Область техники
[0001] Настоящее изобретение относится к конъюгату антитело-лекарственное средство, в котором производное циклического динуклеотида с новой структурой, обладающее активностью агониста STING, конъюгировано с антителом против клетки-мишени посредством линкера, к фармацевтической композиции, содержащей указанный конъюгат антитело-лекарственное средство, и так далее.
УРОВЕНЬ ТЕХНИКИ
[0002] STING (стимулятор генов интерферона) представляет собой трансмембранный адаптерный белок, локализованный в эндоплазматическом ретикулуме (Непатентная Публикация 1). STING выполняет функцию основной молекулы для активации врожденного иммунитета у млекопитающих и является центральным звеном защиты против проникновения патогенов, таких как бактерии и вирусы. Известно, что активация STING вызывается сигналом (сигналами) от нескольких сенсоров цитоплазматической ДНК в момент обнаружения экзогенной или эндогенной ДНК. Среди сенсоров цитоплазматической ДНК важным сенсором ДНК считается цГАС (синтаза циклического ГМФ-АМФ). Когда цГАС обнаруживает ДНК, образуется циклический динуклеотид (2',3'-цГАМФ), и указанный 2',3'-цГАМФ непосредственно связывается со STING и активирует STING (Непатентная Публикация 2). Активированный STING транслоцируется в аппарат Гольджи, где стимулирует аутофосфорилирование ТВК1 (Tank-связывающей киназы 1).
Аутофосфорилированная и активированная TBK1 активирует как транскрипционный путь IRF3 (регуляторного фактора интерферона 3) (Непатентная Публикация 3), так и транскрипционный путь NFκB (Непатентная Публикация 4), и повышает продукцию воспалительных белков, называемых интерферонами и цитокинами (ИФН I типа (интерферон), ИЛ-6 (интерлейкин-6), ФНО-α (фактор некроза опухоли-α)). Эти белки приводят в действие систему приобретенного иммунитета, включая Т-клетки, которые разрушают патогены и раковые клетки посредством сложного каскада.
[0003] В недавних исследованиях было показано, что STING стимулирует не только иммунную защиту организма от микробов, но и противоопухолевый иммунитет.Например, когда иммуногенные опухолевые клетки трансплантируют мышам с дефицитом STING, опухоль растет быстрее, чем у мышей дикого типа или мышей с дефицитом TRIF (содержащий домен рецептора Toll/интерлейкина-1 (ИЛ-1) адаптерный белок, индуцирующий интерферон-β). Кроме того, в отличие от мышей с дефицитом TLR (Toll-подобного рецептора), MyD88 (белка первичного ответа миелоидной дифференцировки 88) или MAVS (митохондриального противовирусного сигнального белка), спонтанное примирование CD8+ Т-клеток в отношении опухолей также было утрачено у мышей с дефицитом STING. Эти результаты позволяют предположить, что путь STING, который запускается при обнаружении цитоплазматической ДНК, участвует в регуляции роста опухоли (Непатентная Публикация 5). Другие исследования также продемонстрировали, что STING необходим для противоопухолевого действия лучевой терапии (Непатентная Публикация 6) и для терапии антителом к CD47 (Непатентная Публикация 7). ДНК из мертвых опухолевых клеток после лучевой терапии или лечения антителом к CD47 транслоцируется в цитоплазму дендритных клеток, активирует путь цГАС-STING и вызывает продукцию ИФН для активации приобретенного иммунитета посредством врожденного иммунитета. Данные исследования позволяют предположить, что опосредованное дендритными клетками перекрестное примирование, активируемое через путь STING, имеет решающее значение для активации приобретенного иммунитета против опухолей.
[0004] DMXAA, низкомолекулярное соединение на основе флавоноида, известное как разрушающий сосуды агент, индуцирует ИФН I типа в макрофагах и, как было показано, обладает эффективным противоопухолевым действием в модели опухоли у мышей (Непатентная Публикация 8). Ожидалось, что DMXAA, благодаря его превосходному противоопухолевому действию в доклинических испытаниях, будет иммунотерапевтическим средством для лечения немелкоклеточной карциномы легкого, но он не прошел клинические испытания (Непатентная Публикация 9). В недавних исследованиях было выявлено, что DMXAA является специфичным агонистом STING мыши и не может связываться со STING человека из-за отсутствия межвидовой перекрестной реактивности (Непатентная Публикация 10). Хотя DMXAA был неэффективен у людей, исследования в модели у мышей показывают, что низкомолекулярные лекарственные средства могут обеспечивать эффективный прайминг CD8+ Т-клеток и усиливать противоопухолевый иммунитет посредством STING.
[0005] Было показано, что другое низкомолекулярное соединение, циклический динуклеотид (ЦДН), усиливает опосредованный STING противоопухолевый иммунный ответ, заметно подавляет рост опухоли и улучшает выживаемость у имеющих опухоль мышей (Непатентная Публикация 11). ЦДН подразделяют на бактериальные ЦДН с двумя каноническими 3'-5'-фосфатными связями (циклический ди-ГМФ, циклический ди-АМФ, 3',3'-цГАМФ) и ЦДН со смешанными связями с двумя неканоническими 2'-5' -фосфатными связями, продуцируемые цГАС млекопитающих (2',3'-цГАМФ). В недавних исследованиях было показано, что ЦДН со смешанными связями в большей степени способны к универсальной активации различных STING, чем канонические ЦДН (Непатентная Публикация 12).
[0006] Природные ЦДН, как и большинство молекул нуклеиновых кислот, быстро разрушаются под действием нуклеаз в крови, и, таким образом, не могут быть введены в исходном виде. В связи с этим были разработаны синтетические низкомолекулярные соединения с активностью агонистов STING in vivo (например, Патентные публикации 1 - 26).
[0007] Агонист STING MIW-815 (также называемый ADU-S100, ML RR-S2 CDA или ML-RR-CDA⋅2Na+), который в настоящее время проходит клинические испытания в качестве противоопухолевого агента, вводят непосредственно в опухоль. В способе с непосредственным введением агониста STING в опухоль лекарственное средство может быть доставлено только в ограниченную область опухоли. Кроме того, затруднительно непосредственно вводить препарат во все отдаленные метастатические опухоли. К сожалению, это ограничивает тип опухолей, которые могут подлежать лечению. В Непатентной публикации 13 описано противоопухолевое действие при введении ML RR-S2 CDA, однако только при внутриопухолевом введении, а не при системном введении (например, внутривенном введении). В Непатентной публикации 14 раскрыто, что внутривенное введение SB11285, агониста STING, в модели опухоли у мышей оказывало противоопухолевое действие. Однако не указано, какую именно структуру имеет соединение SB11285. В Патентной публикации 14 описан конъюгат, содержащий иммуностимулятор, конструкцию на основе антитела и линкер. Однако не было раскрыто конкретных примеров конъюгата с применением агониста STING в качестве иммуностимулятора. В Патентной публикации 26 описан конъюгат, в котором ЦДН с определенной структурой конъюгирован с антителом посредством линкера. Однако отсутствуют примеры введения указанного конъюгата in vivo. Кроме того, не было продемонстрировано противоопухолевого действия конъюгата.
Перечень цитируемых материалов
Патентная литература
[0008] Патентная публикация 1: Международная публикация №WO 2014/099824
Патентная публикация 2: Международная публикация №WO 2014/179335
Патентная публикация 3: Международная публикация №WO 2014/189805
Патентная публикация 4: Международная публикация №WO 2014/189806
Патентная публикация 5: Международная публикация №WO 2015/074145
Патентная публикация 6: Международная публикация №WO 2015/185565
Патентная публикация 7: Международная публикация №WO 2016/096714
Патентная публикация 8: Международная публикация №WO 2016/012305
Патентная публикация 9: Международная публикация №WO 2016/145102
Патентная публикация 10: Международная публикация №WO 2017/027646
Патентная публикация 11: Международная публикация №WO 2017/027645
Патентная публикация 12: Международная публикация №WO 2017/075477
Патентная публикация 13: Международная публикация №WO 2017/093933
Патентная публикация 14: Международная публикация №WO 2017/100305
Патентная публикация 15: Международная публикация №WO 2017/123669
Патентная публикация 16: Международная публикация №WO 2017/161349
Патентная публикация 17: Международная публикация №WO 2017/175147
Патентная публикация 18: Международная публикация №WO 2017/175156
Патентная публикация 19: Международная публикация №WO 2018/009466
Патентная публикация 20: Международная публикация №WO 2018/045204
Патентная публикация 21: Международная публикация №WO 2018/060323
Патентная публикация 22: Международная публикация №WO 2018/067423
Патентная публикация 23: Международная публикация №WO 2018/065360
Патентная публикация 24: Международная публикация №WO 2014/093936
Патентная публикация 25: Международная публикация №WO 2018/009648
Патентная публикация 26: Международная публикация №WO 2018/100558
Непатентная литература
[0009] Непатентная Публикация 1: Nature 2008, 455, 674-678
Непатентная Публикация 2: Mol. Cell, 2013, 51, 226-235
Непатентная Публикация 3: Science 2015а, 347, ааа2630
Непатентная Публикация 4: J. Virol. 2014, 88, 5328-5341
Непатентная Публикация 5: Immunity 2014, 41, 830-842
Непатентная Публикация 6: Immunity 2014, 41, 843-852
Непатентная Публикация 7: Nat. Med. 2015, 21, 1209-1215
Непатентная Публикация 8: J. Immonol. 1994, 153, 4684-4693
Непатентная Публикация 9: J. Clin. Oncol. 2011, 29, 2965-2971
Непатентная Публикация 10: J. Immonol. 2013, 190, 5216-5225
Непатентная Публикация 11: Sci. Rep.2016, 6, 19049
Непатентная Публикация 12: Mol. Cell, 2015, 59, 891-903
Непатентная Публикация 13: Cell Rep.2015, 11, 1018-1030
Непатентная Публикация 14: AACR Tumor Immunology and Immunotherapy, 2017, Poster#A25
КРАТКОЕ ОПИСАНИЕ ИЗОБРЕТЕНИЯ
Проблема, решаемая настоящим изобретением
[0010] Следует разработать следующее, включая конъюгат антитело-лекарственное средство, который может быть введен системно и который может обеспечить специфичную доставку агониста STING в клетку-мишень (клетки-мишени) или орган-мишень (органы-мишени) (например, очаг опухоли), и терапевтический агент и/или способ лечения заболевания, связанного с агонистом STING (например, заболевания (например, рака), которое можно лечить с помощью иммуностимуляторов), с применением указанного конъюгата антитело-лекарственное средство.
Средства решения проблемы
[0011] Авторы настоящего изобретения решили указанную выше проблему и разработали конъюгат антитело-лекарственное средство, полученный путем конъюгирования нового производного ЦДН, которое характеризуется наличием конденсированного трициклического заместителя, и специфичного антитела посредством линкера. Также было обнаружено, что системное введение конъюгата антитело-лекарственное средство оказывает противоопухолевое действие в отношении опухоли, экспрессирующей антиген. Таким образом, настоящее изобретение было разработано.
[0012] В частности, изобретение согласно настоящей заявке относится к следующему, но не ограничивается им.
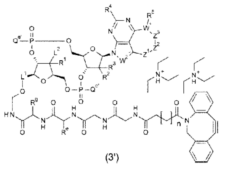
[1] Конъюгат антитело-лекарственное средство, представленный следующей формулой (II):
[Формула 1]
где m1 находится в диапазоне от 1 до 10;
Ab представляет собой антитело или функциональный фрагмент антитела, где антитело необязательно содержит ремоделированный гликан,
при этом антитело представляет собой любое антитело, выбранное из группы, состоящей из антитела к CD70, антитела к TROP2 и антитела к EGFR;
L представляет собой линкер, соединяющий Ab и D, где
Ab может непосредственно связываться с L посредством аминокислотного остатка Ab или может связываться с L посредством гликана или ремоделированного гликана Ab;
D представляет собой соединение, представленное следующей формулой (I):
[Формула 2]
где
L образует связь с любой группой -NH2 или гидроксигруппой, содержащейся в L1,
L1 представляет собой любую одну группу из следующих трех формул:
[Формула 3]
где волнистой линией обозначено положение замещения,
Q и Q', каждый независимо, представляют собой гидроксигруппу или тиольную группу,
R21 и R22, каждый независимо, представляют собой гидроксигруппу или атом фтора; и
W представляет собой -NH- или атом серы.
[2] Конъюгат антитело-лекарственное средство согласно п. [1], где D представлен любой одной из следующих двух формул:
[Формула 4]
где L1, Q, Q' и W являются такими, как определено выше.
[3] Конъюгат антитело-лекарственное средство согласно п. [1] или п. [2], где D представлен любой из следующих четырех формул:
[Формула 5]
где звездочкой обозначено образование связи с L, и Q, Q' и W являются такими, как определено выше.
[4] Конъюгат антитело-лекарственное средство согласно любому из пп. [1]-[3], где D представлен любой из следующих трех формул:
[Формула 6]
где звездочкой обозначено образование связи с L, и W является таким, как определено выше.
[5] Конъюгат антитело-лекарственное средство согласно любому из пп. [1]-[4], где D представлен любой из следующих трех формул:
[Формула 7]
где звездочкой обозначено образование связи с L.
[6] Конъюгат антитело-лекарственное средство согласно любому из пп. [1]-[4], где D представлен любой из следующих четырех формул:
[Формула 8]
где звездочкой обозначено образование связи с L.
[7] Конъюгат антитело-лекарственное средство согласно любому из пп. [1]-[4] и п. [6], где D представлен следующей формулой:
[Формула 9]
где звездочкой обозначено образование связи с L.
[8] Конъюгат антитело-лекарственное средство согласно любому из пп. [1]-[3], где D представлен любой из следующих двух формул:
[Формула 10]
где звездочкой обозначено образование связи с L, и W является таким, как определено выше.
[9] Конъюгат антитело-лекарственное средство согласно любому из пп. [1]-[3] и п. [8], где D представлен любой из следующих четырех формул:
[Формула 11]
где звездочкой обозначено образование связи с L.
[10] Конъюгат антитело-лекарственное средство согласно любому из пп. [1]-[9], где линкер L представлен -Lb-La-Lp-Lc-*,
где звездочкой обозначено образование связи с лекарственным средством D;
Lp представляет собой линкер, состоящий из аминокислотной последовательности, расщепляемой в клетке-мишени, или отсутствует;
La представляет собой любой фрагмент, выбранный из группы, состоящей из следующего:
-С(=O)-(СН2СН2)n2-С(=O)-,
-С(=O)-(СН2СН2)n2-СН2-С(=O)-,
-C(=O)-(CH2CH2)n2-C(=O)-NH-(CH2CH2)n3-C(=O)-,
-C(=O)-(CH2CH2)n2-C(=O)-NH-(CH2CH2)n3-CH2-C(=O)-,
-C(=O)-(CH2CH2)n2-C(=O)-NH-(CH2CH2O)n3-CH2-C(=O)-,
-(CH2)n4-O-C(=O)- и
-(CH2)n9-C(=O)-,
где n2 представляет собой целое число от 1 до 3, n3 представляет собой целое число от 1 до 5, n4 представляет собой целое число от 0 до 2, и n9 представляет собой целое число от 2 до 7;
Lb представляет собой спейсер для связывания La с гликаном или ремоделированным гликаном Ab или спейсер для связывания La с остатком цистеина Ab; и
Lc представляет собой -NH-CH2-, -NH-фенил-СН2-O(С=O)- или -NH-гетероарил-СН2-O(С=O)- или отсутствует.
[11] Конъюгат антитело-лекарственное средство согласно п. [10], где Lc представляет собой -NH-CH2-.
[12] Конъюгат антитело-лекарственное средство согласной.
[10] или п. [11], где Lp представляет собой любой из -GGFG-, -GGPI-, -GGVA-, -GGFM-, -GGVCit-, -GGFCit-, -GGICit-, -GGPL-, -GGAQ- или -GGPP-.
[13] Конъюгат антитело-лекарственное средство согласно п. [12], где Lp представляет собой -GGFG- или -GGPI-.
[14] Конъюгат антитело-лекарственное средство согласно любому из пп. [10]-[13], где La представляет собой любой фрагмент, выбранный из группы, состоящей из следующего:
-С(=O)-СН2СН2-С(=O)-,
-C(=O)-CH2CH2-C(=O)-NH-(CH2CH2O)3-CH2-C(=O)-,
-C(=O)-CH2CH2-C(=O)-NH-(CH2CH2O)4-CH2-C(=O)- и
-(CH2)5-C(=O)-.
[15] Конъюгат антитело-лекарственное средство согласно любому из пп. [10]-[14], где Lb представлен любой из следующих формул:
[Формула 12]
или
[Формула 13]
где в структурной формуле Lb, представленной выше, звездочкой обозначено образование связи с La, и волнистой линией обозначено образование связи с гликаном или ремоделированным гликаном Ab.
[16] Конъюгат антитело-лекарственное средство согласно любому из пп. [10]-[14], где Lb представляет собой -(сукцинимид-3-ил-N)-, при этом -(сукцинимид-3-ил-N)- представлен следующей структурной формулой:
[Формула 14]
где звездочкой обозначено образование связи с La, и волнистой линией обозначено образование связи с боковой цепью остатка цистеина антитела путем образования тиоэфира.
[17] Конъюгат антитело-лекарственное средство согласно любому из пп. [10]-[15], где линкер L представлен -Lb-La-Lp-Lc-*
где звездочкой обозначено образование связи с лекарственным средством D;
Lp представляет собой -GGFG- или -GGPI-;
La представляет собой -С(=O)-СН2СН2-С(=O)-;
Lb представлен следующей формулой:
[Формула 15]
При этом в структурной формуле Lb, представленной выше, звездочкой обозначено образование связи с La, и волнистой линией обозначено образование связи с гликаном или ремоделированным гликаном Ab; и
Lc представляет собой -NH-СН2-.
[18] Конъюгат антитело-лекарственное средство согласно любому из пп. [1]-[17], где среднее количество конъюгированных молекул лекарственного средства на молекулу антитела в конъюгате антител о-лекарственное средство составляет от 1 до 10.
[19] Конъюгат антитело-лекарственное средство согласной.
[18], где среднее количество конъюгированных молекул лекарственного средства на молекулу антитела в конъюгате антитело-лекарственное средство составляет от 1 до 5.
[20] Конъюгат антитело-лекарственное средство согласной.
[19], где среднее количество конъюгированных молекул лекарственного средства на молекулу антитела в конъюгате антитело-лекарственное средство составляет от 3 до 5.
[21] Конъюгат антитело-лекарственное средство согласно любому из пп. [1]-[20], где антитело образует связь с L посредством гликана, связывающегося с Asn297 антитела (N297-гликана).
[22] Конъюгат антитело-лекарственное средство согласной.
[21], где N297-гликан представляет собой ремоделированный гликан.
[23] Конъюгат антитело-лекарственное средство согласной.
[21] или п. [22], где N297-гликан представляет собой N297-(Fuc)MSG1 или N297-(Fuc)SG, имеюпщй структуру, представленную следующей формулой:
[Формула 16]
где волнистой линией обозначено образование связи с Asn297 антитела,
L(PEG) представляет собой -(CH2-CH2O)n5-CH2-CH2-NH-,
где аминогруппа на правом конце L(PEG) связана посредством амидной связи с карбоксильной группой в положении 2 сиаловой кислоты на невосстанавливающем конце 1-3-разветвленной цепи β-Man в N297-гликане,
звездочкой обозначено образование связи с атомом азота в положении 1 или 3 1,2,3-триазольного кольца Lb в линкере L, и
n5 представляет собой целое число от 2 до 5;
[Формула 17]
где волнистой линией обозначено образование связи с Asn297 антитела, L(PEG) представляет собой -(CH2-CH2O)n5-CH2-CH2-NH-,
где аминогруппа на правом конце L(PEG) связана посредством амидной связи с карбоксильной группой в положении 2 сиаловой кислоты на невосстанавливающем конце каждой из 1-3-и 1-6-разветвленных цепей β-Man в N297-гликане,
звездочкой обозначено образование связи с атомом азота в положении 1 или 3 1,2,3-триазольного кольца Lb в линкере L, и
n5 представляет собой целое число от 2 до 5.
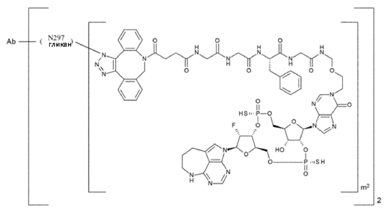
[24] Конъюгат антитело-лекарственное средство согласно любому из пп. [21]-[23], где указанный конъюгат антитело-лекарственное средство представлен следующей формулой:
[Формула 18]
где m2 представляет собой целое число, составляющее 1 или 2,
L представляет собой линкер, соединяющий N297-гликан Ab и D, как определено ранее,
Ab представляет собой антитело к CD70, антитело к TROP2 или антитело к EGFR, или его функциональный фрагмент,
N297-гликан Ab представлен N297-(Fuc)MSG1 или N297-(Fuc)SG, имеющими структуру, представленную следующей формулой:
[Формула 19]
где волнистой линией обозначено образование связи с Asn297 антитела,
L(PEG) представляет собой -(CH2-CH2O)n5-CH2-CH2-NH-,
где аминогруппа на правом конце L(PEG) связана посредством амидной связи с карбоксильной группой в положении 2 сиаловой кислоты на невосстанавливающем конце 1-3-разветвленнойцепи β-Man в N297-гликане,
звездочкой обозначено образование связи с атомом азота в положении 1 или 3 1,2,3-триазольного кольца Lb в линкере L, и
n5 представляет собой целое число от 2 до 5;
[Формула 20]
где волнистой линией обозначено образование связи с Asn297 антитела,
L(PEG) представляет собой -(CH2-CH2-O)n5-CH2-CH2-NH-,
где аминогруппа на правом конце L(PEG) связана посредством амидной связи с карбоксильной группой в положении 2 сиаловой кислоты на невосстанавливающем конце каждой из 1-3-и 1-6-разветвленных цепей β-Man в N297-гликане,
звездочкой обозначено образование связи с атомом азота в положении 1 или 3 1,2,3-триазольного кольца Lb в линкере L, и
n5 представляет собой целое число от 2 до 5, D представлен любой из следующих четырех формул:
[Формула 21]
где звездочкой обозначено образование связи с L.
[25] Конъюгат антитело-лекарственное средство согласно п. [24], где указанный конъюгат антитело-лекарственное средство представлен следующими формулами, выбранными из
[Формула 22]
при этом в каждой структурной формуле, представленной выше, m2 представляет собой целое число от 1 до 2,
Ab представляет собой антитело к CD70, антитело к TROP2 или антитело к EGFR, или его функциональный фрагмент,
N297-гликан Ab представлен любым из N297-(Fuc)MSG1 или N297-(Fuc)SG, имеющим структуру, представленную следующей формулой:
[Формула 23]
где волнистой линией обозначено образование связи с Asn297 антитела,
L(PEG) представляет собой -(CH2-CH2O)n5-CH2-CH2-NH-,
где аминогруппа на правом конце L(PEG) связана посредством амидной связи с карбоксильной группой в положении 2 сиаловой кислоты на невосстанавливающем конце 1-3-разветвленнойцепи β-Man в N297-гликане,
звездочкой обозначено образование связи с атомом азота в положении 1 или 3 1,2,3-триазольного кольца Lb в линкере L, и
n5 представляет собой целое число от 2 до 5; или
[Формула 24]
где волнистой линией обозначено образование связи с Asn297 антитела,
L(PEG) представляет собой -(CH2-CH2-O)n5-CH2-CH2-NH-, где аминогруппа на правом конце L(PEG) связана посредством амидной связи с карбоксильной группой в положении 2 сиаловой кислоты на невосстанавливающем конце каждой из 1-3-и 1-6-разветвленных цепей β-Man в N297-гликане,
звездочкой обозначено образование связи с атомом азота в положении 1 или 3 1,2,3-триазольного кольца Lb в линкере L, и
n5 представляет собой целое число от 2 до 5.
[26] Конъюгат антитело-лекарственное средство согласно п. [25], где указанный конъюгат антитело-лекарственное средство представлен следующими формулами, выбранными из
[Формула 25]
при этом в каждой структурной формуле, представленной выше, m2 представляет собой целое число от 1 до 2,
Ab представляет собой антитело к CD70, антитело к TROP2 или антитело к EGFR, или его функциональный фрагмент,
N297-гликан Ab представлен любым из N297-(Fuc)MSG1 или N297-(Fuc)SG, имеющим структуру, представленную следующей формулой:
[Формула 26]
где волнистой линией обозначено образование связи с Asn297 антитела,
L(PEG) представляет собой -(CH2-CH2-O)n5-CH2-CH2-NH-, где аминогруппа на правом конце L(PEG) связана посредством амидной связи с карбоксильной группой в положении 2 сиаловой кислоты на невосстанавливающем конце 1-3-разветвленнойцепи β-Man в N297-гликане,
звездочкой обозначено образование связи с атомом азота в положении 1 или 3 1,2,3-триазольного кольца Lb в линкере L, и
n5 представляет собой целое число от 2 до 5;
[Формула 27]
где волнистой линией обозначено образование связи с Asn297 антитела,
L(PEG) представляет собой -(CH2-CH2O)n5-CH2-CH2-NH-,
где аминогруппа на правом конце L(PEG) связана посредством амидной связи с карбоксильной группой в положении 2 сиаловой кислоты на невосстанавливающем конце каждой из 1-3- и 1-6-разветвленных цепей β-Man в №97-гликане,
звездочкой обозначено образование связи с атомом азота в положении 1 или 3 1,2,3-триазольного кольца Lb в линкере L, и
n5 представляет собой целое число от 2 до 5.
[27] Конъюгат антитело-лекарственное средство согласно любому из пп. [1]-[26], где антитело представляет собой антитело к CD70.
[28] Конъюгат антитело-лекарственное средство согласно любому из пп. [1]-[26], где антитело представляет собой антитело к TROP2.
[29] Конъюгат антитело-лекарственное средство согласно любому из пп. [1]-[26], где антитело представляет собой антитело к EGFR.
[30] Конъюгат антитело-лекарственное средство согласно п. [27], где антитело представляет собой антитело, содержащее легкую цепь, состоящую из аминокислотной последовательности, представленной SEQ ID NO: 1, и тяжелую цепь, состоящую из аминокислотной последовательности, представленной SEQ ID NO: 2, или антитело, содержащее легкую цепь, состоящую из аминокислотной последовательности, представленной SEQ ID NO: 3, и тяжелую цепь, состоящую из аминокислотной последовательности, представленной SEQ ID NO: 4.
[31] Конъюгат антитело-лекарственное средство согласно п. [28], где антитело представляет собой антитело, содержащее легкую цепь, состоящую из аминокислотной последовательности, представленной SEQ ID NO: 5, и тяжелую цепь, состоящую из аминокислотной последовательности, представленной SEQ ID NO: 6, или антитело, содержащее легкую цепь, состоящую из аминокислотной последовательности, представленной SEQ ID NO: 7, и тяжелую цепь, состоящую из аминокислотной последовательности, представленной SEQ ID NO: 8.
[32] Конъюгат антитело-лекарственное средство согласно п. [29], где антитело представляет собой антитело, содержащее легкую цепь, состоящую из аминокислотной последовательности, представленной SEQ ID NO: 9, и тяжелую цепь, состоящую из аминокислотной последовательности, представленной SEQ ID NO: 10, или антитело, содержащее легкую цепь, состоящую из аминокислотной последовательности, представленной SEQ ID NO: 11, и тяжелую цепь, состоящую из аминокислотной последовательности, представленной SEQ ID NO: 12.
[33] Конъюгат антитело-лекарственное средство согласно п. [27], где антитело представляет собой антитело, содержащее легкую цепь, содержащую вариабельную область легкой цепи, состоящую из аминокислотных остатков 1-112 SEQ ID NO: 1, и тяжелую цепь, содержащую вариабельную область тяжелой цепи, состоящую из аминокислотных остатков 1-118 SEQ ID NO: 2, или антитело, содержащее легкую цепь, содержащую вариабельную область легкой цепи, состоящую из аминокислотных остатков 1-108 SEQ ID NO: 3, и тяжелую цепь, содержащую вариабельную область тяжелой цепи, состоящую из аминокислотных остатков 1-118 SEQ ID NO: 4.
[34] Конъюгат антитело-лекарственное средство согласно п. [28], где антитело представляет собой антитело, содержащее легкую цепь, содержащую вариабельную область легкой цепи, состоящую из аминокислотных остатков 1-108 SEQ ID NO: 5, и тяжелую цепь, содержащую вариабельную область тяжелой цепи, состоящую из аминокислотных остатков 1-121 SEQ ID NO: 6, или антитело, содержащее легкую цепь, содержащую вариабельную область легкой цепи, состоящую из аминокислотных остатков 1-108 SEQ ID NO: 7, и тяжелую цепь, содержащую вариабельную область тяжелой цепи, состоящую из аминокислотных остатков 1-121 SEQ ID NO: 8.
[35] Конъюгат антитело-лекарственное средство согласно п. [29], где антитело представляет собой антитело, содержащее легкую цепь, содержащую вариабельную область легкой цепи, состоящую из аминокислотных остатков 1-108 SEQ ID NO: 9, и тяжелую цепь, содержащую вариабельную область тяжелой цепи, состоящую из аминокислотных остатков 1-119 SEQ ID NO: 10, или антитело, содержащее легкую цепь, содержащую вариабельную область легкой цепи, состоящую из аминокислотных остатков 1-108 SEQ ID NO: 11, и тяжелую цепь, содержащую вариабельную область тяжелой цепи, состоящую из аминокислотных остатков 1-116 SEQ ID NO: 12.
[36] Конъюгат антитело-лекарственное средство согласно п. [27], где антитело представляет собой антитело, содержащее легкую цепь, содержащую CDRL1, состоящий из аминокислотной последовательности, представленной SEQ ID NO: 35, CDRL2, состоящий из аминокислотной последовательности, представленной SEQ ID NO: 36, и CDRL3, состоящий из аминокислотной последовательности, представленной SEQ ID NO: 37, и тяжелую цепь, содержащую CDRH1, состоящий из аминокислотной последовательности, представленной SEQ ID NO: 38, CDRH2, состоящий из аминокислотной последовательности, представленной SEQ ID NO: 39, и CDRH3, состоящий из аминокислотной последовательности, представленной SEQ ID NO: 40, или антитело, содержащее легкую цепь, содержащую CDRL1, состоящий из аминокислотной последовательности, представленной SEQ ID NO: 41, CDRL2, состоящий из аминокислотной последовательности, представленной SEQ ID NO: 42, и CDRL3, состоящий из аминокислотной последовательности, представленной SEQ ID NO: 43, и тяжелую цепь, содержащую CDRH1, состоящий из аминокислотной последовательности, представленной SEQ ID NO: 44, CDRH2, состоящий из аминокислотной последовательности, представленной SEQ ID NO: 45, и CDRH3, состоящий из аминокислотной последовательности, представленной SEQ ID NO: 46.
[37] Конъюгат антитело-лекарственное средство согласно п. [28], где антитело представляет собой антитело, содержащее легкую цепь, содержащую CDRL1, состоящий из аминокислотной последовательности, представленной SEQ ID NO: 47, CDRL2, состоящий из аминокислотной последовательности, представленной SEQ ID NO: 48, и CDRL3, состоящий из аминокислотной последовательности, представленной SEQ ID NO: 49, и тяжелую цепь, содержащую CDRH1, состоящий из аминокислотной последовательности, представленной SEQ ID NO: 50, CDRH2, состоящий из аминокислотной последовательности, представленной SEQ ID NO: 51, и CDRH3, состоящий из аминокислотной последовательности, представленной SEQ ID NO: 52, или антитело, содержащее легкую цепь, содержащую CDRL1, состоящий из аминокислотной последовательности, представленной SEQ ID NO: 53, CDRL2, состоящий из аминокислотной последовательности, представленной SEQ ID NO: 54, и CDRL3, состоящий из аминокислотной последовательности, представленной SEQ ID NO: 55, и тяжелую цепь, содержащую CDRH1, состоящий из аминокислотной последовательности, представленной SEQ ID NO: 56, CDRH2, состоящий из аминокислотной последовательности, представленной SEQ ID NO: 57, и CDRH3, состоящий из аминокислотной последовательности, представленной SEQ ID NO: 58.
[38] Конъюгат антитело-лекарственное средство согласно п. [29], где антитело представляет собой антитело, содержащее легкую цепь, содержащую CDRL1, состоящий из аминокислотной последовательности, представленной SEQ ID NO: 59, CDRL2, состоящий из аминокислотной последовательности, представленной SEQ ID NO: 60, и CDRL3, состоящий из аминокислотной последовательности, представленной SEQ ID NO: 61, и тяжелую цепь, содержащую CDRH1, состоящий из аминокислотной последовательности, представленной SEQ ID NO: 62, CDRH2, состоящий из аминокислотной последовательности, представленной SEQ ID NO: 63, и CDRH3, состоящий из аминокислотной последовательности, представленной SEQ ID NO: 64, или антитело, содержащее легкую цепь, содержащую CDRL1, состоящий из аминокислотной последовательности, представленной SEQ ID NO: 65, CDRL2, состоящий из аминокислотной последовательности, представленной SEQ ID NO: 66, и CDRL3, состоящий из аминокислотной последовательности, представленной SEQ ID NO: 67, и тяжелую цепь, содержащую CDRH1, состоящий из аминокислотной последовательности, представленной SEQ ID NO: 68, CDRH2, состоящий из аминокислотной последовательности, представленной SEQ ID NO: 69, и CDRH3, состоящий из аминокислотной последовательности, представленной SEQ ID NO: 70.
[39] Конъюгат антитело-лекарственное средство, представленный следующей формулой:
[Формула 28]
где Ab представляет собой любое антитело, выбранное из группы, состоящей из:
антитела, содержащего легкую цепь, состоящую из аминокислотной последовательности, представленной SEQ ID NO: 1, и тяжелую цепь, состоящую из аминокислотной последовательности, представленной SEQ ID NO: 2,
антитела, содержащего легкую цепь, состоящую из аминокислотной последовательности, представленной SEQ ID NO: 3, и тяжелую цепь, состоящую из аминокислотной последовательности, представленной SEQ ID NO: 4,
антитела, содержащего легкую цепь, состоящую из аминокислотной последовательности, представленной SEQ ID NO: 5, и тяжелую цепь, состоящую из аминокислотной последовательности, представленной SEQ ID NO: 6,
антитела, содержащего легкую цепь, состоящую из аминокислотной последовательности, представленной SEQ ID NO: 7, и тяжелую цепь, состоящую из аминокислотной последовательности, представленной SEQ ID NO: 8,
антитела, содержащего легкую цепь, состоящую из аминокислотной последовательности, представленной SEQ ID NO: 9, и тяжелую цепь, состоящую из аминокислотной последовательности, представленной SEQ ID NO: 10, и
антитела, содержащего легкую цепь, состоящую из аминокислотной последовательности, представленной SEQ ID NO: 11, и тяжелую цепь, состоящую из аминокислотной последовательности, представленной SEQ ID NO: 12,
где N297-гликан Ab представлен следующей формулой:
[Формула 29]
где волнистой линией обозначено образование связи с Asn297 антитела,
L(PEG) представляет собой -(CH2-CH2O)n5-CH2-CH2-NH-,
где аминогруппа на правом конце L(PEG) связана посредством амидной связи с карбоксильной группой в положении 2 сиаловой кислоты на невосстанавливающем конце каждой из 1-3-и 1-6-разветвленных цепей β-Man в N297-гликане,
звездочкой обозначено образование связи с атомом азота в положении 1 или 3 1,2,3-триазольного кольца Lb в линкере L,
n5 составляет 3, и
m2 составляет 2.
[40] Конъюгат антитело-лекарственное средство, представленный следующей формулой:
[Формула 30]
где Ab представляет собой любое антитело, выбранное из группы, состоящей из:
антитела, содержащего легкую цепь, содержащую вариабельную область легкой цепи, состоящую из аминокислотных остатков 1-112 SEQ ID NO: 1, и тяжелую цепь, содержащую вариабельную область тяжелой цепи, состоящую из аминокислотных остатков 1-118 SEQ ID NO: 2,
антитела, содержащего легкую цепь, содержащую вариабельную область легкой цепи, состоящую из аминокислотных остатков 1-108 SEQ ID NO: 3, и тяжелую цепь, содержащую вариабельную область тяжелой цепи, состоящую из аминокислотных остатков 1-118 SEQ ID NO: 4,
антитела, содержащего легкую цепь, содержащую вариабельную область легкой цепи, состоящую из аминокислотных остатков 1-108 SEQ ID NO: 5, и тяжелую цепь, содержащую вариабельную область тяжелой цепи, состоящую из аминокислотных остатков 1-121 SEQ ID NO: 6,
антитела, содержащего легкую цепь, содержащую вариабельную область легкой цепи, состоящую из аминокислотных остатков 1-108 SEQ ID NO: 7, и тяжелую цепь, содержащую вариабельную область тяжелой цепи, состоящую из аминокислотных остатков 1-121 SEQ ID NO: 8,
антитела, содержащего легкую цепь, содержащую вариабельную область легкой цепи, состоящую из аминокислотных остатков 1-108 SEQ ID NO: 9, и тяжелую цепь, содержащую вариабельную область тяжелой цепи, состоящую из аминокислотных остатков 1-119 SEQ ID NO: 10, и
антитела, содержащего легкую цепь, содержащую вариабельную область легкой цепи, состоящую из аминокислотных остатков 1-108 SEQ ID NO: 11, и тяжелую цепь, содержащую вариабельную область тяжелой цепи, состоящую из аминокислотных остатков 1-116 SEQ ID NO: 12,
где N297-гликан Ab представлен следующей формулой:
[Формула 31]
где волнистой линией обозначено образование связи с Asn297 антитела,
L(PEG) представляет собой -(CH2-CH2-O)n5-CH2-CH2-NH-,
где аминогруппа на правом конце L(PEG) связана посредством амидной связи с карбоксильной группой в положении 2 сиаловой кислоты на невосстанавливающем конце каждой из 1-3-и 1-6-разветвленных цепей β-Man в N297-гликане,
звездочкой обозначено образование связи с атомом азота в положении 1 или 3 1,2,3-триазольного кольца Lb в линкере L,
n5 составляет 3, и
m2 составляет 2.
[41] Конъюгат антитело-лекарственное средство, представленный следующей формулой:
[Формула 32]
где Ab представляет собой любое антитело, выбранное из группы, состоящей из:
антитела, содержащего легкую цепь, содержащую CDRL1, состоящий из аминокислотной последовательности, представленной SEQ ID NO: 35, CDRL2, состоящий из аминокислотной последовательности, представленной SEQ ID NO: 36, и CDRL3, состоящий из аминокислотной последовательности, представленной SEQ ID NO: 37, и тяжелую цепи, содержащую CDRH1, состоящий из аминокислотной последовательности, представленной SEQ ID NO: 38, CDRH2, состоящий из аминокислотной последовательности, представленной SEQ ID NO: 39, и CDRH3, состоящий из аминокислотной последовательности, представленной SEQ ID NO: 40,
антитела, содержащего легкую цепь, содержащую CDRL1, состоящий из аминокислотной последовательности, представленной SEQ ID NO: 41, CDRL2, состоящий из аминокислотной последовательности, представленной SEQ ID NO: 42, и CDRL3, состоящий из аминокислотной последовательности, представленной SEQ ID NO: 43, и тяжелую цепи, содержащую CDRH1, состоящий из аминокислотной последовательности, представленной SEQ ID NO: 44, CDRH2, состоящий из аминокислотной последовательности, представленной SEQ ID NO: 45, и CDRH3, состоящий из аминокислотной последовательности, представленной SEQ ID NO: 46,
антитела, содержащего легкую цепь, содержащую CDRL1, состоящий из аминокислотной последовательности, представленной SEQ ID NO: 47, CDRL2, состоящий из аминокислотной последовательности, представленной SEQ ID NO: 48, и CDRL3, состоящий из аминокислотной последовательности, представленной SEQ ID NO: 49, и тяжелую цепи, содержащую CDRH1, состоящий из аминокислотной последовательности, представленной SEQ ID NO: 50, CDRH2, состоящий из аминокислотной последовательности, представленной SEQ ID NO: 51, и CDRH3, состоящий из аминокислотной последовательности, представленной SEQ ID NO: 52,
антитела, содержащего легкую цепь, содержащую CDRL1, состоящий из аминокислотной последовательности, представленной SEQ ID NO: 53, CDRL2, состоящий из аминокислотной последовательности, представленной SEQ ID NO: 54, и CDRL3, состоящий из аминокислотной последовательности, представленной SEQ ID NO: 55, и тяжелую цепи, содержащую CDRH1, состоящий из аминокислотной последовательности, представленной SEQ ID NO: 56, CDRH2, состоящий из аминокислотной последовательности, представленной SEQ ID NO: 57, и CDRH3, состоящий из аминокислотной последовательности, представленной SEQ ID NO: 58,
антитела, содержащего легкую цепь, содержащую CDRL1, состоящий из аминокислотной последовательности, представленной SEQ ID NO: 59, CDRL2, состоящий из аминокислотной последовательности, представленной SEQ ID NO: 60, и CDRL3, состоящий из аминокислотной последовательности, представленной SEQ ID NO: 61, и тяжелую цепи, содержащую CDRH1, состоящий из аминокислотной последовательности, представленной SEQ ID NO: 62, CDRH2, состоящий из аминокислотной последовательности, представленной SEQ ID NO: 63, и CDRH3, состоящий из аминокислотной последовательности, представленной SEQ ID NO: 64, и
антитела, содержащего легкую цепь, содержащую CDRL1, состоящий из аминокислотной последовательности, представленной SEQ ID NO: 65, CDRL2, состоящий из аминокислотной последовательности, представленной SEQ ID NO: 66, и CDRL3, состоящий из аминокислотной последовательности, представленной SEQ ID NO: 67, и тяжелую цепи, содержащую CDRH1, состоящий из аминокислотной последовательности, представленной SEQ ID NO: 68, CDRH2, состоящий из аминокислотной последовательности, представленной SEQ ID NO: 69, и CDRH3, состоящий из аминокислотной последовательности, представленной SEQ ID NO: 70,
где N297-гликан Ab представлен следующей формулой:
[Формула 33]
где волнистой линией обозначено образование связи с Asn297 антитела,
L(PEG) представляет собой -(CH2-CH2-O)n5-CH2-CH2-NH-,
где аминогруппа на правом конце L(PEG) связана посредством амидной связи с карбоксильной группой в положении 2 сиаловой кислоты на невосстанавливающем конце каждой из 1-3-и 1-6-разветвленных цепей β-Man в N297-гликане,
звездочкой обозначено образование связи с атомом азота в положении 1 или 3 1,2,3-триазольного кольца Lb в линкере L,
n5 составляет 3, и
m2 составляет 2.
[42] Конъюгат антитело-лекарственное средство, представленный следующей формулой:
[Формула 34]
где Ab представляет собой любое антитело, выбранное из группы, состоящей из:
антитела, содержащего легкую цепь, состоящую из аминокислотной последовательности, представленной SEQ ID NO: 1, и тяжелую цепь, состоящую из аминокислотной последовательности, представленной SEQ ID NO: 2,
антитела, содержащего легкую цепь, состоящую из аминокислотной последовательности, представленной SEQ ID NO: 3, и тяжелую цепь, состоящую из аминокислотной последовательности, представленной SEQ ID NO: 4,
антитела, содержащего легкую цепь, состоящую из аминокислотной последовательности, представленной SEQ ID NO: 5, и тяжелую цепь, состоящую из аминокислотной последовательности, представленной SEQ ID NO: 6,
антитела, содержащего легкую цепь, состоящую из аминокислотной последовательности, представленной SEQ ID NO: 7, и тяжелую цепь, состоящую из аминокислотной последовательности, представленной SEQ ID NO: 8,
антитела, содержащего легкую цепь, состоящую из аминокислотной последовательности, представленной SEQ ID NO: 9, и тяжелую цепь, состоящую из аминокислотной последовательности, представленной SEQ ID NO: 10, и
антитела, содержащего легкую цепь, состоящую из аминокислотной последовательности, представленной SEQ ID NO: 11, и тяжелую цепь, состоящую из аминокислотной последовательности, представленной SEQ ID NO: 12,
где N297-гликан Ab представлен следующей формулой:
[Формула 35]
где волнистой линией обозначено образование связи с Asn297 антитела,
L(PEG) представляет собой -(CH2-CH2-O)n5-CH2-CH2-NH-,
где аминогруппа на правом конце L(PEG) связана посредством амидной связи с карбоксильной группой в положении 2 сиаловой кислоты на невосстанавливающем конце каждой из 1-3- и 1-6-разветвленных цепей β-Man в N297-гликане,
звездочкой обозначено образование связи с атомом азота в положении 1 или 3 1,2,3-триазольного кольца Lb в линкере L,
n5 составляет 3, и
m2 составляет 1.
[43] Конъюгат антитело-лекарственное средство, представленный следующей формулой:
[Формула 36]
где Ab представляет собой любое антитело, выбранное из группы, состоящей из:
антитела, содержащего легкую цепь, содержащую вариабельную область легкой цепи, состоящую из аминокислотных остатков 1-112 SEQ ID NO: 1, и тяжелую цепь, содержащую вариабельную область тяжелой цепи, состоящую из аминокислотных остатков 1-118 SEQ ID NO: 2,
антитела, содержащего легкую цепь, содержащую вариабельную область легкой цепи, состоящую из аминокислотных остатков 1-108 SEQ ID NO: 3, и
тяжелую цепь, содержащую вариабельную область тяжелой цепи, состоящую из аминокислотных остатков 1-118 SEQ ID NO: 4,
антитела, содержащего легкую цепь, содержащую вариабельную область легкой цепи, состоящую из аминокислотных остатков 1-108 SEQ ID NO: 5, и тяжелую цепь, содержащую вариабельную область тяжелой цепи, состоящую из аминокислотных остатков 1-121 SEQ ID NO: 6,
антитела, содержащего легкую цепь, содержащую вариабельную область легкой цепи, состоящую из аминокислотных остатков 1-108 SEQ ID NO: 7, и тяжелую цепь, содержащую вариабельную область тяжелой цепи, состоящую из аминокислотных остатков 1-121 SEQ ID NO: 8,
антитела, содержащего легкую цепь, содержащую вариабельную область легкой цепи, состоящую из аминокислотных остатков 1-108 SEQ ID NO: 9, и тяжелую цепь, содержащую вариабельную область тяжелой цепи, состоящую из аминокислотных остатков 1-119 SEQ ID NO: 10, и
антитела, содержащего легкую цепь, содержащую вариабельную область легкой цепи, состоящую из аминокислотных остатков 1-108 SEQ ID NO: 11, и тяжелую цепь, содержащую вариабельную область тяжелой цепи, состоящую из аминокислотных остатков 1-116 SEQ ID NO: 12,
где N297-гликан Ab представлен следующей формулой:
[Формула 37]
где волнистой линией обозначено образование связи с Asn297 антитела,
L(PEG) представляет собой -(CH2-CH2-O)n5-CH2-CH2-NH-,
где аминогруппа на правом конце L(PEG) связана посредством амидной связи с карбоксильной группой в положении 2 сиаловой кислоты на невосстанавливающем конце каждой из 1-3- и 1-6-разветвленных цепей β-Man в N297-гликане,
звездочкой обозначено образование связи с атомом азота в положении 1 или 3 1,2,3-триазольного кольца Lb в линкере L,
n5 составляет 3, и
m2 составляет 1.
[44] Конъюгат антитело-лекарственное средство, представленный следующей формулой:
[Формула 38]
где Ab представляет собой любое антитело, выбранное из группы, состоящей из:
антитела, содержащего легкую цепь, содержащую CDRL1, состоящий из аминокислотной последовательности, представленной SEQ ID NO: 35, CDRL2, состоящий из аминокислотной последовательности, представленной SEQ ID NO: 36, и CDRL3, состоящий из аминокислотной последовательности, представленной SEQ ID NO: 37, и тяжелую цепи, содержащую CDRH1, состоящий из аминокислотной последовательности, представленной SEQ ID NO: 38, CDRH2, состоящий из аминокислотной последовательности, представленной SEQ ID NO: 39, и CDRH3, состоящий из аминокислотной последовательности, представленной SEQ ID NO: 40,
антитела, содержащего легкую цепь, содержащую CDRL1, состоящий из аминокислотной последовательности, представленной SEQ ID NO: 41, CDRL2, состоящий из аминокислотной последовательности, представленной SEQ ID NO: 42, и CDRL3, состоящий из аминокислотной последовательности, представленной SEQ ID NO: 43, и тяжелую цепи, содержащую CDRH1, состоящий из аминокислотной последовательности, представленной SEQ ID NO: 44, CDRH2, состоящий из аминокислотной последовательности, представленной SEQ ID NO: 45, и CDRH3, состоящий из аминокислотной последовательности, представленной SEQ ID NO: 46,
антитела, содержащего легкую цепь, содержащую CDRL1, состоящий из аминокислотной последовательности, представленной SEQ ID NO: 47, CDRL2, состоящий из аминокислотной последовательности, представленной SEQ ID NO: 48, и CDRL3, состоящий из аминокислотной последовательности, представленной SEQ ID NO: 49, и тяжелую цепи, содержащую CDRH1, состоящий из аминокислотной последовательности, представленной SEQ ID NO: 50, CDRH2, состоящий из аминокислотной последовательности, представленной SEQ ID NO: 51, и CDRH3, состоящий из аминокислотной последовательности, представленной SEQ ID NO: 52,
антитела, содержащего легкую цепь, содержащую CDRL1, состоящий из аминокислотной последовательности, представленной SEQ ID NO: 53, CDRL2, состоящий из аминокислотной последовательности, представленной SEQ ID NO: 54, и CDRL3, состоящий из аминокислотной последовательности, представленной SEQ ID NO: 55, и тяжелую цепи, содержащую CDRH1, состоящий из аминокислотной последовательности, представленной SEQ ID NO: 56, CDRH2, состоящий из аминокислотной последовательности, представленной SEQ ID NO: 57, и CDRH3, состоящий из аминокислотной последовательности, представленной SEQ ID NO: 58,
антитела, содержащего легкую цепь, содержащую CDRL1, состоящий из аминокислотной последовательности, представленной SEQ ID NO: 59, CDRL2, состоящий из аминокислотной последовательности, представленной SEQ ID NO: 60, и CDRL3, состоящий из аминокислотной последовательности, представленной SEQ ID NO: 61, и тяжелую цепи, содержащую CDRH1, состоящий из аминокислотной последовательности, представленной SEQ ID NO: 62, CDRH2, состоящий из аминокислотной последовательности, представленной SEQ ID NO: 63, и CDRH3, состоящий из аминокислотной последовательности, представленной SEQ ID NO: 64, и
антитела, содержащего легкую цепь, содержащую CDRL1, состоящий из аминокислотной последовательности, представленной SEQ ID NO: 65, CDRL2, состоящий из аминокислотной последовательности, представленной SEQ ID NO: 66, и CDRL3, состоящий из аминокислотной последовательности, представленной SEQ ID NO: 67, и тяжелую цепи, содержащую CDRH1, состоящий из аминокислотной последовательности, представленной SEQ ID NO: 68, CDRH2, состоящий из аминокислотной последовательности, представленной SEQ ID NO: 69, и CDRH3, состоящий из аминокислотной последовательности, представленной SEQ ID NO: 70,
где N297-гликан Ab представлен следующей формулой:
[Формула 39]
где волнистой линией обозначено образование связи с Asn297 антитела,
L(PEG) представляет собой -(CH2-CH2-O)n5-CH2-CH2-NH-,
где аминогруппа на правом конце L(PEG) связана посредством амидной связи с карбоксильной группой в положении 2 сиаловой кислоты на невосстанавливающем конце каждой из 1-3- и 1-6-разветвленных цепей β-Man в N297-гликане,
звездочкой обозначено образование связи с атомом азота в положении 1 или 3 1,2,3-триазольного кольца Lb в линкере L,
n5 составляет 3, и
m2 составляет 1.
[45] Агонист STING, содержащий конъюгат антитело-лекарственное средство согласно любому из пп. [1]-[44].
[46] Фармацевтическая композиция, содержащая конъюгат антитело-лекарственное средство согласно любому из пп. [1]-[44].
[47] Противоопухолевый агент, содержащий конъюгат антитело-лекарственное средство согласно любому из пп. [1]-[44].
[48] Противоопухолевый агент согласно п. [47], где опухоль представляет собой рак легкого, рак почки, уротелиальный рак, колоректальный рак, рак предстательной железы, мультиформную глиобластому, рак яичника, рак поджелудочной железы, рак молочной железы, меланому, рак печени, рак мочевого пузыря, рак желудка, рак пищевода, рак эндометрия, рак яичка, рак шейки матки, плацентарную хориокарциному, опухоль головного мозга, рак головы и шеи, рак щитовидной железы, мезотелиому, стромальную опухоль желудочно-кишечного тракта (гастроинтестинальная стромальная опухоль, ГИСО), рак желчного пузыря, рак желчного протока, рак надпочечника, плоскоклеточную карциному, фарингеальный рак, рак языка, рак органов слуха, рак тимуса, рак тонкого кишечника, лейкоз, злокачественную лимфому, плазмоцитому, миелому или саркому.
[49] Способ лечения рака, включающий введение любого средства, выбранного из группы, состоящей из конъюгата антитело-лекарственное средство согласно любому из пп. [1]-[44], агониста STING согласно п. [45], фармацевтической композиции согласно п. [46] и противоопухолевого агента согласно п. [47] или п. [48].
[50] Способ согласно п. [49], где рак представляет собой рак легкого, рак почки, уротелиальный рак, колоректальный рак, рак предстательной железы, мультиформную глиобластому, рак яичника, рак поджелудочной железы, рак молочной железы, меланому, рак печени, рак мочевого пузыря, рак желудка, рак пищевода, рак эндометрия, рак яичка, рак шейки матки, плацентарную хориокарциному, опухоль головного мозга, рак головы и шеи, рак щитовидной железы, мезотелиому, стромальную опухоль желудочно-кишечного тракта (гастроинтестинальная стромальная опухоль, ГИСО), рак желчного пузыря, рак желчного протока, рак надпочечника, плоскоклеточную карциному, фарингеальный рак, рак языка, рак органов слуха, рак тимуса, рак тонкого кишечника, лейкоз, злокачественную лимфому, плазмоцитому, миелому или саркому.
[51] Конъюгат антитело-лекарственное средство согласно любому из пп. [27], [30], [33] и [36], где конъюгат антитело-лекарственное средство оказывает зависимое от мишени антитела противоопухолевое действие у мышей BALB/c-nu, которым подкожно трансплантировали клетки Caki-1, линию клеток рака почки человека.
[52] Конъюгат антитело-лекарственное средство согласно любому из пп. [42]-[44], где конъюгат антитело-лекарственное средство оказывает более сильное противоопухолевое действие, чем антитело, включенное в конъюгат антитело-лекарственное средство, у одного из следующих животных (i) или (ii):
(i) мышь BALB/c, которой подкожно трансплантировали CT26.WT (CRL2638), линию клеток колоректального рака мыши, трансфицированную геном, кодирующим химерный антиген человека/мыши, в котором сайт эпитопа на антигене, распознаваемого антителом, включенным в конъюгат антитело-лекарственное средство, заменен на соответствующий сайт антигена человека; или
(ii) мышь BALB/c-nu, которой подкожно трансплантировали клетки А-498 (НТВ-44), линию клеток рака почки человека.
Полезный эффект изобретения.
[0013] В настоящем изобретении предложен новый конъюгат антитело-производное ЦДН, который может быть введен системно и оказывает противоопухолевое действие в отношении экспрессирующей антиген опухоли.
КРАТКОЕ ОПИСАНИЕ ЧЕРТЕЖЕЙ
[0014]
[Фигура 1] На Фигуре 1 представлено схематическое изображение конъюгатов антитело-лекарственное средство (молекул (II)) согласно настоящему изобретению, а именно конъюгата антитело-лекарственное средство (молекула (II) на Фигуре 1А), полученного с применением антитела с ремоделированным гликаном SG-типа, и конъюгата антитело-лекарственное средство (молекула (II) на Фигуре 1В), полученного с применением антитела с ремоделированным гликаном MSG-типа. Здесь (а) обозначает лекарственное средство D, (b) обозначает линкер L, (с) обозначает ПЭГ-линкер (L(PEG)), и (d) обозначает N297-гликан (где белый круг представляет собой NeuAc(Sia), белый шестиугольник представляет Man, черный шестиугольник представляет собой GlcNAc, белый ромб представляет собой Gal, и белый перевернутый треугольник представляет собой Fuc), соответственно. Белый пятиугольник обозначает триазольное кольцо, образованное при взаимодействии алкина, полученного из линкера L, с азидной группой, полученной из ПЭГ-линкера. Y-образное изображение представляет собой антитело Ab. ПЭГ-линкер образует связь посредством амидной связи с карбоксильной группой в положении 2 сиаловой кислоты, расположенной на невосстанавливающем конце. Если не указано иное, такой способ иллюстрирования применяется во всем настоящем описании.
[Фигура 2] На Фигуре 2 представлены схематические изображения, иллюстрирующие структуры каждого промежуточного продукта получения конъюгата антитело-лекарственное средство согласно настоящему изобретению, а именно (Fucα1,6)GlcNAc-антитела (молекула (III) на Фигуре 2А), антитела с ремоделированным гликаном SG-типа (молекула (IV) на Фигуре 2 В) и антитела с ремоделированным гликаном MSG-типа (молекула (IV) на Фигуре 2С). На всех чертежах Y-образное изображение представляет собой антитело Ab, как на Фигуре 1. На Фигуре 2А (е) обозначает N297-гликан, состоящий из дисахарида, в котором GlcNAc в положении 6 соединен с положением 1 Fuc посредством α-гликозидной связи. На Фигурах 2В и 2С (d) обозначает тот же N297-гликан, что и на Фигуре 1, и (f) обозначает ПЭГ-линкер, содержащий азидную группу, которая должна быть присоединена к линкеру L на его конце. Способ связывания ПЭГ-линкера, содержащего азидную группу, такой же, как у ПЭГ-линкера на Фигуре 1.
[Фигура 3] Фигура 3 представляет собой схематическое изображение стадии получения антитела с ремоделированным гликаном SG-типа или антитела с ремоделированным гликаном MSG-типа из антитела, полученного в клетках животного. Молекулы (III) и (IV) на указанной Фигуре представляют собой, как на Фигуре 2, (Fucα1,6)GlcNAc-антитело и антитело с ремоделированным гликаном SG-типа или антитело с ремоделированным гликаном MSG-типа, соответственно. Молекула (V) представляет собой антитело, полученное в клетках животного, и является смесью молекул с гетерогенными молекулами N297-гликана. На Фигуре 3А показана стадия получения гомогенного (Fucα1,6)GlcNAc-антитела (III) путем обработки гетерогенных молекул N297-гликана (V) гидролазой, такой как EndoS. На Фигуре 3В показана стадия получения антитела с ремоделированным гликаном SG-типа (IV) путем воздействия на GlcNAc N297-гликана в антителе (III) трансгликозидазой, такой как вариант EndoS D233Q/Q303L, с трансгликозилированием донорной молекулы гликана SG-типа. На Фигуре 3С, как и на Фигуре ЗВ, показана стадия получения антитела с ремоделированным гликаном MSG-типа (IV) путем осуществления трансгликозилирования донорной молекулы гликана MSG-типа в антителе (III). Каждая из донорных молекул гликана SG-типа и MSG-типа, применяемых в настоящем изобретении, содержит на каждом невосстанавливающем конце сиаловую кислоту, модифицированную ПЭГ-линкером, содержащим азидную группу. Таким образом, полученные антитела с ремоделированным N-297-гликаном SG-типа и MSG-типа также содержат на невосстанавливающем конце сиаловую кислоту, модифицированную таким же образом, как указано на Фигурах 2В и 2С.
[Фигура 4] На Фигуре 4 представлена аминокислотная последовательность легкой цепи (SEQ ID NO: 1) и аминокислотная последовательность тяжелой цепи (SEQ ID NO: 2) антитела 1 к CD70 (в настоящей заявке термин «антитело 1 к CD70» также упоминается как «модифицированное антитело 1 к CD70»).
[Фигура 5] На Фигуре 5 представлена аминокислотная последовательность легкой цепи (SEQ ID NO: 3) и аминокислотная последовательность тяжелой цепи (SEQ ID NO: 4) антитела 2 к CD70 (в настоящей заявке термин «антитело 2 к CD70» также упоминается как «модифицированное антитело 2 к CD70»).
[Фигура 6] На Фигуре 6 представлена аминокислотная последовательность легкой цепи (SEQ ID NO: 5) и аминокислотная последовательность тяжелой цепи (SEQ ID NO: 6) антитела 1 к TROP2.
[Фигура 7] На Фигуре 7 представлена аминокислотная последовательность легкой цепи (SEQ ID NO: 7) и аминокислотная последовательность тяжелой цепи (SEQ ID NO: 8) антитела 2 к TROP2 (в настоящей заявке термин «антитело 2 к TROP2» также упоминается как «модифицированное антитело к TROP2»).
[Фигура 8] На Фигуре 8 представлена аминокислотная последовательность легкой цепи (SEQ ID NO: 9) и аминокислотная последовательность тяжелой цепи (SEQ ID NO: 10) антитела 1 к EGFR (в настоящей заявке термин «антитело 1 к EGFR» также упоминается как «модифицированное антитело 1 к EGFR»).
[Фигура 9] На Фигуре 9 представлена аминокислотная последовательность легкой цепи (SEQ ID NO: 11) и аминокислотная последовательность тяжелой цепи (SEQ ID NO: 12) антитела 2 к EGFR (в настоящей заявке термин «антитело 2 к EGFR» также упоминается как «модифицированное антитело 2 к EGFR»).
[Фигура 10] На Фигуре 10(a) представлена аминокислотная последовательность STING человека дикого типа (SEQ ID NO: 13), на Фигуре 10(b) представлена аминокислотная последовательность REF-мутанта STING человека (R232H) (SEQ ID NO: 15), и на Фигуре 10(c) представлена аминокислотная последовательность HAQ-мутанта STING человека (R71H, G230A, R293Q) (SEQ ID NO: 17).
[Фигура 11] На Фигуре 11 показано, как антитело 2 к TROP2, конъюгат (1) антитело 2 к TROP2-ЦДН, конъюгат (2) антитело 2 к TROP2-ЦДН и конъюгат (3) антитело 2 к TROP2-ЦДН проявляли активность агониста STING в клетках, экспрессирующих TROP2.
[Фигура 12] На Фигуре 12 показано, как соединение 34а, антитело 1 к CD70, антитело 2 к CD70, конъюгат (1) антитело 1 к CD70-ЦДН и конъюгат (1) антитело 2 к CD70-ЦДН проявляли активность в системе анализа совместного культивирования с дендритными клетками костного мозга мыши и линией клеток CT26.WT или CT26.WT-hCD70.
[Фигура 13] На Фигуре 13 показано противоопухолевое действие антитела 1 к TROP2 и конъюгата (1) антитело 1 к TROP2-ЦДН при внутривенном введении. На графике линия (черные квадраты) обозначает группу введения носителя; линия (перевернутые белые треугольники) обозначает группу введения конъюгата (1) антитело 1 к TROP2-ЦДН, полученного путем конъюгирования антитела 1 к TROP2, полученного в справочном Примере 5, с соединением 6b Примера 1; и линия (белые круги) обозначает группу введения антитела 1 к TROP2. На вертикальной оси представлен объем опухоли (мм3), а на горизонтальной оси представлено количество дней после имплантации опухоли.
[Фигура 14] На Фигуре 14 показано противоопухолевое действие антитела 2 к TROP2 и конъюгата (1) антитело 2 к TROP2-ЦДН при внутривенном введении. На графике линия (черные квадраты) обозначает группу введения носителя; линия (перевернутые белые треугольники) обозначает группу введения конъюгата (1) антитело 2 к TROP2-ЦДН, полученного путем конъюгирования антитела 2 к TROP2, полученного в справочном Примере 6, с соединением 34а Примера 2; и линия (белые круги) обозначает группу введения антитела 2 к TROP2. На вертикальной оси представлен объем опухоли (мм3), а на горизонтальной оси представлено количество дней после имплантации опухоли.
[Фигура 15] На Фигуре 15 показано противоопухолевое действие антитела 1 к EGFR, антитела 2 к EGFR или конъюгата антитело к EGFR-ЦДН при внутривенном введении. Противоопухолевое действие было продемонстрировано при внутривенном введении конъюгата (1) антитело 1 к EGFR-ЦДН, полученного путем конъюгирования антитела 1 к EGFR, полученного в справочном Примере 7, с соединением 34А Примера 2, а также конъюгата (1) антитела 2 к EGFR, полученного путем конъюгирования антитела 2 к EGFR, полученного в справочном Примере 8, с соединением 34А Примера 2. На графике линия (черные квадраты) обозначает группу введения носителя; линия (белые треугольники) обозначает группу введения антитела 1 к EGFR; линия (черные треугольники) обозначает группу введения конъюгата (1) антитело 1 к EGFR-ЦДН; линия (белые круги) обозначает группу введения антитела 2 к EGFR; и линия (черные круги) обозначает группу введения конъюгата (1) антитело 2 к EGFR-ЦДН. На вертикальной оси представлен объем опухоли (мм3), а на горизонтальной оси представлено количество дней после имплантации опухоли.
[Фигура 16] На Фигуре 16 представлена аминокислотная последовательность CDRL1 (SEQ ID NO: 35), аминокислотная последовательность CDRL2 (SEQ ID NO: 36), аминокислотная последовательность CDRL3 (SEQ ID NO: 37), аминокислотная последовательность CDRH1 (SEQ ID NO: 38), аминокислотная последовательность CDRH2 (SEQ ID NO: 39) и аминокислотная последовательность CDRH3 (SEQ ID NO: 40) антитела 1 к CD70.
[Фигура 17] На Фигуре 17 представлена аминокислотная последовательность CDRL1 (SEQ ID NO: 41), аминокислотная последовательность CDRL2 (SEQ ID NO: 42), аминокислотная последовательность CDRL3 (SEQ ID NO: 43), аминокислотная последовательность CDRH1 (SEQ ID NO: 44), аминокислотная последовательность CDRH2 (SEQ ID NO: 45) и аминокислотная последовательность CDRH3 (SEQ ID NO: 46) антитела 2 к CD70.
[Фигура 18] На Фигуре 18 представлена аминокислотная последовательность CDRL1 (SEQ ID NO: 47), аминокислотная последовательность CDRL2 (SEQ ID NO: 48), аминокислотная последовательность CDRL3 (SEQ ID NO: 49), аминокислотная последовательность CDRH1 (SEQ ID NO: 50), аминокислотная последовательность CDRH2 (SEQ ID NO: 51) и аминокислотная последовательность CDRH3 (SEQ ID NO: 52) антитела 1 к TROP2.
[Фигура 19] На Фигуре 19 представлена аминокислотная последовательность CDRL1 (SEQ ID NO: 53), аминокислотная последовательность CDRL2 (SEQ ID NO: 54), аминокислотная последовательность CDRL3 (SEQ ID NO: 55), аминокислотная последовательность CDRH1 (SEQ ID NO: 56), аминокислотная последовательность CDRH2 (SEQ ID NO: 57) и аминокислотная последовательность CDRH3 (SEQ ID NO: 58) антитела 2 к TROP2.
[Фигура 20] На Фигуре 20 представлена аминокислотная последовательность CDRL1 (SEQ ID NO: 59), аминокислотная последовательность CDRL2 (SEQ ID NO: 60), аминокислотная последовательность CDRL3 (SEQ ID NO: 61), аминокислотная последовательность CDRH1 (SEQ ID NO: 62), аминокислотная последовательность CDRH2 (SEQ ID NO: 63) и аминокислотная последовательность CDRH3 (SEQ ID NO: 64) антитела 1 к EGFR.
[Фигура 21] На Фигуре 21 представлена аминокислотная последовательность CDRL1 (SEQ ID NO: 65), аминокислотная последовательность CDRL2 (SEQ ID NO: 66), аминокислотная последовательность CDRL3 (SEQ ID NO: 67), аминокислотная последовательность CDRH1 (SEQ ID NO: 68), аминокислотная последовательность CDRH2 (SEQ ID NO: 69) и аминокислотная последовательность CDRH3 (SEQ ID NO: 70) антитела 2 к EGFR.
[Фигура 22] На Фигуре 22 показано противоопухолевое действие антитела 1 к CD70, конъюгата (1) антитело 1 к CD70-ЦДН, антитела 2 к CD70 и конъюгата (1) антитело 2 к CD70-ЦДН при внутривенном введении. На графике линия (черные квадраты) обозначает группу введения носителя; линия (белые треугольники) обозначает группу введения антитела 1 к CD70; линия (перевернутые белые треугольники) обозначает группу введения антитела 2 к CD70; линия (белые ромбы) обозначает группу введения конъюгата (1) антитело 1 к CD70-ЦДН; и линия (белые круги) обозначает группу введения конъюгата (1) антитело 2 к CD70-ЦДН. На вертикальной оси представлен объем опухоли (мм3), а на горизонтальной оси представлено количество дней после имплантации опухоли.
[Фигура 23] На Фигуре 23 показано противоопухолевое действие антитела 2 к CD70 и конъюгата (2) антитела 2 к CD70-ЦДН при внутривенном введении. На графике линия (черные квадраты) обозначает группу введения носителя; линия (белые треугольники) обозначает группу введения антитела 2 к CD70; и линия (перевернутые белые треугольники) обозначает группу введения конъюгата (2) антитело 2 к CD70-ЦДН. На вертикальной оси представлен объем опухоли (мм3), а на горизонтальной оси представлено количество дней после имплантации опухоли.
