ПРОМЕЖУТОЧНОЕ СОЕДИНЕНИЕ КОНЪЮГАТА АНТИТЕЛО-ЛЕКАРСТВЕННОЕ СРЕДСТВО, СОДЕРЖАЩЕЕ SN38, И СПОСОБ ЕГО ПОЛУЧЕНИЯ Российский патент 2025 года по МПК A61K47/65 A61K47/68 A61P35/00 

Описание патента на изобретение RU2840789C2

ОБЛАСТЬ ТЕХНИКИ

[0001] Настоящее описание относится к области конъюгатов антитело-лекарственное средство и, в частности, к промежуточному соединению конъюгата антитело-лекарственное средство и способу его получения.

УРОВЕНЬ ТЕХНИКИ

[0002] Конъюгат антитело-лекарственное средство (ADC), в качестве нового биологического таргетного лекарственного средства, реализует мощное сочетание таргетного эффекта моноклональных антител с цитотоксичностью низкомолекулярных лекарственных средств, и в настоящее время стал одной из наиболее быстро развивающихся областей таргетной терапии опухолей. Три компонента ADC, антитело, цитотоксин и линкер, вместе составляют систему доставки таргетного лекарственного средства, где антитело обеспечивает таргетный эффект, линкер обеспечивает стабильность ADC в процессе транспорта в крови, и токсин оказывает свое убивающее действие на раковые клетки после достижения мишени. В настоящее время, клинические исследования для противоопухолевой терапии проходят более 60 лекарственных средств на основе ADC. Среди них, большая часть токсинов являются ингибиторами тубулина, и небольшая часть являются ингибиторами ДНК. Ингибиторы ДНК имеют два преимущества перед ингибиторами тубулина: 1) ингибиторы ДНК (пикомолярные значения IC50) более активны, чем ингибиторы тубулина (субнаномолярные значения IC50), и обладают лучшими эффектами при лечении опухолей с небольшим количеством антигенов; 2) они могут убивать раковые клетки, не находящиеся в фазе деления, и имеют преимущества при лечении солидных опухолей.

[0003] Соединения камптотецина представляют собой клинически используемые ингибиторы топоизомеразы 1 (TOP1) и оказывают хороший клинический эффект на медленно растущие солидные опухоли. Однако особая структура камптотецина приводит к его плохой растворимости в воде и растворимости в жирах, поэтому ее необходимо модифицировать для обеспечения растворимости в воде. Лекарственные средства на основе ADC с камптотецином в качестве поражающего элемента предлагают новое решение вышеуказанных недостатков.

[0004] В настоящее время, к продаже одобрены два лекарственных средства на основе ADC с производными камптотецина в качестве поражающего элемента: Энхерту (трастузумаб дерукстекан) и Тродельви (сацитузумаб говитекан). Они удовлетворяют большие клинические потребности в лечении опухолей, особенно злокачественных опухолей. В Энхерту, разработанном AstraZeneca/Daiichi Sankyo, тетрапептид GGFG, активированный катепсином B, используется в качестве линкера, и небольшой участок саморасщепляющейся структуры вводится для высвобождения Dxd, производного экзатекана. При HER2-положительном метастатическом раке молочной железы, у 99 пациентов, принимавших Энхерту, объективная частота ремиссии составила 54,5%, и частота контроля заболевания составила 93,9%. Сацитузумаб говитекан содержит линкер Mcc-триазольный спейсер-PEG7-x-лизин-PABC, который расщепляется в лизосомах (рН примерно 5) в клетках с высвобождением камптотецина (SN38). Клинические результаты фазы II для сацитузумаба говитекана для трижды отрицательного рака молочной железы показали эффективность не менее 30% и уменьшение опухоли у 69,5% пациентов, при том, что трижды отрицательный рак молочной железы практически «неизлечим» клинически. Кроме того, при мелкоклеточном раке легкого, при котором многочисленные методы лечения оказались неэффективными, сацитузумаб говитекан может уменьшать опухоли у 60% пациентов. При немелкоклеточном раке легкого, при котором химиотерапия, таргетная терапия и лечение PD-1 оказались неэффективными, сацитузумаб говитекан продемонстрировал частоту контроля до 43%. Однако в клинических исследованиях, несмотря на значительный терапевтический эффект, также возникают серьезные проблемы с безопасностью, вызванные токсичностью ADC, такой как гематологическая токсичность, нейротоксичность, легочная токсичность, кожная токсичность, гепатотоксичность, глазная токсичность, метаболические нарушения и кардиотоксичность. Таким образом, повышение безопасности лекарственных средств на основе ADC является проблемой, которая требует серьезного внимания и решения в ходе текущей разработки лекарственных средств.

[0005] Кроме того, существует также проблема сложного удаления продуктов реакции ионов металлов при синтезе линкера и загрузке некоторых ADC. Например, CL2A-SN38, используемый в сацитузумабе говитекане, включает реакцию клик-химии в процессе синтеза (см. публикацию заявки на патент Китая № CN102448494A, параграф [0273] на стр. 50 описания), что приводит к присутствию Cu2+ в продуктах реакции, которые нелегко удалить.

[0006] Линкер играет жизненно важную роль в структуре ADC и влияет на фармакокинетические параметры, терапевтические индексы и эффективность ADC. Линкер может поддерживать стабильность комплекса ADC в кровотоке. При конструировании линкера, в первую очередь необходимо учитывать стабильность. Поскольку лекарственное средство на основе ADC имеет длительный период полужизни, необходима стабильность линкера, чтобы предотвратить расщепление линкера в крови с преждевременным высвобождением токсинов. Если линкер недостаточно стабилен в крови, это приведет к разложению ADC до того, как он попадет в опухолевые клетки, и в этом случае лекарственное средство будет оказывать сниженный эффект на опухоль и даже по ошибке убьет другие клетки. Более того, в процессе интернализации ADC опухолевыми клетками, линкер должен быть способен быстро высвобождать цитотоксические лекарственные средства. В результате, линкер играет значительную решающую роль в безопасности и эффективности разрабатываемых лекарственных средств на основе ADC. Кроме того, различные структуры линкеров также сильно влияют на коэффициент сложности, стоимость производства и экологичность процесса производства ADC, и сильно влияют на качество лекарственных средств на основе ADC, например, на стабильность ADC, что еще больше влияет на безопасность лекарственных средств на основе ADC.

СУЩНОСТЬ ИЗОБРЕТЕНИЯ

[0007] Настоящее изобретение предлагает промежуточное соединение конъюгата антитело-лекарственное средство, содержащее SN38, и способ его получения. Способ получения прост по стадиям и экономичен, не вводит ионы тяжелых металлов в реакции с повышенной экологичностью. Более того, промежуточное соединение конъюгата антитело-лекарственное средство, синтезированное данным способом получения, обладает хорошей стабильностью, что значительно повышает безопасность лекарственных средств на основе ADC.

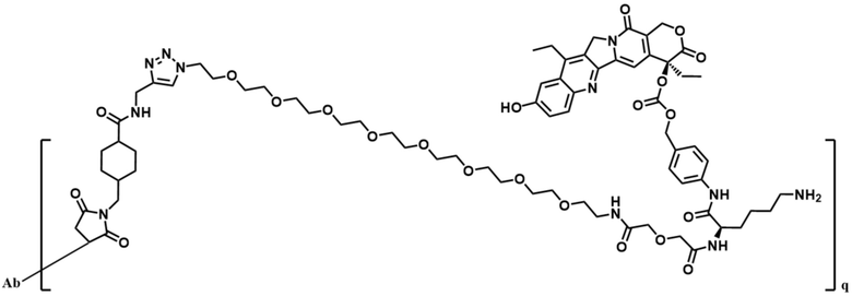
[0008] Настоящее описание относится к промежуточному конъюгату антитело-лекарственное средство, представленному формулой (I):

(I)

где:

X1 представляет собой алкановую цепь или ПЭГ цепь,

X2 представляет собой H или -C(O)NR1R2, и

R1 выбран из группы, состоящей из водорода, галогена, гидроксила, замещенного или незамещенного C1-6 алкила, замещенного или незамещенного C1-6 гидроксиалкила, замещенного или незамещенного C1-6 аминоалкила, замещенного или незамещенного C1-6 алкоксила, замещенного или незамещенного C1-6 алкилацила и замещенного или незамещенного C1-6 алкилальдегида;

R2 выбран из группы, состоящей из водорода и замещенного или незамещенного C1-6 алкила; где каждый замещенный C1-6 алкил необязательно замещен 1-5 заместителями, независимо выбранными из группы, состоящей из галогена, гидроксила, амино, карбонила, карбоксила, 5-10-членного гетероциклила и C1-6 галогеналкила, где 5-10-членный гетероциклил имеет 1-3 гетероатома, выбранных из группы, состоящей из кислорода, азота и серы.

[0009] Предпочтительно, X1 выбран из группы, состоящей из -(CH2)m- и -(СН2СН2О)р-, где m выбран из 1, 2, 3, 4, 5 и 6, предпочтительно, m равен 5; где p выбран из 1, 2, 3, 4, 5 и 6, предпочтительно, P равен 2.

[0010] Предпочтительно, X1 выбран из группы, состоящей из:

[0011] Предпочтительно, R1 или R2 выбран из группы, состоящей из: H, метила, этила, пропила, бутила, пентила, гептила, Cl, Br, , , , и .

[0012] Предпочтительно, X2 выбран из группы, состоящей из:

[0013] Предпочтительно, промежуточное соединение конъюгата антитело-лекарственное средство имеет структуру, представленную формулой (1) - (16):

(1), (2), (3), (4), (5), (6), (7), (8), (9), (10), (11), (12), (13), (14), (15),
и
(16).

