КОМПОЗИЦИИ И СПОСОБЫ КРИОКОНСЕРВАЦИИ КЛЕТОК Российский патент 2025 года по МПК A01N1/00 C12N5/00 

Описание патента на изобретение RU2840854C1

ПЕРЕКРЕСТНАЯ ССЫЛКА НА РОДСТВЕННЫЕ ЗАЯВКИ

[0001] Данная заявка испрашивает приоритет предварительной заявки США с серийным номером 62/964,074, поданной 21 января 2020 г., содержание которой включено в данный документ посредством ссылки.

УРОВЕНЬ ТЕХНИКИ

[0002] Замораживание клеток уже давно используется для сохранения живых клеток после того, как клетки были удалены или отделены от организма-донора. Однако криоконсервация и восстановление живых клеток остается сложной задачей. Это связано как минимум с тем, что клетки, подвергнутые замораживанию и размораживанию, подвергаются суровым условиям, что, в свою очередь, приводит к низкой выживаемости.

[0003] Замораживание разрушительно для большинства живых клеток. Как правило, при замораживании внеклеточной среды клетки пытаются поддерживать осмотическое равновесие через мембрану, что приводит к потере внутриклеточной воды, что, в свою очередь, увеличивает внутриклеточную концентрацию растворенных веществ до тех пор, пока не произойдет внутриклеточное замораживании. Считается, что за повреждение клеток ответственны как эффекты внутриклеточного замораживания, так и эффекты растворения. Такие клеточные повреждения включают, например, повреждение клеточной плазматической мембраны, которое возникает в результате осмотической дегидратации клеток.

СУЩНОСТЬ ИЗОБРЕТЕНИЯ

[0004] Изобретатели неожиданно открыли среду для криоконсервации, которая позволяет замораживание и последующее размораживание жизнеспособных клеток. Замороженные и размороженные клетки с использованием сред и способов, описанных в настоящем документе, сохраняют высокую выживаемость, что позволяет использовать клетки для различных применений, включая, например, способы адоптивного переноса клеток.

[0005] В некоторых аспектах предложена среда для криоконсервации клеток млекопитающих, содержащая: диметилсульфоксид (ДМСО), дисахарид, сыворотку человека и IL-7 или IL-15.

[0006] В некоторых аспектах предложена среда для криоконсервации клеток млекопитающих, содержащая: диметилсульфоксид (ДМСО), дисахарид, сывороточный альбумин человека и IL-7 или IL-15.

[0007] В некоторых вариантах осуществления среда для криоконсервации включает IL-7 и IL-15.

[0008] В некоторых аспектах предложена среда для криоконсервации для криоконсервации клеток млекопитающих, содержащая от около 1% масс./об. до 10% масс./об. диметилсульфоксида (ДМСО), от около 0,25% масс./об. до 5% масс./об. дисахарида и от около 10% масс./об. до 90% масс./об. сыворотки человека.

[0009] В некоторых аспектах предложена среда для криоконсервации для криоконсервации клеток млекопитающих, содержащая от около 1% масс./об. до 10% масс./об. диметилсульфоксида (ДМСО), от около 0,25% масс./об. до 5% масс./об. дисахарида и от около 0,5% масс./об. до 30% масс./об. сывороточного альбумина человека.

[0010] В некоторых вариантах осуществления дисахарид представляет собой сахарозу.

[0011] В некоторых вариантах осуществления среда дополнительно содержит D-глюкозу.

[0012] В некоторых вариантах осуществления среда для криоконсервации включает один или несколько цитокинов. В некоторых вариантах осуществления цитокины выбраны из IL-7HIL-15.

[0013] В некоторых вариантах осуществления среда для криоконсервации включает как IL-7, так и IL-15.

[0014] В некоторых вариантах осуществления IL-7 присутствует в конечной концентрации от около 1 нг/мл до 50 нг/мл.

[0015] В некоторых вариантах осуществления IL-7 присутствует в конечной концентрации около 5 нг/мл.

[0016] В некоторых вариантах осуществления IL-15 присутствует в конечной концентрации от около 1 нг/мл до 50 нг/мл.

[0017] В некоторых вариантах осуществления IL-15 присутствует в конечной концентрации около 5 нг/мл.

[0018] В некоторых вариантах осуществления среда для криоконсервации дополнительно включает среду для культивирования клеток млекопитающих. В некоторых вариантах осуществления среда для культивирования клеток млекопитающих присутствует в количестве от около 10% масс./об. до 90% масс./об. В некоторых вариантах осуществления среда для культивирования клеток млекопитающих не содержит компонентов животного происхождения, отличных от человека.

[0019] В некоторых вариантах осуществления среда для криоконсервации дополнительно включает одну или несколько аминокислот.

[0020] В некоторых вариантах осуществления среда для криоконсервации дополнительно включает одну или несколько неорганических солей.

[0021] В некоторых вариантах осуществления рН находится в диапазоне от около 7 до 8. Например, рН составляет около 7,2, 7,3, 7,4, 7,5, 7,6, 7,7 и 7,8. В некоторых вариантах осуществления рН составляет около 7,4.

[0022] В некоторых вариантах осуществления предложен набор, который включает среду для криоконсервации, описанную в настоящем документе.

[0023] В некоторых аспектах предложен способ криоконсервации клеток млекопитающих, который включает: (а) приведение клеток в контакт со средой для криоконсервации, описанной в настоящем документе; и (b) охлаждение клеток на около 1°С/минуту до температуры -80°С или ниже.

[0024] В некоторых аспектах предложен способ криоконсервации и восстановления жизнеспособных клеток, включающий: (а) приведение клеток в контакт со средой для криоконсервации, описанной в настоящем документе; (b) охлаждение клеток на около 1°С/минуту до температуры -80°С или ниже, тем самым обеспечивая криоконсервацию клеток; и (с) размораживание криоконсервированных клеток.

[0025] В некоторых вариантах осуществления размороженные криоконсервированные клетки не промывают перед последующим культивированием или трансплантацией субъекту.

[0026] В некоторых вариантах осуществления размороженные криоконсервированные клетки имеют повышенную выживаемость клеток по сравнению с клетками, замороженными и размороженными в среде для криоконсервации, не описанной в настоящем документе. Например, размороженные криоконсервированные клетки имеют повышенную выживаемость клеток по сравнению с клетками, замороженными и размороженными в общедоступной среде для криоконсервации.

[0027] В некоторых вариантах осуществления размороженные криоконсервированные клетки обладают повышенной выживаемостью клеток in vitro.

[0028] В некоторых вариантах осуществления размороженные криоконсервированные клетки обладают повышенной выживаемостью клеток после трансплантации субъекту.

[0029] В некоторых вариантах осуществления клетки млекопитающих представляют собой лимфоциты или клетки-предшественники.

[0030] В некоторых вариантах осуществления клетки млекопитающих представляют собой генетически модифицированные лимфоциты или клетки-предшественники.

[0031] В некоторых вариантах осуществления клетки млекопитающих представляют собой лимфоциты или клетки-предшественники, происходящие из индуцированных плюрипотентных клеток (иПСК).

[0032] В некоторых вариантах осуществления лимфоциты представляют собой Т-клетки или естественные клетки-киллеры (NK).

[0033] В некоторых вариантах осуществления клетки-предшественники представляют собой иПСК, гемопоэтические клетки-предшественники (ГПК) или эмбриональные стволовые клетки (ЭСК).

[0034] В некоторых вариантах осуществления клетки млекопитающих подходят для адоптивной клеточной терапии.

[0035] Различные аспекты изобретения подробно описаны в следующих разделах. Использование разделов не предназначено для ограничения изобретения. Каждый раздел может относиться к любому аспекту изобретения. В данной заявке использование «или» означает «и/или», если не указано иное. В контексте данного документа формы единственного числа включают ссылки на формы как единственного, так и множественного числа, если из контекста явно следует иное.

КРАТКОЕ ОПИСАНИЕ ГРАФИЧЕСКИХ МАТЕРИАЛОВ

[0036] На ФИГ. 1 показан план эксперимента, который включает в себя различные количества криосоставов и их композиций, количество мышей, на которых тестировался каждый состав, и дни активации и трансдукции иСАRТ-клеток.

[0037] На ФИГ. 2 показана схематическая иллюстрация получения иCART-клеток из замороженных Т-клеток, полученных из иПСК («иТ-клетки»).

[0038] На ФИГ. 3А показан план эксперимента для проверки in vivo эффективности иСАRТ-клеток, которые были криоконсервированы с использованием криосостава №2, криосостава №6 и криосостава №10. Схема включает содержимое составов, количество мышей, на которых тестировали каждый состав, дозы клеток, вводимых мышам, и дни активации/отбора клеток. На ФИГ. 3В показана средняя in vivo эффективность иСАRТ-клеток, которые были криоконсервированы с использованием криосостава №2, криосостава №6 и криосостава №10. На ФИГ. 3С показана эффективность иСАRТ-клеток in vivo у каждой мыши, которая была криоконсервирована с использованием криосостава №2, криосостава №6 или криосостава №10. Эффективность и СART-клеток in v/уовыражали в терминах общего потока излучения.

[0039] На ФИГ. 4 показан план эксперимента для проверки влияния низкого и высокого уровня промывки криосоставов на эффективность in vivo и САRТ-клеток дикого типа. Схема включает три различных состава, дозы иСАRТ-клеток, количество мышей, на которых тестировали каждый состав, и способы введения клеток-мишеней (например, клеток Nalm6) и иСАRТ-клеток.

[0040] На ФИГ. 5 показана эффективность in vivo иСАRТ-клеток, которые были криоконсервированы с использованием составов, показанных на ФИГ. 4. Эффективность иСАRТ-клеток in vivo, выраженную в терминах экспрессии люциферазы, измеряли через одну неделю после введения иСАRТ-клеток.

[0041] На ФИГ. 6 показана эффективность in vivo иСАRТ-клеток, которые были криоконсервированы с использованием составов, показанных на ФИГ. 4. Эффективность иСАRТ-клеток in vivo, выраженную в терминах экспрессии люциферазы, измеряли через две недели после введения иСАRТ-клеток.

[0042] На ФИГ. 7А показаны пять различных составов/условий, которые использовали для приготовления иСАRТ-клеток из криохранилища. На ФИГ. 7В иллюстрирует схему эксперимента для проверки эффективности in vivo свежих иСАRТ-клеток по сравнению с иСАRТ-клетками из криохранилища. Схема включает пять различных составов, дозы иСАRТ-клеток, замороженную термокультуру из хранилища и размножение из криохранилища, а также количество мышей, на которых тестировался каждый состав. На ФИГ. 7С показана схематическая иллюстрация графика введения клеток-мишеней и эффекторных клеток (свежие или иСАRТ-клетки из криохранилища) в экспериментальной схеме, показанной на ФИГ. 7В.

[0043] На ФИГ. 8 показана эффективность иСАRТ-клеток in vivo через шесть недель после введения свежих иСАRТ-клеток или из криохранилища. Эффективность иСАRТ-клеток in vivo выражали в терминах экспрессии люциферазы у мышей.

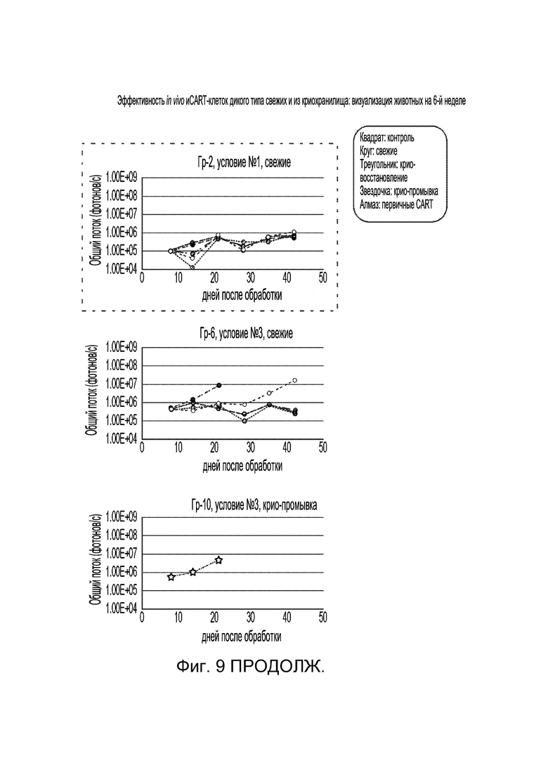
[0044] На ФИГ. 9 показана эффективность иСАRТ-клеток in vivo через шесть недель после введения свежих иСАRТ-клеток или из криохранилища. Эффективность иСАRТ-клеток in vivo была выражена с точки зрения общего потока, количественного выражения уровня экспрессии люциферазы.