[Фигура 24] На Фигуре 24 показано противоопухолевое действие антитела 1 к EGFR, соединения 34а и конъюгата (2) антитело 1 к EGFR-ЦДН при внутривенном введении. На графике линия (черные квадраты) обозначает группу введения носителя; линия (белые треугольники) обозначает группу введения антитела 1 к EGFR; линия (белые ромбы) обозначает группу введения соединения 34а; и линия (белые прямоугольники) обозначает группу введения конъюгата (2) антитела 1 к EGFR-ЦДН. На вертикальной оси представлен объем опухоли (мм3), а на горизонтальной оси представлено количество дней после имплантации опухоли.
ОПИСАНИЕ ВАРИАНТОВ РЕАЛИЗАЦИИ
[0015] Настоящее изобретение относится к конъюгату антитело-лекарственное средство, содержащему новое производное ЦДН с активностью агониста STING, и его применению. Новое производное ЦДН обладает активностью агониста STING, стимулирует иммунные клетки, и затем индуцирует продукцию интерферонов и/или цитокинов. Кроме того, новое производное ЦДН оказывает противоопухолевое действие путем стимуляции соответствующих иммунных клеток. Конъюгат антитело-лекарственное средство согласно настоящему изобретению получают путем конъюгирования производного ЦДН с антителом, способным распознавать клетку-мишень и связываться с ней (например, с опухолевой клеткой или иммунной клеткой), посредством указанного линкера, и такой конъюгат может быть введен системно. Конкретные примеры системного введения включают внутрикожный, внутримышечный, внутрибрюшинный, внутривенный и подкожный пути.
[0016] STING (стимулятор генов интерферона) представляет собой трансмембранный адаптерный белок, локализованный в эндоплазматическом ретикулуме. Известно, что STTNG имеет высокую частоту природных полиморфизмов (PLoS One, 2013 Oct, 21, 8(10), е77846). Примеры мутантов STING включают мутант R232H, в котором аминокислота в положении 232 подвергается мутации с заменой аргинина (R) на гистидин (Н), или HAQ-мутант, в котором аргинин (R) в положении 71 подвергается мутации с заменой на гистидин (H), глицин (G) в положении 230 подвергается мутации с заменой на аланин (А), и аргинин (R) в положении 293 подвергается мутации с заменой на глутамин (Q). Известно, что такие полиморфизмы STING являются причиной различия в силе ответов, таких как уровень продукции цитокинов, вызванной стимуляцией агонистом STING (Genes and Immunity, 2011, 12, 263-269). Следовательно, чтобы обеспечить стабильную эффективность агонистов STING у людей, агонисты STING должны проявлять активность в отношении каждого типа STING.
[0017] В настоящей заявке термины «рак», «карцинома» и «опухоль» используются взаимозаменяемо.
[0018] В настоящем изобретении «иммуностимуляция» означает индуцирование активации иммунных клеток, которые участвуют в противоопухолевой иммунной защите, таких как моноциты, макрофаги, дендритные клетки, Т-клетки, В-клетки, NK-клетки и нейтрофилы, любым путем. Например, этот термин относится к индуцированию продукции цитокинов и хемокинов, повышенной экспрессии маркеров активации иммунной системы, пониженной экспрессии маркеров подавления иммунной системы, изменениям в фосфорилировании и тому подобном внутриклеточных сигнальных путей, изменениям экспрессии генов и любым другим изменениям в структуре и функции иммунных клеток. Кроме того, этот термин включает обеспечение индуцирующих противоопухолевый иммунитет изменений в опухолевых клетках. Например, этот термин относится к индуцированию продукции цитокинов и хемокинов, которые стимулируют иммунные клетки или индуцируют их миграцию, или к повышению чувствительности к иммунным клеткам.
[0019] В настоящем изобретении «противоопухолевое действие» относится к индуцированию уменьшения или регрессии опухоли, при этом лекарственное средство оказывает прямое или опосредованное действие на опухолевые клетки. Например, лекарственное средство может вызывать непосредственное повреждение опухолевых клеток; опухолевые клетки стимулируют противоопухолевый иммунитет под действием стимуляции лекарственным средством; и лекарственное средство, доставленное в опухолевые клетки, высвобождается во внеклеточное пространство, стимулируя противоопухолевый иммунитет в окружении опухолевых клеток. Например, это может привести к уменьшению количества опухолевых клеток и повреждению опухоли или вызвать регрессию опухоли. Это называется противоопухолевым действием.
[0020] В настоящем изобретении «цитотоксическая активность клеток» относится к обеспечению патологического изменения в клетках любым путем, что включает не только причинение непосредственных повреждений, но также причинение всех типов повреждений в структуре и функции клеток, таких как расщепление ДНК, образование димера основания, расщепление хромосомы, повреждение митотического аппарата и сниженная активность различных ферментов.
[0021] В настоящем изобретении термин «клетки» включает клетки организма отдельных животных и культивируемые клетки. [0022]<1. Новое производное ЦДН>
Новое производное ЦДН имеет структуру, представленную следующей формулой (I):
[0023]
[Формула 40]
[0024] L1 представляет собой группу, представленную любой из следующих трех формул:
[0025]
[Формула 41]
Q и Q', каждый независимо, представляют собой гидроксигруппу или тиольную группу. Предпочтительно каждый из Q и Q' представляет собой тиольную группу.
[0026] R21 и R22, каждый независимо, представляют собой гидроксигруппу или атом фтора. R21 предпочтительно представляет собой гидроксигруппу. R22 предпочтительно представляет собой атом фтора.
[0027] W представляет собой -NH- или атом серы. W предпочтительно представляет собой -NH-.
[0028] Способы получения нового производного ЦДН будут описаны в представленном ниже разделе <3. Способы получения>.
[0029] <2. Конъюгат антитело-лекарственное средство>
Возможно системное введение конъюгата антитело-лекарственное средство согласно настоящему изобретению, полученного путем конъюгирования описанного выше нового производного ЦДН с антителом, способным распознавать клетку-мишень и связываться с ней (например, с опухолевой клеткой или иммунной клеткой), посредством указанного линкера.
[0030] Конъюгат антитело-лекарственное средство согласно настоящему изобретению представлен следующей формулой (II):
[0031]
[Формула 42]
Здесь m1 находится в диапазоне от 1 до 10 и обозначает количество конъюгированных молекул лекарственного средства на молекулу антитела в конъюгате антитело-лекарственное средство. Ab представляет собой антитело или его функциональный фрагмент; L представляет собой линкер, который соединяет Ab и D; и D представляет собой описанное выше новое производное ЦДН (называемое в настоящей заявке просто «лекарственным средством», когда новое производное ЦДН применяют в качестве части конъюгата антитело-лекарственное средство).
[0032] Лекарственное средство D представляет собой соединение, обладающее стимулирующей активностью в отношении иммунных клеток, в частности, активностью агониста STING. Когда линкер частично или полностью расщепляется в клетке-мишени (клетках-мишенях) (например, опухолевой клетке (опухолевых клетках) или иммунной клетке (иммунных клетках)), лекарственное средство D высвобождается с сохранением его исходной структуры и проявляет иммуностимулирующее действие. Желаемые функции могут проявляться в виде повышения чувствительности клеток-мишеней к иммунным клеткам или в виде стимуляции иммунных клеток посредством клеток-мишеней. Функции, представляющие интерес, не имеют конкретных ограничений, если эти функции включают активность агониста STING. Тем не менее, они предпочтительно включают противоопухолевую активность. В частности, лекарственное средство D, конъюгированное посредством данного линкера с антителом, нацеленным на опухоль (например, антителом к CD70, антителом к TROP2, антителом к EGFR), доставляется в клетку-мишень (клетки-мишени) или ткань-мишень (ткани-мишени); линкер частично или полностью расщепляется; и может быть оказано противоопухолевое действие путем повышения чувствительности клеток-мишеней к иммунным клеткам или путем опосредованной клетками-мишенями стимуляции иммунных клеток (например, продукции интерферонов и/или цитокинов).
[0033] Лекарственное средство D, конъюгированное в конъюгате антитело-лекарственное средство согласно настоящему изобретению, представлено следующей формулой (I):
[0034]
[Формула 43]
где L1, Q, Q', R21, R22 и W такие, как указано выше в разделе <1. Новое производное ЦДН>.
В дополнение к этому, лекарственное средство D, применяемое в конъюгате антитело-лекарственное средство согласно настоящему изобретению, предпочтительно представлено любой из следующих двух формул:
[0035]
[Формула 44]
где L1, Q, Q' и W такие, как указано выше в разделе <1. Новое производное ЦДН>.
[0036]
Кроме того, лекарственное средство D, применяемое в конъюгате антитело-лекарственное средство согласно настоящему изобретению, предпочтительно представлено любой из следующих четырех формул:
[0037]
[Формула 45]
где звездочкой обозначено образование связи с L, и Q, Q' и W такие, как указано выше в разделе <1. Новое производное ЦДН>.
[0038] Кроме того, лекарственное средство D, применяемое в конъюгате антитело-лекарственное средство согласно настоящему изобретению, предпочтительно представлено любой из следующих трех формул:
[0039]
[Формула 46]
где звездочкой обозначено образование связи с L, и W такой, как указано выше в разделе <1. Новое производное ЦДН>.
[0040] Кроме того, лекарственное средство D, применяемое в конъюгате антитело-лекарственное средство согласно настоящему изобретению, предпочтительно представлено любой из следующих трех формул:
[0041]
[Формула 47]
где звездочкой обозначено образование связи с L.
[0042] Кроме того, лекарственное средство D, применяемое в конъюгате антитело-лекарственное средство согласно настоящему изобретению, предпочтительно представлено любой из следующих четырех формул:
[0043]
[Формула 48]
где звездочкой обозначено образование связи с L.
[0044] При этом лекарственное средство D, применяемое в конъюгате антитело-лекарственное средство согласно настоящему изобретению, более предпочтительно представлено следующей формулой:
[0045]
[Формула 49]
[0046] Также лекарственное средство D, применяемое в конъюгате антитело-лекарственное средство согласно настоящему изобретению, предпочтительно представлено следующей формулой:
[0047]
[Формула 50]
где звездочкой обозначено образование связи с L, и W такой, как указано выше в разделе <1. Новое производное ЦДН>.
[0048] В дополнение к этому, лекарственное средство D, применяемое в конъюгате антитело-лекарственное средство согласно настоящему изобретению, предпочтительно представлено любой из следующих двух формул:
[0049]
[Формула 51]
где звездочкой обозначено образование связи с L.
[0050] Кроме того, лекарственное средство D, применяемое в конъюгате антитело-лекарственное средство согласно настоящему изобретению, предпочтительно представлено следующей формулой:
[0051]
[Формула 52]
где звездочкой обозначено образование связи с L, и W такой, как указано выше в разделе <1. Новое производное ЦДН>.
Кроме того, лекарственное средство D, применяемое в конъюгате антитело-лекарственное средство согласно настоящему изобретению, предпочтительно представлено любой из следующих двух формул:
[0052]
[Формула 53]
где звездочкой обозначено образование связи с L.
[0053] <2.1. Структура линкера>
Ниже описана структура линкера, применяемого для конъюгирования лекарственного средства с антителом в конъюгате антитело-лекарственное средство согласно настоящему изобретению. Линкер, применяемый в конъюгате антитело-лекарственное средство согласно настоящему изобретению, не имеет конкретных ограничений, если линкер понимается специалистами в данной области техники в качестве линкера, который обеспечивает конъюгирование антитела с лекарственным средством. Примеры линкера, применяемого в конъюгате антитело-лекарственное средство согласно настоящему изобретению, включают, но не ограничиваются ими, линкеры, описанные в источниках Protein Cell, 2018, 9(1): 33-46, Pharm Res, 2015, 32: 3526-3540, или Int. J. Mol. Sci, 2016, 17, 561. Линкер может представлять собой линкер, который расщепляется in vivo, или линкер, который не расщепляется in vivo, но предпочтительным является линкер, который расщепляется in vivo.
[0054] Примеры линкера, применяемого в конъюгате антитело-лекарственное средство согласно настоящему изобретению, включают, но не ограничиваются ими, линкер, который обеспечивает конъюгирование лекарственного средства с гликаном или ремоделированным гликаном Fc-фрагмента антитела (иногда упоминается в настоящей заявке как «конъюгирование через гликан») (например, как описано в источнике WO2018/003983), или линкер, который обеспечивает конъюгирование лекарственного средства с определенным аминокислотным остатком антитела (например, остатком цистеина или лизина) (например, как описано в источнике WO2014/057687). Применение линкера, который обеспечивает конъюгирование лекарственного средства с определенным аминокислотным остатком антитела, предпочтительно предполагает случай образования тиоэфирной связи с сульфгидрильной группой (SH-группой) цистеина Ab (иногда упоминается в настоящей заявке как «конъюгирование через цистеин») и случай образования амидной связи с аминогруппой (NH2-группой) лизина Ab (иногда упоминается в настоящей заявке как «конъюгирование через лизин»). Предпочтительным является конъюгирование через цистеин.
[0055] Линкер L, применяемый в конъюгате антитело-лекарственное средство согласно настоящему изобретению, предпочтительно представлен следующей формулой:
-Lb-La-Lp-Lc-*
где звездочкой обозначено образование связи с лекарственным средством D.
[0056] Сначала будет описан Lp.Lp представляет собой линкер, состоящий из аминокислотной последовательности, которая может быть расщеплена in vivo или в клетке-мишени (иногда называемый в настоящей заявке пептидным линкером), или отсутствует.
[0057] Lp может быть расщеплен, например, под действием фермента, такого как пептидаза или эстераза. Lp представляет собой пептид, содержащий от 2 до 7 аминокислот (предпочтительно от 2 до 4 аминокислот). С N-конца Lp образует амидную связь с правым концом карбонильной группы La, описанного ниже, и с С-конца Lp образует амидную связь с аминогруппой (-NH-) Lc. Амидная связь на С-концевой стороне Lp расщепляется под действием фермента, такого как пептидаза.
[0058] Аминокислоты, составляющие Lp, не имеют конкретных ограничений, но могут представлять собой, например, L- или D-аминокислоты, предпочтительно L-аминокислоты. Структура каждой аминокислоты может включать структуру α-аминокислоты, а также β-аланина, ε-аминокапроновой кислоты или γ-аминомасляной кислоты. Кроме того, каждая аминокислота может представлять собой неприродную аминокислоту, такую как N-метилированная аминокислота. Аминокислотная последовательность Lp состоит из аминокислот, которые включают, но конкретно не ограничиваются ими, например, глицин (Gly; G), валин (Val; V), аланин (Ala; А), фенилаланин (Phe; F), глутаминовую кислоту (Glu; E), изолейцин (Не; I), пролин (Pro; P), цитруллин (Cit), лейцин (Leu; L), метионин (Met; M), серии (Ser; S), лизин (Lys; K), и аспарагиновую кислоту (Asp; D). Среди них предпочтительными являются глицин (Gly; G), валин (Val; V), аланин (Ala; А), фенилаланин (Phe; F), цитруллин (Cit), изолейцин (Не; I) и пролин (Pro; P). Любые из этих аминокислот могут встречаться несколько раз, и Lp имеет аминокислотную последовательность, содержащую произвольно выбранные аминокислоты. Характеристики высвобождения лекарственного средства можно регулировать путем выбора типа аминокислот.
[0059] Конкретные примеры Lp включают -GGFG-, -GGPI-, -GGVA-, -GGFM-, -GGVCit-, -GGFCit-, -GGICit-, -GGPL-, -GGAQ- и -GGPP-. Линкер Lp предпочтительно представляет собой -GGFG- или -GGPI-, и более предпочтительно -GGFG-.
[0060] Далее будет описан La. La представлен любым фрагментом, выбранным из следующей группы, состоящей из:
-C(=O)-(CH2CH2)n2-C(=O)-,
-C(=O)-(CH2CH2)n2-CH2-C(=O)-,
-C(=O)-(CH2CH2)n2-C(=O)-NH-(CH2CH2)n3-C(=O)-,
-C(=O)-(CH2CH2)n2-C(=O)-NH-(CH2CH2)n3-CH2-C(=O)-,
-C(=O)-(CH2CH2)n2-C(=O)-NH-(CH2CH2O)n3-CH2-C(=O)-,
-(CH2)n4-O-C(=O)- и
-(CH2)n9-C(=O)-,
где n2 представляет собой целое число от 1 до 3 (предпочтительно 1 или 2), n3 представляет собой целое число от 1 до 5 (предпочтительно целое число от 2 до 5, более предпочтительно 3 или 4), n4 представляет собой целое число от 0 до 2 (предпочтительно 0 или 1), и n9 представляет собой целое число от 2 до 7 (предпочтительно целое число от 2 до 5, и более предпочтительно 2, 3 или 5).
[0061] La предпочтительно представлен любым фрагментом, выбранным из следующей группы, состоящей из:
-С(=O)-СН2СН2-С(=O)-,
-C(=O)-CH2CH2-C(=O)-NH-(CH2CH2O)3-CH2-C(=O)-,
-C(=O)-CH2CH2-C(=O)-NH-(CH2CH2O)4-CH2-C(=O)-,
-C(=O)-(CH2CH2)2-C(=O)-,
-C(=O)-CH2CH2-C(=O)-NH-(CH2CH2)2-C(=O)-,
-C(=O)-CH2CH2-C(=O)-NH-(CH2CH2)2-CH2-C(=O)-,
-СН2-ОС(=O)-,
-ОС(=O)- и
-(СН2)5-С(=O)-.
[0062] La более предпочтительно представляет собой
-С(=O)-СН2СН2-С(=O)-,
-C(=O)-CH2CH2-C(=O)-NH-(CH2CH2O)3-CH2-C(=O)-,
-C(=O)-CH2CH2-C(=O)-NH-(CH2CH2O)4-CH2-C(=O)- или
-(CH2)5-C(=O)-.
[0063] La еще более предпочтительно представляет собой -С(=O)-СН2СН2-С(=O)-.
[0064] Далее будет описан Lb. Lb представляет собой спейсер, применяемый в линкере для конъюгирования через гликан (также называемый в настоящей заявке «спейсером линкера для конъюгирования через гликан»), или спейсер, применяемый в линкере для конъюгирования через цистеин (также называемый в настоящей заявке «спейсером линкера для конъюгирования через цистеин»).
[0065] <Случай, когда Lb представляет собой «спейсер линкера для конъюгирования через гликан»>
В случае, когда Lb представляет собой «спейсер линкера для конъюгирования через гликан», примеры Lb включают, но конкретно не ограничиваются ими, каждый спейсер, представленный следующими формулами:
[0066]
[Формула 54]
или
[0067]
[Формула 55]
[0068] В каждой структурной формуле, представленной выше, звездочкой обозначено образование связи с левым концом -(С=O)-, -СН2- или -ОС(=O)-. Каждая волнистая линия обозначает образование связи с гликаном или ремоделированным гликаном Ab.
[0069] В случае, когда в качестве Lb выбран Lb-1 или Lb-3, сайт триазольного кольца обеспечивает наличие структур геометрических изомеров и содержит любую из двух структур или смесь обеих структур в одном Lb. Конъюгат антитело-лекарственное средство согласно настоящему изобретению предполагает возможность конъюгирования нескольких молекул лекарственного средства с одной молекулой антитела. Когда несколько молекул лекарственного средства конъюгируют с одной молекулой антитела, также присутствует несколько частей Lb (см., например, схему (1е) конъюгата антитело-лекарственное средство, представленную в способе E раздела <3. Способы получения>, описанном далее). Когда Lb выбран из Lb-1 или Lb-3 и существует несколько молекул Lb для одной молекулы антитела (например, когда m2 составляет 1 или 2, как описано ниже), сайт триазольного кольца имеет структуру какого-либо геометрического изомера в каждом Lb и содержит либо одну из двух структур, либо их смесь в одном Lb.
[0070] <Случай, когда Lb представляет собой «спейсер линкера для конъюгирования через цистеин»>
В случае, когда Lb представляет собой «спейсер линкера для конъюгирования через цистеин», примеры Lb включают -(сукцинимид-3-ил-N)-, но конкретно не ограничиваются им. В настоящем изобретении «-(сукцинимид-3-ил-N)-» имеет структуру, представленную следующей формулой:
[0071]
[Формула 56]
.
В структурной формуле, представленной выше, звездочкой обозначено образование связи с La. Волнистой линией обозначено образование связи посредством образования тиоэфира с боковой цепью остатка цистеина антитела.
[0072] Далее будет описан Lc. Lc представляет собой -NH-CH2-, -NH-фенил-СН2-O(С=O)- или -NH-гетероарил-СН2-O(С=O)-, или отсутствует. Здесь фенильная группа предпочтительно представляет собой 1,4-фенильную группу. Гетероарильная группа предпочтительно представляет собой 2,5-пиридильную группу, 3,6-пиридильную группу, 2,5-пиримидильную группу или 2,5-тиенильную группу. Lc предпочтительно представляет собой -NH-CH2- или отсутствует.
[0073] В случае, когда формой конъюгирования антитело-лекарственное средство является «конъюгирование через гликан», более предпочтительный линкер L, применяемый в конъюгате антитело-лекарственное средство согласно настоящему изобретению, представляет собой
-ZL1-C(=O)-CH2CH2-C(=O)-GGFG-,
-ZL1-C(=O)-CH2CH2-C(=O)-GGVA-,
-ZL1-C(=O)-CH2CH2-C(=O)-GGVCit-,
-ZL1-C(=O)-CH2CH2-C(=O)-GGFCit-,
-ZL1-C(=O)-CH2CH2-C(=O)-GGICit-,
-ZL1-C(=O)-CH2CH2-C(=O)-GGFM-,
-ZL1-C(=O)-CH2CH2-C(=O)-GGPI-,
-ZL1-C(=O)-CH2CH2-C(=O)-GGLM-,
-ZL1-C(=O)-CH2CH2-C(=O)-FG-,
-ZL1-C(=O)-CH2CH2-C(=O)-VA-,
-ZL1-C(=O)-CH2CH2-C(=O)-GGFG-NH-CH2-,
-ZL1-C(=O)-CH2CH2-C(=O)-GGVA-NH-CH2-,
-ZL1-C(=O)-CH2CH2-C(=O)-GGVCit-NH-CH2-,
-ZL1-C(=O)-CH2CH2-C(=O)-GGFCit-NH-CH2-,
-ZL1-C(=O)-CH2CH2-C(=O)-NH-(CH2CH2O)3-CH2-C(=O)- или
-ZL1-C(=O)-CH2CH2-C(=O)-NH-(CH2CH2O)4-CH2-C(=O)-,
где ZL1 представляет собой следующую структурную формулу, описанную для Lb:
[0074]
[Формула 57]
В качестве альтернативы, в случае, когда формой конъюгирования лекарственное средство-антитело является «конъюгирование через цистеин», линкер L представляет собой
-ZL2-(CH2)5-C(=O)-GGFG-,
-ZL2-(CH2)5-C(=O)-GGVA-,
-ZL2-(CH2)5-C(=O)-GGVCit-,
-ZL2-(CH2)5-C(=O)-GGFCit-,
-ZL2-(CH2)5-C(=O)-GGICit-,
-ZL2-(CH2)5-C(=O)-GGFM-,
-ZL2-(CH2)5-C(=O)-GGPI-,
-ZL2-(CH2)5-C(=O)-GGLM-,
-ZL2-(CH2)5-C(=O)-FG-,
-ZL2-(CH2)5-C(=O)-VA-,
-ZL2-(CH2)5-C(=O)-GGFG-NH-CH2-,
-ZL2-(CH2)5-C(=O)-GGVA-NH-CH2-,
-ZL2-(CH2)5-C(=O)-GGVCit-NH-CH2-,
-ZL2-(CH2)5-C(=O)-GGFCit-NH-CH2-,
-ZL2-(CH2)5-C(=O)-NH-(CH2CH2O)3-CH2-C(=O)-Hjm
-ZL2-(CH2)5-C(=O)-NH-(CH2CH2O)4-CH2-C(=O)-,
где ZL2 представляет собой -(сукцинимид-3-ил-N)-, представленный следующей структурной формулой, описанной для Lb:
[0075]
[Формула 58]
[0076] Поскольку формой конъюгирования антитело-лекарственное средство является «конъюгирование через гликан», более предпочтительный линкер L, применяемый в конъюгате антитело-лекарственное средство согласно настоящему изобретению, представляет собой
-ZL1-C(=O)-CH2CH2-C(=O)-GGFG-NH-CH2-,
или
-ZL1-C(=O)-CH2CH2-C(=O)-GGPI-NH-CH2-,
где ZL1 представляет собой следующую структурную формулу, описанную для Lb:
[0077]
[Формула 59]
[0078] Поскольку формой конъюгирования антитело-лекарственное средство является «конъюгирование через гликан», наиболее предпочтительный линкер L, применяемый в конъюгате антитело-лекарственное средство согласно настоящему изобретению, представляет собой
-ZL1-C(=O)-CH2CH2-C(=O)-GGFG-NH-CH2-,
где ZL1 представляет собой следующую структурную формулу, описанную для Lb:
[0079]
[Формула 60]
[0080] Правый конец указанного выше «предпочтительного линкера L», «более предпочтительного линкера L», «еще более предпочтительного линкера L» или «наиболее предпочтительного линкера L» связан с лекарственным средством D.
[0081] Фрагмент «линкер L-лекарственное средство D», применяемый в конъюгате антитело-лекарственное средство согласно настоящему изобретению, предпочтительно представлен следующими двумя формулами:
[0082]
[Формула 61]
где волнистой линией обозначено образование связи с гликаном или ремоделированным гликаном Ab.
[0083] Фрагмент «линкер L-лекарственное средство D», применяемый в конъюгате антитело-лекарственное средство согласно настоящему изобретению, более предпочтительно представлен следующими двумя формулами:
[0084]
[Формула 62]
где волнистой линией обозначено образование связи с гликаном или ремоделированным гликаном Ab.
[0085] Фрагмент «линкер L-лекарственное средство D», применяемый в конъюгате антитело-лекарственное средство согласно настоящему изобретению, еще более предпочтительно представлен следующей формулой:
[0086]
[Формула 63]
где волнистой линией обозначено образование связи с гликаном или ремоделированным гликаном Ab.
[0087] <2.2. Антитело и его гликозилирование>
<2.2.1 Антитело>
В настоящей заявке термин «ген» относится к нуклеотидам или нуклеотидной последовательности, включая нуклеотидную последовательность, кодирующую аминокислоты белка, или комплементарную ей цепь. Значение термина «ген» охватывает, например, полинуклеотид, олигонуклеотид, ДНК, мРНК, кДНК и РНК в качестве нуклеотидной последовательности, включая нуклеотидную последовательность, кодирующую аминокислоты белка, или комплементарную ей цепь.
[0088] В настоящей заявке термины «нуклеотиды», «полинуклеотид» и «нуклеотидная последовательность» имеют то же значение, что и термин «нуклеиновые кислоты», и в объем значения терминов «нуклеотиды» и «нуклеотидная последовательность» входят, например, ДНК, РНК, зонд, олигонуклеотид, полинуклеотид и праймер.
[0089] В настоящей заявке термины «полипептид», «пептид» и «белок» используют взаимозаменяемо.
[0090] В настоящей заявке «функциональный фрагмент антитела» иногда называют «антигенсвязывающим фрагментом антитела», и данный термин обозначает неполный фрагмент антитела, обладающий антигенсвязывающей активностью. Его примеры включают Fab, F(ab')2, Fv, scFv, диатело, линейное антитело или полиспецифичное антитело, полученное с применением фрагмента (фрагментов) антитела и так далее. Fab', который представляет собой моновалентный фрагмент вариабельной области антитела, полученный путем обработки F(ab')2 в восстанавливающих условиях, также входит в состав антигенсвязывающего фрагмента антитела. При этом указанный фрагмент не ограничивается этими молекулами при условии, что он обладает способностью связываться с антигеном. Кроме того, эти антигенсвязывающие фрагменты включают не только фрагменты, полученные путем обработки полноразмерной молекулы белка антитела подходящим ферментом, но также белки, полученные в подходящих клетках-хозяевах с применением гена, модифицированного с помощью генной инженерии.
[0091] Функциональный фрагмент антитела, применяемый в конъюгате антитело-лекарственное средство согласно настоящему изобретению, включает функциональный фрагмент, содержащий аспарагин (Asn297) и аминокислоты вблизи аспарагина, причем аспарагин модифицирован N-связанным гликаном, который характеризуется высокой консервативностью в Fc-области тяжелой цепи IgG, при этом указанный функциональный фрагмент обладает способностью связываться с антигеном.
[0092] Под антителом, применяемым в конъюгате антитело-лекарственное средство согласно настоящему изобретению, подразумевают иммуноглобулин, который представляет собой молекулу, содержащую антигенсвязывающий сайт, в котором может происходить иммуноспецифичное связывание антигена. Антитело, применяемое в конъюгате антитело-лекарственное средство согласно настоящему изобретению, может относиться к любому из классов IgG, IgE, IgM, IgD, IgA или IgY, и предпочтительно относится к классу IgG. Кроме того, оно может относиться к любому из подклассов IgG1, IgG2, IgG3, IgG4, IgA1 или IgA2, и предпочтительно IgG1, IgG2 или IgG4 (включая антитело с мутацией, влияющей на активности АЗКЦ и/или АЗКФ, в Fc-области тяжелой цепи IgG).
[0093] В случае, когда изотипом антитела, применяемого в конъюгате антитело-лекарственное средство согласно настоящему изобретению, является IgG1, эффекторную функцию можно регулировать путем замены части аминокислотных остатков в константной области (см. WO88/07089, WO94/28027, W094/29351). Примеры вариантов IgG1 включают мутант IgG1 LALA (IgG1-L234A, L235A). L234A, L235A представляет собой замену лейцина на аланин в положениях 234 и 235, указанных нумерацией в соответствии с индексом EU (Proceedings of the National Academy of Sciences of the United States of America, Vol. 63, No. 1 (May 15, 1969), pp. 78-85).
[0094] Известно, что константная область антитела имеет несколько аллотипов. Примеры тяжелой цепи IgG1 включают Glm17, Glm3, Glm1 и Glm2. Предпочтительные примеры константной области антитела, применяемого в настоящем изобретении, включают, без конкретного ограничения, Glm17 или Glm3.
[0095] Известно, что каждая из тяжелых цепей и легких цепей молекулы антитела имеет три определяющих комплементарность участка (complementarity determining regions, CDR). CDR, которые также называют гипервариабельными участками, расположены в вариабельных областях тяжелых цепей и легких цепей антитела и представляют собой участки с особенно высокой вариабельностью первичной структуры. Три CDR отдельно расположены в первичной структуре полипептидной цепи тяжелых цепей и легких цепей. Что касается CDR антител, в настоящей заявке CDR тяжелой цепи относятся к CDRH1, CDRH2 и CDRH3 с аминоконцевой стороны аминокислотной последовательности тяжелой цепи, и CDR легкой цепи относятся к CDRL1, CDRL2 и CDRL3 с аминоконцевой стороны аминокислотной последовательности легкой цепи. Эти сайты расположены в непосредственной близости друг от друга в трехмерной структуре, что определяет специфичность связывания антитела.
[0096] Антитело может быть получено от любого вида. Предпочтительные примеры включают человека, крысу, мышь или кролика. В случае, когда антитело получено от вида, отличного от человека, предпочтительно провести химеризацию или гуманизацию антитела с применением хорошо известных методик. Антитело согласно настоящему изобретению может представлять собой поликлональное или моноклональное антитело, и предпочтительно представляет собой моноклональное антитело. Примеры моноклонального антитела включают любое моноклональное антитело, полученное от животного, не являющегося человеком (например, антитела крысы, мыши и кролика), химерное антитело, гуманизированное антитело, антитело человека или их функциональный фрагмент, или модифицированное указанное антитело.
[0097] Антитело предпочтительно представляет собой антитело, нацеленное на опухолевую клетку или иммунную клетку, но не ограничено ими. Антитело более предпочтительно представляет собой антитело к опухолевой клетке, являющейся мишенью.
[0098] Антитело может быть применено против опухолевой клетки, являющейся мишенью. В этом случае предпочтительно, чтобы антитело обладало одной или более из следующих характеристик: способностью распознавать опухолевые клетки, способностью связываться с опухолевыми клетками, способностью быть поглощенным и интернализированным опухолевыми клетками и способностью повреждать опухолевые клетки. Лекарственное средство, применяемое в конъюгате антитело-лекарственное средство согласно настоящему изобретению, обладает активностью агониста STING. Лекарственное средство индуцирует интерфероны путем активации передачи сигналов регуляторного фактора интерферона-3 (IRF3). Соответственно, в конъюгате антитело-лекарственное средство согласно настоящему изобретению может быть применено антитело к опухолевым клеткам, являющимся мишенью. В этом случае конъюгат антитело-лекарственное средство вводят в организм, происходит доставка в очаг опухоли и поглощение опухолевыми клетками; и затем часть линкера расщепляется, например, пептидазой, с высвобождением фрагмента лекарственного средства. Считается, что высвобожденный фрагмент лекарственного средства повышает чувствительность опухолевой клетки к действию иммунных клеток посредством активности агониста STING и стимулирует противоопухолевый иммунитет, тем самым оказывая противоопухолевое действие. В качестве альтернативы, даже если конъюгат антитело-лекарственное средство, накопленный на опухолевых клетках, не интернализирован, указанные опухолевые клетки и/или конъюгат антитело лекарственное средство поглощаются иммунными клетками путем фагоцитоза. Затем происходит стимуляция противоопухолевого иммунитета посредством активности агониста STING, и может быть обеспечено противоопухолевое действие.
[0099] Связывающая активность антитела в отношении опухолевых клеток может быть подтверждена с помощью проточной цитометрии. Внедрение антитела в опухолевые клетки может быть проверено с помощью (1) анализа визуализации антитела, внедренного в клетки, под флуоресцентным микроскопом с применением вторичного антитела (флуоресцентно меченого), связывающегося с терапевтическим антителом (Cell Death and Differentiation (2008) 15, 751-761), (2) анализа определения интенсивности флуоресценции, обеспечиваемой в клетках, с применением вторичного антитела (флуоресцентно меченого), связывающегося с терапевтическим антителом (Molecular Biology of the Cell, Vol.15, 5268-5282, December 2004), или (3) анализа Mab-ZAP с применением иммунотоксина, связывающегося с терапевтическим антителом, где токсин высвобождается после внедрения в клетки с подавлением роста клеток (Bio Techniques 28: 162-165, January 2000). В качестве иммунотоксина также может быть применен рекомбинантный комплексный белок каталитического домена дифтерийного токсина и белка G.
[0100] В случае, когда в конъюгате антитело-лекарственное средство согласно настоящему изобретению применяют антитело к опухолевым клеткам, желательно, но не обязательно, чтобы само антитело обладало противоопухолевым действием.
[0101] Противоопухолевая активность лекарственного средства и конъюгата антитело-лекарственное средство относится к цитотоксической активности в отношении опухолевых клеток, отрицательному действию на клетки и уменьшению объема опухоли. Противоопухолевая активность может быть проверена с помощью известной системы оценки in vitro или in vivo.
[0102] Действие и иммуностимулирующая активность лекарственного средства и конъюгата антитело-лекарственное средство относятся к повышенной чувствительности опухолевых клеток к действию иммунных клеток или активации иммунных клеток опухолевыми клетками. Для проверки действия и иммуностимулирующей активности лекарственного средства и конъюгата антитело-лекарственное средство могут быть использованы известные системы оценки in vitro или in vivo.
[0103] Примеры системы оценки in vitro или in vivo, которая может быть использована в настоящем изобретении, могут включать, но не ограничиваются ими, систему анализа с совместным культивированием, описанную в примере Испытания 4, с применением линий клеток CT26.WT и СТ26. WT-hCD70, а также дендритных клеток, полученных из костного мозга мыши; систему с испытанием на мышах BALB/c, описанную в примере Испытания 5, с применением подкожно имплантированных клеток CT26.WT-hTROP2, где TROP2 человека был введен в линию клеток рака толстой кишки мыши CT26.WT; систему с испытанием на мышах BALB/c, описанную в примере Испытания 6, с применением подкожно имплантированных клеток СТ26.WT-hEGFR, где ген EGFR человека был введен в линию клеток рака толстой кишки мыши CT26.WT; систему с испытанием на мышах BALB/c-nu, описанную в примере Испытания 7, с применением подкожно трансплантированных клеток линии клеток рака почки человека Caki-1; систему с испытанием на мышах BALB/c-nu, описанную в примере Испытания 8, с применением подкожно трансплантированных клеток линии клеток рака почки человека А-498 (НТВ-44); и систему с испытанием на мышах BALB/c, описанную в примере Испытания 9, с применением подкожно трансплантированных клеток линии клеток рака толстой кишки мыши CT26.WT (CRL2638) с геном химерного антигена человека-мыши, в котором сайт эпитопа на антигене, связываемого антителом, включенным в конъюгат антитело-лекарственное средство, заменен на соответствующий сайт антигена человека.
[0104] Примеры антитела, применяемого в настоящем изобретении, включают антитело к CD70, антитело к TROP2 или антитело к EGFR.
[0105] Антитело, применяемое в настоящем изобретении, может быть получено путем иммунизации животного полипептидом, который служит в качестве антигена, и сбора и очистки антитела, продуцируемого in vivo, с применением способов, обычно применяемых в данной области техники. Происхождение антигена не ограничено человеком, и любое животное также может быть иммунизировано антигеном, полученным от животного, не являющегося человеком (например, мыши, крысы). В данном случае любое антитело, применимое при заболеваниях человека, может быть выбрано путем определения перекрестной реактивности между полученным антителом, которое может связываться с гетерологичным антигеном, и соответствующим антигеном человека.
[0106] В качестве альтернативы, продуцирующие антитела клетки, которые продуцируют антитела к антигену, подвергают слиянию с клетками миеломы в соответствии со способом, известным в данной области техники (например, Kohler and Milstein, Nature (1975) 256, p.495-497; Kennett, R. ed., Monoclonal Antibodies, p.365-367, Plenum Press, N.Y. (1980)), с получением гибридом, из которых в свою очередь могут быть получены моноклональные антитела.
[0107] Следует отметить, что антиген может быть получен путем генно-инженерной модификации клетки-хозяина с целью получения антигенного белка, кодируемого представляющим интерес геном.
[0108] Антитело, применяемое в конъюгате антитело-лекарственное средство согласно настоящему изобретению, может быть получено в соответствии с известными способами (например, Ргос.Natl. Acad. Sci. U.S.A., 81, 6851-6855, (1984); Nature (1986) 321, p.522-525, WO90/07861).
[0109] Например, антитело к CD70 (например, WO 2004/073656, WO 2007/038637), антитело к TROP2 (например, WO 2015/098099) и антитело к EGFR (например, WO 1998/050433, WO 2002/092771) могут быть получены с помощью известных методик.
[0110] Антитело к CD70, применяемое в настоящем изобретении, не имеет конкретных ограничений и должно иметь, например, следующие характеристики.
(1) Антитело к CD70, способное специфично связываться с CD70.
(2) Антитело, описанное в п. (1), при этом указанное антитело может связываться с внеклеточным доменом CD70 человека.
(3) Антитело, описанное в п. (1) или п. (2), при этом указанное антитело представляет собой моноклональное антитело.
(4) Антитело, описанное в любом из пп. (1)-(3), при этом указанное антитело обладает антителозависимой клеточно-опосредованной цитотоксичностью (АЗКЦ) и/или комплементзависимой цитотоксичностью (КЗЦ).
(5) Антитело, описанное в любом из пп. (1)-(4), при этом указанное антитело представляет собой моноклональное антитело мыши, химерное моноклональное антитело, моноклональное антитело человека или гуманизированное моноклональное антитело.
(6) Антитело, описанное в любом из пп. (1)-(3), где константная область тяжелой цепи указанного антитела представляет собой константную область тяжелой цепи IgG1 человека и содержит мутацию, которая вызывает снижение активности АЗКЦ и АЗКФ.
(7) Антитело, описанное в п. (5), где константная область тяжелой цепи указанного антитела представляет собой константную область тяжелой цепи IgG1 человека, и остатки лейцина в положениях 234 и 235, указанных нумерацией в соответствии с индексом EU, заменены на остатки аланина.
(8) Антитело, описанное в п. (7), при этом указанное антитело представляет собой гуманизированное моноклональное антитело, содержащее тяжелую цепь, состоящую из аминокислотной последовательности, представленной SEQ ID NO: 2, и легкую цепь, состоящую из аминокислотной последовательности, представленной SEQ ID NO: 1.
(9) Антитело, описанное в п. (7), при этом указанное антитело представляет собой гуманизированное моноклональное антитело, содержащее тяжелую цепь, состоящую из аминокислотной последовательности, представленной SEQ ID NO: 4, и легкую цепь, состоящую из аминокислотной последовательности, представленной SEQ ID NO: 3.
(10) Антитело, описанное в п. (7), при этом указанное антитело представляет собой гуманизированное моноклональное антитело, содержащее: легкую цепь, содержащую CDRL1, состоящий из аминокислотной последовательности, представленной SEQ ID NO: 35, CDRL2, состоящий из аминокислотной последовательности, представленной SEQ ID NO: 36, и CDRL3, состоящий из аминокислотной последовательности, представленной SEQ ID NO: 37; и тяжелую цепь, содержащую CDRH1, состоящий из аминокислотной последовательности, представленной SEQ ID NO: 38, CDRH2, состоящий из аминокислотной последовательности, представленной SEQ ID NO: 39, и CDRH3, состоящий из аминокислотной последовательности, представленной SEQ ID NO: 40.
(11) Антитело, описанное в п. (7), при этом указанное антитело представляет собой гуманизированное моноклональное антитело, содержащее: легкую цепь, содержащую CDRL1, состоящий из аминокислотной последовательности, представленной SEQ ID NO: 41, CDRL2, состоящий из аминокислотной последовательности, представленной SEQ ID NO: 42, и CDRL3, состоящий из аминокислотной последовательности, представленной SEQ ID NO: 43; и тяжелую цепь, содержащую CDRH1, состоящий из аминокислотной последовательности, представленной SEQ ID NO: 44, CDRH2, состоящий из аминокислотной последовательности, представленной SEQ ID NO: 45, и CDRH3, состоящий из аминокислотной последовательности, представленной SEQ ID NO: 46.
(12) Антитело, описанное в любом из пп. (1)-(11), в котором одна или две аминокислоты удалены с карбоксильного конца тяжелой цепи.
(13) Антитело, полученное с помощью способа получения антитела, включающего стадии культивирования клетки-хозяина, трансфицированной экспрессионным вектором, содержащим полинуклеотид, кодирующий антитело, описанное в любом из пп. (1)-(12), и получения представляющего интерес антитела из готовой культуры, полученной на первой стадии.
[0111] Примеры антитела к CD70 могут включать ворсетузумаб, MDX-1115 и кусатузумаб. Предпочтительные примеры включают ворсетузумаб или MDX-1115.
[0112] Антитело к TROP2, применяемое в настоящем изобретении, не имеет конкретных ограничений и должно иметь, например, следующие характеристики.
(1) Антитело к TROP2, способное специфично связываться с TROP2.
(2) Антитело, описанное в п. (1), при этом указанное антитело может связываться с внеклеточным доменом TROP2 человека.
(3) Антитело, описанное в п. (1) или п. (2), при этом указанное антитело представляет собой моноклональное антитело.
(4) Антитело, описанное в любом из пп. (1)-(3), при этом указанное антитело обладает активностью в виде антителозависимой клеточно-опосредованной цитотоксичности (АЗКЦ) и/или активностью в виде комплементзависимой цитотоксичности (КЗЦ).
(5) Антитело, описанное в любом из пп. (1)-(4), при этом указанное антитело представляет собой моноклональное антитело мыши, химерное моноклональное антитело, моноклональное антитело человека или гуманизированное моноклональное антитело.
(6) Антитело, описанное в любом из пп. (1)-(3), где константная область тяжелой цепи указанного антитела представляет собой константную область тяжелой цепи IgG1 человека и содержит мутацию, которая вызывает снижение активности АЗКЦ и АЗКФ.
(7) Антитело, описанное в любом из пп. (1)-(4), при этом указанное антитело представляет собой гуманизированное моноклональное антитело, содержащее тяжелую цепь, состоящую из аминокислотной последовательности, представленной SEQ ID NO: 6, и легкую цепь, состоящую из аминокислотной последовательности, представленной SEQ ID NO: 5.
(8) Антитело, описанное в п. (5), где константная область тяжелой цепи указанного антитела представляет собой константную область тяжелой цепи IgG1 человека, и лейцин в положениях 234 и 235, указанных нумерацией в соответствии с индексом EU, заменен на аланин.
(9) Антитело, описанное в п. (8), при этом указанное антитело представляет собой гуманизированное моноклональное антитело, содержащее тяжелую цепь, состоящую из аминокислотной последовательности, представленной SEQ ID NO: 8, и легкую цепь, состоящую из аминокислотной последовательности, представленной SEQ ID NO: 7.
(10) Антитело, описанное в п. (8), при этом указанное антитело представляет собой гуманизированное моноклональное антитело, содержащее: легкую цепь, содержащую CDRL1, состоящий из аминокислотной последовательности, представленной SEQ ID NO: 47, CDRL2, состоящий из аминокислотной последовательности, представленной SEQ ID NO: 48, и CDRL3, состоящий из аминокислотной последовательности, представленной SEQ ID NO: 49; и тяжелую цепь, содержащую CDRH1, состоящий из аминокислотной последовательности, представленной SEQ ID NO: 50, CDRH2, состоящий из аминокислотной последовательности, представленной SEQ ID NO: 51, и CDRH3, состоящий из аминокислотной последовательности, представленной SEQ ID NO: 52.
(11) Антитело, описанное в п. (8), при этом указанное антитело представляет собой гуманизированное моноклональное антитело, содержащее: легкую цепь, содержащую CDRL1, состоящий из аминокислотной последовательности, представленной SEQ ID NO: 53, CDRL2, состоящий из аминокислотной последовательности, представленной SEQ ID NO: 54, и CDRL3, состоящий из аминокислотной последовательности, представленной SEQ ID NO: 55; и тяжелую цепь, содержащую CDRH1, состоящий из аминокислотной последовательности, представленной SEQ ID NO: 56, CDRH2, состоящий из аминокислотной последовательности, представленной SEQ ID NO: 57, и CDRH3, состоящий из аминокислотной последовательности, представленной SEQ ID NO: 58.
(12) Антитело, описанное в любом из пи. (1)-(11), в котором одна или две аминокислоты удалены с карбоксильного конца тяжелой цепи.
(13) Антитело, полученное с помощью способа получения антитела, включающего стадии культивирования клетки-хозяина, трансфицированной экспрессионным вектором, содержащим полинуклеотид, кодирующий антитело, описанное в любом из пп. (1)-(12), и получения представляющего интерес антитела из готовой культуры, полученной на первой стадии.
[0113]
Антитело к EGFR, применяемое в настоящем изобретении, не имеет конкретных ограничений и должно иметь, например, следующие характеристики.
(1) Антитело к EGFR, способное специфично связываться с EGFR.
(2) Антитело, описанное в п. (1), при этом указанное антитело может связываться с внеклеточным доменом EGFR человека.
(3) Антитело, описанное в п. (1) или п. (2), при этом указанное антитело представляет собой моноклональное антитело.
(4) Антитело, описанное в любом из пп. (1)-(3), при этом указанное антитело обладает антителозависимой клеточно-опосредованной цитотоксичностью (АЗКЦ) и/или комплеменезависимой цитотоксичностью (КЗЦ).
(5) Антитело, описанное в любом из пп. (1)-(4), при этом указанное антитело представляет собой моноклональное антитело мыши, химерное моноклональное антитело, моноклональное антитело человека или гуманизированное моноклональное антитело.
(6) Антитело, описанное в любом из пп. (1)-(3), где константная область тяжелой цепи указанного антитела представляет собой константную область тяжелой цепи IgG1 человека и содержит мутацию, которая вызывает снижение активности АЗКЦ и АЗКФ.
(7) Антитело, описанное в п. (5), где константная область тяжелой цепи указанного антитела представляет собой константную область тяжелой цепи IgG1 человека, и остатки лейцина в положениях 234 и 235, указанных нумерацией в соответствии с индексом EU, заменены на остатки аланина.
(8) Антитело, описанное в п. (7), при этом указанное антитело представляет собой гуманизированное моноклональное антитело, содержащее тяжелую цепь, состоящую из аминокислотной последовательности, представленной SEQ ID NO: 10, и легкую цепь, состоящую из аминокислотной последовательности, представленной SEQ ID NO: 9.
(9) Антитело, описанное в п. (7), при этом указанное антитело представляет собой гуманизированное моноклональное антитело, содержащее тяжелую цепь, состоящую из аминокислотной последовательности, представленной SEQ ID NO: 12, и легкую цепь, состоящую из аминокислотной последовательности, представленной SEQ ID NO: 11.
(10) Антитело, описанное в п. (7), при этом указанное антитело представляет собой гуманизированное моноклональное антитело, содержащее: легкую цепь, содержащую CDRL1, состоящий из аминокислотной последовательности, представленной SEQ ID NO: 59, CDRL2, состоящий из аминокислотной последовательности, представленной SEQ ID NO: 60, и CDRL3, состоящий из аминокислотной последовательности, представленной SEQ ID NO: 61; и тяжелую цепь, содержащую CDRH1, состоящий из аминокислотной последовательности, представленной SEQ ID NO: 62, CDRH2, состоящий из аминокислотной последовательности, представленной SEQ ID NO: 63, и CDRH3, состоящий из аминокислотной последовательности, представленной SEQ ID NO: 64.
(11) Антитело, описанное в п. (7), при этом указанное антитело представляет собой гуманизированное моноклональное антитело, содержащее: легкую цепь, содержащую CDRL1, состоящий из аминокислотной последовательности, представленной SEQ ID NO: 65, CDRL2, состоящий из аминокислотной последовательности, представленной SEQ ID NO: 66, и CDRL3, состоящий из аминокислотной последовательности, представленной SEQ ID NO: 67; и тяжелую цепь, содержащую CDRH1, состоящий из аминокислотной последовательности, представленной SEQ ID NO: 68, CDRH2, состоящий из аминокислотной последовательности, представленной SEQ ID NO: 69, и CDRH3, состоящий из аминокислотной последовательности, представленной SEQ ID NO: 70.
(12) Антитело, описанное в любом из пп. (1)-(11), в котором одна или две аминокислоты удалены с карбоксильного конца тяжелой цепи.
(13) Антитело, полученное с помощью способа получения антитела, включающего стадии культивирования клетки-хозяина, трансфицированной экспрессионным вектором, содержащим полинуклеотид, кодирующий антитело, описанное в любом из пп. (1)-(12), и получения представляющего интерес антитела из готовой культуры, полученной на первой стадии.
[0114] Примеры антитела к EGFR могут включать панитумумаб, нимотузумаб, цетуксимаб, аметумумаб (SY-101), SYN-004, SCT-200, томузотуксимаб, GC-1118, GR-1401 или депатуксизумаб (АВТ-806). Предпочтительные примеры могут включать панитумумаб и АВТ-806.
[0115] Антитело, применяемое в настоящем изобретении, может представлять собой антитело с 80-99% идентичности аминокислотной последовательности при сравнении с тяжелыми и/или легкими цепями каждого из указанных выше антител. Здесь термин «идентичность» имеет общее определение, используемое в данной области техники. Идентичность в процентах (%) относится к процентному содержанию идентичных аминокислот в расчете на общее количество аминокислот (включая пропуски) при выравнивании двух аминокислотных последовательностей таким образом, чтобы обеспечить наибольшую идентичность аминокислот. Такая идентичность, как правило, больше или равна 80% идентичности, предпочтительно больше или равна 90, 91, 92, 93 или 94% идентичности, более предпочтительно больше или равна 95, 96, 97 или 98% идентичности, и еще более предпочтительно больше или равна 99% идентичности. Также возможно выбрать антитело, обладающее различными эффектами, эквивалентными эффектам указанных выше антител, путем объединения аминокислотных последовательностей, в которых один или несколько аминокислотных остатков заменены, удалены и/или добавлены к аминокислотной последовательности тяжелой цепи и/или легкой цепи. Количество аминокислотных остатков, подлежащих замене, удалению и/или добавлению, как правило, составляет 10 аминокислотных остатков или менее, предпочтительно от 5 до 6 аминокислотных остатков или менее, более предпочтительно от 2 до 3 аминокислотных остатков или менее, и еще более предпочтительно 1 аминокислотный остаток.
[0116] <2.2.2 Ремоделирование гликана антитела>
Имеются недавние сообщения, что гетерогенные гликаны антител подлежат ремоделированию путем ферментативных реакций для равномерного введения функционализированных гликанов (ACS Chem. Biol. 2012, 7, 110-122, ACS Med. Chem. Lett. 2016, 7, 1005-1008). С применением этой технологии ремоделирования гликанов были предприняты попытки синтезировать гомогенный ADC путем введения лекарственного средства (лекарственных средств) сайт-специфичным образом (Bioconjugate Chem. 2015, 26, 2233-2242; Angew. Chem. Int. Ed. 2016, 55, 2361-2367, US2016361436).
[0117] При ремоделировании гликана гетерогенные гликаны, добавленные в белок (например, антитело), отщепляют с помощью гидролазы, при этом оставляют только GlcNAc на каждом конце, получая таким образом гомогенный фрагмент белка с GlcNAc (здесь и далее называемый «акцептором»). Затем обеспечивают отдельно приготовленный данный гликан (здесь и далее называемый «донором»), и акцептор и донор соединяют друг с другом с помощью трансгликозидазы. Таким образом, можно синтезировать гомогенный гликопротеин с заданной структурой гликанов.
[0118] В настоящем изобретении «гликан» относится к структурному звену из двух или более моносахаридов, соединенных друг с другом гликозидными связями. Конкретные моносахариды и гликаны иногда сокращают, например, как «GlcNAc-», «SG-» и так далее. В случае, когда любое из данных сокращений используют в структурной формуле, сокращение предполагает, что атом кислорода или атом азота, участвующий в расположенной на восстанавливающем конце гликозидной связи с другим структурным звеном, не включен в сокращение, обозначающее гликан, если это специально не оговорено.
[0119] В настоящем изобретении моносахарид как основное звено гликана обозначен для удобства таким образом, что в кольцевой структуре положение атома углерода, связанного с атомом кислорода, составляющим кольцо, и непосредственно связанного с гидроксигруппой (или атомом кислорода, вовлеченным в гликозидную связь), определено как положение 1 (положение 2 только для сиаловых кислот), если не указано иное. Каждое из названий соединений в примерах представлено с учетом химической структуры в целом, и данное правило не обязательно применяется.
[0120] В случае, если в настоящем изобретении гликан указан в виде обозначения (например, SG, MSG, GlcNAc), предполагается, что указанное обозначение, если не указано иное, включает атомы углерода вплоть до восстанавливающего конца и не включает N или О, вовлеченные в N- или О-гликозидную связь.
[0121] Конъюгат антитело-лекарственное средство согласно настоящему изобретению представлен следующей формулой:
[0122]
[Формула 64]
где антитело Ab или его функциональный фрагмент связан с L непосредственно через боковую цепь его аминокислотного остатка (например, цистеина, лизина) или связан с L посредством гликана или ремоделированного гликана Ab.
[0123] Гликаны в Ab согласно настоящему изобретению представляют собой N-связанные гликаны или О-связанные гликаны, и предпочтительно представляют собой N-связанные гликаны.
[0124] Каждый из N-связанных гликанов и О-связанных гликанов образует связь с боковой цепью аминокислоты антитела посредством N-гликозидной связи и О-гликозидной связи, соответственно.
[0125] Ab в настоящем изобретении представляет собой IgG, предпочтительно IgG1,IgG2 или IgG4.
[0126] IgG содержит обладающий высокой консервативностью N-связанный гликан (здесь и далее упомянут как «Asn297-гликан или N297-гликан») при остатке аспарагина (здесь и далее упомянут как «Asn297 или N297») в положении 297 Fc-области тяжелой цепи, и известно, что указанный N-связанный гликан вносит вклад в активность и кинетику молекулы антитела (Eon-Duval, A. et al, Biotechnol. Prog. 2012, 28, 608-622; Sanglier-Cianferani, S., Anal. Chem. 2013, 85, 715-736).
[0127] Аминокислотная последовательность в константной области IgG характеризуется высокой консервативностью, и каждая аминокислота указана нумерацией в соответствии с индексом EU в публикации Edelman et al. (Proc. Natl. Acad. Sci. U.S.A., 63, 78-85, (1969)). Например, Asn297, к которому в Fc-области добавлен N-связанный гликан, соответствует положению 297 согласно нумерации в соответствии с индексом EU, и даже если фактическое положение аминокислоты изменилось вследствие фрагментации или утраты участка молекулы, аминокислота может быть однозначно идентифицирована с помощью нумерации в соответствии с индексом EU.
[0128] На приведенной ниже схеме показан случай, когда в конъюгате антитело-лекарственное средство согласно настоящему изобретению образование связи с L осуществляется посредством антитела или N297-гликана его функционального фрагмента.
[0129]
[Формула 65]
Следует отметить, что антитело, содержащее ремоделированный гликан, называют антителом с ремоделированным гликаном.
[0130] SGP (α2,6-SGP), аббревиатура для сиалилгликопептида, является типичным N-связанным гликопептидом. SGP может быть выделен/очищен из желтка куриного яйца, например, с помощью способа, описанного в WO 2011/027868. Очищенные продукты SGP доступны для приобретения от Tokyo Chemical Industry Co., Ltd., или FUSHIMI Pharmaceutical Co., Ltd. В настоящей заявке гликановый фрагмент SGP представлен как SG, и гликан с удаленным одним GlcNAc с восстанавливающего конца SG представлен как SG(10). SG(10) может быть получен путем ферментативного гидролиза SGP (см. публикацию Umekawa et al. (Biochim. Biophys. Acta 2010, 1800, 1203-1209).
SG(10) также может быть приобретен у Tokyo Chemical Industry Co., Ltd., или FUSHIMI Pharmaceutical CO., Ltd.
[0131] В настоящей заявке структура гликана, полученная путем удаления сиаловой кислоты с невосстанавливающего конца только одной из разветвленных цепей β-Man в SG(10), называется MSG(9), и структура, имеющая сиаловую кислоту только в 1-3-гликане разветвленных цепей, называется MSG1, и структура, имеющая сиаловую кислоту только в 1-6 гликане разветвленных цепей, называется MSG2.
[0132] Ремоделированный гликан, применяемый в конъюгате антитело-лекарственное средство согласно настоящему изобретению, представляет собой N297-(Fuc)SG, N297-(Fuc)MSG1, N297-(Fuc)MSG2 или смесь N297-(Fuc)MSG1 и N297-(Fuc)MSG2, предпочтительно N297-(Fuc)SG, N297-(Fuc)MSG1 или N297-(Fuc)MSG2, и более предпочтительно N297-(Fuc)SG или N297-(Fuc)MSG1.
[0133]
N297-(Fuc)SG представлен следующей структурной формулой или формулой последовательности.
[0134]
[Формула 66]
[0135]
[Формула 67] 
[0136]
В указанных выше формулах волнистой линией обозначено образование связи с Asn297 антитела;
L(PEG) представляет собой -(CH2-CH2-O)n5-CH2-CH2-NH-, и аминогруппа на правом конце L(PEG) представляет собой образование связи посредством амидной связи с карбоксильной группой в положении 2 сиаловой кислоты на невосстанавливающем конце как со стороны 1-3 гликана, так и со стороны 1-6 гликана разветвленных цепей β-Man в N297-гликане; и
звездочкой обозначено образование связи с атомом азота в положении 1 или 3 1,2,3-триазольного кольца линкера L, в частности, Lb в указанном выше линкере L,
где n5 представляет собой целое число от 2 до 10, предпочтительно от 2 до 5.
[0137]
N297-(Fuc)MSG1 представлен следующей структурной формулой или формулой последовательности.
[0138]
[Формула 68]
[0139]
[Формула 69]
[0140]
В указанных выше формулах волнистой линией обозначено образование связи с Asn297 антитела;
L(PEG) представляет собой -(CH2-CH2-O)n5-CH2-CH2-NH-, и аминогруппа на правом конце L(PEG) представляет собой образование связи посредством амидной связи с карбоксильной группой в положении 2 сиаловой кислоты на невосстанавливающем конце со стороны 1 -3 гликана разветвленных цепей β-Man в N297-гликане; и
звездочкой обозначено образование связи с атомом азота в положении 1 или 3 1,2,3-триазольного кольца линкера L, в частности, Lb в указанном выше линкере L,
где n5 представляет собой целое число от 2 до 10, предпочтительно от 2 до 5.
[0141]
N297-(Fuc)MSG2 представлен следующей структурной формулой или формулой последовательности.
[0142]
[Формула 70]
[0143]
[Формула 71]
[0144]
В указанных выше формулах волнистой линией обозначено образование связи с Asn297 антитела;
L(PEG) представляет собой -(CH2-CH2-O)n5-CH2-CH2-NH-, и аминогруппа на правом конце L(PEG) представляет собой образование связи посредством амидной связи с карбоксильной группой в положении 2 сиаловой кислоты на невосстанавливающем конце со стороны 1-6 гликана разветвленных цепей β-Man в N297-гликане; и
звездочкой обозначено образование связи с атомом азота в положении 1 или 3 1,2,3-триазольного кольца линкера L, в частности, Lb в указанном выше линкере L,
где n5 представляет собой целое число от 2 до 10, предпочтительно от 2 до 5.
[0145]
N297-гликан антитела в конъюгате антитело-лекарственное средство согласно настоящему изобретению может представлять собой N297-(Fuc)SG. В этом случае, поскольку антитело представляет собой димер, конъюгат антитело-лекарственное средство представляет собой молекулу, в которой соединены четыре линкера L и четыре молекулы лекарственного средства (m2=2).
[0146]
N297-гликан антитела в конъюгате антитело-лекарственное средство согласно настоящему изобретению может представлять собой N297-(Fuc)MSG1, или N297-(Fuc)MSG2, или их смесь. В этом случае, поскольку антитело представляет собой димер, конъюгат антитело-лекарственное средство представляет собой молекулу, в которой соединены два линкера L и две молекулы лекарственного средства D (m2=1) (см. Фиг. 1).
[0147]
N297-гликан предпочтительно представляет собой N297-(Fuc)SG, или N297-(Fuc)MSG1, или N297-(Fuc)MSG2, более предпочтительно N297-(Fuc)SG или N297-(Fuc)MSG1, и еще более предпочтительно N297-(Fuc)SG.
[0148]
N297-гликан антитела в конъюгате антитело-лекарственное средство согласно настоящему изобретению может представлять собой N297- (Fuc)SG, или N297- (Fuc)MSG1, или N297-(Fuc)MSG2. В этом случае может быть получен ADC с высокой гомогенностью.
[0149]
<3. Способы получения>
Ниже описаны типичные способы получения содержащего новое производное ЦДН конъюгата антитело-лекарственное средство согласно настоящему изобретению или промежуточного продукта его получения. Следует отметить, что далее номера соединений, указанные на каждой схеме реакции, используются для обозначения каждого соединения. В частности, используется, например, «соединение формулы (1)» или «соединение (1)». То же самое относится и к соединениям с номерами, отличными от приведенных выше.
[0150]
В следующих способах А-Е заместитель L1 имеет то же значение, что и выше. Заместитель L2 представляет собой заместитель, выбранный из следующих (i) или (ii):
(i) при связывании с L L2 представляет собой -NHR', гидрокси-С1-С6 алкильную группу или амино-С1-С6 алкильную группу, где R' представляет собой атом водорода, С1-С6 алкильную группу, С2-С6 алкенильную группу, С2-С6 алкинильную группу или С3-С6 циклоалкильную группу, при этом С1-С6 алкильная группа, С2-С6 алкенильная группа или С2-С6 алкинильная группа необязательно содержит в качестве заместителей от 1 до 6 атомов галогена; или
(ii) при отсутствии связывания с L L2 представляет собой атом водорода или атом галогена.
Заместитель W1 представляет собой -NH- или атом серы. Заместитель W2 представляет собой -СН=. Заместители Z1 - Z3 совместно представляют собой -СН2-СН2-СН2-. Заместители R1 - R3, каждый независимо, представляют собой атом водорода, атом галогена, -OR', -OC(=O)R, -N3, -NHR', -NR'R'' или -NHC(=O)R, где R' является таким, как определено выше, и R'' представляет собой С1-С6 алкильную группу, С2-С6 алкенильную группу, С2-С6 алкинильную группу или С3-С6 циклоалкильную группу. Заместитель R4 представляет собой атом водорода. В случае, если W1 представляет собой атом азота, заместитель R5 представляет собой атом водорода; в случае, если W1 представляет собой атом кислорода, R5 отсутствует.Каждый из заместителей Ra, Rc, Re и Rg представляет собой боковую цепь природной α-аминокислоты. Примеры включают метальную группу, изопропильную группу, втор-бутильную группу, изобутильную группу или бензильную группу. PRO1 представляет собой защитную группу для первичной спиртовой группы, и предпочтительно представляет собой 4,4'-диметокситритильную группу, 4-метокситритильную группу и тому подобное. Каждый из PRO2, PRO3, PRO7 и PRO8 обозначает защитную группу для вторичной спиртовой группы. Предпочтительные примеры включают трет-бутилдиметилсилильную группу, триизопропилсилилоксиметильную группу, бензоильную группу, 2-нитробензильную группу и 4-метокситетрагидропиран-4-ильную группу. PRO6 представляет собой защитную группу карбоновой кислоты, и предпочтительно представляет собой трет-бутильную группу, бензильную группу и тому подобное. Каждый из PRO5 и PRO9 представляет собой защитную группу для аминогруппы. PRO5 предпочтительно представляет собой трет-бутилоксикарбонильную группу, 9-флуоренилметилоксикарбонильную группу, аллилоксикарбонильную группу, 2,2,2-трихлорэтоксикарбонильную группу, бензилоксикарбонильную группу и тому подобное. PRO9 предпочтительно представляет собой 9-флуоренилметилоксикарбонильную группу или 2-(триметилсилил)этоксикарбонильную группу. PRO4 представляет собой защитную группу для спиртовой группы или аминогруппы, и предпочтительно представляет собой трет-бутилдиметилсилильную группу, бензоильную группу и тому подобное в случае спирта, и предпочтительно представляет собой 2-(триметилсилил)этоксикарбонильную группу, аллилоксикарбонильную группу, трет-бутилоксикарбонильную группу и тому подобное в случае амина. Qa представляет собой атом кислорода или серы, и Qb представляет собой гидрокси-группу или тиольную группу. Qa' Qb', каждый независимо, представляют собой отрицательно заряженный атом кислорода (О-) или серы (S-). Rx и Ry, каждый независимо, представляют собой атом галогена или -O-PRO2. n представляет собой целое число от 1 до 3.
[0151]
Способ А
Производное ЦДН, представленное (1), применяемое в конъюгате антитело-лекарственное средство согласно настоящему изобретению, может быть получено в соответствии со способом А, описанным ниже.
[0152]
[Формула 72]
[0153]
Эта схема синтеза представляет собой способ получения соединения, представленного общей формулой (1). Согласно сообщению Gaffney с соавторами (Org. Lett. 2010, 12, 3269-3271), в этом способе получения однореакторный синтез может быть осуществлен на стадиях А-1 - А-5.
[0154]
[Формула 73]
[0155]
(Стадия А-1)
Эта стадия представляет собой стадию получения соединения формулы (2а) с применением известной методики из области органической химии для последовательного проведения гидролиза соединения формулы (1а) и удаления цианоэтильной группы. Соединение (1а) подвергали гидролизу при обработке водой и кислотой (например, трифторацетатом пиридина, 4,5-дицианоимидазолом, 1Н-тетразолом) в растворителе (ацетонитриле, тетрагидрофуране, N,N-диметилформамиде или смеси этих растворителей) при температуре от -10°С до температуры кипения растворителя, используемого для реакции, предпочтительно от 15°С до 35°С. На каждый моль соединения (1а) применяли от 2 молей до избыточного количества молей, и предпочтительно от 2 до 10 молей воды, и применяли от 1 моля до избыточного количества молей, и предпочтительно от 1 моля до 5 молей кислоты. Время реакции составляет от 1 мин до 3 ч, и предпочтительно от 5 мин до 30 мин. Затем удаляли цианоэтильную группу путем добавления основания (например, трет-бутиламина) к реакционной смеси. На каждый моль соединения (1а) применяли избыточное количество молей, предпочтительно от 30 до 50 молей основания. Время реакции составляет от 5 мин до 6 ч, и предпочтительно от 15 мин до 1 ч. Реакционную смесь концентрировали при пониженном давлении с получением неочищенного соединения (2а). Неочищенное соединение (2а) может быть направлено на следующую стадию без очистки.
[0156]
(Стадия А-2)
Эта стадия представляет собой стадию получения соединения формулы (3а) с применением известной методики из области органической химии для удаления защитной группы для гидроксигруппы из соединения формулы (2а). При необходимости до начала реакции на этой стадии неочищенную форму соединения формулы (2а) сушили при азеотропной перегонке с ацетонитрилом от одного до трех раз. В случае, когда PRO1 представляет собой 4,4'-диметокситритильную группу, соединение (2а) помещали в растворитель (например, дихлорметан, хлороформ, дихлорэтан) при температуре от -10°С до температуры кипения растворителя, используемого для реакции, предпочтительно от 15°С до 35°С, и обрабатывали водой и кислотой (например, трифторуксусной кислотой) с удалением 4,4-диметокситритильной группы. На каждый моль соединения (2а) применяли избыточное количество молей, и предпочтительно от 10 до 20 молей воды; и кислоту разбавляли растворителем, используемым в реакции, до концентрации от 1% до 50% (об./об.), и предпочтительно до концентрации от 5% до 10% (об./об.), и применяли избыточное количество молей, и предпочтительно от 5 молей до 15 молей разбавленного раствора. Время реакции составляет от 1 мин до 3 ч, и предпочтительно от 5 мин до 30 мин. К реакционной смеси добавляли пиридин для остановки реакции. Количество пиридина представляло собой количество, при котором кислота может быть в достаточной степени нейтрализована, и предпочтительно применяли от 2 молей до 10 молей пиридина на моль кислоты. Реакционную смесь концентрировали при пониженном давлении с получением неочищенного соединения (3а). Неочищенное соединение (3а) подвергали азеотропной перегонке с применением обезвоженного ацетонитрила от трех до пяти раз. При последней азеотропной перегонке оставляли ацетонитрил с получением раствора в ацетонитриле, содержащего от 0,01 M до 1 M соединения (3а). Полученный раствор в ацетонитриле непосредственно применяли на следующей стадии.