[0014] Настоящее описание также предлагает способ получения промежуточного соединения конъюгата антитело-лекарственное средство.

[0015] Кроме того, промежуточное соединение конъюгата антитело-лекарственное средство имеет структуру:

(4), или

(12), или

(I-1), или

(I-2).

[0016] R1 выбран из группы, состоящей из водорода, замещенного или незамещенного C1-6 алкила, замещенного или незамещенного C1-6 гидроксиалкила, замещенного или незамещенного C1-6 аминоалкила, замещенного или незамещенного C1-6 алкоксила, замещенного или незамещенного C1-6 алкилацила и замещенного или незамещенного C1-6 алкилальдегида;

[0017] R2 выбран из группы, состоящей из водорода и замещенного или незамещенного C1-6 алкила; где каждый замещенный C1-6 алкил необязательно замещен 1-5 заместителями, независимо выбранными из группы, состоящей из галогена, гидроксила, амино, карбонила, карбоксила, 5-10-членного гетероциклила и C1-6 галогеналкила, где 5-10-членный гетероциклил имеет 1-3 гетероатома, выбранных из группы, состоящей из кислорода, азота и серы.

[0018] Предпочтительно, R1 или R2 выбран из группы, состоящей из: H, метила, этила, пропила, бутила, пентила, гептила, метоксила, этоксила, Cl, Br, , , , , и .

[0019] Кроме того, соединение формулы (4) получают следующим образом:

реакция А: растворение соединения a и соединения b в растворителе, перемешивание при комнатной температуре в течение соответствующего времени, добавление восстановителя при низкой температуре, перемешивание в течение соответствующего времени, и затем перемешивание при комнатной температуре в течение ночи для проведения реакции; после завершения реакции, сушка растворителя вращением и затем экстракция, сушка и очистка;

реакция В: растворение SN38 и DNPC в растворителе, добавление органического основания и перемешивание при комнатной температуре в течение соответствующего времени для проведения реакции; после завершения реакции, сушка растворителя вращением и затем растирание и фильтрация;

реакция С: растворение продукта, полученного реакцией В, в растворителе, добавление продукта, полученного реакцией А, и органического основания, перемешивание при комнатной температуре в течение соответствующего времени для проведения реакции; после завершения реакции, сушка растворителя вращением и затем очистка;

реакция D: растворение продукта, полученного реакцией C, в растворителе, добавление кислоты и перемешивание при низкой температуре в течение соответствующего времени для проведения реакции; после завершения реакции, сушка растворителя вращением, растворение Mc-VC-PAB-PNP в растворителе, перемешивание при низкой температуре в течение соответствующего времени и добавление органического основания для проведения реакции; после завершения реакции, сушка растворителя вращением и затем очистка.

[0020] Реакционный процесс 1:

[0021] Кроме того, соединение формулы (12) получают следующим образом:

реакция А: растворение соединения a и соединения b в растворителе, перемешивание при комнатной температуре в течение соответствующего времени, добавление восстановителя при низкой температуре, перемешивание в течение соответствующего времени, и затем перемешивание при комнатной температуре в течение ночи для проведения реакции; после завершения реакции, сушка растворителя вращением и затем экстракция, сушка и очистка;

реакция В: растворение SN38 и DNPC в растворителе, добавление органического основания и перемешивание при комнатной температуре в течение соответствующего времени для проведения реакции; после завершения реакции, сушка растворителя вращением и затем растирание и фильтрация;

реакция С: растворение продукта, полученного реакцией В, в растворителе, добавление продукта, полученного реакцией А, и органического основания, перемешивание при комнатной температуре в течение соответствующего времени для проведения реакции; после завершения реакции, сушка растворителя вращением и затем очистка;

реакция D: растворение продукта, полученного реакцией C, в растворителе, добавление кислоты и перемешивание при низкой температуре в течение соответствующего времени для проведения реакции; после завершения реакции, сушка растворителя вращением, растворение MP2-VC-PAB-PNP в растворителе, перемешивание при низкой температуре в течение соответствующего времени и добавление органического основания для проведения реакции; после завершения реакции, сушка растворителя вращением и затем очистка.

[0022] Реакционный процесс 2:

[0023] Кроме того, соединение формулы (I-1) получают следующим образом:

реакция А: растворение соединения a и соединения b в растворителе, перемешивание при комнатной температуре в течение соответствующего времени, добавление восстановителя при низкой температуре, перемешивание в течение соответствующего времени, и затем перемешивание при комнатной температуре в течение ночи для проведения реакции; после завершения реакции, сушка растворителя вращением и затем экстракция, сушка и очистка;

реакция В: растворение SN38 и DNPC в растворителе, добавление органического основания и перемешивание при комнатной температуре в течение соответствующего времени для проведения реакции; после завершения реакции, сушка растворителя вращением и затем растирание и фильтрация;

реакция C: растворение продукта, полученного реакцией B, в растворителе, добавление продукта, полученного реакцией A, и органического основания и перемешивание при комнатной температуре в течение соответствующего времени для проведения реакции; после завершения реакции, сушка растворителя вращением и затем очистка;

реакция D: растворение продукта, полученного реакцией С, в растворителе, добавление бис(п-нитрофенил)карбоната и органического основания и перемешивание при постоянной температуре в течение соответствующего времени для проведения реакции; после завершения реакции, сушка растворителя вращением и затем очистка;

реакция Е: растворение продукта, полученного реакцией D, и амина в растворителе, добавление органического основания и перемешивание при низкой температуре в течение соответствующего времени для проведения реакции; после завершения реакции, сушка растворителя вращением и затем очистка;

реакция F: растворение продукта, полученного реакцией Е, в растворителе, добавление кислоты и перемешивание при низкой температуре в течение соответствующего времени для проведения реакции; после завершения реакции, сушка растворителя вращением, растворение Mc-VC-PAB-PNP в растворителе, перемешивание при низкой температуре в течение соответствующего времени и добавление органического основания для проведения реакции; после завершения реакции, сушка растворителя вращением и затем очистка.

[0024] Реакционный процесс 3:

[0025] Кроме того, соединение формулы (I-2) получают следующим образом:

реакция А: растворение соединения a и соединения b в растворителе, перемешивание при комнатной температуре в течение соответствующего времени, добавление восстановителя при низкой температуре, перемешивание в течение соответствующего времени, и затем перемешивание при комнатной температуре в течение ночи для проведения реакции; после завершения реакции, сушка растворителя вращением и затем экстракция, сушка и очистка;

реакция В: растворение SN38 и DNPC в растворителе, добавление органического основания и перемешивание при комнатной температуре в течение соответствующего времени для проведения реакции; после завершения реакции, сушка растворителя вращением и затем растирание и фильтрация;

реакция C: растворение продукта, полученного реакцией B, в растворителе, добавление продукта, полученного реакцией A, и органического основания и перемешивание при комнатной температуре в течение соответствующего времени для проведения реакции; после завершения реакции, сушка растворителя вращением и затем очистка;

реакция D: растворение продукта, полученного реакцией С, в растворителе, добавление бис(п-нитрофенил)карбоната и органического основания и перемешивание при постоянной температуре в течение соответствующего времени для проведения реакции; после завершения реакции, сушка растворителя вращением и затем очистка;

реакция Е: растворение продукта, полученного реакцией D, и амина в растворителе, добавление органического основания и перемешивание при низкой температуре в течение соответствующего времени для проведения реакции; после завершения реакции, сушка растворителя вращением и затем очистка;

реакция F: растворение продукта, полученного реакцией Е, в растворителе, добавление кислоты и перемешивание при низкой температуре в течение соответствующего времени для проведения реакции; после завершения реакции, сушка растворителя вращением, растворение MP2-VC-PAB-PNP в растворителе, перемешивание при низкой температуре в течение соответствующего времени и добавление органического основания для проведения реакции; после завершения реакции, сушка растворителя вращением и затем очистка.

[0026] Реакционный процесс 4:

[0027] Кроме того, соединение (I-1) выбрано из группы, состоящей из:

(1), (2), (3), (5), (6), (7)
и
(8),

соединение (I-2) выбрано из группы, состоящей из:

(9), (10), (11), (13), (14), (15)
и
(16).

[0028] Кроме того, «при низкой температуре» в любом из вышеупомянутых реакционных процессов относится к бане с ледяной водой.

[0029] Кроме того, растворитель в любом из вышеупомянутых реакционных процессов может независимо представлять собой полярный растворитель и/или неполярный растворитель, где полярный растворитель выбран из группы, состоящей из ТГФ, ДМФ, ДМА, NMP и их смеси; и неполярный растворитель выбран из группы, состоящей из дихлорметана, четыреххлористого углерода и их смеси.

[0030] Кроме того, органическое основание в любом из вышеупомянутых реакционных процессов может быть независимо выбрано из группы, состоящей из N,N-диизопропилэтиламина, триэтиламина, пиридина и их смеси, предпочтительно, одного или обоих из N,N-диизопропилэтиламина и пиридина.

[0031] Кроме того, кислоты представляют собой одну или две кислоты, выбранные из группы, состоящей из хлористоводородной кислоты, трифторуксусной кислоты и лимонной кислоты.

[0032] Кроме того, амин представляет собой первичный амин или вторичный амин.

[0033] Кроме того, в реакции А экстракцию проводят этилацетатом, и очистку проводят колоночной хроматографией с использованием дихлорметана и метанола в качестве элюента.

[0034] Кроме того, в реакции В растирание проводят с использованием этилацетата, гексана, дихлорметана или их комбинации.

[0035] Кроме того, в реакции С очистку проводят колоночной хроматографией с использованием дихлорметана и метанола в качестве элюента.