[0045] На ФИГ. 10 показаны тринадцать различных криосоставов с цитокинами и без них.

[0046] На ФИГ. 11А и 11В показана схема эксперимента для оценки in vivo эффективности иСАRТ-клеток, которые были криоконсервированы с использованием составов, показанных на ФИГ. 10.

[0047] На ФИГ. 12 показана эффективность in vivo (с точки зрения экспрессии люциферазы) иСАRТ-клеток через три недели после введения иСАRТ-клеток.

[0048] На ФИГ. 13 показана эффективность in vivo (с точки зрения экспрессии люциферазы) иСАRТ-клеток через четыре недели после введения иСАRТ-клеток.

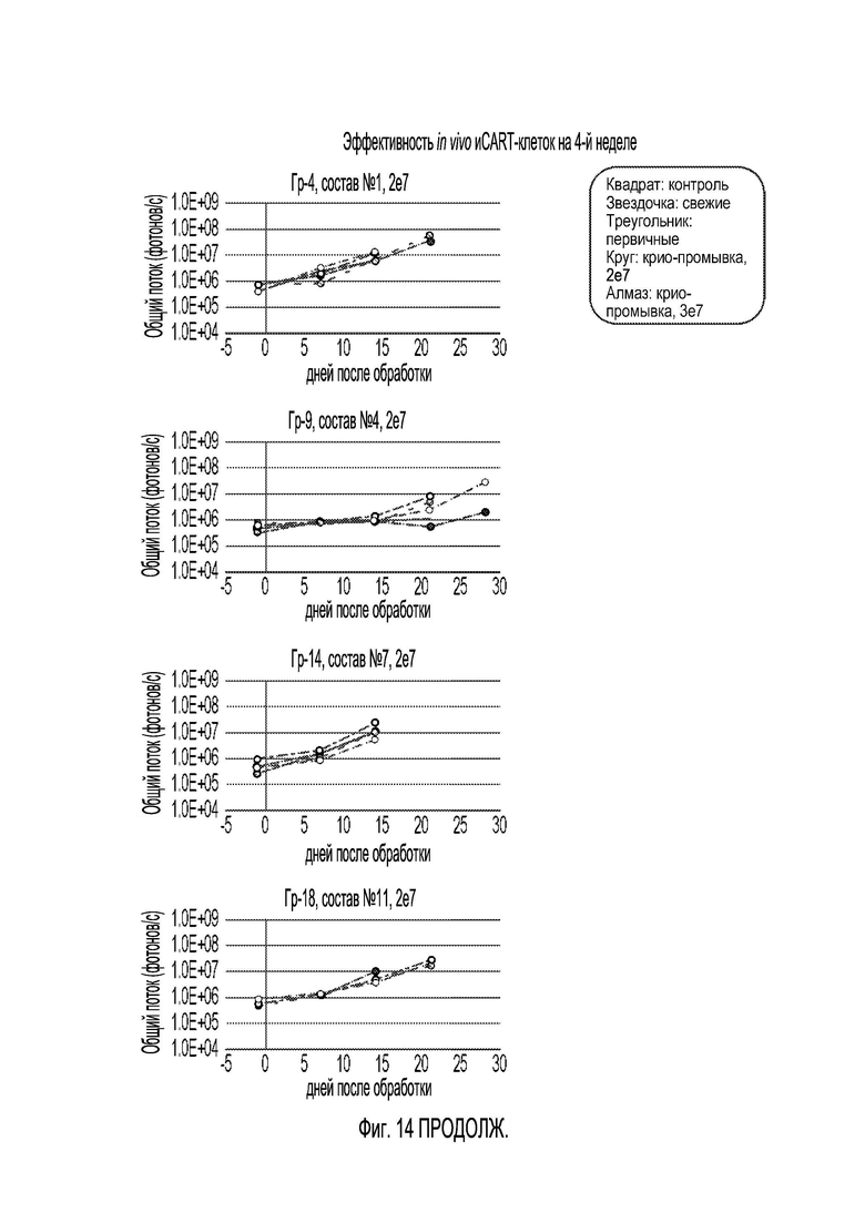
[0049] На ФИГ. 14 показана эффективность иСАRТ-клеток in vivo через четыре недели после введения иСАRТ-клеток. Эффективность иСАRТ-клеток in у/уовыражали в виде общего потока.

[0050] На ФИГ. 15 показана клеточная кинетика (в пересчете на клетки CD45+CD3+) иСАRТ-клеток в течение четырех недель после введения иСАRТ-клеток. Клеточная кинетика иСАRТ-клеток была выражена относительно различных составов.

ОПРЕДЕЛЕНИЯ

[0051] Введение: Используемые в данном документе термины «введение» или «доставка» используются взаимозаменяемо в контексте доставки интересующей замороженной клетки нуждающемуся в этом пациенту. В данной области техники известны различные способы введения клеток пациентам в виде векторов, включая, например, введение клеток нуждающемуся пациенту внутривенными или хирургическими способами.

[0052] Адаптивная клеточная терапия: Используемый в данном документе термин «адаптивный перенос клеток» или «АПК» относится к переносу клеток нуждающемуся в этом пациенту. Клетки могут быть получены и размножены от нуждающегося пациента или могут быть получены от донора, не являющегося пациентом. В некоторых вариантах осуществления клетка представляет собой иммунную клетку, такую как лимфоцит. Для АПК можно использовать различные типы клеток, такие как Т-клетки, CD8+ клетки, CD4+ клетки, NK-клетки, дельта-гамма Т-клетки, регуляторные Т-клетки и мононуклеарные клетки периферической крови. Кроме того, клетки, которые были криоконсервированы с использованием описанных в данном документе композиций и/или способов, могут быть дополнительно генетически модифицированы и сохранять высокую жизнеспособность и пригодность для применения в АПК. Например, в некоторых вариантах осуществления замороженные клетки могут быть генетически модифицированы для введения химерного антигенного рецептора (CAR, англ.: chimeric antigen receptor). В качестве альтернативы, в некоторых вариантах осуществления клетка, которая уже была ранее генетически модифицирована (например, CAR-T-клетка), может быть криоконсервирована с использованием среды для криоконсервации и/или способов, описанных в настоящем документе, и сохранить высокую выживаемость и пригодность для применения в АПК.

[0053] Животное: Используемый в данном документе термин «животное» относится к любому члену царства животных. В некоторых вариантах осуществления «животное» относится к людям на любой стадии развития. В некоторых вариантах осуществления «животное» относится к отличным от человека животным на любой стадии развития. В некоторых вариантах осуществления животное, не являющееся человеком, представляет собой млекопитающее {например, грызун, мышь, крысу, кролик, обезьяну, собаку, кошку, овцу, крупный рогатый скот, примат и/или свинью). В некоторых вариантах осуществления животные включают, помимо прочего, млекопитающих, птиц, рептилий, амфибий, рыб, насекомых и/или червей. В некоторых вариантах осуществления животное может быть трансгенным животным, генно-модифицированным животным и/или клоном.

[0054] Приблизительно или около: Используемый в данном документе термин «приблизительно» или «около» применительно к одному или нескольким представляющим интерес значениям относится к значению, которое аналогично заявленному эталонному значению. В некоторых вариантах осуществления термин «приблизительно» или «около» относится к диапазону значений, которые попадают в пределы 25%, 20%, 19%, 18%, 17%, 16%, 15%, 14%, 13%, 12%, 11%, 10%, 9%, 8%, 7%, 6%, 5%, 4%, 3%, 2%, 1% или менее в любую сторону (больше или меньше) от установленного эталонного значения, если не указано иное или иное не очевидно из контекста (за исключением случаев, когда такое число превышало бы 100% от возможного значения).

[0055] Криоконсервация: Используемый в данном документе термин «криоконсервация» или «замораживание» обычно относится к способу, при котором клетки замораживают для поддержания клеточной жизнеспособности. Криоконсервированные клетки сохраняют жизнеспособность в течение длительного периода времени в замороженном состоянии, например, в течение 1, 5, 10 или более лет в криоконсервированном состоянии. Криоконсервированные клетки после размораживания способны размножаться как для применений in vitro, так и in vivo.

[0056] Свежая клетка: Используемый в данном документе термин «свежая» или «свежая клетка» относится к клеткам млекопитающих, которые никогда не подвергались замораживанию.

[0057] Функциональный эквивалент или производное: Используемый в данном документе термин «функциональный эквивалент» или «функциональное производное» обозначает в контексте функционального производного аминокислотной последовательности молекулу, которая сохраняет биологическую активность (либо функциональную, либо структурную), которая по существу аналогична активности исходной последовательности. Функциональное производное или эквивалент может быть природным производным или может быть получено синтетическим путем. Типичные функциональные производные включают аминокислотные последовательности, имеющие замены, делеции или добавления одной или нескольких аминокислот, при условии, что биологическая активность белка сохраняется. Желательно, чтобы замещающая аминокислота имела химико-физические свойства, подобные свойствам замещенной аминокислоты. Желаемые сходные химико-физические свойства включают сходство заряда, объемность, гидрофобность, гидрофильность и т.п.

[0058] In vitro: Используемый в данном документе термин «ш vitro» относится к событиям, которые происходят в искусственной среде, например, в пробирке или реакционном сосуде, в культуре клеток и т.д., а не в многоклеточном организме.

[0059] In vivo: Используемый в данном документе термин «in vivo» относится к событиям, происходящим в многоклеточном организме, таком как человек и животное, отличное от человека. В контексте клеточных систем этот термин может использоваться для обозначения событий, происходящих внутри живой клетки (в отличие, например, от систем in vitro).

[0060] Первичная клетка: Термин «первичная клетка» относится к клеткам, которые выделяют непосредственно от субъекта и которые впоследствии размножают.

[0061] Полипептид: Используемый в данном документе термин «полипептид» относится к последовательной цепи аминокислот, связанных друг другом посредством пептидных связей. Этот термин используется для обозначения аминокислотной цепи любой длины, но средний специалист в данной области техники поймет, что термин не ограничен длинными цепями и может относиться к минимальной цепи, включающей две аминокислоты, связанные вместе посредством пептидной связи. Как известно специалистам в данной области, полипептиды могут быть процессированы и/или модифицированы.

[0062] Белок: Используемый в данном документе термин «белок» относится к одному или нескольким полипептидам, которые функционируют как отдельные единицы. Если один полипептид представляет собой дискретную функциональную единицу и не требует постоянной или временной физической ассоциации с другими полипептидами для формирования дискретной функциональной единицы, термины «полипептид» и «белок» могут использоваться взаимозаменяемо. Если дискретная функциональная единица состоит из более чем одного полипептида, которые физически связаны друг с другом, термин «белок» относится к множеству полипептидов, которые физически связаны и функционируют вместе как отдельная единица.

[0063] Субъект: Используемый в данном документе термин «субъект» относится к человеку или любому животному, отличному от человека (например, мыши, крысе, кролику, собаке, кошке, крупного рогатого скоту, свиньям, овцам, лошадям или приматам). Понятие человек включает пре- и постнатальные формы. Во многих вариантах осуществления субъект представляет собой человека. Субъектом может быть пациент, который относится к человеку, представленному медицинскому учреждению для диагностики или лечения заболевания. Термин «субъект» применяется в данном документе взаимозаменяемо с «индивидуумом» или «пациентом». Субъект может быть поражен или являться предрасположенным к заболеванию или нарушению, но может и не иметь симптомов заболевания или нарушения.

