Область техники
Следующее описание относится к новому вкусо-ароматическому агенту, в котором вкусо-ароматические компоненты выделяются при нагревании, композиции вкусо-ароматического агента и содержащему его изделию.
Предшествующий уровень техники
В целях дополнительного улучшения вкусовых качеств в продукты питания и курительные изделия могут быть добавлены вкусо-ароматические агенты. Курительные изделия изготавливают таким образом, чтобы дым или аэрозоль, генерируемый в курительных изделиях, перемещался в направлении сверху вниз и поступал к курильщику, позволяя ему получать удовлетворение от курения. Удовлетворение от курения определяют различные факторы, важнейшим из которых является вкус сигареты, ощущаемый курильщиком. Курильщик хочет ощущать разнообразные вкусы сигарет в одном курительном изделии, и производители сигарет добавляют вкусо-ароматические вещества (например, вкусо-ароматические агенты), чтобы удовлетворить желание курильщика таким образом, чтобы он мог ощущать различные вкусы и ароматы.
Химическая структура существующих вкусо-ароматических агентов с высокой вероятностью разлагается при комнатной температуре, если курительное изделие хранится в течение длительного периода времени, вследствие чего затрудняется выделение аромата, способного усилить вкус сигареты во время курения в достаточной степени, вследствие улетучивания вкусо-ароматических компонентов, или ослабляется стойкость аромата, или вкус сигареты изменяется по мере курения. Соответственно, необходимо разработать вкусо-ароматический агент, способный повысить удовлетворенность курильщика от курения. Вкусо-ароматические агенты применяют для придания продуктам питания различных вкусо-ароматических качеств, но при обработке и/или длительном хранении продуктов вкус и аромат часто улетучиваются, высвобождаются и исчезают. Поэтому необходимо разработать вкусо-ароматический агент, который способен предотвращать или задерживать выделение летучих вкуса и аромата в целях увеличения срока хранения, а также в достаточной степени выделять вкус и аромат при использовании потребителями.
Раскрытие изобретения
Технические цели
Существующие соединения, имеющие вкусо-ароматические качества, обладают низкой химической структурной стабильностью при комнатной температуре (rt) или близкой к ней температуре, вследствие чего возможна трансформация структуры или разложение с возможным последующим улетучиванием вкусо-ароматических компонентов. Для решения этой проблемы задачей настоящего изобретения является разработка нового вкусо-ароматического агента, в котором вкусо-ароматические компоненты выделяются при термическом разложении под действием тепла.
Настоящее изобретение относится к композиции вкусо-ароматического агента, содержащей новый вкусо-ароматический агент согласно настоящему изобретению.
Настоящее изобретение относится к изделию, содержащему новый вкусо-ароматический агент согласно настоящему изобретению.
Тем не менее, проблема, решаемая настоящим изобретением, не ограничивается вышеупомянутыми, и другие проблемы, не упомянутые выше, будут понятны специалистам в данной области техники из приведенного ниже описания.
Технические решения
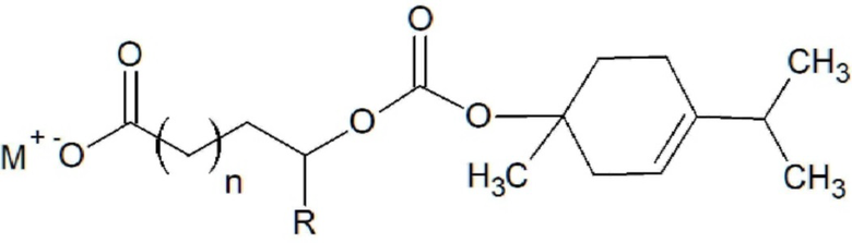
В одном из вариантов осуществления настоящего изобретения предложен вкусо-ароматический агент, представляющий собой соединение, выраженное приведенной ниже формулой 1.
[Формула 1]
(в формуле 1
n - целое число 1 или 2,
M выбирают из щелочных и переходных металлов,
R представляет собой неразветвленную или разветвленную алкильную группу, содержащую от 1 до 30 атомов углерода, и
компонент A' представляет собой компонент, полученный из ароматического соединения, содержащего по меньшей мере одно из следующего: ароматическое кольцо, алифатическое кольцо и алифатическую цепь с гидроксильной группой, при этом гидроксильная группа участвует в карбонатной связывающей группе (
), и фрагмент A' соответствует ароматическому соединению без гидроксильной группы)
В одном из вариантов осуществления настоящего изобретения вкусо-ароматическое соединение может представлять собой циклическое соединение на основе монотерпена с гидроксильной группой, ациклическое соединение на основе монотерпена с гидроксильной группой, ароматическое соединение C6-C10 с гидроксильной группой и неароматическое кольцо C5-C6 с гидроксильной группой.
В одном из вариантов осуществления настоящего изобретения переходный металл может быть выбран из Zr, Mg, Ca, Co, Rh, Ir, Nb, Pd, Pt, Fe, Ru, Os, Cr, Mo, W, Mn, Tc, Re, Cu, Ag или Au, а щелочной металл может быть выбран из Li, Na, K, Rb или Cs.
В одном из вариантов осуществления настоящего изобретения вкусо-ароматический агент может представлять собой соединение вкусо-ароматического агента, выделяющее вкус и аромат при термическом разложении.
В одном из вариантов осуществления настоящего изобретения возможно термическое разложение вкусо-ароматического агента на вкусо-ароматическое соединение, лактонное соединение и диоксид углерода.
В одном из вариантов осуществления настоящего изобретения термическое разложение соединения может происходить при температуре 80°C или выше.
В одном из вариантов осуществления настоящего изобретения вкусо-ароматический агент может представлять собой вкусо-ароматический агент для продуктов питания или курительных изделий.
В одном из вариантов осуществления настоящего изобретения предложена композиция, содержащая вкусо-ароматический агент согласно настоящему изобретению.
В одном из вариантов осуществления настоящего изобретения композиция может представлять собой твердую фазу, суспензию, пасту, гель, жидкую фазу, эмульсию или аэрозоль.
В одном из вариантов осуществления настоящего изобретения композиция может дополнительно содержать носитель и/или добавку для продуктов питания или курительных изделий.
В одном из вариантов осуществления настоящего изобретения предложено курительное изделие, содержащее вкусо-ароматический агент согласно настоящему изобретению.
В одном из вариантов осуществления настоящего изобретения курительное изделие может содержать суспензию, пасту, жидкую фазу, гель, порошок, гранулы, лист, пленку, волокно или формованное тело, содержащее вкусо-ароматический агент.
В одном из вариантов осуществления настоящего изобретения курительное изделие может представлять собой сигарету или электронную сигарету.
В одном из вариантов осуществления настоящего изобретения предложен продукт питания, содержащий вкусо-ароматический агент согласно настоящему изобретению.
В одном из вариантов осуществления настоящего изобретения продукт питания выполнен с возможностью смешивания или приготовления под нагревом со вкусо-ароматическим агентом согласно настоящему изобретению.
Эффекты
В одном из вариантов осуществления настоящего изобретения, когда вкусо-ароматический агент согласно настоящему изобретению вводят в курительное изделие, то, поскольку вкусо-ароматические компоненты выделяются во время курения для устранения едкого запаха бокового дымового потока, и вкусо-ароматические компоненты выделяются во время термического разложения при нагревании, можно улучшить вкус сигареты и постоянно поддерживать вкус сигареты.
В одном из вариантов осуществления настоящего изобретения, поскольку вкусо-ароматический агент согласно настоящему изобретению термически разлагается при нагревании для выделения вкусо-ароматических компонентов, при введении в продукты питания можно обеспечить насыщенный вкус и аромат в процессе приготовления, а срок хранения вкусо-ароматического агента в процессе хранения продуктов питания может быть продлен.
Краткое описание чертежей
На ФИГ. 1 представлены результаты ЯМР-анализа этил-4-гидроксигептаноата (2a), полученного в примере согласно одному из вариантов осуществления настоящего изобретения.
На ФИГ. 2 представлены результаты ЯМР-анализа этил 4-(ментилкарбонилокси)гептаноата (3a), полученного в примере согласно одному из вариантов осуществления настоящего изобретения.
На ФИГ. 3 представлены результаты ЯМР-анализа 4-(ментилкарбонилокси)гептановой кислоты (4a), полученной в примере согласно одному из вариантов осуществления настоящего изобретения.
На ФИГ. 4 представлены результаты ЯМР-анализа 4-(ментилкарбонилокси)нонановой кислоты (4b), полученной в примере согласно одному из вариантов осуществления настоящего изобретения.
На ФИГ. 5 представлены результаты ЯМР-анализа этил 5-(метилкарбонилокси)деканоата (3c), полученного в примере согласно одному из вариантов осуществления настоящего изобретения.