[0036] Кроме того, в реакции D очистку проводят колоночной хроматографией с использованием дихлорметана и метанола в качестве элюента.

[0037] Кроме того, в реакции Е очистку проводят колоночной хроматографией с использованием дихлорметана и метанола в качестве элюента.

[0038] Кроме того, в реакции F очистку проводят методом препаративной жидкостной хроматографии с использованием MeCN и 0,1% HCOOH в качестве подвижной фазы А, и H2O и 0,1% HCOOH в качестве подвижной фазы B.

[0039] Кроме того, все реакции проводят под защитой азота.

[0040] Способ получения промежуточного соединения конъюгата антитело-лекарственное средство (в частности, ковалентного конъюгата линкер-SN38), предложенный настоящим описанием, в дополнение к простым стадиям, снижает проблемы безопасности, вызванные остатками тяжелых металлов. Более того, конъюгат антитело-лекарственное средство, полученный с использованием промежуточного соединения конъюгата антитело-лекарственное средство, имеет более высокую стабильность in vivo.

[0041] Кроме того, изобретатель неожиданно обнаружил, что конъюгат антитело-лекарственное средство, полученный путем объединения линкера и SN38 по настоящему описанию, может оказывать значительное ингибирующее действие на опухоль.

Краткое описание чертежей

[0042] На ФИГ. 1 показано изменение массы тела мышей;

[0043] На ФИГ. 2 показано изменение объема опухоли;

[0044] На ФИГ. 3 показан относительный объем опухоли.

ПОДРОБНОЕ ОПИСАНИЕ

[Сокращения]

[0045] Если не указано иное, все сокращения, используемые в настоящем описании, имеют то же значение, которое понятно специалистам в данной области техники. В настоящем описании, обычно используемые сокращения и их определения показаны следующим образом:

Сокращение Определение ДЦК N,N'-Дициклогексилкарбодиимид EDCI Гидрохлорид 1-(3-диметиламинопропил)-3-этилкарбодиимида ДИК N,N'-Диизопропилкарбодиимид ГАТУ Гексафторфосфат 2-(7-азобензотриазол)-N,N,N',N'-тетраметилурония ГБТУ Гексафторфосфат бензотриазол-N,N,N',N'-тетраметилурония HBPIPU Гексафторфосфат (бензотризол-1-илокси)дипиперидинокарбения HBPyU Гексафторфосфат O-(бензотриазол-1-ил)-N,N,N',N'-дипирролилурония ГХТУ Гексафторфосфат 6-хлорбензотриазол-1,1,3,3-тетраметилурония HDMA 1-[(Диметиламино)(морфолино)метил]-3-оксо-1H-[1,2,3]триазоло[4,5-b]пиридин-3-гексафторфосфат ТАТУ Тетрафторборат 2-(7-азабензотриазол)-N,N,N',N'-тетраметилурония ТБТУ Тетрафторборат O-(бензотриазол)-N,N,N',N'-тетраметилурония ТХТУ Тетрафторборат O-(6-хлор-1H-бензотриазол-1-ил)-N,N,N',N'-тетраметилурония TCFH Гексафторфосфат N,N,N',N'-тетраметилхлорформамидиния TDBTU Тетрафторборат N,N,N',N'-тетраметил-O-(4-карбонил-3,4-дигидро-1,2,3-бензотриазин-3-ил)урония TFFH Гексафторфосфат фтор-N,N,N',N'-тетраметилурония BTFFH Гексафторфосфат N,N,N',N'-бис(тетраметилен)фторформамидиния TSTU Тетрафторборат 2-сукцинимидил-1,1,3,3-тетраметилурония PyBOP Гексафторфосфат 1H-бензотриазол-1-илокситрипирролидинофосфония PyCIOP Гексафторфосфат хлортрипирролидинофосфония PyAOP Гексафторфосфат (3H-1,2,3-триазоло[4,5-b]пиридин-3-окси)три-1-пирролидинилфосфония PyCIU Гексафторфосфат 1-(хлор-1-пирролидинилметилен)пирролидиния DEPBT 3-(Диэтокси-o-ацилокси)-1,2,3-бензотриазин-4-он EEDQ 2-Этокси-1-этоксикарбонил-1,2-дигидрохинолин Mc Малеимидогексаноил SN38 Камптотецин ДМФ N,N-диметилформамид ДМА Диметилацетамид DNPC Бис(п-нитрофенил)карбонат ДМСО Диметилсульфоксид ТГФ Тетрагидрофуран ДХМ Дихлорметан ДИПЭА N,N-диизопропилэтиламин ТФК Трифторуксусная кислота

[Определения]

[0046] В описании и формуле изобретения используются различные термины, относящиеся к различным аспектам описания. Если не указано иное, таким терминам придается их обычное значение в данной области техники. Другие конкретно определенные термины следует понимать в соответствии с определениями, представленными в настоящем документе.

[0047] Используемые в настоящем документе термины «а», «an» и «the» используются в соответствии со стандартной практикой и относятся к одному или нескольким, если из контекста не следует иное. Поэтому, например, ссылка на «конъюгат антитело-лекарственное средство» включает комбинации двух или нескольких конъюгатов антитело-лекарственное средство, и так далее.

[0048] Следует понимать, что везде, где выражение «содержащий» используется в настоящем документе для описания аспекта, аналогичные аспекты, описанные как «состоящие из......» и/или «состоящие по существу из......», также предложены.

[0049] Термин «конъюгат антитело-лекарственное средство», используемый в настоящем документе, представляет собой соединение, в котором антитело/функциональный фрагмент антитела, линкер и часть лекарственного средства связаны друг с другом посредством химической реакции, и его структура обычно состоит из трех частей: антитело или лиганд антитела, часть лекарственного средства и линкер, который связывает антитело или лиганд антитела и лекарственное средство. В настоящее время, получение конъюгатов антитело-лекарственное средство обычно включает две стадии: на первой стадии линкер и часть лекарственного средства подвергают химической реакции с образованием конъюгата «линкер-лекарственное средство», и на второй стадии линкерную часть конъюгата «линкер-лекарственное средство» ковалентно сочетают с антителом/функциональным фрагментом антитела через сульфгидрильную группу или аминогруппу. Термин «промежуточное соединение конъюгата антитело-лекарственное средство», используемый в настоящем описании, относится к конъюгату «линкер-лекарственное средство», описанному выше. Кроме того, термин «промежуточное соединение конъюгата антитело-лекарственное средство», используемый в настоящем описании, относится к ковалентному конъюгату «линкера» и SN38 в целом.

[0050] «Конъюгат антитело-лекарственное средство», используемый в настоящем описании, получают обычным в данной области способом. Например, конъюгат антитело-лекарственное средство по настоящему описанию получают путем: приготовления 10 мг/мл раствора антитела с буфером PBS при pH 7,4, добавления соответствующего эквивалента TCEP, встряхивания в течение 1 ч для тщательного перемешивания, затем добавления 5,0 молярных эквивалентов линкера-токсина (т.е. соединения, показанного в формуле 1 - формуле 16), встряхивания для тщательного перемешивания реакции в течение 1 ч, удаления остаточных малых молекул ультрафильтрацией после завершения реакции и загрузки в систему гидрофобного взаимодействия-высокоэффективной жидкостной хроматографии (ГИХ-ВЭЖХ) для определения DAR, распределения лекарственного средства и соотношения антитела.

[0051] Понятно, что настоящее описание направлено на предложение нового промежуточного соединения конъюгата лекарственного средства, и для подтверждения технического эффекта предложено типовое получение нескольких ADC с Гецептином. Настоящее описание не имеет ограничений на выбор антитела, и в качестве примера представлена структура специфических ADC. ADC-1 имеет линкер и токсин, соответствующие соединению формулы (1), и его получают с Гецептином вышеупомянутым общепринятым в данной области техники способом получения «конъюгата антитело-лекарственное средство» (далее то же самое: ADC-2 имеет линкер и токсин, соответствующий соединению формулы (2); ADC-3 имеет линкер и токсин, соответствующий соединению формулы (3); ADC-4 имеет линкер и токсин, соответствующий соединению формулы (4); ADC-5 имеет линкер и токсин, соответствующий соединению формулы (5); ADC-6 имеет линкер и токсин, соответствующий соединению формулы (6); ADC-7 имеет линкер и токсин, соответствующий соединению формулы (7); ADC-8 имеет линкер и токсин, соответствующий соединению формулы (8); ADC-9 имеет линкер и токсин, соответствующий соединению формулы (9); ADC-10 имеет линкер и токсин, соответствующий к соединению формулы (10); ADC-11 имеет линкер и токсин, соответствующий соединению формулы (11); ADC-12 имеет линкер и токсин, соответствующий соединению формулы (12); ADC-13 имеет линкер и токсин, соответствующие соединению формулы (13); ADC-14 имеет линкер и токсин, соответствующие соединению формулы (14); ADC-15 имеет линкер и токсин, соответствующие соединению формулы (15); ADC-16 имеет линкер и токсин, соответствующие соединению формулы (16); и ADC-17 имеет линкер и токсин, соответствующий CL2A-SN38), где q выбран из 1, 2, 3, 4, 5, 6, 7, 8, 9 и 10.

ADC-1, ADC-2, ADC-3, ADC-4, ADC-5, ADC-6, ADC-7, ADC-8, ADC-9, ADC-10, ADC-11, ADC-12, ADC-13, ADC-14, ADC-15, ADC-16, ADC-17, CL2A-SN38.

[0052] Термин «линкер», используемый в настоящем описании, относится к молекуле, имеющей бифункциональные или многофункциональные группы, которая может реагировать с молекулой белка/антитела и SN38, соответственно и, таким образом, действовать как «мост», связывающий белок/антитело с SN38. Линкер, задействованный в настоящем описании, конкретно относится к группе, содержащей ацил в структуре.