[0064] По существу: В контексте данного документа термин «по существу» относится к качественному состоянию, демонстрирующему общую или почти полную степень, или степень представляющей интерес характеристики или свойства. Специалист в области биологических наук поймет, что биологические и химические явления редко, если вообще когда-либо, доходят до завершения и/или переходят к завершению, достигают или исключают абсолютный результат. Таким образом, термин «по существу» применяется в данном документе для обозначения потенциального недостатка полноты, присущей многим биологическим и химическим явлениям.

[0065] Страдает от: Индивидуум, который «страдает» заболеванием, расстройством и/или состоянием, имеет один или несколько симптомов заболевания, расстройства и/или состояния, или проявляет их.

[0066] Терапевтически эффективное количество: Используемый в данном документе термин «терапевтически эффективное количество» терапевтического агента означает количество, которое является достаточным при введении субъекту, страдающему или подверженному заболеванию, расстройству и/или патологическому состоянию, для лечения, диагностики, предотвращения и/или задержки проявления симптома(-ов) заболевания, расстройства и/или патологического состояния. Специалистам в данной области техники должно быть понятно, что терапевтически эффективное количество обычно вводят посредством схемы применения, включающей по меньшей мере одну стандартную дозу.

[0067] Лечение: Используемый в данном документе термин «лечить», «лечение» или «процесс лечения» относится к любому способу, используемому для частичного или полного облегчения, ослабления, улучшения, подавления, предотвращения, задержки проявления, уменьшения тяжести и/или уменьшения частоты возникновения одного или более симптомов или признаков конкретного заболевания, расстройства и/или патологического состояния. Лечение может быть назначено субъекту, у которого нет признаков заболевания и/или выявляются только ранние признаки заболевания с целью снижения риска развития патологии, связанной с заболеванием.

[0068] Перечисление числовых диапазонов по конечным точкам в данном документе включает все числовые и дробные значения, входящие в этот диапазон (например, от 1 до 5 включает 1, 1,5, 2, 2,75, 3, 3,9, 4 и 5). Также следует понимать, что предполагается, что все числа и их дробные значения заменены термином «около».

[0069] Различные аспекты изобретения подробно описаны в следующих разделах. Использование разделов не предназначено для ограничения изобретения. Каждый раздел может относиться к любому аспекту изобретения. В данной заявке использование «или» означает «и/или», если не указано иное. В контексте данного документа формы единственного числа включают ссылки на формы как единственного, так и множественного числа, если из контекста явно следует иное.

ПОДРОБНОЕ ОПИСАНИЕ СУЩНОСТИ ИЗОБРЕТЕНИЯ

Композиции для криоконсервации клеток

[0070] В настоящем документе предложены различные среды для криоконсервации, подходящие для криоконсервации и последующего размораживания жизнеспособных клеток млекопитающих.

[0071] В некоторых аспектах подходящая криоконсервирующая среда для криоконсервации и последующего размораживания жизнеспособных клеток содержит диметилсульфоксид (ДМСО), дисахарид, цитокин. Подходящая среда для криоконсервации также включает сывороточный альбумин человека или сыворотку человека.

[0072] Подходящие цитокины, которые можно использовать в среде для криоконсервации, включают, например, IL-7 и IL-15. Соответственно, в некоторых вариантах осуществления среда для криоконсервации включает IL-7. В некоторых вариантах осуществления среда для криоконсервации включает IL-15. В некоторых вариантах осуществления среда для криоконсервации включает как IL-7, так и IL-15. В некоторых вариантах осуществления в среду для криоконсервации добавляют один или несколько дополнительных цитокинов.

[0073] В среде для криоконсервации можно использовать различные концентрации цитокинов. Например, в некоторых вариантах осуществления IL-7 присутствует в среде для криоконсервации в конечной концентрации от около 1 нг/мл до 50 нг/мл. Соответственно, в некоторых вариантах осуществления IL-7 присутствует в среде для криоконсервации в конечной концентрации около 1,0% масс./об, 1,5% масс./об., 2,0% масс./об., 2,5% масс./об., 3,0% масс./об., 3,5% масс./об., 4,0% масс./об., 4,5% масс./об., 5,0% масс./об., 5,5% масс./об., 6,0% масс./об., 6,5% масс./об., 7,0% масс./об., 7,5% масс./об., 8,0% масс./об., 8,5% масс./об., 9,0% масс./об., 9,5% масс./об., 10,0% масс./об., 10,5% масс./об., 11,0% масс./об., 11,5% масс./об., 12,0% масс./об., 12,5% масс./об., 13,0% масс./об., 13,5% масс./об., 14,0% масс./об., 14,5% масс./об., 15,0% масс./об., 15,5% масс./об., 16,0% масс./об., 16,5% масс./об., 17,0% масс./об., 17,5% масс./об., 18,0% масс./об., 18,5% масс./об., 19,0% масс./об., 19,5% масс./об., 20,0% масс./об., 20,5% масс./об., 21,0% масс./об., 21,5% масс./об., 22,0% масс./об., 22,5% масс./об., 23,0% масс./об., 23,5% масс./об., 24,0% масс./об., 24,5% масс./об., 25,0% масс./об., 25,5% масс./об., 26,0% масс./об., 26,5% масс./об., 27,0% масс./об., 27,5% масс./об., 28,0% масс./об., 28,5% масс./об., 29,0% масс./об., 29,5% масс./об., 30,0% масс./об., 30,5% масс./об., 31,0% масс./об., 31,5% масс./об., 32,0% масс./об., 32,5% масс./об., 33,0% масс./об., 33,5% масс./об., 34,0% масс./об., 34,5% масс./об., 35,0% масс./об.,35,5% масс./об., 36,0% масс./об., 36,5% масс./об., 37,0% масс./об., 37,5% масс./об., 38,0% масс./об., 38,5% масс./об., 39,0% масс./об., 39,5% масс./об., 40,0% масс./об., 40,5% масс./об., 41,0% масс./об., 41,5% масс./об., 42,0% масс./об., 42,5% масс./об., 43,0% масс./об., 43,5% масс./об., 44,0% масс./об., 44,5% масс./об., 45,0% масс./об., 45,5% масс./об., 46,0% масс./об., 46,5% масс./об., 47,0% масс./об., 47,5% масс./об., 48,0% масс./об., 48,5% масс./об., 49,0% масс./об., 49,5% масс./об., 50% масс./об. В некоторых вариантах осуществления IL-7 присутствует в среде для криоконсервации в конечной концентрации около 5,0% масс./об. В некоторых вариантах осуществления IL-15 присутствует в среде для криоконсервации в конечной концентрации от около 1 нг/мл до 50 нг/мл. Соответственно, в некоторых вариантах осуществления IL-15 присутствует в среде для криоконсервации в конечной концентрации около 1,0% масс./об, 1,5% масс./об., 2,0% масс./об., 2,5% масс./об., 3,0% масс./об., 3,5% масс./об., 4,0% масс./об., 4,5% масс./об., 5,0% масс./об., 5,5% масс./об., 6,0% масс./об., 6,5% масс./об., 7,0% масс./об., 7,5% масс./об., 8,0% масс./об., 8,5% масс./об., 9,0% масс./об., 9,5% масс./об., 10,0% масс./об., 10,5% масс./об., 11,0% масс./об., 11,5% масс./об., 12,0% масс./об., 12,5% масс./об., 13,0% масс./об., 13,5% масс./об., 14,0% масс./об., 14,5% масс./об., 15,0% масс./об., 15,5% масс./об., 16,0% масс./об., 16,5% масс./об., 17,0% масс./об., 17,5% масс./об., 18,0% масс./об., 18,5% масс./об., 19,0% масс./об., 19,5% масс./об., 20,0% масс./об., 20,5% масс./об., 21,0% масс./об., 21,5% масс./об., 22,0% масс./об., 22,5% масс./об., 23,0% масс./об., 23,5% масс./об., 24,0% масс./об., 24,5% масс./об., 25,0% масс./об., 25,5% масс./об., 26,0% масс./об., 26,5% масс./об., 27,0% масс./об., 27,5% масс./об., 28,0% масс./об., 28,5% масс./об., 29,0% масс./об., 29,5% масс./об., 30,0% масс./об., 30,5% масс./об., 31,0% масс./об., 31,5% масс./об., 32,0% масс./об., 32,5% масс./об., 33,0% масс./об., 33,5% масс./об., 34,0% масс./об., 34,5% масс./об., 35,0% масс./об.,35,5% масс./об., 36,0% масс./об., 36,5% масс./об., 37,0% масс./об., 37,5% масс./об., 38,0% масс./об., 38,5% масс./об., 39,0% масс./об., 39,5% масс./об., 40,0% масс./об., 40,5% масс./об., 41,0% масс./об., 41,5% масс./об., 42,0% масс./об., 42,5% масс./об., 43,0% масс./об., 43,5% масс./об., 44,0% масс./об., 44,5% масс./об., 45,0% масс./об., 45,5% масс./об., 46,0% масс./об., 46,5% масс./об., 47,0% масс./об., 47,5% масс./об., 48,0% масс./об., 48,5% масс./об., 49,0% масс./об., 49,5% масс./об., 50% масс./об. В некоторых вариантах осуществления IL-15 присутствует в среде для криоконсервации в конечной концентрации около 5,0% масс./об. В некоторых вариантах осуществления в среде для криоконсервации присутствуют как IL-7, так и IL-15. В некоторых вариантах осуществления IL-7 и IL-15 присутствуют в среде для криоконсервации в конечной концентрации около 5,0% масс./об. каждого. В некоторых вариантах осуществления IL-7 и IL-15 присутствуют в среде для криоконсервации в конечной концентрации около 2,25% масс./об. каждого.

[0074] В некоторых вариантах осуществления среда для криоконсервации содержит сыворотку человека. В некоторых вариантах осуществления среда для криоконсервации содержит сывороточный альбумин человека. В некоторых вариантах осуществления среда для криоконсервации включает как сыворотку человека, так и сывороточный альбумин человека.

[0075] В среде для криоконсервации можно использовать различные концентрации сыворотки человека. В некоторых вариантах осуществления среда для криоконсервации включает от около 10% масс./об. до 90% масс./об. сыворотки человека. Соответственно, в некоторых вариантах осуществления среда для криоконсервации содержит около 10% масс./об., 15% масс./об., 20% масс./об., 25% масс./об., 30% масс./об., 35% масс./об., 40% масс./об. %, 45% масс./об., 50% масс./об., 55% масс./об., 60% масс./об., 65% масс./об., 70% масс./об., 75% масс./об., 80% масс./об., 85% масс./об. или 90% масс./об. сыворотки человека.

[0076] В среде для криоконсервации можно использовать различные концентрации сывороточного альбумина человека. В некоторых вариантах осуществления среда для криоконсервации включает от около 0,5% масс./об. до 30% масс./об. альбумина сыворотки человека. Соответственно, в некоторых вариантах осуществления среда для криоконсервации включает около 0,5% мас./об., 1,0% мас./об, 1,5% мас./об., 2,0% мас./об., 2,5% мас./об., 3,0% мас./об., 3,5% мас./об., 4,0% мас./об., 4,5% мас./об., 5,0% мас./об., 6,0% мас./об., 6,5% мас./об., 7,0% мас./об., 7,5% мас./об., 8,0% мас./об., 8,5% мас./об., 9,0% мас./об., 10,0% мас./об., 10,5% мас./об., 11,0% мас./об., 11,5% мас./об., 12,0% мас./об., 12,5% мас./об., 13,0% мас./об., 13,5% мас./об., 14,0% мас./об., 14,5% мас./об., 15,0% мас./об., 15,5% мас./об., 16,0% мас./об., 16,5% мас./об., 17,0% мас./об., 17,5% мас./об., 18,0% мас./об., 18,5% мас./об., 19,0% мас./об., 19,5% мас./об., 20,0% мас./об., 20,5% мас./об., 21,0% мас./об., 21,5% мас./об., 22,0% мас./об., 22,5% мас./об., 23,0% мас./об., 23,5% мас./об., 24,0% мас./об., 24,5% мас./об., 25,0% мас./об., 25,5% мас./об., 26,0% мас./об., 26,5% мас./об., 27,0% мас./об., 27,5% мас./об., 28,0% мас./об., 28,5% мас./об., 29,0% мас./об., 29,5% мас./об. или 30,0% мас./об. сывороточного альбумина человека.

