшествующих аспектов, при этом указанный этиленовый полимер имеет менее чем около 0,008 длинноцепочечных разветвлений (LCB) на 1000 общих атомов углерода, например, менее чем около 0,005 LCB, менее чем около 0,003 LCB и т. д.

Аспект 8. Полимер по любому из предшествующих аспектов, при этом указанный этиленовый полимер имеет обратное распределение сомономеров, например, число короткоцепочечных разветвлений (SCB) на 1000 атомов углерода, в целом, в полимере с данной Mw, которое превышает их число при такой же Mn, число SCB на 1000 атомов углерода, в целом, в полимере с данной Mz, которое превышает их число при такой же Mw, число SCB на 1000 атомов углерода, в целом, в полимере с данной Mz, которое превышает их число при такой же Mn и т. д.

Аспект 9. Полимер по любому из предшествующих аспектов, при этом указанный этиленовый полимер имеет Mp в любом диапазоне, раскрытом в данном документе, например, от около 45000 до около 85000, от около 45000 до около 65000, от около 50000 до около 80000, от около 50000 до около 62000 г/моль и т. д.

Аспект 10. Полимер по любому из предшествующих аспектов, при этом указанный этиленовый полимер имеет Mw в любом диапазоне, раскрытом в данном документе, например, от около 275000 до около 425000, от около 275000 до около 400000, от около 300000 до около 450000, от около 300000 до около 425000, от около 300000 до около 400000, от около 325000 до около 450000, от около 325000 до около 425000, от около 325000 до около 400000 г/моль и т. д.

Аспект 11. Полимер по любому из предшествующих аспектов, при этом указанный этиленовый полимер имеет Mn в любом диапазоне, раскрытом в данном документе, например, от около 15000 до около 40000, от около 15000 до около 35000, от около 15000 до около 28000, от около 17000 до около 40000, от около 17000 до около 35000, от около 17000 до около 27000 г/моль и т. д.

Аспект 12. Полимер по любому из предшествующих аспектов, при этом указанный этиленовый полимер имеет Mz в любом диапазоне, раскрытом в данном документе, например, от около 1500000 до около 3000000, от около 1750000 до около 2750000 или от около 1850000 до около 2750000 г/моль и т. д.

Аспект 13. Полимер по любому из предшествующих аспектов, при этом указанный этиленовый полимер имеет отношение Mw/Mn в любом диапазоне, раскрытом в данном документе, например, от около 7 до около 20, от около 7 до около 18, от около 8 до около 20, от около 8 до около 18, от около 10 до около 20, от около 10 до около 18 и т. д.

Аспект 14. Полимер по любому из предшествующих аспектов, при этом указанный этиленовый полимер имеет отношение Mz/Mw в любом диапазоне, раскрытом в данном документе, например, от около 4,5 до около 8, от около 4,5 до около 7,5, от около 5 до около 7 и т. д.

Аспект 15. Полимер по любому из предшествующих аспектов, при этом указанный этиленовый полимер имеет параметр CY-a в любом диапазоне, раскрытом в данном документе, например, от около 0,1 до около 0,45, от около 0,15 до около 0,4, от около 0,18 до около 0,36, от около 0,2 до около 0,35 и т. д.

Аспект 16. Полимер по любому из предшествующих аспектов, при этом указанный этиленовый полимер имеет вязкость при HLMI (эта @ HLMI или η @ HLMI) в любом диапазоне, раскрытом в данном документе, например, от около 1400 до около 4000, от около 1500 до около 4000, от около 1600 до около 4000, от около 1400 до около 3900, от около 1500 до около 3900, от около 1600 до около 3900 Па-с и т. д.

Аспект 17. Полимер по любому из предшествующих аспектов, при этом указанный этиленовый полимер имеет вязкость при 100 с-1 (эта @ 100 или η @ 100) в любом диапазоне, раскрытом в данном документе, например, от около 1500 до около 3000, от около 1600 до около 2800, от около 1700 до около 2700, от около 1650 до около 2650, от около 1750 до около 2500 Па-с и т. д.