[Примеры]

[0053] Настоящее описание дополнительно проиллюстрировано ниже в сочетании с конкретными примерами. Следует понимать, что эти примеры используются для иллюстрации настоящего изобретения, а не для ограничения объема настоящего изобретения. Экспериментальные способы в следующих примерах, в которых не указаны конкретные условия, обычно проводят в соответствии с обычными условиями или в соответствии с условиями, рекомендованными производителем, и реагенты неустановленного происхождения представляют собой обычные реагенты, которые коммерчески доступны. Все проценты, нормы, соотношения или части даны по массе, если не указано иное.

[0054] Если не указано иное, все профессиональные и научные термины, используемые в настоящем документе, используются в том же смысле, который известен специалистам в данной области техники. Кроме того, к способам настоящего описания можно применять любые способы и материалы, аналогичные или эквивалентные изложенным. Предпочтительные примеры и материалы, описанные в настоящем документе, предназначены только для иллюстративных целей.

[0055] Пример 1 Получение соединения формулы (12)

[0056] 1) Синтез соединения c (2-Boc-N-метилэтилэтиленгликолем)

[0057] 0,6 г соединения (аминоэтиленгликоля) и 1,0 г соединения b (N-Boc-ацетальдегида) растворяют в 20 мл метанола и перемешивают при комнатной температуре в течение 6 ч. Реакционную систему помещают на баню с ледяной водой, добавляют триацетоксиборгидрид натрия, перемешивают в бане с ледяной водой в течение 1 ч, затем возвращают к комнатной температуре и перемешивают в течение ночи. Продукт обнаруживают ЖХ-МС и показывают отсутствие УФ абсорбции. Растворитель сушат вращением, и остаток дважды экстрагируют этилацетатом, сушат над безводным Na2SO4, сушат вращением, очищают колоночной хроматографией с применением дихлорметана:метанола 20:1 в качестве элюента, и ополаскивают с получением 1,0 г продукта с выходом 66%. ЖХ-МС: (M+H)+ 262,6.

[0058] 2) Синтез SN38-PNP (10-п-нитрофенилкарбоната-камптотецина)

[0059] 1,0 г SN38 (камптотецина) и 1,6 г DNPC (бис(п-нитрофенил)карбоната) растворяют в 100 мл тетрагидрофурана, добавляют 2 мл триметиламина, и перемешивают при комнатной температуре в течение 1,5 ч. Завершение реакции обнаруживают ЖХ-МС. После завершения реакции, растворитель сушат вращением, и остаток растирают с этилацетатом:н-гексаном 20 мл: 100 мл, и затем фильтруют с получением твердого вещества. Твердое вещество растирают с 20 мл дихлорметана, фильтруют, и отслеживают ЖХ-МС для сбора продукта с получением 700 мг твердого вещества SN38-PNP с выходом 49,3%. ЖХ-МС: (M+H)+ 557,4.

[0060] 3) Синтез соединения d (Boc-N-метилэтилгликоля-камптотецина)

[0061] 250 мг SN38-PNP растворяют в 30 мл N,N-диметилформамида, добавляют 235 мг Boc-DMEDA-PEG и 233 мкл N,N-диизопропилэтиламина, и перемешивают при комнатной температуре в течение 16 ч. Завершение реакции обнаруживают ЖХ-МС. После завершения реакции, растворитель сушат вращением, и остаток очищают колоночной хроматографией с применением дихлорметана:метанола 20:1 в качестве элюента, ополаскивают, и отслеживают ЖХ-МС для сбора продукта с получением 213 мг твердого вещества Boc-DMEDA-PEG-SN38 с выходом 70%. ЖХ-МС: (M+H)+ 680,5.

[0062] 4) Синтез соединения g (10-(2-N-метилэтилэтиленгликоля)-трифторацетата камптотецина)

[0063] 73,0 мг соединения d растворяют в 3 мл дихлорметана и 3 мл трифторуксусной кислоты, помещают на баню с ледяной водой, и перемешивают при постоянной температуре в течение 1 ч. Завершение реакции обнаруживают ЖХ-МС. После завершения реакции, растворитель сушат вращением. Остаток добавляют в 2 мл толуола и 2 мл дихлорметана, дважды сушат вращением, и отслеживают ЖХ-МС для сбора продукта с получением SN38-DMEDA⋅ТФК, который используют сразу на следующей реакции. ЖХ-МС: (M+H)+ 580,6.

[0064] 5) Синтез соединения формулы (12) (малеимиддиэтокси-L-валил-L-цитруллин-п-аминобензил-(2-N-метилэтилэтиленгликоля)-камптотецина)

[0065] 50 мг MP2-VC-PAB-PNP растворяют в 4 мл N,N-диметилформамида, помещают на баню с ледяной водой для сохранения постоянной температуры, и защищают азотом. В реакционную систему добавляют 38 мг соединения g, затем 42 мкл триметиламина, перемешивают при постоянной температуре в течение 0,5 ч, и затем возвращают к комнатной температуре в течение 0,5 ч реакции. Завершение реакции обнаруживают ЖХ-МС. После завершения реакции, растворитель сушат вращением при низкой температуре, и остаток очищают препаративной жидкостной хроматографией с применением препаративной колонки Sun Fire® Prep C18 OBD TM 5 мкм, 19*250 мм, подвижная фаза A MeCN, и подвижная фаза B H2O. ЖХ-МС проводят для отслеживания и сбора чистого продукта с получением 18 мг твердого вещества соединения формулы (12) с выходом 22%. ЖХ-МС: (M+H)+1197,2.

[0066] Пример 2 Получение соединения формулы (4)

[0067] Соединение g (10-(2-N-метилэтилэтиленгликоль)-трифторацетат камптотецина) получают по методике синтеза из Примера 1: Соединение d (73,0 мг) растворяют в 3 мл дихлорметана и 3 мл трифторуксусной кислоты, помещают на баню с ледяной водой и перемешивают при постоянной температуре в течение 1 ч. Завершение реакции обнаруживают ЖХ-МС. После завершения реакции, растворитель сушат вращением. Остаток добавляют в 2 мл дихлорметана, дважды сушат вращением и отслеживают ЖХ-МС для сбора продукта с получением соединения g (70 мг), которое используют сразу на следующей реакции. ЖХ-МС: (M+H)+ 580,6.

[0068] Соединение формулы (4) (малемимдогексановая кислота-L-валил-L-цитруллин-п-аминобензил-(2-N-метилэтилэтиленгликоль)-камптотецин) получают по методике синтеза из Примера 1: Mc-VC-PAB-PNP (малеимидогексановая кислота-L-валил-L-цитруллин-п-аминобензил-п-нитрофенилкарбонат) (58 мг) и соединение g (42 мг) растворяют в 2,5 мл N, N-диметилформамида, перемешивают в бане с ледяной водой в течение 30 мин, по каплям добавляют ДИПЭА (42 мг) и перемешивают в бане с ледяной водой в течение 1 ч. Незавершенную реакцию обнаруживают ЖХ-МС. В реакционную систему снова добавляют триэтиламин (10 мг) и перемешивают при комнатной температуре в течение 1 ч. Реакционный раствор становится желтым, и завершение реакции обнаруживают ЖХ-МС. После завершения реакции, растворитель сушат вращением при низкой температуре, и остаток очищают препаративной жидкостной хроматографией с применением препаративной колонки Sun Fire® Prep C18 OBD TM 5 мкм, 19*250 мм, подвижная фаза A MeCN и 0,1% HCOOH, и подвижная фаза B H2O и 0,1% HCOOH. ЖХ-МС проводят для отслеживания и сбора чистого продукта с получением 34 мг твердого вещества соединения формулы (4) с выходом 40,5%. ЖХ-МС: (M +H)+1179,2.

[0069] Пример 3 Получение соединения формулы (1)

[0070] 1) Синтез соединения c (2-Boc-N-метилэтилэтиленгликолем)

[0071] 0,6 г соединения a (аминоэтиленгликоля) и 1,0 г соединения b (N-Boc-(метиламидо)ацетальдегида) растворяют в 20 мл метанола и перемешивают при комнатной температуре в течение 6 ч. Реакционную систему помещают на баню с ледяной водой, добавляют триацетоксиборгидрид натрия, перемешивают в бане с ледяной водой в течение 1 ч, затем возвращают к комнатной температуре и перемешивают в течение ночи. Продукт обнаруживают ЖХ-МС и показывают отсутствие УФ абсорбции. Растворитель сушат вращением, и остаток дважды экстрагируют этилацетатом и сушат над безводным Na2SO4. После сливания органической фазы, остаток сушат вращением, очищают колоночной хроматографией с применением дихлорметана:метанола 20:1 в качестве элюента, и ополаскивают с получением 1,0 г продукта с выходом 66%. ЖХ-МС: (M+H)+ 262,6.

[0072] 2) Синтез SN38-PNP (10-p-нитрофенилкарбоната-камптотецина)

[0073] 1,0 г SN38 (камптотецина) и 1,6 г DNPC (бис(п-нитрофенил)карбоната) растворяют в 100 мл тетрагидрофурана, добавляют 2 мл триметиламина и перемешивают при комнатной температуре в течение 1,5 ч. Завершение реакции обнаруживают ЖХ-МС. После завершения реакции, растворитель сушат вращением, остаток растирают с этилацетатом:н-гексаном 20 мл:100 мл и фильтруют с получением твердого вещества. Твердое вещество растирают с 20 мл дихлорметана, фильтруют, и отслеживают ЖХ-МС для сбора продукта с получением 700 мг твердого вещества SN38-PNP с выходом 49,3%. ЖХ-МС: (M+H)+ 557,4.