[0077] В среде для криоконсервации можно использовать различные концентрации ДМСО. В некоторых вариантах осуществления среда включает от около 1 до 10% масс./об. ДМСО. Соответственно, в некоторых вариантах осуществления среда включает около 1,0% масс./об., 1,5% масс./об., 2,0% масс./об., 2,5% масс./об., 3,0% масс./об., 3,5% масс./об., 4,0% масс./об. %, 4,5% масс./об., 5,0% масс./об., 5,5% масс./об., 6,0% масс./об., 6,5% масс./об., 7,0% масс./об., 7,5% масс./об., 8,0% масс./об., 8,5% масс./об., 9,0% масс./об., 9,5% масс./об. или 10% масс./об. ДМСО. В некоторых вариантах осуществления среда для криоконсервации содержит около 5,0% масс./об. ДМСО.

[0078] В некоторых вариантах осуществления среда для криоконсервации включает по меньшей мере один дисахарид. Например, в некоторых вариантах осуществления среда для криоконсервации включает по меньшей мере один из сахарозы, лактозы или мальтозы. В некоторых вариантах осуществления среда для криоконсервации содержит сахарозу.

[0079] В среде для криоконсервации можно использовать различные концентрации дисахарида. Например, в некоторых вариантах осуществления среда для криоконсервации включает дисахарид в концентрации около 0,25% масс./об., 0,5% масс./об., 0,75% масс./об., 1,0% масс./об., 1,25% масс./об., 1,5% масс./об., 1,75% масс./об., 2,0% масс./об., 2,25% масс./об., 2,5% масс./об., 2,75% масс./об., 3,0% масс./об., 3,25% масс./об., 3,5% масс./об., 3,75% масс./об., 4,0% масс./об., 4,25% масс./об., 4,5% масс./об., 4,75% масс./об., 5,0% масс./об., 5,5% масс./об., 6,0% масс./об., 6,5% масс./об., 7,0% масс./об., 7,5% масс./об., 8,0% масс./об., 8,5% масс./об., 9,0% масс./об., 9,5% масс./об. или 10% масс./об.

[0080] В некоторых вариантах осуществления среда для криоконсервации включает D-глюкозу.

[0081] В некоторых вариантах осуществления среда для криоконсервации дополнительно содержит среду для культивирования клеток млекопитающих. В данной области техники известны различные среды для культивирования клеток млекопитающих. Как правило, типичная среда для культивирования клеток включает различные аминокислоты, витамины, глюкозу, неорганические соли и сыворотку в качестве источника факторов роста, гормонов и факторов прикрепления. Среда для культивирования клеток также помогает регулировать рН и осмоляльность. В описанной в данном документе среде для криоконсервации можно использовать любую подходящую среду для культивирования клеток млекопитающих. Примеры известной среды для культивирования клеток млекопитающих включают, например, среду Дульбекко в модификации Пскова (IMDM), среду Игла в модификации Дульбекко (DMEM), минимальную питательную среду (MEM), среду Игла в модификации Дульбекко/питательную смесь F-12 (DMEM/F-12). В некоторых вариантах осуществления среда для культивирования клеток млекопитающих представляет собой IMDM. В некоторых вариантах осуществления среда для культивирования клеток млекопитающих не содержит компонентов животного происхождения, отличных от человека. В некоторых вариантах осуществления среда для культивирования клеток млекопитающих содержит одну или несколько из следующих аминокислот: глицин, L-аланин, гидрохлорид L-аргинина, L-аспарагин (свободное основание), L-аспарагиновую кислоту, L-цистин 2НСl, L-глутаминовую кислоту, L-глутамин, L-гистидин гидрохлорид-Н2O, L-изолейцин, L-лейцин, L-лизин гидрохлорид, L-метионин, L-фенилаланин, L-пролин, L-серин, L-треонин, L-триптофан, динатриевую соль L-тирозина, L-валин. В некоторых вариантах осуществления среда для культивирования клеток млекопитающих содержит один или несколько из следующих витаминов: биотин, хлорид холина, пантотенат D-кальция, фолиевую кислоту, ниацинамид, гидрохлорид пиридоксала, рибофлавин, гидрохлорид тиамина, витамин В12, i-инозитол. В некоторых вариантах осуществления среда для культивирования клеток млекопитающих содержит одну или несколько из следующих неорганических солей: хлорид кальция (СаСl2) (безводный), сульфат магния (MgSO4) (безводный), хлорид калия (КС1), нитрат калия (KNO3), бикарбонат натрия (NaHCO3), хлорид натрия (NaCl), одноосновный фосфат натрия (NaH2PO4-H2O), селенит натрия (Na2SeO3-5H20). В некоторых вариантах осуществления среда для культивирования клеток млекопитающих содержит одно или несколько из следующих веществ: D-глюкоза (декстроза), HEPES, феноловый красный, пируват натрия. В некоторых вариантах осуществления среда для культивирования клеток млекопитающих содержит: глицин 30,0 мг/л, L-аланин 25,0 мг/л, гидрохлорид L-аргинина 84,0 мг/л, L-аспарагин (свободное основание) 25,0 мг/л, L-аспарагиновую кислоту 30,0 мг/л, L-цистин 2НСl 91,4 мг/л, L-глутаминовую кислоту 75,0 мг/л, L-глутамин 584,0 мг/л, L-гистидина гидрохлорид-Н20 42,0 мг/л, L-изолейцин 105,0 мг/л, L-лейцин 105,0 мг/л, L-лизин гидрохлорид 146,0 мг /л, L-метионин 30,0 мг/л, L-фенилаланин 66,0 мг/л, L-пролин 40,0 мг/л, L-серин 42,0 мг/л, L-треонин 95,0 мг/л, L-триптофан 16,0 мг/л, динатриевую соль L-тирозина 104,0 мг/л, L-валин 94,0 мг/л, биотин 0,013 мг/л, хлорид холина 4,0 мг/л, пантотенат D-кальция 4,0 мг/л, фолиевую кислоту 4,0 мг/л, ниацинамид 4,0 мг/л, пиридоксала гидрохлорид 4,0 мг/л, рибофлавин 0,4 мг/л, гидрохлорид тиамина 4,0 мг/л, витамин В12 0,013 мг/л, i-инозитол 7,2 мг/л, хлорид кальция (СаСl2) (безводный) 165,0 мг/л, сульфат магния (MgSO4) (безводный) 97,67 мг/л, хлорид калия (KСl) 330,0 мг/л, нитрат калия (KNO3) 0,076 мг /л, бикарбонат натрия (NaHCO3) 3024,0 мг/л, хлорид натрия (NaCl) 4505,0 мг/л, одноосновный фосфат натрия (NaH2PO4-H2O) 125,0 мг/л, селенит натрия (Na2SeO3-5H20) 0,017 мг/л, D-глюкозу (декстрозу) 4500,0 мг/л, HEPES 5958,0 мг/л, феноловый красный 15,0 мг/л, пируват натрия 110,0 мг/л.

[0082] Различные концентрации среды для культивирования клеток млекопитающих могут присутствовать в среде для криоконсервации и включают, например, концентрации от около 10% масс./об. до 90% масс./об. Соответственно, в некоторых вариантах осуществления среда для культивирования клеток млекопитающих присутствует в среде для криоконсервации в количестве около 10% масс./об., 15% масс./об., 20% масс./об., 25% масс./об., 30% масс./об., 35% масс./об., 40% масс./об., 45% масс./об., 50% масс./об., 55% масс./об., 60% масс./об., 65% масс./об., 70% масс./об., 75% масс./об., 80% масс./об., 85% масс./об. или 90% масс./об.

[0083] В некоторых вариантах осуществления среда для криоконсервации имеет рН от около 7,3 до 7,5. Соответственно, в некоторых вариантах осуществления среда для криоконсервации имеет рН около 7,3, 7,35, 7,4, 7,45 или 7,5. В некоторых вариантах осуществления среда для криоконсервации имеет рН около 7,5. Метод криоконсервации клеток

[0084] Клетки, которые могут быть подвергнуты криоконсервации, как правило, включают любые клетки млекопитающих. В некоторых вариантах осуществления клетки, которые можно подвергнуть криоконсервации, включают стволовые клетки, другие клетки-предшественники, эритроциты и лейкоциты, сперматозоиды, ооциты, яйцеклетки и клеточные материалы, полученные из тканей и органов. Дополнительные примеры подходящих клеток включают, например, островковые клетки поджелудочной железы, хондроциты, клетки нервной системы, клетки печеночного происхождения, клетки офтальмолологического происхождения, клетки ортопедического происхождения, клетки соединительной ткани, клетки репродуктивного происхождения и клетки сердечного происхождения. В некоторых других вариантах осуществления клетки включают эритроциты, нейтрофильные, эозинофильные и базофильные гранулоциты, лимфоциты и тромбоциты. В некоторых вариантах осуществления лимфоцит включает В-лимфоциты, Т-лимфоциты, не-В-лимфоциты, не-Т-лимфоциты, лимфоциты, полученные из индуцированных плюрипотентных клеток, и генетически модифицированные лимфоциты. Лимфоциты дополнительно включают Т-клетки или естественные клетки-киллеры (NK). Клетки-предшественники включают эмбриональные стволовые клетки (ЭСК), гемопоэтические клетки-предшественники (ГКП) или индуцированные плюрипотентные клетки (иПСК).

[0085] В некоторых вариантах осуществления криоконсервация клеток включает стадии (i) введения клеток-мишеней в разбавленный раствор для криоконсервации (криосостав или среда для криоконсервации), (ii) замораживание или криоконсервирование защищенных клеток-мишеней, (iii) размораживание замороженного раствора до условий окружающей среды и (iv) введение размороженных клеток-мишеней субъекту, нуждающемуся в таких клетках-мишенях.

[0086] В некоторых вариантах осуществления раствор для криоконсервации перед использованием выдерживают при комнатной температуре, а смешанные клетки-мишени выдерживают при комнатной температуре в течение тридцати минут до начала замораживания без заметной потери жизнеспособности клеток. В некоторых других вариантах осуществления раствор для криоконсервации охлаждают примерно до 4°С перед добавлением клеток-мишеней, чтобы ускорить процесс замораживания, и требуется, чтобы процесс замораживания начинался сразу же после добавления раствора для криоконсервации к клеткам в чтобы свести к минимуму гибель клеток, вызванную присутствием раствора.

[0087] В некоторых вариантах осуществления объем разбавленного раствора для криоконсервации, который добавляют к клеткам-мишеням, зависит как от объемного соотношения раствора, содержащего клетки-мишени, к раствору для криоконсервации, так и от соотношения клеток-мишеней к раствору для криоконсервации. В некоторых вариантах осуществления объемное соотношение раствора, содержащего клетки-мишени, к раствору для криоконсервации обычно должно составлять от около 1:1 до 1:10, а соотношение клеток-мишеней к раствору для криоконсервации составляет от около 1×105 клеток/мл до около 1×109 клеток/мл. В некоторых вариантах осуществления соотношение клеток-мишеней к раствору для криоконсервации составляет от около 1×108 клеток/мл до 3×108 клеток/мл. Соотношения, превышающие указанные выше соотношения, могут привести к снижению концентрации жизнеспособных клеток из-за недостаточного количества раствора для криоконсервации, а соотношения, ниже указанных выше соотношений, просто могут привести к неэффективному использованию раствора для криоконсервации и необходимости введения субъекту избыточного количества раствора для криоконсервации для введения эффективного количества клеток-мишеней. Клетки-мишени часто доступны для сохранения только в разбавленной форме в качестве компонента биологической жидкости (например, стволовые клетки, концентрированные из периферической крови, обычно содержат стволовые клетки в концентрации от около 1×106 клеток/мл до около 3×108 клеток/мл с балансом, состоящим из других компонентов крови, таких как плазма и тромбоциты). Эти биологически разбавленные образцы обычно можно комбинировать с раствором для криоконсервации в объемном соотношении от около 2:1 до 1:4 (конечно, в зависимости от ряда факторов, включая конкретный состав разбавленного раствора для криоконсервации, концентрацию клеток-мишеней в биологически разведенном образце, типа клеток-мишеней и т.д.) для достижения оптимального соотношения клеток-мишеней к раствору для криоконсервации. В некоторых вариантах осуществления конечный раствор, содержащий клетки-мишени, обычно содержит от около 4 до 12 мас. % глицерина и от около 2 до 10 мас. % альбумина, с отклонениями за пределами этого общего диапазона, предусмотренными для некоторых применений.