Аспект 18. Полимер по любому из предшествующих аспектов, при этом указанный этиленовый полимер имеет вязкость при нулевом сдвиге в любом диапазоне, раскрытом в данном документе, например, превышающую или равную около 5×105, превышающую или равную около 7,5×105, превышающую или равную около 1×106, в диапазоне от около 1×106 до около 1×107 Па-с и т. д.

Аспект 19. Полимер по любому из предшествующих аспектов, при этом указанный этиленовый полимер имеет tan δ при 0,1 с-1 в любом диапазоне, раскрытом в данном документе, например, от около 0,65 до около 0,98 градуса, от около 0,7 до около 0,97 градуса, от около 0,8 до около 0,98 градуса, от около 0,82 до около 0,97 градуса и т. д.

Аспект 20. Полимер по любому из предшествующих аспектов, при этом указанный этиленовый полимер имеет IVc в любом диапазоне, раскрытом в данном документе, например, от около 2,9 до около 3,7, от около 3 до около 3,6, от около 3,1 до около 3,5 дл/г и т. д.

Аспект 21. Полимер по любому из предшествующих аспектов, при этом указанный этиленовый полимер имеет отношение Mn/IVc в любом диапазоне, раскрытом в данном документе, например, от около 5,5 до около 12, от около 6 до около 10, от около 5,5 до около 8,2, от около 6 до около 8 и т. д.

Аспект 22. Полимер по любому из предшествующих аспектов, при этом указанный этиленовый полимер имеет отношение η @ 0,1/η @ 100 в любом диапазоне, раскрытом в данном документе, например, от около 50 до около 150, от около 60 до около 130, от около 85 до около 130, от около 90 до около 120 и т. д.

Аспект 23. Полимер по любому из предшествующих аспектов, при этом указанный этиленовый полимер имеет частичную массу в любом диапазоне, раскрытом в данном документе, например, от около 1800 до около 2500, от около 1800 до около 2200, от около 1800 до около 2100, от около 1850 до около 2100, от около 1850 до около 2050 г и т. д.

Аспект 24. Полимер по любому из предшествующих аспектов, при этом указанный этиленовый полимер имеет рабочую поверхность (сверху) в любом диапазоне, раскрытом в данном документе, например, от около 9,3 до около 10,5, от около 9,5 до около 10,5, от около 9,6 до около 10,3 дюймов и т. д.

Аспект 25. Полимер по любому из предшествующих аспектов, при этом указанный этиленовый полимер имеет продолжительность цикла в любом диапазоне, раскрытом в данном документе, например, от около 150 до около 300, от около 150 до около 275, от около 160 до около 280, от около 160 до около 260 секунд и т. д.

Аспект 26. Полимер по любому из предшествующих аспектов, при этом указанный этиленовый полимер имеет бимодальное молекулярно-массовое распределение.

Аспект 27. Полимер по любому из предшествующих аспектов, при этом указанный этиленовый полимер представляет собой единственный продукт реактора, а, например, не полученную после извлечения из реактора смесь двух полимеров, например, имеющих разные молекулярно-массовые характеристики.

Аспект 28. Полимер по любому из предшествующих аспектов, при этом указанный этиленовый полимер содержит сополимер этилена и α-олефина.

Аспект 29. Полимер по любому из предшествующих аспектов, при этом указанный этиленовый полимер содержит сополимер этилена и 1-бутена, сополимер этилена и 1-гексена и/или сополимер этилена и 1-октена.

Аспект 30. Полимер по любому из предшествующих аспектов, при этом указанный этиленовый полимер содержит сополимер этилена и 1-гексена.