[0157]
(Стадия А-3)
Эта стадия представляет собой стадию получения соединения формулы (5а) с применением известной методики из области органической химии для проведения реакции сочетания соединения формулы (3а) с соединением формулы (4а) и последующим последовательным сульфидированием полученного продукта сочетания. До начала реакции на этой стадии соединение (4а) подвергали азеотропной перегонке с применением обезвоженного ацетонитрила от трех до пяти раз. При последней азеотропной перегонке оставляли ацетонитрил с получением раствора в ацетонитриле, содержащего от 0,01 M до 1 M соединения (4а). К раствору добавляли осушающий агент (молекулярные сита 3А или молекулярные сита 4А в форме порошка или гранул), и полученный раствор хранили в атмосфере азота или аргона до применения. Реакцию сочетания проводили путем добавления содержащего соединение (4а) раствора в ацетонитриле, который сушили путем азеотропной перегонки, к содержащему соединение (3а) раствору в ацетонитриле при температуре от 5°С до 35°С. Время реакции составляет от 1 мин до 24 ч, и предпочтительно от 5 мин до 6 ч. Затем реакционную смесь смешивали с сульфидирующим агентом (например, N,N-диметил-N'-(3-сульфанилиден-3H-1,2,4-дитиазол-5-ил)метанимидамидом, 3H-1,2-бензодитиол-3-оном). Таким образом проводили сульфидирование. На каждый моль соединения (3а) применяли от 1 до 5 молей, и предпочтительно от 1 до 2 молей сульфидирующего агента. Время реакции составляет от 5 мин до 24 ч, и предпочтительно от 30 мин до 6 ч. Реакционную смесь концентрировали при пониженном давлении с получением неочищенного соединения (5а). Полученное неочищенное соединение (5а) непосредственно применяли на следующей стадии.
[0158]
(Стадия А-4)
Эта стадия представляет собой стадию получения соединения формулы (6а) с применением известной методики из области органической химии для удаления защитной группы для гидроксигруппы из соединения формулы (5а). В случае, когда PRO1 представляет собой 4,4'-диметокситритильную группу, 4,4-диметокситритильную группу удаляли путем обработки соединения (5а) водой и кислотой (например, дихлоруксусной кислотой, трифторуксусной кислотой) в растворителе (например, дихлорметане, хлороформе, дихлорэтане) при температуре от -10°С до температуры кипения растворителя, используемого для реакции, предпочтительно от 15°С до 35°С. На каждый моль соединения (5а) применяли избыточное количество молей, и предпочтительно от 10 до 20 молей воды; и кислоту разбавляли растворителем, используемым в реакции, до концентрации от 1% до 50% (об./об.), и предпочтительно до концентрации от 5% до 10% (об./об.), и применяли избыточное количество молей, и предпочтительно от 5 молей до 15 молей разбавленного раствора. Время реакции составляет от 1 мин до 3 ч, и предпочтительно от 5 мин до 30 мин. К реакционной смеси добавляли пиридин для остановки реакции. Количество пиридина представляло собой количество, при котором кислота может быть в достаточной степени нейтрализована, и предпочтительно применяли от 10 молей до 200 молей пиридина на моль кислоты. Реакционную смесь концентрировали при пониженном давлении с получением неочищенного соединения (6а). Полученное неочищенное соединение (6а) непосредственно применяли на следующей стадии.
[0159]
(Стадия А-5)
Эта стадия представляет собой стадию получения соединения формулы (7а) с применением известной методики из области органической химии для последовательного проведения циклизации и сульфирования соединения формулы (6а). Соединение (6а) растворяли в пиридине и затем концентрировали при пониженном давлении с получением 0,01 M - 0,5 M раствора в пиридине. Циклизацию проводили путем добавления к раствору в пиридине дегидрирующего конденсирующего агента (например, 2-хлор-5,5-диметил-1,3,2λ5-диоксафосфинан-2-она) при температуре от 5°С до 35°С. На каждый моль соединения (6а) применяли от 1 моля до избыточного количества молей, и предпочтительно от 3 молей до 5 молей дегидрирующего конденсирующего агента. Время реакции составляет от 1 мин до 6 ч, и предпочтительно от 5 мин до 1 ч. Затем к реакционной смеси добавляли воду и сульфидирующий агент (например, 3Н-1,2-бензодитиол-3-он, N,N-диметил-N'-(3-сульфанилиден-3Н-1,2,4-дитиазол-5-ил)метанимидамид) для проведения сульфидирования. На каждый моль соединения (6а) применяли избыточное количество молей, и предпочтительно от 30 до 50 молей воды, и применяли от 1 моля до 5 молей, и предпочтительно от 1 моля до 2 молей сульфидирующего агента. Время реакции составляет от 5 мин до 12 ч, и предпочтительно от 30 мин до 3 ч. После того, как реакционную смесь добавляли к водному раствору бикарбоната натрия (от 0,1 M до 1 М), полученную смесь перемешивали в течение 15 мин - 24 ч, и затем реакцию останавливали. Реакционную смесь подвергали экстракции органическим растворителем (этилацетатом, диэтиловым эфиром, толуолом или смесью этих растворителей) от одного до пяти раз. После этого экстракты объединяли и сушили над безводной солью (безводным сульфатом натрия или безводным сульфатом магния). Осушающий агент отфильтровывали, и фильтрат концентрировали при пониженном давлении. Полученный остаток очищали с помощью колоночной хроматографии на силикагеле [например, дихлорметан/метанол, этилацетат/метанол, гексан/этилацетат], колоночной хроматографии на силикагеле С18 [буферный раствор/ацетонитрил] или комбинации этих процедур с получением соединения (7а) в виде смеси двух или более диастереомеров или в виде двух или более чистых диастереомеров. На этой стадии часто получают два диастереомера. Однако в зависимости от исходного вещества (1а) и (4а) могут быть получены один или два дополнительных диастереомера. Даже если полученное соединение (7а) представляет собой смесь нескольких диастереомеров, соединение может быть направлено на следующую стадию без дополнительной очистки.
[0160]
(Стадия А-6)
Эта стадия представляет собой стадию получения соединения формулы (8а) с применением известной методики из области органической химии для одновременного удаления цианоэтильной группы и всех защитных групп на основе ацила из соединения формулы (7а). При необходимости эту стадию проводили в автоклаве или в защищенной пробирке. В случае, когда PRO4 представлял собой бензоильную группу, цианоэтильную и бензоильную группы удаляли путем обработки соединения (7а) 28% (об./об.) водным раствором аммиака в растворителе (метаноле, этаноле, тетрагидрофуране или смеси этих растворителей) при температуре от 5°С до температуры кипения растворителя, используемого в реакции. На каждый моль соединения (7а) применяли избыточное количество молей, и предпочтительно от 300 молей до 3000 молей аммиака. Время реакции составляет от 30 мин до 96 ч, и предпочтительно от 2 ч до 48 ч. Реакционную смесь необязательно концентрировали. Остаток очищали с помощью препаративной ВЭЖХ [например, буферный раствор/ацетонитрил, буферный раствор/метанол], колоночной хроматографии на силикагеле С18 [например, например, буферный раствор/ацетонитрил, буферный раствор/метанол] или комбинации этих процедур с получением соединения (8а). Даже если полученное соединение (8а) представляет собой смесь диастереомеров, соединение может быть направлено на следующую стадию без дополнительной очистки. При этом соединение может быть направлено непосредственно на следующую стадию без очистки на этой стадии.
[0161]
(Стадия А-7)
Эта стадия представляет собой стадию получения соединения формулы (9а) с применением известной методики из области органической химии для одновременного удаления всех защитных групп на основе силила из соединения формулы (8а). В случае, когда PRO2 и PRO3 представляют собой трет-бутилдиметилсилильные группы, трет-бутилдиметилсилильные группы удаляли путем непосредственной обработки соединения (8а) тригидрофторидом триэтиламина при температуре от 5°С до 100°С, предпочтительно от 35°С до 60°С. На каждый моль соединения (8а) применяли избыточное количество молей, и предпочтительно от 100 до 200 молей тригидрофторида триэтиламина. Время реакции составляет от 30 мин до 24 ч, и предпочтительно от 2 ч до 12 ч. Реакционную смесь охлаждали до комнатной температуры. Затем в реакционную смесь постепенно вливали охлажденную до температуры льда смесь 1 M водного раствора бикарбоната триэтиламмония и триэтиламина в отношении от 3:1 до 10:1 (об./об.) для остановки реакции. При необходимости можно вливать реакционную смесь в охлажденную до температуры льда смесь 1 M водного раствора бикарбоната триэтил аммония и триэтиламина. В этом случае реакционный сосуд промывали ацетонитрилом и водой. Триэтиламин следует применять в количестве, достаточном для изменения свойств реакционной смеси на слабоосновные. Предпочтительно на каждый моль тригидрофторида триэтиламина можно применять приблизительно 2 моля триэтиламина. Компонент органического растворителя реакционной смеси отгоняли при пониженном давлении. Остаточный водный раствор подвергали очистке с помощью препаративной ВЭЖХ [например, буферный раствор/ацетонитрил, буферный раствор/метанол], колоночной хроматографии на силикагеле С18 [например, например, буферный раствор/ацетонитрил, буферный раствор/метанол] или комбинации этих процедур с получением соединения (9а) в виде одного диастереомера.
[0162]
(Стадия А-8)
Эта стадия представляет собой стадию получения соединения формулы (1) с применением известной методики из области органической химии для проведения ионного обмена с соединением формулы (9а). Катионообменную смолу (ВТ AG (зарегистрированный товарный знак); смола 50W-X2; 100 - 200 меш; водородного типа) суспендировали в чистой воде и набивали в пустой картридж колонки. Используемое количество катионообменной смолы в 10-50 раз превышало количество соединения (9а) по массе. После того, как избыток чистой воды стекал вниз, самотеком пропускали три объема колонки 1 M водного раствора гидроксида натрия, и затем шесть объемов колонки чистой воды. Соединение (9а) растворяли приблизительно в трех объемах колонки чистой воды и загружали в колонку. Если соединение с трудом растворяется в чистой воде, может быть использована смесь с небольшим количеством органического растворителя (например, ацетонитрила, метанола). Стекающий раствор фракционировали. Затем для элюирования использовали дополнительные шесть объемов колонки чистой воды или тому подобного, и собирали соответствующие фракции. Фракции, содержащие целевой продукт, объединяли и подвергали лиофильной сушке с получением соединения (1) в виде одного диастереомера.
[0163]
Способ А'
Производное ЦДН, представленное (1'), применяемое в конъюгате антитело-лекарственное средство согласно настоящему изобретению, может быть получено в соответствии со способом А', описанным ниже.
[0164]
[Формула 74]
[0165]
Эта схема синтеза представляет собой способ получения соединения, представленного общей формулой (1'), включающий модификацию части способа А. В частности, соединение общей формулы (1') может быть получено путем замены стадии А-5 способа А на стадию А'-5, приведенную ниже. При этом, если каждый из заместителей Rx и Ry представляет собой атом галогена, стадия А-7 может быть пропущена.
[0166]
[Формула 75]
[0167]
(Стадия А'-5)
Эта стадия представляет собой стадию получения соединения формулы (7а') с применением известной методики из области органической химии для последовательного проведения циклизации и окисления соединения формулы (6а'). Соединение (6а') растворяли в пиридине и затем концентрировали при пониженном давлении с получением 0,01 M - 0,5 M раствора в пиридине. Циклизацию проводили путем добавления к раствору в пиридине дегидрирующего конденсирующего агента (например, 2-хлор-5,5-диметил-1,3,2λ5-диоксафосфинан-2-она) при температуре от 5°С до 35°С. На каждый моль соединения (6а') применяли от 1 моля до избыточного количества молей, и предпочтительно от 3 молей до 5 молей дегидрирующего конденсирующего агента. Время реакции составляет от 1 мин до 6 ч, и предпочтительно от 5 мин до 1 ч. Затем проводили окисление путем добавления к реакционной смеси воды и окисляющего агента (например, йода). На каждый моль соединения (6а') применяли от 0 молей до избыточного количества молей, и предпочтительно от 30 молей до 50 молей воды, и применяли от 2 молей до 10 молей, и предпочтительно от 3 молей до 5 молей окисляющего агента. Время реакции составляет от 5 мин до 12 ч, и предпочтительно от 30 мин до 3 ч. После того, как реакционную смесь добавляли к водному раствору бикарбоната натрия (от 0,1 M до 1 М), полученную смесь перемешивали в течение 15 мин - 24 ч, и затем реакцию останавливали. Реакционную смесь подвергали экстракции органическим растворителем (этилацетатом, диэтиловым эфиром, толуолом или смесью этих растворителей) от одного до пяти раз. После этого экстракты объединяли и сушили над безводной солью (безводным сульфатом натрия или безводным сульфатом магния). Осушающий агент отфильтровывали, и фильтрат концентрировали при пониженном давлении. Полученный остаток очищали с помощью колоночной хроматографии на силикагеле [например, дихлорметан/метанол, этилацетат/метанол, гексан/этилацетат], колоночной хроматографии на силикагеле С18 [буферный раствор/ацетонитрил] или комбинации этих 5 процедур с получением соединения (7а')
[0168]
Способ А''
Производное ЦДН, представленное (1''), применяемое в конъюгате антитело-лекарственное средство согласно настоящему изобретению, может 10 быть получено в соответствии со способом А'', описанным ниже.
[0169]
[Формула 76]
[0170]
Эта схема синтеза представляет собой способ получения соединения, представленного общей формулой (1''), включающий модификацию части способа А. В частности, соединение общей формулы (1'') может быть получено путем замены стадии А-3 способа А на стадию А''-3, приведенную ниже. При этом, если каждый из заместителей Rx и Ry представляет собой атом галогена, стадия А-7 может быть пропущена.
[0171]
[Формула 77]
[0172]
(Стадия А''-3)
Эта стадия представляет собой стадию получения соединения формулы (5а'') с применением известной методики из области органической химии для проведения реакции сочетания соединения формулы (3а'') с соединением формулы (4а'') и последующим последовательным окислением полученного продукта сочетания. До начала реакции на этой стадии соединение (4а'') подвергали азеотропной перегонке с применением обезвоженного ацетонитрила от трех до пяти раз. При последней азеотропной перегонке оставляли ацетонитрил с получением раствора в ацетонитриле, содержащего от 0,01 M до 1 M соединения (4а''). К раствору добавляли осушающий агент (молекулярные сита 3А или молекулярные сита 4А в форме порошка или гранул), и полученный раствор хранили в атмосфере азота или аргона до применения. Реакцию сочетания проводили путем добавления содержащего соединение (4а'') раствора в ацетонитриле, который сушили путем азеотропной перегонки, к содержащему соединение (3а'') раствору в ацетонитриле при температуре от 5°С до 35°С. Время реакции составляет от 1 мин до 24 ч, и предпочтительно от 5 мин до 6 ч. Затем проводили окисление путем добавления к реакционной смеси окисляющего агента (например, трет-бутилгидропероксида). На каждый моль соединения (3а'') применяли от 1 моля до 5 молей, и предпочтительно от 2 молей до 3 молей окисляющего агента. Время реакции составляет от 5 мин до 24 ч, и предпочтительно от 30 мин до 6 ч. К реакционной смеси добавляли насыщенный водный раствор тиосульфата натрия, полученную смесь перемешивали в течение 10 мин - 12 ч, и затем реакцию останавливали. Реакционную смесь подвергали экстракции органическим растворителем (например, смешанным растворителем из дихлорметана и метанола) от одного до пяти раз. После этого экстракты объединяли и сушили над безводной солью (безводным сульфатом натрия или безводным сульфатом магния). Осушающий агент отфильтровывали, и реакционную смесь концентрировали при пониженном давлении с получением неочищенного соединения (5а''). Полученное неочищенное соединение (5а'') непосредственно применяли на следующей стадии.
[0173]
Способ А'''
Производное ЦДН, представленное (1'''), применяемое в конъюгате антитело-лекарственное средство согласно настоящему изобретению, может быть получено в соответствии со способом А''', описанным ниже.
[0174]
[Формула 78]
[0175]
Эта схема синтеза представляет собой способ получения соединения, представленного общей формулой (1'''), включающий модификацию части способа А. В частности, соединение общей формулы (1''') может быть получено путем замены стадии А-3 способа А на стадию А''-3 и стадии А-5 способа А на стадию А'-5. При этом, если каждый из заместителей Rx и Ry представляет собой атом галогена, стадия А-7 может быть пропущена.
[0176]
[Формула 79]
[0177]
Способ В: Предшественник дляконъюгирования (конъюгирование гликана).
Предшественник для конъюгирования, представленный (2), применяемый в конъюгате антитело-лекарственное средство согласно настоящему изобретению, может быть получен в соответствии со способом В, описанным ниже.
[0178]
[Формула 80]
[0179]
Эта схема синтеза представляет собой способ получения предшественника для конъюгирования (2) в случае, когда -NH2 в данном положении L1 содержит заместитель.
[0180]
[Формула 81]
[0181]
(Стадия В-1)
Эта стадия представляет собой стадию получения соединения формулы (2b) с применением известной методики из области органической химии для удаления защитной группы из соединения формулы (1b). В случае, когда PRO5 представлял собой трет-бутилоксикарбонильную группу, защитную группу удаляли путем обработки соединения (1b) трифторуксусной кислотой в растворителе (дихлорметане, диоксане, ацетонитриле, этилацетате, тетрагидрофуране или смеси этих растворителей) при температуре от -10°С до температуры кипения растворителя, используемого в реакции, предпочтительно от 15°С до 35°С. На каждый моль соединения (1b) применяли избыточное количество молей, предпочтительно от 20 молей до 50 молей трифторуксусной кислоты. Время реакции составляет от 5 мин до 24 ч, и предпочтительно от 30 мин до 6 ч. Реакционную смесь концентрировали при пониженном давлении, суспендировали в толуоле, и затем повторно концентрировали при пониженном давлении. Данную процедуру повторяли от двух до пяти раз. Добавляли растворитель (диэтиловый эфир, диизопропиловый эфир, гексан, дихлорметан, этилацетат или смесь этих растворителей) для получения суспензии. Затем полученное твердое вещество отфильтровывали с получением неочищенного соединения (2b). Неочищенное соединение (2b) направляли на следующую стадию без дополнительной очистки.
[0182]
(Стадия В-2)
Эта стадия представляет собой стадию получения соединения формулы (4b) с применением известной методики из области органической химии для проведения амидирования соединения формулы (2b) соединением формулы (3b). Амидирование проводили путем приведения соединения (2b) во взаимодействие с основанием (например, триэтиламином, N,N-диизопропилэтиламином) и соединением (3b) в растворителе (например, N,N-диметилформамиде, N-метилпирролидоне, N,N-диметилацетамиде, ацетонитриле) при температуре от 5°С до 35°С. На каждый моль соединения (2b) применяли от 1 до 5 молей основания; и применяли от 0,5 до 1,5 молей соединения (3b). Время реакции составляет от 10 мин до 72 ч, и предпочтительно от 1 ч до 24 ч. Реакционную смесь вливали в двухслойную смесь: органический растворитель (дихлорметан, хлороформ, этилацетат, метанол или смесь этих растворителей) и вода или кислый водный раствор (например, 0,1-1 M соляная кислота, водный раствор лимонной кислоты) и подвергали экстракции органическим растворителем от одного до пяти раз. Полученные экстракты объединяли, промывали солевым раствором и сушили над безводной солью (безводным сульфатом натрия или безводным сульфатом магния). Осушающий агент отфильтровывали, и фильтрат концентрировали при пониженном давлении. Следует отметить, что описанная выше процедура отделения жидкости может быть опущена, и реакционная смесь может быть сконцентрирована, поскольку она находится при пониженном давлении, и направлена на последующую очистку на колонке с силикагелем. Полученный остаток очищали с помощью колоночной хроматографии на силикагеле [например, дихлорметан/метанол, этилацетат/метанол] с получением соединения (4b). При необходимости полученное соединение (4b) может быть растворено в хорошем растворителе (этилацетате, ацетонитриле, дихлорметане, метаноле или смеси этих растворителей); затем может быть добавлен плохой растворитель (например, диэтиловый эфир, диизопропиловый эфир, гексан) для повторного осаждения соединения; и полученное твердое вещество может быть отфильтровано для повышения чистоты.
[0183]
(Стадия В-3)
Эта стадия представляет собой стадию получения соединения формулы (5b) с применением известной методики из области органической химии для проведения этерификации соединения формулы (4b). Этерификацию проводили путем приведения соединения (4b) во взаимодействие с N-гидроксисукцинимидом и конденсирующим агентом (например, 1-этил-3-(3-диметиламинопропил)карбодиимида гидрохлоридом) в растворителе (например, N,N-диметилформамиде, N,N-диметилацетамиде, N-метилпирролидоне, ацетонитриле) при температуре от 5°С до 35°С. На каждый моль соединения (4b) применяли от 1 моля до 3 молей каждого из N-гидроксисукцинимида и конденсирующего агента. Время реакции составляет от 30 мин до 72 ч, и предпочтительно от 2 ч до 24 ч. Реакционную смесь разбавляли органическим растворителем (дихлорметаном, хлороформом, этилацетатом или смесью этих растворителей) и промывали ледяной водой от трех до пяти раз. Полученный органический слой сушили над безводной солью (безводным сульфатом натрия или безводным сульфатом магния). Осушающий агент отфильтровывали, и фильтрат концентрировали при пониженном давлении с получением неочищенного соединения (5b). При необходимости полученное соединение (5b) может быть очищено с помощью колоночной хроматографии на силикагеле С18 [только ацетонитрил]. Также полученное соединение (5b) может быть растворено в хорошем растворителе (этилацетате, ацетонитриле, дихлорметане или смеси этих растворителей); затем может быть добавлен плохой растворитель (например, диэтиловый эфир, диизопропиловый эфир, гексан) для повторного осаждения соединения; и полученное твердое вещество может быть отфильтровано для повышения чистоты.
[0184]
(Стадия В-4)
Эта стадия представляет собой стадию получения соединения формулы (2) с применением известной методики из области органической химии для проведения конденсации соединения формулы (5b) с соединением формулы (6b). Конденсацию проводили путем приведения соединения (6b) во взаимодействие с основанием (например, триэтиламином, N,N-диизопропилэтиламином) и соединением (5b) в растворителе (например, N,N-диметилформамиде, N,N-диметилацетамиде, N-метилпирролидоне, ацетонитриле) при температуре от -10°С до 100°С, предпочтительно от 15°С до 35°С. На каждый моль соединения (6b) применяли от 2 молей до 5 молей основания; и применяли от 1 моля до 2 молей соединения (5b). Время реакции составляет от 5 мин до 24 ч, и предпочтительно от 1 ч до 6 ч. К реакционной смеси добавляли бензиламин, чтобы остановить реакцию. На каждый моль соединения (6b) применяли от 4 молей до 10 молей бензиламина. При необходимости реакционную смесь частично концентрировали при пониженном давлении. Остаточный раствор подвергали очистке с помощью препаративной ВЭЖХ [например, буферный раствор/ацетонитрил, буферный раствор/метанол], колоночной хроматографии на силикагеле С18 [например, например, буферный раствор/ацетонитрил, буферный раствор/метанол] или комбинации этих процедур с получением соединения (2).
[0185]
Способ В': Предшественник конъюгирования (конъюгирование через цистеин).
Предшественник для конъюгирования, представленный (2'), применяемый в конъюгате антитело-лекарственное средство согласно настоящему изобретению, может быть получен в соответствии со способом В', описанным ниже.
[0186]
[Формула 82]
[0187]
Эта схема синтеза представляет собой способ получения предшественника для конъюгирования (2') в случае, когда -NH2 в данном положении L1 содержит заместитель.
[0188]
[Формула 83]
[0189]
(Стадия В-5)
Эта стадия представляет собой стадию получения соединения формулы (8b) с применением известной методики из области органической химии для проведения амидирования соединения формулы (2b') соединением формулы (7b). Соединение (8b) получали в соответствии с процедурой, описанной на стадии В-2 способа В, с тем отличием, что не использовали основание.
[0190]
(Стадия В-6)
Эта стадия представляет собой стадию получения соединения формулы (9b) с применением известной методики из области органической химии для удаления защитной группы из соединения формулы (8b). В случае, когда PRO6 представляет собой трет-бутильную группу, соединение (9b) получали в соответствии с процедурой, описанной на стадии В-1 способа В, с тем отличием, что для очистки использовали колоночную хроматографию на силикагеле [дихлорметан/метанол].
[0191]
(Стадия В-7)
Эта стадия представляет собой стадию получения соединения формулы (10b) с применением известной методики из области органической химии для проведения этерификации соединения формулы (9b). Соединение (10b) получали в соответствии с процедурой, описанной на стадии В-3 способа В.
[0192]
(Стадия В-8)
Эта стадия представляет собой стадию получения соединения формулы (2') с применением известной методики из области органической химии для проведения конденсации соединения формулы (6b) с соединением формулы (10b). Соединение (2') получали в соответствии с процедурой, описанной на стадии В-4 способа В.
[0193]
Способ С
Предшественник для конъюгирования, представленный (3), применяемый в конъюгате антитело-лекарственное средство согласно настоящему изобретению, может быть получен в соответствии со способом С, описанным ниже.
[0194]
[Формула 84]
[0195]
Эта схема синтеза представляет собой способ получения предшественника для конъюгирования (3) в случае, когда гидроксигруппа в данном положении L1 содержит заместитель.
[0196]
[Формула 85]
[0197]
(Стадия C-1)
Эта стадия представляет собой стадию получения соединения формулы (3с) с применением известной методики из области органической химии для проведения амидирования соединения формулы (1с) соединением формулы (2с). Соединение (3с) получали в соответствии с процедурой, описанной на стадии В-2 способа В.
[0198]
(Стадия С-2)
Эта стадия представляет собой стадию получения соединения формулы (4с) с применением известной методики из области органической химии для проведения этерификации соединения формулы (3с). Соединение (4с) получали в соответствии с процедурой, описанной на стадии В-3 способа В.
[0199]
(Стадия С-3)
Эта стадия представляет собой стадию получения соединения формулы (7с) с применением известной методики из области органической химии для проведения реакции сочетания (аминометиленирования) соединения формулы (5с) с соединением формулы (6с) и последующим последовательным снятием защиты с полученного продукта сочетания. В случае, когда PRO9 представлял собой 9-флуоренилметилоксикарбонильную группу, аминометиленирование проводили путем приведения соединения (5с) во взаимодействие с соединением (6с) и кислотой (например, п-толуолсульфоновой кислотой) в тетрагидрофуране при температуре от 5°С до 35°С. На каждый моль соединения (5с) применяли от 1 моля до 20 молей, и предпочтительно от 2 молей до 10 молей соединения (6с), и применяли от 0,05 моля до избыточного количества молей, и предпочтительно от 0,1 моля до 3 молей кислоты. Время реакции составляет от 30 мин до 72 ч, и предпочтительно от 2 ч до 24 ч. Затем к реакционной смеси добавляли основание (например, 1,8-диазабицикло[5.4.0]-7-ундецен), и таким образом проводили снятие защиты. В случае суспендирования реакционной смеси может быть добавлен растворитель (например, N,N-диметилформамид) и при необходимости выполнено растворение, после чего может быть проведена реакция. На каждый моль соединения (5с) применяли избыточное количество молей, предпочтительно от 5 молей до 20 молей основания. Время реакции составляет от 10 мин до 24 ч, и предпочтительно от 2 ч до 12 ч. К реакционной смеси добавляли воду, и полученную смесь непосредственно подвергали очистке с помощью колоночной хроматографии на силикагеле С18 [например, буферный раствор/ацетонитрил] с получением соединения (7с).
[0200]
(Стадия С-4)
Эта стадия представляет собой стадию получения соединения формулы (8с) с применением известной методики из области органической химии для удаления защитной группы из соединения формулы (7с). В случае, когда каждый из PRO7 и PRO8 представляет собой трет-бутилдиметилсилильную группу, соединение (8с) получают в соответствии с процедурой, описанной на стадии А-7 способа А.
[0201]
(Стадия С-5)
Эта стадия представляет собой стадию получения соединения формулы (3) с применением известной методики из области органической химии для проведения конденсации соединения формулы (8с) с соединением формулы (4с). Соединение (3) получали в соответствии с процедурой, описанной на стадии В-4 способа В.
[0202]
Способ С
Предшественник для конъюгирования, представленный (3'), применяемый в конъюгате антитело-лекарственное средство согласно настоящему изобретению, может быть получен в соответствии со способом С, описанным ниже.
[0203]
[Формула 86]
[0204]
Эта схема синтеза представляет собой способ получения предшественника для конъюгирования (3') в случае, когда гидроксигруппа данном положении L1 содержит заместитель.
[0205]
[Формула 87]
[0206]
(Стадия C'-1)
Эта стадия представляет собой стадию получения соединения формулы (2с') с применением известной методики из области органической химии для последовательного проведения гидролиза соединения формулы (1с') и удаления цианоэтильной группы. Соединение (2с') получали в соответствии с процедурой, описанной на стадии А-1 способа А.
[0207]
(Стадия С'-2)
Эта стадия представляет собой стадию получения соединения формулы (3с') с применением известной методики из области органической химии для удаления защитной группы для гидроксигруппы из соединения формулы (2с'). Соединение (3с') получали в соответствии с процедурой, описанной на стадии А-2 способа А.
[0208]
(Стадия С'-3)
Эта стадия представляет собой стадию получения соединения формулы (5с') с применением известной методики из области органической химии для проведения реакции сочетания соединения формулы (3с') с соединением формулы (4с') и последующим последовательным сульфидированием или окислением полученного продукта сочетания. Соединение (5с') получали в соответствии с процедурой, описанной на стадии А-3 способа А или стадии А''-3 способа А''.
[0209]
(Стадия С'-4)
Эта стадия представляет собой стадию получения соединения формулы (6с') с применением известной методики из области органической химии для удаления защитной группы для гидроксигруппы из соединения формулы (5с'). Соединение (6с') получали в соответствии с процедурой, описанной на стадии А-4 способа А.
[0210]
(Стадия С'-5)
Эта стадия представляет собой стадию получения соединения формулы (7с') с применением известной методики из области органической химии для последовательного проведения циклизации и сульфирования или окисления соединения формулы (6с'). Соединение (7с') получали в соответствии с процедурой, описанной на стадии А-5 способа А или стадии А'-5 способа А'.
[0211]
(Стадия С'-6)
Эта стадия представляет собой стадию получения соединения формулы (8с') с применением известной методики из области органической химии для одновременного удаления цианоэтильной группы и всех защитных групп на основе ацила из соединения формулы (7с'). Соединение (8с') получали в соответствии с процедурой, описанной на стадии А-6 способа А.
[0212]
(Стадия С'-7)
Эта стадия представляет собой стадию получения соединения формулы (9с') с применением известной методики из области органической химии для одновременного удаления всех защитных групп на основе силила из соединения формулы (8с'). В случае, когда PRO9 представлял собой 2-(триметилсилил)этоксикарбонильную группу, 2-(триметилсилил)этоксикарбонильную группу удаляли путем обработки соединения (8с') раствором фторида тетрабутиламмония в тетрагидрофуране при температуре от 5°С до 100°С, предпочтительно от 35°С до 60°С. На каждый моль соединения (8с') применяли избыточное количество молей, и предпочтительно от 10 до 30 молей фторида тетрабутиламмония. Время реакции составляет от 1 ч до 48 ч, и предпочтительно от 4 ч до 24 ч. Реакционную смесь разбавляли буферным раствором, и затем при необходимости компонент органического растворителя отгоняли при пониженном давлении. Остаток очищали с помощью препаративной ВЭЖХ [например, буферный раствор/ацетонитрил, буферный раствор/метанол], колоночной хроматографии на силикагеле С18 [например, например, буферный раствор/ацетонитрил, буферный раствор/метанол] или комбинации этих процедур с получением соединения (9с').
[0213]
(Стадия С'-8)
Эта стадия представляет собой стадию получения соединения формулы (3') с применением известной методики из области органической химии для проведения конденсации соединения формулы (9с') с соединением формулы (4с). Соединение (3') получали в соответствии с процедурой, описанной на стадии В-4 способа В.
[0214]
Способ D: Получение антитела с ремоделированным гликаном
Антитело с ремоделированным гликаном может быть получено
способом, проиллюстрированным на следующей схеме, в соответствии с процедурой, описанной, например, в WO 2018/003983.
[0215]
[Формула 88]
[0216]
(Стадия D-1)
Эта стадия представляет собой стадию получения антитела с расщепленным гликаном с применением известной ферментативной реакции с целью гидролиза и расщепления гликозидной связи между GlcNAβ1-4GlcNAc структуры хитобиозы на восстанавливающем конце N-связанного гликана (N297-связанного гликана), присоединенного к аспарагину в положении 297 аминокислотной последовательности антитела. Реакцию гидролиза гликозидной связи между GlcNAβ1 и 4GlcNAc на восстанавливающем конце структуры хитобиозы желаемого антитела (1d) (10 мг/мл) проводили с применением гидролазы, такой как фермент EndoS дикого типа, в буферном растворе (например, фосфатном буфере) при температуре от 0°С до 40°С. Время реакции составляет от 10 мин до 72 ч, и предпочтительно от 1 ч до 6 ч. Используемое количество фермента EndoS дикого типа составляло от 0,1 мг до 10 мг, и предпочтительно от 0,1 мг до 3 мг на 100 мг антитела (1d). После завершения реакции антитело очищали с помощью аффинной хроматографии (HiTrap rProtein A FF (5 мл) (производства GE Healthcare)) и/или колонки с гидроксиапатитом (картридж Bio-Scale Mini СНТ Type I (5 мл) (производства BIO-RAD)) с получением (Fucα1,6)GlcNAc-антитела (2d).
[0217]
(Стадия D-2)
Эта стадия представляет собой стадию получения антитела с ремоделированным гликаном (3d) путем применения известной ферментативной реакции с целью соединения (Fucα1,6)GlcNAc-антитела (2d), полученного на стадии D-1, с оксазолиновым фрагментом гликана SG-типа или MSG (MSG1, MSG2)-типа, содержащим ПЭГ-линкер, содержащий азидную группу (здесь и далее назван «азидо-гликановым оксазолиновым фрагментом»).
[0218]
Реакцию трансглюкозилирования проводили путем приведения антитела (2d) во взаимодействие с азидо-гликановым оксазолиновым фрагментом в присутствии гликозилтрансферазы (например, EndoS (D233Q/Q303L)) в буферном растворе (например, фосфатном буфере) при температуре от 0°С до 40°С. Время реакции составляет от 10 мин до 72 ч, и предпочтительно от 1 ч до 6 ч. Применяемое количество фермента EndoS (D233Q/Q303L) составляло от 1 мг до 10 мг, и предпочтительно от 1 мг до 3 мг на 100 мг антитела; и применяли от 2 эквивалентов до избыточного количества эквивалентов, и предпочтительно от 4 эквивалентов до 20 эквивалентов азидо-гликанового оксазолинового фрагмента. После завершения реакции антитело очищали с помощью аффинной хроматографии (HiTrap rProtein A FF (5 мл) (производства GE Healthcare)) и колонки с гидроксиапатитом (картридж Bio-Scale Mini СНТ Type I (5 мл) (производства BIO-RAD)) с получением антитела с ремоделированным гликаном (3d).
[0219]
В описанном выше получении антитела с ремоделированным гликаном концентрирование водного раствора антитела, определение концентрации и замена буфера могут быть осуществлены в соответствии со следующими общими операциями А-С.
[0220]
Следует отметить, что азидо-гликановый оксазолиновый фрагмент SG-типа синтезировали в соответствии с процедурой, описанной в WO 2018/003983. В качестве примера, способ синтеза [N3-PEG(3)]2-SG(10)-Ox (соединения 1-10, описанные в WO 2018/003983) представлен на следующей схеме.
[0221]
[Формула 89]
[0222]
Азидо-гликановый оксазолиновый фрагмент MSG-типа также синтезировали в соответствии с процедурой, описанной в WO 2018/003983. В качестве примера, способ синтеза [N3-PEG(3)]2-MSG1(9)-Ox (соединения 1-11, описанные в WO 2018/003983) представлен на следующей схеме.
[0223]
[Формула 90]
Способ Е: Конъюгирование антитела и лекарственного средства (конъюгирование через гликан 1).
[0224]
[Формула 91]
При этом две звездочки (*) с левой стороны конъюгата антитело-лекарственное средство (1е) обозначают фрагмент лекарственное средство-линкер, обозначенный звездочкой с правой стороны.
Эта схема синтеза представляет собой способ получения конъюгата антитело-лекарственное средство (1е) с применением реакции SPAAC (облегченное напряжением азид-алкиновое циклоприсоединение, J. Am. Chem. Soc. 2004, 126, 15046-15047) для конъюгирования антитела с ремоделированным гликаном (3d), полученного на стадии D-2 способа D, с предшественником для конъюгирования (2), полученным на стадии В-4 способа В.
[0225]
(Стадия Е-1)
Реакцию SPAAC проводили путем смешивания буферного раствора, содержащего антитело с ремоделированным гликаном (3d) (например, фосфатного буфера, ацетатного буфера, боратного буфера), с раствором, в котором предшественник для конъюгирования (2) растворен в подходящем растворителе (диметилсульфоксиде, N,N-диметилформамиде, N,N-диметилацетамиде, N-метилпирролидоне, пропиленгликоле или смеси этих растворителей). На каждый моль антитела с ремоделированным гликаном (3d) применяют от 2 молей до избыточного количества молей, и предпочтительно от 4 молей до 30 молей предшественника для конъюгирования (2); и процентное содержание органического растворителя предпочтительно составляет от 1% до 200% (об./об.) в расчете на буферный раствор антитела. Температура реакции составляет от 0°С до 37°С, и предпочтительно от 15°С до 25°С. Время реакции составляет от 1 ч до 150 ч, и предпочтительно от 6 ч до 72 ч. рН реакционной смеси предпочтительно составляет от 5 до 9. Реакционную смесь подвергали очистке способом, описанным в общей операции D, с получением конъюгата антитело-лекарственное средство (1е).
[0226]
Способ Е': Конъюгирование антитела и лекарственного средства (конъюгирование через цистеин).
Конъюгат антитело-лекарственное средство с конъюгированием через цистеин согласно настоящему изобретению может быть получен в соответствии с процедурой, описанной, например, в WO 2014/057687, с применением желаемого антитела, полученного, например, в соответствии со справочным примером 3, и предшественника для конъюгирования (2'), содержащего малеимидную группу, полученного на стадии В-8 способа В'.
[0227]
Способ E'': Конъюгирование антитела и лекарственного средства (конъюгирование через гликан 2).
В способе E предшественник для конъюгирования (2) заменяли на предшественник для конъюгирования (3'), полученный на стадии С'-8 способа С', с получением конъюгата антитело-лекарственное средство (1е''), представленного следующей формулой:
[0228]
[Формула 92]
при этом две звездочки (*1) с левой стороны конъюгата антитело-лекарственное средство (1е'') обозначают фрагмент лекарственное средство-линкер, обозначенный звездочкой с правой стороны.
[0229]
Согласно описанным далее общими операциям D-G, конъюгаты антитело-лекарственное средство можно отличить друг от друга путем замены буфера, очистки, определения концентрации антитела и определения среднего количества молекул лекарственного средства, конъюгированных с молекулой антитела.
[0230]
Общая операция А: Концентрирование водного раствора антитела
Раствор антитела или конъюгата антитело-лекарственное средство помещали в ультрацентрифужное фильтрующее устройство Amicon (зарегистрированный товарный знак) (предел отсечения по молекулярной массе (NMWL) 50000, Merck Millipore, Ltd.) и центрифугировали (при 2000 g -4000 g в течение 5-20 минут) с использованием центрифуги (Allegra X-15R, Beckman Coulter, Inc.). Таким образом концентрировали раствор антитела или конъюгата антитело-лекарственное средство.
[0231]
Общая операция В. Определение концентрации антитела Концентрацию антитела определяли с помощью УФ-спектрофотометра (Nanodrop 1000, Thermo Fisher Scientific, Inc.) в соответствии со способом, рекомендованным производителем. При этом коэффициенты поглощения при 280 нм (от 1,3 млмг-1 см-1 до 1,8 млмг-1 см-1) для каждого антитела отличались.
[0232]
Общая операция С. Замена буфера для антитела
К водному раствору антитела добавляли буферный раствор (например, фосфатно-солевой буфер (рН 6,0), фосфатный буфер (рН 6,0)), и полученный раствор концентрировали в соответствии со способом, описанным в общей операции А. Эту операцию повторяли несколько раз, и затем определяли концентрацию антитела в соответствии со способом, описанным в общей операции В. При необходимости к буферному раствору антитела добавляли буферный раствор (например, фосфатно-солевой буфер (рН 6,0), фосфатный буфер (рН 6,0)) с получением буферного раствора антитела с желаемой концентрацией (например, приблизительно 10 мг/мл).
[0233]
Общая операция D: Очистка конъюгата антитело-лекарственное средство (гель-фильтрационная хроматография).
Каждую колонку NAP (NAP-5, NAP-10 или NAP-25 (производства GE Healthcare)) уравновешивали ацетатным буфером (10 мМ ацетатный буфер, 5% сорбита, рН 5,5; называемый в настоящей заявке АБС) или другим подходящим буферным раствором. Реакционную смесь конъюгата антитело-лекарственное средство загружали в эту колонку NAP. Самотеком пропускали буферный раствор в объеме, рекомендованном производителем. Затем собирали содержащие антитело фракции. Фракции загружали в колонку NAP. Затем самотеком пропускали буферный раствор в объеме, рекомендованном производителем, и затем собирали содержащие антитело фракции. Путем повторения этой операции в общей сложности 2-3 раза получали конъюгат антитело-лекарственное средство, из которого были удалены несвязанный фрагмент лекарственное средство-линкер, диметилсульфоксид и пропиленгликоль. При необходимости концентрацию раствора конъюгата антитело-лекарственное средство корректировали с помощью общих операций А и С.
[0234]
Общая операция Е: Определение концентрации антитела и среднего количества молекул лекарственного средства, конъюгированных с молекулой антитела, в конъюгате антитело-лекарственное средство (способ с определением поглощения УФ).
Концентрация конъюгированного лекарственного средства в конъюгате антитело-лекарственное средство может быть рассчитана с применением спектрофотометра (спектрометр УФ и видимой областей спектра Lambda 25, PerkinElmer, Inc.) для определения поглощения водного раствора конъюгата антитело-лекарственное средство при двух длинах волн, 280 нм и 250 нм, и последующего расчета. Суммарное поглощение при определенной длине волны равно сумме каждого поглощения всех поглощающих химических соединений (каждое поглощение может быть добавлено). Таким образом, предполагается, что не происходит изменения молярных коэффициентов экстинкции антитела и лекарственного средства после конъюгирования антитела и лекарственного средства по сравнению с коэффициентами до конъюгирования. В этом случае концентрация антитела или концентрация лекарственного средства в конъюгате антитело-лекарственное средство может быть рассчитана с помощью следующих выражений:
А280=AD,280+АА,280=εD,280CD+εA, 280СА Выражение(1); и
А250=AD,250+АА,250=εD,250CD+εА,250СА Выражение (II).
При этом А280 представляет собой поглощение водного раствора конъюгата антитело-лекарственное средство при 280 нм; А250 представляет собой поглощение водного раствора конъюгата антитело-лекарственное средство при 250 нм; АА,280 представляет собой поглощение антитела при 280 нм; АА,250 представляет собой поглощение антитела при 250 нм; AD,280 представляет собой поглощение предшественника конъюгата при 280 нм; AD,250 представляет собой поглощение предшественника конъюгата при 250 нм; εA,280 представляет собой молярный коэффициент экстинкции антитела при 280 нм; εA,250 представляет собой молярный коэффициент экстинкции антитела при 250 нм; εD,280 представляет собой молярные коэффициенты экстинкции предшественника конъюгата при 280 нм; εD,250 представляет собой молярные коэффициенты экстинкции предшественника конъюгата при 250 нм; СА представляет собой концентрацию антитела в конъюгате антитело-лекарственное средство; и CD представляет собой концентрацию лекарственного средства в конъюгате антитело-лекарственное средство. При этом для каждого из εA,280, εA,250, εD,280 и εD,250 используют заранее полученные значения (показатели, полученные на основании расчета или определения значения). Например, εA,280 может быть определен на основании аминокислотной последовательности антитела с применением известного способа расчета (Protein Science, 1995, vol. 4, 2411-2423). Используемое значение εA,250 рассчитывали на основании значений, полученных в результате определения поглощения антитела в УФ, и значения, рассчитанного для εA,280. В примерах молярные коэффициенты экстинкции антитела 1 к TROP2 составляли εA,280=223400 и εA,250=63482. Молярные коэффициенты экстинкции антитела 2 к TROP2 составляли εA,280=223400 и εA,250=69027 или 71411. Молярные коэффициенты экстинкции антитела 1 к CD70 составляли εA,280=226380 и εA,250=73432. Молярные коэффициенты экстинкции антитела 2 к CD70 составляли εA,280=212400 и εA,250=72355. Молярные коэффициенты экстинкции антитела 1 к EGFR составляли εA,280=203460 и εA,250=62692. Молярные коэффициенты экстинкции антитела 2 к EGFR составляли εA,280=217440 и εA,250=75731. При этом εD,280 и εD,250 получают путем определения поглощения раствора, в котором предшественник конъюгата растворен с обеспечением определенной молярной концентрации, и применения закона Ламберта-Бера (поглощение = молярная концентрация × молярный коэффициент экстинкции × длина оптического пути в ячейке). В примерах молярные коэффициенты экстинкции предшественника конъюгата были получены с помощью определения поглощения в УФ в каждом конкретном случае. Можно определить А280 и А250 водного раствора конъюгата антитело-лекарственное средство; эти значения можно подставить в выражения (I) и (II), чтобы решить указанную систему выражений; и, таким образом, можно рассчитать СА и CD. Кроме того, путем деления CD на СА можно рассчитать среднее количество молекул лекарственного средства, конъюгированных с молекулой антитела.
[0235]
Общая операция F. Определение концентрации антитела и среднего количества молекул лекарственного средства, конъюгированных с молекулой антитела в конъюгате антитело-лекарственное средство (метод обращенно-фазовой высокоэффективной жидкостной хроматографии: ОФ-ВЭЖХ)
Концентрация антитела и среднее количество молекул лекарственного средства, конъюгированных с молекулой антитела в конъюгате антитело-лекарственное средство, могут быть рассчитаны с помощью описанной выше общей операции Е, а также анализа методом высокоэффективной жидкостной хроматографии с применением следующих способов.
[0236]
[F-1. Подготовка образцов для анализа ВЭЖХ (Восстановление конъюгата антитело-лекарственное средство)
Раствор конъюгата антитело-лекарственное средство (приблизительно 1 мг/мл; 60 μл) смешивали с водным раствором дитиотреитола (ДТТ) (100 мМ; 15 μл). Полученную смесь инкубировали при 37°С в течение 30 мин для расщепления каждой дисульфидной связи между L и H цепями конъюгата антитело-лекарственное средство. Реакционную смесь непосредственно использовали для анализа ВЭЖХ.
[0237]
[F-2. Анализ ВЭЖХ]
Типичные условия анализа описаны далее.
Система ВЭЖХ: Agilent 1290 HPLC system (Agilent Technologies)
Детектор: УФ-спектрофотометр (длина волны измерения: 280 нм)
Колонка: Acquity ВЕН Phenyl (2,1 × 50 мм, 1,7 μм; производства Waters)
Температура колонки: 75°С
Скорость потока: 0,8 мл/мин
Вводимый объем образца: 10 μл
Подвижная фаза А: 0,1% трифторуксусная кислота (ТФУ), 15% раствор изопропилового спирта
Подвижная фаза В: 0,075% ТФУ, 15% раствор изопропилового спирта в ацетонитриле
Программа градиента (подвижная фаза В): 14%-36% (0 мин-15 мин), 36%-80% (15-17 мин), 80%-14% (17 мин-17,1 мин), 14%-14% (17,1 мин-23 мин)
[0238]
[F-3. Анализ результатов]
[F-3-1] В случае конъюгирования через гликан в реакции SPAAC конъюгированная с лекарственным средством Н-цепь (H-цепь, содержащая одну конъюгированную молекулу лекарственного средства: H1, Н-цепь, содержащая две конъюгированных молекулы лекарственного средства: Н2) является более гидрофобной, чем не содержащие молекул лекарственного средства L-цепь (L0) и Н-цепь (Н0) антитела. Гидрофобность возрастает пропорционально количеству конъюгированных молекул лекарственного средства, и соответственно увеличивается время удерживания. Соответственно, по существу L0, Н0, H1 и Н2 элюируются в указанном порядке. Путем сравнения с временем удерживания L0 и Н0 можно отнести пик обнаружения к любой из L0, Н0, H1 и Н2. В случае конъюгирования через цистеин конъюгированная с лекарственным средством L-цепь (L-цепь, содержащая одну конъюгированную молекулу лекарственного средства: L1) и конъюгированная с лекарственным средством Н-цепь (Н-цепь, содержащая одну конъюгированную молекулу лекарственного средства: H1, Н-цепь, содержащая две конъюгированных молекулы лекарственного средства: Н2, Н-цепь, содержащая три конъюгированных молекулы лекарственного средства: Н3) являются более гидрофобными пропорционально количеству конъюгированных молекул лекарственного средства. Кроме того, увеличивается время удерживания. Соответственно, по существу L0, L1, Н0, H1, Н2 и Н3 элюируются в указанном порядке. Путем сравнения с временем удерживания L0 и Н0 пик обнаружения можно отнести к любой из L0, L1, Н0, Н1, Н2 и Н3.
[0239]
[F-3-2] В случае конъюгирования через гликан в реакции SPAAC площадь пика корректировали в соответствии со следующим выражением, при этом использовали молярные коэффициенты экстинкции H-цепи и фрагмента лекарственное средство-линкер в соответствии с количеством конъюгированных фрагментов лекарственное средство-линкер, поскольку каждый фрагмент лекарственное средство-линкер поглощает УФ-излучение. В случае конъюгирования через цистеин, когда лекарственное средство также конъюгировано с L-цепью, таким же образом корректировали площадь пика для L-цепи.
[0240]
[Выражение 1]
[0241]
При этом для молярных коэффициентов экстинкции (280 нм) L-цепи и H-цепи в каждом антителе использовали значения, полученные с помощью известного способа расчета, описанного в общей операции Е. В случае антитела 1 к TROP2 или антитела 2 к TROP2 в качестве молярного коэффициента экстинкции L-цепи использовали 27702, и в качестве молярного коэффициента экстинкции H-цепи использовали 83998. В случае антитела 1 к CD70 в качестве молярного коэффициента экстинкции L-цепи использовали 30222, и в качестве молярного коэффициента экстинкции H-цепи использовали 82968. В случае антитела 2 к CD70 в качестве молярного коэффициента экстинкции L-цепи использовали 30222, и в качестве молярного коэффициента экстинкции H-цепи использовали 75978. В случае антитела 1 к EGFR в качестве молярного коэффициента экстинкции L-цепи использовали 23232, и в качестве молярного коэффициента экстинкции H-цепи использовали 78498. В случае антитела 2 к EGFR в качестве молярного коэффициента экстинкции L-цепи использовали 30222, и в качестве молярного коэффициента экстинкции H-цепи использовали 78498. В случае конъюгирования через гликан в реакции SPAAC молярный коэффициент экстинкции (при 280 нм) фрагмента лекарственное средство-линкер представлял собой значение, определенное для предшественника для конъюгирования. В случае конъюгирования через цистеин предшественник для конъюгирования приводили во взаимодействие с меркаптоэтанолом или N-ацетилцистеином, и использовали значение, определенное для соединения, в котором малеимидная группа была превращена в тиоэфир сукцинимида.
[0242]
[F-3-3] Отношение площади пика (%) для каждой цепи к сумме скорректированных площадей пиков рассчитывали в соответствии со следующим выражением.
[0243]
[Выражение 2]
[0244]
[F-3-4] Среднее количество молекул лекарственного средства, конъюгированных с молекулой антитела в конъюгате антитело-лекарственное средство (DAR), рассчитывали в соответствии со следующим выражением.
[0245]
[Выражение 3]
[0246]
[F-3-5] Концентрацию антитела в конъюгате антитело-лекарственное средство рассчитывали в соответствии со следующим выражением.
[0247]
[Выражение 4]
[0248]
При этом для поглощения (280 нм) конъюгата антитело-лекарственное средство использовали значения, полученные для водного раствора конъюгата антитело-лекарственное средство. Коэффициент разведения указывает, во сколько раз разбавляли водный раствор конъюгата антитело-лекарственное средство для определения оптической плотности, и обычно составляет 4. Для молярного коэффициента экстинкции (280 нм) антитела использовали значения, полученные с помощью известного способа расчета, описанного в общей операции Е. Для расчета среднего количества конъюгированных молекул лекарственного средства использовали значения, полученные в [F-3-4]. В случае конъюгирования через гликан в реакции SPAAC для молярного коэффициента экстинкции (280 нм) фрагмента лекарственное средство-линкер использовали значения, определенные для предшественника для конъюгирования. В случае конъюгирования через цистеин предшественник для конъюгирования приводили во взаимодействие с меркаптоэтанолом или N-ацетилцистеином, и использовали значение, определенное для соединения, в котором малеимидная группа была превращена в тиоэфир сукцинимида.
[0249]
Общая операция G: Определение концентрации антитела и среднего количества молекул лекарственного средства, конъюгированных с молекулой антитела в конъюгате антитело-лекарственное средство (метод высокоэффективной жидкостной хроматографии с гидрофобным взаимодействием: HI-ВЭЖХ).
Концентрация антитела и среднее количество молекул лекарственного средства, конъюгированных с молекулой антитела в конъюгате антитело-лекарственное средство, могут быть рассчитаны с помощью описанных выше общих операций E и F, а также анализа методом высокоэффективной жидкостной хроматографии с применением следующих способов.
[0250]
[G-1. Получение образцов для анализа ВЭЖХ]
Раствор конъюгата антитело-лекарственное средство (приблизительно 1 мг/мл, 60 μл) непосредственно использовали в анализе ВЭЖХ.
[0251]
[G-2. Анализ ВЭЖХ]
Типичными условиями анализа являются следующие два различных набора условий.
Система ВЭЖХ: SHIMADZU СВМ-20А (Shimadzu Corporation)
Детектор: УФ-спектрофотометр (длина волны измерения: 280 нм)
Колонка: TSK-gel Butyl-NPR (4,6 × 100 мм, 2,5 μм; производства TOSOH)
Температура колонки: постоянная температура, равная или приблизительно равная 25°С
Подвижная фаза А: 25 мМ фосфатный буферный раствор, содержащий 1,5 M сульфата аммония (рН=7,0)
Подвижная фаза В: смесь 25 мМ фосфатного буферного раствора (рН=7,0)/изопропилового спирта (3:1)
Скорость потока: 0,8 мл/мин
Вводимый объем образца: 15 μл
Программа градиента (подвижная фаза В): 10%-15% (0 мин-5 мин), 15%-65% (5 мин-20 мин)
или
Система ВЭЖХ: SHIMADZU СВМ-20А (Shimadzu Corporation)
Детектор: УФ-спектрофотометр (длина волны измерения: 280 нм)
Колонка: PolyPROPYL А (4,6 × 100 мм, 3 μм, 1500 Å; производства PolyLC)
Температура колонки: постоянная температура, равная или приблизительно равная 40°С
Подвижная фаза А: 20 мМ фосфатный буферный раствор, содержащий 1,5 M сульфата аммония (рН=7,4)
Подвижная фаза В: 20 мМ фосфатный буферный раствор (рН=7,4)
Скорость потока: 0,8 мл/мин
Вводимый объем образца: 15 μл
Программа градиента (подвижная фаза В): 40%-80% (0 мин-20 мин)
[G-3. Анализ результатов]
[G-3-1] Гидрофобность возрастает пропорционально количеству молекул лекарственного средства, конъюгированных с антителом, и соответственно увеличивается время удерживания. Таким образом, в случае конъюгирования через гликан в реакции SPAAC по существу DAR=0, DAR=2 и DAR=4 элюируются в указанном порядке. Путем сравнения с временем удерживания DAR=0 можно отнести пик детектирования либо к DAR=2, либо к DAR=4. В зависимости от вида антитела и фрагмента лекарственное средство-линкер также может быть обнаружен пик, относящийся к DAR=1 или DAR=3. Значение DAR для пика детектирования может быть оценено путем определения масс-спектра после фракционирования пика методом HI-ВЭЖХ.
[0253]
[G-3-2] Площадь пика корректировали в соответствии со следующим выражением, при этом использовали молярные коэффициенты экстинкции антитела и фрагмента лекарственное средство-линкер в соответствии с количеством конъюгированных фрагментов лекарственное средство-линкер, поскольку каждый фрагмент лекарственное средство-линкер поглощает УФ-излучение.
[0254]
[Выражение 5]
[0255]
При этом для молярного коэффициента экстинкции (280 нм) антитела использовали значения, полученные с помощью известного способа расчета, описанного в общей операции Е. Для молярного коэффициента экстинкции (280 нм) фрагмента лекарственное средство-линкер использовали значения, определенные для предшественника для конъюгирования.
[0256]
[G-3-3] Отношение площади пика (%) антитела к сумме скорректированных площадей пиков рассчитывали в соответствии со следующим выражением.
[0257]
[Выражение 6]
[0258]
[G-3-4] Среднее количество молекул лекарственного средства, конъюгированных с молекулой антитела в конъюгате антитело-лекарственное средство, рассчитывали в соответствии со следующим выражением.
[0259]
[Выражение 7]
[0260]
[G-3-5] Концентрацию антитела в конъюгате антитело-лекарственное средство рассчитывали в соответствии с выражением, приведенным в [F-3-5]. В то же время для расчета среднего количества конъюгированных молекул лекарственного средства использовали значения, полученные в [G-3-4].
[0261]
Конъюгат антитело-лекарственное средство или промежуточный продукт его получения может содержать стереоизомеры, оптические изомеры, обусловленные присутствием асимметрических атомов углерода, геометрические изомеры, таутомеры или оптические изомеры (например, d-, l-изомеры или атропоизомеры). Однако все эти изомеры, оптические изомеры и их смеси входят в объем настоящего изобретения.
[0262]
Количество молекул лекарственного средства, конъюгированных с молекулой антитела, является важным фактором, оказывающим влияние на эффективность и безопасность конъюгата антитело-лекарственное средство согласно настоящему изобретению. Конъюгат антитело-лекарственное средство получают в условиях реакции (например, количества исходных веществ или реагентов, подлежащих приведению во взаимодействие), определенных таким образом, чтобы количество конъюгированных молекул лекарственного средства могло быть постоянным. Однако, в отличие от химической реакции низкомолекулярных соединений, обычно получают смесь с различными количествами конъюгированных молекул лекарственного средства. Можно определить среднее количество конъюгированных молекул лекарственного средства (DAR), а именно усредненное значение количества молекул лекарственного средства, конъюгированных с молекулой антитела. Количество производных циклических динуклеотидов, конъюгированных с молекулой антитела, является регулируемым. В качестве среднего количества молекул лекарственного средства, конъюгированных с антителом, могут быть конъюгированы от 1 до 10 конъюгированных производных циклических динуклеотидов. Это количество предпочтительно составляет от 1 до 8, и более предпочтительно от 1 до 5.
[0263]
В конъюгате антитело-лекарственное средство согласно настоящему изобретению в случае, если антитело Ab образует связь с L посредством ремоделированного гликана антитела Ab, m2, которое обозначает количество молекул лекарственного средства, конъюгированных с молекулой антитела в конъюгате антитело-лекарственное средство, представляет собой целое число, равное 1 или 2. В случае, когда гликан представляет собой N297-гликан, и гликан представляет собой N297-(Fuc)SG, m2 составляет 2, и DAR находится в диапазоне от 3 до 5 (предпочтительно в диапазоне от 3,2 до 4,8, и более предпочтительно в диапазоне от 3,5 до 4,2). В случае, когда N297-гликан представляет собой N297-(Fuc)MSG1, N297-(Fuc)MSG2 или смесь N297-(Fuc)MSG1 и N297-(Fuc)MSG2, m2 составляет 1, и DAR находится в диапазоне от 1 до 3 (предпочтительно в диапазоне от 1,0 до 2,5, и более предпочтительно в диапазоне от 1,2 до 2,2).
[0264]
Следует отметить, что специалист в данной области техники, исходя из описания примеров в настоящей заявке, может разработать реакцию, в которой с антителом может быть конъюгировано необходимое количество молекул лекарственного средства. Таким образом, может быть получено антитело, для которого регулируется количество конъюгированных производных циклических динуклеотидов.
[0265]
Следует отметить, что конъюгат антитело-лекарственное средство или промежуточный продукт его получения согласно настоящему изобретению может быть оставлен на воздухе или перекристаллизован. Это может привести к абсорбции влаги, адсорбции влаги или образованию гидрата. Такие соединения и соли, содержащие воду, также входят в объем настоящего изобретения.
[0266]
Конъюгат антитело-лекарственное средство или промежуточный продукт его получения согласно настоящему изобретению может быть при необходимости превращен в фармацевтически приемлемую соль, если он содержит основную группу, такую как аминогруппа. Примеры таких солей могут включать соли галогеноводородов, такие как гидрохлориды и гидройодиды; соли неорганических кислот, такие как нитраты, перхлораты, сульфаты и фосфаты; низшие алкансульфонаты, такие как метансульфонаты, трифторметансульфонаты и этансульфонаты; арилсульфонаты, такие как бензолсульфонаты и п-толуолсульфонаты; соли органических кислот, такие как формиаты, ацетаты, малаты, фумараты, сукцинаты, цитраты, тартраты, оксалаты и малеаты; и соли аминокислот, такие как орнитинаты, глутаматы и аспартаты.
[0267]
Конъюгат антитело-лекарственное средство согласно настоящему изобретению содержит в своей структуре фосфатную группу и/или тиофосфатную группу, поэтому, как правило, может быть получена соль присоединения основания. Кроме того, если промежуточный продукт получения содержит кислотную группу, такую как карбоксигруппа, как правило, возможно получение соли присоединения основания. Примеры фармацевтически приемлемых солей могут включать соли щелочных металлов, такие как соли натрия, соли калия и соли лития; соли щелочноземельных металлов, такие как соли кальция и соли магния; неорганические соли, такие как соли аммония; и соли органических аминов, такие как соли дибензиламина, соли морфолина, соли фенилглициналкилового эфира, соли этилендиамина, N-метилглюкаматов, соли диэтиламина, соли триэтиламина, соли цикл ore ксил амина, соли дициклогексиламина, соли N,N'-дибензилэтилендиамина, соли диэтаноламина, соли N-бензил-N-(2-фенилэтокси)амина, соли пиперазина, соли тетраметиламмония и соли трис(гидроксиметил)аминометана.
[0268]
Конъюгат антитело-лекарственное средство и промежуточный продукт получения согласно настоящему изобретению могут существовать в форме гидрата, например, при поглощении влаги из воздуха. Сольват согласно настоящему изобретению не ограничен конкретным сольватом и может представлять собой любой фармацевтически приемлемый сольват и, в частности, предпочтительными являются гидраты, образованные этанолом сольваты, образованные 2-пропанолом сольваты и так далее. Кроме того, конъюгат антитело-лекарственное средство и промежуточный продукт получения согласно настоящему изобретению могут находиться в форме N-оксида, если в них присутствует атом азота, и эти сольваты и формы N-оксидов входят в объем настоящего изобретения. Кроме того, конъюгат антитело-лекарственное средство и промежуточный продукт получения согласно настоящему изобретению могут находиться в форме N-оксида, если в них присутствует атом азота, и эти сольваты и формы N-оксидов входят в объем настоящего изобретения.
[0269]
В объем настоящего изобретения также входят соединения, меченые различными радиоактивными или нерадиоактивными изотопами. Конъюгат антитело-лекарственное средство и промежуточное соединение его получения согласно настоящему изобретению могут содержать один или более составляющих атомов, в которых атомные изотопы представлены в неприродном отношении. Примеры атомных изотопов могут включать дейтерий (2Н), тритий (3Н), йод-125 (125I) и углерод-14 (14С). Соединение согласно настоящему изобретению можно может быть помечено радиоактивной меткой с применением радиоактивного изотопа, такого как тритий (3Н), йод-125 (125I) или углерод-14 (14С). Помеченное радиоактивной меткой соединение пригодно для применения в качестве терапевтического или профилактического агента, реагента для исследования, такого как реагент для анализа, и диагностического агента, такого как диагностический агент для визуализации in vivo. Все изотопные варианты конъюгата антитело-лекарственное средство согласно настоящему изобретению входят в объем настоящего изобретения, независимо от того, радиоактивные они или нет.
[0270]
<4. Применение в качестве лекарственного средства>
Конъюгат антитело-лекарственное средство согласно настоящему изобретению проявляет противоопухолевые иммунные свойства или цитотоксичность в отношении раковых клеток, и, таким образом, может применяться в качестве лекарственного средства, в частности, в качестве терапевтического и/или профилактического агента против рака, или в качестве противоопухолевого агента.
[0271]
Примеры раковых заболеваний, при которых применим конъюгат антитело-лекарственное средство согласно настоящему изобретению, могут включать рак легкого (например, немелкоклеточный рак легкого, мелкоклеточный рак легкого), рак почки, уротелиальный рак, колоректальный рак, рак предстательной железы, мультиформную глиобластому, рак яичников (например, поверхностная эпителиальная опухоль, стромальная опухоль, эмбрионально-клеточная опухоль), рак поджелудочной железы, рак молочной железы, меланому, рак печени, рак мочевого пузыря, рак желудка, рак пищевода, рак эндометрия, рак яичка (семиома, несеминома), рак шейки матки, плацентарную хориокарциному, опухоль головного мозга, рак головы и шеи, рак щитовидной железы, мезотелиому, стромальную опухоль желудочно-кишечного тракта (гастроинтестинальная стромальная опухоль, ГИСО), рак желчного пузыря, рак желчного протока, рак надпочечников, фарингеальный рак, рак языка, рак органов слуха, рак тимуса, рак тонкого кишечника, плоскоклеточную карциному, лейкоз, злокачественную лимфому, плазмоцитому, миелому или саркому. Тем не менее, применение конъюгата антитело-лекарственное средство не ограничено указанными выше раковыми клетками в случае, если раковые клетки субъекта лечения экспрессируют белок, распознаваемый антителом в конъюгате антитело-лекарственное средство.
[0272]
Конъюгат антитело-лекарственное средство согласно настоящему изобретению предпочтительно может быть введен млекопитающим, и более предпочтительно его вводят человеку.
[0273]
Вещества, применяемые в фармацевтической композиции, содержащей конъюгат антитело-лекарственное средство согласно настоящему изобретению, могут быть подходящим образом применены после выбора из добавок для приготовления состава или тому подобного, которые обычно применяют в данной области, с учетом дозы или концентрации для введения.
[0274]
Конъюгат антитело-лекарственное средство согласно настоящему изобретению может быть введен в виде фармацевтической композиции, содержащей один или более фармацевтически применимых компонентов. Например, фармацевтическая композиция, как правило, содержит один или более фармацевтических носителей (например, стерилизованную жидкость (включая воду и масло (нефтяное масло и масло животного происхождения, растительного происхождения или синтетического происхождения (такое как арахисовое масло, соевое масло, минеральное масло и кунжутное масло)))). Вода является более типичным носителем при внутривенном введении указанной выше фармацевтической композиции. Солевой раствор, водный раствор декстрозы и водный раствор глицерина также могут быть применены в качестве жидкого носителя, в частности, для инъекционного раствора. Подходящие фармацевтические вспомогательные вещества известны в данной области техники. При необходимости указанная выше композиция также может содержать следовое количество увлажняющего агента, эмульгирующего агента или буферного агента для поддержания рН. Примеры подходящих фармацевтических носителей раскрыты в источнике «Remington’s Pharmaceutical Sciences», E. W. Martin. Составы соответствуют способу введения.
[0275]
Известны различные системы доставки, и они могут быть применены для введения конъюгата антитело-лекарственное средство согласно настоящему изобретению. Примеры путей введения включают, но не ограничиваются ими, внутрикожный, внутримышечный, внутрибрюшинный, внутривенный и подкожный пути. Введение может осуществляться, например, путем инъекции или болюсной инъекции. В соответствии с конкретным предпочтительным вариантом реализации введение описанного выше конъюгата антитело-лекарственное средство осуществляют путем инъекции. Парентеральное введение является предпочтительным путем введения.
[0276]
Согласно типичному варианту реализации фармацевтическую композицию, содержащую конъюгат антитело-лекарственное средство, назначают в виде фармацевтической композиции, подходящей для внутривенного введения людям, в соответствии с общепринятыми методиками. Композиция для внутривенного введения обычно представляет собой раствор в стерильном и изотоническом водном буфере. При необходимости лекарственное средство может содержать солюбилизирующий агент и анестезирующее средство местного действия, чтобы облегчить боль в месте инъекции (например, лигнокаин). Как правило, указанные выше ингредиенты обеспечивают либо отдельно в виде высушенного лиофилизированного порошка или безводного концентрата, содержащегося в каждой емкости, которые получают путем герметизации в ампуле или саше с указанием количества активного агента, либо в виде смеси в единичной лекарственной форме. Если фармацевтическая композиция предназначена для введения путем инъекции, она может быть введена из инъекционного флакона, содержащего воду или солевой раствор степени чистоты стерильного фармацевтического средства. Если фармацевтическую композицию вводят путем инъекции, может быть предоставлена ампула со стерильной водой или солевым раствором для инъекций, с тем, чтобы упомянутые выше ингредиенты были смешаны друг с другом перед введением. Фармацевтическая композиция может быть предложена в виде раствора.