[0088] В некоторых вариантах осуществления клетки-мишени суспендируют в растворе для криоконсервации для приготовления клеточной суспензии, полученную таким образом суспензию распределяют по пробиркам для замораживания, а полученные пробирки помещают непосредственно в морозильную камеру сверхнизкой температуры при -80°С для заморозки клеток. В некоторых других вариантах осуществления пробирки для замораживания можно поместить в запрограммированную морозильную камеру для медленной заморозки клеток. Консервацию замороженных клеток можно осуществить, поддерживая клетки при температуре, используемой для замораживания (например, -80°С). Для оптимального замораживания, для достижения жизнеспособности клеток при размораживании выше 80-90%, можно использовать способы медленного замораживания. Существует множество форм компьютеризированных морозильных камер, которые снижают температуру по градусу, пока она не достигнет -80°С; они часто включают компьютеризированную стратегию, при которой клетки задерживаются несколько дольше при температуре, при которой начинает образовываться лед, чтобы свести к минимуму повреждение клеток кристаллами льда. В некоторых вариантах осуществления медленное программируемое замораживание включает снижение начальной температуры со скоростью около 1°С в минуту до достижения конечной температуры. Соответственно, в некоторых вариантах осуществления медленное замораживание происходит со скоростью примерно 0,25°С, 0,5°С, 0,75°С, 1,0°С, 1,25°С, 1,5°С, 1,75°С, 2,0°С, 2,25°С, 2,5°С, 2,75°С или 3°С в минуту. В некоторых вариантах осуществления медленное замораживание включает: (а) охлаждение клеток от начальной температуры до конечной температуры примерно -80°С с использованием твердого диоксида углерода или (b) охлаждение клеток от начальной температуры до конечной температуры примерно -196°С с использованием жидкого азота.

[0089] В некоторых вариантах осуществления размороженные клетки с использованием среды и/или способов, описанных в настоящем документе, имеют жизнеспособность по меньшей мере около 70%, 75%, 80%, 85%, 90%, 95%, 99% или более.

[0090] Контролируемая медленная скорость охлаждения часто может быть эффективной для достижения оптимальной жизнеспособности клеток. Обычно считается, что разные типы клеток имеют разные оптимальные скорости охлаждения (см., например, Rowe, A.W. and Rinfret, А.Р., 1962, Blood 20:636; Ro We, A.W., 1966, Cryo Biology 3(1):12-18; Lewis, J.P., et al., 1967, transfusion 7(1): 17-32, и Mazur, P., 1970 Science 168:939-949 о влиянии скорости охлаждения на выживаемость стволовых клеток костного мозга и на их трансплантационный потенциал).

[0091] В некоторых вариантах осуществления контейнер, содержащий клетки, стабилен при криогенных температурах и допускает быструю передачу тепла для эффективного контроля как замораживания, так и размораживания. Запечатанные пластиковые флаконы (например, криулы Nunc и Wheaton) или стеклянные ампулы можно использовать для нескольких небольших количеств (от 1 до 2 мл), в то время как большие объемы от 100 до 200 мл можно замораживать в полиолефиновых пакетах, таких как пакеты, доступные от Fenwal, удерживаемых между металлическими пластинами.

[0092] В некоторых вариантах осуществления замороженные клетки затем переносят в сосуд для длительного криогенного хранения. В некоторых вариантах осуществления образцы криогенно хранят в жидком азоте (-196°С) или в парах жидкого азота (-105°С). Такое хранение значительно облегчается наличием высокоэффективных холодильников на жидком азоте.

[0093] Когда клетки необходимы, замороженные клетки и композицию подвергают процессу размораживания, после чего клетки можно восстановить. Кроме того, способ размораживания клеток также особо не ограничивается; например, клетки можно разморозить, поместив криоконсервированные пробирки для замораживания в водяную баню при 37°С. Другие неограничивающие примеры подходящего размораживания включают: (i) размораживание криоконсервированных клеток; (ii) добавление первого буферного раствора; (iii) отделение клеток от среды для криоконсервации и первого буферного раствора; и (iv) ресуспендирование клеток во втором буферном растворе. В некоторых вариантах осуществления размороженные клетки не промывают или не ополаскивают криогенным раствором перед использованием для применений in vitro или in vivo.

[0094] В некоторых вариантах осуществления первый и/или второй буферный раствор содержит сыворотку или замещающую сыворотку среду. В некоторых вариантах осуществления сыворотка представляет собой сыворотку человека или сыворотку животного происхождения, отличного от человека, такую как фетальная бычья сыворотка (ФБС). В некоторых вариантах осуществления замещающая сыворотку среда представляет собой одну или более из замещающей сыворотку среды Knockout от GIBCO и среды Кубота, необязательно дополненной альбумином, который, в свою очередь, необязательно представляет собой альбумин, полученный из человеческой сыворотки. В некоторых вариантах осуществления концентрация сыворотки составляет от около 2% до 20%, необязательно от около 10% до 20%, около 10% или около 20%. Понятно, что этот метод размораживания с «высоким содержанием сыворотки» может быть полезен для минимизации образования кристаллов льда, когда используется неизотонический буфер, из-за необходимости высокого содержания липидов в этом процессе. В некоторых вариантах осуществления концентрация сыворотки составляет от около 2% до 5%. Понятно, что этот метод размораживания с «низким содержанием сыворотки» можно использовать там, где используется изотонический буфер, поскольку не требуется высокое содержание липидов. В некоторых вариантах осуществления замещающая сыворотку среда содержит альбумин в концентрации от около 1% до 5%.

[0095] В некоторых вариантах осуществления первый и/или второй буферный раствор содержит буфер для размораживания. Понятно, что некоторые коммерчески доступные буферы для размораживания содержат сыворотку или заменитель сыворотки. Также понятно, что некоторые варианты осуществления могут включать размораживание с помощью средств, отличных от описанных выше.

[0096] Кроме того, следует понимать, что существует несколько способов отделения клеток от супернатанта, например, питательной среды, буферного раствора и/или раствора для криоконсервации. Неограничивающие примеры включают центрифугирование клеток; фильтрацию клеток через сито или фильтр; и фильтрацию типа френч-пресс.

[0097] В одном варианте осуществления криоконсервированные клетки сначала промывают 1 раз холодной средой, затем однократно промывают холодным DPBS, а затем ресуспендируют клетки в холодном DPBS перед инъекцией клеток субъекту. Низкая доза (промытые) означает 1,5Е7 CAR-положительных клеток на дозу, а высокая доза (промытые) означает 4,0Е7 CAR-положительных клеток на дозу.

[0098] В некоторых вариантах осуществления, благодаря физиологической совместимости раствора для криоконсервации, размороженные клетки-мишени вводят субъекту без разделения клеток-мишеней и раствора для криоконсервации. Таким образом, в некоторых вариантах осуществления размороженные клетки не промывают перед использованием. Размороженные клетки-мишени и сопутствующий раствор для криоконсервации предпочтительно нагревают до температуры тела (т.е. около 37°С) перед введением субъекту. В такой ситуации доза клеток основана на подсчете клеток до замораживания.

[0099] В некоторых вариантах осуществления размороженные клетки-мишени выдерживают в течение нескольких часов при комнатной температуре без заметной потери жизнеспособности клеток. В некоторых вариантах осуществления размороженный раствор медленно разбавляют физиологическим раствором или другим подходящим ионным раствором, чтобы снизить осмоляльность раствора с желаемого диапазона криоконсервации от 500 до 2000 мОсм/кг до физиологического диапазона от 260 до 320 мОсм/кг для уменьшения шока клеточных стенок, вызванного внезапными изменениями осмоляльности.

[0100] В некоторых вариантах осуществления размороженные клетки дополнительно культивируют. В некоторых вариантах осуществления культивирование включает помещение клеток в инкубатор; удаление буферного раствора; и замену буферного раствора культуральной средой, предназначенной для роста и/или дифференцировки клеток. В некоторых вариантах осуществления клетки инкубируют в инкубаторе в течение от около 6 до 7 часов. В некоторых вариантах осуществления культуральная среда, предназначенная для роста и/или дифференцировки клеток, включает среду Кубота и/или среду с определенным гормональным составом (HDM) для дифференцировки клеток.

[0101] Жизнеспособность размороженных клеток можно оценить как in vitro, так и in vivo. В некоторых вариантах осуществления тесты жизнеспособности клеток in vitro включают анализ исключения трипанового синего. В некоторых вариантах осуществления можно использовать другие аналитические методы для оценки жизнеспособности размороженных клеток, которые были заморожены с использованием различных растворов для криоконсервации, например экспрессию генов, с использованием ОТ-кПЦР и т.п. Специалист в данной области может выбрать любой аналитический метод для оценки жизнеспособности размороженных клеток, который можно применять для оценки жизнеспособности свежих клеток.

[0102] Жизнеспособность клеток in vivo, как правило, можно оценить путем оценки функциональных характеристик вводимых клеток in vivo. В некоторых вариантах осуществления жизнеспособность клеток in vivo можно оценить путем оценки количества клеток, которые были введены нуждающемуся субъекту. В данной области техники известны различные способы отслеживания клеток и определения жизнеспособности введенных клеток. Наборы

[0103] В настоящем изобретении предложена любая из описанных в данном документе композиций в виде наборов, необязательно включающих инструкции по применению композиций (например, для сохранения лимфоцитов или клеток-предшественников и/или других клеток). То есть набор может включать описание применения композиции в любом описанном в данном документе способе. Используемый в данном документе термин «набор» обычно означает упаковку, сборку или контейнер (такой как изолированный контейнер), включающий один или несколько компонентов изобретения и/или другие компоненты, связанные с изобретением, например, как описано выше. В некоторых вариантах осуществления каждый из компонентов набора представлен в жидкой форме (например, в растворе) или в твердой форме (например, в виде высушенного порошка, замороженной форме и т.д.).

[0104] В некоторых вариантах осуществления набор включает один или несколько компонентов, которые могут находиться в одной или двух или более емкостях, и/или в любой их комбинации. Емкость может содержать жидкость, а неограничивающие примеры включают бутылки, флаконы, банки, пробирки, фляги, химические стаканы и т.п. В некоторых вариантах осуществления емкость является водонепроницаемой (когда она закрыта, жидкость не может вытекать из емкости, независимо от ориентации емкости).

[0105] В некоторых вариантах осуществления набор содержит компоненты среды для криоконсервации, упакованные либо по отдельности, либо вместе. В некоторых вариантах осуществления набор доставляется при комнатной температуре (примерно 25°С), охлажденным (например, при температуре около 4°С) и/или любой один или несколько компонентов доставляются замороженными (например, от -20°С до -80°С, при около -150°С и т.д.) или в жидком азоте (около -196°С). В некоторых случаях один или несколько компонентов замораживают и/или доставляют на сухом льду (около -80°С).

[0106] Что касается растворов для криоконсервации, если присутствует более одного компонента (например, как описано выше), компоненты в некоторых вариантах осуществления замораживают вместе в одной общей жидкости (например, в одном общем сосуде) или в виде двух или более отдельных жидкостей (например, в отдельных сосудах).

[0107] В некоторых вариантах осуществления некоторые компоненты поддаются переработке (например, в активную форму), например, путем добавления подходящего растворителя или других веществ, которые могут поставляться или не поставляться с набором. Например, компонент может быть нагрет или к компоненту может быть добавлена жидкость (например, если компонент заморожен, лиофилизирован, доставляется в концентрированной форме и т.д.).