[0074] 3) Синтез соединения d (Boc-N-метилэтилгликоля-камптотецина)

[0075] 500 мг SN38-PNP растворяют в 30 мл N,N-диметилформамида, добавляют 370 мг соединения c и 233 мкл N,N-диизопропилэтиламина, и перемешивают при комнатной температуре в течение 3 ч. Завершение реакции обнаруживают ЖХ-МС. После завершения реакции, растворитель сушат вращением, и остаток очищают колоночной хроматографией с применением дихлорметана:метанола 20:1 в качестве элюента, ополаскивают, и отслеживают ЖХ-МС для сбора продукта с получением 250 мг твердого вещества соединения d с выходом 45%. ЖХ-МС: (M+H)+ 680,5.

[0076] 4) Синтез соединения h (Boc-N-метилэтилдиэтокси п-нитроактивного эфира-камптотецина)

[0077] 220,0 мг соединения d растворяют в 5 мл дихлорметана, добавляют 150 мг бис(п-нитрофенил)карбоната и 86 мг ДИПЭА и перемешивают при постоянной температуре в течение 16 ч. Завершение реакции обнаруживают ЖХ-МС. После завершения реакции, растворитель сушат вращением, и остаток очищают колоночной хроматографией с применением дихлорметана:метанола 50:1 в качестве элюента. Продукт собирают с получением 220 мг твердого вещества соединения h с выходом 68,5%, которое затем сразу используют на следующей реакции. ЖХ-МС: (M+H)+ 845,6.

[0078] 5) Синтез соединения i (Boc-N-метилэтилдиэтокси-N,N,N-триметилэтилендиамина-камптотецина)

[0079] 220 мг соединения h (Boc-N-метилэтилдиэтокси п-нитроактивного эфира-камптотецина) и 50 мг N,N,N-триметилэтилендиамина растворяют в 5 мл N,N-диметилформамида, по каплям добавляют ДИПЭА (65 мг), и перемешивают в бане с ледяной водой в течение 1 ч. Завершение реакции обнаруживают ЖХ-МС. После завершения реакции, растворитель сушат вращением, и остаток очищают колоночной хроматографией с применением дихлорметана:метанола 20:1 в качестве элюента. Продукт собирают с получением 157 мг твердого вещества соединения i с выходом 75%, которое затем сразу используют на следующей реакции. ЖХ-МС: (M+H)+ 808,6.

[0080] 6) Синтез соединения j (N-метилэтилдиэтокси-N,N,N-триметилэтилендиамина-трифторацетата камптотецина)

[0081] 157,0 мг соединения i (Boc-N-метилэтилдиэтокси-N, N,N-триметилэтилендиамина-камптотецина) растворяют в 3 мл дихлорметана и 1,3 мл трифторуксусной кислоты, помещают на баню с ледяной водой и перемешивают при постоянной температуре в течение 1 ч. Завершение реакции обнаруживают ЖХ-МС. После завершения реакции, растворитель сушат вращением. Остаток добавляют 2 мл дихлорметана и затем дважды сушат вращением с получением 120 мг соединения j, которое затем сразу используют на следующей реакции. ЖХ-МС: (M+H)+ 708,3.

[0082] 7) Синтез соединения формулы (1) (малеимидогексановая кислота-L-валил-L-цитруллин-п-аминобензил-(N-метилэтилдиэтокси-N,N,N-триметилэтилендиамина)-камптотецина)

[0083] 52 мг Mc-VC-PAB-PNP (малеимидогексановая кислота-L-валил-L-цитруллин-п-аминобензил-p-нитрофенилкарбоната) и 35 мг соединения j растворяют в 2,5 мл N,N-диметилформамида, перемешивают в бане с ледяной водой в течение 30 мин, по каплям добавляют 129 мг ДИПЭА, и перемешивают в бане с ледяной водой в течение 0,5 ч. Незавершенную реакцию обнаруживают ЖХ-МС. В реакционную систему затем добавляют 129 мг ДИПЭА и перемешивают при комнатной температуре в течение 0,5 ч. Реакционный раствор становится желтым, и завершение реакции обнаруживают ЖХ-МС. После завершения реакции, растворитель сушат вращением при низкой температуре, и остаток очищают препаративной жидкостной хроматографией с применением препаративной колонки Sun Fire® Prep C18 OBD TM 5 мкм, 19*250 мм, подвижная фаза A MeCN и 0,1% HCOOH, и подвижная фаза B H2O и 0,1% HCOOH. ЖХ-МС проводят для отслеживания и сбора чистого продукта с получением 20 мг твердого вещества соединения формулы (1) с выходом 20,5%. ЖХ-МС: (M+H)+ 1307,6.

[0084] Пример 4 Получение соединения формулы (9)

[0085] Соединение формулы (9) (малеимиддиэтокси-L-валил-L-цитруллин-п-аминобензил-(N-метилэтилдиэтокси-N,N,N-триметилэтилендиамин)-камптотецин) получают по методике синтеза из Примера 3: MP2-VC-PAB-PNP (малеимиддиэтокси-L-валил-L-цитруллин-п-аминобензил-p-нитрофенил карбонат) (52 мг) и соединение j (34 мг) растворяют в 2,5 мл N,N-диметилформамида, перемешивают в течение 30 мин в бане с ледяной водой, по каплям добавляют ДИПЭА (36 мг), и перемешивают в бане с ледяной водой в течение 0,5 ч. Незавершенную реакцию обнаруживают ЖХ-МС. В реакционную систему затем добавляют ДИПЭА (8 мг) и перемешивают при комнатной температуре в течение 1,5 ч. Реакционный раствор становится желтым, и завершение реакции обнаруживают ЖХ-МС. После завершения реакции, растворитель сушат вращением при низкой температуре, и остаток очищают препаративной жидкостной хроматографией с применением препаративной колонки Sun Fire® Prep C18 OBD TM 5 мкм, 19*250 мм, подвижная фаза A MeCN и 0,1% HCOOH, и подвижная фаза B H2O и 0,1% HCOOH. ЖХ-МС проводят для отслеживания и сбора чистого продукта с получением 23 мг соединения формулы (9) твердого вещества с выходом 35,2%. ЖХ-МС: (M+H)+ 1325,4.

[0086] Пример 5. Ингибирующее действие ADC-1 на клетки NCI-N87.

[0087] Соединение формулы (1) и промежуточное соединение CL2A-SN38 подвергают сульфгидрильному связыванию с Гецептином обычными в данной области техники способами, соответственно (например, см. пример 12 в публикации китайской патентной заявки № CN102448494A), чтобы получить конъюгаты антитело-лекарственное средство ADC-1 и HER2-CL2A-SN38 (ADC-17) со средним значением DAR 8. Клетки NCI-N87 переваривают трипсином, затем доводят плотность клеток до 50000 клеток/мл, добавляют в планшет для культивирования клеток по 100 мкл/лунку и культивируют в инкубаторе при 37°C, 5% CO2 в течение 14-20 минут. час Образцы и контрольные группы (состав тестируемых образцов см. в Таблице 1) градиентно разводят базальной средой, соответственно, переносят на планшет для культивирования клеток, инокулированный клетками в концентрации 100 мкл/лунку, и культивируют в инкубаторе при 37°C, 5% CO2 в течение 70-74 часов. CCK-8 разводят в 10 раз культуральной средой. Старую среду из 96-луночного планшета удаляют, и в каждую лунку добавляют по 100 мкл разведенного раствора CCK-8. Проявление цвета осуществляют в атмосфере 5% CO2 в течение 2-4 ч. После центрифугирования для удаления пузырьков воздуха, планшеты обнаруживают с помощью микропланшетного ридера при длине волны обнаружения 450 нм/655 нм для считывания. Результаты показаны в Таблице 2.

[0088] Таблица 1. Состав тестируемых образцов

Номер Тестируемый образец Среднее DAR Образец 1 ADC-1 8 Контрольная группа 1 ADC-17 8 Контрольная группа 2 HER2 антитело /

[0089] Таблица 2. Ингибирующее действие на клетки NCI-N87

Номер Тестируемый образец IC50 (нг/мл) Образец 1 ADC-1 251 Контрольная группа 1 ADC-17 210 Контрольная группа 2 HER2 антитело НД

[0090] Результаты экспериментов показывают, что группа ADC-1 и группа ADC-17 оказывают сравнимое ингибирующее действие на клетки NCI-N87.

[0091] Пример 6. Экспериментальные исследования стабильности

[0092] 1) Соединение формулы (1) (2,1 мг) и CL2A-SN38 (2,1 мг) точно взвешивают и затем растворяют в 700 мкл ДМСО, соответственно.

[0093] 2) Готовят буферы PB (0,2 М) с pH 6, 7 и 8, соответственно.

[0094] 3) 50 мкл раствора соединения формулы (1) в ДМСО добавляют в центрифужную пробирку и добавляют 950 мкл буфера PB (0,2 М) при pH 6, где концентрация соединения составляет 60 мкг/мл. Систему помещают в систему с постоянной температурой 37°C. 50 мкл раствора CL2A-SN38 в ДМСО добавляют в центрифужную пробирку, и добавляют 950 мкл буфера PB (0,2 М) при pH 6, где концентрация соединения составляет 60 мкг/мл. Систему помещают в систему с постоянной температурой 37°С;

[0095] 4) 40 мкл образца отбирают, соответственно, через 0 ч, 2 ч, 4 ч, 6 ч, 24 ч и 48 ч, добавляют 120 мкл ацетонитрила и центрифугируют. Супернатант отбирают для количественного определения ЖХ-МС.