[0277]
Фармацевтическая композиция согласно настоящему изобретению может представлять собой фармацевтическую композицию, содержащую только конъюгат антитело-лекарственное средство согласно настоящему изобретению, или фармацевтическую композицию, содержащую конъюгат антитело-лекарственное средство согласно настоящему изобретению и другие агенты для лечения рака. Конъюгат антитело-лекарственное средство согласно настоящему изобретению может быть введен совместно с другими агентами для лечения рака или в комбинации с ними, и, таким образом, противоопухолевое действие может быть усилено. Другие противораковые агенты, применяемые для этой цели, могут быть введены субъекту одновременно, отдельно или последовательно с конъюгатом антитело-лекарственное средство, и могут быть введены с изменением интервала между введениями для каждого из них. Примеры таких агентов для лечения рака могут включать антиметаболиты, алкилирующие агенты, ингибиторы микротрубочек и другие химиотерапевтические агенты (например, абраксан, карбоплатин, цисплатин, гемцитабин, иринотекан (СРТ-11), паклитаксел, доцетаксел, пеметрексед, винбластин или агенты, описанные в международной публикации № WO 2003/038043), регуляторы гормонов (например, аналоги ЛГРГ (например, лейпрорелин, гозерелин, эстрамустин), антагонисты эстрогена (например, тамоксифен, ралоксифен)), ингибиторы ароматазы (например, анастрозол, летрозол, эксеместан), ингибиторы киназ, ингибиторы PARP, ингибиторы разрушения кости, промоторы остеогенеза, ингибиторы метастазирования, нацеленные на молекулярные мишени лекарственные средства (например, антитело к EGFR, антитело к VEGF, антитело к VEGFR), ингибиторы контрольных точек иммунного ответа (например, антитело к PD-1 (например, ниволумаб, пембролизумаб), антитело к PD-L1 (например, атезолизумаб, авелумаб, дурвалумаб), антитело к PD-L2, антитело к CTLA4 (например, ипилимумаб), антитело к A2aR, антагонист рецептора А2а, антитело к LAG3, антитело к TIM3), лекарственные средства, нацеленные на регуляторные Т-клетки (например, антитело к CTLA4, антитело к CD25, антитело к GITR, антитело к GARP, антитело к TIGIT, антитело к CCR8), активаторы иммунитета (например, антитело к 4-1ВВ, антитело к ОХ40, антитело к CD40, антитело к CD3, антитело к CD28, аналог ИЛ-2, цитокины, агонист TLR), иммуномодуляторы (например, антитело к CD47, антитело к SIRPα, ингибирующие миелоидные модуляторы), лекарственные средства на основе антител с активностью АЗКЦ (антителозависимая клеточная цитотоксичность), активностью АЗКФ (антителозависимый клеточный фагоцитоз) или активностью комплемента, BiTE (биспецифичные активаторы, привлекающие Т-клетки), конъюгаты антитело-лекарственное средство (ADC) (например, конъюгат лекарственного средства, содержащий дерукстекан, DM1, пирролобензодиазепин, MMAF и так далее (ADC антитела к HER2, ADC антитела к TROP2, ADC антитела к HER3 и так далее)), ADC в комбинации с фотодинамической терапией, а также противоопухолевыми вакцинами, противоопухолевой клеточной терапией (например, с применением клеток CAR-T, TCR-T, дендритных клеток, NK-клеток), противоопухолевыми бактериальными средствами лечения или противоопухолевыми вирусными средствами лечения. Однако агенты для лечения рака не ограничены в том случае, если указанные агенты обладают противоопухолевой активностью. Кроме того, конъюгат антитело-лекарственное средство согласно настоящему изобретению может быть введен совместно с другим конъюгатом антитело-лекарственное средство согласно настоящему изобретению. Это может усилить противоопухолевое действие. Кроме того, конъюгат антитело-лекарственное средство согласно настоящему изобретению может усиливать противоопухолевое действие, оказываемое не только лекарственным средством отдельно, но и при применении в комбинации с лечением, оказывающим противоопухолевое действие (например, лучевой терапией, терапией с облучением тяжелыми частицами, хирургическим вмешательством, трансплантацией костного мозга). Указанное лечение не ограничено при условии, что оно оказывает противоопухолевое действие.
[0278]
Фармацевтическая композиция может быть приготовлена с получением лиофилизированного состава или жидкого состава в виде состава, содержащего выбранную композицию и обладающего необходимой чистотой. При приготовлении в виде лиофилизированного состава она может представлять собой состав, содержащий подходящие добавки для приготовления состава, которые применяют в данной области техники. Кроме того, в случае жидкого состава, она может быть приготовлена в виде жидкого состава, содержащего различные добавки для приготовления состава, которые применяют в данной области техники.
[0279]
Состав и концентрация фармацевтической композиции могут быть различными в зависимости от способа введения. Однако конъюгат антитело-лекарственное средство, содержащийся в фармацевтической композиции согласно настоящему изобретению, может оказывать фармацевтическое действие даже в небольшой дозе в случае, когда конъюгат антитело-лекарственное средство обладает более высокой аффинностью к антигену, то есть более высокой аффинностью (меньшим значением Kd) к антигену в контексте константы диссоциации (значения Kd). Таким образом, при определении дозы конъюгата антитело-лекарственное средство доза может быть установлена с учетом условия, относящегося к аффинности конъюгата антитело-лекарственное средство к антигену. При введении человеку конъюгата антитело-лекарственное средство согласно настоящему изобретению доза, например, от приблизительно 0,001 до 100 мг/кг, может быть введена однократно или введена несколькими порциями с интервалами от 1 до 180 дней.
[0280]
Далее настоящее изобретение будет описано со ссылкой на примеры. Однако настоящее изобретение не ограничивается ими.
Примеры
[0281]
В следующих примерах комнатная температура составляет от 15°С до 35°С. Используемый обезвоженный ацетонитрил представлял собой ацетонитрил (обезвоженный) -Super-, доступный для приобретения от KANTO CHEMICAL CO., INC., или ацетонитрил (обезвоженный, super), доступный для приобретения от Wako Pure Chemical Industries, Ltd. Используемый пиридин представлял собой пиридин (обезвоженный) -Super-, доступный для приобретения от KANTO CHEMICAL CO., PNC. Хроматографию на силикагеле проводили с применением продуктов Biotage SNAP Ultra (производства Biotage), Chromatorex Q-Pack SI (производства FUJI SILYSIA CHEMICAL LTD.) или Purif-Pack-Ex SI (производства Shoko Science). Колоночную хроматографию на силикагеле DIOL проводили с применением Chromatorex Q-pack DIOL (производства FUJI SILYSIA CHEMICAL LTD.). Колоночную хроматографию на силикагеле С18 проводили с применением Biotage SNAP Ultra С18 (производства Biotage). Элюирование в колоночной хроматографии проводили методом тонкослойной хроматографии (ТСХ) под наблюдением. 0,1% триэтиламин, используемый в качестве элюирующего растворителя, означает, что 0,1% триэтиламина содержится в общем объеме элюирующего растворителя. Препаративную ВЭЖХ проводили с помощью, например, системы ВЭЖХ SHIMADZU SPD-M10A HPLC system (Shimadzu Corporation). В качестве препаративной колонки использовали Kinetex (5 μM, C18, 100 Å, 250 × 30,0 мм; производства Phenomenex) или Kinetex (5 μM, С18, 100 Å, 250 × 21,2 мм; производства Phenomenex).
Для получения различных спектральных данных использовали следующие приборы. 1H-ЯМР спектры получали с помощью JEOL ECS-400 (400 МГц), Varian 400-MR (400 МГц) или Varian Unity Inova 500 (500 МГц). 31Р-ЯМР-спектры получали с помощью JEOL ECS-400 (160 МГц). Масс-спектры получали с помощью квадрупольного масс-спектрометра Agilent 6130 Quadrupole LC/MS system (Agilent Technologies). Анализ методом ЖХ/МС проводили при следующих условиях [колонка: Develosil Combi-RP, 5 μM, 50 × 2,0 мм (Nomura Chemical Co., Ltd.); подвижная фаза: 0,1% раствор муравьиной кислоты в ацетонитриле/0,1% раствор муравьиной кислоты; 0,1% раствор муравьиной кислоты в ацетонитриле: 2%-100% (0 мин-5 мин или 0 мин-10 мин)].
[0282]
Пример 1: Синтез ЦДН6
(5R,7R,8R,12aR,14R,15R,15aS,16R)-15,16-дигидрокси-7-[1-(2-гидроксиэтил)-6-оксо-1,6-дигидро-9Н-пурин-9-ил]-2,10-бис(сульфанил)-14-(6,7,8,9-тетрагидро-2Н-2,3,5,6-тетраазабензо[cd]азулен-2-ил)октагидро-2H,10H,12H-5,8-метано-2λ5,10λ5-фуро[3,2-1][1,3,6,9,11,2,10]пентаоксадифосфациклотетрадецин-2,10-дион
[0283]
[Формула 93]
[0284]
[Схема синтеза]
[0285]
[Формула 94]
[0286]
(Стадия 1)
7-{2-O-[трет-бутил(диметил)силил]-3,5-O-(ди-трет-бутилсилилиден)-β-D-рибофуранозил}-5-йод-7Н-пирроло[2,3-d]пиримидин-4-амин
К раствору 5-йодтуберцидина (1,0 г), известного из литературы (Tetrahedron 2007, 63, 9850-9861), в N,N-диметилформамиде (10 мл) медленно по каплям добавляли ди-трет-бутилсилил-бис(трифторметансульфонат) (1,24 мл) при 0°С. Затем полученную смесь перемешивали при той же температуре в течение 30 мин. При 0°С добавляли имидазол (868 мг) и повышали температуру до комнатной температуры, и затем смесь перемешивали в течение 30 мин. Затем при комнатной температуре добавляли трет-бутилдиметилхлорсилан, и полученную смесь перемешивали при той же температуре в течение ночи. Реакцию останавливали путем добавления к реакционной смеси насыщенного водного раствора бикарбоната натрия, и затем полученный раствор подвергали экстракции этилацетатом. Органический слой промывали солевым раствором и сушили над безводным сульфатом натрия. Осушающий агент отфильтровывали, и фильтрат концентрировали при пониженном давлении. Остаток очищали с помощью колоночной хроматографии на силикагеле [гексан/этилацетат] с получением указанного в заголовке соединения (910 мг).
MS (ESI) m/z: 647 (М+Н)+.
1H-ЯМР (CDCl3) δ: 8,25 (1H, с), 7,03 (1H, с), 6,10 (1H, с), 5,63 (2Н, уш. с), 4,49-4,44 (2Н, м), 4,26 (1Н, дд, J=9,7, 4,8 Гц), 4,17 (1H, м), 4,00 (1Н, т, J=9,7 Гц), 1,09 (9Н, с), 1,04 (9Н, с), 0,91 (9Н, с), 0,13 (3Н, с), 0,11 (3Н, с).
[0287]
(Стадия 2)
7-{2-O-[трет-бутил(диметил)силил]-3,5-O-(ди-трет-бутилсилилиден)-β-D-рибофуранозил}-5-(3,3-диэтоксипроп-1-ин-1-ил)-7Н-пирроло[2,3-d] пиримидин-4-амин
К смешанному раствору соединения (910 мг), полученного на стадии 1, в N,N-диметилформамиде (3,0 мл)/тетрагидрофуране (9,0 мл) добавляли диметилацеталь пропаргилальдегида (1,01 мл), триэтиламин (0,392 мл), тетракис(трифенилфосфин)палладий (0) (163 мг) и йодид меди (I) (53,6 мг) в указанном порядке, и полученную смесь перемешивали при 40°С в течение 18 часов. К реакционной смеси добавляли насыщенный водный раствор бикарбоната натрия и этилацетат. Затем смесь подвергали экстракции этилацетатом. Органический слой промывали солевым раствором и сушили над безводным сульфатом натрия. Осушающий агент отфильтровывали, и фильтрат концентрировали при пониженном давлении. Остаток очищали с помощью колоночной хроматографии на силикагеле [гексан/этилацетат] с получением указанного в заголовке соединения (878 мг).
MS (ESI) m/z: 647 (М+Н)+.
1H-ЯМР (CDCl3) δ: 8,27 (1H, с), 7,17 (1H, с), 6,09 (1H, с), 5,56 (2Н, уш. с), 5,50 (1H, с), 4,48 (1H, дд, J=9,1, 4,9 Гц), 4,42 (1H, д, J=4,9 Гц), 4,25 (1H, дд, J=9,4, 4,6 Гц), 4,17 (1H, м), 4,00 (1H, т, J=9,7 Гц), 3,85-3,77 (2Н, м), 3,66 (2Н, м), 1,28 (6Н, т, J=7,3 Гц), 1,08 (9Н, с), 1,04 (9Н, с), 0,91 (9Н, с), 0,13 (3Н, с), 0,11 (3Н, с).
[0288]
(Стадия 3)
2-{2-O-[трет-бутил(диметил)силил]-3,5-O-(ди-трет-бутилсилилиден)-β-D-рибофуранозил}-6,7,8,9-тетрагидро-2Н-2,3,5,6-тетраазабензо[cd]азулен
К раствору соединения (878 мг), полученного на стадии 2, в этаноле (8,8 мл) добавляли 10% влажный палладированный уголь (М) (500 мг), и полученную смесь перемешивали в течение 9 часов при комнатной температуре в атмосфере водорода. После отфильтровывания катализатора проводили промывку дихлорметаном. Затем фильтрат концентрировали при пониженном давлении. К раствору остатка в уксусной кислоте (8,8 мл) добавляли 10% влажный палладированный уголь (М) (500 мг), и полученную смесь перемешивали в течение 2 дней при 40°С в атмосфере водорода. После отфильтровывания катализатора проводили промывку дихлорметаном. Затем фильтрат концентрировали при пониженном давлении. Остаток очищали с помощью колоночной хроматографии на силикагеле [гексан/этилацетат/0,1% триэтиламин] с получением указанного в заголовке соединения (603 мг).
MS (ESI)m/z: 561 (М+Н)+.
1H-ЯМР (CDCl3) δ: 8,47 (1H, уш. с), 8,07 (1H, с), 6,70 (1H, с), 6,14 (1Н, с), 4,47-4,43 (2Н, м), 4,29 (1H, дд, J=9,1, 4,8 Гц), 4,15 (1H, м), 3,99 (1H, т, J=9,7 Гц), 3,55 (2Н, м), 2,89 (2Н, т, J=5,4 Гц), 2,04 (2Н, м), 1,09 (9Н, с), 1,04 (9Н, с), 0,90 (9Н, с), 0,10 (3Н, с), 0,10 (3Н, с).
[0289]
(Стадия 4)
6-бензоил-2-{2-O-[трет-бутил(диметил)силил]-3,5-O-(ди-трет-бутилсилилиден)-β-D-рибофуранозил}-6,7,8,9-тетрагидро-2Н-2,3,5,6-тетраазабензо[cd]азулен
[0290]
К раствору соединения (2,17 г), полученного на стадии 3, в дихлорметане (21,7 мл) при комнатной температуре добавляли пиридин (1,56 мл), N,N-диметиламинопиридин (94,5 мг) и бензоилхлорид (0,898 мл) в указанном порядке, и полученную смесь перемешивали при 50°С в течение 15 часов. Реакцию останавливали путем добавления к реакционной смеси насыщенного водного раствора бикарбоната натрия. После экстрагирования дихлорметаном органический слой сушили над безводным сульфатом натрия.
Осушающий агент отфильтровывали, и фильтрат концентрировали при пониженном давлении. Остаток очищали с помощью колоночной хроматографии на силикагеле [гексан/этилацетат/0,1% триэтиламин] с получением указанного в заголовке соединения (1,91 г).
MS (ESI) m/z: 665 (М+Н)+.
1Н-ЯМР (CDCl3) δ: 8,08 (1H, с), 7,37-7,33 (3Н, м), 7,23 (2Н, т, J=7,6 Гц), 6,97 (1H, с), 6,21 (1H, с), 4,50-4,46 (2Н, м), 4,37-4,30 (2Н, м), 4,28-4,09 (2Н, м), 4,02 (1H, т, J=10,0 Гц), 3,03 (2Н, т, J=6,3 Гц), 2,29-2,17 (2Н, м), 1,10 (9Н, с), 1,05 (9Н, с), 0,90 (9Н, с), 0,10 (6Н, с).
[0291]
(Стадия 5)
6-бензоил-2-{5-O-[бис(4-метоксифенил)(фенил)метил]-2-O-[трет-бутил(диметил)силил]-β-D-рибофуранозил}-6,7,8,9-тетрагидро-2Н-2,3,5,6-тетраазабензо[cd]азулен
К раствору соединения (1,91 г), полученного на стадии 4, в дихлорметане (15 мл) добавляли смесь фтороводорода-пиридина (0,30 мл) и пиридина (1,88 мл), полученную при 0°С, и полученную смесь перемешивали при 0°С в течение 2 часов. Реакцию останавливали путем добавления к реакционной смеси насыщенного водного раствора бикарбоната натрия. Реакционную смесь подвергали экстракции дихлорметаном, и затем органический слой сушили над безводным сульфатом натрия. Осушающий агент отфильтровывали, и фильтрат концентрировали при пониженном давлении. Остаток растворяли в пиридине (15 мл), добавляли 4,4'-диметокситритилхлорид (1,17 г), и полученную смесь перемешивали при 0°С в течение 12 часов. Добавляли метанол, и полученную смесь перемешивали в течение 30 мин. Затем реакцию останавливали путем добавления насыщенного водного раствора бикарбоната натрия. Реакционную смесь подвергали экстракции дихлорметаном, и органический слой сушили над безводным сульфатом натрия. Осушающий агент отфильтровывали, и фильтрат концентрировали при пониженном давлении. Остаток очищали с помощью колоночной хроматографии на силикагеле [гексан/этилацетат/0,1% триэтиламин] с получением указанного в заголовке соединения (1,98 г).
MS (ESI) m/z: 827 (М+Н)+.
1H-ЯМР (CDCl3) δ: 8,07 (1H, с), 7,47 (2Н, м), 7,37-7,19 (13Н, м), 6,84 (4Н, м), 6,37 (1H, д, J=5,5 Гц), 4,75 (1Н, т, J=5,2 Гц), 4,38-4,20 (4Н, м), 3,80 (6Н, с), 3,53 (1H, дд, J=10,7, 2,8 Гц), 3,40 (1H, дд, J=11,0, 3,1 Гц), 2,83 (1Н, д, J=3,7 Гц), 2,78 (2Н, т, J=6,4 Гц), 2,17 (2Н, м), 0,81 (9Н, с), -0,03 (3Н, с), -0,21 (3Н, с).
[0292]
(Стадия 6)
6-Бензоил-2-(5-O-[бис(4-метоксифенил)(фенил)метил]-2-O-[трет-бутил(диметил)силил]-3-O-{(2-цианоэтокси)[ди(пропан-2-ил)амино]фосфанил}-β-D-рибофуранозил)-6,7,8,9-тетрагидро-2Н-2,3,5,6-тетраазабензо[cd]азулен
К раствору соединения (1,98 г), полученного на стадии 5, в дихлорметане (23,9 мл) добавляли N,N-диизопропилэтиламин (1,02 мл) и 2-цианоэтил-N,N-диизопропилхлорфосфорамидит (1,07 мл), и полученную смесь перемешивали в течение 15 часов при комнатной температуре. Реакцию останавливали путем добавления к реакционной смеси насыщенного водного раствора бикарбоната натрия. Реакционную смесь подвергали экстракции дихлорметаном, и затем органический слой сушили над безводным сульфатом натрия. Осушающий агент отфильтровывали, и фильтрат концентрировали при пониженном давлении. Остаток очищали с помощью колоночной хроматографии на силикагеле [гексан/этилацетат] с получением указанного в заголовке соединения (2,06 г) в виде смеси диастереомеров по атому фосфора (отношение диастереомеров = 7:3).
MS (ESI) m/z: 1027 (М+Н)+.
1H-ЯМР (CDCl3) δ: 8,06 (0,3Н, с), 8,04 (0,7Н, с), 7,50-7,16 (15Н, м), 6,85-6,79 (4Н, м), 6,35 (0,7Н, д, J=6,7 Гц), 6,31 (0,3Н, д, J=6,1 Гц), 4,84 (0,7Н, дд, J=7,0, 4,6 Гц), 4,78 (0,3Н, т, J=5,8 Гц), 4,43-4,17 (4Н, м), 4,04-3,85 (1,3Н, м), 3,80-3,76 (6Н, м), 3,69-3,43 (3Н, м), 3,50 (0,7Н, дд, J=10,6, 3,3 Гц), 3,33-3,26 (1Н, м), 2,87-2,76 (2Н, м), 2,74-2,60 (1,4Н, м), 2,31 (0,6Н, т, J=6,7 Гц), 2,23-2,11 (2Н, м), 1,21-1,13 (7,8Н, м), 1,04 (4,2Н, д, J=6,7 Гц), 0,73 (2,7Н, с), 0,72 (6,3Н, с), -0,03 (0,9Н, с), -0,06 (2,1Н, с), -0,24 (3Н, с).
[0293]
(Стадия 7)
6-Бензоил-2-{2-O-[трет-бутил(диметил)силил]-3-O-[гидрокси(оксо)-λ5-фосфанил]-β-D-рибофуранозил}-6,7,8,9-тетрагидро-2Н-2,3,5,6-тетраазабензо[cd]азулен
К раствору соединения (935 мг), полученного на стадии 6, в ацетонитриле (4,55 мл) добавляли воду (33 μл) и пиридиновую соль трифторуксусной кислоты (229 мг), и полученную смесь перемешивали при комнатной температуре в течение 15 мин. Затем к реакционной смеси добавляли трет-бутиламин (4,55 мл), и полученную смесь перемешивали при комнатной температуре в течение 15 мин. Реакционную смесь концентрировали при пониженном давлении, и затем остаток дважды подвергали азеотропной перегонке с ацетонитрилом (5 мл). К раствору остатка в дихлорметане (11,4 мл) добавляли воду (0,164 мл). Затем добавляли раствор дихлоруксусной кислоты (0,651 мл) в дихлорметане (11,4 мл), и полученную смесь перемешивали при комнатной температуре в течение 15 минут. После остановки реакции путем добавления пиридина (1,25 мл) реакционную смесь концентрировали при пониженном давлении. Остаток трижды подвергали азеотропной перегонке с безводным ацетонитрилом (10 мл), при этом в последний раз оставалось приблизительно 5 мл ацетонитрила. Полученный раствор указанного в заголовке соединения в ацетонитриле непосредственно применяли на стадии 12 ниже.
[0294]
(Стадия 8)
2',3',5'-три-O-ацетил-1-(2-{[трет-бутил(диметил)силил]окси}этил)инозин
К суспензии доступного для приобретения (Ark Pharm) 2',3',5'-три-O-ацетилинозина (10,0 г) в тетрагидрофуране (100 мл) добавляли 2-{[трет-бутил(диметил)силил]окси}этан-1-ол (5,37 г) и трифенилфосфин (7,69 г). Затем добавляли дипропан-2-ил-(Е)-диазен-1,2-дикарбоксилат (6,10 мл), и полученную смесь перемешивали в течение 6 ч при комнатной температуре. Реакционную смесь концентрировали при пониженном давлении, и затем остаток очищали с помощью колоночной хроматографии на силикагеле [гексан/этилацетат/дихлорметан] с получением смеси (10,6 г) указанного в заголовке соединения и оксида трифенилфосфина.
MS (ESI)m/z: 553 (М+Н)+.
1Н-ЯМР (CDCl3) δ:8,05 (1H, с), 7,92 (1H, с), 6,12 (1H, д, J=5,4 Гц), 5,86 (1H, т, J=5,4 Гц), 5,59 (1H, дд, J=5,4, 4,2 Гц), 4,47-4,41 (2Н, м), 4,38-4,31 (1H, м), 4,22-4,17 (2Н, м), 3,89 (2Н, т, J=4,8 Гц), 2,15 (3Н, с), 2,14 (3Н, с), 2,08 (3Н, с), 0,83 (9Н, с), -0,06 (3Н, с), -0,06 (3Н, с).
[0295]
(Стадия 9)
5'-O-[бис(4-метоксифенил)(фенил)метил]-1-(2-{[трет-бутил(диметил)силил]окси}этил)инозин
К смешанному раствору соединения (10,6 г), полученного на стадии 8, в тетрагидрофуране (30 мл)-метаноле (30 мл) добавляли карбонат калия (150 мг), и полученную смесь перемешивали в течение 3 часов при комнатной температуре. К реакционной смеси добавляли уксусную кислоту (125 μл), полученную смесь концентрировали при пониженном давлении, и затем остаток подвергали азеотропной перегонке с пиридином. К раствору остатка в пиридине (60 мл) при 0°С добавляли 4,4'-диметокситритилхлорид (6,50 г). Полученную смесь перемешивали в течение 30 мин, и затем хранили в холодильной камере в течение ночи. К реакционной смеси добавляли метанол (2 мл), и полученную смесь перемешивали в течение 30 минут, и затем концентрировали при пониженном давлении. Остаток очищали с помощью колоночной хроматографии на силикагеле [гексан/этилацетат/метанол/0,1% триэтиламин] с получением смеси (7,21 г) указанного в заголовке соединения и оксида трифенилфосфина.
MS (ESI) m/z: 729 (М+Н)+.
1H-ЯМР (CDCl3) δ: 8,01 (1H, с), 7,97 (1H, с), 7,35-7,30 (2Н, м), 7,25-7,17 (7Н, м), 6,81-6,76 (4Н, м), 5,95 (1H, д, J=5,4 Гц), 5,13 (1H, уш. с), 4,68-4,61 (1H, м), 4,43-4,36 (2Н, м), 4,31-4,23 (1H, м), 4,15-4,08 (1H, м), 3,89 (2Н, т, J=4,5 Гц), 3,77 (6Н, с), 3,42 (1H, дд, J=10,3, 3,6 Гц), 3,34 (1H, дд, J=10,3, 3,6 Гц), 3,10 (1H, уш. с), 0,83 (9Н, с), -0,06 (3Н, с), -0,07 (3Н, с).
[0296]
(Стадия 10)
5'-O-[бис(4-метоксифенил)(фенил)метил]-3'-O-[трет-бутил(диметил)сил ил]-1-(2-{[трет-бутил (диметил)силил]окси}этил)инозин
К раствору соединения (7,21 г), полученного на стадии 9, в дихлорметане (36 мл) добавляли имидазол (1,41 г) и трет-бутил(хлор)диметилсилан (1,49 г), и полученную смесь перемешивали при комнатной температуре в течение 16 часов. Реакционную смесь смешивали с насыщенным водным раствором бикарбоната натрия, и полученную смесь подвергали экстракции дихлорметаном. Органический слой сушили над безводным сульфатом натрия, осушающий агент отфильтровывали, и фильтрат концентрировали при пониженном давлении. Остаток очищали с помощью колоночной хроматографии на силикагеле [гексан/этилацетат/0,1% триэтиламин] с получением указанного в заголовке соединения (2,17 г) и региоизомера указанного в заголовке соединения, а именно 5'-O-[бис(4-метоксифенил)(фенил)метил]-2'-O-[трет-бутил(диметил)силил]-1-(2-{[трет-бутил(диметил)силил]окси}этил)инозина (2,55 г).
MS (ESI)m/z: 843 (М+Н)+.
1H-ЯМР (CDCl3) δ: 7,99 (1H, с), 7,97 (1H, с), 7,43-7,39 (2Н, м), 7,33-7,19 (7Н, м), 6,83-6,77 (4Н, м), 5,96 (1H, д, J=4,2 Гц), 4,56-4,50 (2Н, м), 4,33-4,25 (1H, м), 4,19-4,02 (2Н, м), 3,89 (2Н, т, J=4,8 Гц), 3,78 (6Н, с), 3,45 (1H, дд, J=10,9, 4,2 Гц), 3,27 (1H, дд, J=10,9, 4,2 Гц), 3,03 (1Н, д, J=6,0 Гц), 0,88 (9Н, с), 0,82 (9Н, с), 0,07 (3Н, с), -0,01 (3Н, с), -0,07 (3Н, с), -0,07 (3Н, с).
Региоизомер (2'-O-TBS-изомер)
MS (ESI)m/z: 843 (М+Н)+.
1Н-ЯМР (CDCl3) δ:7,98 (1H, с), 7,94 (1H, с), 7,46-7,42 (2Н, м), 7,35-7,20 (7Н, м), 6,85-6,79 (4Н, м), 5,99 (1H, д, J=5,4 Гц), 4,83 (1H, т, J=5,1 Гц), 4,33-4,29 (1H, м), 4,27-4,24 (1H, м), 4,24-4,12 (2Н, м), 3,90 (2Н, т, J=4,5 Гц), 3,79 (3Н, с), 3,78 (3Н, с), 3,48 (1H, дд, J=10,3, 3,0 Гц), 3,40 (1H, дд, J=10,3, 3,0 Гц), 2,71 (1H, д, J=3,6 Гц), 0,86 (9Н, с), 0,83 (9Н, с), 0,01 (3Н, с), -0,07 (3Н, с), -0,07 (3Н, с), -0,11 (3Н, с).
[0297]
(Стадия 11)
5'-O-[бис(4-метоксифенил)(фенил)метил]-3'-O-[трет-бутил(диметил)силил]-1-(2-{[трет-бутил(диметил)силил]окси}этил)-2'-O-{(2-цианоэтокси)[ди(пропан-2-ил)амино]фосфанил]инозин
К раствору соединения (2,17 г), полученного на стадии 10, в дихлорметане (25,7 мл) добавляли 4,5-дицианоимидазол (334 мг) и 2-цианоэтил-N,N,N',N'-тетраизопропилфосфородиамидит (0,980 мл), и полученную смесь перемешивали в течение 16 часов при комнатной температуре. Реакцию останавливали путем добавления к реакционной смеси насыщенного водного раствора бикарбоната натрия. Реакционную смесь подвергали экстракции дихлорметаном, и затем органический слой сушили над безводным сульфатом натрия. Осушающий агент отфильтровывали, и фильтрат концентрировали при пониженном давлении. Остаток очищали с помощью колоночной хроматографии на силикагеле DIOL [гексан/этилацетат] с получением указанного в заголовке соединения (2,65 г) в виде смеси диастереомеров по атому фосфора.
MS (ESI)m/z: 1043 (М+Н)+.
1H-ЯМР (CDCl3) δ: 8,03 (0,53Н, с), 8,01 (0,47Н, с), 7,97 (0,53Н, с), 7,93 (0,47Н, с), 7,45-7,41 (2Н, м), 7,35-7,19 (7Н, м), 6,83-6,78 (4Н, м), 6,17 (0,53Н, д, J=4,2 Гц), 6,05 (0,47Н, д, J=4,2 Гц), 4,87-4,80 (0,47Н, м), 4,64-4,58 (0,53Н, м), 4,46-4,40 (1Н, м), 4,30-4,05 (3Н, м), 3,92-3,87 (2Н, м), 3,78 (6Н, с), 3,86-3,40 (5Н, м), 3,33-3,24 (1H, м), 2,54 (0,94Н, т, J=6,0 Гц), 2,43 (1,06Н, т, J=6,7 Гц), 1,16-1,09 (9Н, м), 1,01-0,97 (3Н, м), 0,83 (4,23Н, с), 0,83 (4,77Н, с), 0,82 (9Н, с), 0,07 (1,41Н, с), 0,04 (1,59Н, с), -0,02 (3Н, с), -0,07 (1,41Н, с), -0,08 (1,59Н, с), -0,08 (3Н, с).
[0298]
(Стадия 12)
Соединение (950 мг), полученное на стадии 11, трижды подвергали азеотропной перегонке с безводным ацетонитрилом (5 мл), при этом в последний раз оставалось приблизительно 3 мл ацетонитрила, и затем добавляли молекулярные сита 3А, 1/16 (5 гранул). Этот раствор в ацетонитриле добавляли к раствору в ацетонитриле, полученному на стадии 7, и полученную смесь перемешивали в течение 20 минут при комнатной температуре в атмосфере азота. К реакционной смеси добавляли N,N-диметил-N'-(3-сульфанилиден-3Н-1,2,4-дитиазол-5-ил)метанимидамид (206 мг). Полученную реакционную смесь перемешивали при комнатной температуре в течение 30 мин, и затем концентрировали при пониженном давлении. К раствору остатка в дихлорметане (13,0 мл) добавляли воду (0,164 мл), и затем добавляли раствор дихлоруксусной кислоты (0,822 мл) в дихлорметане (13,0 мл), и полученную смесь перемешивали в течение 15 минут при комнатной температуре. Реакцию останавливали путем добавления пиридина (9,01 мл), и затем полученную реакционную смесь концентрировали при пониженном давлении. Полученный неочищенный продукт непосредственно применяли в следующей реакции.
[0299]
(Стадия 13)
3-({(5R,7R,8R,12aR,14R,15R,15aR,16R)-14-(6-бензоил-6,7,8,9-тетрагидро-2Н-2,3,5,6-тетраазабензо[cd]азулен-2-ил)-15,16-бис{[трет-бутил(диметил)силил]окси}-7-[1-(2-{[трет-бутил(диметил)силил]окси}этил)-6-оксо-1,6-дигидро-9Н-пурин-9-ил]-2-оксо-2-сульфанил-10-сульфанилиденоктагидро-2Н,10Н,12Н-5,8-метано-2λ5,10λ5-фуро[3,2-1][1,3,6,9,11,2,10]пентаоксадифосфациклотетрадецин-10-ил}окси)пропаннитрил
[0300]
Раствор неочищенного продукта, полученного на стадии 12, в пиридине (27,1 мл) концентрировали до приблизительно 20 мл. Затем добавляли 2-хлор-5,5-диметил-1,3,2λ5-диоксафосфинан-2-он (622 мг), и полученную смесь перемешивали в течение 30 мин при комнатной температуре. К реакционной смеси добавляли воду (0,57 мл) и 3Н-1,2-бензодитиол-3-он (230 мг), и полученную смесь перемешивали при комнатной температуре в течение 15 мин. Реакционную смесь вливали в водный раствор (130 мл) бикарбоната натрия (3,60 г). Полученную смесь перемешивали при комнатной температуре в течение 30 мин, и затем подвергали экстракции этилацетатом. Органический слой сушили над безводным сульфатом натрия, осушающий агент отфильтровывали, и фильтрат концентрировали при пониженном давлении. Остаток очищали с помощью колоночной хроматографии на силикагеле [гексан/этилацетат/метанол] с получением указанного в заголовке соединения (494 мг) в виде смеси диастереомеров по атому фосфора.
MS (ESI) m/z: 1274 (М+Н)+.
[0301]
(Стадия 14)
Бис(N,N-диэтилэтанаминия) (5R,7R,8R,12aR,14R,15R,15aR,16R)-15,16-бис{[трет-бутил(диметил)силил]окси}-7-[1-(2-{[трет-бутил(диметил)силил]окси]этил)-6-оксо-1,6-дигидро-9Н-пурин-9-ил]-2,10-диоксо-14-(6,7,8,9-тетрагидро-2Н-2,3,5,6-тетраазабензо[cd]азулен-2-ил)октагидро-2Н,10Н,12Н-5,8-метано-λ5,105-фуро[3,2-1][1,3,6,9,11,2,10]пентаоксадифосфациклотетрадецин-2,10-бис(тиолят)
К раствору соединения (494 мг), полученного на стадии 13, в метаноле (5 мл) добавляли 28% водный раствор аммиака (5 мл), и полученную смесь перемешивали в течение 15 ч при комнатной температуре. Реакционную смесь концентрировали. Затем остаток очищали с помощью колоночной хроматографии на силикагеле С18 [10 мМ водный раствор ацетата триэтиламмония/ацетонитрил] с получением диастереомера 1 (88,5 мг: содержащего примеси) и диастереомера 2 (70,7 мг: содержащего примеси) указанного в заголовке соединения.
Диастереомер 1 (менее полярный)
MS (ESI) m/z: 1003 (M-C6H15Si+2H)+.
Диастереомер 2 (более полярный)
MS (ESI) m/z: 1003 (M-C6H15Si+2H)+.
[0302]
(Стадия 15-1)
Динатрия (5R,7R,8R,12aR,14R,15R,15aS,16R)-15,16-дигидрокси-7-[1-(2-гидроксиэтил)-6-оксо-1,6-дигидро-9Н-пурин-9-ил]-2,10-диоксо-14-(6,7,8,9-тетрагидро-2Н-2,3,5,6-тетраазабензо[cd]азулен-2-ил)октагидро-2Н,10Н,12Н-5,8-метано-2λ5,10λ5-фуро[3,2-1][1,3,6,9,11,2,10]пентаоксадифосфациклотетрадецин-2,10-бис(тиолят)
(Диастереомер 1)
[0303]
К соединению (диастереомеру 1) (88,5 мг: содержащему примеси), полученному на стадии 14, добавляли тригидрофторид триэтиламина (2,0 мл), и полученную смесь перемешивали при 45°С в течение 3 ч. Реакционную смесь при комнатной температуре смешивали с охлажденной до температуры льда смесью 1 М водного бикарбоната триэтиламмония (10 мл) и триэтиламина (2 мл). Реакционную смесь концентрировали при пониженном давлении. Затем продукт очищали с помощью колоночной хроматографии на силикагеле С18 [10 мМ водный раствор ацетата триэтиламмония/ацетонитрил] и препаративной ВЭЖХ [10 мМ водный раствор ацетата триэтиламмония/ацетонитрил; ацетонитрил: 5%-30% (0 мин-40 мин)]. Полученное соединение (соль триэтиламина) превращали в натриевую соль с помощью следующей процедуры.
[0304]
[Превращение в натриевую соль]
Смолу ВТ AG (зарегистрированный товарный знак) 50W-X2 (биотехнологической степени чистоты, 100-200 меш, водородная форма) (500 мг) суспендировали в чистой воде и набивали в пустую колонку. После того, как избыток чистой воды стекал вниз, самотеком пропускали 1М водный раствор гидроксида натрия (5 мл) и чистую воду (10 мл) в указанном порядке. Полученное выше соединение растворяли в чистой воде (5 мл) и загружали в колонку. Стекающий раствор собирали, и проводили дополнительную элюцию колонки чистой водой (10 мл). Фракции, содержащие целевой продукт, объединяли и подвергали лиофильной сушке с получением указанного в заголовке соединения (25,7 мг).
MS (ESI) m/z: 775 (М+Н)+.
1Н-ЯМР (CD3OD) δ: 8,63 (1Н, с), 8,22 (1H, с), 8,02 (1Н, с), 7,11 (1Н, с), 6,30-6,24 (2Н, м), 5,46-5,37 (1H, м), 5,23-5,15 (1H, м), 4,83-4,79 (1H, м), 4,78-4,74 (1H, м), 4,53-4,42 (2Н, м), 4,35-4,16 (3Н, м), 4,16-3,97 (3Н, м), 3,83-3,78 (2Н, м), 3,52-3,47 (2Н, м), 2,88-2,81 (2Н, м), 2,03-1,95 (2Н, м).
31Р-ЯМР (CD3OD) δ: 57,8 (с), 54,4 (с).
[0305]
(Стадия 15-2)
Динатрия (5R,7R,8R,12aR,14R,15R,15aS,16R)-15,16-дигидрокси-7-[1-(2-гидроксиэтил)-6-оксо-1,6-дигидро-9Н-пурин-9-ил]-2,10-диоксо-14-(6,7,8,9-тетрагидро-2Н-2,3,5,6-тетраазабензо[cd]азулен-2-ил)октагидро-2Н,10Н,12Н-5,8-метано-2λ5,10λ5-фуро[3,2-1][1,3,6,9,11,2,10]пентаоксадифосфациклотетрадецин-2,10-бис(тиолят)
(Диастереомер 2)
[0306]
Соединение (диастереомер 2) (70,7 мг: содержащее примеси), полученное на стадии 14, применяли для проведения реакции по существу таким же образом, как на стадии 15-1. Затем реакционную смесь подвергали очистке с применением следующих [Условий очистки] с получением указанного в заголовке соединения в виде соли триэтиламина.
[Условия очистки]: колоночная хроматография на силикагеле С18 [10 мМ водный раствор ацетата триэтиламмония/ацетонитрил]; препаративная ВЭЖХ [10 мМ водный раствор ацетата триэтиламмония/ацетонитрил; ацетонитрил: 5%-25% (0 мин-40 мин)] и препаративная ВЭЖХ [10 мМ водный раствор ацетата триэтиламмония/метанол; метанол: 15%-70% (0 мин-40 мин)].
[0307]
Полученную соль триэтиламина подвергали солевому обмену по существу таким же образом, как описано выше для стадии 15-1 [Превращение в натриевую соль], с получением указанного в заголовке соединения (17,8 мг).
MS (ESI) m/z: 775 (М+Н)+.
1Н-ЯМР (CD3OD) δ: 8,72 (1H, с), 8,23 (1H, с), 8,02 (1H, с), 7,11 (1H, с), 6,30 (2Н, дд, J=13,6, 7,6 Гц), 5,48-5,39 (2Н, м), 4,78 (1H, дд, J=6,7, 4,2 Гц), 4,51-4,28 (5Н, м), 4,26-4,13 (2Н, м), 4,06-4,00 (1H, м), 3,93-3,86 (1H, м), 3,85-3,80 (2Н, м), 3,52-3,47 (2Н, м), 2,94-2,88 (2Н, м), 2,05-1,97 (2Н, м).
31Р-ЯМР (CD3OD) δ: 62,9 (с), 60,0 (с).
[0308]
Пример 2: Синтез ЦДН34
(5R,7R,8R,12aR,14R,15R,15aR,16R)-15фтор-16-гидрокси-7-[1-(2-гидроксиэтил)-6-оксо-1,6-дигидро-9Н-пурин-9-ил]-2,10-бис(сульфанил)-14-(6,7,8,9-тетрагидро-2Н-2,3,5,6-тетраазабензо[cd]азулен-2-ил)октагидро-2Н,10Н,12Н-5,8-метано-2λ5,10λ5-фуро[3,2-1][1,3,6,9,11,2,10]пентаоксадифосфациклотетрадецин-2,10-дион
[0309]
[Формула 95]
[0310]
[Схема синтеза]
[0311]
[Формула 96]
[0312]
(Стадия 1)
1-[2-(бензоилокси)этил]-5'-O-[бис(4-метоксифенил)(фенил)метил]инозин
К раствору доступного для приобретения (TOKYO CHEMICAL INDUSTRY CO., LTD.)инозина (10,0 г) в пиридине (50 мл) и N,N-диметилацетамиде (50 мл) добавляли 4,4'-диметокситритилхлорид (15,2 г) при 0°С, и полученную смесь перемешивали при 4°С в течение 64 ч. К реакционной смеси добавляли метанол (2 мл), и полученную смесь перемешивали в течение 10 мин, и затем концентрировали до приблизительно 50 мл. К остатку добавляли 2-бромэтилбензоат (7,02 мл) и 2,3,4,6,7,8,9,10-октагидропиримидо[1,2-а]азепин (13,9 мл), и полученную смесь перемешивали при комнатной температуре в течение 1 дня. К реакционной смеси добавляли насыщенный водный раствор бикарбоната натрия и воду. Затем смесь подвергали экстракции этилацетатом. Органический слой промывали солевым раствором и сушили над безводным сульфатом натрия. Осушающий агент отфильтровывали, и фильтрат концентрировали при пониженном давлении. Остаток очищали с помощью колоночной хроматографии на силикагеле [гексан/этилацетат/метанол/0,1% триэтиламин] с получением указанного в заголовке соединения (15,2 г).
MS (ESI) m/z: 719 (М+Н)+.
1H-ЯМР (CDCl3) δ: 8,00 (1H, с), 7,98 (1H, с), 7,98-7,94 (2Н, м), 7,62-7,15 (12Н, м), 6,80-6,75 (4Н, м), 5,95 (1H, д, J=5,4 Гц), 4,82-4,79 (1H, м), 4,72-4,64 (3Н, м), 4,55-4,34 (5Н, м), 3,77 (6Н, с), 3,43 (1H, дд, J=10,6, 3,9 Гц), 3,34 (1H, дд, J=10,6, 3,6 Гц).
[0313]
(Стадия 2)
1-[2-(бензоилокси)этил]-5'-O-[бис(4-метоксифенил)(фенил)метил]-3'-O-[трет-бутил(диметил)силил]инозин
Синтез с применением соединения (3,01 г), полученного на стадии 1, проводили по существу таким же образом, как на стадии 10 примера 1, с получением указанного в заголовке соединения (1,20 г) и региоизомера указанного в заголовке соединения, а именно 1-[2-(бензоилокси)этил]-5'-O-[бис(4-метоксифенил)(фенил)метил]-2'-O-[трет-бутил(диметил)силил]инозина (1,22 г).
MS (ESI)m/z: 833 (М+Н)+.
1Н-ЯМР (CDCl3) δ: 8,03 (1H, с), 7,98-7,96 (1H, м), 7,96 (1H, с), 7,96-7,94 (1H, м), 7,59-7,52 (1H, м), 7,44-7,38 (4Н, м), 7,32-7,15 (7Н, м), 6,83-6,77 (4Н, м), 5,94 (1H, д, J=4,8 Гц), 4,69-4,63 (2Н, м), 4,59-4,35 (4Н, м), 4,16 (1H, дд, J=3,8, 1,9 Гц), 3,77 (6Н, д, J=1,8 Гц), 3,47 (1H, дд, J=10,9, 3,0 Гц), 3,27 (1H, дд, J=10,9, 4,2 Гц), 3,00 (1H, д, J=6,7 Гц), 0,87 (9Н, с), 0,06 (3Н, с), -0,01 (3Н, с).
(2'-O-TBS-изомер)
MS (ESI)m/z: 833 (М+Н)+.
1H-ЯМР (CDCl3) δ:8,01 (1H, с), 7,97-7,93 (2Н, м), 7,91 (1H, с), 7,59-7,53 (1Н, м), 7,45-7,38 (4Н, м), 7,35-7,17 (7Н, м), 6,83-6,77 (4Н, м), 5,97 (1H, д, J=6,0 Гц), 4,84 (1H, т, J=5,4 Гц), 4,71-4,60 (2Н, м), 4,52-4,37 (2Н, м), 4,33-4,28 (1Н, м), 4,28-4,24 (1Н, м), 3,78 (3Н, с), 3,77 (3Н, с), 3,47 (1H, дд, J=10,9, 3,0 Гц), 3,38 (1Н, дд, J=10,9, 3,6 Гц), 2,71 (1H, д, J=3,0 Гц), 0,80 (9Н, с), -0,03 (3Н, с), -0,19 (3Н, с).
[0314]
(Стадия 3)
1-[2-(бензоилокси)этил]-5'-O-[бис(4-метоксифенил)(фенил)метил]-3'-O-[трет-бутил(диметил)силил]-2'-O-{(2-цианоэтокси)[ди(пропан-2-ил)амино] фосфанил}инозин
[0315]
Синтез с применением соединения (1,20 г), полученного на стадии 2, проводили по существу таким же образом, как на стадии 11 Примера 1, с получением указанного в заголовке соединения (1,41 г) в виде смеси диастереомеров (отношение диастереомеров = 0,55:0,45) по атому фосфора.
MS (ESI)m/z: 1033 (М+Н)+.
1Н-ЯМР (CDCl3) δ: 8,05 (0,45Н, с), 8,04 (0,55Н, с), 7,99-7,95 (2Н, м), 7,95 (0,55Н, с), 7,92 (0,45Н, с), 7,59-7,53 (1Н, м), 7,45-7,39 (4Н, м), 7,35-7,10 (7Н, м), 6,83-6,78 (4Н, м), 6,15 (0,55Н, д, J=5,4 Гц), 6,08 (0,45Н, д, J=6,0 Гц), 4,86-4,49 (3Н, м), 4,49-4,35 (3Н, м), 4,25-4,10 (1Н, м), 3,78 (6Н, с), 3,72-3,41 (5Н, м), 3,35-3,25 (1H, м), 2,47 (1H, т, J=6,7 Гц), 2,32 (1H, т, J=6,3 Гц), 1,33-1,24 (6Н, м), 1,13-1,03 (6Н, м), 0,84 (4,05Н, с), 0,84 (4,95Н, с), 0,08 (1,35Н, с), 0,05 (1,65Н, с), 0,00 (1,35Н, с), -0,01 (1,65Н, с).
[0316]
(Стадия 4)
6-бензоил-2-{2-O-[трет-бутил(диметил)силил]-β-D-рибофуранозил}-6,7,8,9-тетрагидро-2Н-2,3,5,6-тетраазабензо[cd]азулен
К смешанному раствору соединения (35,80 г), полученного на стадии 4 Примера 1, в дихлорметане (322 мл)/пиридине (35 мл) добавляли раствор фтороводорода/пиридина (6,33 г) в дихлорметане (36 мл) при температуре льда в течение 5 минут, и полученную смесь перемешивали при той же температуре в течение 3 часов. Реакцию останавливали путем добавления к реакционной смеси насыщенного водного раствора бикарбоната натрия (268 мл) и солевого раствора (143 мл) в указанном порядке, и затем полученный раствор подвергали экстракции этилацетатом. Органический слой сушили над безводным сульфатом натрия, осушающий агент отфильтровывали, и затем фильтрат концентрировали при пониженном давлении. К остатку добавляли гексан/этилацетат (1:1) (108 мл) с получением суспензии, и указанную суспензию перемешивали при 50°С в течение 30 мин. После этого добавляли гексан (161 мл), и полученную смесь перемешивали в течение еще 2 часов. Осажденное твердое вещество отфильтровывали и промывали гексаном/этилацетатом (4:1) (143 мл) с получением указанного в заголовке соединения (26,81 г).
MS (ESI)m/z: 525 (М+Н)+.
1Н-ЯМР (ДМСО-d6) δ: 7,98 (1H, с), 7,65 (1H, с), 7,39 (1H, м), 7,26-7,20 (4Н, м), 6,19 (1H, д, J=6,5 Гц), 5,15 (1Н, т, J=5,6 Гц), 5,00 (1Н, д, J=4,8 Гц) 4,48 (1H, т, J=5,6 Гц), 4,27 (1H, м), 4,11-4,02 (2Н, м), 3,97 (1Н, м), 3,67-3,57 (2Н, м), 2,99 (2Н, м), 2,23-2,07 (2Н, м), 0,68 (9Н, с), -0,11 (3Н, с), -0,26 (3Н, с).
[0317]
(Стадия 5)
6-бензоил-2-{2-O-[трет-бутил(диметил)силил]-3,5-бис-O-(оксан-2-ил)-β-D-рибофуранозил}-6,7,8,9-тетрагидро-2Н-2,3,5,6-тетраазабензо[cd]азулен
К раствору соединения (19,93 г), полученного на стадии 4, и 3,4-дигидро-2Н-пирана (35 мл) в N,N-диметилформамиде (200 мл) добавляли моногидрат п-толуолсульфоновой кислоты (7,25 г) при температуре льда, и полученную смесь перемешивали в течение 3 часов при комнатной температуре. Реакцию останавливали путем добавления к реакционной смеси насыщенного водного раствора бикарбоната натрия при температуре льда, и затем полученный раствор подвергали экстракции этилацетатом. Органический слой промывали водой и солевым раствором в указанном порядке и сушили над безводным сульфатом натрия. Осушающий агент отфильтровывали, и фильтрат концентрировали при пониженном давлении. Остаток очищали с помощью колоночной хроматографии на силикагеле [гексан/этилацетат] с получением указанного в заголовке соединения (24,73 г).
1Н-ЯМР (CDCl3) δ: 8,10-8,07 (1H, м), 7,59-7,35 (1H, м), 7,35-7,27 (3Н, м), 7,25-7,17 (2Н, м), 6,44-6,36 (1Н, м), 4,90-3,36 (13Н, м), 3,06-2,96 (2Н, м), 2,31-2,15 (2Н, м), 2,01-1,43 (12Н, м), 0,84-0,73 (9Н, м), 0,04- (-0,35) (6Н, м).
[0318]
(Стадия 6)
6-бензоил-2-[3,5-бис-O-(оксан-2-ил)-β-D-рибофуранозил]-6,7,8,9-тетрагидро-2Н-2,3,5,6-тетраазабензо[cd]азулен
[0319]
К раствору соединения (24,73 г), полученного на стадии 5, и уксусной кислоты (3,1 мл) в тетрагидрофуране (250 мл) добавляли раствор фторида тетрабутиламмония (приблизительно 1 М, 55 мл) в тетрагидрофуране при температуре льда, и полученную смесь перемешивали в течение ночи при комнатной температуре. Реакционную смесь концентрировали при пониженном давлении, и к остатку добавляли этилацетат с последующей промывкой водой и солевым раствором в указанном порядке. Органический слой сушили над безводным сульфатом натрия, осушающий агент отфильтровывали, и затем фильтрат концентрировали при пониженном давлении. Остаток очищали с помощью колоночной хроматографии на силикагеле [гексан/этилацетат] с получением указанного в заголовке соединения (18,74 г).
1Н-ЯМР (CDCl3) δ: 8,12-8,09 (1H, м), 7,49-7,30 (4Н, м), 7,28-7,20 (2Н, м), 6,41-6,30 (1H, м), 4,83-4,18 (7Н, м), 4,12-3,50 (7Н, м), 3,06-2,97 (2Н, м), 2,31-2,17 (2Н, м), 1,96-1,47 (12Н, м).
[0320]
(Стадия 7)
6-бензоил-2-[3,5-бис-O-(оксан-2-ил)-β-D-арабинофуранозил]-6,7,8,9-тетрагидро-2Н-2,3,5,6-тетраазабензо[cd]азулен
[0321]
К раствору соединения (18,74 г), полученного на стадии 6, и пиридина (13,1 мл) в дихлорметане (300 мл) по каплям добавляли ангидрид трифторметансульфоновой кислоты (11 мл) при температуре льда, и полученную смесь перемешивали в течение 10 мин. Реакцию останавливали путем добавления солевого раствора к реакционной смеси. После экстрагирования дихлорметаном органический слой сушили над безводным сульфатом натрия. Осушающий агент отфильтровывали, и фильтрат концентрировали при пониженном давлении. Остаток растворяли в тетрагидрофуране (300 мл). По каплям добавляли раствор нитрита тетрабутиламмония (28,34 г) в тетрагидрофуране (150 мл) при температуре льда, и полученную смесь перемешивали в течение ночи при комнатной температуре. Реакционную смесь концентрировали при пониженном давлении, и к остатку добавляли этилацетат с последующей промывкой водой и солевым раствором в указанном порядке. Органический слой сушили над безводным сульфатом натрия, осушающий агент отфильтровывали, и затем фильтрат концентрировали при пониженном давлении. Остаток очищали с помощью колоночной хроматографии на силикагеле [гексан/этилацетат] с получением указанного в заголовке соединения (10,46 г).
1Н-ЯМР (CDCl3) δ: 8,13-8,06 (1H, м), 7,63-7,30 (4Н, м), 7,29-7,18 (2Н, м), 6,79-6,55 (1H, м), 4,93-3,45 (14Н, м), 3,11-2,95 (2Н, м), 2,32-2,14 (2Н, м), 1,98-1,44 (12Н, м).
[0322]
(Стадия 8)
6-бензоил-2-[2-дезокси-2-фтор-3,5-бис-O-(оксан-2-ил)-β-D-рибофуранозил]-6,7,8,9-тетрагидро-2Н-2,3,5,6-тетраазабензо[cd]азулен
[0323]
К раствору соединения (10,46 г), полученного на стадии 7, и пиридина (7,3 мл) в дихлорметане (200 мл) по каплям добавляли ангидрид трифторметансульфоновой кислоты (6,1 мл) при температуре льда, и полученную смесь перемешивали в течение 10 мин. Реакцию останавливали путем добавления солевого раствора к реакционной смеси. После экстрагирования дихлорметаном органический слой сушили над безводным сульфатом натрия. Осушающий агент отфильтровывали, и фильтрат концентрировали при пониженном давлении. Остаток растворяли в тетрагидрофуране (200 мл). Добавляли раствор фторида тетрабутиламмония (приблизительно 1 М, 150 мл) в тетрагидрофуране при температуре льда, и полученную смесь перемешивали при той же температуре в течение 3 ч. Реакционную смесь смешивали с насыщенным водным раствором хлорида аммония и подвергали экстракции этилацетатом. Органический слой промывали солевым раствором и сушили над безводным сульфатом натрия. Затем осушающий агент отфильтровывали, и затем фильтрат концентрировали при пониженном давлении. Остаток очищали с помощью колоночной хроматографии на силикагеле [гексан/этилацетат] с получением указанного в заголовке соединения (7,65 г).
1H-ЯМР (CDCl3) δ: 8,13-8,08 (1H, м), 7,53-7,31 (4Н, м), 7,26-7,22 (2Н, м), 6,68-6,53 (1H, м), 5,42-5,08 (1H, м), 4,93-4,18 (6Н, м), 4,10-3,76 (3Н, м), 3,71-3,47 (3Н, м), 3,06-2,96 (2Н, м), 2,29-2,18 (2Н, м), 1,96-1,47 (12Н, м).
[0324]
(Стадия 9)
6-бензоил-2-(2-дезокси-2-фтор-β-D-рибофуранозил)-6,7,8,9-тетрагидро-2Н-2,3,5,6-тетраазабензо[cd]азулен
К раствору соединения (7,65 г), полученного на стадии 8, в этаноле (150 мл) добавляли п-толуолсульфонат пиридиния (6,62 г), и полученную смесь перемешивали при 50°С в течение 3 ч. Реакционную смесь концентрировали при пониженном давлении, и к остатку добавляли этилацетат с последующей промывкой насыщенным водным раствором бикарбоната натрия и солевым раствором в указанном порядке. Органический слой сушили над безводным сульфатом натрия, осушающий агент отфильтровывали, и затем фильтрат концентрировали при пониженном давлении. Остаток очищали с помощью колоночной хроматографии на силикагеле [гексан/этилацетат] с получением указанного в заголовке соединения (3,55 г).
1H-ЯМР (CDCl3) δ: 8,05 (1H, с), 7,41-7,35 (3Н, м), 7,30-7,24 (2Н, м), 7,06 (1H, с), 6,07-6,00 (2Н, м), 5,85 (1Н, ддд, J=52,8, 6,7, 4,7 Гц), 4,66 (1Н, д, J=3,9 Гц), 4,42-4,31 (2Н, м), 4,20 (1H, м), 3,93 (1H, дд, J=12,9, 1,6 Гц), 3,74 (1H, тд, J=12,3, 1,6 Гц), 3,12-2,96 (2Н, м), 2,51 (1H, с), 2,33-2,15 (2Н, м).
[0325]
(Стадия 10)
6-бензоил-2-{5-O-[бис(4-метоксифенил)(фенил)метил]-2-дезокси-2-фтор-β-D-рибофуранозил}-6,7,8,9-тетрагидро-2Н-2,3,5,6-тетраазабензо[cd]азулен
К раствору соединения (3,55 г), полученного на стадии 9, в обезвоженном пиридине (50 мл) добавляли 4,4'-диметокситритилхлорид (4,43 г), и полученную смесь перемешивали в течение 2 ч при комнатной температуре в атмосфере азота. К реакционной смеси добавляли метанол (1 мл), и полученную смесь перемешивали в течение приблизительно 10 минут, и затем концентрировали при пониженном давлении. Остаток очищали с помощью колоночной хроматографии на силикагеле [гексан/этилацетат/0,1% триэтиламин] с получением указанного в заголовке соединения (5,77 г).
1H-ЯМР (CDCl3) δ: 8,09 (1H, с), 7,45-7,41 (2Н, м), 7,36-7,17 (13Н, м), 6,85-6,79 (4Н, м), 6,53 (1H, дд, J=17,2, 2,3 Гц), 5,40 (1H, ддд, J=53,2, 4,8, 2,3 Гц), 4,83-4,72 (1H, м), 4,32-4,21 (2Н, м), 4,19-4,14 (1H, м), 3,79 (3Н, с), 3,79 (3Н, с), 3,59 (1H, дд, J=11,0, 2,7 Гц), 3,45 (1H, дд, J=11,0, 3,5 Гц), 2,79 (2Н, т, J=6,3 Гц), 2,45 (1H, с), 2,24-2,11 (2Н, м).
[0326]
(Стадия 11)
6-бензоил-2-(5-O-[бис(4-метоксифенил)(фенил)метил]-3-O-{(2-цианоэтокси)[ди(пропан-2-ил)амино]фосфанил}-2-дезокси-2-фтор-β-D-рибофуранозил)-6,7,8,9-тетрагидро-2Н-2,3,5,6-тетраазабензо[cd]азулен
Реакцию с применением соединения (5,77 г), полученного на стадии 10, проводили по существу таким же образом, как на стадии 6 Примера 1, с получением указанного в заголовке соединения (5,95 г) в виде смеси диастереомеров (отношение диастереомеров = 1:1) по атому фосфора.
1Н-ЯМР (CDCl3) δ: 8,10 (0,5Н, с), 8,09 (0,5Н, с), 7,45-7,12 (15Н, м), 6,84-6,75 (4Н, м), 6,57-6,46 (1H, м), 5,61-5,33 (1H, м), 5,07-4,83 (1H, м), 4,34-4,18 (3Н, м), 3,93-3,72 (7Н, м), 3,69-3,49 (4Н, м), 3,38-3,27 (1Н, м), 2,87-2,68 (2Н, м), 2,61 (1H, тд, J=6,3, 1,6 Гц), 2,40 (1H, тд, J=6,4, 2,1 Гц), 2,21-2,12 (2Н, м), 1,21-1,13 (9Н, м), 1,03 (3Н, д, J=6,7 Гц).
[0327]
(Стадия 12)
Реакцию с применением соединения (1,02 г), полученного на стадии 11, проводили по существу таким же образом, как на стадии 7 Примера 1, с получением раствора 6-бензоил-2-{2-дезокси-2-фтор-3-O-[гидрокси(оксо)-λ5-фосфанил]-β-D-рибофуранозил}-6,7,8,9-тетрагидро-2Н-2,3,5,6-тетраазабензо[cd]азулена в ацетонитриле. Реакцию с применением полученного раствора в ацетонитриле и соединения (1,15 г), полученного на стадии 3, проводили по существу таким же образом, как на стадии 12 Примера 1. Полученный неочищенный продукт непосредственно применяли в следующей реакции.
[0328]
(Стадия 13)
2-{9-[(5R,7R,8R,12aR,14R,15R,15aR,16R)-14-(6-бензоил-6,7,8,9-тетрагидро-2Н-2,3,5,6-тетраазабензо[cd]азулен-2-ил)-16-{[трет-бутил(диметил)силил]окси}-10-(2-цианоэтокси)-15-фтор-2-оксо-2-сульфанил-10-сульфанилиденоктагидро-2Н,10Н,12Н-5,8-метано-2λ5,10λ5-фуро[3,2-1][1,3,6,9,11,2,10]пентаоксадифосфациклотетрадецин-7-ил]-6-оксо-6,9-дигидро-1Н-пурин-1-ил}этилбензоат
Реакцию с применением неочищенного продукта, полученного на стадии 12, проводили по существу таким же образом, как на стадии 13 Примера 1, с получением указанного в заголовке соединения (818 мг; содержащего примеси) в виде смеси диастереомеров по атому фосфора.
MS (ESI) m/z: 1152 (М+Н)+.
[0329]
(Стадия 14)
Бис(N,N-диэтилэтанаминия) (5R,7R,8R,12aR,14R,15R,15aR,16R)-16-{[трет-бутил(диметил)силил]окси}-15-фтор-7-[1-(2-гидроксиэтил)-6-оксо-1,6-дигидро-9Н-пурин-9-ил]-2,10-диоксо-14-(6,7,8,9-тетрагидро-2Н-2,3,5,6-тетраазабензо[cd]азулен-2-ил)октагидро-2Н,10Н, 12Н-5,8-метано-2λ5,10λ5-фуро[3,2-1][1,3,6,9,11,2,10]пентаоксадифосфациклотетрадецин-2,10-бис(тиолят)
Реакцию с применением соединения (818 мг), полученного на стадии 13, проводили по существу таким же образом, как на стадии 14 Примера 1, с получением диастереомера 1 (107 мг; содержащего примеси) и диастереомера 2 (101 мг; содержащего примеси) указанного в заголовке соединения.
Диастереомер 1 (менее полярный)
MS (ESI) m/z: 891 (M+H)+.
Диастереомер 2 (более полярный)
MS (ESI) m/z: 891 (M+H)+.
[0330]
(Стадия 15-1)
Динатрия (5R,7R,8R,12aR,14R,15R,15aR,16R)-15-фтор-16-гидрокси-7-[1-(2-гидроксиэтил)-6-оксо-1,6-дигидро-9Н-пурин-9-ил]-2,10-диоксо-14-(6,7,8,9-тетрагидро-2Н-2,3,5,6-тетраазабензо[cd]азулен-2-ил)октагидро-2Н,10Н,12Н-5,8-метано-2λ5,10λ5-фуро[3,2-1][1,3,6,9,11,2,10]пентаоксадифосфациклотетрадецин-2,10-бис(тиолят)
(Диастереомер 1)
[0331]
Реакцию с применением соединения (диастереомера 1) (107 мг; содержащего примеси), полученного на стадии 14, проводили по существу таким же образом, как на стадии 15-1 Примера 1. Затем реакционную смесь подвергали очистке с применением следующих [Условий очистки] с получением указанного в заголовке соединения в виде соли триэтиламина. [Условия очистки] Колоночная хроматография на силикагеле С18 [10 мМ водный раствор ацетата триэтиламмония/ацетонитрил] и препаративная ВЭЖХ [10 мМ водный раствор ацетата триэтиламмония/ацетонитрил; ацетонитрил: 5%-30% (0 мин-30 мин)].
Полученную соль триэтиламина подвергали солевому обмену по существу таким же образом, как описано выше для стадии 15-1 [Превращение в натриевую соль] Примера 1, с получением указанного в заголовке соединения (29,1 мг).
MS (ESI) m/z: 777 (М+Н)+.
1Н-ЯМР (CD3OD) δ: 8,58 (1Н, м), 8,11 (1H, м), 8,03 (1H, с), 7,11 (1H, с), 6,47 (1H, д, J=17,5 Гц), 6,26 (1Н, д, J=8,5 Гц), 5,53-5,36 (2Н, м), 5,29-5,17 (1H, м), 4,77 (1H, д, J=4,2 Гц), 4,54-4,46 (1H, м), 4,44-4,38 (1Н, м), 4,35-4,32 (1H, м), 4,30-4,25 (2Н, м), 4,25-4,16 (1H, м), 4,06-3,99 (1H, м), 3,96-3,85 (1H, м), 3,82-3,71 (2Н, м), 3,54-3,42 (2Н, м), 2,77-2,68 (1H, м), 2,66-2,55 (1H, м), 2,02-1,81 (2Н, м).
31Р-ЯМР (CD3OD) δ: 57,5 (с), 53,0 (с).
[0332]
(Стадия 15-2)
Динатрия (5R,7R,8R,12aR,14R,15R,15aR,16R-15-фтор-16-гидрокси-7-[1-(2-гидроксиэтил)-6-оксо-1,6-дигидро-9Н-пурин-9-ил]-2,10-диоксо-14-(6,7,8,9-тетрагидро-2Н-2,3,5,6-тетраазабензо[cd]азулен-2-ил)октагидро-2Н,10Н,12Н-5,8-метаноно-2λ5,10λ5-фуро[3,2-1][1,3,6,9,11,2,10]пентаоксадифосфациклотетрадецин-2,10-бис(тиолят)
(Диастереомер 2)
[0333]
Реакцию с применением соединения (диастереомера 2) (101 мг; содержащего примеси), полученного на стадии 14, проводили по существу таким же образом, как на стадии 15-1 Примера 1. Затем реакционную смесь подвергали очистке с применением следующих [Условий очистки] с получением указанного в заголовке соединения в виде соли триэтиламина. [Условия очистки] Колоночная хроматография на силикагеле С18 [10 мМ водный раствор ацетата триэтиламмония/ацетонитрил] и препаративная ВЭЖХ [10 мМ водный раствор ацетата триэтиламмония/ацетонитрил; ацетонитрил: 5%-20% (0 мин-30 мин)].
Полученную соль триэтиламина подвергали солевому обмену по существу таким же образом, как описано выше для стадии 15-1 [Превращение в натриевую соль] Примера 1, с получением указанного в заголовке соединения (11,2 мг).
MS (ESI) m/z: 777 (М+Н)+.
1Н-ЯМР (CD3OD) δ: 8,61 (1Н, м), 8,16 (1Н, м), 8,02 (1Н,м), 7,36 (1Н, с), 6,49 (1Н, дд, J=16,0, 2,1 Гц), 6,28 (1Н, д, J=8,5 Гц), 5,56-5,33 (3Н, м), 4,58-4,49 (2Н, м), 4,45-4,37 (2Н, м), 4,31-4,27 (1Н, м), 4,25-4,16 (1Н, м), 4,10-3,98 (3Н, м), 3,80 (2Н, т, J=5,1 Гц), 3,48 (2Н, дд, J=6,7, 3,6 Гц), 2,90-2,72 (2Н, м), 2,00-1,90 (2Н, м).
31P-NMR (CD3OD) δ: 59.5 (s), 57.7 (s).