[0108] В некоторых случаях в комплект будет входить криогенный сосуд, который подходит для содержания материалов при криогенных температурах, например, жидкого азота. Специалистам в данной области техники известны подходящие криогенные сосуды, например, сосуд Дьюара (например, изготовленный из нержавеющей стали и/или алюминия и т.д.), сосуд для транспортировки в паровой фазе, контейнер из нержавеющей стали, контейнер из пенополистирола, или т.п. Как правило, криогенные температуры включают температуры ниже около -150°С, ниже около -170°С или ниже около -190°С. Например, жидкий азот имеет температуру кипения около -196°С.

[0109] В некоторых вариантах осуществления набор содержит емкость для хранения клеток. Например, емкость может быть сконструирована так, чтобы она могла выдерживать криогенные температуры без разрыва или разрушения. В некоторых вариантах осуществления емкость помещают в криогенный сосуд (например, с помощью поплавка (например, который может плавать на жидком азоте или другой криогенной жидкости внутри криогенного сосуда)). Неограничивающие примеры емкостей для клеток включают соломинки для клеток, стеклянные ампулы, криопробирки, криофлаконы и т.д. В некоторых случаях емкость может быть предварительно помечена.

[0110] Примеры других композиций или компонентов, связанных с изобретением, включают, помимо прочего, разбавители, соли, буферы, хелатирующие агенты, консерванты, осушающие агенты, противомикробные препараты, иглы, шприцы, упаковочные материалы, пробирки, бутылки, колбы, химические стаканы и тому подобное, например, для применения, модификации, сборки, хранения, упаковки, подготовки, смешивания, разбавления и/или сохранения компонентов для конкретного применения. В вариантах осуществления, где используются жидкие формы любого из компонентов, жидкая форма является концентрированной или готовой к использованию.

[0111] Набор по изобретению, как правило, включает инструкции или инструкции для веб-сайта или другого источника в любой форме, которые предусмотрены для использования набора в связи с компонентами и/или способами по изобретению. Например, инструкции могут включать инструкции по применению, модификации, смешиванию, разбавлению, консервированию, сборке, хранению, упаковке и/или приготовлению компонентов и/или других компонентов, связанных с набором. В некоторых случаях в инструкцию включают также инструкции по доставке компонентов, например, по транспортировке при комнатной температуре, минусовых температурах, криогенных температурах и т.д. Инструкции предоставляются в любой форме, удобной для пользователя набора, такой как письменная или устная (например, по телефону), цифровая, оптическая, визуальная (например, видеокассета, DVD и т.д.) и/или электронная связь (включая Интернет или веб-коммуникации), предоставляемые любым способом. Использование криоконсервированных клеток

[0112] Криоконсервированные и размороженные клетки с использованием среды для криоконсервации, описанной в настоящем документе, позволяют использовать клетки для любых целей, которые могут иметь первичные клетки или свежий клеточный изолят. Криоконсервированные и размороженные клетки сохраняют высокую жизнеспособность (например, более 70%, 75%, 80%, 85% или 90%) и сохраняют физиологические характеристики своего нативного состояния, что позволяет использовать клетки для различных целей, например, для генетических манипуляций с клетками и для целей клеточной терапии, таких как, например, применение в адоптивной клеточной терапии.

[0113] Различные генетические модификации и связанные с ними применения могут быть успешно выполнены с использованием криоконсервированных клеток, как описано в настоящем документе. В качестве одного примера, Т-клетки, либо непосредственно выделенные, либо полученные из иПС-источников (т.е. иТ-клетки), могут быть криоконсервированы, как описано в настоящем документе. Эти клетки впоследствии могут быть разморожены и генетически модифицированы желаемым образом, например, путем введения желаемого химерного антигенного рецептора (CAR). Эти генетически модифицированные иТ-клетки для экспрессии CAR (т.е. HCART-клетки) впоследствии могут быть либо криоконсервированы, либо введены пациенту, нуждающемуся в этом, с помощью методов адоптивной клеточной терапии. Такие клетки сохраняют высокую жизнеспособность и способны пролиферировать внутри субъекта-реципиента.

ПРИМЕРЫ

[0114] Другие признаки, цели и преимущества настоящего изобретения очевидны в следующих примерах. Однако следует понимать, что примеры, показывающие варианты осуществления настоящего изобретения, даны только в качестве иллюстрации, а не ограничения. Различные изменения и модификации в пределах объема изобретения станут очевидными специалистам в данной области техники из примеров.

Пример 1: Приготовление криосоставов для криоконсервации клеток

[0115] Этот пример иллюстрирует различные криосоставы, которые были приготовлены для криоконсервации HCART-клеток.

[0116] В этом примере было приготовлено одиннадцать различных криосоставов. Криосоставы представляли собой криосостав №1, криосостав №2, криосостав №3, криосостав №4, криосостав №5, криосостав №6, криосостав №7, криосостав №8, криосостав №9, криосостав №10 и криосостав №11. Состав всех этих криосоставов показан на ФИГ. 1. Эффективность этих криосоставов тестировали путем криоконсервации HCART-клеток дикого типа и последующей оценки их эффективности in vivo на NOD/Shi-scid, IL-2R гамма-нулевых мышах («мыши NSG»). Активация Т-клеток представляет собой антигензависимый процесс, ведущий к пролиферации и дифференцировке наивных Т-клеток в эффекторные клетки. Первичные CART-клетки и свежие CART-клетки использовали в качестве положительных контролей. Подробная процедура представлена ниже в Примере 3.

Пример 2: Получение uCART-клеток

[0117] Этот пример иллюстрирует подготовку иСАRТ-клеток перед оценкой их эффективности in vivo. На ФИГ. 2 показана схематическая иллюстрация получения иСАRТ-клеток из замороженных иТ-клеток.

[0118] ИСАRТ-клетки были получены из иТ-клеток. Замороженные иТ-клетки размораживали (день 1) и оставляли для восстановления в течение следующих трех дней. На 4-й день иТ-клеткам давали пройти первую стадию активации (Активация-1). Это было сделано путем культивирования иТ-клеток с активацией в соответствии с известным методом (например, методом, описанным в WO 2017/221975).

[0119] На 7-й день клетки подвергали первому этапу трансдукции (Трансдукция х 1), это осуществляли путем спинокуляции иТ-клеток с ретровирусным вектором на пластине, покрытой ретронектином. На 8-й день клетки подвергали второму этапу трансдукции (Трансдукция х 2). Это осуществляли путем спинокуляции клеток, полученных в Трансдукции х 1, с ретровирусным вектором на пластине, покрытой ретронектином. На 16-й день эти клетки подвергли второй активации (Активация-2). Это осуществляли путем культивирования клеток, полученных в Трансдукции х 2, с активационной средой (которая содержит IMDM (Thermo Fisher), 15% ФБС, 1х ПСГ, добавки инсулин-трансферрин-селен, 2-фосфат аскорбиновую кислоту, IL-7, IL-15, IL-12, IL-18, IL-21, TL-1A, ингибитор панкаспазы FMK Z-VAD и агонистическое антитело к CD30) в колбах, покрытых CD3, в течение 3 дней. После активации в течение трех дней клетки размножали в течение 12 дней (Размножение 1), при этом происходили процессы активации и трансдукции. После второй активации клетки размножали еще в течение 8 дней (Размножение 2). На 24-й день клетки, полученные в Размножении 2 (т.е. иСАRТ-клетки), подвергали криоконсервации с использованием различных криосоставов. На 28-й день иСАRТ-клетки, приготовленные таким образом, были готовы для инъекции мышам NSG. Пример 3: Сравнение in vivo эффективности uCART-клеток дикого типа, которые были сохранены с использованием различных криосоставов

[0120] В этом примере сравнивается эффективность in vivo иСАRТ-клеток дикого типа, которые были криоконсервированы с использованием трех разных криосоставов - криосостава №2, криосостава №6 и криосостава №10. Различные группы лечения, включающие эти три криосостава и дозы, показаны на ФИГ. 3А.

[0121] Эффективность иСАRТ-клеток дикого типа in vivo тестировали на мышах NSG. Мышам NSG трансплантировали экспрессирующие люциферазу клетки Nalm6 (АТСС; раковые клетки). Мыши NSG, самцы, в возрасте 4-5 недель были получены из лаборатории Джексона. Через четыре дня после трансплантации клеток Nalm6 иСАRТ-клетки, которые были криоконсервированы с использованием различных криосоставов, вводили мышам NSG с трансплантацией Nalm6 через хвостовую вену. После введения мышам HCART-клеток или первичных CART-клеток или свежих, мышам вводили люциферин через хвостовую вену. Активность люциферазы измеряли с использованием системы визуализации IVIS (PerkinElmer) по общему потоку излучения в течение более 60 дней после инокуляции Nalm6. Та же процедура, описанная в данном документе, также применима к другим примерам, где обсуждается эффективность клеток in vivo.

[0122] Эти эксперименты показали, что криосостав №6 имел наиболее выраженное снижение FLUX, что указывает на эффективность in vivo в снижении количества Nalm6-клеток у подопытного животного (ФИГ. 3В и 3С).

Пример 4: Влияние промывания криосоставов на эффективность in vivo uCART-клеток дикого типа

[0123] Этот пример иллюстрирует эффект включения стадий промывания в приготовление HCART-клеток, которые были криоконсервированы с использованием различных криосоставов перед их введением мышам. В этом примере тестировали следующие три состава, представленные в таблице 1.

[0124] Этапы промывки включали промывание криоконсервированных иCART-клеток 1 раз холодной средой, однократное промывание холодным DPBS и ресуспендирование клеток в холодном DPBS перед их инъекцией мышам. Низкий и высокий уровни промывки были выполнены именно так, как вы упомянули в данном документе: промывка 1 раз холодной средой, один раз промывка холодным DPBS и ресуспендирование клеток в холодном DPBS перед их инъекцией мышам. Для низкой и высокой дозы мы ресуспендировали конечную концентрацию CAR+ клеток до 1,5Е7/200 мкл и 4,0Е7/200 мкл DPBS, соответственно. Доза клеток была основана на подсчете количества клеток после размораживания. В условиях отсутствия промывки криоконсервированные клетки не промывали перед их инъекцией мышам. Клетки размораживали и вводили сразу после размораживания вместе с криосоставом. В условиях отсутствия промывки доза клеток была основана на подсчете клеток до замораживания.

[0125] Чтобы проверить влияние стадий промывки на эффективность иCART-клеток in vivo, была разработана схема эксперимента, показанная на ФИГ. 4. Эффективность nCART-клеток in vivo оценивали путем измерения активности люциферазы с использованием системы визуализации IVIS (PerkinElmer) в течение двух недель.

[0126] На ФИГ. 5 показана эффективность иСART-клеток in vivo через одну неделю после введения HCART-клеток. Мыши, которые получали только буфер ФСБ и не получали иСАRТ-клетки, демонстрировали очень высокую экспрессию люциферазы. У мышей, получавших первичные CART-клетки, не было никаких признаков экспрессии люциферазы. У мышей, обработанных различными составами, наблюдали незначительные признаки экспрессии люциферазы, демонстрирующие эффективность in vivo иCART-клеток, которые были криоконсервированы с использованием различных криосоставов. Одна мышь, получившая промытый состав 2 с низким уровнем промывки и обозначенная на фигуре прямоугольной рамкой, столкнулась с проблемой, связанной с инъекцией.

[0127] На ФИГ. 6 показана эффективность иCART-клеток in vivo через две недели после введения иCART-клеток. У мышей, которым вводили только буфер ФБС и не вводили иCART-клетки, экспрессия люциферазы была еще более интенсивной по сравнению с таковой на неделе 1. У мышей, которым вводили первичные CART-клетки, по-прежнему не наблюдается никаких признаков экспрессии люциферазы. В целом, у мышей, получавших различные составы, не было признаков экспрессии люциферазы или они были незначительными, что свидетельствует об эффективности in vivo иCART-клеток, которые были криоконсервированы с использованием различных криосоставов. Однако у мышей, получавших состав 2 с низким уровнем промывки и состав 3 с низким уровнем промывки, наблюдалась некоторая экспрессия люциферазы, в отличие от мышей, получавших другие составы, что указывает на то, что этапы с высоким уровнем промывки или без промывки лучше сохраняют иСАRТ-клетки.