На ФИГ. 6 представлены результаты ЯМР-анализа этил 5-(метилкарбонилокси)деканоата (3c), полученного в примере согласно одному из вариантов осуществления настоящего изобретения.
На ФИГ. 7 представлены результаты ЯМР-анализа 5-(ментилкарбонилокси)декановой кислоты (4c), полученной в примере согласно одному из вариантов осуществления настоящего изобретения.
На ФИГ. 8 представлены результаты ЯМР-анализа 5-(ментилкарбонилокси)декановой кислоты (4c), полученной в примере согласно одному из вариантов осуществления настоящего изобретения.
На ФИГ. 9 представлены результаты ЯМР-анализа этил-4-гидроксиундеканоата (2d), полученного в примере согласно одному из вариантов осуществления настоящего изобретения.
На ФИГ. 10 представлены результаты ЯМР-анализа этил-4-гидроксиундеканоата (2d), полученного в примере согласно одному из вариантов осуществления настоящего изобретения.
На ФИГ. 11 представлены результаты ЯМР-анализа этил 4-(ментилкарбонилокси)ундеканоата (3d), полученного в примере согласно одному из вариантов осуществления настоящего изобретения.
На ФИГ. 12 представлены результаты ЯМР-анализа 4-(ментилкарбонилокси)ундекановой кислоты (4d), полученной в примере согласно одному из вариантов осуществления настоящего изобретения.
На ФИГ. 13 представлены результаты ЯМР-анализа 4-(ментилкарбонилокси)ундекановой кислоты (4d), полученной в примере согласно одному из вариантов осуществления настоящего изобретения.
На ФИГ. 14 представлены результаты ЯМР-анализа этил 4-(бензилоксикарбонилокси)ундеканоата (3e), полученного в примере согласно одному из вариантов осуществления настоящего изобретения.
На ФИГ. 15 представлены результаты ЯМР-анализа натрий (4-ментилкарбонилокси)ундеканоата (5d), полученного в примере согласно одному из вариантов осуществления настоящего изобретения.
На ФИГ. 16 показано распределение компонентов в зависимости от температуры термического разложения натрий (4- ментилкарбонилокси)ундеканоата (5d) , полученного в примере согласно одному из вариантов осуществления настоящего изобретения.
Лучший вариант осуществления изобретения
Варианты осуществления настоящего изобретения будут подробно раскрыты ниже со ссылкой на прилагаемые чертежи. В раскрытии настоящего изобретения отсутствует подробное раскрытие связанных с ним известных функций и конфигураций, если будет установлено, что оно может излишне размывать раскрытие предмета настоящего изобретения. Кроме того, термины, используемые в настоящем описании для надлежащего раскрытия предпочтительного варианта осуществления настоящего изобретения, могут быть изменены в зависимости от намерений пользователя или оператора, или принятой практики в области, к которой относится настоящее изобретение. Поэтому определение терминов должно быть сделано на основании полного содержания настоящего описания. Одинаковые ссылочные обозначения, представленные на каждом чертеже, относятся к одним и тем же элементам.
Если в тексте настоящего описания какой-либо элемент упоминается как находящийся «на» другом элементе, подразумевается, что он не только может находиться непосредственно на другом элементе, но и ситуацию, когда между этими двумя может присутствовать другой элемент.
Если в тексте настоящего описания указано, что часть «содержит» определенный элемент, это означает, что могут дополнительно содержаться другие элементы, без исключения других элементов.
Далее новый вкусо-ароматический агент согласно настоящему изобретению и использование вкусо-ароматического агента будут подробно раскрыты ниже со ссылкой на варианты осуществления и чертежи. Тем не менее, настоящее изобретение не ограничено этими вариантами осуществления и чертежами.
Настоящее изобретение относится к новому вкусо-ароматическому агенту, и согласно одному из вариантов осуществления настоящего изобретения, вкусо-ароматический агент может выделять вкусо-ароматические компоненты путем термического разложения под действием тепла.
В одном из вариантов осуществления настоящего изобретения вкусо-ароматический агент может представлять собой соединение, выраженное приведенной ниже формулой 1.
[Формула 1]
В одном из примеров настоящего изобретения ароматическое соединение согласно формуле 1 ковалентно связано с карбонатной связывающей группой (
), и при приложении тепла соединение согласно формуле 1 термически разлагается на вкусо-ароматическое соединение и лактонное соединение, что позволяет выделять вкусо-ароматические компоненты. Например, соединение согласно формуле 1 реагирует с гидроксильной группой вкусо-ароматического соединения через механизм размыкания кольца соединения на основе лактона для ковалентного связывания вкусо-ароматического соединения через карбонатную связывающую группу. Она может служить защитной группой для предотвращения преобразования в лактонные соединения вследствие замыкания кольца при комнатной температуре (rt) и/или близкой к ней температуре. Соединение согласно формуле 1 обладает структурной стабильностью при комнатной температуре (rt) или близкой к ней температуре, имеет низкую летучесть и получает тепло для разрушения карбонатной связывающей группы за счет механизма замыкания кольца, то есть соединение согласно формуле 1 может разлагаться на соединение на основе лактона и вкусо-ароматическое соединение для придания вкуса и аромата. В процессе разложения может образовываться углекислый газ, безвредный для человеческого организма. То есть, карбонатная связывающая группа разрушается под действием тепла, вследствие чего соединение согласно формуле 1 разлагается на вкусо-ароматические соединения, при этом может образовываться диоксид углерода. Далее, благодаря замыканию кольца, соединение согласно формуле 1 может разлагаться на соединения на основе лактона для выделения вкуса и аромата.
В одном из вариантов осуществления настоящего изобретения в формуле 1 n может быть целым числом 1 или 2. R может быть неразветвленным или разветвленным алкилом, содержащим от 1 до 30 атомов углерода; предпочтительно неразветвленным или разветвленным алкилом, содержащим от 2 до 10 атомов углерода.
В одном из вариантов осуществления настоящего изобретения компонент A в формуле 1 может представлять собой компонент, полученный из вкусо-ароматического соединения, содержащего по меньшей мере одно из следующего: ароматическое кольцо с гидроксильной группой, алифатическое кольцо с гидроксильной группой и алифатическую цепь с гидроксильной группой. Под гидроксильной группой может пониматься одна или несколько групп (например, одна или две) в кольце и/или цепи. Она может соответствовать заместителю с гидроксильной группой, основной цепи и/или компоненту. Гидроксильная группа участвует в карбонатной связывающей группе в формуле 1, а A' может соответствовать вкусо-ароматическому соединению без гидроксильной группы. То есть, поскольку гидроксильная группа вкусо-ароматического соединения в компоненте A защищена карбонатной связывающей группой, можно предотвратить реакцию разложения замыканием кольца при комнатной температуре.
В одном из вариантов осуществления настоящего изобретения вкусо-ароматическое соединение может представлять собой циклическое соединение на основе монотерпена с гидроксильной группой, ациклическое соединение на основе монотерпена с гидроксильной группой, ароматическое соединение C6-C10 с гидроксильной группой и неароматическое кольцо C5-C10 или C5-C6 с гидроксильной группой, а также их изомеры. Например, вкусо-ароматическое соединение может быть выражено одной из следующих формул и может представлять собой одно из следующих соединений, образующихся при разрыве карбонатной связывающей группы согласно формуле 1 при термическом разложении.
,
,
,
,
,
,
,
,
,
,
,
,
,
,
,
,
,
,
,
,
,
,
,
,
,
и
.
В одном из вариантов осуществления настоящего изобретения A' в компоненте А может быть выбрано из следующих формул. Здесь * соответствует положению кислорода в карбонатной связывающей группе.
,
,
,
,
,
,
,
,
,
,
,
,
,
,
,
,
,
,
,
,
,
,
,
,
,
и
.
В одном из вариантов осуществления настоящего изобретения M представляет собой щелочной или переходный металл, и M может образовывать соль с кислородом сложноэфирной группы для повышения растворимости в водорастворимых растворителях и для облегчения введения в продукты питания и курительные изделия. Например, переходный металл может представлять собой Zr, Mg, Ca, Co, Rh, Ir, Nb, Pd, Pt, Fe, Ru, Os, Cr, Mo, W, Mn, Tc, Re, Cu, Ag или Au. Например, щелочной металл может представлять собой Li, Na, K, Rb или Cs. Например, M может представлять собой металл, который образующий моновалентный катион, в частности, Li, Na или K.
В одном из вариантов осуществления настоящего изобретения лактонное соединение может представлять собой гамма-лактон согласно приведенной ниже Формуле 2 или дельта-лактон согласно приведенной ниже Формуле 3.