[0334]
Пример 3: Синтез ЦДН49
(5R,7R,8R,12aR,14R,15R,15aR,16R)-7-[1-(2-аминоэтил)-6-оксо-1,6-дигадро-9Н-пурин-9-ил]-14-(8,9-дигадро-6-тиа-2,3,5-триазабензо[cd]азулен-2(7Н)-ил)-15-фтор-16-гидрокси-2,10-бис(сульфанил)октагидро-2Н,10Н,12Н-5,8-метано-λ5,10λ5-фуро[3,2-1][1,3,6,9,11,2,10]пентаоксадифосфациклотетрадецин-2,10-дион
[0335]
[Формула 97]
[0336]
[Схема синтеза]
[0337]
[Формула 98]
[0338]
(Стадия 1)
5'-O-[бис(4-метоксифенил)(фенил)метил]-1-[2-(1,3-диоксо-1,3-дигидро-2Н-изоиндол-2-ил)этил]инозин
К суспензии доступного для приобретения (Aamdis Chemical) 5'-O-[бис(4-метоксифенил)(фенил)метил]инозина (13,0 г) в N,N-диметилацетамиде (60 мл) добавляли М-(2-бромэтил)фталимид (7,02 г) и 1,8-диазабицикло[5.4.0]-7-ундецен (4,1 мл), и полученную смесь перемешивали в течение ночи при комнатной температуре. Дополнительно добавляли М-(2-бромэтил)фталимид (1,75 г) и 1,8-диазабицикло[5.4.0]-7-ундецен (1,1 мл), и полученную смесь перемешивали в течение еще 1 дня. Реакцию останавливали путем добавления воды к реакционной смеси, и полученную смесь подвергали экстракции дихлорметаном. Органический слой сушили над безводным сульфатом натрия, осушающий агент отфильтровывали, и затем фильтрат концентрировали при пониженном давлении. Остаток очищали с помощью колоночной хроматографии на силикагеле [этилацетат/метанол] с получением указанного в заголовке соединения (12,4 г).
1Н-ЯМР (CDCl3) δ: 7,83 (1H, с), 7,76-7,67 (4Н, м), 7,64 (1H, с), 7,35-7,33 (2Н, м), 7,25-7,11 (7Н, м), 6,74-6,70 (4Н, м), 5,93 (1Н, д, J=5,1 Гц), 5,68 (1H, д, J=3,9 Гц), 4,71 (1H, кв, J=4,8 Гц), 4,43 (1H, м), 4,37-4,18 (3Н, м), 4,10-4,06 (2Н, м), 3,730 (3Н, с), 3,728 (3Н, с), 3,51 (1Н, м), 3,36 (1H, дд, J=10,6, 3,9 Гц), 3,32 (1H, дд, J=11,0, 5,5 Гц).
[0339]
(Стадия 2)
5'-O-[бис(4-метоксифенил)(фенил)метил]-3'-O-[трет-бутил(диметил)силил]-1-[2-(1,3-диоксо-1,3-дигидро-2Н-изоиндол-2-ил)этил]инозин
Реакцию с применением соединения (12,4 г), полученного на стадии 1, проводили по существу таким же образом, как на стадии 10 Примера 1, с получением указанного в заголовке соединения (4,18 г) и региоизомера указанного в заголовке соединения, а именно 5'-O-[бис(4-метоксифенил)(фенил)метил]-2'-O-[трет-бутил(диметил)силил]-1-[2-(1,3-диоксо-1,3-дигидро-2Н-изоиндол-2-ил)этил]инозина (6,31 г).
1H-ЯМР (CDCl3) δ: 8,00 (1H, с), 7,82-7,77 (2Н, м), 7,74 (1H, с), 7,72-7,67 (2Н, м), 7,41-7,39 (2Н, м), 7,32-7,19 (7Н, м), 6,83-6,78 (4Н, м), 5,90 (1Н, д, J=5,1 Гц), 4,53-4,41 (3Н, м), 4,32-4,25 (1H, м), 4,19-4,11 (3Н, м), 3,79 (3Н, с), 3,78 (3Н, с), 3,46 (1H, дд, J=10,6, 3,1 Гц), 3,24 (1Н, дд, J=10,8, 4,1 Гц), 2,98 (1H, д, J=6,7 Гц), 0,85 (9Н, с), 0,04 (3Н, с), -0,03 (3Н, с).
Региоизомер (2'-O-TBS-изомер)
1Н-ЯМР (CDCl3) δ: 7,97 (1H, с), 7,82-7,78 (2Н, м), 7,73-7,69 (2Н, м), 7,66 (1H, с), 7,44-7,41 (2Н, м), 7,33-7,18 (7Н, м), 6,81 (4Н, д, J=7,8 Гц), 5,91 (1H, д, J=5,9 Гц), 4,82 (1H, т, J=5,5 Гц), 4,43 (1H, м), 4,34-4,23 (3Н, м), 4,18-4,08 (2Н, м), 3,79 (6Н, с), 3,46 (1H, дд, J=10,6, 2,7 Гц), 3,36 (1H, дд, J=10,6, 3,5 Гц), 2,70 (1H, д, J=3,1 Гц), 0,83 (9Н, с), -0,04 (3Н, с), -0,19 (3Н, с).
[0340]
(Стадия 3)
5'-O-[бис(4-метоксифенил)(фенил)метил]-3'-O-[трет-бутил(диметил)силил]-2'-O-{(2-цианоэтокси)[ди(пропан-2-ил)]амино]фосфанил}-1-[2-(1,3-диоксо-1,3-дигидро-2Н-изоиндол-2-ил)этил]инозин
Реакцию с применением соединения (8,89 г), полученного на стадии 2, проводили по существу таким же образом, как на стадии 6 Примера 1, с получением указанного в заголовке соединения (9,45 г) в виде смеси диастереомеров (отношение диастереомеров = 1:1) по атому фосфора.
1Н-ЯМР (CDCl3) δ: 8,01 (0,5H, с), 8,00 (0,5Н, с), 7,82-7,77 (2Н, м), 7,74 (0,5Н, с), 7,72-7,67 (2,5Н, м), 7,42 (2Н, д, J=7,8 Гц), 7,33-7,18 (7Н, м), 6,81 (4Н, д, J=8,6 Гц), 6,10 (0,5Н, д, J=5,5 Гц), 6,04 (0,5Н, д, J=5,1 Гц), 4,75 (0,5Н, м), 4,60 (0,5Н, м), 4,49-4,41 (1H, м), 4,38-4,23 (2Н, м), 4,22-4,05 (3Н, м), 3,79 (6Н, с), 3,78-3,65 (1H, м), 3,62-3,39 (4Н, м), 3,33-3,23 (1H, м), 2,49 (1H, т, J=6,3 Гц), 2,34 (1H, т, J=6,7 Гц), 1,12-1,08 (9Н, м), 0,91 (3Н, д, J=7,0 Гц), 0,82 (9Н, с), 0,06 (1,5Н, с), 0,03 (1,5Н, с), -0,03 (3Н, с).
[0341]
(Стадия 4)
4-хлор-5-йод-7-{[2-(триметилсилил)этокси]метил}-7Н-пирроло[2,3-d] пиримидин
К раствору доступного для приобретения (PharmaBlock) 4-хлор-5-йод-7Н-пирроло[2,3-d]пиримидина (73,8 г) в N,N-диметилформамиде (10 мл) добавляли гидрид натрия (содержащий 45% минерального масла) (13,3 г) при температуре льда, и полученную смесь перемешивали в течение 40 мин при одновременном повышении температуры до комнатной температуры. После повторного охлаждения на льду добавляли [2-(хлорметокси)этил](триметил)силан (51,0 мл) в течение 10 мин, и полученную смесь перемешивали при той же температуре в течение 30 мин. Реакцию останавливали путем добавления воды небольшими порциями в течение некоторого времени (260 мл) к в значительной мере отвердевшей реакционной смеси. Твердое вещество отфильтровывали, промывали водой (1500 мл) и гексаном (600 мл), и затем сушили при 40°С при пониженном давлении с получением указанного в заголовке соединения (97,63 г).
MS (ESI) m/z: 410 (М+Н)+.
1Н-ЯМР (CDCl3) δ: 8,64 (1H, с), 7,54 (1H, с), 5,61 (2Н, с), 3,52 (2Н, т, J=8,3 Гц), 0,92 (2Н, т, J=8,3 Гц), -0,04 (9Н, с).
[0342]
(Стадия 5)
4-(бензилокси)-5-йод-7-{[2-(триметилсилил)этокси]метил}-7Н-пирроло[2,3-d]пиримидин
К раствору бензилового спирта (27 мл) в N,N-диметилформамиде (170 мл) добавляли гидрид натрия (содержащий 45% минерального масла) (12 г) при температуре льда, и полученную смесь перемешивали в течение 40 мин при одновременном повышении температуры до комнатной температуры. После повторного охлаждения на льду добавляли суспензию соединения (97,63 г), полученного на стадии 4, в N,N-диметилформамиде (360 мл) в течение 40 минут, и полученную смесь перемешивали при той же температуре в течение 35 минут. Реакцию останавливали путем добавления к реакционной смеси кусочка льда и насыщенного водного раствора хлорида аммония. Реакционную смесь вливали в двухслойную смесь насыщенного водного раствора хлорида аммония и этилацетата, и для экстрагирования применяли этилацетат:толуол (9:1). Органический слой дважды промывали водой и солевым раствором и сушили над безводным сульфатом натрия. Осушающий агент отфильтровывали, и фильтрат концентрировали при пониженном давлении. Остаток очищали с помощью колоночной хроматографии на силикагеле [гексан/этилацетат] с получением указанного в заголовке соединения (107,7 г).
MS (ESI) m/z: 482 (М+Н)+.
1H-ЯМР (CDCl3) δ: 8,47 (1H, с), 7,61 (2Н, д, J=7,3 Гц), 7,41 (2Н, т, J=7,6 Гц), 7,36-7,30 (1H, м), 7,30 (1Н, с), 5,65 (2Н, с), 5,57 (2Н, с), 3,52 (2Н, т, J=8,3 Гц), 0,91 (2Н, т, J=8,3 Гц), -0,05 (9Н, с).
[0343]
(Стадия 6)
4-(бензилокси)-5-(3,3-диэтоксипроп-1-ин-1-ил)-7-{[2-(триметилсилил)этокси]метил}-7Н-пирроло[2,3-d]пиримидин
[0344]
К смешанному раствору соединения (113,4 г), полученного на стадии 5, в ацетонитриле (1000 мл)/триэтиламине (98 мл) добавляли йодид меди (4,49 г), тетракистрифенилфосфинпалладий (0) (8,17 г) и 3,3-диэтоксипроп-1-ин (104 мл) при комнатной температуре в атмосфере азота, и полученную смесь перемешивали при той же температуре в течение 4,5 часов. Реакционную смесь концентрировали при пониженном давлении, к остатку добавляли этилацетат и гексан, и осажденное твердое вещество отфильтровывали. Твердое вещество промывали смешанным раствором этилацетата d: гексана (1:1), и затем фильтрат концентрировали при пониженном давлении. Остаток очищали с помощью колоночной хроматографии на силикагеле [гексан/этилацетат] с получением указанного в заголовке соединения (145,5 г; содержащего примеси).
MS (ESI) m/z: 482 (М+Н)+.
[0345]
(Стадия 7)
5-(3,3-диэтоксипропил)-7-{[2-(триметилсилил)этокси]метил}-7Н-пирроло[2,3-d]пиримидин-4-ол
К раствору соединения (145,5 г), полученного на стадии 6, в этаноле (900 мл) добавляли катализатор - 10% влажный палладированный уголь (М) (50,2 г), и полученную смесь перемешивали в течение 5 часов при комнатной температуре в атмосфере водорода. К реакционной смеси добавляли дихлорметан (500 мл), катализатор отфильтровывали с помощью целита, и затем фильтрат концентрировали при пониженном давлении. Остаток дважды очищали с помощью колоночной хроматографии на силикагеле [гексан/этилацетат] с получением указанного в заголовке соединения (59,6 г).
MS (ESI) m/z: 418 (M+Na)+, 394[M-H]-.
1Н-ЯМР (CDCl3) δ: 11,23 (1Η, уш. с), 7,85 (1H, с), 6,79 (1H, с), 5,47 (2Н, с), 4,58 (1H, т, J=5,9 Гц), 3,69 (2Н, м), 3,57-3,49 (4Н, м), 2,90 (2Н, т, J=7,8 Гц), 2,07 (2Н, м), 1,23 (6Н, т, J=7,1 Гц), 0,91 (2Н, т, J=8,1 Гц), -0,04 (9Н, с).
[0346]
(Стадия 8)
5-(3,3-диэтоксипропил)-7-{[2-(триметилсилил)этокси]метил}-7Н-пирроло[2,3-d]пиримидин-4-тиол
К раствору соединения (59,6 г), полученного на стадии 7, в обезвоженном дихлорметане (300 мл) добавляли 2,6-лутидин (42 мл) в атмосфере азота. По каплям добавляли ангидрид трифторметансульфоновой кислоты (31 мл) в течение 20 мин при -20°С, и полученную смесь перемешивали при той же температуре в течение 20 мин. Добавляли N,N-диметилформамид (500 мл) и n-гидрат гидросульфида натрия (33,5 г) при температуре льда, и полученную смесь перемешивали в течение 2,5 часов после повышения температуры до комнатной температуры. Реакционную смесь концентрировали при пониженном давлении, и компонент с низкой температурой кипения отгоняли. Остаток вливали в двухслойную смесь этилацетата и охлажденного до температуры льда насыщенного водного раствора хлорида аммония, и для экстрагирования применяли этилацетат:толуол (9:1). Органический слой однократно промывали насыщенным водным раствором хлорида аммония и дважды промывали солевым раствором, и сушили над безводным сульфатом натрия. Осушающий агент отфильтровывали, и фильтрат концентрировали при пониженном давлении. Остаток очищали с помощью колоночной хроматографии на силикагеле [гексан/этилацетат] с получением смеси указанного в заголовке соединения и 2,6-лутидина. Полученную смесь вливали в двухслойную смесь этилацетата и 1 н. соляной кислоты, и дважды применяли этилацетат для экстрагирования. Органический слой трижды промывали солевым раствором и сушили над безводным сульфатом натрия. Осушающий агент отфильтровывали, и затем фильтрат концентрировали при пониженном давлении с получением указанного в заголовке соединения (57,6 г).
MS (ESI)m/z: 410 (М-Н)-.
1Н-ЯМР (CDCl3) δ: 11,69 (1Н, уш. с), 7,90 (1H, с), 6,96 (1H, с), 5,49 (2Н, с), 4,61 (1H, т, J=5,9 Гц), 3,71 (2Н, м), 3,55 (2Н, м), 3,49 (2Н, т, J=8,1 Гц), 3,14 (2Н, т, J=7,8 Гц), 2,08 (2Н, м), 1,23 (6Н, т, J=7,1 Гц), 0,90 (2Н, т, J=8,3 Гц), -0,04 (9Н, с).
[0347]
(Стадия 9)
3-(4-сульфанил-7-{[2-(триметилсилил)этокси]метил}-7Н-пирроло[2,3-d]пиримидин-5-ил)пропан-1-ол
Соединение (31,62 г), полученное на стадии 8, растворяли в 80% водном растворе уксусной кислоты (300 мл), и полученную смесь перемешивали при комнатной температуре в течение 30 мин. После того, как обнаруживали исчезновение исходного вещества, смесь охлаждали на льду и осторожно небольшими порциями добавляли борогидрид натрия (1,45 г). Затем смесь перемешивали при той же температуре в течение 30 мин. Затем в течение 15 мин добавляли триацетоксиборгидрид натрия (24,4 г), и полученную смесь перемешивали при той же температуре в течение 1,5 ч. Реакционную смесь концентрировали при пониженном давлении до приблизительно одной пятой ее объема. К остатку осторожно добавляли бикарбонат натрия (твердый) для нейтрализации до некоторой степени, а затем применяли этилацетат для экстрагирования. Органический слой промывали насыщенным раствором бикарбоната натрия и солевым раствором в указанном порядке и сушили над безводным сульфатом натрия. Осушающий агент отфильтровывали, и фильтрат концентрировали при пониженном давлении. Остаток очищали с помощью колоночной хроматографии на силикагеле [гексан/этилацетат] с получением указанного в заголовке соединения (17,93 г).
MS (ESI) m/z: 340 [М+Н]+.
1H-ЯМР (CDCl3) δ: 11,92 (1H, уш. с), 7,95 (1H, с), 7,01 (1H, с), 5,51 (2Н, с), 3,70 (2Н, т, J=5,9 Гц), 3,50 (2Н, т, J=8,1 Гц), 3,23 (2Н, т, J=7,3 Гц), 2,33 (1Н, уш. с), 1,99 (2Н, м), 0,91 (2Н, т, J=8,3 Гц), -0,04 (9Н, с).
[0348]
(Стадия 10)
2-{[2-(триметилсилил)этокси]метил}-2,7,8,9-тетрагидро-6-тиа-2,3,5-триазабензо[cd]азулен
[0349]
К раствору соединения (31,31 г), полученного на стадии 9, в обезвоженном тетрагидрофуране (600 мл) добавляли трифенилфосфин (25,4 г) и диизопропилазодикарбоксилат (21,8 г) при 0°С в атмосфере азота, и полученную смесь перемешивали при той же температуре в течение 1 ч. Реакционную смесь концентрировали при пониженном давлении, и остаток последовательно очищали с помощью колоночной хроматографии на силикагеле [дихлорметан/этилацетат] и колоночной хроматографии на силикагеле [гексан/этилацетат] с получением указанного в заголовке соединения (35,93 г: содержащего примеси).
MS (ESI) m/z: 322 [М+Н]+.
1H-ЯМР (CDCl3) δ: 8,57 (1H, с), 7,08 (1H, с), 5,58 (2Н, с), 3,52 (2Н, т, J=8,3 Гц), 3,17 (2Н, м), 3,06 (2Н, т, J=5,6 Гц), 2,36 (2Н, м), 0,92 (2Н, т, J=8,3 Гц), -0,05 (9Н, с).
[350]
(Стадия 11)
(8,9-дигидро-6-тиа-2,3,5-триазабензо[cd]азулен-2(7Н)-ил)метанол
К раствору соединения (35,93 г), полученного на стадии 10, в дихлорметане (150 мл) добавляли трифторуксусную кислоту (150 мл) при комнатной температуре, и полученную смесь перемешивали при той же температуре в течение 1,5 ч. Реакционную смесь концентрировали при пониженном давлении и затем четыре раза подвергали азеотропной перегонке с толуолом. К остатку добавляли смешанный раствор дихлорметана и гексана (1:2), и осажденное твердое вещество фильтровали и собирали (твердое вещество 1). Фильтрат концентрировали при пониженном давлении. Затем остаток очищали с помощью колоночной хроматографии на силикагеле [гексан/этилацетат→этилацетат/метанол] с получением твердого вещества 2. Твердые вещества 1 и 2 объединяли с получением указанного в заголовке соединения (20,13 г).
MS (ESI) m/z: 222 [М+Н]+.
1H-ЯМР (CDCl3) δ: 8,60 (1H, с), 7,19 (1H, с), 5,71 (2Н, с), 3,21 (2Н, м), 3,07 (2Н, м), 2,38 (2Н, м) (перечислены только наблюдаемые пики).
[0351]
(Стадия 12)
2,7,8,9-тетрагидро-6-тиа-2,3,5-триазабензо[cd]азулен
К суспензии соединения (20,13 г), полученного на стадии 11, в метаноле (250 мл) добавляли 28% водный раствор аммиака (150 мл), и полученную смесь перемешивали при комнатной температуре в течение 1,5 ч. Реакционную смесь концентрировали при пониженном давлении до приблизительно половины ее объема. Осажденное твердое вещество отфильтровывали и промывали этанолом с получением твердого вещества 1. Фильтрат концентрировали при пониженном давлении, и затем с помощью по существу такой же процедуры получали твердое вещество 2. Фильтрат наносили на силикагель и очищали с помощью колоночной хроматографии на силикагеле [дихлорметан/метанол]. Фракции, содержащие целевой продукт, концентрировали при пониженном давлении и промывали этанолом в виде суспензии, и полученное твердое вещество фильтровали и собирали (твердое вещество 3). Твердые вещества 1, 2 и 3 объединяли с получением указанного в заголовке соединения (12,36 г).
MS (ESI) m/z: 192 [М+Н]+.
1Н-ЯМР (CDCl3) δ: 10,53 (1H, уш. с), 8,57 (1H, с), 7,10 (1H, с), 3,18 (2Н, м), 3,08 (2Н, т, J=5,6 Гц), 2,37 (2Н, м).
[0352]
(Стадия 13)
2-(2,3,5-три-O-бензил-β-D-арабинофуранозил)-2,7,8,9-тетрагидро-6-тиа-2,3,5-триазабензо[cd]азулен
К суспензии соединения (13,47 г), полученного на стадии 12, в обезвоженном ацетонитриле (350 мл) добавляли порошкообразный гидроксид калия (10,3 г) и трис[2-(2-метоксиэтокси)этил]амин (1,13 мл) в атмосфере азота, и полученную смесь перемешивали при комнатной температуре в течение 1,5 ч. При температуре льда постепенно добавляли раствор 2,3,5-три-О-бензил-α-D-арабинофуранозилхлорида (40,2 г) в ацетонитриле (100 мл), как известно из литературы (J. Med. Chem. 1976, 19, 6, 814-816), температуру повышали до комнатной температуры, и затем полученную смесь перемешивали в течение 4 ч. Нерастворимое вещество отфильтровывали и промывали ацетонитрилом. Фильтрат концентрировали при пониженном давлении. Остаток дважды очищали с помощью колоночной хроматографии на силикагеле [гексан/этилацетат] с получением указанного в заголовке соединения (26,19 г).
MS (EST) m/z: 594 [M+H]+.
1Н-ЯМР (CDCl3) δ: 8,51 (1H, с), 7,37-7,17 (14Н, м), 6,86 (2Н, м), 6,82 (1H, д, J=4,9 Гц), 4,68 (1H, д, J=11,7 Гц), 4,59 (1Н, д, J=11,7 Гц), 4,54 (1Н, д, J=13,2 Гц), 4,52 (1H, д, J=11,7 Гц), 4,36-4,33 (2Н, м), 4,22 (1H, д, J=11,7 Гц), 4,14-4,08 (2Н, м), 3,77 (1H, дд, J=10,7, 3,9 Гц), 3,72 (1H, дд, J=10,5, 4,1 Гц), 3,13 (2Н, м), 2,81 (2Н, м), 2,27 (2Н, м).
[0353]
(Стадия 14)
2-β-D-арабинофуранозил-2,7,8,9-тетрагидро-6-тиа-2,3,5-триазабензо[cd]азулен
К раствору соединения (26,19 г), полученного на стадии 13, в обезвоженном дихлорметане (300 мл) добавляли раствор трихлорида бора (1 М, 200 мл) в дихлорметане при -78°С в атмосфере азота. После перемешивания смеси при той же температуре в течение 2 ч температуру повышали до 0°С, после чего перемешивали в течение еще 4 ч. Реакционную смесь повторно охлаждали до -78°С и добавляли раствор метанола (80 мл) в дихлорметане (160 мл), и полученную смесь перемешивали в течение 30 мин при одновременном повышении температуры до комнатной температуры. Реакционную смесь концентрировали при пониженном давлении, и затем дважды подвергали азеотропной перегонке с этанолом. К остатку добавляли этанол (200 мл) и диэтиловый эфир (100 мл) с получением суспензии, и полученное твердое вещество фильтровали и собирали (твердое вещество 1). Фильтрат концентрировали при пониженном давлении, и остаток очищали с помощью колоночной хроматографии на силикагеле [дихлорметан/метанол]. Фракции, содержащие целевой продукт, концентрировали при пониженном давлении и добавляли этанол с получением суспензии. Затем полученное твердое вещество фильтровали и собирали (твердое вещество 2). Твердые вещества 1 и 2 объединяли с получением указанного в заголовке соединения (13,2 г).
MS (ESI) m/z: 324 [М+Н]+.
1H-ЯМР (CD3OD) δ: 8,73 (1Н, с), 7,96 (1H, с), 6,70 (1Н, д, J=4,9 Гц), 4,32 (1H, т, J=4,6 Гц), 4,25 (1H, т, J=4,6 Гц), 3,97 (1H, м), 3,90 (1H, дд, J=12,0, 3,2 Гц), 3,85 (1H, дд, J=12,0, 4,6 Гц), 3,53 (2Н, м), 3,17 (2Н, м), 2,43 (2Н, м).
[0354]
(Стадия 15)
2-[3,5-бис-O-(оксан-2-ил)-β-D-арабинофуранозил]-2,7,8,9-тетрагидро-6-тиа-2,3,5-триазабензо[cd]азулен
К раствору соединения (15,35 г), полученного на стадии 14, в обезвоженном диметилсульфоксиде (160 мл) добавляли 3,4-дигидро-2Н-пиран (17,2 мл) и моногидрат п-толуолсульфоновой кислоты (9,02 г) при 0°С, и полученную смесь перемешивали в течение 3 ч при комнатной температуре. Затем добавляли 3,4-дигидро-2Н-пиран (8,6 мл), и полученную смесь перемешивали в течение 45 мин. Сразу после этого добавляли триэтиламин (13 мл), чтобы остановить реакцию. Реакционную смесь вливали в двухслойную смесь этилацетата и насыщенного водного раствора бикарбоната натрия, и применяли этилацетат для экстрагирования. Органический слой однократно промывали водой и дважды промывали солевым раствором, и сушили над безводным сульфатом натрия. Осушающий агент отфильтровывали, и фильтрат концентрировали при пониженном давлении. Остаток очищали с помощью колоночной хроматографии на силикагеле [гексан/этилацетат] с получением указанного в заголовке соединения (10,81 г) в виде смеси четырех диастереомеров.
MS (ESI) m/z: 492 [М+Н]+.
1Н-ЯМР (CDCl3) δ: 8,548 (0,2H, с), 8,546 (0,3Н, с), 8,54 (0,3Н, с), 8,53 (0,2Н, с), 7,54 (0,2Н, с), 7,53 (0,3Н, с), 7,51 (0,2Н, с), 7,44 (0,3Н, с), 6,75 (0,2Н, д, J=5,4 Гц), 6,71 (0,2Н, д, J=5,9 Гц), 6,57 (0,3Н, д, J=5,9 Гц), 6,56 (0,3Н, д, J=5,9 Гц), 4,87-4,69 (2Н, м), 4,55-3,54 (10Н, м), 3,18-3,12 (2Н, м), 3,10-2,96 (2Н, м), 2,40-2,30 (2Н, м), 1,92-1,51 (12Н, м).
[0355]
(Стадия 16)
2-[2-дезокси-2-фтор-3,5-бис-O-(оксан-2-ил)-β-D-рибофуранозил]-2,7,8,9-тетрагидро-6-тиа-2,3,5-триазабензо[cd]азулен
К раствору соединения (10,81 г), полученного на стадии 15, в обезвоженном дихлорметане (150 мл) добавляли пиридин (5,3 мл) и ангидрид трифторметансульфоновой кислоты (5,6 мл) при 0°С в атмосфере азота, и полученную смесь перемешивали при той же температуре в течение 1 ч. Реакцию останавливали путем добавления к реакционной смеси кусочка льда. Реакционную смесь вливали в двухслойную смесь этилацетата и насыщенного водного раствора бикарбоната натрия, и применяли этилацетат для экстрагирования. Органический слой дважды промывали солевым раствором и сушили над безводным сульфатом натрия. Осушающий агент отфильтровывали, и фильтрат концентрировали при пониженном давлении, и затем получали неочищенный трифлат в виде аморфного твердого вещества. Полученный неочищенный трифлат растворяли в обезвоженном тетрагидрофуране (150 мл). Постепенно при температуре льда добавляли раствор фторида тетрабутиламмония (приблизительно 1 М, 154 мл) в тетрагидрофуране, и полученную смесь перемешивали в течение ночи при той же температуре. Реакцию останавливали путем добавления к реакционной смеси насыщенного водного раствора хлорида аммония. Реакционную смесь концентрировали при пониженном давлении до приблизительно половины ее объема. Остаток вливали в двухслойную смесь этилацетата и насыщенного раствора хлорида аммония, и применяли этилацетат для экстрагирования. Органический слой однократно промывали насыщенным водным раствором хлорида аммония и дважды промывали солевым раствором. Водный слой снова подвергали экстракции этилацетатом, и экстракт промывали солевым раствором. Органические слои объединяли и сушили над безводным сульфатом натрия. Осушающий агент отфильтровывали, и фильтрат концентрировали при пониженном давлении с получением неочищенного указанного в заголовке соединения (40,37 г).
MS (ESI) m/z: 494 [М+Н]+.
[0356]
(Стадия 17)
2-(2-дезокси-2-фтор-β-D-рибофуранозил)-2,7,8,9-тетрагидро-6-тиа-2,3,5-триазабензо[cd]азулен
К раствору соединения (40,37 г), полученного на стадии 16, в метаноле (400 мл) добавляли моногидрат п-толуолсульфоновой кислоты (2,09 г), и полученную смесь перемешивали при 60°С в течение 4 ч. Реакцию останавливали путем добавления триэтиламина (16 мл) к реакционной смеси. Реакционную смесь концентрировали при пониженном давлении. Затем остаток очищали с помощью колоночной хроматографии на силикагеле [гексан/этилацетат→этилацетат/метанол]. Фракции, содержащие целевой продукт, концентрировали при пониженном давлении до получения суспензии. Затем полученное твердое вещество отфильтровывали и собирали. Полученное твердое вещество промывали гексаном/этилацетатом (1:1) с получением твердого вещества 1. Фильтрат концентрировали при пониженном давлении, и полученный остаток очищали с помощью колоночной хроматографии на силикагеле [дихлорметан/метанол] с получением твердого вещества 2. Твердые вещества 1 и 2 объединяли с получением указанного в заголовке соединения (5,32 г).
MS (ESI) m/z: 326 [М+Н]+.
1H-ЯМР (CDCl3) δ: 8,51 (1H, с), 7,01 (1H, с), 6,00 (1H, дд, J=13,7, 6,3 Гц), 5,95 (1H, дд, J=11,7, 2,0 Гц), 5,87 (1H, ддд, J=52,7, 6,3, 4,9 Гц), 4,69 (1H, м), 4,32 (1H, уш. с), 3,96 (1H, д, J=12,7 Гц), 3,77 (1H, м), 3,17 (2Н, м), 3,04 (2Н, м), 2,41-2,31 (3Н, м).
[0357]
(Стадия 18)
2-{5-O-[бис(4-метоксифенил)(фенил)метил]-2-дезокси-2-фтор-β-D-рибофуранозил}-2,7,8,9-тетрагидро-6-тиа-2,3,5-триазабензо[cd]азулен
Реакцию с применением соединения (5,32 г), полученного на стадии 17, проводили по существу таким же образом, как на стадии 10 Примера 2, с получением указанного в заголовке соединения (10,1 г).
MS (ESI) m/z: 628 [М+Н]+.
1H-ЯМР (CDCl3) δ: 8,54 (1H, с), 7,42 (2Н, д, J=7,3 Гц), 7,32-7,21 (8Н, м), 6,81 (4Н, м), 6,52 (1H, дд, J=17,3, 2,2 Гц), 5,37 (1H, ддд, J=53,3, 4,4, 2,4 Гц), 4,76 (1H, м), 4,16 (1H, м), 3,789 (3Н, с), 3,786 (3Н, с), 3,59 (1H, дд, J=10,7, 2,4 Гц), 3,44 (1H, дд, J=10,7, 3,4 Гц), 3,12 (2Н, м), 2,76 (2Н, т, J=5,6 Гц), 2,27 (2Н, м), 2,18 (1Н, дд, J=7,8, 2,9 Гц).
[0358]
(Стадия 19)
2-(5-O-[бис(4-метоксифенил)(фенил)метил]-3-O-{(2-цианоэтокси)[ди(пропан-2-ил)амино]фосфанил}-2-дезокси-2-фтор-β-D-рибофуранозил)-2,7,8,9-тетрагидро-6-тиа-2,3,5-триазабензо[с(1]азулен
Реакцию с применением соединения (10,1 г), полученного на стадии 18, проводили по существу таким же образом, как на стадии 6 Примера 1, с получением указанного в заголовке соединения (12,6 г) в виде смеси диастереомеров (отношение диастереомеров=1:1) по атому фосфора.
1Н-ЯМР (CDCl3) δ: 8,53 (1H, с), 7,40 (2Н, м), 7,34-7,17 (8Н, м), 6,84-6,74 (4Н, м), 6,53 (0,5Н, дд, J=17,3, 2,2 Гц), 6,48 (0,5Н, дд, J=17,6, 1,5 Гц), 5,50-5,31 (1H, м), 4,99 (0,5Н, м), 4,85 (0,5Н, м), 4,31-4,26 (1H, м), 3,93-3,76 (1H, м), 3,792 (1,5Н, с), 3,789 (1,5Н, с), 3,779 (1,5Н, с), 3,776 (1,5Н, с), 3,67-3,51 (4Н, м), 3,34-3,30 (1H, м), 3,13-3,10 (2Н, м), 2,76-2,69 (2Н, м), 2,61 (1H, тд, J=6,3, 2,4 Гц), 2,39 (1Н, м), 2,28-2,21 (2Н, м), 1,19-1,15 (9Н, м), 1,03 (3Н, д, J=6,8 Гц).
[0359]
(Стадия 20)
Реакцию с применением соединения (1,80 г), полученного на стадии 19, проводили по существу таким же образом, как на стадии 7 Примера 1, с получением раствора 2-{2-дезокси-2-фтор-3-O-[гидрокси(оксо)-λ5-фосфанил]-β-D-рибофуранозил}-2,7,8,9-тетрагидро-6-тиа-2,3,5-триазабензо[cd]азулена в ацетонитриле. Реакцию с применением полученного раствора в ацетонитриле и соединения (2,30 г), полученного на стадии 3, проводили по существу таким же образом, как на стадии 12 Примера 1. Полученный неочищенный продукт непосредственно применяли в следующей реакции.
[0360]
(Стадия 21)
3-{[(5R,7R,8R,12aR,14R,15R,15aR,16R)-16-{[трет-бутил(диметил)силил]окси}-14-(8,9-дигидро-6-тиа-2,3,5-триазабензо[cd]азулен-2(7Н)-ил)-7-{1-[2-(1,3-диоксо-1,3-дигидро-2Н-изоиндол-2-ил)этил]-6-оксо-1,6-дигидро-9Н-пурин-9-ил}-15-фтор-2-оксо-2-сульфанил-10-сульфанилиденоктагидро-2Н,10Н,12Н-5,8-метано-2λ5,10λ5-фуро[3,2-1][1,3,6,9,11,2,10]пентаоксадифосфациклотетрадецин-10-ил]окси}пропаннитрил
[0361]
Реакцию с применением неочищенного продукта, полученного на стадии 20, проводили по существу таким же образом, как на стадии 13 Примера 1, с получением указанного в заголовке соединения (1,22 г) в виде смеси диастереомеров по атому фосфора.
MS (ESI)m/z: 1090 (М+Н)+.
[0362]
(Стадия 22)
Бис(N,N-диэтилэтанаминия) (5R,7R,8R,12aR,14R,15R,15aR,16R)-7-[1-(2-аминоэтил)-6-оксо- 1,6-дигидро-9Н-пурин-9-ил]-16-{[трет-бутил(диметил)силил]окси}-14-(8,9-дигидро-6-тиа-2,3,5-триазабензо[cd]азулен-2(7Н)-ил)-15-фтор-2,10-диоксооктагидро-2Н,10Н,12Н-5,8-метано-λ5,10λ5-фуро[3,2-1][1,3,6,9,11,2,10]пентаоксадифосфациклотетрадецин-2,10-бис(тиолят)
[0363]
К смешанному раствору соединения (1,22 г), полученного на стадии 21, в этаноле (10 мл)-тетрагидрофуране (10 мл) добавляли гидразин моногидрат (0,544 мл), и полученную смесь перемешивали при комнатной температуре в течение 15 ч. Реакционную смесь концентрировали при пониженном давлении. Затем остаток очищали с помощью колоночной хроматографии на силикагеле С18 [10 мМ водный раствор ацетата триэтиламмония/ацетонитрил] с получением диастереомера 1 (108 мг: содержащего примеси) и диастереомера 2 (111 мг: содержащего примеси) указанного в заголовке соединения. Диастереомер 1 (менее полярный)
MS (ESI) m/z: 907 (М+Н)+.
Диастереомер 2 (более полярный)
MS (ESI) m/z: 907 (М+Н)+.
[0364]
(Стадия 23-1)
Динатрия(5R,7R,8R,12aR,14R,15R,15aR,16R)-7-[1-(2-аминоэтил)-6-оксо-1,6-дигидро-9Н-пурин-9-ил]-14-(8,9-дигидро-6-тиа-2,3,5-триазабензо[cd]азулен-2(7Н)-ил)-15-фтор-16-гидрокси-2,10-диоксооктагидро-2Н,10Н,12Н-5,8-метано-2λ5,10λ5-фуро[3,2-1][1,3,6,9,11,2,10]пентаоксадифосфациклотетрадецин-2,10-бис(тиолят)
(Диастереомер 1)
[0365]
Реакцию с применением соединения (диастереомера 1) (108 мг; содержащего примеси), полученного на стадии 22, проводили по существу таким же образом, как на стадии 15-1 Примера 1. Затем реакционную смесь подвергали очистке с применением следующих [Условий очистки] с получением указанного в заголовке соединения в виде соли триэтиламина. [Условия очистки] Колоночная хроматография на силикагеле С18 [10 мМ водный раствор ацетата триэтиламмония/ацетонитрил] и препаративная ВЭЖХ [10 мМ водный раствор ацетата триэтиламмония/раствор ацетонитрила-метанола (1:1); раствор ацетонитрила-метанола (1:1): 10%-50% (0 мин-40 мин)].
Полученную соль триэтиламина подвергали солевому обмену по существу таким же образом, как описано выше для стадии 15-1 [Превращение в натриевую соль] Примера 1, с получением указанного в заголовке соединения (44,4 мг).
MS (ESI) m/z: 793 (М+Н)+.
1H-ЯМР (CD3OD) δ: 8,50 (1Н, с), 8,42 (1H, с), 7,92 (1Н, с), 7,56 (1Н, с), 6,56 (1H, д, J=16,3 Гц), 6,21 (1H, д, J=6,0 Гц), 5,57-5,40 (2Н, м), 5,35-5,22 (1H, м), 4,73-4,67 (1H, м), 4,58-4,49 (1Н, м), 4,45-4,26 (4Н, м), 4,24-4,15 (1Н, м), 4,05-3,96 (1H, м), 3,78-3,51 (1H, м), 3,26-3,06 (4H, м), 2,93-2,82 (1H, м), 2,70-2,51 (1H, м), 2,29-2,07 (2Н, м).
31Р-ЯМР (CD3OD) 5: 57,5 (с), 52,9 (с).
[0366]
(Стадия 23-2)
Динатрия (5R,7R,8R,12aR,14R,15R,15aR,16R)-7-[1-(2-аминоэтил)-6-оксо-1,6-дигидро-9Н-пурин-9-ил]-14-(8,9-дигидро-6-тиа-2,3,5-триазабензо[cd]азулен-2(7Н)-ил)-15-фтор-16-гидрокси-2,10-диоксооктагидро-2Н,10Н,12Н-5,8-метано-2λ5,10λ5-фуро[3,2-1][1,3,6,9,11,2,10]пентаоксадифосфациклотетрадецин-2,10-бис(тиолят)
(Диастереомер 2)
[0367]
Реакцию с применением соединения (диастереомера 2) (111 мг; содержащего примеси), полученного на стадии 22, проводили по существу таким же образом, как на стадии 15-1 Примера 1. Затем реакционную смесь подвергали очистке с применением следующих [Условий очистки] с получением указанного в заголовке соединения в виде соли триэтиламина. [Условия очистки] Колоночная хроматография на силикагеле С18 [10 мМ водный раствор ацетата триэтиламмония/ацетонитрил], препаративная ВЭЖХ [10 мМ водный раствор ацетата триэтиламмония/ацетонитрил; ацетонитрил: 5%-25% (0 мин-40 мин)] и препаративная ВЭЖХ [10 мМ водный раствор ацетата триэтиламмония/метанол; метанол:20%-60% (0 мин-40 мин)].
Полученную соль триэтиламина подвергали солевому обмену по существу таким же образом, как описано выше для стадии 15-1 [Превращение в натриевую соль] Примера 1, с получением указанного в заголовке соединения (40,6 мг).
MS (ESI) m/z: 793 (М+Н)+.
1H-ЯМР (CD3OD) δ: 8,57 (1H, с), 8,41 (1H, с), 8,13 (1H, с), 7,72 (1H, с), 6,59 (1H, дд, J=15,7, 1,8 Гц), 6,26 (1H, д, J=8,5 Гц), 5,61-5,34 (3Н, м), 4,57-4,48 (2Н, м), 4,48-4,38 (2Н, м), 4,38-4,28 (2Н, м), 4,08-3,98 (3Н, м), 3,29-3,21 (2Н, м), 3,20-3,12 (2Н, м), 3,02-2,92 (1Н, м), 2,92-2,81 (1H, м), 2,29-2,15 (2Н, м).
31Р-ЯМР (CD3OD) δ: 58,7 (с), 57,8 (с).
[0368]
Пример 4: Синтез ЦДН50
N-(2-{9-[(5R,7R,8R,12aR,14R,15R,15aR,16R)-14-(8,9-дигидро-6-тиа-2,3,5-триазабензо[cd]азулен-2(7Н)-ил)-15-фтор-16-гидрокси-2,10-диоксо-2,10-бис(сульфанил)октагидро-2Н,10Н,12Н-5,8-метано-2λ5,10λ5-фуро[3,2-1][1,3,6,9,11,2,10]пентаоксадифосфациклотетрадецин-7-ил]-6-оксо-6,9-дигидро-1Н-пурин-1-ил}этил)-2-гидроксиацетамид
[0369]
[Формула 99]
[0370]
[Схема синтеза]
[0371]
[Формула 100]
[0372]
(Стадия 1-1)
Динатрия (5R,7R,8R,12aR,14R,15R,15aR,16R)-14-(8,9-дигидро-6-тиа-2,3,5-триазабензо[cd]азулен-2(7Н)-ил)-15-фтор-16-гидрокси-7-{1-[2-(2-гидроксиацетамидо)этил]-6-оксо-1,6-дигидро-9Н-пурин-9-ил}-2,10-диоксооктагидро-2H,10H,12H-5,8-метано-2λ5,10λ5-фуро[3,2-1][1,3,6,9,11,2,10]пентаоксадифосфациклотетрадецин-2,10-бис(тиолят)
(Диастереомер 1)
[0373]
К раствору соединения (20,0 мг), полученного на стадии 23-1 Примера 3, в N,N-диметилформамиде (0,5 мл) добавляли триэтиламин (17 μл) и 1-[(гидроксиацетил)окси]пирролидин-2,5-дион (10,3 мг), и полученную смесь перемешивали при комнатной температуре в течение 3 ч. Реакционную смесь разбавляли 10 мМ водным раствором ацетата триэтиламмония. Затем проводили очистку с помощью колоночной хроматографии на силикагеле С18 [10 мМ водный раствор ацетата триэтиламмония/ацетонитрил] и препаративной ВЭЖХ [10 мМ водный раствор ацетата триэтиламмония/ацетонитрил; ацетонитрил: 10%-30% (0 мин-40 мин)]. Полученное соединение подвергали солевому обмену по существу таким же образом, как описано выше для стадии 15-1 [Превращение в натриевую соль] Примера 1, с получением указанного в заголовке соединения (15,6 мг).
MS (ESI) m/z: 851 (M+H)+.
1H-ЯМР (CD3OD) 5: 8,43 (1H, c), 8,40 (1H, уш. c), 7,66 (1H, уш. c), 7,58 (1H, c), 6,53 (1H, д, J=16,3 Гц), 6,14 (1H, д, J=8,5 Гц), 5,73-5,64 (1H, м), 5,59-5,42 (1H, m), 5,42-5,29 (1H, м), 4,80-4,74 (1H, м), 4,53-4,26 (5H, м), 4,21-4,12 (1H, м), 3,99-3,92 (1H, м), 3,83 (2Н, с), 3,66-3,56 (1H, м), 3,43-3,26 (2Н, м), 3,23-3,06 (2Н, м), 2,89-2,79 (1H, м), 2,49-2,33 (1H, м), 2,27-2,15 (1H, м), 2,15-2,02 (1H, м).
31Р-ЯМР (CD3OD) б: 57,0 (с), 52,6 (с).
[0374]
(Стадия 1-2)
Динатрия(5R,7R,8R,12aR,14R,15R,15aR,16R)-14-(8,9-дигидро-6-тиа-2,3,5-триазабензо[cd] азулен-2(7Н)-ил)-15-фтор-16-гидрокси-7-{1-[2-(2-гидроксиацетамидо)этил]-6-оксо-1,6-дигидро-9Н-пурин-9-ил}-2,10-диоксооктагидро-2H,10H,12H-5,8-метано-2λ5,10λ5-фуро[3,2-1][1,3,6,9,11,2,10]пентаоксадифосфациклотетрадецин-2,10-бис(тиолят)
(Диастереомер 2)
[0375]
Реакцию с применением соединения (10,0 мг), полученного на стадии 23-2 Примера 3, проводили по существу таким же образом, как на стадии 1-1. Затем проводили очистку с помощью колоночной хроматографии на силикагеле С18 [10 мМ водный раствор ацетата триэтиламмония/ацетонитрил] и препаративной ВЭЖХ [10 мМ водный раствор ацетата триэтиламмония/ацетонитрил; ацетонитрил: 7%-25% (0 мин-40 мин)]. Полученное соединение подвергали солевому обмену по существу таким же образом, как описано выше для стадии 15-1 [Превращение в натриевую соль] Примера 1, с получением указанного в заголовке соединения (6,6 мг).
MS (ESI) m/z: 851 (М+Н)+.
1Н-ЯМР (CD3OD) δ: 8,46 (1Н, с), 8,42 (1H, с), 7,84 (1Н, с), 7,78 (1Н, с), 6,59 (1H, д, J=15,1 Гц), 6,20 (1H, д, J=7,9 Гц), 5,69-5,38 (3Н, м), 4,60-4,50 (2Н, м), 4,48-4,38 (2Н, м), 4,31-4,20 (2Н, м), 4,10-3,93 (2Н, м), 3,87 (2Н, с), 3,73-3,57 (2Н, м), 3,52-3,41 (1H, м), 3,25-3,10 (2Н, м), 3,01-2,90 (1H, м), 2,83-2,71 (1H, м), 2,30-2,11 (2Н, м).
31Р-ЯМР (CD3OD) δ: 58,2 (с), 57,6 (с).
[0376]
Пример 5: Синтез фрагмента лекарственное средство-линкер 2
[Схема синтеза]
[0377]
[Формула 101]
[0378]
(Стадия 1)
Ту же реакцию, что и на стадии 7 Примера 1, проводили в следующем масштабе (исходное вещество: 1,40 г). Реакцию с применением содержащего полученное соединение раствора в ацетонитриле и соединения (1,41 г), полученного на стадии 3 Примера 2, проводили по существу таким же образом, как на стадии 12 Примера 1. Полученный неочищенный продукт непосредственно применяли в следующей реакции.
[0379]
(Стадия 2)
2-{9-[(5R,7R,8R,12aR,14R,15R,15aR,16R)-14-(6-бензоил-6,7,8,9-тетрагидро-2Н-2,3,5,6-тетраазабензо[cd]азулен-2-ил)-15,16-бис{[трет-бутил(диметил)силил]окси}-10-(2-цианоэтокси)-2-оксо-2-сульфанил-10-сульфанилиденоктагидро-2Н,10Н,12Н-5,8-метано-2λ5,10λ5-фуро[3,2-1][1,3,6,9,11,2,10]пентаоксадифосфациклотетрадецин-7-ил]-6-оксо-6,9-дигидро-1Н-пурин-1-ил}этилбензоат
Реакцию с применением неочищенного продукта, полученного на стадии 1, проводили по существу таким же образом, как на стадии 13 Примера 1, с получением указанного в заголовке соединения (778 мг) в виде смеси диастереомеров по атому фосфора.
MS (ESI) m/z: 1264 (М+Н)+.
[0380]
(Стадия 3)
Бис(N,N-диэтилэтанаминия) (5R,7R,8R,12aR,14R,15R,15aR,16R)-15,16-бис{[трет-бутил(диметил)силил]окси}-7-[1-(2-гидроксиэтил)-6-оксо-1,6-дигидро-9Н-пурин-9-ил]-2,10-диоксо-14-(6,7,8,9-тетрагидро-2Н-2,3,5,6-тетраазабензо[cd]азулен-2-ил)октагидро-2Н,10Н,12Н-5,8-метано-2λ5,10λ5-фуро[3,2-1][1,3,6,9,11,2,10]пентаоксадифосфациклотетрадецин-2,10-бис(тиолят)
[0381]
Реакцию с применением соединения (778 мг), полученного на стадии 2, проводили по существу таким же образом, как на стадии 14 Примера 1, с получением диастереомера 1 (255 мг) и диастереомера 2 (содержащего примеси) указанного в заголовке соединения. Диастереомер 2 снова очищали с помощью препаративной ВЭЖХ [вода/содержащий 0,2% триэтиламина ацетонитрил; содержащий 0,2% триэтиламина ацетонитрил: 5%-50% (0 мин-40 мин)] с получением диастереомера 2 (94,6 мг) указанного в заголовке соединения.
Диастереомер 1 (менее полярный)
MS (ESI) m/z: 1003 (М+Н)+.
1Н-ЯМР (CD3OD) δ: 8,66 (1H, с), 8,21 (1H, с), 8,04 (1H, с), 7,33 (1H, с), 6,27 (1H, д, J=5,1 Гц), 6,25 (1H, д, J=3,6 Гц), 5,39-5,29 (1H, м), 5,18-5,11 (1Н, м), 4,85-4,81 (1H, м), 4,79-4,74 (1H, м), 4,71-4,66 (1H, м), 4,50-4,42 (1H, м), 4,36-4,21 (2Н, м), 4,09-3,98 (2Н, м), 3,85-3,78 (2Н, м), 3,78-3,69 (2Н, м), 3,55-3,46 (2Н, м), 3,17 (12Н, кв, J=7,3 Гц), 2,98-2,75 (2Н, м), 2,05-1,88 (2Н, м), 1,28 (18Н, т, J=7,3 Гц), 0,98 (9Н, с), 0,85 (9Н, с), 0,31 (3Н, с), 0,27 (3Н, с), 0,25 (3Н, с), 0,09 (3Н, с). Диастереомер 2 (более полярный)
MS (ESI) m/z: 1003 (М+Н)+.
1H-ЯМР (CD3OD) δ: 8,50 (1H, с), 8,22 (1H, с), 8,07 (1H, с), 7,20 (1H, с), 6,33 (1H, д, J=7,3 Гц), 6,26 (1H, д, J=9,1 Гц), 5,59-5,44 (1H, м), 5,38-5,32 (1H, м), 5,21-5,11 (1H, м), 4,99-4,89 (2Н, м), 4,68-4,54 (2Н, м), 4,25-4,12 (3Н, м), 4,09-4,03 (1H, м), 3,90-3,80 (3Н, м), 3,59-3,51 (2Н, м), 3,20 (12Н, кв, J=7,3 Гц), 2,96-2,89 (2Н, м), 2,07-1,98 (2Н, м), 1,30 (18Н, т, J=7,3 Гц), 0,99 (9Н, с), 0,74 (9Н, с), 0,27 (3Н, с), 0,27 (3Н, с), 0,20 (3Н, с), -0,05 (3Н, с).
[0382]
(Стадия 4-1)
Бис(N,N-диэтилэтанаминия) (5R,7R,8R,12aR,14R,15R,15aR,16R)-15,16-бис{[трет-бутил(диметил)силил]окси}-7-(1-{2-[(глициламино)метокси]этил}-6-оксо-1,6-дигидро-9Н-пурин-9-ил)-2,10-диоксо-14-(6,7,8,9-тетрагидро-2Н-2,3,5,6-тетраазабензо[cd]азулен-2-ил)октагидро-2Н,10Н,12Н-5,8-метано-2λ5,10λ5-фуро[3,2-1][1,3,6,9,11,2,10] пентаоксадифосфациклотетрадецин-2,10-бис(тиолят)
(Диастереомер 1)
[0383]
К раствору соединения (диастереомера 1) (30 мг), полученного на стадии 3, в тетрагидрофуране (0,5 мл) добавляли[(N-{[(9Н-флуорен-9-ил)метокси]карбонил}глицил)амино]метилацетат (91,7 мг) и моногидрат п-толуолсульфоновой кислоты (11,8 мг), и полученную смесь перемешивали при комнатной температуре в течение 6 ч. К реакционной смеси добавляли N,N-диметилформамид (0,5 мл) и 1,8-диазабицикло[5.4.0]-7-ундецен (56 и полученную смесь перемешивали при комнатной температуре в течение 3 ч. Реакционную смесь смешивали с 10 мМ водным раствором ацетата триэтиламмония. Затем проводили очистку с помощью колоночной хроматографии на силикагеле С18 [10 мМ водный раствор ацетата триэтиламмония/ацетонитрил] с получением указанного в заголовке соединения (25,6 мг), содержащего в качестве примесей исходные вещества.
MS (ESI) m/z: 1089 (М+Н)+.
[0384]
(Стадия 4-2)
Бис(N,N-диэтилэтанаминия) (5R,7R,8R,12aR,14R,15R,15aR,16R)-15,16-бис{[трет-бутил(диметил)силил]окси}-7-(1-{2-[(глициламино)метокси]этил}-6-оксо-1,6-дигидро-9Н-пурин-9-ил)-2,10-диоксо-14-(6,7,8,9-тетрагидро-2Н-2,3,5,6-тетраазабензо[cd]азулен-2-ил)октагидро-2Н,10Н,12Н-5,8-метано-2λ5,10λ5-фуро[3,2-1][1,3,6,9,11,2,10]пентаоксадифосфациклотетрадецин-2,10-бис(тиолят)
(Диастереомер 2)
[0385]
Реакцию с применением соединения (диастереомера 2) (84,6 мг), полученного на стадии 3, проводили по существу таким же образом, как на стадии 4-1, с получением указанного в заголовке соединения (70,9 мг), содержащего в качестве примесей исходные вещества.
MS (ESI) m/z: 1089 (М+Н)+.
[0386]
(Стадия 5-1)
Бис(N,N-диэтилэтанаминия) (5R,7R,8R,12aR,14R,15R,15aS,16R)-7-(1-{2-[(глициламино)метокси]этил}-6-оксо-1,6-дигидро-9Н-пурин-9-ил)-15,16-дигидрокси-2,10-диоксо-14-(6,7,8,9-тетрагидро-2Н-2,3,5,6-тетраазабензо[cd]азулен-2-ил)октагидро-2Н,10Н,12Н-5,8-метано-2λ5,10λ5-фуро[3,2-1][1,3,6,9,11,2,10]пентаоксадифосфациклотетрадецин-2,10-бис(тиолят), диастереомер 1
[0387]
К соединению (25,6 мг), полученному на стадии 4-1, добавляли тригидрофторид триэтиламина (2 мл), и полученную смесь перемешивали при 45°С в течение 3 ч. Реакционную смесь при комнатной температуре смешивали с охлажденной до температуры льда смесью 1 M водного бикарбоната триэтиламмония (10 мл) и триэтиламина (2 мл). Реакционную смесь концентрировали при пониженном давлении. Затем проводили очистку с помощью колоночной хроматографии на силикагеле С18 (10 мМ водный раствор ацетата триэтиламмония/ацетонитрил) с получением указанного в заголовке соединения (16,6 мг; содержащего примеси, полученные из исходных веществ на стадии 7-1).
MS (ESI) m/z: 861 (М+Н)+.
[0388]
(Стадия 5-2)
Бис(N,N-диэтилэтанаминия) (5R,7R,8R,12aR,14R,15R,15aS,16R)-7-(1-{2-[(глициламино)метокси]этил}-6-оксо-1,6-дигидро-9Н-пурин-9-ил)-15Д6-дигидрокси-2,10-диоксо-14-(6,7,8,9-тетрагидро-2Н-2,3,5,6-тетраазабензо[cd]азулен-2-ил)октагидро-2Н,10Н,12Н-5,8-метано-2λ5,10λ5-фуро[3,2-1][1,3,6,9,11,2,10]пентаоксадифосфациклотетрадецин-2,10-бис(тиолят) (Диастереомер 2)
Реакцию с применением соединения (70,9 мг), полученного на стадии 4-2, проводили по существу таким же образом, как на стадии 5-1, с получением указанного в заголовке соединения (51,7 мг; содержащего примеси, полученные из исходных веществ на стадии 4-2).
MS (ESI)m/z: 861 (М+Н)+.
[0389]
(Стадия 6-1)
Бис(N,N-диэтилэтанаминия) N-[4-(11,12-дидегидродибензо[b,f]азоцин-5(6Н)-ил)-4-оксобутаноил]глицилглицил-L-фенилаланил-N-[(2-{9-[(5R,7R,8R,12aR,14R,15R,15aS,16R)-15,16-дигидрокси-2,10-диоксо-2,10-дисульфид-14-(6,7,8,9-тетрагидро-2Н-2,3,5,6-тетраазабензо[cd]азулен-2-ил)октагидро-2Н,10Н,12Н-5,8-метано-2λ5,10λ5-фуро[3,2-1][1,3,6,9,11,2,10]пентаоксадифосфациклотетрадецин-7-ил]-6-оксо-6,9-дигидро-1Н-пурин-1-ил}этокси)метил]глицинамид
(Лекарственное средство-линкер 2а: Диастереомер 1)
[0390]
К раствору соединения (16,6 мг), полученного на стадии 5-1, в N,N-диметилформамиде (0,5 мл) добавляли триэтиламин (6 μл) и соединение (15,5 мг), полученное на стадии 8, описанной ниже, и полученную смесь перемешивали при комнатной температуре в течение 3 ч. Затем к реакционной смеси добавляли бензиламин (3 μл), и полученную смесь перемешивали при комнатной температуре в течение 1 ч. Затем добавляли 10 мМ водный раствор ацетата триэтиламмония и метанол. Затем проводили очистку с помощью колоночной хроматографии на силикагеле С18 [10 мМ водный раствор ацетата триэтиламмония/ацетонитрил] и препаративной ВЭЖХ [10 мМ водный раствор ацетата триэтиламмония/ацетонитрил; ацетонитрил: 10%-45% (0 мин-30 мин)] с получением указанного в заголовке соединения (5,1 мг)
MS (ESI) m/z: 1409 (М+Н)+.
1Н-ЯМР (CD3OD) δ: 8,66-8,60 (1H, м), 8,17 (1H, с), 8,02 (1H, с), 7,65-7,48 (2Н, м), 7,43-7,36 (3Н, м), 7,31-7,13 (8Н, м), 7,11 (1H, с), 6,30-6,21 (2Н, м), 5,46-5,37 (1H, м), 5,23-5,16 (1H, м), 5,08-4,99 (1H, м), 4,86-4,81 (1H, м), 4,80-4,75 (1H, м), 4,70-4,40 (7Н, м), 4,40-4,20 (3Н, м), 4,10-3,97 (3Н, м), 3,86-3,58 (8Н, м), 3,51-3,43 (3Н, м), 3,18 (12Н, кв, J=7,3 Гц), 3,01-2,93 (1H, м), 2,85-2,72 (3Н, м), 2,37-2,15 (2Н, м), 2,01-1,93 (2Н, м), 1,29 (18Н, т, J=7,3 Гц), (перечислены только наблюдаемые пики).
[0391]
(Стадия 6-2)
Бис(N,N-диэтилэтанаминия) N-[4-(11,12-дидегидродибензо[b,f]азоцин-5(6Н)-ил)-4-оксобутаноил]глицилглицил-L-фенилаланил-N-[(2-{9-[(5R,7R,8R,12aR,14R,15R,15aS,16R)-15,16-дигидрокси-2,10-диоксо-2,10-дисульфид-14-(6,7,8,9-тетрагидро-2Н-2,3,5,6-тетраазабензо[cd]азулен-2-ил)октагидро-2Н,10Н,12Н-5,8-метано-2λ5,10λ5-фуро[3,2-1][1,3,6,9,11,2,10]пентаоксадифосфациклотетрадецин-7-ил]-6-оксо-6,9-дигидро-1Н-пурин-1-ил}этокси)метил]глицинамид
(Лекарственное средство-линкер 2b: диастереомер 2)
Реакцию с применением соединения (51,7 мг), полученного на стадии 5-2, проводили по существу таким же образом, как на стадии 6-1. Затем проводили очистку при следующих [Условиях очистки] с получением указанного в заголовке соединения (33,7 мг).
[Условия очистки] Колоночная хроматография на силикагеле С18 [10 мМ водный раствор ацетата триэтиламмония/ацетонитрил] и препаративная ВЭЖХ [10 мМ водный раствор ацетата триэтиламмония/ацетонитрил; ацетонитрил: 10%-50% (0 мин-30 мин)].
MS (ESI) m/z: 1409 (М+Н)+.
1H-ЯМР (CD3OD) δ: 8,73 (1H, д, J=6,7 Гц), 8,19 (1H, д, J=3,0 Гц), 8,02 (1H, с), 7,66-7,50 (2H, м), 7,43-7,37 (3Н, м), 7,33-7,13 (8Н, м), 7,11 (1Н, с), 6,33-6,23 (2Н, м), 5,51-5,38 (2Н, м), 5,04 (1H, т, J=13,6 Гц), 4,83-4,77 (1H, м), 4,64-4,55 (2Н, м), 4,52-4,26 (6Н, м), 4,25-3,97 (2Н, м), 3,93-3,45 (13Н, м), 3,19 (12Н, кв, J=7,3 Гц), 3,17-3,11 (1H, м), 3,02-2,92 (1H, м), 2,91-2,73 (3Н, м), 2,40-2,24 (2Н, м), 2,07-1,95 (3Н, м), 1,30 (18Н, т, J=7,3 Гц).
[0392]
(Стадия 7)
N-[4-(11,12-дидегидродибензо[b,f]Назоцин-5(6Н)-ил)-4-оксобутаноил]глицилглицил-L-фенилаланин
К раствору доступной для приобретения (ВАСНЕМ) (2S)-2-[[2-[(2-аминоацетил)амино]ацетил]амино]-3-фенилпропановой кислоты (2,86 г) в N,N-диметилформамиде (51,2 мл) добавляли триэтиламин (2,56 мл) и доступный для приобретения (Click Chemistry Tools) 1-{[4-(11,12-дидегидродибензо[b,f]азоцин-5(6Н)-ил)-4-оксобутаноил]окси}пирролидин-2,5-дион (3,69 г), и полученную смесь перемешивали при комнатной температуре в течение 24 ч. К реакционной смеси добавляли раствор моногидрата лимонной кислоты (24,0 г) в воде (500 мл), и полученную смесь подвергали экстракции этилацетатом. Органический слой сушили над безводным сульфатом натрия, осушающий агент отфильтровывали, и затем фильтрат концентрировали при пониженном давлении. Остаток растворяли в смешанном растворе этилацетата/ацетонитрила и осаждали с помощью диизопропилового эфира, фильтровали и собирали с получением указанного в заголовке соединения (4,30 г).
1H-ЯМР (ДМСО-d6) δ: 12,8 (1Н, уш. с), 8,15-7,95 (3Н, м), 7,68-7,17 (13Н, м), 5,01 (1H, д, J=14,2 Гц), 4,41-4,37 (1H, м), 3,74-3,57 (5Н, м), 3,05-3,01 (1H, м), 2,87 (1H, дд, J=14,2, 9,3 Гц), 2,68-2,59 (1H, м), 2,32-2,25 (1Н, м), 2,09-2,03 (1H, м), 1,82-1,76 (1H, м).
[0393]
(Стадия 8)
2,5-диоксопирролидин-1-ил-N-[4-(11,12-дидегидродибензо[b,f|азоцин-5(6Н)-ил)-4-оксобутаноил]глицилглицил-L-фенилаланинат
К раствору соединения (2,10 г), полученного на стадии 7, в N,N-диметилформамиде (75,9 мл) добавляли N-гидроксисукцинимид (961 мг) и гидрохлорид 1-этил-3-(3-диметиламинопропил)карбодиимида (1,60 г), и полученную смесь перемешивали при комнатной температуре в течение 21 ч в атмосфере азота. Реакционную смесь разбавляли дихлорметаном, три раза промывали ледяной водой, и затем сушили над безводным сульфатом натрия. Осушающий агент отфильтровывали, и фильтрат концентрировали при пониженном давлении. К остатку добавляли толуол, и полученную смесь снова концентрировали при пониженном давлении. Остаток растворяли в ацетонитриле и очищали с помощью колоночной хроматографии на силикагеле С18 [ацетонитрил: 100%]. Фракции, содержащие целевой продукт, концентрировали при пониженном давлении, и к остатку добавляли диизопропиловый эфир с получением суспензии. Полученное твердое вещество фильтровали и собирали с получением указанного в заголовке соединения (2,59 г).
1Н-ЯМР (ДМСО-d6) δ: 8,58-8,51 (1H, м), 8,17-8,00 (2Н, м), 7,66-7,20 (13Н, м), 5,02-4,98 (1H, м), 4,90-4,85 (1H, м), 3,78-3,57 (5Н, м), 3,24-3,19 (1H, м), 3,06-3,00 (1H, м), 2,82 (4Н, уш. с), 2,67-2,58 (1Н, м), 2,32-2,23 (1H, м), 2,09-2,02 (1Н, м), 1,82-1,75 (1H, м).
[0394]
Пример 6: Синтез фрагмента лекарственное средство-линкер 17
[Схема синтеза]
[0395]
[Формула 102]
[0396]
(Стадия 1)
[(N-{[2-(триметилсилил)этокси]карбонил}глицил)амино]метил ацетат
К смешанному раствору доступного для приобретения (SUNDIA) N-{[2-(триметилсилил)этокси]карбонил}глицилглицина (9,32 г) в тетрагидрофуране (100 мл)-толуоле (33,3 мл) добавляли пиридин (3,26 мл) и тетраацетат свинца (17,9 г) при комнатной температуре, и полученную смесь перемешивали при 65°С в течение 3 ч. Нерастворимое вещество отфильтровывали, промывали тетрагидрофураном, и фильтрат концентрировали при пониженном давлении. Остаток очищали с помощью колоночной хроматографии на силикагеле [гексан/этилацетат] с получением указанного в заголовке соединения (8,24 г).
1H-ЯМР (CDCl3) δ: 7,14 (1H, уш.с), 5,27 (2Н, д, J=7,3 Гц), 5,20 (1H, уш.с), 4,22-4,16 (2Н, м), 3,88 (2Н, д, J=6,0 Гц), 2,08 (3Н, с), 1,04-0,97 (2Н, м), 0,05 (9Н, с).
[0397]
(Стадия 2)
2',3',5'-трис-О-[трет-бутил(диметил)силил]-1-(2-гидроксиэтил)инозин
К смешанному раствору 2',3',5'-трис-O-[трет-бутил(диметил)силил]инозина (31,3 г), известного в литературе (Chem. Pharm. Bull. 1987, 35(1), 72-79), в тетрагидрофуране (75 мл)-N,N-диметилацетамиде (75 мл) добавляли 2-бромэтанол (4,82 мл) и 1,8-диазабицикло[5.4.0]-7-ундецен (7,65 мл), и полученную смесь перемешивали при комнатной температуре в течение 23 ч. Реакционную смесь смешивали с водой и этилацетатом и подвергали экстракции этилацетатом. Органический слой промывали солевым раствором и сушили над безводным сульфатом натрия. Затем осушающий агент отфильтровывали, и затем фильтрат концентрировали при пониженном давлении. Остаток очищали с помощью колоночной хроматографии на силикагеле [гексан/этилацетат] с получением указанного в заголовке соединения (29,4 г).
MS (ESI) m/z: 655 (М+Н)+.
1Н-ЯМР (CDCl3) δ: 8,16 (1H, с), 7,99 (1H, д, J=2,4 Гц), 5,97 (1H, д, J=4,2 Гц), 4,40-4,25 (3Н, м), 4,18-4,06 (3Н, м), 4,03-3,92 (2Н, м), 3,79 (1Н, дд, J=11,5, 2,4 Гц), 3,08-2,83 (1H, уш. м), 0,96 (9Н, с), 0,92 (9Н, с), 0,82 (9Н, с), 0,15 (3Н, с), 0,14 (3Н, с), 0,09 (3Н, с), 0,08 (3Н, с), -0,02 (3Н, с), -0,15 (3Н, с).
[0398]
(Стадия 3)
2',3',5'-трис-О-[трет-бутил(диметил)силил]-1-(2-{[(N-{[2-(триметилсилил)этокси]карбонил] глицил)амино]метокси}этил)инозин
К раствору соединения (15,6 г), полученного на стадии 2, в толуоле (46,8 мл) добавляли соединение (10,4 г), полученное на стадии 1, и пиридин (9,63 мл), и полученную смесь перемешивали при 110°С в течение 12 ч. К реакционной смеси добавляли соединение (3,46 г), полученное на стадии 1, и полученную смесь перемешивали при 110°С в течение 1 дня. Реакционную смесь смешивали с насыщенным водным раствором бикарбоната натрия и дихлорметаном и подвергали экстракции дихлорметаном. Органический слой сушили над безводным сульфатом натрия, осушающий агент отфильтровывали, и затем фильтрат концентрировали при пониженном давлении. Остаток очищали с помощью колоночной хроматографии на силикагеле [гексан/этилацетат] с получением указанного в заголовке соединения (20,6 г; содержащего примеси).
MS (ESI) m/z: 885 (М+Н)+.
[0399]
(Стадия 4)
5'-O-[бис(4-метоксифенил)(фенил)метил]-1-(2-{[(N-{[2-(триметилсилил)этокси]карбонил}глицил)амино]метокси}этил)инозин
К раствору соединения (20,6 г), полученного на стадии 3, в тетрагидрофуране (50 мл) добавляли тригидрофторид триэтиламина (10 мл), и полученную смесь перемешивали при комнатной температуре в течение 17 ч. Реакционную смесь при температуре льда постепенно смешивали со смешанным раствором 1 М раствора бикарбоната триэтиламмония (50 мл) и триэтиламина (10 мл). Затем реакционную смесь концентрировали при пониженном давлении. Остаток подвергали грубой очистке с помощью колоночной хроматографии на силикагеле С18 [вода/ацетонитрил], и затем подвергали лиофильной сушке. Полученный неочищенный продукт подвергали азеотропной перегонке с пиридином. Содержащий остаток раствор в пиридине (50 мл) смешивали с 4,4'-диметокситритилхлоридом (4,73 г) при 0°С, и полученную смесь перемешивали при 4°С в течение 17 ч. К реакционной смеси добавляли метанол (2 мл), и полученную смесь перемешивали при комнатной температуре в течение 15 минут, и затем концентрировали при пониженном давлении. Остаток очищали с помощью колоночной хроматографии на силикагеле [гексан/этилацетат/метанол/0,1% триэтиламин] с получением указанного в заголовке соединения (9,18 г; содержащего примеси).