Аспект 31. Полимер по любому из предшествующих аспектов, при этом указанный этиленовый полимер содержит, независимо, менее 0,1 м.д. (мас.), менее 0,08 м.д., менее 0,05 м.д., менее 0,03 м.д. и т. д. хрома и титана.

Аспект 32. Изделие, содержащее этиленовый полимер, определенный в любом из предшествующих аспектов.

Аспект 33. Изделие, содержащее этиленовый полимер по любому из аспектов 1-31, при этом указанное изделие представляет собой сельскохозяйственную пленку, автомобильную деталь, бутылку, контейнер для химических веществ, барабан, волокно или ткань, пленку или контейнер для упаковки пищевых продуктов, изделие для предприятий общественного питания, топливный бак, геомембрану, бытовой контейнер, вкладыш, формованный продукт, медицинское устройство или материал, продукт для открытого хранения, оборудование для игр на открытом воздухе, трубу, лист или ленту, игрушку или дорожное заграждение.

Аспект 34. Изделие, определенное в аспекте 32 или 33, при этом указанное изделие имеет менее 10 (или менее 5, или менее 2) выступов или серьезных дефектов поверхности.

Аспект 35. Каталитическая композиция, содержащая: каталитический компонент I, содержащий любое немостиковое металлоценовое соединение, раскрытое в данном документе, каталитический компонент II, содержащий любое мостиковое металлоценовое соединение, раскрытое в данном документе, любой активатор, раскрытый в данном документе, и, необязательно, любой раскрытый в данном документе сокатализатор.

Аспект 36. Композиция по аспекту 35, в которой каталитический компонент II содержит мостиковое металлоценовое соединение на основе циркония или гафния.

Аспект 37. Композиция по аспекту 35, в которой каталитический компонент II содержит мостиковое металлоценовое соединение на основе циркония или гафния с алкенильным заместителем.

Аспект 38. Композиция по аспекту 35, в которой каталитический компонент II содержит мостиковое металлоценовое соединение на основе циркония или гафния с алкенильным заместителем и флуоренильной группой.

Аспект 39. Композиция по аспекту 35, в которой каталитический компонент II содержит мостиковое металлоценовое соединение на основе циркония или гафния с циклопентадиенильной группой и флуоренильной группой, и с алкенильным заместителем в мостиковой группе и/или в циклопентадиенильной группе.

Аспект 40. Композиция по аспекту 35, в которой каталитический компонент II содержит мостиковое металлоценовое соединение, содержащее алкильную и/или арильную группу-заместитель в мостиковой группе.

Аспект 41. Композиция по любому из аспектов 35-40, в которой каталитический компонент I содержит немостиковое металлоценовое соединение на основе циркония или гафния, содержащее две циклопентадиенильные группы, две инденильные группы или циклопентадиенильную и инденильную группы.

Аспект 42. Композиция по любому из аспектов 35-40, в которой каталитический компонент I содержит немостиковое металлоценовое соединение на основе циркония или гафния, содержащее две циклопентадиенильные группы.

Аспект 43. Композиция по любому из аспектов 35-40, в которой каталитический компонент I содержит немостиковое металлоценовое соединение на основе циркония или гафния, содержащее две инденильные группы.

Аспект 44. Композиция по любому из аспектов 35-40, в которой каталитический компонент I содержит немостиковое металлоценовое соединение на основе циркония или гафния, содержащее циклопентадиенильную и инденильную группы.

Аспект 45. Композиция по любому из аспектов 35-44, в которой активатор содержит подложку-активатор, алюмоксановое соединение, борорганическое или органоборатное соединение, ионизирующее ионное соединение или любую их комбинацию.

Аспект 46. Композиция по любому из аспектов 35-44, в которой активатор содержит алюмоксановое соединение.

Аспект 47. Композиция по любому из аспектов 35-44, в которой активатор содержит борорганическое или органоборатное соединение.

Аспект 48. Композиция по любому из аспектов 35-44, в которой активатор содержит ионизирующее ионное соединение.