Пример 5: Эффективность in vivo свежих иCART-клеток по сравнению с иCART-клетками из криохранилища

[0128] В этом примере сравнивается эффективность in vivo свежих HCART-клеток по сравнению с иСART-клетками из криохранилища В этом примере были испытаны пять различных составов, представленных на ФИГ. 7А. IL-7 и IL-15 добавляли в качестве цитокина в условиях №1, 2 и 4.

[0129] ИСАRТ-клетки размножали до приготовления состава. Чтобы выполнить размножение культуры HCART-клеток, клетки суспендировали в количестве 2000000 клеток в 15 мл среды IMDM, содержащей 15% ФБС и цитокины, указанные в таблице 2, и высевали в колбу Т25, где были иммобилизованы анти-СD3 антитело (ОКТ3) и ретронектин (Takara Bio). Культивирование клеток проводили при 5% СO2/37°С. Через 3 дня клетки собирали и подсчитывали количество клеток с помощью NucleoCounter NC-200 (ChemoMetec). Клетки суспендировали в подходящем количестве в среде IMDM (Thermo Fisher), содержащей 15% ФБС и цитокины, указанные в таблице 3, затем добавляли в незатвердевший планшет G-REX 6М (WILSONWOLF) и культивировали при 5% СO2/37°С в течение четырех дней.

[0130] После этапа размножения иСАRТ-клеток клетки собирали из G-REX, затем промывали промывочным буфером (5% HSA в Изолит С) с использованием прибора для обработки клеток Sefia S-2000, и клетки концентрировали до конечного объема примерно 50 мл при подготовке состава для криохранения. Криохранение осуществляли путем криоконсервации клеток с использованием CryoMED™ и хранили в морозильной камере при температуре -150°С.

[0131] Для того чтобы сравнить in vivo эффективность свежих HCART-клеток и HCART-клеток из криохранилища, использовали план эксперимента, показанный на ФИГ. 7 В. Через 17 дней после криоконсервации иСАRТ-клетки из криохранилища Гр-10 и 11 на ФИГ. 7 В размораживали с помощью ThawSTAR, дважды промывали холодным IMDM и повторно суспендировали в D-ФСБ в концентрации 1,0Е+07 клеток CART/доза. Через 7-14 дней после криоконсервации криоконсервированные клетки Гр-2-9 размораживали с помощью ThawSTAR и промывали IMDM, затем культивировали или размножали, затем промывали и ресуспендировали в D-ФСБ в концентрации 1,0Е+07 клеток CART/доза (как описано на ФИГ. 7 В). Свежие HCART-клетки или HCART-клетки из криохранилища вводили через четыре дня после инокуляции клеток-мишеней (т.е. клеток Nalm6) мышам NSG, как показано на ФИГ. 7С. Суспензию HCART-клеток вводили через хвостовую вену. В качестве контроля вводили тот же объем ФСБ. Подробности введений описаны на ФИГ. 7Б. HCART-клетки в Гр-2, 4 и 6 размножали в течение 7 дней таким же образом, как указано выше. иCART-клетки в Гр-3, 5, 7, 8 и 9 культивировали в течение 3 дней в IMDM с добавлением IL-7 и IL-15. Эффективность HCART-клеток in vivo оценивали путем измерения активности люциферазы с использованием системы визуализации IVIS (IVIS LUMINAII, производства CaliperLS) в течение шести недель.

[0132] На ФИГ. 8 показана эффективность иCART-клеток in vivo через шесть недель после введения свежих HCART-клеток или из криохранилища. Мыши, которым вводили только буфер ФСБ (контроль) или Гр-10/условие №3/промытый из криохранилища или Гр-11/условие №4/промытый из криохранилища, не выживали в течение шести недель, как показано крестиком (х) на ФИГ. 8. У мышей, получавших Гр-12 (первичные CART-клетки)/из криохранилища, наблюдалась очень незначительная экспрессия люциферазы. У мышей, получавших клетки Гр-2/свежие, экспрессия люциферазы отсутствовала. У мышей, получавших другие составы/условия, не было признаков экспрессии люциферазы или они были незначительными, что свидетельствует об эффективности in vivo иCART-клеток из криохранилища, которые были криоконсервированы с использованием различных криосоставов. Все мыши, получавшие Гр-2, условие №2, крио-восстановление, выжили в течение шести недель и не проявляли никаких признаков экспрессии люциферазы, что указывает на то, что этот состав является одним из наиболее эффективных составов.

[0133] На ФИГ. 9 показана эффективность HCART-клеток in vivo через шесть недель после введения свежих иCART-клеток или из криохранилища. Эффективность HCART-клеток in vivo была выражена с точки зрения общего потока, количественного выражения уровня экспрессии люциферазы. Все группы лечения, кроме Гр-1, контрольная; Гр-10, условие №3, крио-промывание; и Гр-11, условие №4, крио-промывание, продемонстрировали эффективность HCART-клеток in vivo по истечении шести недель. Важно, Гр-3, условие №1, крио-восстановление; Гр-5, условие №2, крио-восстановление; и Гр-8, условие №4, крио-восстановление были одними из самых эффективных составов. Пример 6: Оценка in vivo эффективности криоконсервированных иCART-клеток с использованием составов с цитокинами и без них

[0134] Этот пример иллюстрирует оценку in vivo эффективности HCART-клеток, которые были криоконсервированы с использованием составов с цитокинами и без них (IL-2, IL-7 и IL-15). HCART-клетки в этом примере были получены таким же образом, как в примере 5. После этапа размножения Т-клеток клетки собирали из G-REX, затем промывали промывочным буфером (5% HSA в Изолит S) с использованием прибора для обработки клеток Sefia S-2000, и клетки концентрировали до конечного объема примерно 50 мл при подготовке криосоставов. Криосоставы готовили путем криоконсервации клеток с использованием CryoMED™ и хранили в морозильной камере при температуре -150°С. В этом примере было приготовлено тринадцать различных криосоставов. Криосоставы представляли собой состав №1, состав №2, состав №3, состав №4, состав №5, состав №6, состав №7, состав №8, состав №9, состав №10, состав №11, состав №12 и состав №13. Содержание всех этих составов показано на ФИГ. 10.

[0135] Чтобы оценить in vivo эффективность иСАRТ-клеток, которые были криоконсервированы с использованием этих составов (с цитокинами (IL-7 и IL-15) и без них), была разработана схема эксперимента, как показано на ФИГ. 11А и 11В. Суспензию иСАRТ-клеток вводили через хвостовую вену. В качестве контроля вводили тот же объем ФСБ. Подробности введений описаны на ФИГ. 11А.

[0136] На ФИГ. 12 показана эффективность иСАRТ-клеток in vivo через три недели после введения иСАRТ-клеток. Эффективность иСАRТ-клеток in vivo была выражена с точки зрения уровня экспрессии люциферазы. Мыши, которых обрабатывали буфером ФСБ (контроль), или Гр-6 составом №2, или Гр-14 составом №7, или Гр-19 составом №12, или Гр-20 составом №13, не выживали в течение трех недель, как показано крестиком (х) на ФИГ. 12. У мышей, получавших Гр-3 (первичные CART-клетки), наблюдалась очень незначительная экспрессия люциферазы у одной из пяти обработанных мышей. У мышей, получавших Гр-2 (свежие HCART-клетки), наблюдалась некоторая экспрессия люциферазы у двух из пяти обработанных мышей. У мышей, обработанных другими составами/условиями, наблюдалась различная степень экспрессии люциферазы, что указывает на различную эффективность in vivo иCART-клеток, которые были криоконсервированы с использованием различных криосоставов. Среди мышей, получавших тот или иной состав, группы лечения: Гр-7 состав №3, Гр-8 состав №3, Гр-9 состав №4 и Гр-10 состав №4 были наиболее эффективными составами.

[0137] На ФИГ. 13 показана эффективность иCART-клеток in vivo через четыре недели после введения иCART-клеток. По истечении четырех недель Гр-7 состав №3 и Гр-8 состав №3 были среди наиболее эффективных составов.

[0138] На ФИГ. 14 показана эффективность иСАRТ-клеток in vivo через четыре недели после введения иСАRТ-клеток. Эффективность иСАRТ-клеток in vivо выражали в виде общего потока. Мыши, получавшие Гр-2 (свежие иСART-клетки), положительная контрольная группа, показали самый низкий общий поток, что указывает на наиболее эффективную группу. По истечении четырех недель Гр-7 состав №3, Гр-8 состав №3 и Гр-9 состав №4 были среди наиболее эффективных составов.

[0139] На ФИГ. 15 показана клеточная кинетика иСАRТ-клеток в течение четырех недель после введения иСАRТ-клеток. Для оценки устойчивости in vivo была проанализирована клеточная кинетика иСАRТ у мышей. Из хвостовой вены отбирали 30 мкл крови. 0,3 мкл aнти-CD3 антитела человека (Clone UCHT1, BioLegend) и 0,3 мкл анти-CD45 антитела человека (Clone HI30, BioLegend) добавляли непосредственно в кровь и проводили реакцию при комнатной температуре в течение 20 минут.После реакции выполняли гемолиз и фиксацию с помощью лизирующего раствора FACS (BD Biosciences), и двойные положительные клетки CD3 и CD45 человека определяли как иСАRТ с помощью LSR Fortessa (BD Biosciences). Клеточная кинетика иСАRТ-клеток была выражена с точки зрения CD45+CD3+ клеток. Среди составов состав №3, состав №4, состав №5, состав №10 и состав №11 показали более высокую экспрессию клеток CD45+CD3+ по сравнению с другими составами. Эти данные согласуются с результатами противоопухолевой эффективности in vivo. Например, иCART, приготовленный с №3, 4 и 5, показал более высокую стойкость in vivo, чем другие условия, что было тесно связано с более высокими противоопухолевыми эффектами. Поставщики каждого компонента составов, использованных в примерах 5 и 6, приведены в Таблица 4.

ЭКВИВАЛЕНТЫ И ОБЪЕМ ИЗОБРЕТЕНИЯ

[0140] Специалистам в данной области станет понятно или они смогут установить, используя не более чем рутинные эксперименты, существование многочисленных эквивалентов конкретных вариантов реализации изобретения, описанных в данном документе. Объем настоящего изобретения не предназначен для ограничения приведенного выше описания, а скорее изложен в следующей формуле изобретения.