MS (ESI) m/z: 845 (М+Н)+.
1Н-ЯМР (CDCl3) δ: 7,94 (1H, с), 7,88 (1H, с), 7,65 (1H, уш. с), 7,41-7,36 (2Н, м), 7,32-7,15 (7Н, м), 6,83-6,76 (4Н, м), 5,96 (1H, д, J=6,1 Гц), 5,73-5,65 (2Н, м), 4,87-4,80 (1H, м), 4,76-4,61 (2Н, м), 4,44-4,39 (1Н, м), 4,35-4,30 (1H, м), 4,22-4,05 (4Н, м), 3,83-3,73 (2Н, м), 3,77 (6Н, с), 3,72-3,67 (2Н, м), 3,48-3,32 (3Н, м), 0,99-0,91 (2Н, м), 0,02 (9Н, с).
[0400]
(Стадия 5)
5'-O-[бис(4-метоксифенил)(фенил)метил]-3'-O-[трет-бутил(диметил)силил]-1-(2-{[(N-{[2-(триметилсилил)этокси]карбонил}глицил)амино]метокси}этил)инозин
Реакцию с применением соединения (5,96 г), полученного на стадии 4, проводили по существу таким же образом, как на стадии 10 Примера 1, с получением указанного в заголовке соединения (2,33 г) и региоизомера указанного в заголовке соединения, а именно 5'-O-[бис(4-метоксифенил)(фенил)метил]-2'-O-[трет-бутил(диметил)силил]-1-(2-{[(Н-{[2-(триметилсилил)этокси]карбонил}глицил)амино]метокси}этил)инозина (2,45 г)
MS (ESI) m/z: 959 (М+Н)+.
1Н-ЯМР (CDCl3) δ: 7,99 (1H, с), 7,93 (1H, с), 7,45-7,39 (2Н, м), 7,35-7,18 (7Н, м), 7,05 (1H, уш. с), 6,84-6,77 (4Н, м), 5,92 (1Н, д, J=5,4 Гц), 5,46 (1H, уш. с), 4,71-4,61 (3Н, м), 4,54-4,51 (1Н, м), 4,22-4,10 (5Н, м), 3,81-3,76 (2Н, м), 3,78 (3Н, с), 3,78 (3Н, с), 3,74 (2Н, д, J=6,0 Гц), 3,48 (1H, дд, J=10,9, 4,2 Гц), 3,26 (1H, дд, J=10,9, 4,2 Гц), 3,16 (1H, д, J=6,7 Гц), 1,00-0,93 (2Н, м), 0,89 (9Н, с), 0,09 (3Н, с), 0,02 (9Н, с), 0,02 (3Н, с).
Региоизомер (2'-O-TBS-изомер)
MS (ESI) m/z: 959 (M+H)+.
1Н-ЯМР (CDCl3) δ: 7,99 (1H, с), 7,91 (1H, с), 7,48-7,42 (2Н, м), 7,37-7,18 (8Н, м), 6,85-6,78 (4Н, м), 5,96 (1H, д, J=5,4 Гц), 5,63 (1H, уш. с), 4,88 (1H, т, J=5,1 Гц), 4,66 (2Н, д, J=6,7 Гц), 4,36-4,32 (1H, м), 4,27-4,19 (2Н, м), 4,18-4,10 (3Н, м), 3,81-3,74 (4Н, м), 3,78 (3Н, с), 3,78 (3Н, с), 3,50 (1H, дд, J=10,9, 3,6 Гц), 3,38 (1Н, дд, J=10,9, 3,6 Гц), 2,73 (1H, д, J=4,2 Гц), 0,97-0,90 (2Н, м), 0,86 (9Н, с), 0,02 (3Н, с), 0,01 (9Н, с), -0,09 (3Н, с).
[0401]
(Стадия 6)
5'-O-[бис(4-метоксифенил)(фенил)метил]-3'-O-[трет-бутил(диметил)силил]-2'-O-{(2-цианоэтокси)[ди(пропан-2-ил)амино]фосфанил}-1-(2-{[(N-{[2-(триметилсилил)этокси] карбонил}глицил)амино]метокси}этил)инозин
[0402]
Реакцию с применением соединения (2,33 г), полученного на стадии 5, проводили по существу таким же образом, как на стадии 11 Примера 1, с получением указанного в заголовке соединения (2,72 г) в виде смеси диастереомеров (отношение диастереомеров=6:4) по атому фосфора.
MS (ESI)m/z: 1159 (М+Н)+.
1Н-ЯМР (CDCl3) δ: 8,03 (0,4Н, с), 8,02 (0,6Н, с), 7,95 (0,6Н, с), 7,92 (0,4Н, с), 7,46-7,40 (2Н, м), 7,35-7,17 (7Н, м), 6,88 (1Н, уш. с), 6,84-6,78 (4Н, м), 6,15 (0,6Н, д, J=4,2 Гц), 6,10 (0,4Н, д, J=4,8 Гц), 5,34 (1H, уш. с), 4,86-4,61 (3Н, м), 4,48-4,42 (1H, м), 4,29-4,09 (5Н, м), 3,83-3,44 (9Н, м), 3,79 (3Н, с), 3,78 (3Н, с), 3,32-3,23 (1H, м), 2,58-2,49 (1H, м), 2,44-2,38 (1H, м), 1,15 (3,6Н, д, J=6,7 Гц), 1,11 (6Н, д, J=6,7 Гц), 1,04-0,92 (2Н, м), 0,97 (2,4Н, д, J=6,7 Гц), 0,85 (3,6Н, с), 0,84 (5,4Н, с), 0,09 (1,2Н, с), 0,06 (1,8Н, с), 0,03 (9Н, с), 0,00 (3Н, с).
[0403]
(Стадия 7)
Реакцию с применением соединения (2,15 г), полученного на стадии 11 Примера 2, проводили по существу таким же образом, как на стадии 7 Примера 1, с получением раствора в ацетонитриле 6-бензоил-2-{2-дезокси-2-фтор-3-O-[гидрокси(оксо)-λ5-фосфанил]-β-D-рибофуранозил}-6,7,8,9-тетрагидро-2Н-2,3,5,6-тетраазабензо[cd]азулена. Реакцию с применением полученного раствора в ацетонитриле и соединения (2,72 г), полученного на стадии 6, проводили по существу таким же образом, как на стадии 12 Примера 1. Полученный неочищенный продукт непосредственно применяли в следующей реакции.
[0404]
(Стадия 8)
2-(триметилсилил)этил(2-{[(2-{9-[(5R,7R,8R,12aR,14R,15R,15aR,16R)-14-(6-бензоил-6,7,8,9-тетрагидро-2Н-2,3,5,6-тетраазабензо[cd]азулен-2-ил)-16-{[трет-бутил(диметил)силил]окси}-10-(2-цианоэтокси)-15-фтор-2-оксо-2-сульфанил-10-сульфанилиденоктагидро-2Н,10Н,12Н-5,8-метано-2λ5,10λ5-фуро[3,2-1][1,3,6,9,11,2,10]пентаоксадифосфациклотетрадецин-7-ил]-6-оксо-6,9-дигидро-1Н-пурин-1-ил}этокси)метил]амино}-2-оксоэтил)карбамат
Реакцию с применением неочищенного продукта, полученного на стадии 7, проводили по существу таким же образом, как на стадии 13 Примера 1, с получением указанного в заголовке соединения (1,47 г, содержащего примеси) в виде смеси диастереомеров по атому фосфора.
MS (ESI) m/z: 1278 (М+Н)+.
[0405]
(Стадия 9)
бис(N,N-диэтилэтанаминия) (5R,7R,8R,12aR,14R,15R,15aR,16R)-16-{[трет-бутил(диметил)силил]окси}-15-фтор-2,10-диоксо-7-[6-оксо-1-(2-{[(N-{[2-(триметилсилил)этокси]карбонил}глицил)амино]метокси}этил)-1,6-дигидро-9Н-пурин-9-ил]-14-(6,7,8,9-тетрагидро-2Н-2,3,5,6-тетраазабензо[cd]азулен-2-ил)октагидро-2H,10H,12H-5,8-метано-2λ5,10λ5-фуро[3,2-1][1,3,6,9,11,2,10]пентаоксадифосфациклотетрадецин-2,10-бис(тиолят)
К смешанному раствору соединения (1,47 г), полученного на стадии 8, в метаноле (10 мл)-тетрагидрофуране (10 мл) добавляли 28% водный раствор аммиака (10 мл), и полученную смесь перемешивали при 50°С в течение 6 ч. Реакционную смесь концентрировали при пониженном давлении. Затем остаток очищали с помощью колоночной хроматографии на силикагеле С18 [10 мМ водный раствор ацетата триэтиламмония/ацетонитрил] с получением диастереомера 1 (204 мг: содержащего примеси) и диастереомера 2 (205 мг: содержащего примеси) указанного в заголовке соединения.
Диастереомер 1 (менее полярный)
MS (ESI)m/z: 1121 (М+Н)+.
Диастереомер 2 (более полярный)
MS (ESI)m/z: 1121 (М+Н)+.
[0406]
(Стадия 10-1)
бис(N,N-диэтилэтанаминия) (5R,7R,8R,12aR,14R,15R,15aR,16R)-15-фтор-7-(1-{2-[(глициламино)метокси]этил}-6-оксо-1,6-дигидро-9Н-пурин-9-ил)-16-гидрокси-2,10-диоксо-14-(6,7,8,9-тетрагидро-2Н-2,3,5,6-тетраазабензо[cd]азулен-2-ил)октагидро-2Н,10Н, 12Н-5,8-метано-2λ5,10λ5-фуро[3,2-1][1,3,6,9,11,2,10]пентаоксадифосфациклотетрадецин-2,10-бис(тиолят)
К раствору соединения (диастереомера 1) (204 мг), полученного на стадии 9, в тетрагидрофуране (6 мл) добавляли раствор фторида тетрабутиламмония (приблизительно 1 М, 3 мл) в тетрагидрофуране, и полученную смесь перемешивали при комнатной температуре в течение 33 ч. После хранения при 4°С в течение 3 дней реакционную смесь смешивали с 10 мМ водным раствором ацетата триэтиламмония. Затем проводили очистку с помощью колоночной хроматографии на силикагеле С18 [10 мМ водный раствор ацетата триэтиламмония/ацетонитрил] и препаративной ВЭЖХ [10 мМ водный раствор ацетата триэтиламмония/раствор ацетонитрила-метанола (1:1); раствор ацетонитрила-метанола (1:1): 10%-50% (0 мин-40 мин)] с получением указанного в заголовке соединения (40,7 мг; содержащего примеси).
MS (ESI)m/z: 863 (М+Н)+.
[0407]
(Стадия 10-2)
бис(N,N-диэтилэтанаминия) (5R,7R,8R,12aR,14R,15R,15aR,16R)-15-фтор-7-(1-{2-[(глициламино)метокси]этил}-6-оксо-1,6-дигидро-9Н-пурин-9-ил)-16-гидрокси-2,10-диоксо-14-(6,7,8,9-тетрагидро-2Н-2,3,5,6-тетраазабензо[cd]азулен-2-ил)октагидро-2Н,10Н,12Н-5,8-метано-2λ5,10λ5-фуро[3,2-1][1,3,6,9,11,2,10]пентаоксадифосфациклотетрадецин-2,10-бис(тиолят)
[0408]
Реакцию с применением соединения (диастереомера 2) (205 мг), полученного на стадии 9, проводили по существу таким же образом, как на стадии 10-1. Затем проводили очистку с помощью колоночной хроматографии на силикагеле С18 [10 мМ водный раствор ацетата триэтиламмония/ацетонитрил] и препаративной ВЭЖХ [10 мМ водный раствор ацетата триэтиламмония/раствор ацетонитрила-метанола (1:1); раствор ацетонитрила-метанола (1:1): 10%-50% (0 мин-40 мин)] с получением указанного в заголовке соединения (50,8 мг; содержащего примеси).
MS (ESI) m/z: 863 (М+Н)+.
[0409]
(Стадия 11-1)
бис(N,N-диэтилэтанаминия) N-[4-(11,12-дидегидродибензо[b,f]азоцин-5(6Н)-ил)-4-оксобутаноил]глицилглицил-L-фенилаланил-N-[(2-{9-[(5R,7R,8R,12aR,14R,15R,15aR,16R)-15-фтор-16-гидрокси-2,10-диоксо-2,10-дисульфид-14-(6,7,8,9-тетрагидро-2Н-2,3,5,6-тетраазабензо[cd]азулен-2-ил)октагидро-2Н,10Н,12Н-5,8-метано-2λ5,10λ5-фуро[3,2-1][1,3,6,9,11,2,10]пентаоксадифосфацикл отетрадецин-7-ил]-6-оксо-6,9-дигидро-1H-пурин-1-ил}этокси)метил] глицинамид
(Лекарственное средство-линкер 17а: диастереомер 1)
[0410]
К раствору соединения (40,7 мг), полученного на стадии 10-1, в N,N-диметилформамиде (0,5 мл) добавляли триэтиламин (11 μл) и соединение (25,4 мг), полученное на стадии 8 Примера 5, и полученную смесь перемешивали при комнатной температуре в течение 2 ч. Затем к реакционной смеси добавляли бензиламин (8 μл), и полученную смесь перемешивали при комнатной температуре в течение 1 ч. Затем добавляли 10 мМ водный раствор ацетата триэтиламмония и метанол. Затем проводили очистку с помощью колоночной хроматографии на силикагеле С18 [10 мМ водный раствор ацетата триэтиламмония/ацетонитрил], препаративной ВЭЖХ [10 мМ водный раствор ацетата триэтиламмония/ацетонитрил; ацетонитрил: 20%-45% (0 мин-40 мин)] и препаративной ВЭЖХ [10 мМ водный раствор ацетата триэтиламмония/метанол; метанол: 40%-90% (0 мин-40 мин)] с получением указанного в заголовке соединения (25,1 мг).
MS (ESI) m/z: 1411 (М+Н)+.
1H-ЯМР (CD3OD) δ: 8,58 (1Н, с), 8,09 (1H, с), 8,04 (1Н, с), 7,57-7,49 (2Н, м), 7,43-7,34 (3Н, м), 7,32-7,08 (9Н, м), 6,47 (1H, д, J=16,9 Гц), 6,23 (1H, д, J=7,9 Гц), 5,56-5,37 (2Н, м), 5,31-5,17 (1Н, м), 5,03 (1H, д, J=13,9 Гц), 4,79 (1H, д, J=4,2 Гц), 4,64-4,38 (6Н, м), 4,36-4,21 (4Н, м), 4,05-3,60 (10Н, м), 3,53-3,42 (3Н, м), 3,18 (12Н, кв, J=7,3 Гц), 3,01-2,92 (1H, м), 2,86-2,73 (1H, м), 2,70-2,54 (2Н, м), 2,37-2,16 (2Н, м), 2,06-1,77 (3Н, м), 1,28 (18Н, т, J=7,3 Гц).
[0411]
(Стадия 11-2)
бис(N,N-диэтилэтанаминия) N-[4-(11,12-дидегидродибензо[b,f]азоцин-5(6Н)-ил)-4-оксобутаноил]глицилглицил-L-фенилаланил-N-[(2-{9-[(5R,7R,8R,12aR,14R,15R,15aR,16R)-15-фтор-16-гидрокси-2,10-диоксо-2,10-дисульфид-14-(6,7,8,9-тетрагидро-2Н-2,3,5,6-тетраазабензо[cd]азулен-2-ил)октагидро-2H,10H,12H-5,8-метано-2λ5,10λ5-фуро[3,2-1][1,3,6,9,11,2,10]пентаоксадифосфациклотетрадецин-7-ил]-6-оксо-6,9-дигидро-1Н-пурин-1-ил}этокси)метил] глицинамид
(Лекарственное средство-линкер 17b: диастереомер 2)
[0412]
Реакцию с применением соединения (50,8 мг), полученного на стадии 10-2, и соединения (31,7 мг), полученного на стадии 8 Примера 5, проводили по существу таким же образом, как на стадии 11-1. Затем проводили очистку с помощью колоночной хроматографии на силикагеле С18 [10 мМ водный раствор ацетата триэтиламмония/ацетонитрил], препаративной ВЭЖХ [10 мМ водный раствор ацетата триэтиламмония/ацетонитрил; ацетонитрил: 25%-45% (0 мин-40 мин)] и препаративной ВЭЖХ [10 мМ водный раствор ацетата триэтиламмония/метанол; метанол: 45%-90% (0 мин-40 мин)] с получением указанного в заголовке соединения (23,4 мг).
MS (ESI) m/z: 1411 (М+Н)+.
1Н-ЯМР (CD3OD) δ: 8,67 (1Н, с), 8,14 (1H, с), 8,02 (1Н, с), 7,67-7,50 (2Н, м), 7,43-7,36 (3Н, м), 7,34-7,12 (9Н, м), 6,48 (1H, д, J=15,1 Гц), 6,26 (1H, т, J=8,8 Гц), 5,60-5,31 (3Н, м), 5,09-5,00 (1Н, м), 4,61-4,22 (9Н, м), 4,11-3,59 (13Н, м), 3,50-3,44 (2Н, м), 3,18 (12Н, кв, J=7,3 Гц), 3,04-2,93 (1H, м), 2,87-2,74 (3Н, м), 2,39-2,22 (2Н, м), 2,06-1,85 (3Н, м), 1,28 (18Н, т, J=7,3 Гц).
[0413]
Пример 7: Синтез фрагмента лекарственное средство-линкер 20
[Схема синтеза]
[0414]
[Формула 103]
[0415]
(Стадия 1)
№(азаниумилацетил)глицил-L-фенилаланилглицина трифторацетат К раствору доступного для приобретения (ВАСНЕМ) N-(трет-бутоксикарбонил)глицилглицил-L-фенилаланилглицина (3,00 г) в дихлорметане (30 мл) добавляли трифторуксусную кислоту (15 мл) при комнатной температуре, и полученную смесь перемешивали при той же температуре в течение 3 ч. Реакционную смесь концентрировали при пониженном давлении, суспендировали в толуоле, и затем повторно концентрировали при пониженном давлении. Эту процедуру концентрирования повторяли еще два раза. Остаток превращали в суспензию с диэтиловым эфиром (100 мл), затем фильтровали и собирали с получением указанного в заголовке соединения (3,27 г).
MS (ESI) m/z: 337 (М+Н)+.
1Н-ЯМР (ДМСО-d6) δ: 12,60 (1Н, уш. с), 8,48 (1Н, т, J=5,6 Гц), 8,44 (1H, т, J=5,9 Гц), 8,31 (1H, д, J=8,8 Гц), 7,97 (3Н, уш. с), 7,28-7,16 (5Н, м), 4,58 (1Н, м), 3,87 (1H, дд,J=16,8, 5,6 Гц), 3,78 (2Н, д, J=5,9 Гц), 3,67 (1H, дд, J=17,1, 5,4 Гц), 3,56 (2Н, уш. д, J=4,4 Гц), 3,05 (1H, дд, J=13,7, 3,9 Гц), 2,74 (1H, дд, J=13,7, 10,3 Гц).
[0416]
(Стадия 2)
N-[4-(11,12-дидегидродибензо[b,f]азоцин-5(6Н)-ил)-4-оксобутаноил]глицилглицил-L-фенилаланилглицин
К раствору соединения (2,09 г), полученного на стадии 1, в N,N-диметилформамиде (46,4 мл) добавляли триэтиламин (0,804 мл) и 1-{[4-(11,12-дигидродибензо[b,f]азоцин-5(6Н)-ил)-4-оксобутаноил]окси}пирролидин-2,5-дион (1,87 г), и полученную смесь перемешивали при комнатной температуре в течение 21 ч. Реакционную смесь концентрировали при пониженном давлении, и полученный остаток очищали с помощью колоночной хроматографии на силикагеле [дихлорметан/метанол]. К содержащему полученное соединение раствору в дихлорметане добавляли диэтиловый эфир с получением суспензии, и полученную суспензию фильтровали и собирали с получением указанного в заголовке соединения (2,10 г).
MS (ESI) m/z: 624 (М+Н)+.
1Н-ЯМР (ДМСО-d6) δ: 8,20-7,91 (4Н, м), 7,68-7,13 (13Н, м), 4,98 (1H, дд, J=13,9, 3,2 Гц), 4,51-4,46 (1H, м), 3,73-3,47 (7Н, м), 3,00 (1H, дд, J=13,9, 4,1 Гц), 2,73 (1H, т, J=11,7 Гц), 2,67-2,57 (1H, м), 2,29-2,22 (1Н, м), 2,06-2,01 (1H, м), 1,80-1,73 (1H, м) (перечислены только наблюдаемые пики).
[0417]
(Стадия 3)
2,5-диоксопирролидин-1-ил-N-[4-(11,12-дидегидродибензо[b,f]азоцин-5(6Н)-ил)-4-оксобутаноил]глицилглицил-L-фенилаланилглицинат
К раствору соединения (2,10 г), полученного на стадии 2, в N,N-диметилформамиде (33,7 мл) добавляли N-гидроксисукцинимид (426 мг) и гидрохлорид 1-этил-3-(3-диметиламинопропил)карбодиимида (710 мг), и полученную смесь перемешивали при комнатной температуре в течение 16 ч в атмосфере азота. Реакционную смесь разбавляли дихлорметаном, три раза промывали ледяной водой, и затем сушили над безводным сульфатом натрия. Осушающий агент отфильтровывали, и фильтрат концентрировали при пониженном давлении. К маслянистому остатку добавляли этилацетат и осаждали твердое вещество. Растворитель отгоняли при пониженном давлении. К полученному твердому веществу добавляли диэтиловый эфир с получением суспензии, и полученную суспензию фильтровали и собирали с получением указанного в заголовке соединения (2,18 г).
1Н-ЯМР (ДМСО-d6) δ: 8,74-8,69 (1H, м), 8,16-8,08 (2Н, м), 8,00-7,93 (1H, м), 7,71-7,15 (13Н, м), 5,00 (1H, дд, J=13,9, 3,0 Гц), 4,55-4,49 (1Н, м), 4,27 (2Н, т, J=6,0 Гц), 3,77-3,68 (1H, м), 3,64-3,50 (4Н, м), 3,02 (1H, дд, J=13,9, 4,2 Гц), 2,82-2,73 (5Н, м), 2,69-2,58 (1H, м), 2,33-2,24 (1H, м), 2,10-2,02 (1H, м), 1,83-1,75 (1H, м).
[0418]
(Стадия 4)
бис(N,N-диэтилэтанаминия) N-[4-(11,12-дидегидродибензо[b,f]азоцин-5(6Н)-ил)-4-оксобутаноил]глицилглицил-L-фенилаланил-N-(2-{9-[(5R,7R,8R,12aR,14R,15R,15aR,16R)-14-(8,9-дигидро-6-тиа-2,3,5-триазабензо[cd]азулен-2(7Н)-ил)-15-фтор-16-гидрокси-2,10-диоксо-2,10-дисульфидоктагидро-2Н,10Н,12Н-5,8-метано-2λ5,10λ5-фуро[3,2-1][1,3,6,9,11,2,10]пентаоксадифосфациклотетрадецин-7-ил]-6-оксо-6,9-дигидро-1Н-пурин-1-ил}этил)глицинамид
(Лекарственное средство-линкер 20)
К раствору соединения (25,0 мг), полученного на стадии 23-2 Примера 3, в N,N-диметилформамиде (0,5 мл) добавляли триэтиламин (8 μл) и соединение (25,8 мг), полученное на стадии 3, и полученную смесь перемешивали при комнатной температуре в течение 2 ч. Затем к реакционной смеси добавляли бензиламин (7 μл), и полученную смесь перемешивали при комнатной температуре в течение 1 ч. Затем к реакционной смеси добавляли 10 мМ водный раствор ацетата триэтиламмония и метанол. Затем проводили очистку с помощью колоночной хроматографии на силикагеле С18 [10 мМ водный раствор ацетата триэтиламмония/ацетонитрил], препаративной ВЭЖХ [10 мМ водный раствор ацетата триэтиламмония/ацетонитрил; ацетонитрил: 30%-50% (0 мин-40 мин)] и препаративной ВЭЖХ [10 мМ водный раствор ацетата триэтиламмония/метанол; метанол: 50%-90% (0 мин-40 мин)] с получением указанного в заголовке соединения (33,1 мг).
MS (ESI) m/z: 1398 (М+Н)+.
1Н-ЯМР (CD3OD) δ: 8,58 (1Н, уш. с), 8,39 (1H, д, J=8,5 Гц), 8,00 (1H, уш. с), 7,71 (1H, уш. с), 7,64-7,49 (2Н, м), 7,44-7,37 (3Н, м), 7,32-7,10 (8Н, м), 6,59 (1H, д, J=15,1 Гц), 6,23 (1H, д, J=8,5 Гц), 5,65-5,36 (3Н, м), 5,03 (1H, дд, J=16,6, 14,2 Гц), 4,57-4,38 (5Н, м), 4,30-4,17 (2Н, м), 4,07-3,95 (2Н, м), 3,94-3,50 (9Н, м), 3,50-3,35 (1Н, м), 3,19 (12Н, кв, J=7,3 Гц), 3,18-3,07 (3Н, м), 3,04-2,73 (4Н, м), 2,40-2,11 (4Н, м), 2,05-1,92 (1H, м), 1,29 (18Н, т, J=7,3 Гц).
[0420]
Пример 8: Синтез фрагмента лекарственное средство-линкер 21
[Схема синтеза]
[0421]
[Формула 104]
[0422]
(Стадия 1)
N-[4-(11,12-дидегидродибензо[b,f]азоцин-5(6Н)-ил)-4-оксобутаноил]глицилглицил-L-фенилаланил-N-({2-[(2,5-диоксопирролидин-1-ил)окси]-2-оксоэтокси } метил)глицинамид
К раствору {[(N-{[(9Н-флуорен-9-ил)метокси]карбонил]глицил)амино]метокси}уксусной кислоты (955 мг), описанной в литературе (WO 2014/057687), в N,N-диметилформамиде (8,0 мл) добавляли 1,8-диазабицикло[5.4.0]-7-ундецен (0,74 мл), и полученную смесь перемешивали при комнатной температуре в течение 1 ч (реакционная смесь А). К раствору соединения (938 мг), полученного на стадии 7 Примера 5, в N,N-диметилформамиде (8,0 мл) добавляли N-гидроксисукцинимид (229 мг) и гидрохлорид 1-этил-3-(3-диметиламинопропил)карбодиимида (380 мг), и полученную смесь перемешивали при комнатной температуре в течение 50 мин (реакционная смесь В). Реакционную смесь А добавляли к реакционной смеси В, и полученную смесь перемешивали при комнатной температуре в течение 1 ч. Реакционную смесь смешивали с дихлорметаном (50 мл) и 10% водным раствором лимонной кислоты (10 мл) и подвергали экстракции дихлорметаном. Органический слой промывали солевым раствором и сушили над безводным сульфатом натрия. Осушающий агент отфильтровывали, и фильтрат концентрировали при пониженном давлении. Остаток очищали с помощью колоночной хроматографии на силикагеле [хлороформ/нижний слой хлороформа/метанол/вода=7:3:1]. К раствору полученного соединения в N,N-диметилформамиде (8,0 мл) добавляли N-гидроксисукцинимид (229 мг) и гидрохлорид 1-этил-3-(3-диметиламинопропил)карбодиимида (380 мг), и полученную смесь перемешивали при комнатной температуре в течение 30 мин. Реакционную смесь смешивали с дихлорметаном (100 мл) и водой (25 мл) и подвергали экстракции дихлорметаном. Органический слой промывали солевым раствором и сушили над безводным сульфатом натрия. Осушающий агент отфильтровывали, и фильтрат концентрировали при пониженном давлении. Остаток очищали с помощью колоночной хроматографии на силикагеле [хлороформ/метанол]. Фракции, содержащие целевой продукт, концентрировали при пониженном давлении, и к остатку добавляли диэтиловый эфир с получением суспензии. Полученное твердое вещество фильтровали и собирали с получением указанного в заголовке соединения (412 мг).
1Н-ЯМР (ДМСО-d6) δ: 8,72 (1Н, м), 8,32 (1H, м), 8,17-7,96 (3Н, м), 7,71-7,15 (13Н, м), 5,01 (1Н, д, J=13,9 Гц), 4,70-4,48 (5Н, м), 3,81-3,51 (7Н, м), 3,05 (1H, дд, J=14,2, 3,9 Гц), 2,83 (4Н, с), 2,80 (1H, м), 2,64 (1H, м), 2,28 (1H, м), 2,07 (1H, м), 1,79 (1H, м).
[0423]
(Стадия 2)
бис(N,N-диэтилэтанаминия) N-[4-(11,12-дидегидродибензо[b,f]азоцин-5(6Н)-ил)-4-оксобутаноил]глицилглицил-L-фенилаланил-N-({2-[(2-{9-[(5R,7R,8R,12aR,14R,15R,15aR,16R)-14-(8,9-дигидро-6-тиа-2,3,5-триазабензо[cd]азулен-2(7Н)-ил)-15-фтор-16-гидрокси-2,10-диоксо-2,10-дисульфидоктагидро-2Н,10Н,12Н-5,8-метано-2λ5,10λ5-фуро[3,2-1][1,3,6,9,11,2,10]пентаоксадифосфациклотетрадецин-7-ил]-6-оксо-6,9-дигидро-1Н-пурин-1-ил}этил)амино]-2-оксоэтокси}метил)глицинамид
(Лекарственное средство-линкер 21)
[0424]
Реакцию с применением соединения (15,0 мг), полученного на стадии 23-2 Примера 3, и соединения (17,4 мг), полученного на стадии 1, проводили по существу таким же образом, как на стадии 4 Примера 7. Затем проводили очистку с помощью колоночной хроматографии на силикагеле С18 [10 мМ водный раствор ацетата триэтиламмония/ацетонитрил], препаративной ВЭЖХ [10 мМ водный раствор ацетата триэтиламмония/ацетонитрил; ацетонитрил: 25%-50% (0 мин-40 мин)] и препаративной ВЭЖХ [10 мМ водный раствор ацетата триэтиламмония/метанол; метанол: 40%-90% (0 мин-40 мин)] с получением указанного в заголовке соединения (21,8 мг).
MS (ESI) m/z: 1485 (М+Н)+.
1H-ЯМР (CD3OD) δ: 8,61 (1Н, уш. с), 8,41-8,34 (1H, м), 8,10-8,05 (1H, м), 7,72-7,37 (6Н, м), 7,32-7,12 (8Н, м), 6,63-6,50 (1H, м), 6,27-6,22 (1H, м), 5,65-5,31 (3Н, м), 5,07-4,94 (1H, м), 4,68-4,20 (10Н, м), 4,11-3,53 (14Н, м), 3,26-3,08 (2Н, м), 3,19 (12Н, кв, J=7,3 Гц), 3,06-2,67 (4H, м), 2,40-2,11 (4Н, м), 2,05-1,88 (1H, м), 1,29 (18Н, t, J=7,3Гц).
[0425]
Пример 9: Синтез антитела 1 с ремоделированным гликаном
Получение антитела 1-[SG-(N3)2]2 к TROP2
[0426]
[Схема синтеза]
[Формула 105]
[0427]
(Стадия 1)
Получение (Fucα1,6)GlcNAc-антитела 1 к TROP2
Фосфатно-солевой буферный раствор (6,0 мл, 16,55 мг/мл, рН 6,0), содержащий антитело 1 к TROP2, полученное согласно справочному Примеру 5, смешивали с содержащим EndoS дикого типа фосфатно-солевым буферным раствором (0,064 мл, 7,70 мг/мл, рН 6,0), и полученную смесь встряхивали при 37°С в течение 2 ч. Ход реакции проверяли с помощью системы автоматизированного электрофореза Experion (производства BIO-RAD). После завершения реакции проводили очистку с помощью аффинной хроматографии и хроматографии на колонке с гидроксиапатитом в соответствии со следующими способами.
(1) Очистка с помощью аффинной хроматографии
Устройство для очистки: AKTA avant 25 (производства GE Healthcare)
Колонка: HiTrap rProtein A FF (5 мл) (производства GE Healthcare)
Скорость потока: 5 мл/мин (1,25 мл/мин во время загрузки)
Во время связывания с колонкой реакционную смесь добавляли непосредственно в колонку, и пропускали буфер для связывания [20 мМ фосфатный буфер (рН 6,0)] со скоростью 1,25 мл/мин в объеме, равном 2 ОК (объемам колонки), а затем пропускали со скоростью 5 мл/мин в объеме, равном 5 ОК. Во время промежуточной промывки пропускали 15 ОК промывочного раствора [20 мМ фосфатный буфер (рН 7,0), 0,5 М раствор хлорида натрия]. При элюировании пропускали 6 ОК элюирующего буфера (ImmunoPure IgG Elution buffer; производства PIERCE). Элюат немедленно нейтрализовали с помощью 1М трис-буфера (рН 9,0). Фракции, содержащие целевой продукт, подвергали замене буфера на 5 мМ фосфатный буфер и 50 мМ раствор 2-морфолиноэтансульфоновой кислоты (MES) (рН 6,8) в соответствии со способом, описанным в общей операции С. Концентрацию антитела в полученном буферном растворе определяли в соответствии со способом, описанным в общей операции В, и таким образом получали раствор указанного в заголовке антитела грубой очистки (12,38 мг/мл, 8 мл). (2) Очистка с помощью хроматографии на гидроксиапатите Устройство для очистки: АКТА avant 25 (производства GE Healthcare) Колонка: картридж Bio-Scale Mini СНТ Type I (5 мл) (производства BIO-RAD)
Скорость потока: 5 мл/мин (1,25 мл/мин во время загрузки)
[0428]
Раствор, полученный в п. (1) выше, добавляли в колонку, и пропускали раствор А [5 мМ фосфатный буфер, 50 мМ раствор MES (рН 6,8)] со скоростью 1,25 мл/мин в объеме, равном 2 ОК, а затем пропускали со скоростью 5 мл/мин в объеме, равном 3 ОК. Затем использовали для элюирования раствор А и раствор В [5 мМ фосфатный буфер, 50 мМ раствор MES (рН 6,8), 2 М раствор хлорида натрия]. Условия элюирования: раствор А:раствор В = от 100:0 до 0:100 (5 ОК). Кроме того, пропускали 5 ОК промывочного раствора [500 мМ фосфатный буфер (рН 6,5)]. Фракции, содержащие целевой продукт, подвергали замене буфера на 20 мМ фосфатный буфер (рН 6,0) в соответствии со способом, описанным в общей операции С. Концентрацию антитела в полученном буферном растворе определяли в соответствии со способом, описанным в общей операции В, и таким образом получали раствор указанного в заголовке антитела (12,30 мг/мл, 8 мл).
[0429]
(Стадия 2)
Получение антитела 1-[SG-(N3)2]2 к TROP2
К 20 мМ фосфатному буферному раствору (12,30 мг/мл, 8 мл, рН 6,0), содержащему антитело, полученное на стадии 1, добавляли [N3-PEG(3)]2-SG(10)Ox (соединение 1-10 в WO 2018/003983) (22,7 мг) и содержащий EndoS (D233Q/Q303L) фосфатно-солевой буфер (0,339 мл, 5,8 мг/мл, рН 6,0), и полученную смесь встряхивали при 30°С в течение 4,5 ч. Ход реакции проверяли с помощью системы автоматизированного электрофореза Experion (производства BIO-RAD). После завершения реакции проводили очистку, как на стадии 1, с помощью аффинной хроматографии и хроматографии на колонке с гидроксиапатитом. Фракции, содержащие целевой продукт, подвергали замене буфера на фосфатно-солевой буфер (рН 6,0) в соответствии со способом, описанным в общей операции С. Концентрацию антитела в полученном буферном растворе определяли в соответствии со способом, описанным в общей операции В, и таким образом получали раствор указанного в заголовке антитела (10,24 мг/мл, 9 мл).
[0430]
Пример 10: Синтез антитела 2 с ремоделированным гликаном
Получение модифицированного антитела-[SG-(N3)2]2 к TROP2
[Схема синтеза]
[Формула 106]
[0431]
(Стадия 1)
Получение (Fucα1,6)GlcNAc-модифицированного антитела к TROP2 С применением фосфатно-солевого буферного раствора (10 мл, 16,75 мг/мл, рН 6,0), содержащего модифицированное антитело к TROP2, полученное в соответствии со справочным Примером 6, повторяли по существу ту же процедуру, что и на стадии 1 Примера 9. Затем получали 20 мМ фосфатный буфер, содержащий указанное в заголовке антитело (18,11 мг/мл, 7,5 мл, рН 6,0).
[0432]
(Стадия 2)
Получение модифицированного антитела-[ SG-(N3)2]2 к TROP2
С применением 20 мМ фосфатного буфера (18,11 мг/мл, 7,5 мл, рН 6,0), содержащего антитело, полученное на стадии 1, и [N3-PEG(3)]2-SG(10)Ox (32 мг), повторяли по существу ту же процедуру, что и на стадии 2 Примера 9.
Затем получали фосфатно-солевой буфер, содержащий указанное в заголовке антитело (11,03 мг/мл, 10,5 мл, рН 6,0).
[0433]
Пример 11: Синтез антитела 3 с ремоделированным гликаном
Получение модифицированного антитела-[SG-(N3)2]2 1 к CD70
[0434]
[Схема синтеза]
[Формула 107]
(Стадия 1)
Получение (Fucα1,6)GlcNAc-модифицированного антитела 1 к CD70 С применением фосфатно-солевого буфера (3,0 мл, 16,11 мг/мл, рН 6,0), содержащего модифицированное антитело 1 к CD70, полученное в соответствии со справочным Примером 3, повторяли по существу ту же процедуру, что и на стадии 1 Примера 9. Затем получали 20 мМ фосфатный буфер, содержащий указанное в заголовке антитело (6,41 мг/мл, 5,5 мл, рН 6,0).
[0435](Стадия 2)
Получение модифицированного антитела-[SG-(N3)2]2 1 к CD70
С применением 20 мМ фосфатного буфера (6,41 мг/мл, 5,5 мл, рН 6,0), содержащего антитело, полученное на стадии 1, и [N3-PEG(3)]2-SG(10)Ox (10 мг), повторяли по существу ту же процедуру, что и на стадии 2 Примера 9. Затем получали фосфатно-солевой буфер, содержащий указанное в заголовке антитело (9,24 мг/мл, 3,25 мл, рН 6,0).
[0436] Пример 12: Синтез антитела 4 с ремоделированным гликаном
Получение модифицированного антитела 2-[SG-(N3)2]2 к CD70
[0437] [Схема синтеза]
[Формула 108]
[0438] (Стадия 1)
Получение (Fucα1,6)GlcNAc-модифицированного антитела 2 к CD70 С применением фосфатно-солевого буфера (10,0 мл, 14,00 мг/мл, рН 6,0), содержащего модифицированное антитело 2 к CD70, полученное в соответствии со справочным Примером 4, повторяли по существу ту же процедуру, что и на стадии 1 Примера 9. Затем получали 20 мМ фосфатный буфер, содержащий указанное в заголовке антитело (18,67 мг/мл, 6 мл, рН 6,0).
[0439]
(Стадия 2)
Получение модифицированного антитела 2-[SG-(N3)2]2 к CD70
С применением 20 мМ фосфатного буфера (18,67 мг/мл, 6 мл, рН 6,0), содержащего антитело, полученное на стадии 1, и [N3-PEG(3)]2-SG(10)Ox (26 мг), повторяли по существу ту же процедуру, что и на стадии 2 Примера 9.
Затем получали фосфатно-солевой буфер, содержащий указанное в заголовке антитело (11,39 мг/мл, 7,5 мл, рН 6,0).
[0440]
Пример 13: Синтез антитела 5 с ремоделированным гликаном Получение модифицированного антитела 1-[SG-(N3)2]2 к EGFR
[0441]
[Схема синтеза]
[Формула 109]
[0442]
(Стадия 1)
Получение (Fucα1,6)GlcNAc-модифицированного антитела 1 к EGFR
С применением фосфатно-солевого буфера (10,0 мл, 14,00 мг/мл, рН 6,0), содержащего модифицированное антитело 1 к EGFR, полученное в соответствии со справочным Примером 7, повторяли по существу ту же процедуру, что и на стадии 1 Примера 9. Затем получали 20 мМ фосфатный буфер, содержащий указанное в заголовке антитело (16,70 мг/мл, 7,5 мл, рН 6,0).
[0443]
(Стадия 2)
Получение модифицированного антитела 1-[SG-(N3)2]2 к EGFR
С применением 20 мМ фосфатного буфера (16,70 мг/мл, 7,5 мл, рН 6,0), содержащего антитело, полученное на стадии 1, и [N3-PEG(3)]2-SG(10)Ox (29 мг), повторяли по существу ту же процедуру, что и на стадии 2 Примера 9.
Затем получали фосфатно-солевой буфер, содержащий указанное в заголовке антитело (10,49 мг/мл, 10 мл, рН 6,0).
[0444]
Пример 14: Синтез антитела 6 с ремоделированным гликаном
Получение модифицированного антитела 2-[SG-(N3)2]2 к EGFR
[0445]
[Схема синтеза]
[Формула 110]
[0446]
(Стадия 1)
Получение (Fucα1,6)GlcNAc-модифицированного антитела 2 к EGFR
С применением фосфатно-солевого буфера (10,0 мл, 14,10 мг/мл, рН 6,0), содержащего модифицированное антитело 2 к EGFR, полученное в соответствии со справочным Примером 8, повторяли по существу ту же процедуру, что и на стадии 1 Примера 9. Затем получали 20 мМ фосфатный буфер, содержащий указанное в заголовке антитело (16,88 мг/мл, 6 мл, рН 6,0).
[0447]
(Стадия 2)
Получение модифицированного антитела 2-[SG-(N3)2]2 к EGFR
С применением 20 мМ фосфатного буфера (16,88 мг/мл, 6 мл, рН 6,0), содержащего антитело, полученное на стадии 1, и [N3-PEG(3)]2-SG(10)Ox (23 мг), повторяли по существу ту же процедуру, что и на стадии 2 Примера 9.
Затем получали фосфатно-солевой буфер, содержащий указанное в заголовке антитело (8,34 мг/мл, 6,75 мл, рН 6,0).
[0448]
Пример 15: Синтез конъюгата 1 антитело-лекарственное средство (синтез конъюгата (1) антитело 1 к TROP2-ЦДН)
Содержащий антитело 1 с ремоделированным гликаном фосфатно-солевой буферный (рН 6,0) раствор (10,24 мг/мл, 0,500 мл) разбавляли пропиленгликолем (0,250 мл). Полученный раствор смешивали со смесью раствора лекарственного средства-линкера 2b (10 мМ, 0,085 мл, 24 эквивалента на молекулу антитела) в диметилсульфоксиде и пропиленгликоля (0,65 мл) и проводили реакцию в течение 2 дней при комнатной температуре с использованием ротатора для пробирок (MTR-103, AS ONE Corporation). Реакционную смесь подвергали очистке способом, описанным в общей операции D, с получением раствора АБС, содержащего целевой конъюгат антитело-лекарственное средство (3,5 мл).
Следующие результаты были получены путем анализа в соответствии со способами, описанными в общих операциях E и G.
Концентрация антитела: 0,89 мг/мл
Выход антитела: 3,12 мг (62%)
Среднее количество конъюгированных молекул лекарственного средства: 3,7
[0449]
Пример 16: Синтез конъюгата 2 антитело-лекарственное средство (синтез конъюгата (1) антитело 2 к TROP2-ЦДН)
Содержащий антитело 2 с ремоделированным гликаном фосфатно-солевой буферный (рН 6,0) раствор (11,03 мг/мл, 1,00 мл) разбавляли пропиленгликолем (0,500 мл). Полученный раствор смешивали со смесью раствора лекарственного средства-линкера 17а (10 мМ, 0,061 мл, 8 эквивалентов на молекулу антитела) в диметилсульфоксиде и пропиленгликоля (0,439 мл) и проводили реакцию в течение 2 дней при комнатной температуре с использованием ротатора для пробирок (MTR-103, AS ONE Corporation). Реакционную смесь подвергали очистке способом, описанным в общей операции D, с получением раствора АБС, содержащего целевой конъюгат антитело-лекарственное средство (6,5 мл).
Следующие результаты были получены путем анализа в соответствии со способами, описанными в общих операциях E и G.
Концентрация антитела: 1,26 мг/мл
Выход антитела: 8,16 мг (74%)
Среднее количество конъюгированных молекул лекарственного средства: 3,5
[0450]
Пример 17: Синтез конъюгата 3 антитело-лекарственное средство (синтез конъюгата (2) антитело 2 к TROP2-ЦДН)
Содержащий антитело 2 с ремоделированным гликаном фосфатно-солевой буферный (рН 6,0) раствор (11,03 мг/мл, 1,00 мл) разбавляли пропиленгликолем (0,500 мл). Полученный раствор смешивали со смесью раствора лекарственного средства-линкера 20 (10 мМ, 0,061 мл, 8 эквивалентов на молекулу антитела) в диметилсульфоксиде и пропиленгликоля (0,439 мл) и проводили реакцию в течение 2 дней при комнатной температуре с использованием ротатора для пробирок (MTR-103, AS ONE Corporation). Реакционную смесь подвергали очистке способом, описанным в общей операции D, с получением раствора АБС, содержащего целевой конъюгат антитело-лекарственное средство (6,5 мл).
Следующие результаты были получены путем анализа в соответствии со способами, описанными в общих операциях E и G.
Концентрация антитела: 1,30 мг/мл
Выход антитела: 8,45 мг (77%)
Среднее количество конъюгированных молекул лекарственного средства: 3,5
[0451]
Пример 18: Синтез конъюгата 4 антитело-лекарственное средство (синтез конъюгата (3) антитело 2 к TROP2-ЦДН)
Содержащий антитело 2 с ремоделированным гликаном фосфатно-солевой буферный (рН 6,0) раствор (11,03 мг/мл, 1,00 мл) разбавляли пропиленгликолем (0,500 мл). Полученный раствор смешивали со смесью раствора лекарственного средства-линкера 21 (10 мМ, 0,061 мл, 8 эквивалентов на молекулу антитела) в диметилсульфоксиде и пропиленгликоля (0,439 мл) и проводили реакцию в течение 2 дней при комнатной температуре с использованием ротатора для пробирок (MTR-103, AS ONE Corporation). Реакционную смесь подвергали очистке способом, описанным в общей операции D, с получением раствора АБС, содержащего целевой конъюгат антитело-лекарственное средство (6,5 мл).
Следующие результаты были получены путем анализа в соответствии со способами, описанными в общих операциях E и G.
Концентрация антитела: 1,33 мг/мл
Выход антитела: 8,62 мг (78%)
Среднее количество конъюгированных молекул лекарственного средства: 3,6
[0452]
Пример 19: Синтез конъюгата 5 антитело-лекарственное средство (синтез конъюгата (1) антитело 1 к CD70-ЦДН).
Содержащий антитело 3 с ремоделированным гликаном фосфатно-солевой буферный (рН 6,0) раствор (9,24 мг/мл, 1,00 мл) разбавляли пропиленгликолем (0,500 мл). Полученный раствор смешивали со смесью раствора лекарственного средства-линкера 17а (10 мМ, 0,051 мл, 8 эквивалентов на молекулу антитела) в диметилсульфоксиде и пропиленгликоля (0,449 мл) и проводили реакцию в течение 2 дней при комнатной температуре с использованием ротатора для пробирок (MTR-103, AS ONE Corporation). Реакционную смесь подвергали очистке способом, описанным в общей операции D, с получением раствора АБС, содержащего целевой конъюгат антитело-лекарственное средство (6,5 мл).
Следующие результаты были получены путем анализа в соответствии со способами, описанными в общих операциях E и G.
Концентрация антитела: 1,08 мг/мл
Выход антитела: 7,02 мг (76%)
Среднее количество конъюгированных молекул лекарственного средства: 3,8
[0453]
Пример 20: Синтез конъюгата 6 антитело-лекарственное средство (синтез конъюгата (1) антитело 2 к CD70-ЦДН).
Содержащий антитело 4 с ремоделированным гликаном фосфатно-солевой буферный (рН 6,0) раствор (11,39 мг/мл, 1,00 мл) разбавляли пропиленгликолем (0,500 мл). Полученный раствор смешивали со смесью раствора лекарственного средства-линкера 17а (10 мМ, 0,063 мл, 8 эквивалентов на молекулу антитела) в диметилсульфоксиде и пропиленгликоля (0,437 мл) и проводили реакцию в течение 2 дней при комнатной температуре с использованием ротатора для пробирок (MTR-103, AS ONE Corporation). Реакционную смесь подвергали очистке способом, описанным в общей операции D, с получением раствора АБС, содержащего целевой конъюгат антитело-лекарственное средство (6,5 мл).
Следующие результаты были получены путем анализа в соответствии со способами, описанными в общих операциях E и G.
Концентрация антитела: 1,33 мг/мл
Выход антитела: 8,65 мг (76%)
Среднее количество конъюгированных молекул лекарственного средства: 3,7
[0454]
Пример 21: Синтез конъюгата 7 антитело-лекарственное средство (синтез конъюгата (1) антитело 1 к EGFR-ЦДН).
Содержащий антитело 5 с ремоделированным гликаном фосфатно-солевой буферный (рН 6,0) раствор (10,49 мг/мл, 1,00 мл) разбавляли пропиленгликолем (0,500 мл). Полученный раствор смешивали со смесью раствора лекарственного средства-линкера 17а (10 мМ, 0,058 мл, 8 эквивалентов на молекулу антитела) в диметилсульфоксиде и пропиленгликоля (0,442 мл) и проводили реакцию в течение 2 дней при комнатной температуре с использованием ротатора для пробирок (MTR-103, AS ONE Corporation). Реакционную смесь подвергали очистке способом, описанным в общей операции D, с получением раствора АБС, содержащего целевой конъюгат антитело-лекарственное средство (7,0 мл).
Следующие результаты были получены путем анализа в соответствии со способами, описанными в общих операциях E и G.
Концентрация антитела: 0,69 мг/мл
Выход антитела: 4,84 мг (48%)
Среднее количество конъюгированных молекул лекарственного средства: 3,6
[0455]
Пример 22: Синтез конъюгата 8 антитело-лекарственное средство (синтез конъюгата (1) антитело 2 к EGFR-ЦДН).
Содержащий антитело 6 с ремоделированным гликаном фосфатно-солевой буферный (рН 6,0) раствор (8,34 мг/мл, 1,00 мл) разбавляли пропиленгликолем (0,500 мл). Полученный раствор смешивали со смесью раствора лекарственного средства-линкера 17а (10 мМ, 0,055 мл, 9,6 эквивалента на молекулу антитела) в диметилсульфоксиде и пропиленгликоля (0,445 мл) и проводили реакцию в течение 2 дней при комнатной температуре с использованием ротатора для пробирок (MTR-103, AS ONE Corporation). Реакционную смесь подвергали очистке способом, описанным в общей операции D, с получением раствора АБС, содержащего целевой конъюгат антитело-лекарственное средство (7,0 мл).
Следующие результаты были получены путем анализа в соответствии со способами, описанными в общих операциях E и G.
Концентрация антитела: 0,52 мг/мл
Выход антитела: 3,62 мг (43%)
Среднее количество конъюгированных молекул лекарственного средства: 3,8
[0456] Пример 23: Синтез антитела 7 с ремоделированным гликаном
Получение модифицированного антитела-[MSG1-(N3)]2 к TROP2
[0457] [Схема синтеза]
[Формула 111]
[0458] (Стадия 1)
Получение (Fucα1,6)GlcNAc-модифицированного антитела к TROP2
С применением содержащего модифицированное антитело к TROP2 фосфатно-солевого буфера (5 мл, 16,75 мг/мл, рН 6,0) повторяли по существу ту же процедуру, что и на стадии 1 Примера 9. Затем получали 20 мМ фосфатный буфер, содержащий указанное в заголовке антитело (9,81 мг/мл, 7,5 мл, рН 6,0).
[0459] (Стадия 2)
Получение модифицированного антитела-[MSG1-(N3)]2 к TROP2
С применением 20 мМ фосфатного буфера (9,81 мг/мл, 7,5 мл, рН 6,0), содержащего антитело, полученное на стадии 1, и [N3-PEG(3)]-MSG1(9)Ox (соединение 1-11 в WO 2018/003983) (12 мг), повторяли по существу ту же процедуру, что и на стадии 2 Примера 9. Затем получали фосфатно-солевой буфер, содержащий указанное в заголовке антитело (13,22 мг/мл, 5 мл, рН 6,0).
[0460] Пример 24: Синтез антитела 8 с ремоделированным гликаном
Получение модифицированного антитела-[MSG1-(N3)]2 2 к CD70
[0461] [Схема синтеза]
[Формула 112]
[0462] (Стадия 1)
Получение (Fucα1,6)GlcNAc-модифицированного антитела 2 к CD70
С применением содержащего модифицированное антитело 2 к CD70 фосфатно-солевого буфера (1,6 мл, 13,44 мг/мл, рН 6,0) повторяли по существу ту же процедуру, что и на стадии 1 Примера 9. Затем получали 20 мМ фосфатный буфер, содержащий указанное в заголовке антитело (8,96 мг/мл, 2 мл, рН 6,0).
[0463] (Стадия 2)
Получение модифицированного антитела-[MSG1-(N3)]2 2 к CD70
С применением 20 мМ фосфатного буфера (8,96 мг/мл, 2 мл, рН 6,0), содержащего антитело, полученное на стадии 1, и [N3-PEG(3)]-MSG1(9)Ox (4 мг), повторяли по существу ту же процедуру, что и на стадии 2 Примера 9. Затем получали фосфатно-солевой буфер, содержащий указанное в заголовке антитело (12,20 мг/мл, 1,2 мл, рН 6,0).
[0464] Пример 25: Синтез антитела 9 с ремоделированным гликаном
Получение модифицированного антитела 1-[MSG1-(N3)]2 к EGFR
[0465] [Схема синтеза]
[Формула 113]
[0466] (Стадия 1)
Получение (Fucα1,6)GlcNAc-модифицированного антитела 1 к EGFR С применением содержащего модифицированное антитело 1 к EGFR фосфатно-солевого буфера (10 мл, 14,00 мг/мл, рН 6,0) повторяли по существу ту же процедуру, что и на стадии 1 Примера 9. Затем получали 20 мМ фосфатный буфер, содержащий указанное в заголовке антитело (14,51 мг/мл, 7,5 мл, рН 6,0).
[0467] (Стадия 2)
Получение модифицированного антитела 1-[MSG1-(N3)]2 к EGFR
С применением 20 мМ фосфатного буфера (14,51 мг/мл, 7,5 мл, рН 6,0), содержащего антитело, полученное на стадии 1, и [N3-PEG(3)]-MSG1(9)Ox (17,3 мг), повторяли по существу ту же процедуру, что и на стадии 2 Примера 9. Затем получали фосфатно-солевой буфер, содержащий указанное в заголовке антитело (13,34 мг/мл, 7,5 мл, рН 6,0).
[0468] Пример 26: Синтез конъюгата 9 антитело-лекарственное средство (синтез конъюгата (4) антитело 2 к TROP2-ЦДН)
Содержащий антитело 7 с ремоделированным гликаном фосфатно-солевой буферный (рН 6,0) раствор (13,22 мг/мл, 1,00 мл) разбавляли пропиленгликолем (0,500 мл). Полученный раствор смешивали со смесью раствора лекарственного средства-линкера 17а (10 мМ, 0,073 мл, 8 эквивалентов на молекулу антитела) в диметилсульфоксиде и пропиленгликоля (0,427 мл) и проводили реакцию в течение 2 дней при комнатной температуре с использованием ротатора для пробирок. Реакционную смесь подвергали очистке способом, описанным в общей операции D, с получением раствора АБС, содержащего целевой конъюгат антитело-лекарственное средство (6,5 мл).
Следующие результаты были получены путем анализа в соответствии со способами, описанными в общих операциях E и G.
Концентрация антитела: 1,36 мг/мл
Выход антитела: 8,83 мг (67%)
Среднее количество конъюгированных молекул лекарственного средства: 1,9
[0469]
Пример 27: Синтез конъюгата 10 антитело-лекарственное средство (синтез конъюгата (2) антитело 2 к CD70-ЦДН).
Содержащий антитело 8 с ремоделированным гликаном фосфатно-солевой буферный (рН 6,0) раствор (12,20 мг/мл, 1,20 мл) разбавляли пропиленгликолем (0,600 мл). Полученный раствор смешивали со смесью раствора лекарственного средства-линкера 17а (10 мМ, 0,081 мл, 8 эквивалентов на молекулу антитела) в диметилсульфоксиде и пропиленгликоля (0,519 мл) и проводили реакцию в течение 2 дней при комнатной температуре с использованием ротатора для пробирок. Реакционную смесь подвергали очистке способом, описанным в общей операции D, с получением раствора АБС, содержащего целевой конъюгат антитело-лекарственное средство (7 мл).
Следующие результаты были получены путем анализа в соответствии со способами, описанными в общих операциях E и G.
Концентрация антитела: 1,46 мг/мл
Выход антитела: 10,25 мг (70%)
Среднее количество конъюгированных молекул лекарственного средства: 1,9
[0470]
Пример 28: Синтез конъюгата 11 антитело-лекарственное средство (синтез конъюгата (2) антитело 1 к EGFR-ЦДН).
Содержащий антитело 9 с ремоделированным гликаном фосфатно-солевой буферный (рН 6,0) раствор (13,34 мг/мл, 1,00 мл) разбавляли пропиленгликолем (0,500 мл). Полученный раствор смешивали со смесью раствора лекарственного средства-линкера 17а (10 мМ, 0,074 мл, 8 эквивалентов на молекулу антитела) в диметилсульфоксиде и пропиленгликоля (0,426 мл) и проводили реакцию в течение 2 дней при комнатной температуре с использованием ротатора для пробирок. Реакционную смесь подвергали очистке способом, описанным в общей операции D, с получением раствора АБС, содержащего целевой конъюгат антитело-лекарственное средство (6,5 мл).
Следующие результаты были получены путем анализа в соответствии со способами, описанными в общих операциях E и G.
Концентрация антитела: 1,68 мг/мл
Выход антитела: 10,91 мг (82%)
Среднее количество конъюгированных молекул лекарственного средства: 1,9
[0471] (Справочный Пример 1: Синтез ML-RR-CDA⋅2Na+)
ML-RR-CDA⋅2Na+, применяемый в качестве эталонного соединения в настоящей заявке, синтезировали в соответствии с процедурой, описанной в Патентной публикации 3 (WO 2014/189805).
(Справочный Пример 2: Синтез 2',3'-цГАМФ)
[0472] В настоящей заявке 2',3'-цГАМФ, применяемый в качестве эталонного соединения, синтезировали ферментативным путем из АТФ и ГТФ с применением цГАС. Получение цГАС и ферментативную реакцию осуществляли, при необходимости внося модификации, в соответствии с процедурами, описанными в публикациях (Immunity, 2013, 39, 1019-1031; Cell Rep.2014, 6, 421-430). Очистку проводили с помощью колоночной хроматографии с применением слабоосновной анионообменной смолы (DIAION WA10) и синтетического адсорбента (SEPABEADS SP207SS).
[0473] (Справочный Пример 3: Получение антитела 1 к CD70)
Антитело 1 к CD70 получали, руководствуясь WO 2004/073656. Антитело 1 к CD70, применяемое в Примерах, имеет изотип IgG1 с мутацией LALA. На Фиг. 4 представлена аминокислотная последовательность легкой цепи (SEQ ID NO: 1) и аминокислотная последовательность тяжелой цепи (SEQ ID NO: 2) антитела 1 к CD70, применяемого в примерах. На Фиг. 16 представлена аминокислотная последовательность CDRL1 (SEQ ID NO: 35), аминокислотная последовательность CDRL2 (SEQ ID NO: 36), аминокислотная последовательность CDRL3 (SEQ ID NO: 37), аминокислотная последовательность CDRH1 (SEQ ID NO: 38), аминокислотная последовательность CDRH2 (SEQ ID NO: 39) и аминокислотная последовательность CDRH3 (SEQ ID NO: 40) этого антитела.
[0474] (Справочный Пример 4: Получение антитела 2 к CD70)
Антитело 2 к CD70 получали, руководствуясь WO 2007/038637. Антитело 2 к CD70, применяемое в примерах, имеет изотип IgG1 с мутацией LALA. На Фиг. 5 представлена аминокислотная последовательность легкой цепи (SEQ ID NO: 3) и аминокислотная последовательность тяжелой цепи (SEQ ID NO: 4) антитела 2 к CD70, применяемого в примерах. На Фиг. 17 представлена аминокислотная последовательность CDRL1 (SEQ ID NO: 41), аминокислотная последовательность CDRL2 (SEQ ID NO: 42), аминокислотная последовательность CDRL3 (SEQ ID NO: 43), аминокислотная последовательность CDRH1 (SEQ ID NO: 44), аминокислотная последовательность CDRH2 (SEQ ID NO: 45) и аминокислотная последовательность CDRH3 (SEQ ID NO: 46) этого антитела.
[0475] (Справочный Пример 5: Получение антитела 1 к TROP2).
Антитело 1 к TROP2 получали, руководствуясь WO 2015/098099. Антитело 1 к TROP2, применяемое в примерах, имеет изотип IgG1. На Фиг. 6 представлена аминокислотная последовательность легкой цепи (SEQ ID NO: 5) и аминокислотная последовательность тяжелой цепи (SEQ ID NO: 6) антитела 1 к TROP2, применяемого в примерах. На Фиг. 18 представлена аминокислотная последовательность CDRL1 (SEQ ID NO: 47), аминокислотная последовательность CDRL2 (SEQ ID NO: 48), аминокислотная последовательность CDRL3 (SEQ ID NO: 49), аминокислотная последовательность CDRH1 (SEQ ID NO: 50), аминокислотная последовательность CDRH2 (SEQ ID NO: 51) и аминокислотная последовательность CDRH3 (SEQ ID NO: 52) этого антитела.
[0476] (Справочный Пример 6: Получение антитела 2 к TROP2)
Антитело 1 к TROP2 получали, руководствуясь WO 2015/098099. Антитело 1 к TROP2, применяемое в примерах, имеет изотип IgG1. Антитело 2 к TROP2 получали путем введения мутации LALA в антитело 1 к TROP2. На Фиг. 7 представлена аминокислотная последовательность легкой цепи (SEQ ID NO: 7) и аминокислотная последовательность тяжелой цепи (SEQ ID NO: 8) антитела 2 к TROP2, применяемого в примерах. На Фиг. 19 представлена аминокислотная последовательность CDRL1 (SEQ ID NO: 53), аминокислотная последовательность CDRL2 (SEQ ID NO: 54), аминокислотная последовательность CDRL3 (SEQ ID NO: 55), аминокислотная последовательность CDRH1 (SEQ ID NO: 56), аминокислотная последовательность CDRH2 (SEQ ID NO: 57) или аминокислотная последовательность CDRH3 (SEQ ID NO: 58) этого антитела.
[0477] (Справочный Пример 7: Получение антитела 1 к EGFR)
Антитело 1 к EGFR получали, руководствуясь отчетом о результатах оценки внутривенного инфузионного введения Вектибикса (Vectibix) 100 мг (5 марта 2010 г., Review and Administration Division, Pharmaceutical and Food Safety Bureau). Антитело 1 к EGFR, применяемое в примерах, имеет изотип IgG1 с мутацией LALA. На Фиг. 8 представлена аминокислотная последовательность легкой цепи (SEQ ID NO: 9) и аминокислотная последовательность тяжелой цепи (SEQ ID NO: 10) антитела 1 к EGFR, применяемого в примерах. На Фиг. 20 представлена аминокислотная последовательность CDRL1 (SEQ ID NO: 59), аминокислотная последовательность CDRL2 (SEQ ID NO: 60), аминокислотная последовательность CDRL3 (SEQ ID NO: 61), аминокислотная последовательность CDRH1 (SEQ ID NO: 62), аминокислотная последовательность CDRH2 (SEQ ID NO: 63) и аминокислотная последовательность CDRH3 (SEQ ID NO: 64) этого антитела. Каждая последовательность CDR приведена со ссылкой на WO 1998/050433.
[0478] (Справочный Пример 8: Получение антитела 2 к EGFR)
Антитело 2 к EGFR получали, руководствуясь WO 2002/092771. Антитело 2 к EGFR, применяемое в примерах, имеет изотип IgG1 с мутацией LALA. На Фиг. 9 представлена аминокислотная последовательность легкой цепи (SEQ ID NO: 11) и аминокислотная последовательность тяжелой цепи (SEQ ID NO: 12) антитела 2 к EGFR, применяемого в примерах. На Фиг. 21 представлена аминокислотная последовательность CDRL1 (SEQ ID NO: 65), аминокислотная последовательность CDRL2 (SEQ ID NO: 66), аминокислотная последовательность CDRL3 (SEQ ID NO: 67), аминокислотная последовательность CDRH1 (SEQ ID NO: 68), аминокислотная последовательность CDRH2 (SEQ ID NO: 69) и аминокислотная последовательность CDRH3 (SEQ ID NO: 70) этого антитела.
[0479] (Пример испытания 1) Оценка активности агонистов STING с помощью репортерных клеток.
<Анализ экспрессии репортерного гена>
Агонистическую активность в отношении STING человека оценивали с помощью клеток THP1-Dual™ (HAQ-мутант) (InvivoGen, Калифорния, США), в которых можно было оценить активацию сигнального пути регуляторного фактора интерферона-3 (IRF3), нижележащего по отношению к сигнальному пути STING. Агонистическую активность в отношении STING мыши оценивали с помощью клеток RAW-Dual™ (InvivoGen).
[0480] Анализ проводили следующим образом. Сначала каждое исследуемое соединение, разбавленное в ФСБ, распределяли по 20 μл/лунку прозрачного 96-луночного планшета (Corning, Нью-Йорк, США). Затем добавляли репортерные клетки, суспендированные в буфере для анализа (среда RPMI 1640 или среда DMEM, содержащая 10% бычьего сывороточного альбумина), по 180 μл/лунку (1×105 клеток/лунку) для начала стимуляции. Клетки культивировали в течение 24 ч в условиях 37°С и 5% СО2, и затем центрифугировали для сбора супернатанта. Затем 6 μл собранного супернатанта добавляли в белый 3 84-луночный планшет, и добавляли туда же 15 μл раствора QUANTI-Luc (InvivoGen). После тщательного перемешивания регистрировали люминесценцию с помощью устройства для считывания планшетов (PerkinElmer, Массачусетс, США). Значение максимальной интенсивности люминесценции для клеток, обработанных 1,37-100 μM ML-RR-CDA⋅2Na+(соединение 21 в WO 2014/189805), принимали за 100%, и интенсивность люминесценции для клеток, обработанных ФСБ, принимали за 0%. Затем рассчитывали концентрацию каждого исследуемого соединения, необходимую для обеспечения 50% интенсивности люминесценции, в качестве значения ЕС50 (μM), с помощью GraphPad Prism (GraphPad Software, Калифорния, США). В Таблице 1 показаны результаты анализа активности агонистов STING человека.
[0481]
[0482] Результаты показали, что каждое соединение, применяемое в конъюгате антитело-лекарственное средство согласно настоящему изобретению, обладает агонистической активностью в отношении STING человека. Также было обнаружено, что агонистическая активность в отношении STING мыши была эквивалентна или выше таковой у существующих ЦДН.
[0483] (Пример испытания 2) Анализ термического сдвига белков с применением рекомбинантного белка С-концевого связывающего домена STING
(i) Конструирование различных плазмид экспрессии
<Конструирование плазмиды экспрессии ТМЕМ173 человека>
Плазмида для экспрессии STING человека (иногда называемого в настоящей заявке ТМЕМ173 человека) в клетках млекопитающих представляла собой клон кДНК ТМЕМ173 человека (плазмида для экспрессии Н232 (REF)-мутантного STING, номер доступа NM_198282.3) (GeneCopoeia, Мэриленд, США), в котором аргинин (R) в положении 232 вследствие мутации заменен на гистидин (Н) (называемого в настоящей заявке Н232-мутантом или REF-мутантом), и она была приобретена. Аминокислотная последовательность Н232 (REF)-мутанта STING человека представлена SEQ ID NO: 15, и нуклеотидная последовательность представлена SEQ ID NO: 16. Кроме того, плазмиду экспрессии Н232-мутантного STING использовали в качестве матрицы для сайт-направленного мутагенеза на основе метода инвертированной ПЦР. Конструировали плазмиду экспрессии для каждого из STING дикого типа и мутантного STING. В частности, для проведения ПЦР использовали два различных праймера (5''-CGTGCTGGCATCAAGGATCGGGTTTAC-3''(H232R(WT)прямой) (SEQ ID NO: 25) и 5''-GTCACCGGTCTGCTGGGGCAGTTTATC-3''(H232R(WT)обратный) (SEQ ID NO: 26)) и набор для мутагенеза KOD-Plus-Mutagenesis Kit (SMK-101) (TOYOBO) Секвенирование ДНК подтвердило конструирование желаемой плазмиды экспрессии STFNG дикого типа (R232).
Аминокислотная последовательность STING человека дикого типа представлена SEQ ID NO: 13, и нуклеотидная последовательность представлена SEQ ID NO: 14.