Аспект 49. Композиция по любому из аспектов 35-44, в которой активатор содержит подложку-активатор, причем указанная подложка-активатор содержит любой твердый оксид, обработанный любым электроноакцепторным анионом, раскрытым в данном документе.

Аспект 50. Композиция по любому из аспектов 35-44, в которой активатор содержит фторидированный оксид алюминия, хлоридированный оксид алюминия, бромидированный оксид алюминия, сульфатированный оксид алюминия, фторидированный оксид алюминия-кремния, хлоридированный оксид алюминия-кремния, бромидированный оксид алюминия-кремния, сульфатированный оксид алюминия-кремния, фторидированный оксид кремния-циркония, хлоридированный оксид кремния-циркония, бромидированный оксид кремния-циркония, сульфатированный оксид кремния-циркония, фторидированный оксид кремния-титана, оксид алюминия, покрытый фторидированным-хлоридированным диоксидом кремния, оксид алюминия, покрытый фторидированным диоксидом кремния, оксид алюминия, покрытый сульфатированным диоксидом кремния, оксид алюминия, покрытый фосфатированным диоксидом кремния или любую их комбинацию.

Аспект 51. Композиция по любому из аспектов 35-44, в которой активатор содержит фторидированный твердый оксид и/или сульфатированный твердый оксид.

Аспект 52. Композиция по любому из аспектов 35-51, при этом указанная каталитическая композиция содержит сокатализатор, например, любой сокатализатор, раскрытый в данном документе.

Аспект 53. Композиция по любому из аспектов 35-52, в которой сокатализатор содержит любое алюминийорганическое соединение, раскрытое в данном документе.

Аспект 54. Композиция по аспекту 53, в которой алюминийорганическое соединение включает триметилалюминий, триэтилалюминий, триизобутилалюминий или их комбинацию.

Аспект 55. Композиция по любому из аспектов 49-54, при этом указанная каталитическая композиция содержит каталитический компонент I, каталитический компонент II, твердый оксид, обработанный электроноакцепторным анионом, и алюминийорганическое соединение.

Аспект 56. Композиция по любому из аспектов 49-55, при этом указанная каталитическая композиция по существу не содержит алюмоксановые соединения, борорганические или бораторганические соединения, ионизирующие ионные соединения или их комбинации.

Аспект 57. Композиция по любому из аспектов 35-56, при этом массовое отношение каталитического компонента I к каталитическому компоненту II в указанной каталитической композиции находится в любом диапазоне, раскрытом в данном документе, например, от около 10:1 до около 1:10, от около 5:1 до около 1:5, от около 2:1 до около 1:2 и т. д.

Аспект 58. Композиция по любому из аспектов 35-57, при этом указанную каталитическую композицию получают способом, включающим приведение в контакт, в любом порядке, каталитического компонента I, каталитического компонента II и активатора или приведение в контакт, в любом порядке, каталитического компонента I, каталитического компонента II, активатора и сокатализатора.

Аспект 59. Композиция по любому из аспектов 35-58, при этом каталитическая активность указанной каталитической композиции находится в любом диапазоне, раскрытом в данном документе, например, от около 150 до около 10000, от около 500 до около 7500, от около 1000 до около 5000 граммов и т. д. полимера этилена на грамм подложки-активатора в час, в условиях суспензионной полимеризации, с триизобутилалюминиевым сокатализатором, с применением изобутана в качестве разбавителя и при температуре полимеризации 90 °С и давлении в реакторе 390 фунтов/кв.дюйм изб. (2,7 МПа изб.).

Аспект 60. Способ полимеризации олефинов, включающий приведение каталитической композиции по любому из аспектов 35-59 в контакт с олефиновым мономером и необязательным олефиновым сомономером в системе реакторов полимеризации в условиях полимеризации для получения олефинового полимера.