[Формула 2]
[Формула 3]
В одном из примеров настоящего изобретения в формулах 1 и 2 R может быть неразветвленной или разветвленной алкильной группой, содержащей от 1 до 30 атомов углерода; предпочтительно неразветвленной или разветвленной алкильной группой, содержащей от 2 до 10 атомов углерода.
В одном из вариантов осуществления настоящего изобретения лактонное соединение может быть выбрано из следующих формул.
,
,
,
,
,
,
,
,
,
,
,
и
.
В одном из вариантов осуществления настоящего изобретения соединение может быть выбрано из формул с 1-1 по 1-26.
[Формула 1-1]
[Формула 1-2]
[Формула 1-3]
[Формула 1-4]
[Формула 1-5]
[Формула 1-6]
[Формула 1-7]
[Формула 1-8]
[Формула 1-9]
[Формула 1-10]
[Формула 1-11]
[Формула 1-12]
[Формула 1-13]
[Формула 1-14]
[Формула 1-15]
[Формула 1-16]
[Формула 1-17]
[Формула 1-18]
[Формула 1-19]
[Формула 1-20]
[Формула 1-21]
[Формула 1-22]
[Формула 1-23]
[Формула 1-24]
[Формула 1-25]
[Формула 1-26]
.
(где M и R определены в Формуле 1 выше).
В одном из вариантов осуществления настоящего изобретения термическое разложение соединения может происходить при температуре 70°C или выше; 80°C или выше; 90°C или выше; или 100°C или выше, предпочтительно 120°C или выше; 150°C или выше; 200°C или выше; или более предпочтительно от 200°C до 300°C. Кроме того, термическое разложение соединения возможно в среде, содержащей кислород и/или влагу.
В одном из вариантов осуществления настоящего изобретения вкусо-ароматический агент может быть использован в качестве вкусо-ароматического агента для продуктов питания и курительных изделий. То есть, вкусо-ароматический агент может быть использован в качестве приемлемой добавки для продуктов питания и курительных изделий.
Настоящее изобретение относится к композиции, содержащей вкусо-ароматический агент согласно настоящему изобретению.
В одном из вариантов осуществления настоящего изобретения композиция может содержать вкусо-ароматический агент (т.е. вкусо-ароматическое соединение, представленное формулой 1) в соответствии с настоящим изобретением, и может дополнительно содержать носители и/или добавки в зависимости от использования. Носители и добавки представляют собой приемлемые носители и добавки для продуктов питания или курительных изделий и могут содержать, например, растворители, связующие вещества, разбавители, разлагающие агенты, смазочные материалы, вкусо-ароматические агенты, красители, консерванты, антиоксиданты, эмульгаторы, стабилизаторы, усилители вкуса и подсластители, но не ограничиваясь этим.
В одном из вариантов осуществления настоящего изобретения композиция может дополнительно содержать основной матричный компонент (или матрицу) в зависимости от использования, и основной матричный компонент может представлять собой, например, бумагу, целлюлозную массу, древесину, полимерную смолу (например, целлюлозу), волокно, растительные масла, нефтяные масла (например, парафины), животные масла, воски, жирные кислоты (например, животные жиры с 1-50 атомами углерода, растительные жиры, насыщенные жирные кислоты или ненасыщенные жирные кислоты (например, моно- или поли-ненасыщенные жирные кислоты)). Органические и/или неорганические или керамические порошки (например, мел, перлит, вермикулит, кизельгур, коллоидный кремнезем, оксид магния, сернокислый магний и карбонат магния), смачивающие агенты (например, глицерин или пропиленгликоль), ацетатные соединения и т. п. могут быть дополнительно добавлены к основному матричному компоненту.
В одном из вариантов осуществления настоящего изобретения композиция может дополнительно содержать табачные ингредиенты в зависимости от использования. При введении композиции в курительные изделия возможно выделение вкусов и ароматов в основной и боковой дымовой поток в условиях курения. Табачные ингредиенты могут представлять собой твердые материалы на основе табачного сырья, такие как табак в форме полотна, резаный табак и гомогенизированный табак, и могут быть выбраны из листового табака, прессованного табака и ленточного табака. Кроме того, композиция может дополнительно содержать аэрозольгенерирующий агент, который выполнен с возможностью использования в качестве среды сигареты и аэрозольгенерирующий агент может представлять собой сорбит, глицерин, пропиленгликоль, триэтиленгликоль, молочную кислоту, диацетин, триацетин, диацетат триэтиленгликоля, триэтил цитрат, этил миристат, изопропил миристат, метил стеарат, диметил додеканедиоат, диметил тетрадеканедиоат и т. п., но не ограничиваясь этим.
В одном из вариантов осуществления настоящего изобретения содержание вкусо-ароматического агента в композиции может составлять 0,0001 масс.% или более; 0,001 масс.% или более; 0,01 масс.% или более; от 0,0001 масс.% до 100 масс.% (или менее 100 масс.%); от 0,1 масс.% до 80 масс.%; от 0,0001 масс.% до 60 масс.%; от 0,001 масс.% до 50 масс.%; от 0,1 масс.% до 30 масс.%; от 1 масс.% до 20 масс.%; от 5 масс.% до 20 масс.%; или от 5 масс.% до 10 масс.%. В вышеуказанном диапазоне может быть реализована функция выделения вкуса и аромата в соответствии с термическим разложением вкусо-ароматического агента, и при введении в курительные изделия может быть реализовано улучшение вкуса сигарет.
В одном из вариантов осуществления настоящего изобретения композиция изготовлена в различных фазах и может представлять собой, например, твердую фазу (например, порошок, кристалл, хлопья, порошковый материал), взвесь, пасту, гель, жидкость, эмульсию или аэрозоль. Например, композиция может быть сформована, смешана в желаемый продукт или нанесена способами, известными в данной области техники, такими как печать, окунание, распыление и/или покрытие, явно не упоминаемыми в настоящем документе.
Настоящее изобретение относится к продукту питания, содержащему вкусо-ароматический агент согласно настоящему изобретению. В одном из вариантов осуществления настоящего изобретения продукт питания может содержать по меньшей мере одно из вышеупомянутых вкусо-ароматических соединений, представленных формулой 1 согласно настоящему изобретению. При нагревании и/или сгорании изделия вкусы и ароматы могут быть получены путем термического разложения вкусо-ароматического агента.
В одном из вариантов осуществления настоящего изобретения в качестве продукта питания может быть использовано пищевое сырье и вкусо-ароматический агент или композиция, содержащая вкусо-ароматический агент, и композиция может дополнительно содержать пищевую добавку в соответствии с желаемым продуктом питания. Например, композиция может содержать растворители (например, воду, спирты и жидкие экстракты), связующие вещества, разбавители (например, масла), разлагающие вещества, смазочные материалы, красители, консерванты, антиоксиданты, эмульгаторы, стабилизаторы, усилители вкуса и подсластители, но не ограничиваясь этим. Например, можно добавить вкусо-ароматический агент в продукт питания, или вкусо-ароматический агент может быть смешан, погружен, распылен и/или покрыт с использованием композиции, содержащей вкусо-ароматический агент.
В одном из вариантов осуществления настоящего изобретения продукт питания может быть приготовлен до уровня полуфабриката или готового продукта путем добавления или нагрева со вкусо-ароматическим агентом. После добавления вкусо-ароматического агента продукт питания может проявлять функцию вкусо-ароматического агента при дополнительном нагревании. Кроме того, приготовленный наполовину или полностью готовый продукт питания нагревают вместе со вкусо-ароматическим агентом для выражения его функции, и вкусо-ароматический агент добавляют к приготовленному наполовину или полностью готовому продукту таким образом, чтобы его функция была выражена посредством дополнительного нагревания.
В одном из вариантов осуществления настоящего изобретения содержание вкусо-ароматического агента в продукте питания может составлять от 0,0001 масс.% или более до 99 масс.%; 0,01 масс.% или более; 0,1 масс.% или более; от 1 масс.% до 50 масс.%; от 1 масс.% до 30 масс.%; от 1 масс.% до 20 масс.%. В пределах вышеуказанного диапазона можно реализовать функцию выделения вкуса и аромата вкусо-ароматического агента и сохранить присущие пищевому сырью характеристики.