[0484] Затем получали HAQ-мутант (R71H, G230A и R293Q) по существу таким же способом, как описано для плазмиды экспрессии STING дикого типа. В частности, плазмиду экспрессии Н232-мутанта STING использовали в качестве матрицы для проведения ПЦР, а также использовали два различных праймера (5'-GCTGACGCTGGCATCAAGGATCGGGTTTAC-3' (H232R/G230A прямой) (SEQ ID NO: 27) и 5'-GGTCTGCTGGGGCAGTTTATCCAGG-3' (H232R/G230A обратный) (SEQ ID NO: 28) и набор для мутагенеза. Плазмиду G230A-мутанта STING получали путем введения мутаций в два сайта одновременно. Кроме того, плазмиду экспрессии G230A-мутантного STING использовали в качестве матрицы для проведения ПЦР, а также использовали два различных праймера (5'-CACCACATCCACTCCAGGTACCGG-3'(R71H прямой)(SEQ ID NO: 29) и 5'-CAGCTCCTCAGCCAGGCTGCAGAC-3'(R71H обратный)(SEQ ID NO: 30)) и набор для мутагенеза. Таким образом была получена плазмида экспрессии R71H/G230A-мутантного STING.
[0485]
Затем плазмиду экспрессии R71H/G230A-мутантного STFNG использовали в качестве матрицы для проведения ПЦР, а также использовали два различных праймера (5'-CAGACACTTGAGGACATCCTGGCAG-3' (R293Q прямой) (SEQ ID NO: 31) и 5'-GCAGAAGAGTTTGGCCTGCTCAA-3'(R293Q обратный) (SEQ ID NO: 32)) и набор для мутагенеза. Таким образом была получена плазмида экспрессии HAQ-мутанта (R71H/G230A/R293Q). Аминокислотная последовательность HAQ-мутанта STING человека представлена SEQ ID NO: 17, и нуклеотидная последовательность представлена SEQ ID NO: 18. Аминокислотные последовательности STING человека дикого типа, REF-мутантного STING и HAQ-мутантного STING представлены на Фиг. 10.
[0486] <Конструирование плазмиды экспрессии для рекомбинантного белка С-концевого связывающего домена STING и других белков>
кДНК для белка С-концевого связывающего домена STING человека (АК 139-342) (запись в UniProt Q86WV6) получали с помощью ПЦР из экспрессирующей полноразмерный клон кДНК ТМЕМ173 человека (дикого типа, Н232-мутанта и HAQ-мутанта) плазмиды с использованием двух различных праймеров (5'-ACCTGTATTTTCAGGGCCTGGCCCCAGCTGAGATCTCTG-3 '(hST Fw_v2) (SEQ ID NO: 33) и 5'-CAGAATTCGCAAGCTTTTAAGTAACCTCTTCCTTTTCCTCCTGC-3' (hST Rv_V3) (SEQ ID NO: 34)). Каждый продукт ГЩР встраивали в экспрессионный вектор Е. coli, pET15b, с помощью набора для клонирования In-Fusion HD Cloning Kit (Takara Bio) таким образом, что N-конец содержал метку 6xHis, состоящую из шести остатков гистидина, авидиновую метку и сайт расщепления протеазой TEV. Были сконструированы плазмиды экспрессии: pET15b-HisAviTEV-hSTING(139-342) для белка человека дикого типа, pET15b-HisAviTEV hSTING(139-342) для REF-мутанта белка человека и pET15b-HisAviTEV-hSTING(139-342) для HAQ-мутанта белка человека.
[0487] кДНК, используемая для экспрессии белка С-концевого домена STING мыши (АК 138-341) (запись в UniProt Q3TBT3), представляла собой искусственно синтезированную кДНК (euroflns Genomics), соответствующую аминокислотам в положениях от 138 до 341 последовательности кДНК ТМЕМ173 мыши, и она была использована. Аминокислотная последовательность STING мыши представлена SEQ ID NO: 19, и нуклеотидная последовательность представлена SEQ ID NO: 20.
Синтезированную кДНК встраивали в экспрессионный вектор Е. coli, pET15b, с помощью набора для клонирования In-Fusion HD Cloning Kit таким образом, что N-конец содержал метку 6xHis, состоящую из шести остатков гистидина, авидиновую метку и сайт расщепления протеазой TEV. Конструировали плазмиду экспрессии pET15b-HisAviTEV-mSTING(138-341) для белка мыши дикого типа.
Плазмиду экспрессии pCDF_Duet-1 BirA(1-321) конструировали путем встраивания искусственно синтезированной кДНК BirAii. coli (запись в UniProt Р06709) в вектор pCDF_Duet-1.
[0488] (ii) Получение белка С-концевого связывающего домена STING
Каждую из полученных плазмид экспрессии pET15b-HisAviTEV-hSTING(139-342) (белка С-концевого связывающего домена STING человека дикого типа (Hu-WT), Ref-мутанта указанного белка человека (Hu-REF) или Haq-мутанта указанного белка человека (Hu-HAQ)) и плазмиду экспрессии pET15b-HisAviTEV-mSTING(138-341) (белка С-концевого связывающего домена STING мыши дикого типа (Ms-WT)) подвергали совместной с плазмидой экспрессии pCDF_Duet-1 BirA(1-321) трансформации в компетентные клетки E.coli Rosetta 2 (DE3) (Merck Millipore, Массачусетс, США) с получением штамма экспрессии каждого HisAviTEV-STING. Каждый экспрессионный штамм добавляли в среду ТВ, содержащую 100 μг/мл ампициллина, 50 μг/мл стрептомицина и 30 μг/мл канамицина, и культивировали при 37°С. Затем индуцировали экспрессию добавлением 100 μM IPTG, и далее культивировали клетки при 16°С.
[0489] Культуральную среду центрифугировали, и полученные бактерии суспендировали в 50 мМ HEPES, рН 8,0, 500 мМ NaCl, 20 мМ имидазола, 1 мМ ДТТ, 5% (масс./об.) глицерина и cOmplete без ЭДТА, а затем замораживали и размораживали. После добавления лизоцима и ДНКазы I экстрагировали белки путем ультразвуковой обработки и собирали супернатант путем центрифугирования. Полученный супернатант очищали, пропуская через колонку HisTrap FF (GE Healthcare) с помощью системы для хроматографии AKTAexpress (GE Healthcare, Иллинойс, США), пропускали через колонку Superdex200 16/60 (GE Healthcare) и элюировали буфером (20 мМ HEPES, рН 7,5, 120 мМ NaCl, 20% глицерина, 0,8 мМ ДТТ). Фракции, содержащие белки с целевой молекулярной массой, собирали с помощью эксклюзионной хроматографии (SEC) в виде белка His-Avi-TEV-hSTING(139-342) человека дикого типа, REF-мутантного белка HisAviTEV-hSTING(139-342) человека, HAQ-мутантного белка HisAviTEV-hSTING(139-342) человека или белка His-Avi-TEV-mSTING(138-341) мыши дикого типа. Концентрацию белка определяли с помощью Nanodrop 2000 (Thermo Fisher Scientific, Массачусетс, США), и каждый белок замораживали и хранили при -80°С до момента применения.
[0490] Аминокислотная последовательность белка HisAviTEV-hSTING(139-342) человека дикого типа представлена SEQ ID NO: 21, аминокислотная последовательность REF-мутантного белка HisAviTEV-hSTING(139-342) человека представлена SEQ ID NO: 22, аминокислотная последовательность HAQ-мутантного белка HisAviTEV-hSTING(139-342) человека представлена в SEQ ID NO: 23, и аминокислотная последовательность белка His-Avi-TEV-mSTING(138-341) мыши дикого типа представлена SEQ ID NO: 24.
[0491] (iii) Анализ связывания STING
Связывание соединения с каждым белком С-концевого связывающего домена STING определяли с помощью анализа термического сдвига белков, в котором в качестве критерия использовали повышение температуры термической денатурации белка.
[0492] В частности, вносили буфер для анализа (20 мМ Трис-HCl, рН 7,5, 120 мМ NaCl) в лунки 384-луночного планшета для ПЦР в реальном времени. Затем смешивали 3 μл каждого исследуемого соединения (конечная концентрация 0,5 мМ), 3 μл красителя для визуализации белков в гелях SYPRO Orange (Thermo Fisher Scientific) (конечная концентрация: 20× концентрация) и 6 μл белка STING в каждой лунке при использовании встряхивателя для планшетов. Для повышения температуры от 25°С до 95°С со скоростью 0,03°С в секунду использовали систему для ПЦР в реальном времени (Thermo Fisher Scientific), и температуру термической денатурации белка определяли с использованием в качестве критерия флуоресценции, испускаемой SYPRO Orange. Полученные значения анализировали с помощью программного обеспечения Protein Thermal Shift (Thermo Fisher Scientific), чтобы определить Tm (среднюю точку конформационного перехода) (°С) как температуру, при которой скорость увеличения интенсивности флуоресценции достигала своего максимального значения. Сдвиг Tm под действием исследуемого соединения рассчитывали в виде ΔTm (°С) путем вычитания из значения Tm каждого соединения значения Tm лунки без соединения. Результаты анализа связывания для каждого белка STFNG показаны в Таблице 2.
[0493]
[0494] Результаты показали, что каждое соединение, применяемое в конъюгате антитело-лекарственное средство согласно настоящему изобретению, обладает связывающей активностью в отношении STING человека дикого типа или мутантного STING человека, а также STING мыши дикого типа.
[0495] (Пример испытания 3) Анализ с применением клеток НСС.
С применением линии клеток рака молочной железы человека НСС1954 (CRL-2338), приобретенной в Американской коллекции типовых культур, в качестве штамма, стабильно экспрессирующего большие количества TROP2 и STING, получали репортерные клетки HCC1954-IFIT1 путем стабильной экспрессии репортерного гена промотора IFIT1. В частности, приобретенную репортерную плазмиду промотора IFIT1 человека (ISG-56) (GeneCopoeia, HPRM40290-PG04) трансфицировали в клетки НСС 1954 с помощью FuGene HD (Promega). Клетки пересевали в среду, содержащую 1,0 μг/мл пуромицина (Life Technologies), для получения стабильных линий экспрессии с последующим клонированием с получением линии клеток для проведения оценки. Затем репортерные клетки HCC1954-IFIT1, суспендированные в буфере для анализа (среда RPMI 1640, содержащая 10% бычьего сывороточного альбумина), распределяли по 90 μл/лунку (2,5×104 клеток/лунку) 384-луночного планшета. На следующий день каждое исследуемое соединение разбавляли в ФСБ и добавляли 10 μл для начала стимуляции. Клетки культивировали в течение 24 ч в условиях 37°С и 5% СО2, и затем центрифугировали для сбора супернатанта. Затем 6 μл собранного супернатанта добавляли в белый 384-луночный планшет, и добавляли туда же 15 μл раствора QUANTI-Luc (InvivoGen). После тщательного перемешивания регистрировали люминесценцию с помощью устройства для считывания планшетов (PerkinElmer, Массачусетс, США).
Результаты показаны на ФИГ. 11. На вертикальной оси представлена интенсивность люминесценции, а на горизонтальной оси представлена концентрация каждого исследуемого соединения. Линия (белые круги) на графике обозначает антитело 2 к TROP2, полученное в справочном Примере 6; линия (черные круги) обозначает конъюгат (1) антитело 2 к ТИОР2-ЦДН, в котором антитело 2 к TROP2, полученное в справочном Примере 6, конъюгировано с соединением 34а Примера 2; линия (черные треугольники) обозначает конъюгат (2) антитело 2 к TROP2-ЦДН, в котором антитело 2 к TROP2 конъюгировано с соединением 49b Примера 3; и линия (черные квадраты) обозначает конъюгат (3) антитела 2 к TROP2-ЦДН, в котором антитело 2 к TROP2 конъюгировано с соединением 50b Примера 4. Антитело 2 к TROP2 не вызывало увеличения интенсивности люминесценции. Напротив, конъюгат (1), (2) и (3) антитело 2 к TROP2-ЦДН вызывал увеличение интенсивности в зависимости от концентрации. Приведенные выше результаты продемонстрировали, что любой из конъюгатов (1), (2) и (3) антитело 2 к TROP2-ЦДН обладает способностью активировать сигнальный путь STING человека.
[0496] (Пример испытания 4) Система анализа совместного культивирования с применением линии клеток CT26.WT или CT26.WT-hCD70 и дендритных клеток костного мозга мыши
CT26.WT (CRL2638), линию клеток рака толстой кишки мыши, приобретенную в Американской коллекции типовых культур, подвергали трансдукции геном CD70 человека (NP_001243) с получением клеток CT26.WT-hCD70. В частности, был сконструирован лентивирусный вектор pLVSIN (Takara Bio), в который был встроен ген CD70 человека. Затем линию клеток Lenti-X293T (Takara Bio) трансфицировали вектором с применением смеси Lentiviral High Titer Packaging Mix (Takara Bio). Затем собирали супернатант и инфицировали им СТ26. WT. Клетки содержали в среде с добавлением 10 μг/мл пуромицина (Thermo Fisher Scientific).
[0497] Клетки костного мозга мыши собирали из бедренной кости самок мышей BALB/c (BALB/cAnNCrlCrlj) в возрасте 5 недель (Charles River, Япония). Клетки костного мозга мыши культивировали в присутствии 20 μл/мл ГМ-КСФ мыши (PEPROTECH) в течение 7 дней с получением дендритных клеток костного мозга мыши. В лунки 96-луночного планшета высевали по 1,5×105 клеток линии CT26.WT или CT26.WT-hCD70 и по 1×105 дендритных клеток костного мозга мыши. Каждое исследуемое соединение разбавляли в среде RPMI (Invitrogen), и добавляли 200 μл. Через 20 ч инкубирования клетки промывали буфером для проточной цитометрии (HBSS (Wako), 5% ЭБС (HyClone), 1 мМ ЭДТА (THERMO FISHER)) и окрашивали антителами для проточной цитометрии (антитело к CD 16/32 мыши (Becton Dickinson), антитело к CD45 мыши, антитело к CD11 с мыши, антитело к I-A/I-E мыши и антитело к CD86 мыши (все BIOLEGEND)). Клетки снова промывали буфером для проточной цитометрии и анализировали с помощью Fortessa (BD Biosciences). Рассчитывали среднюю интенсивность флуоресценции (MFI) CD86 во фракциях CD45+, CD11c+и I-A/I-E+. Затем рассчитывали отношение по сравнению с группой, не содержащей исследуемого соединения. Результаты показаны на Фиг. 12. ДК на графике обозначает результаты культивирования дендритных клеток костного мозга мыши с каждым исследуемым соединением; ДК + CT26.WT на графике обозначает результаты культивирования дендритных клеток костного мозга мыши и CT26.WT с каждым исследуемым соединением; и ДК+СТ26. WT-hCD70 на графике обозначает результаты культивирования дендритных клеток костного мозга мыши и CT26.WT-hCD70 с каждым исследуемым соединением. На вертикальной оси представлено отношение MFI по сравнению с группой, не содержащей соединения, а на горизонтальной оси представлено каждое исследуемое соединение. Антитело 1 к CD70-ЦЦН (1) на графике обозначает соединение, в котором антитело 1 к CD70 из справочного Примера 3 конъюгировано с соединением 34а из Примера 2; и антитело 2 к CD70-ЦДН (1) на графике обозначает соединение, в котором антитело 2 к CD70 из справочного Примера 4 конъюгировано с соединением 34а из Примера 2. Соединение 34А из Примера 2 вызывало увеличение экспрессии CD86 на дендритных клетках мыши во всех условиях. Ни антитело 1 к CD70, ни антитело 2 к CD70 не активировали экспрессию CD86 ни при каких условиях. Напротив, любой из конъюгата (1) антитело 1 к CD70-ЦДН и конъюгата (1) антитело 2 к CD70-ЦДН усиливал экспрессию CD86 на дендритных клетках мыши только тогда, когда дендритные клетки костного мозга мыши культивировали совместно с СТ26.WT-hCD70. В заключение, CD70-зависимая активация дендритных клеток была продемонстрирована в случае применения конъюгата (1) антитело 1 к CD70-ILTH и конъюгата (1) антитела 2 к CD70-ЦДН.
[0498] (Пример испытания 5) Тестирование противоопухолевого действия (1).
CT26.WT (CRL2638), линию клеток рака толстой кишки мыши, приобретенную в Американской коллекции типовых культур, подвергали трансдукции геном TROP2 человека (NP_002344.2) с получением клеток CT26.WT-hTROP2. Подробнее, вектор pQCIXN (Takara Bio) расщепляли BamHI и Eco RI, и затем обрабатывали ДНК-полимеразой Т4, чтобы полученные расщепленные концы были затуплены. Затем получали вектор pQCTXN-DEN путем лигирования с помощью кассеты рамки считывания Gateway reading frame cassette A. TROP2 человека встраивали в вектор с помощью системы Gateway (Thermo Fisher Scientific). Ретровирусный вектор pQCXIN-DEN, содержащий TROP2 человека, трансфицировали в линию клеток EcoPack2-293 (Takara Bio) с применением липофектамина 3000 (Thermo Fisher Scientific). Затем собирали супернатант и инфицировали им CT26.WT. Клетки содержали в среде с добавлением 250 μг/мл генетицина (Thermo Fisher Scientific).
Каждое антитело или конъюгат антитело-ЦДН разбавляли ацетатным буфером (10 мМ ацетатный буфер, 5% сорбита, рН 5,5) (NACALAI TESQUE, INC.).
[0499]
Клетки CT26.WT-hTROP2 суспендировали в солевом растворе. Затем 2,0×106 клеток подкожно трансплантировали в правую подмышечную область каждой мыши BALB/c (день 0), и через 7 дней проводили случайное распределение по группам. Антитело 1 к TROP2 или конъюгат (1) антитело 1 к TROP2-ЦДН вводили в дозе 30 μл/животное (эквивалентно 1,5 мг/кг), а антитело 2 к TROP2 или конъюгат (1) антитело 2 к ТТЮР2-ЦДН вводили в дозе 3,0 мг/кг в хвостовую вену однократно на 7 день. Кроме того, была представлена группа введения носителя, которой вводили ацетатный буфер. Количество мышей в каждой группе составляло 8.
На Фиг. 13 показаны результаты для антитела 1 к TROP2 и конъюгата (1) антитело 1 к TROP2-ЦДН. На диаграмме линия (черные квадраты) обозначает группу введения носителя; линия (белые круги) обозначает группу введения антитела 1 к TROP2, которое было получено в Примере 5; и линия (перевернутые белые треугольники) обозначает группу введения конъюгата (1) антитело 1 к TROP2-ЦДН, в котором антитело 1 к TROP2 конъюгировано с соединением 6b Примера 1. На вертикальной оси представлен объем опухоли (мм3), а на горизонтальной оси представлено количество дней после имплантации опухоли. Рост опухоли прогрессировал в группе, которой вводили носитель, или в группе, которой вводили антитело 1 к TROP2.
Напротив, рост опухоли заметно подавлялся в группе, которой вводили конъюгат (1) антитело 1 к TROP2-ЦДН.
[0500] На Фиг. 14 показаны результаты для антитела 2 к TROP2 и конъюгата (1) антитело 2 к TROP2-ЦДН. На диаграмме линия (черные квадраты) обозначает группу введения носителя; линия (белые круги) обозначает группу введения антитела 2 к TROP2, которое было получено в Примере 6; и линия (перевернутые белые треугольники) обозначает группу введения конъюгата (1) антитело 2 к TROP2-ЦДН, в котором антитело 2 к TROP2 конъюгировано с соединением 34а Примера 2. На вертикальной оси представлен объем опухоли (мм3), а на горизонтальной оси представлено количество дней после имплантации опухоли. Рост опухоли прогрессировал в группе, которой вводили носитель, и в группе, которой вводили антитело 2 к TROP2. Напротив, рост опухоли заметно подавлялся в группе, которой вводили конъюгат (1) антитело 2 к TROP2-ЦДН.
В заключение, было продемонстрировано, что внутривенное введение конъюгата антитело к TROP2-ЦДН оказывает противоопухолевое действие, зависящее от мишени антитела, в модели эффективности лекарственного средства, в которой антитело к TROP2 было неэффективным.
[0501] (Пример испытания 6) Тестирование противоопухолевого действия (2).
CT26.WT (CRL2638), линию клеток рака толстой кишки мыши, приобретенную в Американской коллекции типовых культур, подвергали трансдукции геном EGFR человека (NP 005219.2) с получением клеток CT26.WT-hEGFR. В частности, был сконструирован лентивирусный вектор pLVSIN (Takara Bio), в который был встроен ген EGFR человека. Затем линию клеток Lenti-X293T (Takara Bio) трансфицировали вектором с применением смеси Lentiviral High Titer Packaging Mix (Takara Bio). Затем собирали супернатант и инфицировали им СТ26. WT. Клетки содержали в среде с добавлением 10 μг/мл пуромицина (Thermo Fisher Scientific).
[0502] Клетки CT26.WT-hEGFR суспендировали в солевом растворе. Затем 3×106 клеток подкожно трансплантировали в правую подмышечную область каждой мыши BALB/c (день 0), и через 12 дней проводили случайное распределение по группам. Антитело 1 к EGFR, антитело 2 к EGFR, конъюгат (1) антитело 1 к EGFR-ЦДН или конъюгат (1) антитело 2 к EGFR-ЦДН вводили в дозе 1,5 мг/кг в хвостовую вену однократно на 12 день. Кроме того, была представлена группа введения носителя, которой вводили ацетатный буфер. Количество мышей в каждой группе составляло 8.
[0503]
Результаты показаны на Фиг. 15. На графике линия (черные квадраты) обозначает группу введения носителя; линия (белые треугольники) обозначает группу введения антитела 1 к EGFR, которое было получено в справочном Примере 7; линия (черные треугольники) обозначает группу введения конъюгата (1) антитело 1 к EGFR-ЦДН; линия (белые круги) обозначает группу введения антитела 2 к EGFR, которое было получено в справочном Примере 8; и линия (черные круги) обозначает группу введения конъюгата (1) антитело 2 к EGFR-ЦДН. На вертикальной оси представлен объем опухоли (мм3), а на горизонтальной оси представлено количество дней после имплантации опухоли. Рост опухоли прогрессировал в группе, которой вводили носитель. Рост опухоли не подавлялся ни в группе, которой вводили антитело 1 к EGFR, ни в группе, которой вводили антитело 2 к EGFR. Напротив, рост опухоли заметно подавлялся в группе, которой вводили конъюгат (1) антитело 1 к EGFR-ЦДН, и в группе, которой вводили конъюгат (1) антитело 2 к EGFR-ЦДН.
[0504] В заключение, выраженное противоопухолевое действие каждого конъюгата антитела к EGFR-ЦДН было продемонстрировано с применением модели, в которой антитело к EGFR не вызывало какого-либо противоопухолевого действия.
[0505] (Пример испытания 7) Тестирование противоопухолевого действия (3).
Каждое антитело или конъюгат антитело-ЦДН разбавляли ацетатным буфером (10 мМ ацетатный буфер, 5% сорбита, рН 5,5) (NACALAI TESQUE, INC.).
Клетки Caki-1 (НТВ-46), линию клеток рака почки человека, приобретенную в Американской коллекции типовых культур, суспендировали в Matrigel (CORNING), разведенном до концентрации 50% в солевом растворе. Затем 2,5×106 клеток подкожно трансплантировали в правую подмышечную область каждой мыши BALB/c-nu (день 0), и через 13 дней проводили случайное распределение по группам. Антитело 1 к CD70, конъюгат (1) антитело 1 к CD70-ЦДН, антитело 2 к CD70 или конъюгат (1) антитело 2 к CD70-ЦДН вводили в дозе 1,5 мг/кг в хвостовую вену однократно на 13 день. Кроме того, была представлена группа введения носителя, которой вводили ацетатный буфер. Количество мышей в каждой группе составляло 8.
[0506] Результаты показаны на Фиг. 22. Конъюгат (1) антитело 1 к CD70-ЦДН на графике обозначает соединение, в котором антитело 1 к CD70 из справочного Примера 3 конъюгировано с соединением 34а из Примера 2; и конъюгат (1) антитело 2 к CD70-ЦДН на графике обозначает соединение, в котором антитело 2 к CD70 из справочного Примера 4 конъюгировано с соединением 34а из Примера 2. На графике линия (черные квадраты) обозначает группу введения носителя; линия (белые треугольники) обозначает группу введения антитела 1 к CD70; линия (перевернутые белые треугольники) обозначает группу введения антитела 2 к CD70; линия (белые ромбы) обозначает группу введения конъюгата (1) антитело 1 к CD70-ЦДН; и линия (белые круги) обозначает группу введения конъюгата (1) антитело 2 к CD70-ЦДН. На вертикальной оси представлен объем опухоли (мм3), а на горизонтальной оси представлено количество дней после имплантации опухоли. Рост опухоли прогрессировал в группе, которой вводили носитель, в группе, которой вводили антитело 1 к CD70, и в группе, которой вводили антитело 2 к CD70. Напротив, рост опухоли заметно подавлялся в группе, которой вводили конъюгат (1) антитело 1 к СЭ70-ЦДН, и в группе, которой вводили конъюгат (1) антитело 2 к CD70-ЦДН.
В заключение, было продемонстрировано, что внутривенное введение любого из конъюгатов антитело к CD70-ЦДН оказывает противоопухолевое действие, зависящее от мишени антитела, в модели эффективности лекарственного средства, в которой антитело к CD70 было неэффективным.
[0507] (Пример испытания 8) Тестирование противоопухолевого действия (4).
Каждое антитело или конъюгат антитело-ЦДН разбавляли ацетатным буфером (10 мМ ацетатный буфер, 5% сорбита, рН 5,5) (NACALAI TESQUE, INC.).
Клетки А-498 (НТВ-44), линию клеток рака почки человека, приобретенную в Американской коллекции типовых культур, суспендировали в солевом растворе. Затем 3,0×106 клеток подкожно трансплантировали в правую подмышечную область каждой мыши BALB/c-nu (день 0), и через 20 дней проводили случайное распределение по группам. Антитело 2 к CD70 или конъюгат (2) антитело 2 к CD70-ЦДН вводили в дозе 1,0 мг/кг в хвостовую вену однократно на 20 день. Кроме того, была представлена группа введения носителя, которой вводили ацетатный буфер. Количество мышей в каждой группе составляло 6.
Результаты показаны на Фиг. 23. Конъюгат (2) антитело 2 к CD70-ЦДН на графике обозначает конъюгат антитело-ЦДН с применением антитела с ремоделированным гликаном MSG-типа со средним количеством конъюгированных молекул лекарственного средства, составляющим приблизительно 2. На графике линия (черные квадраты) обозначает группу введения носителя; линия (белые треугольники) обозначает группу введения антитела 2 к CD70; и линия (перевернутые белые треугольники) обозначает группу введения конъюгата (2) антитело 2 к CD70-ЦДН. На вертикальной оси представлен объем опухоли (мм3), а на горизонтальной оси представлено количество дней после имплантации опухоли. Рост опухоли прогрессировал в группе, которой вводили носитель. Рост опухоли не подавлялся в группе, которой вводили антитело 2 к CD70. Напротив, рост опухоли заметно подавлялся в группе, которой вводили конъюгат (2) антитело 2 к CD70-ЦДН.
В заключение, было продемонстрировано, что конъюгат антитело к CD70-ЦДН оказывает выраженное противоопухолевое действие в модели эффективности лекарственного средства, в которой антитело к CD70 было неэффективным.
[0508] (Пример испытания 9) Тестирование противоопухолевого действия (5).
CT26.WT (CRL2638), линию клеток рака толстой кишки мыши, приобретенную в Американской коллекции типовых культур, подвергали трансдукции химерным геном EGFR человека-мыши (NP_005219.2), в котором область эпитопа для антитела 1 к EGFR была заменена на соответствующую часть белка человека, с получением клеток CT26.WT-chimeraEGFR. В частности, был сконструирован лентивирусный вектор pLVSFN (Takara Bio), в который был встроен химерный ген EGFR человека-мыши. Затем линию клеток Lenti-X293T (Takara Bio) трансфицировали вектором с применением смеси Lentiviral High Titer Packaging Mix (Takara Bio). Затем собирали супернатант и инфицировали им СТ26. WT. Клетки содержали в среде с добавлением 2 μл/мл пуромицина (Thermo Fisher Scientific).
Клетки CT26.WT-chimera EGFR суспендировали в солевом растворе. Затем 1×106 клеток подкожно трансплантировали в правую подмышечную область каждой мыши BALB/c (день 0), и через 7 дней проводили случайное распределение по группам. Соединение 34А, антитело 1 к EGFR или конъюгат (2) антитело 1 к EGFR-ЦДН вводили в дозе 0,01 мг/кг, 0,98 мг/кг или 1,0 мг/кг, соответственно, в хвостовую вену однократно на 7 день. Доза соединения 34А или антитела 1 к EGFR эквивалентна дозе каждого компонента, включенного в конъюгат (2) антитело 1 к EGFR-ЦДН. Кроме того, была представлена группа введения носителя, которой вводили ацетатный буфер. Количество мышей в каждой группе составляло 8.
[0509] Результаты показаны на Фиг. 24. Конъюгат (2) антитело 1 к EGFR-ЦДН на графике обозначает конъюгат антитело-ЦДН с применением антитела с ремоделированным гликаном MSG-типа со средним количеством конъюгированных молекул лекарственного средства, составляющим приблизительно 2. На графике линия (черные квадраты) обозначает группу введения носителя; линия (белые треугольники) обозначает группу введения антитела 1 к EGFR; линия (белые ромбы) обозначает группу введения соединения 34а; и линия (белые прямоугольники) обозначает группу введения конъюгата (2) антитела 1 к EGFR-ЦДН. На вертикальной оси представлен объем опухоли (мм3), а на горизонтальной оси представлено количество дней после имплантации опухоли. Рост опухоли прогрессировал в группе, которой вводили носитель. Рост опухоли не подавлялся ни в группе, которой вводили соединение 34А, ни в группе, которой вводили антитело 1 к EGFR. Напротив, рост опухоли заметно подавлялся в группе, которой вводили конъюгат (2) антитело 1 к EGFR-ЦДН.
В заключение, выраженное противоопухолевое действие каждого конъюгата антитела к EGFR-ЦДН было продемонстрировано с применением модели, в которой антитело к EGFR не вызывало какого-либо противоопухолевого действия.
Промышленная применимость.
[0510] В настоящем изобретении предложен конъюгат антитело-лекарственное средство, содержащий новое производное ЦДН с выраженной активностью агониста STING и сильным противоопухолевым действием. Этот конъюгат антитело-лекарственное средство пригоден для применения в качестве терапевтического агента для лечения заболеваний (например, рака), связанных с активностью агонистов STING. Перечень последовательностей
[0511]
SEQ ID NO: 1: аминокислотная последовательность легкой цепи антитела 1 к CD70
SEQ ID NO: 2: аминокислотная последовательность тяжелой цепи антитела 1 к CD70
SEQ ID NO: 3: аминокислотная последовательность легкой цепи антитела 2 к CD70
SEQ ID NO: 4: аминокислотная последовательность тяжелой цепи антитела 2 к CD70
SEQ ID NO: 5: аминокислотная последовательность легкой цепи антитела 1 к TROP2
SEQ ID NO: 6: аминокислотная последовательность тяжелой цепи антитела 1 к TROP2
SEQ ID NO: 7: аминокислотная последовательность легкой цепи антитела 2 к TROP2
SEQ ID NO: 8: аминокислотная последовательность тяжелой цепи антитела 2 к TROP2
SEQ ID NO: 9: аминокислотная последовательность легкой цепи антитела 1 к EGFR
SEQ ID NO: 10: аминокислотная последовательность тяжелой цепи антитела 1 к EGFR
SEQ ID NO: 11: аминокислотная последовательность легкой цепи антитела 2 к EGFR
SEQ ID NO: 12: аминокислотная последовательность тяжелой цепи антитела 2 к EGFR
SEQ ID NO: 13: аминокислотная последовательность STING человека дикого типа
SEQ ID NO: 14: нуклеотидная последовательность STING человека дикого типа
SEQ ID NO: 15: аминокислотная последовательность Н232 (REF)-мутантного STING человека
SEQ ID NO: 16: нуклеотидная последовательность Н232 (REF)-мутантного STING человека
SEQ ID NO: 17: аминокислотная последовательность HAQ-мутантного STING человека
SEQ ID NO: 18: нуклеотидная последовательность HAQ-мутантного STING человека
SEQ ID NO: 19: аминокислотная последовательность STING мыши
SEQ ID NO: 20: нуклеотидная последовательность STING мыши
SEQ ID NO: 21: аминокислотная последовательность белка человека HisAviTEV-hSTING(139-342) дикого типа
SEQ ID NO: 22: аминокислотная последовательность REF-мутантного белка человека HisAviTEV-hSTING(139-342)
SEQ ID NO: 23: аминокислотная последовательность HAQ-мутантного белка человека HisAviTEV-hSTING(139-342)
SEQ ID NO: 24: аминокислотная последовательность белка мыши His-Avi-TEV-mSTING(138-341) дикого типа
SEQ ID NO: 25-34: последовательности праймеров
SEQ ID NO: 35: аминокислотная последовательность CDRL1 антитела 1 к CD70
SEQ ID NO: 36: аминокислотная последовательность CDRL2 антитела 1 к CD70
SEQ ID NO: 37: аминокислотная последовательность CDRL3 антитела 1 к CD70
SEQ ID NO: 38: аминокислотная последовательность CDRH1 антитела 1 к CD70
SEQ ID NO: 39: аминокислотная последовательность CDRH2 антитела 1 к CD70
SEQ ID NO: 40: аминокислотная последовательность CDRH3 антитела 1 к CD70
SEQ ID NO: 41: аминокислотная последовательность CDRL1 антитела 2 к CD70
SEQ ID NO: 42: аминокислотная последовательность CDRL2 антитела 2 к CD70
SEQ ID NO: 43: аминокислотная последовательность CDRL3 антитела 2 к CD70
SEQ ID NO: 44: аминокислотная последовательность CDRH1 антитела 2 к CD70
SEQ ID NO: 45: аминокислотная последовательность CDRH2 антитела 2 к CD70
SEQ ID NO: 46: аминокислотная последовательность CDRH3 антитела 2 к CD70
SEQ ID NO: 47: аминокислотная последовательность CDRL1 антитела 1 к TROP2
SEQ ID NO: 48: аминокислотная последовательность CDRL2 антитела 1 к TROP2
SEQ ID NO: 49: аминокислотная последовательность CDRL3 антитела 1 к TROP2
SEQ ID NO: 50: аминокислотная последовательность CDRH1 антитела 1 к TROP2
SEQ ID NO: 51: аминокислотная последовательность CDRH2 антитела 1 к TROP2
SEQ ID NO: 52: аминокислотная последовательность CDRH3 антитела 1 к TROP2
SEQ ID NO: 53: аминокислотная последовательность CDRL1 антитела 2 к TROP2
SEQ ID NO: 54: аминокислотная последовательность CDRL2 антитела 2 к TROP2
SEQ ID NO: 55: аминокислотная последовательность CDRL3 антитела 2 к TROP2
SEQ ID NO: 56: аминокислотная последовательность CDRH1 антитела 2 к TROP2
SEQ ID NO: 57: аминокислотная последовательность CDRH2 антитела 2 к TROP2
SEQ ID NO: 58: аминокислотная последовательность CDRH3 антитела 2 к TROP2
SEQ ID NO: 59: аминокислотная последовательность CDRL1 антитела 1 к EGFR
SEQ ID NO: 60: аминокислотная последовательность CDRL2 антитела 1 к EGFR
SEQ ID NO: 61: аминокислотная последовательность CDRL3 антитела 1 к EGFR
SEQ ID NO: 62: аминокислотная последовательность CDRH1 антитела 1 к EGFR
SEQ ID NO: 63: аминокислотная последовательность CDRH2 антитела 1 к EGFR
SEQ ID NO: 64: аминокислотная последовательность CDRH3 антитела 1 к EGFR
SEQ ID NO: 65: аминокислотная последовательность CDRL1 антитела 2 к EGFR
SEQ ID NO: 66: аминокислотная последовательность CDRL2 антитела 2 к EGFR
SEQ ID NO: 67: аминокислотная последовательность CDRL3 антитела 2 к EGFR
SEQ ID NO: 68: аминокислотная последовательность CDRH1 антитела 2 к EGFR
SEQ ID NO: 69: аминокислотная последовательность CDRH2 антитела 2 к EGFR
SEQ ID NO: 70: аминокислотная последовательность CDRH3 антитела 2 к EGFR
--->
ПЕРЕЧЕНЬ ПОСЛЕДОВАТЕЛЬНОСТЕЙ
<110> DAIICHI SANKYO COMPANY, LIMITED
<120> КОНЪЮГАТ АНТИТЕЛО-ЛЕКАРСТВЕННОЕ СРЕДСТВО, СОДЕРЖАЩИЙ НОВОЕ
ПРОИЗВОДНОЕ ЦИКЛИЧЕСКОГО ДИНУКЛЕОТИДА
<130> SAP-865-PCT
<141> 2021-03-05
<150> JP 202038983
<151> 2020-03-06
<160> 70
<170> PatentIn, версия 3.5
<210> 1
<211> 218
<212> БЕЛОК
<213> Homo sapiens
<400> 1
Asp Ile Val Met Thr Gln Ser Pro Asp Ser Leu Ala Val Ser Leu Gly
1 5 10 15
Glu Arg Ala Thr Ile Asn Cys Arg Ala Ser Lys Ser Val Ser Thr Ser
20 25 30
Gly Tyr Ser Phe Met His Trp Tyr Gln Gln Lys Pro Gly Gln Pro Pro
35 40 45
Lys Leu Leu Ile Tyr Leu Ala Ser Asn Leu Glu Ser Gly Val Pro Asp
50 55 60
Arg Phe Ser Gly Ser Gly Ser Gly Thr Asp Phe Thr Leu Thr Ile Ser
65 70 75 80
Ser Leu Gln Ala Glu Asp Val Ala Val Tyr Tyr Cys Gln His Ser Arg
85 90 95
Glu Val Pro Trp Thr Phe Gly Gln Gly Thr Lys Val Glu Ile Lys Arg
100 105 110
Thr Val Ala Ala Pro Ser Val Phe Ile Phe Pro Pro Ser Asp Glu Gln
115 120 125
Leu Lys Ser Gly Thr Ala Ser Val Val Cys Leu Leu Asn Asn Phe Tyr
130 135 140
Pro Arg Glu Ala Lys Val Gln Trp Lys Val Asp Asn Ala Leu Gln Ser
145 150 155 160
Gly Asn Ser Gln Glu Ser Val Thr Glu Gln Asp Ser Lys Asp Ser Thr
165 170 175
Tyr Ser Leu Ser Ser Thr Leu Thr Leu Ser Lys Ala Asp Tyr Glu Lys
180 185 190
His Lys Val Tyr Ala Cys Glu Val Thr His Gln Gly Leu Ser Ser Pro
195 200 205
Val Thr Lys Ser Phe Asn Arg Gly Glu Cys
210 215
<210> 2
<211> 448
<212> БЕЛОК
<213> Homo sapiens
<400> 2
Gln Val Gln Leu Val Gln Ser Gly Ala Glu Val Lys Lys Pro Gly Ala
1 5 10 15
Ser Val Lys Val Ser Cys Lys Ala Ser Gly Tyr Thr Phe Thr Asn Tyr
20 25 30
Gly Met Asn Trp Val Arg Gln Ala Pro Gly Gln Gly Leu Lys Trp Met
35 40 45
Gly Trp Ile Asn Thr Tyr Thr Gly Glu Pro Thr Tyr Ala Asp Ala Phe
50 55 60
Lys Gly Arg Val Thr Met Thr Arg Asp Thr Ser Ile Ser Thr Ala Tyr
65 70 75 80
Met Glu Leu Ser Arg Leu Arg Ser Asp Asp Thr Ala Val Tyr Tyr Cys
85 90 95
Ala Arg Asp Tyr Gly Asp Tyr Gly Met Asp Tyr Trp Gly Gln Gly Thr
100 105 110
Thr Val Thr Val Ser Ser Ala Ser Thr Lys Gly Pro Ser Val Phe Pro
115 120 125
Leu Ala Pro Ser Ser Lys Ser Thr Ser Gly Gly Thr Ala Ala Leu Gly
130 135 140
Cys Leu Val Lys Asp Tyr Phe Pro Glu Pro Val Thr Val Ser Trp Asn
145 150 155 160
Ser Gly Ala Leu Thr Ser Gly Val His Thr Phe Pro Ala Val Leu Gln
165 170 175
Ser Ser Gly Leu Tyr Ser Leu Ser Ser Val Val Thr Val Pro Ser Ser
180 185 190
Ser Leu Gly Thr Gln Thr Tyr Ile Cys Asn Val Asn His Lys Pro Ser
195 200 205
Asn Thr Lys Val Asp Lys Arg Val Glu Pro Lys Ser Cys Asp Lys Thr
210 215 220
His Thr Cys Pro Pro Cys Pro Ala Pro Glu Ala Ala Gly Gly Pro Ser
225 230 235 240
Val Phe Leu Phe Pro Pro Lys Pro Lys Asp Thr Leu Met Ile Ser Arg
245 250 255
Thr Pro Glu Val Thr Cys Val Val Val Asp Val Ser His Glu Asp Pro
260 265 270
Glu Val Lys Phe Asn Trp Tyr Val Asp Gly Val Glu Val His Asn Ala
275 280 285
Lys Thr Lys Pro Arg Glu Glu Gln Tyr Asn Ser Thr Tyr Arg Val Val
290 295 300
Ser Val Leu Thr Val Leu His Gln Asp Trp Leu Asn Gly Lys Glu Tyr
305 310 315 320
Lys Cys Lys Val Ser Asn Lys Ala Leu Pro Ala Pro Ile Glu Lys Thr
325 330 335
Ile Ser Lys Ala Lys Gly Gln Pro Arg Glu Pro Gln Val Tyr Thr Leu
340 345 350
Pro Pro Ser Arg Glu Glu Met Thr Lys Asn Gln Val Ser Leu Thr Cys
355 360 365
Leu Val Lys Gly Phe Tyr Pro Ser Asp Ile Ala Val Glu Trp Glu Ser
370 375 380
Asn Gly Gln Pro Glu Asn Asn Tyr Lys Thr Thr Pro Pro Val Leu Asp
385 390 395 400
Ser Asp Gly Ser Phe Phe Leu Tyr Ser Lys Leu Thr Val Asp Lys Ser
405 410 415
Arg Trp Gln Gln Gly Asn Val Phe Ser Cys Ser Val Met His Glu Ala
420 425 430
Leu His Asn His Tyr Thr Gln Lys Ser Leu Ser Leu Ser Pro Gly Lys
435 440 445
<210> 3
<211> 214
<212> БЕЛОК
<213> Homo sapiens
<400> 3
Glu Ile Val Leu Thr Gln Ser Pro Ala Thr Leu Ser Leu Ser Pro Gly
1 5 10 15
Glu Arg Ala Thr Leu Ser Cys Arg Ala Ser Gln Ser Val Ser Ser Tyr
20 25 30
Leu Ala Trp Tyr Gln Gln Lys Pro Gly Gln Ala Pro Arg Leu Leu Ile
35 40 45
Tyr Asp Ala Ser Asn Arg Ala Thr Gly Ile Pro Ala Arg Phe Ser Gly
50 55 60
Ser Gly Ser Gly Thr Asp Phe Thr Leu Thr Ile Ser Ser Leu Glu Pro
65 70 75 80
Glu Asp Phe Ala Val Tyr Tyr Cys Gln Gln Arg Thr Asn Trp Pro Leu
85 90 95
Thr Phe Gly Gly Gly Thr Lys Val Glu Ile Lys Arg Thr Val Ala Ala
100 105 110
Pro Ser Val Phe Ile Phe Pro Pro Ser Asp Glu Gln Leu Lys Ser Gly
115 120 125
Thr Ala Ser Val Val Cys Leu Leu Asn Asn Phe Tyr Pro Arg Glu Ala
130 135 140
Lys Val Gln Trp Lys Val Asp Asn Ala Leu Gln Ser Gly Asn Ser Gln
145 150 155 160
Glu Ser Val Thr Glu Gln Asp Ser Lys Asp Ser Thr Tyr Ser Leu Ser
165 170 175
Ser Thr Leu Thr Leu Ser Lys Ala Asp Tyr Glu Lys His Lys Val Tyr
180 185 190
Ala Cys Glu Val Thr His Gln Gly Leu Ser Ser Pro Val Thr Lys Ser
195 200 205
Phe Asn Arg Gly Glu Cys
210
<210> 4
<211> 448
<212> БЕЛОК
<213> Homo sapiens
<400> 4
Gln Val Gln Leu Val Glu Ser Gly Gly Gly Val Val Gln Pro Gly Arg
1 5 10 15
Ser Leu Arg Leu Ser Cys Ala Ala Ser Gly Phe Thr Phe Ser Ser Tyr
20 25 30
Ile Met His Trp Val Arg Gln Ala Pro Gly Lys Gly Leu Glu Trp Val
35 40 45
Ala Val Ile Ser Tyr Asp Gly Arg Asn Lys Tyr Tyr Ala Asp Ser Val
50 55 60
Lys Gly Arg Phe Thr Ile Ser Arg Asp Asn Ser Lys Asn Thr Leu Tyr
65 70 75 80
Leu Gln Met Asn Ser Leu Arg Ala Glu Asp Thr Ala Val Tyr Tyr Cys
85 90 95
Ala Arg Asp Thr Asp Gly Tyr Asp Phe Asp Tyr Trp Gly Gln Gly Thr
100 105 110
Leu Val Thr Val Ser Ser Ala Ser Thr Lys Gly Pro Ser Val Phe Pro
115 120 125
Leu Ala Pro Ser Ser Lys Ser Thr Ser Gly Gly Thr Ala Ala Leu Gly
130 135 140
Cys Leu Val Lys Asp Tyr Phe Pro Glu Pro Val Thr Val Ser Trp Asn
145 150 155 160
Ser Gly Ala Leu Thr Ser Gly Val His Thr Phe Pro Ala Val Leu Gln
165 170 175
Ser Ser Gly Leu Tyr Ser Leu Ser Ser Val Val Thr Val Pro Ser Ser
180 185 190
Ser Leu Gly Thr Gln Thr Tyr Ile Cys Asn Val Asn His Lys Pro Ser
195 200 205
Asn Thr Lys Val Asp Lys Arg Val Glu Pro Lys Ser Cys Asp Lys Thr
210 215 220
His Thr Cys Pro Pro Cys Pro Ala Pro Glu Ala Ala Gly Gly Pro Ser
225 230 235 240
Val Phe Leu Phe Pro Pro Lys Pro Lys Asp Thr Leu Met Ile Ser Arg
245 250 255
Thr Pro Glu Val Thr Cys Val Val Val Asp Val Ser His Glu Asp Pro
260 265 270
Glu Val Lys Phe Asn Trp Tyr Val Asp Gly Val Glu Val His Asn Ala
275 280 285
Lys Thr Lys Pro Arg Glu Glu Gln Tyr Asn Ser Thr Tyr Arg Val Val
290 295 300
Ser Val Leu Thr Val Leu His Gln Asp Trp Leu Asn Gly Lys Glu Tyr
305 310 315 320
Lys Cys Lys Val Ser Asn Lys Ala Leu Pro Ala Pro Ile Glu Lys Thr
325 330 335
Ile Ser Lys Ala Lys Gly Gln Pro Arg Glu Pro Gln Val Tyr Thr Leu
340 345 350
Pro Pro Ser Arg Glu Glu Met Thr Lys Asn Gln Val Ser Leu Thr Cys
355 360 365
Leu Val Lys Gly Phe Tyr Pro Ser Asp Ile Ala Val Glu Trp Glu Ser
370 375 380
Asn Gly Gln Pro Glu Asn Asn Tyr Lys Thr Thr Pro Pro Val Leu Asp
385 390 395 400
Ser Asp Gly Ser Phe Phe Leu Tyr Ser Lys Leu Thr Val Asp Lys Ser
405 410 415
Arg Trp Gln Gln Gly Asn Val Phe Ser Cys Ser Val Met His Glu Ala
420 425 430
Leu His Asn His Tyr Thr Gln Lys Ser Leu Ser Leu Ser Pro Gly Lys
435 440 445
<210> 5
<211> 214
<212> БЕЛОК
<213> Homo sapiens
<400> 5
Asp Ile Gln Met Thr Gln Ser Pro Ser Ser Leu Ser Ala Ser Val Gly
1 5 10 15
Asp Arg Val Thr Ile Thr Cys Lys Ala Ser Gln Asp Val Ser Thr Ala
20 25 30
Val Ala Trp Tyr Gln Gln Lys Pro Gly Lys Ala Pro Lys Leu Leu Ile
35 40 45
Tyr Ser Ala Ser Tyr Arg Tyr Thr Gly Val Pro Ser Arg Phe Ser Gly
50 55 60
Ser Gly Ser Gly Thr Asp Phe Thr Leu Thr Ile Ser Ser Leu Gln Pro
65 70 75 80
Glu Asp Phe Ala Val Tyr Tyr Cys Gln Gln His Tyr Ile Thr Pro Leu
85 90 95
Thr Phe Gly Gln Gly Thr Lys Leu Glu Ile Lys Arg Thr Val Ala Ala
100 105 110
Pro Ser Val Phe Ile Phe Pro Pro Ser Asp Glu Gln Leu Lys Ser Gly
115 120 125
Thr Ala Ser Val Val Cys Leu Leu Asn Asn Phe Tyr Pro Arg Glu Ala
130 135 140
Lys Val Gln Trp Lys Val Asp Asn Ala Leu Gln Ser Gly Asn Ser Gln
145 150 155 160
Glu Ser Val Thr Glu Gln Asp Ser Lys Asp Ser Thr Tyr Ser Leu Ser
165 170 175
Ser Thr Leu Thr Leu Ser Lys Ala Asp Tyr Glu Lys His Lys Val Tyr
180 185 190
Ala Cys Glu Val Thr His Gln Gly Leu Ser Ser Pro Val Thr Lys Ser
195 200 205
Phe Asn Arg Gly Glu Cys
210
<210> 6
<211> 451
<212> БЕЛОК
<213> Homo sapiens
<400> 6
Gln Val Gln Leu Val Gln Ser Gly Ala Glu Val Lys Lys Pro Gly Ala
1 5 10 15
Ser Val Lys Val Ser Cys Lys Ala Ser Gly Tyr Thr Phe Thr Thr Ala
20 25 30
Gly Met Gln Trp Val Arg Gln Ala Pro Gly Gln Gly Leu Glu Trp Met
35 40 45
Gly Trp Ile Asn Thr His Ser Gly Val Pro Lys Tyr Ala Glu Asp Phe
50 55 60
Lys Gly Arg Val Thr Ile Ser Ala Asp Thr Ser Thr Ser Thr Ala Tyr
65 70 75 80
Leu Gln Leu Ser Ser Leu Lys Ser Glu Asp Thr Ala Val Tyr Tyr Cys
85 90 95
Ala Arg Ser Gly Phe Gly Ser Ser Tyr Trp Tyr Phe Asp Val Trp Gly
100 105 110
Gln Gly Thr Leu Val Thr Val Ser Ser Ala Ser Thr Lys Gly Pro Ser
115 120 125
Val Phe Pro Leu Ala Pro Ser Ser Lys Ser Thr Ser Gly Gly Thr Ala
130 135 140
Ala Leu Gly Cys Leu Val Lys Asp Tyr Phe Pro Glu Pro Val Thr Val
145 150 155 160
Ser Trp Asn Ser Gly Ala Leu Thr Ser Gly Val His Thr Phe Pro Ala
165 170 175
Val Leu Gln Ser Ser Gly Leu Tyr Ser Leu Ser Ser Val Val Thr Val
180 185 190
Pro Ser Ser Ser Leu Gly Thr Gln Thr Tyr Ile Cys Asn Val Asn His
195 200 205
Lys Pro Ser Asn Thr Lys Val Asp Lys Arg Val Glu Pro Lys Ser Cys
210 215 220
Asp Lys Thr His Thr Cys Pro Pro Cys Pro Ala Pro Glu Leu Leu Gly
225 230 235 240
Gly Pro Ser Val Phe Leu Phe Pro Pro Lys Pro Lys Asp Thr Leu Met
245 250 255
Ile Ser Arg Thr Pro Glu Val Thr Cys Val Val Val Asp Val Ser His
260 265 270
Glu Asp Pro Glu Val Lys Phe Asn Trp Tyr Val Asp Gly Val Glu Val
275 280 285
His Asn Ala Lys Thr Lys Pro Arg Glu Glu Gln Tyr Asn Ser Thr Tyr
290 295 300
Arg Val Val Ser Val Leu Thr Val Leu His Gln Asp Trp Leu Asn Gly
305 310 315 320
Lys Glu Tyr Lys Cys Lys Val Ser Asn Lys Ala Leu Pro Ala Pro Ile
325 330 335
Glu Lys Thr Ile Ser Lys Ala Lys Gly Gln Pro Arg Glu Pro Gln Val
340 345 350
Tyr Thr Leu Pro Pro Ser Arg Glu Glu Met Thr Lys Asn Gln Val Ser
355 360 365
Leu Thr Cys Leu Val Lys Gly Phe Tyr Pro Ser Asp Ile Ala Val Glu
370 375 380
Trp Glu Ser Asn Gly Gln Pro Glu Asn Asn Tyr Lys Thr Thr Pro Pro
385 390 395 400
Val Leu Asp Ser Asp Gly Ser Phe Phe Leu Tyr Ser Lys Leu Thr Val
405 410 415
Asp Lys Ser Arg Trp Gln Gln Gly Asn Val Phe Ser Cys Ser Val Met
420 425 430
His Glu Ala Leu His Asn His Tyr Thr Gln Lys Ser Leu Ser Leu Ser
435 440 445
Pro Gly Lys
450
<210> 7
<211> 214
<212> БЕЛОК
<213> Homo sapiens
<400> 7
Asp Ile Gln Met Thr Gln Ser Pro Ser Ser Leu Ser Ala Ser Val Gly
1 5 10 15
Asp Arg Val Thr Ile Thr Cys Lys Ala Ser Gln Asp Val Ser Thr Ala
20 25 30
Val Ala Trp Tyr Gln Gln Lys Pro Gly Lys Ala Pro Lys Leu Leu Ile
35 40 45
Tyr Ser Ala Ser Tyr Arg Tyr Thr Gly Val Pro Ser Arg Phe Ser Gly
50 55 60
Ser Gly Ser Gly Thr Asp Phe Thr Leu Thr Ile Ser Ser Leu Gln Pro
65 70 75 80
Glu Asp Phe Ala Val Tyr Tyr Cys Gln Gln His Tyr Ile Thr Pro Leu
85 90 95
Thr Phe Gly Gln Gly Thr Lys Leu Glu Ile Lys Arg Thr Val Ala Ala
100 105 110
Pro Ser Val Phe Ile Phe Pro Pro Ser Asp Glu Gln Leu Lys Ser Gly
115 120 125
Thr Ala Ser Val Val Cys Leu Leu Asn Asn Phe Tyr Pro Arg Glu Ala
130 135 140
Lys Val Gln Trp Lys Val Asp Asn Ala Leu Gln Ser Gly Asn Ser Gln
145 150 155 160
Glu Ser Val Thr Glu Gln Asp Ser Lys Asp Ser Thr Tyr Ser Leu Ser
165 170 175
Ser Thr Leu Thr Leu Ser Lys Ala Asp Tyr Glu Lys His Lys Val Tyr
180 185 190
Ala Cys Glu Val Thr His Gln Gly Leu Ser Ser Pro Val Thr Lys Ser
195 200 205
Phe Asn Arg Gly Glu Cys
210
<210> 8
<211> 451
<212> БЕЛОК
<213> Homo sapiens
<400> 8
Gln Val Gln Leu Val Gln Ser Gly Ala Glu Val Lys Lys Pro Gly Ala
1 5 10 15
Ser Val Lys Val Ser Cys Lys Ala Ser Gly Tyr Thr Phe Thr Thr Ala
20 25 30
Gly Met Gln Trp Val Arg Gln Ala Pro Gly Gln Gly Leu Glu Trp Met
35 40 45
Gly Trp Ile Asn Thr His Ser Gly Val Pro Lys Tyr Ala Glu Asp Phe
50 55 60
Lys Gly Arg Val Thr Ile Ser Ala Asp Thr Ser Thr Ser Thr Ala Tyr
65 70 75 80
Leu Gln Leu Ser Ser Leu Lys Ser Glu Asp Thr Ala Val Tyr Tyr Cys
85 90 95
Ala Arg Ser Gly Phe Gly Ser Ser Tyr Trp Tyr Phe Asp Val Trp Gly
100 105 110
Gln Gly Thr Leu Val Thr Val Ser Ser Ala Ser Thr Lys Gly Pro Ser
115 120 125
Val Phe Pro Leu Ala Pro Ser Ser Lys Ser Thr Ser Gly Gly Thr Ala
130 135 140
Ala Leu Gly Cys Leu Val Lys Asp Tyr Phe Pro Glu Pro Val Thr Val
145 150 155 160
Ser Trp Asn Ser Gly Ala Leu Thr Ser Gly Val His Thr Phe Pro Ala
165 170 175
Val Leu Gln Ser Ser Gly Leu Tyr Ser Leu Ser Ser Val Val Thr Val
180 185 190
Pro Ser Ser Ser Leu Gly Thr Gln Thr Tyr Ile Cys Asn Val Asn His
195 200 205
Lys Pro Ser Asn Thr Lys Val Asp Lys Arg Val Glu Pro Lys Ser Cys
210 215 220
Asp Lys Thr His Thr Cys Pro Pro Cys Pro Ala Pro Glu Ala Ala Gly
225 230 235 240
Gly Pro Ser Val Phe Leu Phe Pro Pro Lys Pro Lys Asp Thr Leu Met
245 250 255
Ile Ser Arg Thr Pro Glu Val Thr Cys Val Val Val Asp Val Ser His
260 265 270
Glu Asp Pro Glu Val Lys Phe Asn Trp Tyr Val Asp Gly Val Glu Val
275 280 285
His Asn Ala Lys Thr Lys Pro Arg Glu Glu Gln Tyr Asn Ser Thr Tyr
290 295 300
Arg Val Val Ser Val Leu Thr Val Leu His Gln Asp Trp Leu Asn Gly
305 310 315 320
Lys Glu Tyr Lys Cys Lys Val Ser Asn Lys Ala Leu Pro Ala Pro Ile
325 330 335
Glu Lys Thr Ile Ser Lys Ala Lys Gly Gln Pro Arg Glu Pro Gln Val
340 345 350
Tyr Thr Leu Pro Pro Ser Arg Glu Glu Met Thr Lys Asn Gln Val Ser
355 360 365
Leu Thr Cys Leu Val Lys Gly Phe Tyr Pro Ser Asp Ile Ala Val Glu
370 375 380
Trp Glu Ser Asn Gly Gln Pro Glu Asn Asn Tyr Lys Thr Thr Pro Pro
385 390 395 400
Val Leu Asp Ser Asp Gly Ser Phe Phe Leu Tyr Ser Lys Leu Thr Val
405 410 415
Asp Lys Ser Arg Trp Gln Gln Gly Asn Val Phe Ser Cys Ser Val Met
420 425 430
His Glu Ala Leu His Asn His Tyr Thr Gln Lys Ser Leu Ser Leu Ser
435 440 445
Pro Gly Lys
450
<210> 9
<211> 214
<212> БЕЛОК
<213> Homo sapiens
<400> 9
Asp Ile Gln Met Thr Gln Ser Pro Ser Ser Leu Ser Ala Ser Val Gly
1 5 10 15
Asp Arg Val Thr Ile Thr Cys Gln Ala Ser Gln Asp Ile Ser Asn Tyr
20 25 30
Leu Asn Trp Tyr Gln Gln Lys Pro Gly Lys Ala Pro Lys Leu Leu Ile
35 40 45
Tyr Asp Ala Ser Asn Leu Glu Thr Gly Val Pro Ser Arg Phe Ser Gly
50 55 60
Ser Gly Ser Gly Thr Asp Phe Thr Phe Thr Ile Ser Ser Leu Gln Pro
65 70 75 80
Glu Asp Ile Ala Thr Tyr Phe Cys Gln His Phe Asp His Leu Pro Leu
85 90 95
Ala Phe Gly Gly Gly Thr Lys Val Glu Ile Lys Arg Thr Val Ala Ala
100 105 110
Pro Ser Val Phe Ile Phe Pro Pro Ser Asp Glu Gln Leu Lys Ser Gly
115 120 125
Thr Ala Ser Val Val Cys Leu Leu Asn Asn Phe Tyr Pro Arg Glu Ala
130 135 140
Lys Val Gln Trp Lys Val Asp Asn Ala Leu Gln Ser Gly Asn Ser Gln
145 150 155 160
Glu Ser Val Thr Glu Gln Asp Ser Lys Asp Ser Thr Tyr Ser Leu Ser
165 170 175
Ser Thr Leu Thr Leu Ser Lys Ala Asp Tyr Glu Lys His Lys Val Tyr
180 185 190
Ala Cys Glu Val Thr His Gln Gly Leu Ser Ser Pro Val Thr Lys Ser
195 200 205
Phe Asn Arg Gly Glu Cys
210
<210> 10
<211> 449
<212> БЕЛОК
<213> Homo sapiens
<400> 10
Gln Val Gln Leu Gln Glu Ser Gly Pro Gly Leu Val Lys Pro Ser Glu
1 5 10 15
Thr Leu Ser Leu Thr Cys Thr Val Ser Gly Gly Ser Val Ser Ser Gly
20 25 30
Asp Tyr Tyr Trp Thr Trp Ile Arg Gln Ser Pro Gly Lys Gly Leu Glu
35 40 45
Trp Ile Gly His Ile Tyr Tyr Ser Gly Asn Thr Asn Tyr Asn Pro Ser
50 55 60
Leu Lys Ser Arg Leu Thr Ile Ser Ile Asp Thr Ser Lys Thr Gln Phe
65 70 75 80
Ser Leu Lys Leu Ser Ser Val Thr Ala Ala Asp Thr Ala Ile Tyr Tyr
85 90 95
Cys Val Arg Asp Arg Val Thr Gly Ala Phe Asp Ile Trp Gly Gln Gly
100 105 110
Thr Met Val Thr Val Ser Ser Ala Ser Thr Lys Gly Pro Ser Val Phe
115 120 125
Pro Leu Ala Pro Ser Ser Lys Ser Thr Ser Gly Gly Thr Ala Ala Leu
130 135 140
Gly Cys Leu Val Lys Asp Tyr Phe Pro Glu Pro Val Thr Val Ser Trp
145 150 155 160
Asn Ser Gly Ala Leu Thr Ser Gly Val His Thr Phe Pro Ala Val Leu
165 170 175
Gln Ser Ser Gly Leu Tyr Ser Leu Ser Ser Val Val Thr Val Pro Ser
180 185 190
Ser Ser Leu Gly Thr Gln Thr Tyr Ile Cys Asn Val Asn His Lys Pro
195 200 205
Ser Asn Thr Lys Val Asp Lys Arg Val Glu Pro Lys Ser Cys Asp Lys
210 215 220
Thr His Thr Cys Pro Pro Cys Pro Ala Pro Glu Ala Ala Gly Gly Pro
225 230 235 240
Ser Val Phe Leu Phe Pro Pro Lys Pro Lys Asp Thr Leu Met Ile Ser
245 250 255
Arg Thr Pro Glu Val Thr Cys Val Val Val Asp Val Ser His Glu Asp
260 265 270
Pro Glu Val Lys Phe Asn Trp Tyr Val Asp Gly Val Glu Val His Asn
275 280 285
Ala Lys Thr Lys Pro Arg Glu Glu Gln Tyr Asn Ser Thr Tyr Arg Val
290 295 300
Val Ser Val Leu Thr Val Leu His Gln Asp Trp Leu Asn Gly Lys Glu
305 310 315 320
Tyr Lys Cys Lys Val Ser Asn Lys Ala Leu Pro Ala Pro Ile Glu Lys
325 330 335
Thr Ile Ser Lys Ala Lys Gly Gln Pro Arg Glu Pro Gln Val Tyr Thr
340 345 350
Leu Pro Pro Ser Arg Glu Glu Met Thr Lys Asn Gln Val Ser Leu Thr
355 360 365
Cys Leu Val Lys Gly Phe Tyr Pro Ser Asp Ile Ala Val Glu Trp Glu
370 375 380
Ser Asn Gly Gln Pro Glu Asn Asn Tyr Lys Thr Thr Pro Pro Val Leu
385 390 395 400
Asp Ser Asp Gly Ser Phe Phe Leu Tyr Ser Lys Leu Thr Val Asp Lys
405 410 415
Ser Arg Trp Gln Gln Gly Asn Val Phe Ser Cys Ser Val Met His Glu
420 425 430
Ala Leu His Asn His Tyr Thr Gln Lys Ser Leu Ser Leu Ser Pro Gly
435 440 445
Lys
<210> 11
<211> 214
<212> БЕЛОК
<213> Homo sapiens
<400> 11
Asp Ile Leu Met Thr Gln Ser Pro Ser Ser Met Ser Val Ser Leu Gly
1 5 10 15
Asp Thr Val Ser Ile Thr Cys His Ser Ser Gln Asp Ile Asn Ser Asn
20 25 30
Ile Gly Trp Leu Gln Gln Arg Pro Gly Lys Ser Phe Lys Gly Leu Ile
35 40 45
Tyr His Gly Thr Asn Leu Asp Asp Glu Val Pro Ser Arg Phe Ser Gly
50 55 60
Ser Gly Ser Gly Ala Asp Tyr Ser Leu Thr Ile Ser Ser Leu Glu Ser
65 70 75 80
Glu Asp Phe Ala Asp Tyr Tyr Cys Val Gln Tyr Ala Gln Phe Pro Trp
85 90 95
Thr Phe Gly Gly Gly Thr Lys Leu Glu Ile Lys Arg Thr Val Ala Ala
100 105 110
Pro Ser Val Phe Ile Phe Pro Pro Ser Asp Glu Gln Leu Lys Ser Gly
115 120 125
Thr Ala Ser Val Val Cys Leu Leu Asn Asn Phe Tyr Pro Arg Glu Ala
130 135 140
Lys Val Gln Trp Lys Val Asp Asn Ala Leu Gln Ser Gly Asn Ser Gln
145 150 155 160
Glu Ser Val Thr Glu Gln Asp Ser Lys Asp Ser Thr Tyr Ser Leu Ser
165 170 175
Ser Thr Leu Thr Leu Ser Lys Ala Asp Tyr Glu Lys His Lys Val Tyr
180 185 190
Ala Cys Glu Val Thr His Gln Gly Leu Ser Ser Pro Val Thr Lys Ser
195 200 205
Phe Asn Arg Gly Glu Cys
210
<210> 12
<211> 446
<212> БЕЛОК
<213> Homo sapiens
<400> 12
Asp Val Gln Leu Gln Glu Ser Gly Pro Ser Leu Val Lys Pro Ser Gln
1 5 10 15
Ser Leu Ser Leu Thr Cys Thr Val Thr Gly Tyr Ser Ile Thr Ser Asp
20 25 30
Phe Ala Trp Asn Trp Ile Arg Gln Phe Pro Gly Asn Lys Leu Glu Trp
35 40 45
Met Gly Tyr Ile Ser Tyr Ser Gly Asn Thr Arg Tyr Asn Pro Ser Leu
50 55 60
Lys Ser Arg Ile Ser Ile Thr Arg Asp Thr Ser Lys Asn Gln Phe Phe
65 70 75 80
Leu Gln Leu Asn Ser Val Thr Ile Glu Asp Thr Ala Thr Tyr Tyr Cys
85 90 95
Val Thr Ala Gly Arg Gly Phe Pro Tyr Trp Gly Gln Gly Thr Leu Val
100 105 110
Thr Val Ser Ala Ala Ser Thr Lys Gly Pro Ser Val Phe Pro Leu Ala
115 120 125
Pro Ser Ser Lys Ser Thr Ser Gly Gly Thr Ala Ala Leu Gly Cys Leu
130 135 140
Val Lys Asp Tyr Phe Pro Glu Pro Val Thr Val Ser Trp Asn Ser Gly
145 150 155 160
Ala Leu Thr Ser Gly Val His Thr Phe Pro Ala Val Leu Gln Ser Ser
165 170 175
Gly Leu Tyr Ser Leu Ser Ser Val Val Thr Val Pro Ser Ser Ser Leu
180 185 190
Gly Thr Gln Thr Tyr Ile Cys Asn Val Asn His Lys Pro Ser Asn Thr
195 200 205
Lys Val Asp Lys Arg Val Glu Pro Lys Ser Cys Asp Lys Thr His Thr
210 215 220
Cys Pro Pro Cys Pro Ala Pro Glu Ala Ala Gly Gly Pro Ser Val Phe
225 230 235 240
Leu Phe Pro Pro Lys Pro Lys Asp Thr Leu Met Ile Ser Arg Thr Pro
245 250 255
Glu Val Thr Cys Val Val Val Asp Val Ser His Glu Asp Pro Glu Val
260 265 270
Lys Phe Asn Trp Tyr Val Asp Gly Val Glu Val His Asn Ala Lys Thr
275 280 285
Lys Pro Arg Glu Glu Gln Tyr Asn Ser Thr Tyr Arg Val Val Ser Val
290 295 300