Аспект 61. Способ по аспекту 60, в котором олефиновый мономер содержит любой олефиновый мономер, раскрытый в данном документе, например, любой C2-C20 олефин.

Аспект 62. Способ по аспекту 60 или 61, в котором указанный олефиновый мономер и олефиновый сомономер независимо содержат C2-C20 альфа-олефин.

Аспект 63. Способ по любому из аспектов 60-62, в котором указанный олефиновый мономер содержит этилен.

Аспект 64. Способ по любому из аспектов 60-63, в котором указанную каталитическую композицию приводят в контакт с этиленом и олефиновым сомономером, содержащим C3-C10 альфа-олефин.

Аспект 65. Способ по любому из аспектов 60-64, в котором указанную каталитическую композицию приводят в контакт с этиленом и олефиновым сомономером, содержащим 1-бутен, 1-гексен, 1-октен или их смесь.

Аспект 66. Способ по любому из аспектов 60-65, в котором указанная система реакторов полимеризации содержит реактор периодического действия, суспензионный реактор, газофазный реактор, растворный реактор, реактор высокого давления, трубчатый реактор, автоклавный реактор или их комбинацию.

Аспект 67. Способ по любому из аспектов 60-66, в котором указанная система реакторов полимеризации содержит суспензионный реактор, газофазный реактор, растворный реактор или их комбинацию.

Аспект 68. Способ по любому из аспектов 60-67, в котором указанная система реакторов полимеризации содержит петлевой суспензионный реактор.

Аспект 69. Способ по любому из аспектов 60-68, в котором указанная система реакторов полимеризации содержит один реактор.

Аспект 70. Способ по любому из аспектов 60-68, в котором указанная система реакторов полимеризации содержит 2 реактора.

Аспект 71. Способ по любому из аспектов 60-68, в котором указанная система реакторов полимеризации содержит более 2 реакторов.

Аспект 72. Способ по любому из аспектов 60-71, в котором указанный олефиновый полимер содержит любой олефиновый полимер, раскрытый в данном документе.

Аспект 73. Способ по любому из аспектов 60-72, в котором указанный олефиновый полимер содержит гомополимер этилена, сополимер этилена и 1-бутена, сополимер этилена и 1-гексена и/или сополимер этилена и 1-октена.

Аспект 74. Способ по любому из аспектов 60-73, в котором указанный олефиновый полимер содержит сополимер этилена и 1-гексена.

Аспект 75. Способ по любому из аспектов 60-74, в котором указанные условия полимеризации включают температуру реакции полимеризации в диапазоне от около 60 °C до около 120 °C и реакционное давление в диапазоне от около 200 до около 1000 фунтов/кв.дюйм изб. (от около 1,4 до около 6,9 МПа изб.).

Аспект 76. Способ по любому из аспектов 60-75, в котором указанные условия полимеризации являются по существу постоянными, например, для конкретного класса полимеров.

Аспект 77. Способ по любому из аспектов 60-76, в котором в указанную систему реакторов полимеризации не добавляют водород.

Аспект 78. Способ по любому из аспектов 60-76, в котором в указанную систему реакторов полимеризации добавляют водород.

Аспект 79. Способ по любому из аспектов 60-78, в котором указанный полученный олефиновый полимер определен в любом из аспектов 1-31.

Аспект 80. Олефиновый полимер, полученный способом полимеризации олефинов по любому из аспектов 60-78.

Аспект 81. Этиленовый полимер по любому из аспектов 1-31, полученный способом по любому из аспектов 60-78.

Аспект 82. Изделие (например, формованное раздувом изделие), содержащее полимер по аспекту 80 или 81.