В одном из вариантов осуществления настоящего изобретения «продукт питания» может представлять собой пищевые ингредиенты, соусы, добавки, приправы, продукты питания и напитки, любимые продукты, обработанные продукты, замороженные продукты, охлажденные продукты, хранящиеся продукты, маринованные продукты, функциональные продукты или ферментированные продукты. Кроме того, «продукт питания» может находиться в неприготовленном и добавленном состоянии (например, состоянии покрытой поверхности, наполненном состоянии, приправленном, маринованном, высушенном или смешанном состоянии), а также в приготовленном наполовину или приготовленном состоянии (например, продукты питания, приготовленные путем тепловой обработки, в частности, выпечки, приготовления на пару, запекания, жарки, кипячения или нагревания). Например, продукты питания могут представлять собой зерновые продукты, рисовые продукты, продукты из тапиоки, продукты из саго, хлебобулочные изделия, рисовые пирожные, бисквитные продукты, кондитерские изделия, конфеты, десертные продукты, фосфолипидную эмульсию, жевательную резинку, шоколад, мороженое, медовые продукты, продукты из патоки, дрожжевые продукты, пекарские порошки, соль и заправки, приправы, подсластители, соленые продукты, горчичные продукты, уксусные продукты, соусы (приправы), вареные фруктовые и овощные продукты, мясные продукты, желе, джемы, фруктовые соусы, яичные продукты, молоко и молочные продукты, сырные продукты, масло и заменители масла, заменители молока, соевые продукты, пищевые масла и жировые продукты, напитки, алкогольные напитки, пиво, газированные напитки, газированную воду и другие безалкогольные напитки, фруктовые напитки, фруктовые соки, кофе, искусственный кофе, чай, какао, шоколад, конфеты, экстракты пищевые, растительные экстракты, мясные экстракты, желатин, лекарства, эликсиры, сиропы или другие препараты для приготовления напитков, но не ограничиваясь этим.
Настоящее изобретение относится к курительному изделию, содержащему вкусо-ароматический агент согласно настоящему изобретению. В одном из вариантов осуществления настоящего изобретения курительное изделие может содержать по меньшей мере одно из вышеупомянутых вкусо-ароматических соединений, представленных формулой 1 согласно настоящему изобретению. Вкус и аромат могут быть обеспечены термическим разложением вкусо-ароматического агента при нагревании и/или сгорании курительного изделия. То есть, при нагревании и/или сгорании курительного изделия возможно выделение вкусов и ароматов в основной и/или боковой дымовой поток.
В одном из вариантов осуществления настоящего изобретения под «курительным изделием» может пониматься любой продукт, пригодный для курения, или любой продукт, способный обеспечить курительные ощущения, независимо от того, основан ли продукт на табаке, производных табачных изделиях, взорванном табаке, восстановленном табаке или заменителях табака. Например, курительное изделие может представлять собой курительное изделие, способное генерировать аэрозоль, такое как сигарета, сигара, сигарилла и электронная сигарета. Курительное изделие может содержать аэрозольгенерирующий материал или аэрозольгенерирующий субстрат. Кроме того, в состав курительного изделия могут входить твердые материалы на основе табачного сырья, например табак в форме полотна, резаный табак и восстановленный табак.
В одном из вариантов осуществления настоящего изобретения содержание вкусо-ароматического агента может составлять 0,0001 части по весу или более; 0,001 части по весу или более; 0,1 части по весу или более; 1 части по весу или более; или от 1 части по весу до 20 частей по весу на 100 частей по весу курительной среды в курительном изделии.
В одном из вариантов осуществления настоящего изобретения вкусо-ароматический агент может выделять вкусо-ароматические компоненты, например, лактоны в количестве 0,00001 части по весу или более; 0,0001 части по весу или более; 0,001 части по весу или более; 0,1 части по весу или более; 1 части по весу или более; или от 1 части по весу до 20 частей по весу на 100 частей по весу курительной среды в курительном изделии во время курения.
В одном из вариантов осуществления настоящего изобретения курительное изделие может представлять собой табак сигаретного типа, табак жидкого типа или табак гибридного типа, и может представлять собой сигарету сгораемого типа или табак нагревательного типа. В альтернативном варианте курительное изделие может представлять собой электронную сигарету (например, сигарету с электронным нагревом).
В одном из вариантов осуществления настоящего изобретения вкусо-ароматический агент наносят на сигаретную бумагу сигареты таким образом, чтобы вкусо-ароматические компоненты (например, лактоны и/или ароматические компоненты) выделялись под действием тепла во время нагревания и/или сгорания табака, в частности, во время тления с выделением дыма, что позволяет усилить эффект ослабления едкого запаха бокового дымового потока.
В одном из вариантов осуществления настоящего изобретения при введении в среду табачного стика нагревательного типа можно обеспечить стойкость вкусо-ароматических компонентов. То есть, в табаке нагревательного типа вкусо-ароматические компоненты, содержащиеся в среде, вытягиваются при начальной затяжке статическим нагревом, но поскольку вкусо-ароматические компоненты выделяются только тогда, когда вкусо-ароматический агент разлагается под действием тепла, вкусо-ароматические компоненты выделяются и в последней затяжке, даже если затяжка продолжается, что позволяет поддерживать постоянный вкус сигареты.
В одном из вариантов осуществления настоящего изобретения курительное изделие может содержать вкусо-ароматический агент или композицию вкусо-ароматического агента или изготавливаться с использованием вкусо-ароматического агента или композиции вкусо-ароматического агента. Например, курительное изделие может соответствовать компоненту и/или части. Предпочтительно, курительное изделие может представлять собой компонент и/или часть нагреваемой области. Например, курительное изделие может представлять собой курительную среду (например, жидкие фазы, гели, твердые фазы, суспензии и пасты), бумажные трубки, трубки, фильтры (например, трубчатые фильтры, тканевые фильтры, фильтры из тканого материала, бумажные фильтры и капсульные фильтры), оберточную бумагу, сигаретную бумагу, бумагу для мундштуков, обертку и картридж (например, нагревательный картридж). Курительное изделие содержит компоненты, известные в данной области техники, которые не будут специально упоминаться в данном документе, если они не отклоняются от идеи настоящего изобретения.
В одном из вариантов осуществления настоящего изобретения при изготовлении курительного изделия вкусо-ароматический агент можно вводить путем смешивания собственно вкусо-ароматического агента с субстратом или материалом основы, или путем смешивания, печати, окунания (или пропитки), покрытия и/или распыления на субстрат или материал основы с использованием композиции, содержащей вкусо-ароматический агент.
В одном из вариантов осуществления настоящего изобретения возможно содержание курительной среды, например, вкусо-ароматического агента и табачного сырья (например, материала сырья среды и листьев табака), или дополнительное содержание добавок. В другом примере вкусо-ароматический агент может быть добавлен в качестве вкусо-ароматического агента при изготовлении компонентов и/или частей курительного изделия, и может быть смешан с материалом основы, растворителем, вкусо-ароматическим материалом и материалом курительной среды, которые применимы к курительному изделию. В альтернативном варианте курительная среда может представлять собой жидкую фазу, гель или твердую фазу.
Далее настоящее изобретение будет раскрыто более подробно со ссылкой на примеры и сравнительные примеры. Тем не менее, нижеследующие примеры лишь иллюстрируют настоящее изобретение, и содержание настоящего изобретения не ограничивается нижеследующими примерами.
Пример 1
1.
Синтез натрий-(4-ментилкарбонилокси)гептаноата (5a)
[Формула реакции 1]
Ментил
Ментил
Диизопропилкарбодиимид ДМАП
Пиридин, CH2Cl2
Ментилхлороформат
Ментил
(1-1) Синтез этил 4-гидроксигептаноата (2a)
20 г (0,15 моль) γ-гепталактона растворили в 100 мл метанола, при перемешивании раствора, медленно добавили 11,17 г (0,16 моль, 1,05 экв.) гидроксида калия и проводили реакцию при комнатной температуре в течение 12 часов. После концентрирования реакционного раствора при пониженном давлении в него добавили 80 мл ДМФ, перемешивая смешанный раствор, добавили 17 г (0,15 моль, 1 экв.) бромэтана и проводили реакцию в течение 12 часов. К реакционному раствору добавили 100 мл воды, экстрагировали этилацетатом и промыли водой и рассолом. Органический слой высушили с помощью MgSO4 и затем довели до требуемой концентрации при пониженном давлении с получением 18,1 г (66,7%, 2 стадии) целевого продукта 2a.
1H ЯМР(CDCl3, 400,13 МГц); δ 8,01(s, 1H, -OH), 4,12(q, 2H, J = 8 Гц, COO-CH2-), 3,63(m, 1H, CH-O), 2,42(m, 2H, CO-CH2), 1,81 - 0,92(m, 12H, алкил)
(1-2) Синтез этил 4-(ментилкарбонилокси)гептаноата (3a)
18 г (0,1 моль) этил 4-гидроксигептаноата (2a) растворили в 120 мл ТГФ, 16 г (0,2 моль, 2 экв.) пиридина ввели в раствор и охладили ледяной водой, и, перемешивая охлажденный смешанный раствор, медленно капельно добавили 23 г (0,1 моль, 1 экв.) метилхлороформата и 20 мл ТГФ. Через 1 час реакционный раствор нагрели до комнатной температуры и проводили реакцию в течение ночи, после чего добавили воду и экстрагировали этилацетатом. Органический слой промыли разбавленной соляной кислотой, насыщенным раствором бикарбоната натрия и рассолом, затем высушили с помощью MgSO4 и довели до требуемой концентрации при пониженном давлении с получением 30 г (выход 81%) целевого продукта 3a в виде желтой жидкости.