Leu Thr Val Leu His Gln Asp Trp Leu Asn Gly Lys Glu Tyr Lys Cys
305 310 315 320
Lys Val Ser Asn Lys Ala Leu Pro Ala Pro Ile Glu Lys Thr Ile Ser
325 330 335
Lys Ala Lys Gly Gln Pro Arg Glu Pro Gln Val Tyr Thr Leu Pro Pro
340 345 350
Ser Arg Glu Glu Met Thr Lys Asn Gln Val Ser Leu Thr Cys Leu Val
355 360 365
Lys Gly Phe Tyr Pro Ser Asp Ile Ala Val Glu Trp Glu Ser Asn Gly
370 375 380
Gln Pro Glu Asn Asn Tyr Lys Thr Thr Pro Pro Val Leu Asp Ser Asp
385 390 395 400
Gly Ser Phe Phe Leu Tyr Ser Lys Leu Thr Val Asp Lys Ser Arg Trp
405 410 415
Gln Gln Gly Asn Val Phe Ser Cys Ser Val Met His Glu Ala Leu His
420 425 430
Asn His Tyr Thr Gln Lys Ser Leu Ser Leu Ser Pro Gly Lys
435 440 445
<210> 13
<211> 379
<212> БЕЛОК
<213> Homo sapiens
<400> 13
Met Pro His Ser Ser Leu His Pro Ser Ile Pro Cys Pro Arg Gly His
1 5 10 15
Gly Ala Gln Lys Ala Ala Leu Val Leu Leu Ser Ala Cys Leu Val Thr
20 25 30
Leu Trp Gly Leu Gly Glu Pro Pro Glu His Thr Leu Arg Tyr Leu Val
35 40 45
Leu His Leu Ala Ser Leu Gln Leu Gly Leu Leu Leu Asn Gly Val Cys
50 55 60
Ser Leu Ala Glu Glu Leu Arg His Ile His Ser Arg Tyr Arg Gly Ser
65 70 75 80
Tyr Trp Arg Thr Val Arg Ala Cys Leu Gly Cys Pro Leu Arg Arg Gly
85 90 95
Ala Leu Leu Leu Leu Ser Ile Tyr Phe Tyr Tyr Ser Leu Pro Asn Ala
100 105 110
Val Gly Pro Pro Phe Thr Trp Met Leu Ala Leu Leu Gly Leu Ser Gln
115 120 125
Ala Leu Asn Ile Leu Leu Gly Leu Lys Gly Leu Ala Pro Ala Glu Ile
130 135 140
Ser Ala Val Cys Glu Lys Gly Asn Phe Asn Val Ala His Gly Leu Ala
145 150 155 160
Trp Ser Tyr Tyr Ile Gly Tyr Leu Arg Leu Ile Leu Pro Glu Leu Gln
165 170 175
Ala Arg Ile Arg Thr Tyr Asn Gln His Tyr Asn Asn Leu Leu Arg Gly
180 185 190
Ala Val Ser Gln Arg Leu Tyr Ile Leu Leu Pro Leu Asp Cys Gly Val
195 200 205
Pro Asp Asn Leu Ser Met Ala Asp Pro Asn Ile Arg Phe Leu Asp Lys
210 215 220
Leu Pro Gln Gln Thr Gly Asp Arg Ala Gly Ile Lys Asp Arg Val Tyr
225 230 235 240
Ser Asn Ser Ile Tyr Glu Leu Leu Glu Asn Gly Gln Arg Ala Gly Thr
245 250 255
Cys Val Leu Glu Tyr Ala Thr Pro Leu Gln Thr Leu Phe Ala Met Ser
260 265 270
Gln Tyr Ser Gln Ala Gly Phe Ser Arg Glu Asp Arg Leu Glu Gln Ala
275 280 285
Lys Leu Phe Cys Arg Thr Leu Glu Asp Ile Leu Ala Asp Ala Pro Glu
290 295 300
Ser Gln Asn Asn Cys Arg Leu Ile Ala Tyr Gln Glu Pro Ala Asp Asp
305 310 315 320
Ser Ser Phe Ser Leu Ser Gln Glu Val Leu Arg His Leu Arg Gln Glu
325 330 335
Glu Lys Glu Glu Val Thr Val Gly Ser Leu Lys Thr Ser Ala Val Pro
340 345 350
Ser Thr Ser Thr Met Ser Gln Glu Pro Glu Leu Leu Ile Ser Gly Met
355 360 365
Glu Lys Pro Leu Pro Leu Arg Thr Asp Phe Ser
370 375
<210> 14
<211> 1140
<212> ДНК
<213> Homo sapiens
<400> 14
atgccccact ccagcctgca tccatccatc ccgtgtccca ggggtcacgg ggcccagaag 60
gcagccttgg ttctgctgag tgcctgcctg gtgacccttt gggggctagg agagccacca 120
gagcacactc tccggtacct ggtgctccac ctagcctccc tgcagctggg actgctgtta 180
aacggggtct gcagcctggc tgaggagctg cgccacatcc actccaggta ccggggcagc 240
tactggagga ctgtgcgggc ctgcctgggc tgccccctcc gccgtggggc cctgttgctg 300
ctgtccatct atttctacta ctccctccca aatgcggtcg gcccgccctt cacttggatg 360
cttgccctcc tgggcctctc gcaggcactg aacatcctcc tgggcctcaa gggcctggcc 420
ccagctgaga tctctgcagt gtgtgaaaaa gggaatttca acgtggccca tgggctggca 480
tggtcatatt acatcggata tctgcggctg atcctgccag agctccaggc ccggattcga 540
acttacaatc agcattacaa caacctgcta cggggtgcag tgagccagcg gctgtatatt 600
ctcctcccat tggactgtgg ggtgcctgat aacctgagta tggctgaccc caacattcgc 660
ttcctggata aactgcccca gcagaccggt gaccatgctg gcatcaagga tcgggtttac 720
agcaacagca tctatgagct tctggagaac gggcagcggg cgggcacctg tgtcctggag 780
tacgccaccc ccttgcagac tttgtttgcc atgtcacaat acagtcaagc tggctttagc 840
cgggaggata ggcttgagca ggccaaactc ttctgccgga cacttgagga catcctggca 900
gatgcccctg agtctcagaa caactgccgc ctcattgcct accaggaacc tgcagatgac 960
agcagcttct cgctgtccca ggaggttctc cggcacctgc ggcaggagga aaaggaagag 1020
gttactgtgg gcagcttgaa gacctcagcg gtgcccagta cctccacgat gtcccaagag 1080
cctgagctcc tcatcagtgg aatggaaaag cccctccctc tccgcacgga tttctcttag 1140
<210> 15
<211> 379
<212> БЕЛОК
<213> Homo sapiens
<400> 15
Met Pro His Ser Ser Leu His Pro Ser Ile Pro Cys Pro Arg Gly His
1 5 10 15
Gly Ala Gln Lys Ala Ala Leu Val Leu Leu Ser Ala Cys Leu Val Thr
20 25 30
Leu Trp Gly Leu Gly Glu Pro Pro Glu His Thr Leu Arg Tyr Leu Val
35 40 45
Leu His Leu Ala Ser Leu Gln Leu Gly Leu Leu Leu Asn Gly Val Cys
50 55 60
Ser Leu Ala Glu Glu Leu Arg His Ile His Ser Arg Tyr Arg Gly Ser
65 70 75 80
Tyr Trp Arg Thr Val Arg Ala Cys Leu Gly Cys Pro Leu Arg Arg Gly
85 90 95
Ala Leu Leu Leu Leu Ser Ile Tyr Phe Tyr Tyr Ser Leu Pro Asn Ala
100 105 110
Val Gly Pro Pro Phe Thr Trp Met Leu Ala Leu Leu Gly Leu Ser Gln
115 120 125
Ala Leu Asn Ile Leu Leu Gly Leu Lys Gly Leu Ala Pro Ala Glu Ile
130 135 140
Ser Ala Val Cys Glu Lys Gly Asn Phe Asn Val Ala His Gly Leu Ala
145 150 155 160
Trp Ser Tyr Tyr Ile Gly Tyr Leu Arg Leu Ile Leu Pro Glu Leu Gln
165 170 175
Ala Arg Ile Arg Thr Tyr Asn Gln His Tyr Asn Asn Leu Leu Arg Gly
180 185 190
Ala Val Ser Gln Arg Leu Tyr Ile Leu Leu Pro Leu Asp Cys Gly Val
195 200 205
Pro Asp Asn Leu Ser Met Ala Asp Pro Asn Ile Arg Phe Leu Asp Lys
210 215 220
Leu Pro Gln Gln Thr Gly Asp His Ala Gly Ile Lys Asp Arg Val Tyr
225 230 235 240
Ser Asn Ser Ile Tyr Glu Leu Leu Glu Asn Gly Gln Arg Ala Gly Thr
245 250 255
Cys Val Leu Glu Tyr Ala Thr Pro Leu Gln Thr Leu Phe Ala Met Ser
260 265 270
Gln Tyr Ser Gln Ala Gly Phe Ser Arg Glu Asp Arg Leu Glu Gln Ala
275 280 285
Lys Leu Phe Cys Arg Thr Leu Glu Asp Ile Leu Ala Asp Ala Pro Glu
290 295 300
Ser Gln Asn Asn Cys Arg Leu Ile Ala Tyr Gln Glu Pro Ala Asp Asp
305 310 315 320
Ser Ser Phe Ser Leu Ser Gln Glu Val Leu Arg His Leu Arg Gln Glu
325 330 335
Glu Lys Glu Glu Val Thr Val Gly Ser Leu Lys Thr Ser Ala Val Pro
340 345 350
Ser Thr Ser Thr Met Ser Gln Glu Pro Glu Leu Leu Ile Ser Gly Met
355 360 365
Glu Lys Pro Leu Pro Leu Arg Thr Asp Phe Ser
370 375
<210> 16
<211> 1140
<212> ДНК
<213> Homo sapiens
<400> 16
atgccccact ccagcctgca tccatccatc ccgtgtccca ggggtcacgg ggcccagaag 60
gcagccttgg ttctgctgag tgcctgcctg gtgacccttt gggggctagg agagccacca 120
gagcacactc tccggtacct ggtgctccac ctagcctccc tgcagctggg actgctgtta 180
aacggggtct gcagcctggc tgaggagctg cgccacatcc actccaggta ccggggcagc 240
tactggagga ctgtgcgggc ctgcctgggc tgccccctcc gccgtggggc cctgttgctg 300
ctgtccatct atttctacta ctccctccca aatgcggtcg gcccgccctt cacttggatg 360
cttgccctcc tgggcctctc gcaggcactg aacatcctcc tgggcctcaa gggcctggcc 420
ccagctgaga tctctgcagt gtgtgaaaaa gggaatttca acgtggccca tgggctggca 480
tggtcatatt acatcggata tctgcggctg atcctgccag agctccaggc ccggattcga 540
acttacaatc agcattacaa caacctgcta cggggtgcag tgagccagcg gctgtatatt 600
ctcctcccat tggactgtgg ggtgcctgat aacctgagta tggctgaccc caacattcgc 660
ttcctggata aactgcccca gcagaccggt gaccgtgctg gcatcaagga tcgggtttac 720
agcaacagca tctatgagct tctggagaac gggcagcggg cgggcacctg tgtcctggag 780
tacgccaccc ccttgcagac tttgtttgcc atgtcacaat acagtcaagc tggctttagc 840
cgggaggata ggcttgagca ggccaaactc ttctgccgga cacttgagga catcctggca 900
gatgcccctg agtctcagaa caactgccgc ctcattgcct accaggaacc tgcagatgac 960
agcagcttct cgctgtccca ggaggttctc cggcacctgc ggcaggagga aaaggaagag 1020
gttactgtgg gcagcttgaa gacctcagcg gtgcccagta cctccacgat gtcccaagag 1080
cctgagctcc tcatcagtgg aatggaaaag cccctccctc tccgcacgga tttctcttag 1140
<210> 17
<211> 379
<212> БЕЛОК
<213> Homo sapiens
<400> 17
Met Pro His Ser Ser Leu His Pro Ser Ile Pro Cys Pro Arg Gly His
1 5 10 15
Gly Ala Gln Lys Ala Ala Leu Val Leu Leu Ser Ala Cys Leu Val Thr
20 25 30
Leu Trp Gly Leu Gly Glu Pro Pro Glu His Thr Leu Arg Tyr Leu Val
35 40 45
Leu His Leu Ala Ser Leu Gln Leu Gly Leu Leu Leu Asn Gly Val Cys
50 55 60
Ser Leu Ala Glu Glu Leu His His Ile His Ser Arg Tyr Arg Gly Ser
65 70 75 80
Tyr Trp Arg Thr Val Arg Ala Cys Leu Gly Cys Pro Leu Arg Arg Gly
85 90 95
Ala Leu Leu Leu Leu Ser Ile Tyr Phe Tyr Tyr Ser Leu Pro Asn Ala
100 105 110
Val Gly Pro Pro Phe Thr Trp Met Leu Ala Leu Leu Gly Leu Ser Gln
115 120 125
Ala Leu Asn Ile Leu Leu Gly Leu Lys Gly Leu Ala Pro Ala Glu Ile
130 135 140
Ser Ala Val Cys Glu Lys Gly Asn Phe Asn Val Ala His Gly Leu Ala
145 150 155 160
Trp Ser Tyr Tyr Ile Gly Tyr Leu Arg Leu Ile Leu Pro Glu Leu Gln
165 170 175
Ala Arg Ile Arg Thr Tyr Asn Gln His Tyr Asn Asn Leu Leu Arg Gly
180 185 190
Ala Val Ser Gln Arg Leu Tyr Ile Leu Leu Pro Leu Asp Cys Gly Val
195 200 205
Pro Asp Asn Leu Ser Met Ala Asp Pro Asn Ile Arg Phe Leu Asp Lys
210 215 220
Leu Pro Gln Gln Thr Ala Asp Arg Ala Gly Ile Lys Asp Arg Val Tyr
225 230 235 240
Ser Asn Ser Ile Tyr Glu Leu Leu Glu Asn Gly Gln Arg Ala Gly Thr
245 250 255
Cys Val Leu Glu Tyr Ala Thr Pro Leu Gln Thr Leu Phe Ala Met Ser
260 265 270
Gln Tyr Ser Gln Ala Gly Phe Ser Arg Glu Asp Arg Leu Glu Gln Ala
275 280 285
Lys Leu Phe Cys Gln Thr Leu Glu Asp Ile Leu Ala Asp Ala Pro Glu
290 295 300
Ser Gln Asn Asn Cys Arg Leu Ile Ala Tyr Gln Glu Pro Ala Asp Asp
305 310 315 320
Ser Ser Phe Ser Leu Ser Gln Glu Val Leu Arg His Leu Arg Gln Glu
325 330 335
Glu Lys Glu Glu Val Thr Val Gly Ser Leu Lys Thr Ser Ala Val Pro
340 345 350
Ser Thr Ser Thr Met Ser Gln Glu Pro Glu Leu Leu Ile Ser Gly Met
355 360 365
Glu Lys Pro Leu Pro Leu Arg Thr Asp Phe Ser
370 375
<210> 18
<211> 1140
<212> ДНК
<213> Homo sapiens
<400> 18
atgccccact ccagcctgca tccatccatc ccgtgtccca ggggtcacgg ggcccagaag 60
gcagccttgg ttctgctgag tgcctgcctg gtgacccttt gggggctagg agagccacca 120
gagcacactc tccggtacct ggtgctccac ctagcctccc tgcagctggg actgctgtta 180
aacggggtct gcagcctggc tgaggagctg caccacatcc actccaggta ccggggcagc 240
tactggagga ctgtgcgggc ctgcctgggc tgccccctcc gccgtggggc cctgttgctg 300
ctgtccatct atttctacta ctccctccca aatgcggtcg gcccgccctt cacttggatg 360
cttgccctcc tgggcctctc gcaggcactg aacatcctcc tgggcctcaa gggcctggcc 420
ccagctgaga tctctgcagt gtgtgaaaaa gggaatttca acgtggccca tgggctggca 480
tggtcatatt acatcggata tctgcggctg atcctgccag agctccaggc ccggattcga 540
acttacaatc agcattacaa caacctgcta cggggtgcag tgagccagcg gctgtatatt 600
ctcctcccat tggactgtgg ggtgcctgat aacctgagta tggctgaccc caacattcgc 660
ttcctggata aactgcccca gcagaccgct gaccgtgctg gcatcaagga tcgggtttac 720
agcaacagca tctatgagct tctggagaac gggcagcggg cgggcacctg tgtcctggag 780
tacgccaccc ccttgcagac tttgtttgcc atgtcacaat acagtcaagc tggctttagc 840
cgggaggata ggcttgagca ggccaaactc ttctgccaga cacttgagga catcctggca 900
gatgcccctg agtctcagaa caactgccgc ctcattgcct accaggaacc tgcagatgac 960
agcagcttct cgctgtccca ggaggttctc cggcacctgc ggcaggagga aaaggaagag 1020
gttactgtgg gcagcttgaa gacctcagcg gtgcccagta cctccacgat gtcccaagag 1080
cctgagctcc tcatcagtgg aatggaaaag cccctccctc tccgcacgga tttctcttag 1140
<210> 19
<211> 378
<212> БЕЛОК
<213> Mus musculus
<400> 19
Met Pro Tyr Ser Asn Leu His Pro Ala Ile Pro Arg Pro Arg Gly His
1 5 10 15
Arg Ser Lys Tyr Val Ala Leu Ile Phe Leu Val Ala Ser Leu Met Ile
20 25 30
Leu Trp Val Ala Lys Asp Pro Pro Asn His Thr Leu Lys Tyr Leu Ala
35 40 45
Leu His Leu Ala Ser His Glu Leu Gly Leu Leu Leu Lys Asn Leu Cys
50 55 60
Cys Leu Ala Glu Glu Leu Cys His Val Gln Ser Arg Tyr Gln Gly Ser
65 70 75 80
Tyr Trp Lys Ala Val Arg Ala Cys Leu Gly Cys Pro Ile His Cys Met
85 90 95
Ala Met Ile Leu Leu Ser Ser Tyr Phe Tyr Phe Leu Gln Asn Thr Ala
100 105 110
Asp Ile Tyr Leu Ser Trp Met Phe Gly Leu Leu Val Leu Tyr Lys Ser
115 120 125
Leu Ser Met Leu Leu Gly Leu Gln Ser Leu Thr Pro Ala Glu Val Ser
130 135 140
Ala Val Cys Glu Glu Lys Lys Leu Asn Val Ala His Gly Leu Ala Trp
145 150 155 160
Ser Tyr Tyr Ile Gly Tyr Leu Arg Leu Ile Leu Pro Gly Leu Gln Ala
165 170 175
Arg Ile Arg Met Phe Asn Gln Leu His Asn Asn Met Leu Ser Gly Ala
180 185 190
Gly Ser Arg Arg Leu Tyr Ile Leu Phe Pro Leu Asp Cys Gly Val Pro
195 200 205
Asp Asn Leu Ser Val Val Asp Pro Asn Ile Arg Phe Arg Asp Met Leu
210 215 220
Pro Gln Gln Asn Ile Asp Arg Ala Gly Ile Lys Asn Arg Val Tyr Ser
225 230 235 240
Asn Ser Val Tyr Glu Ile Leu Glu Asn Gly Gln Pro Ala Gly Val Cys
245 250 255
Ile Leu Glu Tyr Ala Thr Pro Leu Gln Thr Leu Phe Ala Met Ser Gln
260 265 270
Asp Ala Lys Ala Gly Phe Ser Arg Glu Asp Arg Leu Glu Gln Ala Lys
275 280 285
Leu Phe Cys Arg Thr Leu Glu Glu Ile Leu Glu Asp Val Pro Glu Ser
290 295 300
Arg Asn Asn Cys Arg Leu Ile Val Tyr Gln Glu Pro Thr Asp Gly Asn
305 310 315 320
Ser Phe Ser Leu Ser Gln Glu Val Leu Arg His Ile Arg Gln Glu Glu
325 330 335
Lys Glu Glu Val Thr Met Asn Ala Pro Met Thr Ser Val Ala Pro Pro
340 345 350
Pro Ser Val Leu Ser Gln Glu Pro Arg Leu Leu Ile Ser Gly Met Asp
355 360 365
Gln Pro Leu Pro Leu Arg Thr Asp Leu Ile
370 375
<210> 20
<211> 1137
<212> ДНК
<213> Mus musculus
<400> 20
atgccatact ccaacctgca tccagccatc ccacggccca gaggtcaccg ctccaaatat 60
gtagccctca tctttctggt ggccagcctg atgatccttt gggtggcaaa ggatccacca 120
aatcacactc tgaagtacct agcacttcac ctagcctcgc acgaacttgg actactgttg 180
aaaaacctct gctgtctggc tgaagagctg tgccatgtcc agtccaggta ccagggcagc 240
tactggaagg ctgtgcgcgc ctgcctggga tgccccatcc actgtatggc tatgattcta 300
ctatcgtctt atttctattt cctccaaaac actgctgaca tatacctcag ttggatgttt 360
ggccttctgg tcctctataa gtccctaagc atgctcctgg gccttcagag cttgactcca 420
gcggaagtct ctgcagtctg tgaagaaaag aagttaaatg ttgcccacgg gctggcctgg 480
tcatactaca ttgggtactt gcggttgatc ttaccagggc tccaggcccg gatccgaatg 540
ttcaatcagc tacataacaa catgctcagt ggtgcaggga gccgaagact gtacatcctc 600
tttccattgg actgtggggt gcctgacaac ctgagtgtag ttgaccccaa cattcgattc 660
cgagatatgc tgccccagca aaacatcgac cgtgctggca tcaagaatcg ggtttattcc 720
aacagcgtct acgagattct ggagaacgga cagccagcag gcgtctgtat cctggagtac 780
gccaccccct tgcagaccct gtttgccatg tcacaggatg ccaaagctgg cttcagtcgg 840
gaggatcggc ttgagcaggc taaactcttc tgccggacac ttgaggaaat cctggaagat 900
gtccccgagt ctcgaaataa ctgccgcctc attgtctacc aagaacccac agacggaaac 960
agtttctcac tgtctcagga ggtgctccgg cacattcgtc aggaagaaaa ggaggaggtt 1020
accatgaatg cccccatgac ctcagtggca cctcctccct ccgtactgtc ccaagagcca 1080
agactcctca tcagtggtat ggatcagcct ctcccactcc gcactgacct catctga 1137
<210> 21
<211> 243
<212> БЕЛОК
<213> Homo sapiens
<400> 21
Met Gly Ser Ser His His His His His His Ser Ser Gly Ser Gly Leu
1 5 10 15
Asn Asp Ile Phe Glu Ala Gln Lys Ile Glu Trp His Glu Gly Gly Ser
20 25 30
Glu Asn Leu Tyr Phe Gln Gly Leu Ala Pro Ala Glu Ile Ser Ala Val
35 40 45
Cys Glu Lys Gly Asn Phe Asn Val Ala His Gly Leu Ala Trp Ser Tyr
50 55 60
Tyr Ile Gly Tyr Leu Arg Leu Ile Leu Pro Glu Leu Gln Ala Arg Ile
65 70 75 80
Arg Thr Tyr Asn Gln His Tyr Asn Asn Leu Leu Arg Gly Ala Val Ser
85 90 95
Gln Arg Leu Tyr Ile Leu Leu Pro Leu Asp Cys Gly Val Pro Asp Asn
100 105 110
Leu Ser Met Ala Asp Pro Asn Ile Arg Phe Leu Asp Lys Leu Pro Gln
115 120 125
Gln Thr Gly Asp Arg Ala Gly Ile Lys Asp Arg Val Tyr Ser Asn Ser
130 135 140
Ile Tyr Glu Leu Leu Glu Asn Gly Gln Arg Ala Gly Thr Cys Val Leu
145 150 155 160
Glu Tyr Ala Thr Pro Leu Gln Thr Leu Phe Ala Met Ser Gln Tyr Ser
165 170 175
Gln Ala Gly Phe Ser Arg Glu Asp Arg Leu Glu Gln Ala Lys Leu Phe
180 185 190
Cys Arg Thr Leu Glu Asp Ile Leu Ala Asp Ala Pro Glu Ser Gln Asn
195 200 205
Asn Cys Arg Leu Ile Ala Tyr Gln Glu Pro Ala Asp Asp Ser Ser Phe
210 215 220
Ser Leu Ser Gln Glu Val Leu Arg His Leu Arg Gln Glu Glu Lys Glu
225 230 235 240
Glu Val Thr
<210> 22
<211> 243
<212> БЕЛОК
<213> Homo sapiens
<400> 22
Met Gly Ser Ser His His His His His His Ser Ser Gly Ser Gly Leu
1 5 10 15
Asn Asp Ile Phe Glu Ala Gln Lys Ile Glu Trp His Glu Gly Gly Ser
20 25 30
Glu Asn Leu Tyr Phe Gln Gly Leu Ala Pro Ala Glu Ile Ser Ala Val
35 40 45
Cys Glu Lys Gly Asn Phe Asn Val Ala His Gly Leu Ala Trp Ser Tyr
50 55 60
Tyr Ile Gly Tyr Leu Arg Leu Ile Leu Pro Glu Leu Gln Ala Arg Ile
65 70 75 80
Arg Thr Tyr Asn Gln His Tyr Asn Asn Leu Leu Arg Gly Ala Val Ser
85 90 95
Gln Arg Leu Tyr Ile Leu Leu Pro Leu Asp Cys Gly Val Pro Asp Asn
100 105 110
Leu Ser Met Ala Asp Pro Asn Ile Arg Phe Leu Asp Lys Leu Pro Gln
115 120 125
Gln Thr Gly Asp His Ala Gly Ile Lys Asp Arg Val Tyr Ser Asn Ser
130 135 140
Ile Tyr Glu Leu Leu Glu Asn Gly Gln Arg Ala Gly Thr Cys Val Leu
145 150 155 160
Glu Tyr Ala Thr Pro Leu Gln Thr Leu Phe Ala Met Ser Gln Tyr Ser
165 170 175
Gln Ala Gly Phe Ser Arg Glu Asp Arg Leu Glu Gln Ala Lys Leu Phe
180 185 190
Cys Arg Thr Leu Glu Asp Ile Leu Ala Asp Ala Pro Glu Ser Gln Asn
195 200 205
Asn Cys Arg Leu Ile Ala Tyr Gln Glu Pro Ala Asp Asp Ser Ser Phe
210 215 220
Ser Leu Ser Gln Glu Val Leu Arg His Leu Arg Gln Glu Glu Lys Glu
225 230 235 240
Glu Val Thr
<210> 23
<211> 243
<212> БЕЛОК
<213> Homo sapiens
<400> 23
Met Gly Ser Ser His His His His His His Ser Ser Gly Ser Gly Leu
1 5 10 15
Asn Asp Ile Phe Glu Ala Gln Lys Ile Glu Trp His Glu Gly Gly Ser
20 25 30
Glu Asn Leu Tyr Phe Gln Gly Leu Ala Pro Ala Glu Ile Ser Ala Val
35 40 45
Cys Glu Lys Gly Asn Phe Asn Val Ala His Gly Leu Ala Trp Ser Tyr
50 55 60
Tyr Ile Gly Tyr Leu Arg Leu Ile Leu Pro Glu Leu Gln Ala Arg Ile
65 70 75 80
Arg Thr Tyr Asn Gln His Tyr Asn Asn Leu Leu Arg Gly Ala Val Ser
85 90 95
Gln Arg Leu Tyr Ile Leu Leu Pro Leu Asp Cys Gly Val Pro Asp Asn
100 105 110
Leu Ser Met Ala Asp Pro Asn Ile Arg Phe Leu Asp Lys Leu Pro Gln
115 120 125
Gln Thr Ala Asp Arg Ala Gly Ile Lys Asp Arg Val Tyr Ser Asn Ser
130 135 140
Ile Tyr Glu Leu Leu Glu Asn Gly Gln Arg Ala Gly Thr Cys Val Leu
145 150 155 160
Glu Tyr Ala Thr Pro Leu Gln Thr Leu Phe Ala Met Ser Gln Tyr Ser
165 170 175
Gln Ala Gly Phe Ser Arg Glu Asp Arg Leu Glu Gln Ala Lys Leu Phe
180 185 190
Cys Gln Thr Leu Glu Asp Ile Leu Ala Asp Ala Pro Glu Ser Gln Asn
195 200 205
Asn Cys Arg Leu Ile Ala Tyr Gln Glu Pro Ala Asp Asp Ser Ser Phe
210 215 220
Ser Leu Ser Gln Glu Val Leu Arg His Leu Arg Gln Glu Glu Lys Glu
225 230 235 240
Glu Val Thr
<210> 24
<211> 243
<212> БЕЛОК
<213> Homo sapiens
<400> 24
Met Gly Ser Ser His His His His His His Ser Ser Gly Ser Gly Leu
1 5 10 15
Asn Asp Ile Phe Glu Ala Gln Lys Ile Glu Trp His Glu Gly Gly Ser
20 25 30
Glu Asn Leu Tyr Phe Gln Gly Leu Thr Pro Ala Glu Val Ser Ala Val
35 40 45
Cys Glu Glu Lys Lys Leu Asn Val Ala His Gly Leu Ala Trp Ser Tyr
50 55 60
Tyr Ile Gly Tyr Leu Arg Leu Ile Leu Pro Gly Leu Gln Ala Arg Ile
65 70 75 80
Arg Met Phe Asn Gln Leu His Asn Asn Met Leu Ser Gly Ala Gly Ser
85 90 95
Arg Arg Leu Tyr Ile Leu Phe Pro Leu Asp Cys Gly Val Pro Asp Asn
100 105 110
Leu Ser Val Val Asp Pro Asn Ile Arg Phe Arg Asp Met Leu Pro Gln
115 120 125
Gln Asn Ile Asp Arg Ala Gly Ile Lys Asn Arg Val Tyr Ser Asn Ser
130 135 140
Val Tyr Glu Ile Leu Glu Asn Gly Gln Pro Ala Gly Val Cys Ile Leu
145 150 155 160
Glu Tyr Ala Thr Pro Leu Gln Thr Leu Phe Ala Met Ser Gln Asp Ala
165 170 175
Lys Ala Gly Phe Ser Arg Glu Asp Arg Leu Glu Gln Ala Lys Leu Phe
180 185 190
Cys Arg Thr Leu Glu Glu Ile Leu Glu Asp Val Pro Glu Ser Arg Asn
195 200 205
Asn Cys Arg Leu Ile Val Tyr Gln Glu Pro Thr Asp Gly Asn Ser Phe
210 215 220
Ser Leu Ser Gln Glu Val Leu Arg His Ile Arg Gln Glu Glu Lys Glu
225 230 235 240
Glu Val Thr
<210> 25
<211> 27
<212> ДНК
<213> Искусственная последовательность
<220>
<223> праймер
<400> 25
cgtgctggca tcaaggatcg ggtttac 27
<210> 26
<211> 27
<212> ДНК
<213> Искусственная последовательность
<220>
<223> праймер
<400> 26
gtcaccggtc tgctggggca gtttatc 27
<210> 27
<211> 33
<212> ДНК
<213> Искусственная последовательность
<220>
<223> праймер
<400> 27
gctgaccgtg ctggcatcaa ggatcgggtt tac 33
<210> 28
<211> 25
<212> ДНК
<213> Искусственная последовательность
<220>
<223> праймер
<400> 28
ggtctgctgg ggcagtttat ccagg 25
<210> 29
<211> 24
<212> ДНК
<213> Искусственная последовательность
<220>
<223> праймер
<400> 29
caccacatcc actccaggta ccgg 24
<210> 30
<211> 24
<212> ДНК
<213> Искусственная последовательность
<220>
<223> праймер
<400> 30
cagctcctca gccaggctgc agac 24
<210> 31
<211> 25
<212> ДНК
<213> Искусственная последовательность
<220>
<223> праймер
<400> 31
cagacacttg aggacatcct ggcag 25
<210> 32
<211> 23
<212> ДНК
<213> Искусственная последовательность
<220>
<223> праймер
<400> 32
gcagaagagt ttggcctgct caa 23
<210> 33
<211> 39
<212> ДНК
<213> Искусственная последовательность
<220>
<223> праймер
<400> 33
acctgtattt tcagggcctg gccccagctg agatctctg 39
<210> 34
<211> 44
<212> ДНК
<213> Искусственная последовательность
<220>
<223> праймер
<400> 34
cagaattcgc aagcttttaa gtaacctctt ccttttcctc ctgc 44
<210> 35
<211> 15
<212> БЕЛОК
<213> Homo sapiens
<400> 35
Arg Ala Ser Lys Ser Val Ser Thr Ser Gly Tyr Ser Phe Met His
1 5 10 15
<210> 36
<211> 7
<212> БЕЛОК
<213> Homo sapiens
<400> 36
Leu Ala Ser Asn Leu Glu Ser
1 5
<210> 37
<211> 9
<212> БЕЛОК
<213> Homo sapiens
<400> 37
Gln His Ser Arg Glu Val Pro Trp Thr
1 5
<210> 38
<211> 10
<212> БЕЛОК
<213> Homo sapiens
<400> 38
Gly Tyr Thr Phe Thr Asn Tyr Gly Met Asn
1 5 10
<210> 39
<211> 17
<212> БЕЛОК
<213> Homo sapiens
<400> 39
Trp Ile Asn Thr Tyr Thr Gly Glu Pro Thr Tyr Ala Asp Ala Phe Lys
1 5 10 15
Gly
<210> 40
<211> 9
<212> БЕЛОК
<213> Homo sapiens
<400> 40
Asp Tyr Gly Asp Tyr Gly Met Asp Tyr
1 5
<210> 41
<211> 11
<212> БЕЛОК
<213> Homo sapiens
<400> 41
Arg Ala Ser Gln Ser Val Ser Ser Tyr Leu Ala
1 5 10
<210> 42
<211> 7
<212> БЕЛОК
<213> Homo sapiens
<400> 42
Asp Ala Ser Asn Arg Ala Thr
1 5
<210> 43
<211> 9
<212> БЕЛОК
<213> Homo sapiens
<400> 43
Gln Gln Arg Thr Asn Trp Pro Leu Thr
1 5
<210> 44
<211> 5
<212> БЕЛОК
<213> Homo sapiens
<400> 44
Ser Tyr Ile Met His
1 5
<210> 45
<211> 17
<212> БЕЛОК
<213> Homo sapiens
<400> 45
Val Ile Ser Tyr Asp Gly Arg Asn Lys Tyr Tyr Ala Asp Ser Val Lys
1 5 10 15
Gly
<210> 46
<211> 9
<212> БЕЛОК
<213> Homo sapiens
<400> 46
Asp Thr Asp Gly Tyr Asp Phe Asp Tyr
1 5
<210> 47
<211> 11
<212> БЕЛОК
<213> Homo sapiens
<400> 47
Lys Ala Ser Gln Asp Val Ser Thr Ala Val Ala
1 5 10
<210> 48
<211> 7
<212> БЕЛОК
<213> Homo sapiens
<400> 48
Ser Ala Ser Tyr Arg Tyr Thr
1 5
<210> 49
<211> 9
<212> БЕЛОК
<213> Homo sapiens
<400> 49
Gln Gln His Tyr Ile Thr Pro Leu Thr
1 5
<210> 50
<211> 5
<212> БЕЛОК
<213> Homo sapiens
<400> 50
Thr Ala Gly Met Gln
1 5
<210> 51
<211> 17
<212> БЕЛОК
<213> Homo sapiens
<400> 51
Trp Ile Asn Thr His Ser Gly Val Pro Lys Tyr Ala Glu Asp Phe Lys
1 5 10 15
Gly
<210> 52
<211> 12
<212> БЕЛОК
<213> Homo sapiens
<400> 52
Ser Gly Phe Gly Ser Ser Tyr Trp Tyr Phe Asp Val
1 5 10
<210> 53
<211> 11
<212> БЕЛОК
<213> Homo sapiens
<400> 53
Lys Ala Ser Gln Asp Val Ser Thr Ala Val Ala
1 5 10
<210> 54
<211> 7
<212> БЕЛОК
<213> Homo sapiens
<400> 54
Ser Ala Ser Tyr Arg Tyr Thr
1 5
<210> 55
<211> 9
<212> БЕЛОК
<213> Homo sapiens
<400> 55
Gln Gln His Tyr Ile Thr Pro Leu Thr
1 5
<210> 56
<211> 5
<212> БЕЛОК
<213> Homo sapiens
<400> 56
Thr Ala Gly Met Gln
1 5
<210> 57
<211> 17
<212> БЕЛОК
<213> Homo sapiens
<400> 57
Trp Ile Asn Thr His Ser Gly Val Pro Lys Tyr Ala Glu Asp Phe Lys
1 5 10 15
Gly
<210> 58
<211> 12
<212> БЕЛОК
<213> Homo sapiens
<400> 58
Ser Gly Phe Gly Ser Ser Tyr Trp Tyr Phe Asp Val
1 5 10
<210> 59
<211> 11
<212> БЕЛОК
<213> Homo sapiens
<400> 59
Gln Ala Ser Gln Asp Ile Ser Asn Tyr Leu Asn
1 5 10
<210> 60
<211> 7
<212> БЕЛОК
<213> Homo sapiens
<400> 60
Asp Ala Ser Asn Leu Glu Thr
1 5
<210> 61
<211> 9
<212> БЕЛОК
<213> Homo sapiens
<400> 61
Gln His Phe Asp His Leu Pro Leu Ala
1 5
<210> 62
<211> 7
<212> БЕЛОК
<213> Homo sapiens
<400> 62
Ser Gly Asp Tyr Tyr Trp Thr
1 5
<210> 63
<211> 17
<212> БЕЛОК
<213> Homo sapiens
<400> 63
Gly His Ile Tyr Tyr Ser Gly Asn Thr Asn Tyr Asn Pro Ser Leu Lys
1 5 10 15
Ser
<210> 64
<211> 9
<212> БЕЛОК
<213> Homo sapiens
<400> 64
Asp Arg Val Thr Gly Ala Phe Asp Ile
1 5
<210> 65
<211> 11
<212> БЕЛОК
<213> Homo sapiens
<400> 65
His Ser Ser Gln Asp Ile Asn Ser Asn Ile Gly
1 5 10
<210> 66
<211> 7
<212> БЕЛОК
<213> Homo sapiens
<400> 66
His Gly Thr Asn Leu Asp Asp
1 5
<210> 67
<211> 9
<212> БЕЛОК
<213> Homo sapiens
<400> 67
Val Gln Tyr Ala Gln Phe Pro Trp Thr
1 5
<210> 68
<211> 11
<212> БЕЛОК
<213> Homo sapiens
<400> 68
Gly Tyr Ser Ile Thr Ser Asp Phe Ala Trp Asn
1 5 10
<210> 69
<211> 16
<212> БЕЛОК
<213> Homo sapiens
<400> 69
Gly Tyr Ile Ser Tyr Ser Gly Asn Thr Arg Tyr Asn Pro Ser Leu Lys
1 5 10 15
<210> 70
<211> 9
<212> БЕЛОК
<213> Homo sapiens
<400> 70
Val Thr Ala Gly Arg Gly Phe Pro Tyr
1 5
<---
| название | год | авторы | номер документа |
|---|---|---|---|
| КОНЪЮГАТ АНТИТЕЛА ПРОТИВ CEA И АНАЛОГА ЭКСАТЕКАНА И ЕГО ФАРМАЦЕВТИЧЕСКОЕ ПРИМЕНЕНИЕ | 2020 |
|
RU2833323C1 |
| КОНЪЮГАТ АНТИТЕЛА К B7-H4 И ЛЕКАРСТВЕННОГО СРЕДСТВА И ЕГО МЕДИЦИНСКОЕ ПРИМЕНЕНИЕ | 2020 |
|
RU2827531C2 |
| ЛИНКЕРЫ НА ОСНОВЕ СУЛЬФОМАЛЕИМИДА И СООТВЕТСТВУЮЩИЕ КОНЪЮГАТЫ | 2019 |
|
RU2815199C2 |
| КОНЪЮГАТЫ АНТИТЕЛА И ЛЕКАРСТВЕННОГО СРЕДСТВА ДЛЯ РАЗРУШЕНИЯ ГЕМОПОЭТИЧЕСКИХ СТВОЛОВЫХ КЛЕТОК | 2017 |
|
RU2781444C2 |
| КОНЬЮГАТ АНТИТЕЛА К КЛАУДИНУ И ЛЕКАРСТВЕННОГО СРЕДСТВА И ЕГО ФАРМАЦЕВТИЧЕСКОЕ ПРИМЕНЕНИЕ | 2020 |
|
RU2826119C1 |
| Антитело к BCMA, его антигенсвязывающий фрагмент и их медицинское применение | 2020 |
|
RU2819660C2 |
| КОНЪЮГАТ АНТИТЕЛО-ЛЕКАРСТВЕННОЕ СРЕДСТВО, ПРОМЕЖУТОЧНОЕ СОЕДИНЕНИЕ ДЛЯ ЕГО ПОЛУЧЕНИЯ, СПОСОБ ЕГО ПОЛУЧЕНИЯ И ЕГО ПРИМЕНЕНИЕ | 2020 |
|
RU2800137C1 |
| КОНЪЮГАТ АНТИ-HER3 АНТИТЕЛО-ЛЕКАРСТВЕННОЕ СРЕДСТВО | 2015 |
|
RU2802211C2 |
| АНТИТЕЛА К РМEL17 И КОНЪЮГАТЫ НА ИХ ОСНОВЕ | 2019 |
|
RU2831785C2 |
| ФАРМАЦЕВТИЧЕСКАЯ КОМПОЗИЦИЯ ДЛЯ ЛЕЧЕНИЯ И/ИЛИ ПРЕДУПРЕЖДЕНИЯ ЗЛОКАЧЕСТВЕННОЙ ОПУХОЛИ | 2017 |
|
RU2766586C2 |
Изобретение относится к конъюгату антитело-лекарственное средство, в котором производное циклического динуклеотида (ЦДН), обладающее активностью агониста STING, конъюгировано с антителом против клетки-мишени посредством линкера, к фармацевтической композиции, содержащей указанный конъюгат антитело-лекарственное средство, и к способу лечения рака, связанного с активностью агониста STING. Новый конъюгат антитела с производным ЦДН проявляет противоопухолевое действие в отношении опухоли, экспрессирующей антиген. 8 н. и 22 з.п. ф-лы, 24 ил., 2 табл., 28 пр.
1. Конъюгат антитело-лекарственное средство, представленный следующей формулой:
[Формула 28]
где Ab представляет собой любое антитело, выбранное из группы, состоящей из:
антитела, содержащего легкую цепь, состоящую из аминокислотной последовательности согласно SEQ ID NO: 1, и тяжелую цепь, состоящую из аминокислотной последовательности согласно SEQ ID NO: 2,
антитела, содержащего легкую цепь, состоящую из аминокислотной последовательности согласно SEQ ID NO: 3, и тяжелую цепь, состоящую из аминокислотной последовательности согласно SEQ ID NO: 4,
антитела, содержащего легкую цепь, состоящую из аминокислотной последовательности согласно SEQ ID NO: 5, и тяжелую цепь, состоящую из аминокислотной последовательности согласно SEQ ID NO: 6,
антитела, содержащего легкую цепь, состоящую из аминокислотной последовательности согласно SEQ ID NO: 7, и тяжелую цепь, состоящую из аминокислотной последовательности согласно SEQ ID NO: 8,
антитела, содержащего легкую цепь, состоящую из аминокислотной последовательности согласно SEQ ID NO: 9, и тяжелую цепь, состоящую из аминокислотной последовательности согласно SEQ ID NO: 10, и
антитела, содержащего легкую цепь, состоящую из аминокислотной последовательности согласно SEQ ID NO: 11, и тяжелую цепь, состоящую из аминокислотной последовательности согласно SEQ ID NO: 12,
где N297-гликан представлен следующей формулой:
[Формула 29]
где волнистой линией обозначено образование связи с Asn297 антитела,
L(PEG) представляет собой -(CH2-CH2-O)n5-CH2-CH2-NH-,
где аминогруппа на правом конце L(PEG) связана посредством амидной связи с карбоксильной группой в положении 2 сиаловой кислоты на невосстанавливающем конце каждой из 1-3- и 1-6-разветвленных цепей β-Man в N297-гликане,
звездочкой обозначено образование связи с атомом азота в положении 1 или 3 1,2,3-триазольного кольца,
n5 составляет 3 и
m2 составляет 2.
2. Конъюгат антитело-лекарственное средство, представленный следующей формулой:
[Формула 30]
где Ab представляет собой любое антитело, выбранное из группы, состоящей из:
антитела, содержащего легкую цепь, содержащую вариабельную область легкой цепи, состоящую из аминокислотных остатков 1-112 SEQ ID NO: 1, и тяжелую цепь, содержащую вариабельную область тяжелой цепи, состоящую из аминокислотных остатков 1-118 SEQ ID NO: 2,
антитела, содержащего легкую цепь, содержащую вариабельную область легкой цепи, состоящую из аминокислотных остатков 1-108 SEQ ID NO: 3, и тяжелую цепь, содержащую вариабельную область тяжелой цепи, состоящую из аминокислотных остатков 1-118 SEQ ID NO: 4,
антитела, содержащего легкую цепь, содержащую вариабельную область легкой цепи, состоящую из аминокислотных остатков 1-108 SEQ ID NO: 5, и тяжелую цепь, содержащую вариабельную область тяжелой цепи, состоящую из аминокислотных остатков 1-121 SEQ ID NO: 6,
антитела, содержащего легкую цепь, содержащую вариабельную область легкой цепи, состоящую из аминокислотных остатков 1-108 SEQ ID NO: 7, и тяжелую цепь, содержащую вариабельную область тяжелой цепи, состоящую из аминокислотных остатков 1-121 SEQ ID NO: 8,
антитела, содержащего легкую цепь, содержащую вариабельную область легкой цепи, состоящую из аминокислотных остатков 1-108 SEQ ID NO: 9, и тяжелую цепь, содержащую вариабельную область тяжелой цепи, состоящую из аминокислотных остатков 1-119 SEQ ID NO: 10, и
антитела, содержащего легкую цепь, содержащую вариабельную область легкой цепи, состоящую из аминокислотных остатков 1-108 SEQ ID NO: 11, и тяжелую цепь, содержащую вариабельную область тяжелой цепи, состоящую из аминокислотных остатков 1-116 SEQ ID NO: 12,
причем N297-гликан представлен следующей формулой:
[Формула 31]
где волнистой линией обозначено образование связи с Asn297 антитела,
L(PEG) представляет собой -(CH2-CH2-O)n5-CH2-CH2-NH-,
где аминогруппа на правом конце L(PEG) связана посредством амидной связи с карбоксильной группой в положении 2 сиаловой кислоты на невосстанавливающем конце каждой из 1-3- и 1-6-разветвленных цепей β-Man в N297-гликане,
звездочкой обозначено образование связи с атомом азота в положении 1 или 3 1,2,3-триазольного кольца,
n5 составляет 3 и
m2 составляет 2.
3. Конъюгат антитело-лекарственное средство по п. 2, отличающийся тем, что указанное антитело представляет собой антитело, содержащее легкую цепь, содержащую вариабельную область легкой цепи, состоящую из аминокислотных остатков 1-112 SEQ ID NO: 1, и тяжелую цепь, содержащую вариабельную область тяжелой цепи, состоящую из аминокислотных остатков 1-118 SEQ ID NO: 2.
4. Конъюгат антитело-лекарственное средство по п. 2, отличающийся тем, что указанное антитело представляет собой антитело, содержащее легкую цепь, содержащую вариабельную область легкой цепи, состоящую из аминокислотных остатков 1-108 SEQ ID NO: 3, и тяжелую цепь, содержащую вариабельную область тяжелой цепи, состоящую из аминокислотных остатков 1-118 SEQ ID NO: 4.
5. Конъюгат антитело-лекарственное средство по п. 2, отличающийся тем, что указанное антитело представляет собой антитело, содержащее легкую цепь, содержащую вариабельную область легкой цепи, состоящую из аминокислотных остатков 1-108 SEQ ID NO: 5, и тяжелую цепь, содержащую вариабельную область тяжелой цепи, состоящую из аминокислотных остатков 1-121 SEQ ID NO: 6.
6. Конъюгат антитело-лекарственное средство по п. 2, отличающийся тем, что указанное антитело представляет собой антитело, содержащее легкую цепь, содержащую вариабельную область легкой цепи, состоящую из аминокислотных остатков 1-108 SEQ ID NO: 7, и тяжелую цепь, содержащую вариабельную область тяжелой цепи, состоящую из аминокислотных остатков 1-121 SEQ ID NO: 8.
7. Конъюгат антитело-лекарственное средство по п. 2, отличающийся тем, что указанное антитело представляет собой антитело, содержащее легкую цепь, содержащую вариабельную область легкой цепи, состоящую из аминокислотных остатков 1-108 SEQ ID NO: 9, и тяжелую цепь, содержащую вариабельную область тяжелой цепи, состоящую из аминокислотных остатков 1-119 SEQ ID NO: 10.
8. Конъюгат антитело-лекарственное средство по п. 2, отличающийся тем, что указанное антитело представляет собой антитело, содержащее легкую цепь, содержащую вариабельную область легкой цепи, состоящую из аминокислотных остатков 1-108 SEQ ID NO: 11, и тяжелую цепь, содержащую вариабельную область тяжелой цепи, состоящую из аминокислотных остатков 1-116 SEQ ID NO: 12.
9. Конъюгат антитело-лекарственное средство, представленный следующей формулой:
[Формула 32]
где Ab представляет собой любое антитело, выбранное из группы, состоящей из:
антитела, содержащего легкую цепь, содержащую CDRL1, состоящий из аминокислотной последовательности согласно SEQ ID NO: 35, CDRL2, состоящий из аминокислотной последовательности согласно SEQ ID NO: 36, и CDRL3, состоящий из аминокислотной последовательности согласно SEQ ID NO: 37, и тяжелую цепь, содержащую CDRH1, состоящий из аминокислотной последовательности согласно SEQ ID NO: 38, CDRH2, состоящий из аминокислотной последовательности согласно SEQ ID NO: 39, и CDRH3, состоящий из аминокислотной последовательности согласно SEQ ID NO: 40,
антитела, содержащего легкую цепь, содержащую CDRL1, состоящий из аминокислотной последовательности согласно SEQ ID NO: 41, CDRL2, состоящий из аминокислотной последовательности согласно SEQ ID NO: 42, и CDRL3, состоящий из аминокислотной последовательности согласно SEQ ID NO: 43, и тяжелую цепь, содержащую CDRH1, состоящий из аминокислотной последовательности согласно SEQ ID NO: 44, CDRH2, состоящий из аминокислотной последовательности согласно SEQ ID NO: 45, и CDRH3, состоящий из аминокислотной последовательности согласно SEQ ID NO: 46,
антитела, содержащего легкую цепь, содержащую CDRL1, состоящий из аминокислотной последовательности согласно SEQ ID NO: 47, CDRL2, состоящий из аминокислотной последовательности согласно SEQ ID NO: 48, и CDRL3, состоящий из аминокислотной последовательности согласно SEQ ID NO: 49, и тяжелую цепь, содержащую CDRH1, состоящий из аминокислотной последовательности согласно SEQ ID NO: 50, CDRH2, состоящий из аминокислотной последовательности согласно SEQ ID NO: 51, и CDRH3, состоящий из аминокислотной последовательности согласно SEQ ID NO: 52,
антитела, содержащего легкую цепь, содержащую CDRL1, состоящий из аминокислотной последовательности согласно SEQ ID NO: 53, CDRL2, состоящий из аминокислотной последовательности согласно SEQ ID NO: 54, и CDRL3, состоящий из аминокислотной последовательности согласно SEQ ID NO: 55, и тяжелую цепь, содержащую CDRH1, состоящий из аминокислотной последовательности согласно SEQ ID NO: 56, CDRH2, состоящий из аминокислотной последовательности согласно SEQ ID NO: 57, и CDRH3, состоящий из аминокислотной последовательности согласно SEQ ID NO: 58,
антитела, содержащего легкую цепь, содержащую CDRL1, состоящий из аминокислотной последовательности согласно SEQ ID NO: 59, CDRL2, состоящий из аминокислотной последовательности согласно SEQ ID NO: 60, и CDRL3, состоящий из аминокислотной последовательности согласно SEQ ID NO: 61, и тяжелую цепь, содержащую CDRH1, состоящий из аминокислотной последовательности согласно SEQ ID NO: 62, CDRH2, состоящий из аминокислотной последовательности согласно SEQ ID NO: 63, и CDRH3, состоящий из аминокислотной последовательности согласно SEQ ID NO: 64, и
антитела, содержащего легкую цепь, содержащую CDRL1, состоящий из аминокислотной последовательности согласно SEQ ID NO: 65, CDRL2, состоящий из аминокислотной последовательности согласно SEQ ID NO: 66, и CDRL3, состоящий из аминокислотной последовательности согласно SEQ ID NO: 67, и тяжелую цепь, содержащую CDRH1, состоящий из аминокислотной последовательности согласно SEQ ID NO: 68, CDRH2, состоящий из аминокислотной последовательности согласно SEQ ID NO: 69, и CDRH3, состоящий из аминокислотной последовательности согласно SEQ ID NO: 70,
где N297-гликан представлен следующей формулой:
[Формула 33]
где волнистой линией обозначено образование связи с Asn297 антитела,
L(PEG) представляет собой -(CH2-CH2-O)n5-CH2-CH2-NH-,
где аминогруппа на правом конце L(PEG) связана посредством амидной связи с карбоксильной группой в положении 2 сиаловой кислоты на невосстанавливающем конце каждой из 1-3- и 1-6-разветвленных цепей β-Man в N297-гликане,
звездочкой обозначено образование связи с атомом азота в положении 1 или 3 1,2,3-триазольного кольца,
n5 составляет 3 и
m2 составляет 2.
10. Конъюгат антитело-лекарственное средство, представленный следующей формулой:
[Формула 34]
где Ab представляет собой любое антитело, выбранное из группы, состоящей из:
антитела, содержащего легкую цепь, состоящую из аминокислотной последовательности согласно SEQ ID NO: 1, и тяжелую цепь, состоящую из аминокислотной последовательности согласно SEQ ID NO: 2,
антитела, содержащего легкую цепь, состоящую из аминокислотной последовательности согласно SEQ ID NO: 3, и тяжелую цепь, состоящую из аминокислотной последовательности согласно SEQ ID NO: 4,
антитела, содержащего легкую цепь, состоящую из аминокислотной последовательности согласно SEQ ID NO: 5, и тяжелую цепь, состоящую из аминокислотной последовательности согласно SEQ ID NO: 6,
антитела, содержащего легкую цепь, состоящую из аминокислотной последовательности согласно SEQ ID NO: 7, и тяжелую цепь, состоящую из аминокислотной последовательности согласно SEQ ID NO: 8,
антитела, содержащего легкую цепь, состоящую из аминокислотной последовательности согласно SEQ ID NO: 9, и тяжелую цепь, состоящую из аминокислотной последовательности согласно SEQ ID NO: 10, и
антитела, содержащего легкую цепь, состоящую из аминокислотной последовательности согласно SEQ ID NO: 11, и тяжелую цепь, состоящую из аминокислотной последовательности согласно SEQ ID NO: 12,
где N297-гликан представлен следующей формулой:
[Формула 35]
где волнистой линией обозначено образование связи с Asn297 антитела,
L(PEG) представляет собой -(CH2-CH2-O)n5-CH2-CH2-NH-,
где аминогруппа на правом конце L(PEG) связана посредством амидной связи с карбоксильной группой в положении 2 сиаловой кислоты на невосстанавливающем конце 1-3-разветвленной цепи β-Man в N297-гликане,
звездочкой обозначено образование связи с атомом азота в положении 1 или 3 1,2,3-триазольного кольца,
n5 составляет 3 и
m2 составляет 1.
11. Конъюгат антитело-лекарственное средство, представленный следующей формулой:
[Формула 36]
где Ab представляет собой любое антитело, выбранное из группы, состоящей из:
антитела, содержащего легкую цепь, содержащую вариабельную область легкой цепи, состоящую из аминокислотных остатков 1-112 SEQ ID NO: 1, и тяжелую цепь, содержащую вариабельную область тяжелой цепи, состоящую из аминокислотных остатков 1-118 SEQ ID NO: 2,
антитела, содержащего легкую цепь, содержащую вариабельную область легкой цепи, состоящую из аминокислотных остатков 1-108 SEQ ID NO: 3, и тяжелую цепь, содержащую вариабельную область тяжелой цепи, состоящую из аминокислотных остатков 1-118 SEQ ID NO: 4,
антитела, содержащего легкую цепь, содержащую вариабельную область легкой цепи, состоящую из аминокислотных остатков 1-108 SEQ ID NO: 5, и тяжелую цепь, содержащую вариабельную область тяжелой цепи, состоящую из аминокислотных остатков 1-121 SEQ ID NO: 6,
антитела, содержащего легкую цепь, содержащую вариабельную область легкой цепи, состоящую из аминокислотных остатков 1-108 SEQ ID NO: 7, и тяжелую цепь, содержащую вариабельную область тяжелой цепи, состоящую из аминокислотных остатков 1-121 SEQ ID NO: 8,
антитела, содержащего легкую цепь, содержащую вариабельную область легкой цепи, состоящую из аминокислотных остатков 1-108 SEQ ID NO: 9, и тяжелую цепь, содержащую вариабельную область тяжелой цепи, состоящую из аминокислотных остатков 1-119 SEQ ID NO: 10, и
антитела, содержащего легкую цепь, содержащую вариабельную область легкой цепи, состоящую из аминокислотных остатков 1-108 SEQ ID NO: 11, и тяжелую цепь, содержащую вариабельную область тяжелой цепи, состоящую из аминокислотных остатков 1-116 SEQ ID NO: 12, при этом
N297 гликан представлен следующей формулой:
[Формула 37]
где волнистой линией обозначено образование связи с Asn297 антитела,
L(PEG) представляет собой -(CH2-CH2-O)n5-CH2-CH2-NH-,
где аминогруппа на правом конце L(PEG) связана посредством амидной связи с карбоксильной группой в положении 2 сиаловой кислоты на невосстанавливающем конце 1-3-разветвленной цепи β-Man в N297-гликане,
звездочкой обозначено образование связи с атомом азота в положении 1 или 3 1,2,3-триазольного кольца,
n5 составляет 3 и
m2 составляет 1.
12. Конъюгат антитело-лекарственное средство по п. 11, отличающийся тем, что указанное антитело представляет собой антитело, содержащее легкую цепь, содержащую вариабельную область легкой цепи, состоящую из аминокислотных остатков 1-112 SEQ ID NO: 1, и тяжелую цепь, содержащую вариабельную область тяжелой цепи, состоящую из аминокислотных остатков 1-118 SEQ ID NO: 2.
13. Конъюгат антитело-лекарственное средство по п. 11, отличающийся тем, что указанное антитело представляет собой антитело, содержащее легкую цепь, содержащую вариабельную область легкой цепи, состоящую из аминокислотных остатков 1-108 SEQ ID NO: 3, и тяжелую цепь, содержащую вариабельную область тяжелой цепи, состоящую из аминокислотных остатков 1-118 SEQ ID NO: 4.
14. Конъюгат антитело-лекарственное средство по п. 11, отличающийся тем, что указанное антитело представляет собой антитело, содержащее легкую цепь, содержащую вариабельную область легкой цепи, состоящую из аминокислотных остатков 1-108 SEQ ID NO: 5, и тяжелую цепь, содержащую вариабельную область тяжелой цепи, состоящую из аминокислотных остатков 1-121 SEQ ID NO: 6.
15. Конъюгат антитело-лекарственное средство по п. 11, отличающийся тем, что указанное антитело представляет собой антитело, содержащее легкую цепь, содержащую вариабельную область легкой цепи, состоящую из аминокислотных остатков 1-108 SEQ ID NO: 7, и тяжелую цепь, содержащую вариабельную область тяжелой цепи, состоящую из аминокислотных остатков 1-121 SEQ ID NO: 8.
16. Конъюгат антитело-лекарственное средство по п. 11, отличающийся тем, что указанное антитело представляет собой антитело, содержащее легкую цепь, содержащую вариабельную область легкой цепи, состоящую из аминокислотных остатков 1-108 SEQ ID NO: 9, и тяжелую цепь, содержащую вариабельную область тяжелой цепи, состоящую из аминокислотных остатков 1-119 SEQ ID NO: 10.
17. Конъюгат антитело-лекарственное средство по п. 11, отличающийся тем, что указанное антитело представляет собой антитело, содержащее легкую цепь, содержащую вариабельную область легкой цепи, состоящую из аминокислотных остатков 1-108 SEQ ID NO: 11, и тяжелую цепь, содержащую вариабельную область тяжелой цепи, состоящую из аминокислотных остатков 1-116 SEQ ID NO: 12.
18. Конъюгат антитело-лекарственное средство, представленный следующей формулой:
[Формула 38]
где Ab представляет собой любое антитело, выбранное из группы, состоящей из:
антитела, содержащего легкую цепь, содержащую CDRL1, состоящий из аминокислотной последовательности согласно SEQ ID NO: 35, CDRL2, состоящий из аминокислотной последовательности согласно SEQ ID NO: 36, и CDRL3, состоящий из аминокислотной последовательности согласно SEQ ID NO: 37, и тяжелую цепь, содержащую CDRH1, состоящий из аминокислотной последовательности согласно SEQ ID NO: 38, CDRH2, состоящий из аминокислотной последовательности согласно SEQ ID NO: 39, и CDRH3, состоящий из аминокислотной последовательности согласно SEQ ID NO: 40,
антитела, содержащего легкую цепь, содержащую CDRL1, состоящий из аминокислотной последовательности согласно SEQ ID NO: 41, CDRL2, состоящий из аминокислотной последовательности согласно SEQ ID NO: 42, и CDRL3, состоящий из аминокислотной последовательности согласно SEQ ID NO: 43, и тяжелую цепь, содержащую CDRH1, состоящий из аминокислотной последовательности согласно SEQ ID NO: 44, CDRH2, состоящий из аминокислотной последовательности согласно SEQ ID NO: 45, и CDRH3, состоящий из аминокислотной последовательности согласно SEQ ID NO: 46,
антитела, содержащего легкую цепь, содержащую CDRL1, состоящий из аминокислотной последовательности согласно SEQ ID NO: 47, CDRL2, состоящий из аминокислотной последовательности согласно SEQ ID NO: 48, и CDRL3, состоящий из аминокислотной последовательности согласно SEQ ID NO: 49, и тяжелую цепь, содержащую CDRH1, состоящий из аминокислотной последовательности согласно SEQ ID NO: 50, CDRH2, состоящий из аминокислотной последовательности согласно SEQ ID NO: 51, и CDRH3, состоящий из аминокислотной последовательности согласно SEQ ID NO: 52,
антитела, содержащего легкую цепь, содержащую CDRL1, состоящий из аминокислотной последовательности согласно SEQ ID NO: 53, CDRL2, состоящий из аминокислотной последовательности согласно SEQ ID NO: 54, и CDRL3, состоящий из аминокислотной последовательности согласно SEQ ID NO: 55, и тяжелую цепь, содержащую CDRH1, состоящий из аминокислотной последовательности согласно SEQ ID NO: 56, CDRH2, состоящий из аминокислотной последовательности согласно SEQ ID NO: 57, и CDRH3, состоящий из аминокислотной последовательности согласно SEQ ID NO: 58,
антитела, содержащего легкую цепь, содержащую CDRL1, состоящий из аминокислотной последовательности согласно SEQ ID NO: 59, CDRL2, состоящий из аминокислотной последовательности согласно SEQ ID NO: 60, и CDRL3, состоящий из аминокислотной последовательности согласно SEQ ID NO: 61, и тяжелую цепь, содержащую CDRH1, состоящий из аминокислотной последовательности согласно SEQ ID NO: 62, CDRH2, состоящий из аминокислотной последовательности согласно SEQ ID NO: 63, и CDRH3, состоящий из аминокислотной последовательности согласно SEQ ID NO: 64, и
антитела, содержащего легкую цепь, содержащую CDRL1, состоящий из аминокислотной последовательности согласно SEQ ID NO: 65, CDRL2, состоящий из аминокислотной последовательности согласно SEQ ID NO: 66, и CDRL3, состоящий из аминокислотной последовательности согласно SEQ ID NO: 67, и тяжелую цепь, содержащую CDRH1, состоящий из аминокислотной последовательности согласно SEQ ID NO: 68, CDRH2, состоящий из аминокислотной последовательности согласно SEQ ID NO: 69, и CDRH3, состоящий из аминокислотной последовательности согласно SEQ ID NO: 70,
где N297-гликан представлен следующей формулой:
[Формула 39]
где волнистой линией обозначено образование связи с Asn297 антитела,
L(PEG) представляет собой -(CH2-CH2-O)n5-CH2-CH2-NH-,
где аминогруппа на правом конце L(PEG) связана посредством амидной связи с карбоксильной группой в положении 2 сиаловой кислоты на невосстанавливающем конце 1-3-разветвленной цепи β-Man в N297-гликане,
звездочкой обозначено образование связи с атомом азота в положении 1 или 3 1,2,3-триазольного кольца,
n5 составляет 3 и
m2 составляет 1.
19. Конъюгат антитело-лекарственное средство по любому из пп. 1-18, отличающийся тем, что одна или две аминокислоты удалены с карбоксильного конца тяжелой цепи.
20. Конъюгат антитело-лекарственное средство по любому из пп. 1-19, отличающийся тем, что указанное антитело или антигенсвязывающий фрагмент указанного антитела представляет собой белок, полученный в подходящих клетках-хозяевах с применением гена антитела, модифицированного с помощью генной инженерии.
21. Конъюгат антитело-лекарственное средство по любому из пп. 1-20, отличающийся тем, что указанный конъюгат антитело-лекарственное средство обладает активностью агониста STING.
22. Фармацевтическая композиция для лечения заболеваний, связанных с активностью агониста STING, содержащая эффективное количество конъюгата антитело-лекарственное средство по любому из пп. 1-21 и одно или более фармацевтически приемлемых вспомогательных веществ.
23. Конъюгат антитело-лекарственное средство по любому из пп. 1-20, отличающийся тем, что указанный конъюгат антитело-лекарственное средство обладает противоопухолевой активностью.
24. Конъюгат антитело-лекарственное средство по п. 23, отличающийся тем, что указанная опухоль представляет собой рак легкого, рак почки, уротелиальный рак, колоректальный рак, рак предстательной железы, мультиформную глиобластому, рак яичника, рак поджелудочной железы, рак молочной железы, меланому, рак печени, рак мочевого пузыря, рак желудка, рак пищевода, рак эндометрия, рак яичка, рак шейки матки, плацентарную хориокарциному, опухоль головного мозга, рак головы и шеи, рак щитовидной железы, мезотелиому, стромальную опухоль желудочно-кишечного тракта (гастроинтестинальная стромальная опухоль, ГИСО), рак желчного пузыря, рак желчного протока, рак надпочечника, плоскоклеточную карциному, фарингеальный рак, рак языка, рак органов слуха, рак тимуса, рак тонкого кишечника, лейкоз, злокачественную лимфому, плазмоцитому, миелому или саркому.
25. Конъюгат антитело-лекарственное средство по п. 23 или 24, отличающийся тем, что указанная опухоль представляет собой рак легкого, рак почки, уротелиальный рак, колоректальный рак, рак предстательной железы, мультиформную глиобластому, рак яичника, рак поджелудочной железы, рак молочной железы, меланому, рак печени, рак мочевого пузыря, рак желудка, рак пищевода, рак эндометрия, рак яичка, рак шейки матки, опухоль головного мозга, рак головы и шеи, рак щитовидной железы, мезотелиому, стромальную опухоль желудочно-кишечного тракта (ГИСО), рак желчного пузыря, рак желчного протока, плоскоклеточную карциному, фарингеальный рак, рак языка, рак тимуса, рак тонкого кишечника.
26. Способ лечения рака, связанного с активностью агониста STING, включающий введение эффективного количества конъюгата антитело-лекарственное средство по любому из пп. 1-21, 23-25 или фармацевтической композиции по п. 22.
27. Способ по п. 26, отличающийся тем, что указанный рак представляет собой рак легкого, рак почки, уротелиальный рак, колоректальный рак, рак предстательной железы, мультиформную глиобластому, рак яичника, рак поджелудочной железы, рак молочной железы, меланому, рак печени, рак мочевого пузыря, рак желудка, рак пищевода, рак эндометрия, рак яичка, рак шейки матки, плацентарную хориокарциному, опухоль головного мозга, рак головы и шеи, рак щитовидной железы, мезотелиому, стромальную опухоль желудочно-кишечного тракта (гастроинтестинальная стромальная опухоль, ГИСО), рак желчного пузыря, рак желчного протока, рак надпочечника, плоскоклеточную карциному, фарингеальный рак, рак языка, рак органов слуха, рак тимуса, рак тонкого кишечника, лейкоз, злокачественную лимфому, плазмоцитому, миелому или саркому.
28. Способ по п. 26 или 27, отличающийся тем, что указанный рак представляет собой рак легкого, рак почки, уротелиальный рак, колоректальный рак, рак предстательной железы, мультиформную глиобластому, рак яичника, рак поджелудочной железы, рак молочной железы, меланому, рак печени, рак мочевого пузыря, рак желудка, рак пищевода, рак эндометрия, рак шейки матки, опухоль головного мозга, рак головы и шеи, рак щитовидной железы, мезотелиому, стромальную опухоль желудочно-кишечного тракта (ГИСО), рак желчного пузыря, рак желчного протока, плоскоклеточную карциному, фарингеальный рак, рак языка, рак тимуса, рак тонкого кишечника.
29. Конъюгат антитело-лекарственное средство по любому из пп. 1-4, 9-13 или 18-20, причем указанный конъюгат антитело-лекарственное средство оказывает зависимое от мишени антитела противоопухолевое действие у мышей BALB/c-nu, которым подкожно трансплантировали клетки Caki-1, линию клеток рака почки человека.
30. Конъюгат антитело-лекарственное средство по любому из пп. 10-20, причем указанный конъюгат антитело-лекарственное средство оказывает более сильное противоопухолевое действие, чем антитело, включенное в указанный конъюгат антитело-лекарственное средство, у одного из следующих животных (i) или (ii):
(i) мышь BALB/c, которой подкожно трансплантировали CT26.WT (CRL2638), линию клеток колоректального рака мыши, трансфицированную геном, кодирующим химерный антиген человека/мыши, в котором сайт эпитопа на антигене, распознаваемого указанным антителом, включенным в указанный конъюгат антитело-лекарственное средство, заменен на соответствующий сайт антигена человека;
(ii) мышь BALB/c-nu, которой подкожно трансплантировали клетки A-498 (HTB-44), линию клеток рака почки человека.
| WO 2018200812 A1, 01.11.2018 | |||
| EA 201991315 A1, 30.12.2019 | |||
| WO 2004073656 A2, 02.09.2004 | |||
| WO 2015098099 A1, 02.07.2015 | |||
| WO 1998050433 A2, 12.11.1998. |
Авторы
Даты
2025-03-24—Публикация
2021-03-05—Подача