Похожие патенты RU2832931C2

название год авторы номер документа
ПОЛИМЕРЫ ДЛЯ ВЫДУВНОГО ФОРМОВАНИЯ, ОБРАБОТАННЫЕ ПЕРЕКИСЬЮ, С ПОВЫШЕННЫМ ВЕСОВЫМ НАБУХАНИЕМ И ПОСТОЯННЫМ РАЗБУХАНИЕМ ЭКСТРУДИРУЕМОГО ПОТОКА 2022
  • Инн, Ионгву
  • Ратман, Джон Р.
  • Юй, Юлу
  • Сукхадиа, Ашиш М.
  • Чаффин, Джей М.
  • Круз, Карлос А.
RU2829446C2
ПОЛИМЕРЫ С ПОВЫШЕННЫМ ESCR ДЛЯ ПРИМЕНЕНИЯ В ВЫДУВНОМ ФОРМОВАНИИ 2016
  • Греко, Джеффри Ф.
  • Ян, Цин
  • Рохати, Вивек
  • Хлавинка, Марк Л.
  • Аскью, Джим Б.
RU2705086C2
ЭТИЛЕНОВЫЕ ГОМОПОЛИМЕРЫ С ОБРАТНЫМ РАСПРЕДЕЛЕНИЕМ КОРОТКОЦЕПОЧЕЧНЫХ РАЗВЕТВЛЕНИЙ 2019
  • Смолл, Брук Л.
  • Макдэниел, Макс П.
  • Милнер, Мэттью Ф.
  • Делорье, Пол Дж.
RU2806260C2
ДВОЙНАЯ КАТАЛИТИЧЕСКАЯ СИСТЕМА ДЛЯ ПОЛУЧЕНИЯ ПОЛИЭТИЛЕНОВ ВЫСОКОЙ ПЛОТНОСТИ С ДЛИННОЦЕПОЧЕЧНОЙ РАЗВЕТВЛЕННОСТЬЮ 2020
  • Динг, Эррун
  • Ян, Цин
  • Манингер, Рэндалл С.
  • Юй, Юлу
  • Инн, Ионгву
RU2799876C2
МЕТАЛЛОЦЕНОВЫЕ ДВОЙНЫЕ КАТАЛИТИЧЕСКИЕ СИСТЕМЫ ЦИГЛЕРА-НАТТА С АКТИВАТОРАМИ-НОСИТЕЛЯМИ 2016
  • Динг, Эррун
  • Ян, Цин
  • Гатни, Ллойд В.
  • Греко, Джеффри Ф.
RU2730017C2
СПОСОБЫ РЕГУЛИРОВАНИЯ ПОЛИМЕРИЗАЦИИ ОЛЕФИНОВ С ПРИМЕНЕНИЕМ ДВУХКОМПОНЕНТНОГО МЕТАЛЛОЦЕНОВОГО КАТАЛИЗАТОРА СПИРТОВЫМ СОЕДИНЕНИЕМ 2014
  • Ян Цин
  • Макдэниел Макс П
  • Крейн Тони Р
  • Масино Альберт П
  • Цимбалюк Тед Х.
  • Стюарт Джон Д
RU2655383C2
МЕТОДЫ ПОВЫШЕНИЯ ЦВЕТОСТОЙКОСТИ ПОЛИЭТИЛЕНОВЫХ СМОЛ 2018
  • Камплейн, Джастин, Уэйд
  • Лейнир, Элизабет, Мэри
RU2775725C2
КАТАЛИТИЧЕСКИЕ СИСТЕМЫ НА ОСНОВЕ ФОСФИНИМИДА ТИТАНА И ИМИНОИМИДАЗОЛИДИДА ТИТАНА С ПОДЛОЖКАМИ-АКТИВАТОРАМИ 2015
  • Круз, Карлос А
  • Барр, Джаред Л
  • Прэториус, Джереми М.
RU2824748C2
КАТАЛИТИЧЕСКИЕ СИСТЕМЫ НА ОСНОВЕ ФОСФИНИМИДА ТИТАНА И ИМИНОИМИДАЗОЛИДИДА ТИТАНА С ПОДЛОЖКАМИ-АКТИВАТОРАМИ 2015
  • Круз Карлос А
  • Барр Джаред Л
  • Прэториус Джереми М.
RU2706120C2
ДВОЙНАЯ КАТАЛИТИЧЕСКАЯ СИСТЕМА ДЛЯ ПОЛУЧЕНИЯ СОПОЛИМЕРОВ LLDPE С УЛУЧШЕННОЙ ТЕХНОЛОГИЧНОСТЬЮ 2018
  • Юй, Юлу
  • Манинджер, Рэндалл
  • Динг, Эррун
  • Цо, Чунг Чинг
  • Ян, Цин
  • Инн, Ионгву
RU2740918C1