Похожие патенты RU2840854C1

название год авторы номер документа
СПОСОБ КРИОКОНСЕРВАЦИИ КЛЕТОК, ИСКУССТВЕННЫЕ КЛЕТОЧНЫЕ КОНСТРУКЦИИ ИЛИ ТРЕХМЕРНЫЕ СЛОЖНЫЕ КОМПЛЕКСЫ ТКАНЕЙ 2010
  • Шмитт Тимо
  • Юст Лотар
  • Мазер Франц
  • Беккер Хольгер
RU2573307C2
КОМПОЗИЦИЯ И СПОСОБЫ КРИОКОНСЕРВАЦИИ КЛЕТОК HUTC 2017
  • Госевска Анна
  • Кихм Энтони Дж.
RU2748057C2
КРИОКОНСЕРВАЦИЯ ЭМБРИОНОВ КОПЫТНЫХ 2016
  • Санчес, Бруно Валенте
RU2730597C2
СПОСОБ КРИОКОНСЕРВАЦИИ ЗАГОТОВЛЕННОЙ ТКАНИ МЛЕКОПИТАЮЩИХ ИЛИ КУЛЬТИВИРОВАННОГО ЭКВИВАЛЕНТА ТКАНИ И УСТРОЙСТВО ДЛЯ ЕГО ОСУЩЕСТВЛЕНИЯ 1996
  • Уотсон Стивен Р.
  • Тонер Мехмет
  • Щумакоу Александр Г.
RU2178865C2
СПОСОБ ЛЕЧЕНИЯ ЗАБОЛЕВАНИЙ 2006
  • Шурдов Михаил Аркадьевич
  • Богачев Сергей Станиславович
  • Якубов Леонид Анатольевич
  • Рогачев Владимир Алексеевич
  • Николин Валерий Петрович
  • Попова Нелли Александровна
  • Лихачева Анастасия Сергеевна
  • Себелева Тамара Егоровна
  • Шилов Александр Геннадиевич
  • Жданова Наталья Сергеевна
  • Мечетина Людмила Васильевна
  • Врацких Оксана Вячеславовна
  • Серегин Сергей Николаевич
  • Черных Елена Рэмовна
  • Гельфгат Евгений Львович
RU2322264C1
ПРЕДШЕСТВЕННИК ИСКУССТВЕННОЙ ПОЧКИ И СПОСОБ ЕГО ПОЛУЧЕНИЯ 2009
  • Кобаяси Еидзи
  • Йокоо Такаси
  • Каи Коутаро
RU2511395C2
Способ заморозки ооцитов крупного рогатого скота 2018
  • Абакушина Елена Вячеславовна
  • Гельм Юлия Витальевна
  • Миценык Анастасия Сергеевна
RU2707252C1
КРИОКОНСЕРВИРУЮЩИЙ РАСТВОР, НЕ СОДЕРЖАЩИЙ ДМСО, И СПОСОБ ЕГО ПОЛУЧЕНИЯ И ПРИМЕНЕНИЕ 2020
  • Янь, Цзе
  • Цяо, Цзе
  • Янь, Лиин
  • Ли, Жун
  • Ван, Цзяньцзюнь
  • Цзинь, Шэнлинь
  • Лв, Цзяньюн
RU2785227C1
МАТЕРИАЛЫ И СПОСОБЫ ЛЕЧЕНИЯ РАКА 2019
  • Кендериан, Саад Дж.
  • Стернер, Розали М.
  • Кокс, Мишелль Дж.
  • Сакемура, Реона
RU2787828C2
ОБОГАЩЕНИЕ КЛЕТКАМИ, СОВМЕСТНО ЭКСПРЕССИРУЮЩИМИ NKX6.1 И C-ПЕПТИД, ПОЛУЧЕННЫМИ IN VITRO ИЗ СТВОЛОВЫХ КЛЕТОК 2018
  • Киркегорд, Жаннетт, Схлихтинг
RU2829777C2

Иллюстрации к изобретению RU 2 840 854 C1

Реферат патента 2025 года КОМПОЗИЦИИ И СПОСОБЫ КРИОКОНСЕРВАЦИИ КЛЕТОК

Изобретение относится к биотехнологии. Предложена среда для криоконсервации иммунных клеток млекопитающих, содержащая от около 1 до 10 % масс./об. диметилсульфоксида (ДМСО), от около 0,25 до 5 % масс./об. дисахарида и сывороточный альбумин человека, а также способы криоконсервации иммунных клеток млекопитающих с использованием данной среды и содержащий ее набор. Замороженные и размороженные клетки с использованием сред и способов по настоящему изобретению сохраняют высокую выживаемость, что позволяет использовать клетки для различных применений, включая, например, способы адоптивного переноса клеток. 7 н. и 37 з.п. ф-лы, 15 ил., 4 табл., 6 пр.

Формула изобретения RU 2 840 854 C1

1. Композиция для криоконсервации иммунных клеток млекопитающих, содержащая

иммунные клетки млекопитающих, которые представляют собой первичные клетки или получены из индуцированных плюрипотентных стволовых клеток; и

среду для криоконсервации, содержащую от около 1 до 10 % масс./об. диметилсульфоксида (ДМСО), от около 0,25 до 5 % масс./об. дисахарида и сывороточный альбумин человека (HSA).

2. Композиция для криоконсервации иммунных клеток млекопитающих, содержащая

иммунные клетки млекопитающих, которые представляют собой первичные клетки или получены из индуцированных плюрипотентных стволовых клеток; и

среду для криоконсервации, содержащую 5 % масс./об. диметилсульфоксида (ДМСО), от около 0,25 до 5 % масс./об. дисахарида и сывороточный альбумин человека (HSA).

3. Композиция по любому из предшествующих пунктов, в которой дисахарид представляет собой сахарозу.

4. Композиция по п. 3, причем среда дополнительно содержит D-глюкозу.

5. Композиция по любому из пп. 1-4, дополнительно содержащая один или несколько цитокинов.

6. Композиция по п. 5, в которой цитокины выбраны из IL-7 и IL-15.

7. Композиция по любому из пп. 1-6, содержащая IL-7 и IL-15.

8. Композиция по п. 7, в которой IL-7 присутствует в конечной концентрации от около 1 до 50 нг/мл.

9. Композиция по п. 8, в которой IL-7 присутствует в конечной концентрации около 5 нг/мл.

10. Композиция по п. 7, в которой IL-15 присутствует в конечной концентрации от около 1 до 50 нг/мл.

11. Композиция по п. 10, в которой IL-15 присутствует в конечной концентрации около 5 нг/мл.

12. Композиция по любому из предшествующих пунктов, дополнительно содержащая среду для культивирования клеток млекопитающих.

13. Композиция по п. 12, в которой среда для культивирования клеток млекопитающих присутствует в количестве от около 10 до 90 % масс./об.

14. Композиция по п. 12 или 13, в которой среда для культивирования клеток млекопитающих не содержит компонентов животного происхождения, отличных от человека.

15. Композиция по любому из предшествующих пунктов, дополнительно содержащая одну или несколько аминокислот.

16. Композиция по любому из предшествующих пунктов, дополнительно содержащая одну или несколько неорганических солей.

17. Композиция по любому из предшествующих пунктов, в которой pH составляет от около 7 до 8.

18. Композиция по п. 1 или 2, в которой иммунные клетки млекопитающих представляют собой лимфоциты.

19. Композиция по п. 18, в которой иммунные клетки млекопитающих представляют собой T-клетки.

20. Композиция по п. 18, в которой иммунные клетки млекопитающих представляют собой естественные клетки-киллеры (NK).

21. Композиция по п. 18, в которой иммунные клетки млекопитающих представляют собой лимфоциты, полученные из индуцированных плюрипотентных клеток (иПСК).

22. Композиция по п. 21, в которой лимфоциты, полученные из индуцированных плюрипотентных клеток (иПСК), представляют собой T-клетки.

23. Композиция по п. 21, в которой лимфоциты, полученные из индуцированных плюрипотентных клеток (иПСК), представляют собой естественные клетки-киллеры (NK).

24. Композиция по п. 1 или 2, содержащая иммунные клетки млекопитающих в концентрации от около 1 × 106 до около 3 × 108 клеток/мл.

25. Композиция по п. 1 или 2, в которой иммунные клетки млекопитающих активированы без цитокинов.

26. Композиция по п. 1 или 2, в которой иммунные клетки млекопитающих представляют собой первичные клетки, непосредственно выделенные от донора, не являющегося пациентом.

27. Композиция по п. 1 или 2, в которой иммунные клетки млекопитающих представляют собой первичные клетки, непосредственно выделенные от пациента.

28. Композиция по п. 1 или 2, в которой иммунные клетки млекопитающих генетически модифицированы.

29. Композиция по п. 1 или 2, в которой HSA присутствует в конечной концентрации, составляющей около 2,5 % масс./об.

30. Композиция по п. 1 или 2, содержащая от 0,5 до 30 % масс./об. сывороточного альбумина человека (HSA).

31. Набор для криоконсервации иммунных клеток млекопитающих, которые представляют собой первичные клетки или получены из индуцированных плюрипотентных стволовых клеток, содержащий композицию по любому пп. 1-30.

32. Способ криоконсервации иммунных клеток млекопитающих, которые представляют собой первичные клетки или получены из индуцированных плюрипотентных стволовых клеток, включающий:

(a) приведение клеток в контакт со средой для криоконсервации, содержащей от около 1 до 10 % масс./об. диметилсульфоксида (ДМСО), от около 0,25 до 5 % масс./об. дисахарида и сывороточный альбумин человека (HSA); и

(b) охлаждение клеток на около 1°С/мин до температуры -80°С или ниже.

33. Способ криоконсервации иммунных клеток млекопитающих, которые представляют собой первичные клетки или получены из индуцированных плюрипотентных стволовых клеток, включающий:

(a) приведение клеток в контакт со средой для криоконсервации, содержащей: около 5 % масс./об. диметилсульфоксида (ДМСО), от около 0.25 до около 5 % масс./об. дисахарида и сывороточный альбумин человека (HSA); и

(b) охлаждение клеток на около 1°С/мин до температуры -80°С или ниже.

34. Способ криоконсервации и восстановления жизнеспособных иммунных клеток млекопитающих, которые представляют собой первичные клетки или получены из индуцированных плюрипотентных стволовых клеток, включающий:

(а) приведение клеток в контакт со средой для криоконсервации, содержащей от около 1 до 10 % масс./об. диметилсульфоксида (ДМСО), от около 0,25 до 5 % масс./об. дисахарида и сывороточный альбумин человека (HSA);

(b) охлаждение клеток на около 1°С/мин до температуры -80°С или ниже, что обеспечивает криоконсервацию клеток; и

(с) размораживание криоконсервированных клеток.

35. Способ криоконсервации и восстановления жизнеспособных иммунных клеток млекопитающих, которые представляют собой первичные клетки или получены из индуцированных плюрипотентных стволовых клеток, включающий:

(a) приведение клеток в контакт со средой для криоконсервации, содержащей: около 5 % масс./об. диметилсульфоксида (ДМСО), от около 0,25 до 5 % масс./об. дисахарида и от 0,5 до 30 % масс./об. сывороточного альбумина человека (HSA);

(b) охлаждение клеток на около 1°С/мин до температуры -80°С или ниже, что обеспечивает криоконсервацию клеток; и

(c) размораживание криоконсервированных клеток.

36. Способ по п. 34 или 35, в котором размороженные криоконсервированные клетки не промывают перед последующим культивированием или трансплантацией субъекту.

37. Способ по п. 34, в котором размороженные криоконсервированные клетки обладают повышенной выживаемостью клеток по сравнению с клетками, замороженными и размороженными из композиции, не соответствующей любому из пп. 1-30.

38. Способ по п. 37, в котором размороженные криоконсервированные клетки обладают повышенной выживаемостью клеток in vitro.

39. Способ по п. 37, в котором размороженные криоконсервированные клетки обладают повышенной выживаемостью клеток после трансплантации субъекту.

40. Способ по любому из пп. 32-39, в котором иммунные клетки млекопитающих представляют собой лимфоциты.

41. Способ по любому из пп. 32-39, в котором иммунные клетки млекопитающих представляют собой генетически модифицированные лимфоциты.

42. Способ по любому из пп. 32-39, в котором иммунные клетки млекопитающих представляют собой лимфоциты, полученные из индуцированных плюрипотентных стволовых клеток (иПСК).

43. Способ по любому из пп. 40-42, в котором лимфоциты представляют собой Т-клетки или естественные клетки-киллеры (NK).

44. Способ по п. 40, в котором клетки млекопитающих подходят для адоптивной клеточной терапии.

Документы, цитированные в отчете о поиске Патент 2025 года RU2840854C1

WO 2018064976 A1, 12.04.2018
РЕЛЕ НА МАГНИТОУПРАВЛЯЕМЫХ КОНТАКТАХ 1966
  • Август Белич
  • Янош Эрден
SU216560A1
CN 104694472 A, 10.06.2015
CN 109744226 A, 14.05.2019
GONZALEZ HERNANDEZ Y., FISHER R.W., Serum-free culturing of mammalian cells--adaptation to and cryopreservation in fully defined media, ALTEX, 2007, vol
Пишущая машина для тюркско-арабского шрифта 1922
  • Мадьярова А.
  • Туганов Т.
SU24A1
Аппарат для очищения воды при помощи химических реактивов 1917
  • Гордон И.Д.
SU2A1
Прибор, автоматически записывающий пройденный путь 1920
  • Зверков Е.В.
SU110A1
СРЕДА ДЛЯ КРИОКОНСЕРВАЦИИ КЛЕТОК ЧЕЛОВЕКА И ЖИВОТНЫХ 2002
  • Кострикин А.А.
  • Попов С.В.
  • Шахов В.П.
RU2237712C2

RU 2 840 854 C1

Авторы

Цао, Лань

Чан, Хуэй-Хсинь

Ху, Цзяньсинь

Ши, Си

Нисимото, Ютака

Даты

2025-05-28Публикация

2021-01-20Подача