1H ЯМР (CDCl3, 400,13 МГц); δ 4,74(7tet, 1H, J = 4 Гц, -COOCH-), 4,51(td, 1H, J = 9, 4 Гц, COO-CH-), 4,12(q, 2H, J = 8 Гц, COO-CH2 -), 2,36(m, 2H, CO-CH2-), 1,93 - 0,79(m, 30H, алкил)
(1-3) Синтез 4-(ментилкарбонилокси)гептановой кислоты (4a)
25 г (68,5 ммоль) этил 4-(ментилкарбонилокси)гептаноата (3a) растворили в 100 мл ТГФ и 30 мл дистиллированной воды, добавили 4,2 г (102,4 ммоль, 1,5 экв.) моногидрата гидроксида лития в раствор и проводили реакцию при комнатной температуре в течение 12 часов. К реакционному раствору добавили 50 мл дистиллированной воды и экстрагировали эфиром. Водный слой корректировали до pH 3 путем добавления концентрированной соляной кислоты и затем экстрагировали этилацетатом. Органический слой, промытый рассолом, высушили с помощью MgSO4 и довели до требуемой концентрации при пониженном давлении с получением 21,8 г (выход 81%) целевого продукта 4a в виде желтой жидкости.
1H ЯМР (CDCl3, 400,13 МГц); δ 4,76(m, 1H, -COOCH-), 4,52(td, 1H, J = 9, 4 Гц, COO-CH-), 4,11(q, 2H, J = 8 Гц, COO-CH2-), 2.42( m, 2H, CO-CH2-), 1,99 - 0,82(m, 27H, алкил)
(1-4) Синтез натрий-(4-ментилкарбонилокси)гептаноата (5a)
2,5 г (7,5 ммоль) 4-(ментилкарбонилокси)гептановой кислоты (4a) растворили в 20 мл 95% этанола, в раствор добавили 0,29 г (0,95 экв.) 98% NaOH и перемешивали при комнатной температуре в течение 2 часов. Воду и этанол отводили с помощью азеотропного явления, добавили толуол для удаления воды, затем гексан и этилацетат и фильтровали для получения белого твердого вещества.
2. Синтез натрий-(4-ментилкарбонилокси)нонаноата (5b)
[Формула реакции 2]
Диизопропилкарбодиимид ДМАП
Ментилхлороформат
Ментил
n-пентил
Пиридин, CH2Cl2
n-пентил
n-пентил
n-пентил
n-пентил
Ментил
Ментил
(2-1) Синтез этил 4-гидроксинонаноата (2b)
20 г (0,13 моль) γ-ноналактона растворили в 100 мл метанола, перемешивая раствор, медленно добавили 9,18 г (0,14 моль, 1,05 экв.) гидроксида калия и проводили реакцию при комнатной температуре в течение 12 часов. После концентрирования реакционного раствора при пониженном давлении в него добавили 80 мл ДМФ, при перемешивании смешанного раствора, добавили 14 г (0,13 моль, 1 экв.) бромэтана и проводили реакцию в течение 12 часов. К реакционному раствору добавили 100 мл воды, экстрагировали этилацетатом и промыли водой и рассолом. Органический слой высушили с помощью MgSO4 и затем довели до требуемой концентрации при пониженном давлении с получением 24 г (93%, 2 стадии) целевого продукта 2b.
(2-2) Синтез этил 4-(ментилкарбонилокси)нонаноата (3b)
24 г (0,12 моль) этил 4-гидроксинонаноата (2b) растворили в 120 мл ТГФ, 18 г (0,42 моль, 2 экв.) пиридина ввели в раствор и охладили ледяной водой, и, перемешивая охлажденный раствор, медленно капельно добавили 26 г (0,12 моль, 1 экв.) метилхлороформата и 30 мл ТГФ. Через 1 час реакционный раствор нагрели до комнатной температуры и проводили реакцию в течение ночи, после чего добавили воду и экстрагировали этилацетатом. Органический слой промыли разбавленной соляной кислотой, насыщенным раствором бикарбоната натрия и рассолом, затем высушили с помощью MgSO4 и довели до требуемой концентрации при пониженном давлении с получением 34 г (выход 74,5%) целевого продукта 3b в виде желтой жидкости.
1H ЯМР (CDCl3, 400,13 МГц); δ 4.74(7tet, 1H, J = 4 Гц, -COOCH-), 4,51(td, 1H, J = 9, 4 Гц, COO-CH-), 4,12(q, 2H, J = 8 Гц, COO-CH2 -), 2,36(m, 2H, CO-CH2-), 1,93 - 0,79(m, 23H, алкил)
(2-3) Синтез 4-(ментилкарбонилокси)нонановой кислоты (4b)
11,5 г (29,9 ммоль) этил 4-(ментилкарбонилокси)нонаноата (3b) растворили в 50 мл ТГФ и 20 мл дистиллированной воды, добавили в раствор 2 г (48,7 ммоль, 1,6 экв.) моногидрата гидроксида лития и проводили реакцию при комнатной температуре в течение 12 часов. К реакционному раствору добавили 50 мл дистиллированной воды и экстрагировали эфиром. Водный слой корректировали до pH 3 путем добавления концентрированной соляной кислоты и затем экстрагировали этилацетатом. Органический слой, промытый рассолом, высушили с помощью MgSO4 и довели до требуемой концентрации при пониженном давлении с получением 8,6 г (выход 80%) целевого продукта 4b в виде желтой жидкости.
1H ЯМР (CDCl3, 400,13 МГц); δ 4,75(m, 1H, -COOCH-), 4,49(m, 1H, COO-CH-), 2,04(m, 2H, CO-CH2-), 1,93 - 0,79 (m, 31H, алкил)
(2-4) Синтез натрий-(4-ментилкарбонилокси)нонаноата (5b)
2,5 г (7,5 ммоль) 4-(ментилкарбонилокси)нонановой кислоты (4b) растворили в 20 мл 95% этанола, в раствор добавили 0,29 г (0,95 экв.) 98% NaOH и перемешивали при комнатной температуре в течение 2 часов. Воду и этанол отводили с помощью азеотропного явления, добавили толуол для удаления воды, затем гексан и этилацетат и фильтровали для получения белого твердого вещества.
3. Натрий 5-(ментилкарбонилокси)деканоат (5c)
[Формула реакции 3]
Ментилхлороформат
n-пентил
n-пентил
n-пентил
n-пентил
n-пентил
Ментил
Ментил
Ментил
Пиридин, CH2Cl2
(3-1) Синтез этил 5-гидроксидеканоата (2c)
10 г (58,7 моль) δ-декалактона растворили в 50 мл метанола, перемешивая раствор, медленно добавили 4,2 г (64,7 моль, 1,05 экв.) гидроксида калия и проводили реакцию при комнатной температуре в течение 12 часов. После концентрирования реакционного раствора при пониженном давлении в него добавили 40 мл ДМФ, перемешивая смешанный раствор, добавили 6,4 г (58,7 моль, 1 экв.) бромэтана и проводили реакцию в течение 12 часов.
К реакционному раствору добавили 100 мл воды, экстрагировали этилацетатом и промыли водой и рассолом. Органический слой высушили с помощью MgSO4 и затем довели до требуемой концентрации при пониженном давлении с получением 7,6 г (60%, 2 стадии) целевого продукта 2c.
(3-2) Синтез этил 5-(ментилкарбонилокси)деканоата (3c)
7,5 г (34,6 моль) этил 5-гидроксидеканоата (2c) растворили в 50 мл ТГФ, 5,3 г (69,2 моль, 2 экв.) пиридина ввели в раствор и охладили ледяной водой, и, перемешивая охлажденный раствор, медленно капельно добавили 8,3 г (37,9 моль, 1,1 экв.) метилхлороформата и 20 мл ТГФ. Через 1 час реакционный раствор нагрели до комнатной температуры и проводили реакцию в течение ночи, после чего добавили воду и экстрагировали этилацетатом. Органический слой промыли разбавленной соляной кислотой, насыщенным раствором бикарбоната натрия и рассолом, соответственно, высушили с помощью MgSO4 и довели до требуемой концентрации при пониженном давлении. Смесь подвергли колоночной хроматографии на силикагеле с использованием смешанного растворителя в составе n-гексана и этилацетата (7:1) с получением 4,5 г (выход 32,6%) целевого продукта 3c.