Иллюстрации к изобретению RU 2 832 931 C2

Реферат патента 2025 года ПОЛИМЕРЫ ДЛЯ ФОРМОВАНИЯ РАЗДУВОМ С УЛУЧШЕННЫМИ ПРОДОЛЖИТЕЛЬНОСТЬЮ ЦИКЛА, ТЕХНОЛОГИЧЕСКИМИ ХАРАКТЕРИСТИКАМИ И КАЧЕСТВОМ ПОВЕРХНОСТИ

Настоящее изобретение относится к этиленовому полимеру, а также к изделию, содержащему этиленовый полимер, и к способу полимеризации. Этиленовый полимер имеет плотность от 0,952 до 0,965 г/см3, индекс расплава при повышенном напряжении сдвига (HLMI) от 5 до 25 г/10 мин, средневесовую молекулярную массу от 275000 до 450000 г/моль, среднечисловую молекулярную массу от 15000 до 28000 г/моль, вязкость при HLMI от 1400 до 4000 Па⋅с и tan δ при 0,1 с-1 от 0,65 до 0,98°. Способ полимеризации включает приведение каталитической композиции в контакт с этиленом и альфа-лефином в системе реактора полимеризации в условиях полимеризации с получением этиленового полимера. Каталитическая композиция содержит немостиковое металлоценовое соединение, мостиковое металлоценовое соединение, носитель-активатор и алюминийорганическое соединение. Полученные полимеры обладают технологическими характеристиками этиленовых полимеров, полученных с использованием каталитической системы на основе хрома, но имеют улучшенную стойкостью к растрескиванию под напряжением и могут быть использованы при формовании раздувом больших деталей. 4 н. 6 з.п. ф-лы, 3 ил., 4 табл., 10 пр.

Формула изобретения RU 2 832 931 C2

1. Этиленовый полимер, имеющий:

плотность в диапазоне от около 0,952 до около 0,965 г/см3;

индекс расплава при повышенном напряжении сдвига (HLMI) в диапазоне от около 5 до около 25 г/10 мин;

средневесовую молекулярную массу (Mw) в диапазоне от около 275000 до около 450000 г/моль;

среднечисловую молекулярную массу (Mn) в диапазоне от около 15000 до около 28000 г/моль;

вязкость при HLMI (η @ HLMI) в диапазоне от около 1400 до около 4000 Па⋅с; и

tan δ при 0,1 с-1 в диапазоне от около 0,65 до около 0,98°.

2. Полимер по п. 1, отличающийся тем, что указанный этиленовый полимер имеет сопротивление растрескиванию под воздействием окружающей среды (ESCR), определяемому согласно ASTM D1693, условие В, с 10% игепала, по меньшей мере 500 часов.

3. Полимер по п. 1, отличающийся тем, что указанный этиленовый полимер имеет отношение Mw/Mn в диапазоне от около 8 до около 20.

4. Полимер по п. 1, отличающийся тем, что указанный этиленовый полимер имеет:

параметр CY-a в диапазоне от около 0,18 до около 0,36; и

вязкость при 100 с-1 в диапазоне от около 1600 до около 2800 Па⋅с.