[0096] 5) Обработка результатов.

[0097] Концентрацию при Т=0 ч в ЖХ-МС используют в качестве эталона, и данные рассчитывают как Т/Т0*100%. Результаты показаны в Таблице 3 и Таблице 4, соответственно.

[0098] Таблица 3. Соединение формулы (1)

Время pH=6 pH=7 pH=8 0 1 1 1 2 0,988606 0,878866 0,56405 4 0,97612 0,801849 0,284131 6 0,92084 0,821934 0,123407 24 0,86821 0,256709 0,009607 48 0,78862 0,122173 0,012562

[0099] При рН 6, соединение формулы (1) разлагается на 21,2% через 48 ч;

[00100] При рН 7, соединение формулы (1) разлагается на 87,8% через 48 ч;

[00101] При рН 8, соединение формулы (1) разлагается на 98,7% через 48 ч.

[00102] Таблица 4. CL2A-SN38

Время pH=6 pH=7 pH=8 0 1 1 1 2 0,747874 0,703812 0,628692 4 0,647065 0,585106 0,434695 6 0,412955 0,571543 0,38435 24 0,035931 0,022606 0,025316 48 0,020243 0,01906 0,019275

[00103] При pH 6 CL2A-SN38 разлагается на 98,0% через 48 часов;

[00104] При pH 7 CL2A-SN38 разлагается на 98,1% через 48 часов;

[00105] При pH 8 CL2A-SN38 разлагается на 98,1% через 48 часов.

[00106] Из результатов Таблицы 3 и Таблицы 4 видно:

[00107] 1) В слабокислых условиях, соединение формулы (1) является более стабильным, чем CL2A-SN38.

[00108] 2) В нейтральных условиях, соединение формулы (1) разлагается на 18% за 6 часов и на 75% за 24 часа, и CL2A-SN38 разлагается на 43% за 6 часов и на 98% за 24 часа.

[00109] 3) В щелочных условиях, соединение формулы (1) разлагается на 97% за 24 часа, и CL2A-SN38 разлагается на 98% за 24 часа.

[00110] Следовательно, по сравнению с CL2A-SN38, соединение формулы (1), полученное в настоящем изобретении, имеет более высокую стабильность в слабокислых или нейтральных условиях in vivo, что, как ожидается, значительно повышает безопасность лекарственных средств на основе ADC.

[00111] Пример 7. Оценка ингибирующего действия конъюгатов анти-Her2-лекарственное средство на развитие рака молочной железы in situ

[00112] 1. Экспериментальные методы

[00113] Линию клеток ВТ474 размораживают и пассируют 1-2 раза. После того как клетки вырастают в стабильном состоянии, их культивируют при размножении. Готовят суспензию опухолевых клеток. Голым мышам инокулируют 0,2*107 клеток BT474 в жировые подушечки молочных желез, и в общей сложности инокулируют 60 самок голых мышей BALB/c. Когда средний объем опухоли достигает примерно 70 мм3, 42 мыши отбирают и случайным образом делят на 6 групп в зависимости от объема опухоли: группа отрицательного контроля в качестве контрольной группы 1 (группа физиологического раствора), контрольная группа 2 (ADC-17), экспериментальная группа 1 (ADC-4), экспериментальная группа 2 (ADC-12), экспериментальная группа 3 (ADC-1) и экспериментальная группа 4 (ADC-9), по 7 мышей в каждой группе. После успешного создания модели согласно вышеуказанной группировке, контрольной группе 1 внутривенно вводят физиологический раствор, и остальным группам внутривенно вводят лекарственные средства в дозах 5 мг/кг для контрольной группы 2, 5 мг/кг для экспериментальной группы 1, 5 мг/кг для экспериментальной группы 2, 5 мг/кг для экспериментальной группы 3 и 5 мг/кг для экспериментальной группы 4 один раз в неделю в течение 21 недели. Мышей взвешивают и измеряют объемы опухолей 3 раза в неделю, и мышей взвешивают и измеряют объемы опухолей на 21 день.

[00114] 2. Результаты эксперимента и анализ

[00115] 1) Изменения массы тела мышей:

[00116] Таблица 5 Масса тела мышей

Группа Количество Масса (г) D1 D21 D1 D21 Контрольная группа 1 Физиологический раствор 7 7 18,40±
1,41
19,94±
1,22
Контрольная группа 2 ADC-17 7 7 18,73±
0,78
20,36±
0,90
Экспериментальная группа 1 ADC-4 7 7 18,43±
0,95
20,42±
0,86
Экспериментальная группа 2 ADC-12 7 7 18,43±
0,95
19,94±
0,72
Экспериментальная группа 3 ADC-1 7 7 17,88±
1,01
18,64±
1,31
Экспериментальная группа 4 ADC-9 7 7 18,13±
1,14
18,61±
1,04

[00117] В ходе эксперимента ни одна мышь не погибла. В конце эксперимента, каждая группа из контрольной группы 2 (группы ADC-17), экспериментальной группы 1 (ADC-4), экспериментальной группы 2 (ADC-12), экспериментальной группы 3 (ADC-1) и экспериментальной группы 4 (ADC-9) не показала существенной разницы в массе тела по сравнению с контрольной группой 1. См. Таблицу 5 и ФИГ. 1 для подробностей.

[00118] 2) Объем опухоли у мышей:

[00119] Таблица 6. Объем опухоли у мышей

Группа Объем опухоли (мм3) RTV T/C (%) D1 D21 Контрольная группа 1 Физиологический раствор 75,60±
24,66
107,07±
19,30##
1,52±
0,39##
-
Контрольная группа 2 ADC-17 67,95±
15,73
49,17±
13,29**
0,75±
0,19**
49,30
Экспериментальная группа 1 ADC-4 68,24±
13,13
57,12±
20,28**
0,83±
0,27**
55,00
Экспериментальная группа 2 ADC-12 70,73±
16,36
66,26±
21,37**
0,95±
0,26*
62,58
Экспериментальная группа 3 ADC-1 66,47±
14,09
61,32±
12,82**
0,95±
0,23**
62,48
Экспериментальная группа 4 ADC-9 70,73±
17,99
75,76±
46,18*
1,02±
0,35*
67,19

Примечание. Каждую группу сравнивают с контрольной группой 1 группы физиологического раствора, где «*» представляет P <0,05, и «**» представляет P <0,01; и каждую группу сравнивают с контрольной группой 2, где «#» представляет P <0,05, и «##» представляет P <0,01.

[00120] Объем опухоли контрольной группы 1 достигает 107±19,30 мм3 на 21 день после введения, и объем опухоли контрольной группы 2, экспериментальной группы 1, экспериментальной группы 2, экспериментальной группы 3 и экспериментальной группы 4 составляет 49,17±13,29, 57,12±20,28, 66,26±21,37, 61,32±12,82, 75,76±46,18 и 75,19±25,99 мм3, соответственно (см. Таблицу 6). Среди них, контрольная группа 2, экспериментальная группа 1, экспериментальная группа 2 и экспериментальная группа 3 статистически очень значимо отличаются (P<0,01) от контрольной группы 1 (группа физиологического раствора), и экспериментальная группа 4 статистически значимо отличается (P <0,05) от контрольной группы 1. Объемы опухолей экспериментальной группы 1, экспериментальной группы 2 и экспериментальной группы 3 статистически значимо не отличаются (P >0,05) от таковых в контрольной группе 2, и их относительные объемы опухолей также существенно не отличаются (P >0,05), т. е. эффекты сопоставимы. Среди них, относительная скорость пролиферации опухоли (T/C) в контрольной группе 2, экспериментальной группе 1, экспериментальной группе 2, экспериментальной группе 3 и экспериментальной группе 4 составляет 49,30%, 55,00%, 62,58%, 62,48%, 67,19%, и 63,20%, соответственно. Из приведенных выше данных можно узнать, что все четыре конъюгата антитело-лекарственное средство, соответствующие контрольной группе 2, экспериментальной группе 1, экспериментальной группе 2 и экспериментальной группе 3, протестированные в этом эксперименте, значительно ингибируют рост опухоли BT474 с сопоставимыми эффектами, и экспериментальная группа 4 также ингибирует рост опухоли BT474. Изменения объема опухоли и относительного объема опухоли в каждой группе в ходе эксперимента показаны на ФИГ. 2 и ФИГ. 3, соответственно.

[00121] Таким образом, ADC, сконструированные с использованием промежуточных соединений конъюгата лекарственного средства по настоящему описанию, демонстрируют значительную противоопухолевую активность против клеточной модели BT474 рака молочной железы. Предпочтительные ADC-1, ADC-4 и ADC-12 имеют значительные преимущества и, как ожидалось, значительно улучшают безопасность в условиях in vivo, обеспечивая при этом ингибирующие опухоль эффекты, сравнимые с эффектами группы ADC-17.

[00122] Настоящее описание проиллюстрировано различными конкретными примерами. Однако специалист в данной области техники может понять, что настоящее описание не ограничено каждым конкретным вариантом осуществления, и специалист в данной области техники сможет вносить различные изменения или модификации в пределах объема настоящего описания, и каждая техническая особенность, упомянутая в различных местах в этом описании, могут быть объединены друг с другом, не выходя за рамки сути и объема настоящего изобретения. Такие изменения и модификации входят в объем настоящего изобретения.