1H ЯМР (CDCl3, 400,13 МГц); δ 4,72(m, 1H, -COOCH-), 4,52(m, 1H, COO-CH-), 4,12(q, 2H, J = 8 Гц, COO-CH2-), 2,31(t, 2H, J = 8 Гц, CO-CH2-), 2,08 - 0,86(m, 27H, алкил), 0,79(d, 6H, J = 8 Гц, -CH3).
(3-3) Синтез 5-(ментилкарбонилокси)декановой кислоты (4c)
2,7 г (6,8 ммоль) этил 4-(метилкарбонилокси)нонаноата (3c) растворили в 20 мл ТГФ и 10 мл дистиллированной воды, добавили в раствор 0.42 г (10,2 ммоль, 1,5 экв.) моногидрата гидроксида лития и проводили реакцию при комнатной температуре в течение 12 часов. К реакционному раствору добавили 10 мл дистиллированной воды и экстрагировали эфиром. Водный слой корректировали до pH 3 путем добавления концентрированной соляной кислоты и затем экстрагировали этилацетатом. Органический слой, промытый рассолом, высушили с помощью MgSO4 и довели до требуемой концентрации при пониженном давлении с получением 2,1 г (выход 78%) целевого продукта 4c в виде желтой жидкости.
1H ЯМР (CDCl3, 400,13 МГц); δ 4,72(m, 1H, -COOCH-), 4,51(td, 1H, J = 8, 4 Гц, COO-CH-), 4,11(q, 2H, J = 8 Гц, COO-CH2-), 2,38(m, 2H, CO-CH2-), 2,06 - 0,78(m, 33H, алкил)
(3-4) Синтез натрий-5-(ментилкарбонилокси)деканоата (5c)
7,5 ммоль 5-(ментилкарбонилокси)декановой кислоты (4c) растворили в 20 мл 95% этанола, в раствор добавили 0,29 г (0,95экв.) 98% NaOH и перемешивали при комнатной температуре в течение 2 часов. Воду и этанол отводили с помощью азеотропного явления, добавили толуол для удаления воды, затем гексан и этилацетат и фильтровали для получения белого твердого вещества.
4. Синтез натрий-(4-ментилкарбонилокси)ундеканоата (5d)
[Формула реакции 4]
Ментилхлороформат
n-гептил
Ментил
Ментил
Ментил
n-гептил
n-гептил
n-гептил
Пиридин, CH2Cl2
n-гептил
(4-1) Синтез этил 4-гидроксиундеканоата (2d)
10 г (54,2 моль) γ-ундекалактона растворили в 50 мл метанола, перемешивая раствор, медленно добавили 3,9 г (56,9 моль, 1,05 экв.) гидроксида калия и проводили реакцию при комнатной температуре в течение 12 часов. После концентрирования реакционного раствора при пониженном давлении в него добавили 50 мл ДМФ, перемешивая смешанный раствор, добавили 5,9 г (54,2 моль, 1 экв.) бромэтана и проводили реакцию в течение 12 часов. К реакционному раствору добавили 80 мл воды, экстрагировали этилацетатом и промыли водой и рассолом. Органический слой высушили с помощью MgSO4 и затем довели до требуемой концентрации при пониженном давлении с получением 10,7 г (85,6%, 2 стадии) целевого продукта 2d.
1H ЯМР (CDCl3, 400,13 МГц); δ 4,12(q, 2H, J = 8 Гц, COO-CH2-), 3,59(m, 1H, CH-O), 2,43(m, 2H, CO-CH2), 1,81 - 0,92(m, 20H, алкил)
(4-2) Синтез этил 4-(ментилкарбонилокси)ундеканоата (3d)
11 г (47,7 моль) этил 4-гидроксиундеканоата (2d) растворили в 60 мл ТГФ, 6,8 г (95,5 моль, 2 экв.) пиридина ввели в раствор и охладили ледяной водой, и, перемешивая охлажденный смешанный раствор, медленно капельно добавили 10,5 г (47,7 моль, 1 экв.) ментилхлороформата и 20 мл ТГФ. Через 1 час реакционный раствор нагрели до комнатной температуры и проводили реакцию в течение ночи, после чего добавили воду и экстрагировали этилацетатом. Органический слой промыли разбавленной соляной кислотой, насыщенным раствором бикарбоната натрия и рассолом, затем высушили с помощью MgSO4 и довели до требуемой концентрации при пониженном давлении с получением 8,3 г (выход 42,1%) целевого продукта 3d в виде желтой жидкости.
1H ЯМР (CDCl3, 400,13 МГц); δ 4,74(7tet, 1H, J = 4 Гц, -COOCH-), 4,51(td, 1H, J = 9, 4 Гц, COO-CH-), 4,12(q, 2H, J = 8 Гц, COO-CH2-), 2,36(m, 2H, CO-CH2-), 1,93 - 0,79 (m, 23H, алкил)
(4-3) Синтез 4-(ментилкарбонилокси)ундекановой кислоты (4d)
8,3 г (19,4 ммоль) этил 4-(ментилкарбонилокси)ундеканоата (3d) растворили в 30 мл ТГФ и 20 мл дистиллированной воды, добавили в раствор 1,2 г (29,1 ммоль, 1,5 экв.) моногидрата гидроксида лития и проводили реакцию при комнатной температуре в течение 12 часов. К реакционному раствору добавили 20 мл дистиллированной воды и экстрагировали эфиром. Водный слой корректировали до pH 3 путем добавления концентрированной соляной кислоты и затем экстрагировали этилацетатом. Органический слой, промытый рассолом, высушили с помощью MgSO4 и довели до требуемой концентрации при пониженном давлении. Смесь подвергли колоночной хроматографии на силикагеле с использованием смешанного растворителя в составе гексана (n-гексана) и этилацетата (8:1) с получением 6,8 г (выход 91,8%) целевого продукта 4d.
1H ЯМР (CDCl3, 400,13 МГц); δ 4,75(m, 1H, -COOCH-), 4,51(m, 1H, COO-CH-), 2,43(m, 2H, CO-CH2-), 2,17 - 0,78(m, 35H, алкил)
(4-4) Синтез натрий-(4-ментилкарбонилокси)ундеканоата (5d)
2,5 г (7,5 ммоль) 4-(ментилкарбонилокси)ундекановой кислоты (4d) растворили в 20 мл 95% этанола, в раствор добавили 0,29 г (0,95 экв.) 98% NaOH и перемешивали при комнатной температуре в течение 2 часов. Воду и этанол отводили с помощью азеотропного явления, добавили толуол для удаления воды, затем гексан (n-гексан) и этилацетат и фильтровали для получения белого твердого вещества.
5. Синтез натрий 4-(бензилоксикарбонилокси)ундеканоата (5e)
[Формула реакции 5]
n-гептил
n-гептил
n-гептил
n-гептил
n-гептил
Пиридин, CH2Cl2
Бензилхлороформат
Диизопропилкарбодиимид ДМАП
(5-1) Синтез этил 4-гидроксиундеканоата (2d)
10 г (54,2 моль) γ-ундекалактона растворили в 50 мл метанола, перемешивая раствор, медленно добавили 3,9 г (56,9 моль, 1,05 экв.) гидроксида калия и проводили реакцию при комнатной температуре в течение 12 часов. После концентрирования реакционного раствора при пониженном давлении в него добавили 50 мл ДМФ, перемешивая смешанный раствор, добавили 5,9 г (54,2 моль, 1 экв.) бромэтана и проводили реакцию в течение 12 часов.
К реакционному раствору добавили 80 мл воды, экстрагировали этилацетатом и промыли водой и рассолом. Органический слой высушили с помощью MgSO4 и затем довели до требуемой концентрации при пониженном давлении с получением 10,7 г (85,6%, 2 стадии) целевого продукта 2d.
1H ЯМР (CDCl3, 400,13 МГц); δ 4,12(q, 2H, J = 8 Гц, COO-CH2-), 3,59(m, 1H, CH-O), 2,43(m, 2H, CO-CH2), 1,81 - 0,92(m, 20H, алкил)
(5-2) Синтез этил 4-(бензилоксикарбонилокси)ундеканоата (3e)
8,3 г (36 моль) этил 4-гидроксиундеканоата (2d) растворили в 50 мл ТГФ, 5,5 г (72,3 моль, 2 экв.) пиридина ввели в раствор и охладили ледяной водой, и, перемешивая охлажденный смешанный раствор, медленно капельно добавили 6,1 г (35,3 моль, 1 экв.) бензилхлороформата и 20 мл ТГФ. Через 1 час реакционный раствор нагрели до комнатной температуры и проводили реакцию в течение ночи, после чего добавили воду и экстрагировали этилацетатом. Органический слой промыли разбавленной соляной кислотой, насыщенным раствором бикарбоната натрия и рассолом, затем высушили с помощью MgSO4 и довели до требуемой концентрации при пониженном давлении с получением 9,9 г (выход 75,6%) целевого продукта 3e в виде желтой жидкости. 1H ЯМР (CDCl3, 400,13 МГц); δ 7,37 - 7,34(m, 5H, ph), 5,14(m, 2H, O-CH2-Ph), 4,12(brs, 1H, O-CH-), 2,42(m, 2H, CO-CH2-), 1,90 - 0,79(m, 21H, алкил) (ФИГ. 24).