5. Полимер по п. 1, отличающийся тем, что указанный этиленовый полимер имеет:

менее чем около 0,008 длинноцепочечных разветвлений на 1000 общих атомов углерода; и

обратное распределение сомономера.

6. Полимер по п. 1, отличающийся тем, что указанный этиленовый полимер независимо содержит менее 0,08 м.д. (мас.) хрома и титана.

7. Полимер по п. 1, отличающийся тем, что указанный этиленовый полимер содержит сополимер этилена и 1-бутена, сополимер этилена и 1-гексена и/или сополимер этилена и 1-октена.

8. Изделие, формованное раздувом, содержащее этиленовый полимер по п. 1.

9. Изделие, содержащее этиленовый полимер по п. 7.

10. Способ полимеризации, причем указанный способ включает приведение каталитической композиции в контакт с этиленом и α-олефиновым сомономером в системе реактора полимеризации в условиях полимеризации с получением этиленового полимера, при этом этиленовый полимер имеет:

плотность в диапазоне от около 0,952 до около 0,965 г/см3;

HLMI в диапазоне от около 5 до около 25 г/10 мин;

Mw в диапазоне от около 275000 до около 450000 г/моль;

Mn в диапазоне от около 15000 до около 28000 г/моль;

вязкость при HLMI (η @ HLMI) в диапазоне от около 1400 до около 4000 Па⋅с; и

tan δ при 0,1 с-1 в диапазоне от около 0,65 до около 0,98°; и

указанная каталитическая композиция содержит:

немостиковое металлоценовое соединение, содержащее две циклопентадиенильные группы, две инденильные группы или циклопентадиенильную и инденильную группы;

мостиковое металлоценовое соединение с циклопентадиенильной группой и флуоренильной группой, а также алкенильным заместителем в циклопентадиенильной группе и/или в мостиковой группе;

носитель-активатор, содержащий твердый оксид, обработанный электроноакцепторным анионом; и

алюминийорганическое соединение, где

носитель-активатор содержит фторированный твердый оксид и/или сульфатированный твердый оксид; и

реакторная система полимеризации содержит суспензионный реактор, газофазный реактор, растворный реактор или их комбинацию.

Документы, цитированные в отчете о поиске Патент 2025 года RU2832931C2

US 2015259455 A1, 17.09.2015
US 9493589 B1, 15.11.2016
ПОЛИЭТИЛЕН И КАТАЛИТИЧЕСКАЯ КОМПОЗИЦИЯ ДЛЯ ЕГО ПОЛУЧЕНИЯ 2005
  • Кипке Дженнифер
  • Михан Шахрам
  • Карер Райнер
  • Лилге Дитер
RU2386642C2
ПОЛУЧЕНИЕ ПОЛИОЛЕФИНОВЫХ ПРОДУКТОВ 2015
  • Рикс Франсис К.
  • Лью Чин-Тай
  • Харлан С. Джефф
  • Маккалаф Лафлин Дж.
RU2691994C2
ФОРМОВАНИЕ РАЗДУВОМ ПОЛИЭТИЛЕНОВЫХ ПОЛИМЕРОВ 2006
  • Канн Кевин Дж.
  • Айзингер Роналд С.
  • Гуди Марк Г.
  • Мурхауз Джон Х.
  • Мьюр Клифф Р.
  • Джейкер Стефен П.
  • Апесетч Мария А.
RU2412205C2
КАТАЛИЗАТОР И СПОСОБ ПОЛИМЕРИЗАЦИИ 2000
  • Макдэниел Макс П.
  • Бенхам Элизабет А.
RU2255094C2

RU 2 832 931 C2

Авторы

Круз, Карлос А.

Инн, Ионгву

Ламбли, Джастин В.

Ратледж-Райал, Брэнди

Ратман, Джон Р.

Хикс, Дженнифер Л.

Чаффин, Джей М.

Даты

2025-01-10Публикация

2020-07-20Подача