Похожие патенты RU2840789C2

название год авторы номер документа
КОНЪЮГАТ АНТИТЕЛО-ЛЕКАРСТВЕННОЕ СРЕДСТВО, НАГРУЖЕННЫЙ БИНАРНЫМИ ТОКСИНАМИ, И ЕГО ПРИМЕНЕНИЕ 2021
  • Хуан, Чанцзян
  • Сунь, Юсян
  • Сен, Дзюкай
  • Кун, Нана
  • Янь, Синьсинь
RU2795148C2
ЛИНКЕР ДЛЯ КОНЪЮГАТОВ АНТИТЕЛО-ЛЕКАРСТВЕННОЕ СРЕДСТВО И ИХ ПРИМЕНЕНИЕ 2019
  • Хуан, Чанцзян
  • Е, Хуэй
  • Чэнь, Ху
  • Чжань, Сючжи
  • Шэнь, Нань
  • Ло, Вэньтин
  • Хоу, Цяохуа
  • Фан, Цзяньминь
RU2792201C2
КОВАЛЕНТНЫЕ ЛИНКЕРЫ В КОНЪЮГАТАХ АНТИТЕЛО-ЛЕКАРСТВЕННОЕ СРЕДСТВО, СПОСОБЫ ИХ ПОЛУЧЕНИЯ И ПРИМЕНЕНИЕ 2016
  • Хуан Чан Цзян
  • Фан Цзяньминь
  • Е Хуэй
  • Чжан Лэчжи
RU2698727C1
Олигопептидное линкерное промежуточное соединение и способ его получения 2019
  • Ли Лэлэ
  • Хуан Чанцзян
RU2775973C1
КОНЪЮГАТ АНТИТЕЛО-ЛЕКАРСТВЕННОЕ СРЕДСТВО, ИМЕЮЩИЙ КИСЛОТНЫЙ САМОСТАБИЛИЗИРУЮЩИЙСЯ УЧАСТОК СОЕДИНЕНИЯ 2018
  • Чжу, И
  • Ван, Ицянь
  • Ли, Цзе
  • Чжо, Ши
  • Вань, Вэйли
RU2793125C2
СПОСОБ ПОЛУЧЕНИЯ ПРОМЕЖУТОЧНОГО СОЕДИНЕНИЯ КОНЪЮГАТА АНТИТЕЛО-ЛЕКАРСТВЕННОЕ СРЕДСТВО 2019
  • Хуан, Чанцзян
  • Е, Хой
  • Яо, Сюэцзин
  • Цзе, Хаохуа
  • Чжай, Шичжун
  • Фан, Цзяньминь
RU2724436C1
НОВЫЕ КОНЪЮГАТЫ АНТИТЕЛ И ИХ ПРИМЕНЕНИЯ 2014
  • Торгов Майкл
  • Говард Филип Уилсон
RU2684468C2
СОЕДИНЕНИЯ, ВКЛЮЧАЮЩИЕ САМОРАСЩЕПЛЯЮЩУЮСЯ ГРУППУ 2015
  • Ким Йонг Зу
  • Парк Тае Кио
  • Воо Сунг Хо
  • Ким Сун Янг
  • Чо Дзонг Ун
  • Джунг Доо Хван
  • Йанг Дзеон
  • Мин Дзи Янг
  • Ли Хианг Соок
  • Парк Юн Хи
  • Риу Дзеонг Хи
  • Ох Киу Ман
  • Ох Йеонг Соо
  • Чае Дзейвоок
  • Сонг Хо Йоунг
  • Чунг Чул-Воонг
RU2712744C2
ЭФФЕКТИВНОСТЬ КОНЪЮГАТОВ АНТИТЕЛА ПРОТИВ TROP-2 С ЛЕКАРСТВЕННЫМ СРЕДСТВОМ SN-38 ДЛЯ ТЕРАПИИ РЕЦИДИВИРУЮЩИХ/РЕФРАКТЕРНЫХ К ИНГИБИТОРАМ КОНТРОЛЬНОЙ ТОЧКИ ОПУХОЛЕЙ 2017
  • Говиндан Серенгулам В.
  • Голденберг Девид М.
RU2725292C2
ОДНОРЕАКТОРНЫЙ СПОСОБ ПОЛУЧЕНИЯ ПРОМЕЖУТОЧНОГО ПРОДУКТА КОНЪЮГАТА АНТИТЕЛО-ЛЕКАРСТВЕННОЕ СРЕДСТВО 2020
  • Юй, Чжаосин
  • Ли, Синьфан
  • Лань, Минчао
  • Мао, Синьцзе
RU2745738C1

Иллюстрации к изобретению RU 2 840 789 C2

Реферат патента 2025 года ПРОМЕЖУТОЧНОЕ СОЕДИНЕНИЕ КОНЪЮГАТА АНТИТЕЛО-ЛЕКАРСТВЕННОЕ СРЕДСТВО, СОДЕРЖАЩЕЕ SN38, И СПОСОБ ЕГО ПОЛУЧЕНИЯ

Изобретение относится к промежуточному соединению конъюгата антитело-лекарственное средство, содержащему SN38, и способу его получения. Водорастворимую группу ПЭГ, обладающую биологической активностью, вводят в линкерную структуру и осуществляют структурную модификацию ПЭГ. Способ обладает простотой и экономичностью, а также является более экологически безопасным, поскольку в реакцию не вводят ионы тяжелых металлов. По сравнению с промежуточными соединениями конъюгата антитело-лекарственное средство, в которых SN38 представляет собой токсин в существующей технологии, использование промежуточного соединения конъюгата антитело-лекарственное средство, синтезированного указанным способом получения, предлагает более высокую стабильность и эффективность. 3 н. и 21 з.п. ф-лы, 3 ил., 6 табл., 7 пр.

Формула изобретения RU 2 840 789 C2

1. Промежуточное соединение конъюгата антитело-лекарственное средство, представленное формулой (I)

где X1 выбран из группы, состоящей из -(СН2)m- и - (CH2CH2O)р-, где m выбран из 1, 2, 3, 4, 5 и 6 и р выбран из 1, 2, 3, 4, 5 и 6;

Х2 представляет собой Н или -C(O)NR1R2; и

R1 выбран из группы, состоящей из водорода, замещенного или незамещенного C1-6 алкила и

R2 выбран из группы, состоящей из водорода, замещенного или незамещенного C1-6 алкила и

где каждый замещенный C1-6 алкил необязательно замещен 1-5 заместителями, независимо выбранными из группы, состоящей из галогена, гидроксила, амино, карбоксила и 5-10-членного гетероциклила, где 5-10-членный гетероциклил имеет 1-3 гетероатома, выбранных из группы, состоящей из кислорода и азота.

2. Промежуточное соединение конъюгата антитело-лекарственное средство по п. 1, отличающееся тем, что m равен 5 и р равен 2.

3. Промежуточное соединение конъюгата антитело-лекарственное средство по п. 1, отличающееся тем, что X1 выбран из группы, состоящей из:

4. Промежуточное соединение конъюгата антитело-лекарственное средство по п. 1, отличающееся тем, что R1 или R2 независимо выбран из группы, состоящей из: Н, метила, этила, пропила, бутила, пентила, и

5. Промежуточное соединение конъюгата антитело-лекарственное средство по любому из пп. 1-4, отличающееся тем, что Х2 выбран из группы, состоящей из:

6. Промежуточное соединение конъюгата антитело-лекарственное средство, отличающееся тем, что промежуточное соединение конъюгата антитело-лекарственное средство имеет структуру, представленную формулами (1) - (16):

7. Способ получения промежуточного соединения конъюгата антитело-лекарственное средство, где промежуточное соединение конъюгата антитело-лекарственное средство представляет собой:

где R1 выбран из группы, состоящей из водорода, замещенного или незамещенного С1-6 алкила и

R2 выбран из группы, состоящей из водорода и замещенного или незамещенного С1-6 алкила и

где каждый замещенный С1-6 алкил необязательно замещен 1-5 заместителями, независимо выбранными из группы, состоящей из галогена, гидроксила, амино, карбоксила и 5-10-членного гетероциклила, где 5-10-членный гетероциклил имеет 1-3 гетероатома, выбранных из группы, состоящей из кислорода и азота;

предпочтительно R1 или R2 выбран из группы, состоящей из: Н, метила, этила, пропила, бутила, пентила,

где способ выбран из следующих реакционных процессов:

реакционный процесс 1:

8. Способ по п. 7, отличающийся тем, что соединение (1-1) выбрано из группы, состоящей из:

9. Способ по п. 7, отличающийся тем, что реакционный процесс 1 включает следующие условия:

реакция А: растворение соединения а и соединения b в растворителе, перемешивание при комнатной температуре в течение соответствующего времени, добавление восстановителя при низкой температуре, перемешивание в течение соответствующего времени и затем перемешивание при комнатной температуре в течение ночи для проведения реакции; после завершения реакции сушка растворителя вращением и затем экстракция, сушка и очистка;

реакция В: растворение SN38 и бис(п-нитрофенил)карбоната (DNPC) в растворителе, добавление органического основания и перемешивание при комнатной температуре в течение соответствующего времени для проведения реакции; после завершения реакции сушка растворителя вращением и затем растирание и фильтрация;

реакция С: растворение продукта, полученного реакцией В, в растворителе, добавление продукта, полученного реакцией А, и органического основания, перемешивание при комнатной температуре в течение соответствующего времени для проведения реакции; после завершения реакции сушка растворителя вращением и затем очистка;

реакция D: растворение продукта, полученного реакцией С, в растворителе, добавление кислоты и перемешивание при низкой температуре в течение соответствующего времени для проведения реакции; после завершения реакции сушка растворителя вращением, растворение малеимидогексановой кислоты-L-валил-L-цитруллин-п-аминобензил-п-нитрофенилкарбоната (Mc-VC-PAB-PNP) в растворителе, перемешивание при низкой температуре в течение соответствующего времени и добавление органического основания для проведения реакции; после завершения реакции сушка растворителя вращением и затем очистка.