(5-3) Синтез 4-(бензилоксикарбонилокси)ундекановой кислоты (4e)
10 г (27,5 ммоль) этил 4-(бензилоксикарбонилокси)ундеканоата (3e) растворили в 30 мл ТГФ и 20 мл дистиллированной воды, добавили в раствор 1,7 г (41,4 ммоль, 1,5 экв.) моногидрата гидроксида лития и проводили реакцию при комнатной температуре в течение 12 часов. К реакционному раствору добавили 20 мл дистиллированной воды и экстрагировали эфиром. Водный слой корректировали до pH 3 путем добавления концентрированной соляной кислоты и затем экстрагировали этилацетатом. Затем органический слой, промыли рассолом, высушили с помощью MgSO4 и довели до требуемой концентрации при пониженном давлении с получением 8,2 г (выход 89%) целевого продукта 4e.
1H ЯМР (CDCl3, 400,13 МГц); δ 7,37 - 7,35(m, 5H, ph), 5,14(m, 2H, O-CH2-Ph), 4,48(m, 1H, O-CH-), 2,47(m, 2H, CO-CH2-), 1,90 - 0,79(m, 21H, алкил)
(5-4) Синтез натрий 4-(бензилоксикарбонилокси)ундеканоата (5e)
2,5 г (7,5 ммоль) 4-(бензилоксикарбонилокси)ундекановой кислоты (4e) растворили в 20 мл 95% этанола, в раствор добавили 0,29 г (0,95 экв.) 98% NaOH и перемешивали при комнатной температуре в течение 2 часов. Воду и этанол отводили с помощью азеотропного явления, добавили толуол для удаления воды, затем гексан (n-гексан) и этилацетат и фильтровали для получения белого твердого вещества.
Экспериментальный пример
Для подтверждения пиролитического поведения соединения 5d (2B) под действием тепла выполнили тест на пиролиз, для чего применили общеизвестный метод пиролиз-газовой хроматографии/масс-спектрометрии [Py-GC/ MS]. Пиролизер “Double-Shot Pyrolyzer 2020iD” (Frontier Lab, Япония) установили в системе, подключенной к оборудованию ГХ/МС (Agilent 6890 GC, США/Aginelt 7890 MSD, США). После разбавления 2B до концентрации 2,5% в растворе этилового спирта 10 мкл загрузили в чашку для образцов пиролизера и выполнили термическое разложение. Температуру, воздействующую на образец, контролировали путем задания температуры печи пиролизера Double-Shot Pyrolyzer в соответствии с температурой термического разложения. Начальная температура термического разложения установлена равной 80°C на 30 секунд, что позволило выполнить термическое разложение целевого соединения (2B) в чашке для образцов путем воздействия печи на чашку для образцов с помещенным в нее образцом. Компоненты, образующиеся или улетучивающиеся при нагревании, немедленно вводили в форсунку ГХ/МС и разделяли. Во время проведения ГХ/МС анализа после термического разложения чашку с образцом извлекали из печи, чтобы на нее не влияла температура термического разложения, а после завершения ГХ/МС анализа путем первого термического разложения чашку с образцом, использованную в первый раз, снова подвергали термическому разложению, не вводя в нее новое соединение. При этом чашку с образцом подвергали термическому разложению в течение 30 секунд при температуре термического разложения 90°C, что выше на 10°C. Кроме того, по завершении термического разложения чашку с образцом извлекли из печи, чтобы на нее не влияла температура термического разложения. Таким образом, когда первый образец был загружен в чашку для образцов и затем подвергнут термическому разложению, эксперимент по термическому разложению проводился с повышением температуры от 80°C, 90°C и 100°C до 320°C в итоге. В результате стало возможным рассмотреть характеристики термического разложения соединений по мере увеличения температуры термического разложения, разделив их на диапазон температур. Результаты представлены на ФИГ. 15 и 16.
[Механизм разложения]
Защитная группа
ϫ-ундекалактон [5B]
L-ментол [3B]
На ФИГ. 15 и 16 видно, что по результатам испытания соединения [2B] на термическое разложение ментол и гамма-ундекалактон разлагаются при температуре приблизительно 120°C.
То есть, лактон [1B, гамма-ундекалактон] в механизме разложения имел разомкнутое кольцо, и гидроксильная группа была ковалентно связана с L-ментолом через карбонатную связывающую группу (карбонатную связь) для получения соединения [2B]. После нанесения соединения [2B] на матрицу продукта образуется соединение [4B] с открытыми гидроксильными группами, так как L-ментол ([3B]) и CO2 образуются под действием тепла. В соединении [4B] также замыкается кольцо (внутримолекулярная этерификация) под действием тепла с получением гамма-ундекалактона [5B]. В состоянии [2B] гидроксильная группа защищена ментилкарбонатной группой, что позволяло подавить проявление замыкания кольца (внутримолекулярную этерификацию) при комнатной температуре. Согласно схеме термического разложения соединения [2B], ментол термически разлагается и выделяется при достижении температуры от 120°C до 260°C, а гамма-лактон сначала выделяется при достижении температуры от 120°C до 200°C, а затем вторичное выделение также становится выраженным при достижении температуры от 200°C до 300°C. Даже если ментол, который используется в качестве защитной группы, будет депротектирован под действием тепла и выделен, может случиться так, что он некоторое время будет оставаться в виде сложного соединения в форме [4B], то есть в промежуточном состоянии. В конечном итоге лактон образуется путем внутримолекулярной этерификации, но в состоянии солевой формы такое замыкание кольца может быть замедлено. Кроме того, по результатам эксперимента по термическому разложению ментол термически разлагался и выделялся по мере повышения температуры, а когда он находится в состоянии [4B] солевой формы, при немного более высокой температуре происходила внутримолекулярная этерификация с образованием лактона [5B]. Иными словами, может быть обнаружено, что остаточное замыкание кольца происходит в диапазоне высоких температур с временным лагом от диапазона температур термического разложения ментола.
Пример 2
1 масс.% целевого материала согласно примеру изготовления (синтезированный натрий (4-метилкарбонилокси)гептаноат (5a), 40 масс.% воды, 10 масс.% молока и 49 масс.% пшеничной муки смешивали и замешивали для приготовления теста, и тесто выпекали путем нагревания в электрической печи при 200°C в течение 1 часа. После извлечения выпеченного теста из печи в результате анализа получено подтверждение выраженности вкуса и аромата (например, вкуса и аромата лактона, а также вкуса и аромата ментола, используемых при синтезе целевого материала).
Пример 3
После смешивания от 0,01 до 5 масc.% целевого материала (синтезированного 5-(метилкарбонилокси)деканоата натрия (5c) из Примера изготовления, 95-99 масс.% материала основы (целлюлозной массы) и остаточного количества других добавок, из смеси изготовили лист (толщиной 2 мм) путем раскатывания и высушили при комнатной температуре. Анализ листа выполняли при комнатной температуре, при этом не было выявлено запаха вкусо-ароматических соединений, используемых при синтезе целевого материала. Затем лист использовали в качестве сигаретной бумаги для обертывания сигаретного табака для изготовления обычной сигареты, сигарету выкурили, и по результатам была подтверждена выраженность вкусов и ароматов (например, вкуса и аромата лактона, а также вкуса и аромата ментола, используемых при синтезе целевого материала) во время курения.
Пример 4
После смешивания 0,003-0,02 масс.% целевого материала согласно Примеру приготовления (синтезированного натрий (4-ментилкарбонилокси)ундеканоата) (5d), 90-99 масс.% табачного порошка со средним размером частиц примерно от 0,03 мм до 0,12 мм, и остаточного количества других добавок, табачную композицию изготовили обычным способом. После введения табачной композиции в качестве курительного средства и обертывания ее в сигаретную бумагу, фильтр и оберточную бумагу состыковали для приготовления обычного сигаретного табака. Сигаретный табак выкурили, и по результатам была подтверждена выраженность вкусов и ароматов во время курения в основном и боковом дымовом потоке.