10. Способ по п. 7, отличающийся тем, что реакционный процесс 2 включает следующие условия:

реакция А: растворение соединения а и соединения b в растворителе, перемешивание при комнатной температуре в течение соответствующего времени, добавление восстановителя при низкой температуре, перемешивание в течение соответствующего времени и затем перемешивание при комнатной температуре в течение ночи для проведения реакции; после завершения реакции сушка растворителя вращением и затем экстракция, сушка и очистка;

реакция В: растворение SN38 и бис(п-нитрофенил)карбоната (DNPC) в растворителе, добавление органического основания и перемешивание при комнатной температуре в течение соответствующего времени для проведения реакции; после завершения реакции сушка растворителя вращением и затем растирание и фильтрация;

реакция С: растворение продукта, полученного реакцией В, в растворителе, добавление продукта, полученного реакцией А, и органического основания, перемешивание при комнатной температуре в течение соответствующего времени для проведения реакции; после завершения реакции сушка растворителя вращением и затем очистка;

реакция D: растворение продукта, полученного реакцией С, в растворителе, добавление кислоты и перемешивание при низкой температуре в течение соответствующего времени для проведения реакции; после завершения реакции сушка растворителя вращением, растворение малеимиддиэтокси-L-валил-L-цитруллин-п-аминобензил-р-нитрофенил карбоната (MP2-VC-PAB-PNP) в растворителе, перемешивание при низкой температуре в течение соответствующего времени и добавление органического основания для проведения реакции; после завершения реакции сушка растворителя вращением и затем очистка.

11. Способ по п. 7, отличающийся тем, что реакционный процесс 3 включает следующие рабочие условия:

реакция А: растворение соединения а и соединения b в растворителе, перемешивание при комнатной температуре в течение соответствующего времени, добавление восстановителя при низкой температуре, перемешивание в течение соответствующего времени и затем перемешивание при комнатной температуре в течение ночи для проведения реакции; после завершения реакции сушка растворителя вращением и затем экстракция, сушка и очистка;

реакция В: растворение SN38 и бис(п-нитрофенил)карбоната (DNPC) в растворителе, добавление органического основания и перемешивание при комнатной температуре в течение соответствующего времени для проведения реакции; после завершения реакции сушка растворителя вращением и затем растирание и фильтрация;

реакция С: растворение продукта, полученного реакцией В, в растворителе, добавление продукта, полученного реакцией А, и органического основания и перемешивание при комнатной температуре в течение соответствующего времени для проведения реакции; после завершения реакции сушка растворителя вращением и затем очистка;

реакция D: растворение продукта, полученного реакцией С, в растворителе, добавление бис(п-нитрофенил)карбоната и органического основания и перемешивание при постоянной температуре в течение соответствующего времени для проведения реакции; после завершения реакции сушка растворителя вращением и затем очистка;

реакция Е: растворение продукта, полученного реакцией D, и амина в растворителе, добавление органического основания и перемешивание при низкой температуре в течение соответствующего времени для проведения реакции; после завершения реакции сушка растворителя вращением и затем очистка;

реакция F: растворение продукта, полученного реакцией Е, в растворителе, добавление кислоты и перемешивание при низкой температуре в течение соответствующего времени для проведения реакции; после завершения реакции сушка растворителя вращением, растворение малеимидогексановой кислоты-L-валил-L-цитруллин-п-аминобензил-п-нитрофенилкарбоната (Mc-VC-PAB-PNP) в растворителе, перемешивание при низкой температуре в течение соответствующего времени и добавление органического основания для проведения реакции; после завершения реакции сушка растворителя вращением и затем очистка.

12. Способ по п. 7, отличающийся тем, что реакционный процесс 4 включает следующие рабочие условия:

реакция А: растворение соединения а и соединения b в растворителе, перемешивание при комнатной температуре в течение соответствующего времени, добавление восстановителя при низкой температуре, перемешивание в течение соответствующего времени и затем перемешивание при комнатной температуре в течение ночи для проведения реакции; после завершения реакции сушка растворителя вращением и затем экстракция, сушка и очистка;

реакция В: растворение SN38 и бис(п-нитрофенил)карбоната (DNPC) в растворителе, добавление органического основания и перемешивание при комнатной температуре в течение соответствующего времени для проведения реакции; после завершения реакции сушка растворителя вращением и затем растирание и фильтрация;

реакция С: растворение продукта, полученного реакцией В, в растворителе, добавление продукта, полученного реакцией А, и органического основания и перемешивание при комнатной температуре в течение соответствующего времени для проведения реакции; после завершения реакции сушка растворителя вращением и затем очистка;

реакция D: растворение продукта, полученного реакцией С, в растворителе, добавление бис(п-нитрофенил)карбоната и органического основания и перемешивание при постоянной температуре в течение соответствующего времени для проведения реакции; после завершения реакции сушка растворителя вращением и затем очистка;

реакция Е: растворение продукта, полученного реакцией D, и амина в растворителе, добавление органического основания и перемешивание при низкой температуре в течение соответствующего времени для проведения реакции; после завершения реакции сушка растворителя вращением и затем очистка;

реакция F: растворение продукта, полученного реакцией Е, в растворителе, добавление кислоты и перемешивание при низкой температуре в течение соответствующего времени для проведения реакции; после завершения реакции сушка растворителя вращением, растворение малеимиддиэтокси-L-валил-L-цитруллин-п-аминобензил-р-нитрофенил карбоната (MP2-VC-PAB-PNP) в растворителе, перемешивание при низкой температуре в течение соответствующего времени и добавление органического основания для проведения реакции; после завершения реакции сушка растворителя вращением и затем очистка.

13. Способ по любому из пп. 7-12, отличающийся тем, что «при низкой температуре» относится к бане с ледяной водой.

14. Способ по любому из пп. 7-12, отличающийся тем, что растворитель представляет собой полярный растворитель и/или неполярный растворитель, где полярный растворитель выбран из группы, состоящей из ТГФ, ДМФ, ДМА, NMP и их смеси; и неполярный растворитель выбран из группы, состоящей из дихлорметана, четыреххлористого углерода и их смеси.

15. Способ по любому из пп. 7-12, отличающийся тем, что органическое основание выбрано из группы, состоящей из N,N-диизопропилэтиламина, триэтиламина, пиридина и их смеси, предпочтительно, одного или обоих из N,N-диизопропилэтиламина и пиридина.

16. Способ по любому из пп. 7-12, отличающийся тем, что кислота представляет собой одну или две кислоты, выбранные из группы, состоящей из хлористоводородной кислоты, трифторуксусной кислоты и лимонной кислоты.

17. Способ по любому из пп. 7-12, отличающийся тем, что амин представляет собой первичный амин или вторичный амин.

18. Способ по любому из пп. 7-12, отличающийся тем, что в реакции А экстракцию проводят с использованием этилацетата и очистку проводят колоночной хроматографией с использованием дихлорметана и метанола в качестве элюента.

19. Способ по любому из пп. 7-12, отличающийся тем, что в реакции В растирание проводят с использованием этилацетата, гексана, дихлорметана или их комбинации.

20. Способ по любому из пп. 7-12, отличающийся тем, что в реакции С очистку проводят колоночной хроматографией с использованием дихлорметана и метанола в качестве элюента.

21. Способ по любому из пп. 7-12, отличающийся тем, что в реакции D очистку проводят колоночной хроматографией с использованием дихлорметана и метанола в качестве элюента.

22. Способ по любому из пп. 7-12, отличающийся тем, что в реакции Е очистку проводят колоночной хроматографией с использованием дихлорметана и метанола в качестве элюента.

23. Способ по любому из пп. 7-12, отличающийся тем, что в реакции F очистку осуществляют методом препаративной жидкостной хроматографии с использованием MeCN и 0,1% НСООН в качестве подвижной фазы А и H2O и 0,1% НСООН в качестве подвижной фазы В.

24. Способ по любому из пп. 7-12, отличающийся тем, что все реакции проводят под защитой азота.

Документы, цитированные в отчете о поиске Патент 2025 года RU2840789C2

НОВЫЕ КОНЪЮГАТЫ АНАЛОГОВ СС-1065 И БИФУНКЦИОНАЛЬНЫЕ ЛИНКЕРЫ 2011
  • Бескер Патрик Хенри
  • Кауманс Руди Герардус Элизабет
  • Элгерсма Роналд Христиан
  • Менге Виро Михаэль Петрус Бернардус
  • Йостен Йоханнес Альбертус Фредерикус
  • Спейкер Хенри Йоханнес
  • Де Грот Франсискус Маринус Хендрикус
RU2578719C9
WO 2017180813 A1, 19.10.2017
WO 2019101850 A1, 31.05.2019
СПОСОБ ПОЛУЧЕНИЯ МОНОЗАЩИЩЕННЫХ α,ω-ДИАМИНОАЛКАНОВ 2017
  • Менге, Виро Михаэль Петрус Бернардус
RU2747400C2
ЭФФЕКТИВНОСТЬ КОНЪЮГАТОВ АНТИТЕЛА ПРОТИВ TROP-2 С ЛЕКАРСТВЕННЫМ СРЕДСТВОМ SN-38 ДЛЯ ТЕРАПИИ РЕЦИДИВИРУЮЩИХ/РЕФРАКТЕРНЫХ К ИНГИБИТОРАМ КОНТРОЛЬНОЙ ТОЧКИ ОПУХОЛЕЙ 2017
  • Говиндан Серенгулам В.
  • Голденберг Девид М.
RU2725292C2

RU 2 840 789 C2

Авторы

Хуан, Чанцзян

Сен, Дзюкай

Янь, Синьсинь

Юй, Хунся

Даты

2025-05-28Публикация

2022-11-01Подача