Несмотря на то, что варианты осуществления изобретения были раскрыты на примере ограниченных вариантов осуществления и чертежей, как раскрыто выше, специалисты в данной области техники могут внести различные изменения и вариации в вышеприведенное раскрытие. Например, соответствующие результаты могут быть достигнуты, хотя раскрытые методики выполняются в порядке, отличном от раскрытого способа, и/или раскрытые элементы соединяются или комбинируются в форме, отличной от раскрытого способа, или заменяются или замещаются другими элементами или эквивалентами. Поэтому другие варианты реализации, другие варианты осуществления и эквиваленты входят в объем формулы изобретения, которая будет раскрыта ниже.
| название | год | авторы | номер документа |
|---|---|---|---|
| КУРИТЕЛЬНОЕ ИЗДЕЛИЕ, СОДЕРЖАЩЕЕ НОВЫЙ ВКУСОАРОМАТИЧЕСКИЙ АГЕНТ | 2022 |
|
RU2838294C2 |
| НОВОЕ ВКУСО-АРОМАТИЧЕСКОЕ ВЕЩЕСТВО, КОМПОЗИЦИЯ ВКУСО-АРОМАТИЧЕСКОГО ВЕЩЕСТВА И СОДЕРЖАЩЕЕ ИХ ИЗДЕЛИЕ | 2022 |
|
RU2840666C2 |
| АРОМАТИЗИРОВАННЫЙ ЛИСТ И ИЗДЕЛИЕ, ГЕНЕРИРУЮЩЕЕ АЭРОЗОЛЬ | 2023 |
|
RU2838402C1 |
| ПРОИЗВОДНЫЕ ПИРИДОПИРИМИДИНОНА И ИХ ИСПОЛЬЗОВАНИЕ В КАЧЕСТВЕ МОДУЛЯТОРОВ РЕЦЕПТОРА АРОМАТИЧЕСКИХ УГЛЕВОДОРОДОВ | 2021 |
|
RU2818954C1 |
| ПРОИЗВОДНЫЕ 5-АЛКЕНИЛ-2-ОКСО-ТЕТРАГИДРОФУРАНА В КАЧЕСТВЕ ВКУСОАРОМАТИЧЕСКИХ СОЕДИНЕНИЙ | 2011 |
|
RU2550509C2 |
| ПРОИЗВОДНОЕ ПИРИМИДИНА, ПОДАВЛЯЮЩЕЕ РОСТ РАКОВОЙ КЛЕТКИ, И ЕГО МЕДИЦИНСКОЕ ПРИМЕНЕНИЕ | 2020 |
|
RU2792849C1 |
| ПОЛИЭТИЛЕНОВАЯ КОМПОЗИЦИЯ И СПОСОБ ЕЕ ПОЛУЧЕНИЯ | 2021 |
|
RU2840073C1 |
| Способ получения L-глюфосината | 2019 |
|
RU2812725C2 |
| ФИЛЬТР КУРИТЕЛЬНОГО ИЗДЕЛИЯ, СОДЕРЖАЩИЙ ТВЕРДОЕ ВКУСОАРОМАТИЧЕСКОЕ ВЕЩЕСТВО, И СПОСОБ ЕГО ИЗГОТОВЛЕНИЯ | 2021 |
|
RU2798732C1 |
| ПОЛИМЕР НА ОСНОВЕ ОЛЕФИНОВ С ИСКЛЮЧИТЕЛЬНОЙ СПОСОБНОСТЬЮ К ПЕРЕРАБОТКЕ | 2015 |
|
RU2670752C9 |
Группа изобретений относится к вкусоароматическому агенту, композиции, содержащей такой агент, курительному изделию и продукту питания. Вкусоароматический агент представляет собой соединение, выраженное формулой 1
где n представляет собой целое число 1 или 2; М выбирают из щелочных и переходных металлов; R представляет собой неразветвленную или разветвленную алкильную группу, содержащую от 1 до 30 атомов углерода; и компонент А представляет собой компонент, полученный из вкусоароматического соединения, содержащего по меньшей мере одно из следующего: ароматическое кольцо, алифатическое кольцо и алифатическую цепь с гидроксильной группой, при этом гидроксильная группа участвует в карбонатной связывающей группе (
); и фрагмент А' соответствует вкусоароматическому соединению без гидроксильной группы. Обеспечивается вкусоароматический агент, в котором вкусоароматические компоненты выделяются при термическом разложении под действием тепла и обладают высокой химической структурной стабильностью при комнатной температуре. 4 н. и 16 з.п. ф-лы, 16 ил., 4 пр.
1. Вкусоароматический агент, представляющий собой соединение, выраженное следующей формулой 1:
где n представляет собой целое число 1 или 2;
М выбирают из щелочных и переходных металлов;
R представляет собой неразветвленную или разветвленную алкильную группу, содержащую от 1 до 30 атомов углерода;
и компонент А представляет собой компонент, полученный из вкусоароматического соединения, содержащего по меньшей мере одно из следующего: ароматическое кольцо, алифатическое кольцо и алифатическую цепь с гидроксильной группой, при этом гидроксильная группа участвует в карбонатной связывающей группе (
);
и фрагмент А' соответствует вкусоароматическому соединению без гидроксильной группы.
2. Вкусоароматический агент по п. 1, в котором вкусоароматическое соединение выбрано из циклического соединения на основе монотерпена с гидроксильной группой, ациклического соединения на основе монотерпена с гидроксильной группой, ароматического соединения С6-С10 с гидроксильной группой и неароматического кольца С5-С6 с гидроксильной группой.
3. Вкусоароматический агент по п. 1, в котором вкусоароматическое соединение выбрано из следующих формул:
4. Вкусоароматический агент по п. 1, в котором А' выбрано из следующих формул:
где * - участок связывания кислорода в карбонате.
5. Вкусоароматический агент по п. 1, в котором переходный металл выбран из Zr, Mg, Са, Со, Rh, Ir, Nb, Pd, Pt, Fe, Ru, Os, Cr, Mo, W, Mn, Tc, Re, Cu, Ag и Au, а щелочной металл выбран из Li, Na, K, Rb и Cs.
6. Вкусоароматический агент по п. 1, в котором соединение выбрано из формул с 1-1 по 1-26:
где М и R в формуле 1.
7. Вкусоароматический агент по п. 1, в котором вкусоароматический агент представляет собой соединение вкусо-ароматического агента, выделяющее вкус и аромат при термическом разложении.
8. Вкусоароматический агент по п. 1, в котором вкусоароматический агент разлагается на вкусоароматическое соединение, лактонное соединение и диоксид углерода при термическом разложении.
9. Вкусоароматический агент по п. 1, в котором соединение термически разлагается при температуре 80°С или выше.
10. Вкусоароматический агент по п. 8, в котором лактонное соединение представляет собой гамма-лактон согласно формуле 2 или дельта-лактон согласно формуле 3:
где R представляет собой неразветвленную или разветвленную алкильную группу, содержащую от 1 до 30 атомов углерода.
11. Вкусоароматический агент по п. 8, в котором лактонное соединение выбрано из следующих формул:
12. Вкусоароматический агент по п. 1, представляющее собой соединение, которое представляет собой вкусоароматический агент для пищевых продуктов или курительных изделий.
13. Композиция, содержащая вкусоароматический агент по п. 1.
14. Композиция по п. 13, в которой композиция представляет собой твердую фазу, суспензию, пасту, гель, жидкую фазу, эмульсию или аэрозоль.
15. Композиция по п. 13, в которой композиция дополнительно содержит носитель, приемлемый для продуктов питания или курительных изделий, и/или добавки.
16. Курительное изделие, содержащее вкусоароматический агент по п. 1.
17. Курительное изделие по п. 16, в котором курительное изделие содержит суспензию, пасту, жидкую фазу, гель, порошок, гранулы, лист, пленку, волокно или формованное тело, содержащее вкусоароматический агент.
18. Курительное изделие по п. 16, в котором курительное изделие представляет собой сигарету или электронную сигарету.
19. Продукт питания, содержащий вкусоароматический агент по п. 1.
20. Продукт питания по п. 19, в котором продукт питания смешан с вкусоароматическим агентом по п. 1 или приготовлен с помощью нагрева.
| CN 102311464 A, 11.01.2012 | |||
| CN 102311465 A, 11.01.2012 | |||
| CN 101974041 A, 16.02.2011 | |||
| РАСТВОР, СОДЕРЖАЩИЙ НИКОТИН В НЕПРОТОНИРОВАННОЙ ФОРМЕ И ПРОТОНИРОВАННОЙ ФОРМЕ | 2015 |
|
RU2672027C2 |
Авторы
Даты
2025-03-03—Публикация
2022-11-17—Подача