Опорно-двигательный аппарат - это самая обширная система в организме человека. Она включает в себя скелет, мышцы, сухожилия, связки, все то, что позволяет телу человека перемещаться и совершать любые движения. Лечением опорно-двигательного аппарата занимаются такие разделы медицины, как ортопедия, травматология, неврология и другие. Опасность таких болезней состоит в том, что они затрагивают не только двигательную активность человека, но также могут влиять на здоровье внутренних органов, сердечный ритм, самочувствие и общее качество жизни человека.
Наиболее распространенными артрологическими заболеваниям являются остеоартроз периферических суставов и межпозвонковый остеохондроз и остеоартроз. При этом наиболее часто поражается коленный сустав.
В основе лечения артрологических заболеваний суставов лежит хондромодулирующая терапия, в которой на сегодняшний день широко применяются препараты на основе натриевой соли хондроитина сульфата - мукополисахарида, полученного из животных тканей. Препарат эффективно влияет на обменные процессы в соединительной ткани пациента, в том числе в хряще, стимулируя и нормализуя биосинтез гликозаминогликанов.
Хондроитина сульфат (ХС) - это высокомолекулярный гетерополисахарид, который относится к группе гликозаминогликанов, линейных неразветвленных полимеров.
Строение молекулы ХС обуславливает ее полианионные свойства и участие в процессах транспорта воды, аминокислот и липидов в аваскулярных участках хряща. Длинные цепи ХС, входящие в состав экстрацеллюлярного матрикса, определяют важнейшие биомеханические свойства хрящевой ткани. Хондроитина сульфат - структурный модулятор, который не только синтезируется организмом, но также после введения интегрирует в структуры хрящевой ткани, стимулируя ее синтез и ингибируя деструкцию. Его своевременное назначение и регулярное использование обеспечивают торможение, стабилизацию и профилактику развития деструктивных процессов в суставе. Основная функция хондроитина сульфата в организме - удержание воды и питательных веществ в хряще и обеспечение движения молекул через хрящевую ткань. Это является важнейшим свойством, поскольку в хрящах отсутствует кровь, обеспечивающая метаболизм. Также хондроитина сульфат является хондропротектором. Сохраняемая им в толще хряща вода создает хорошую амортизацию и поглощает удары, что в итоге повышает прочность соединительной ткани.
Хондроитина сульфат - естественный компонент суставного хряща, играющий важную роль в поддержании необходимого осмотического давления, благодаря чему матрикс и нити коллагена растягиваются. Это вещество обладает противовоспалительной активностью, воздействуя в основном на клеточный компонент воспаления, стимулирует синтез гиалуроновой кислоты и протеогликанов и угнетает действие протеолитических ферментов.
Препараты хондроитина сульфата
В настоящее на рынке представлено значительное количество препаратов с хондроитином сульфатом. Они делятся на три основные группы:
1. Топические средства.
2. Пероральные средства.
3. Парентеральные средства.
Топические средства представлены мазями и гелями. Данные средства отличаются относительным удобством применения, но низкой биодоступностью и, соответственно, низкой эффективностью. Достаточно часто топические средства применяют в комплексной терапии совместно с парентеральными средствами.
Пероральные средства представлены таблетками и капсулами. Данная группа также отличается низкой биодоступностью. Кроме этого, данные средства преимущественно применяются для профилактики и предполагают длительные курсы. Также данные средства в основном являются биологически активными добавками.
Наиболее эффективными являются парентеральные средства (растворы и лиофилизаты).
Данные средства представлены достаточно большой группой препаратов: Лекарственный препарат «Хондроитин-Апекс раствор для внутримышечного введения». Внутримышечно, по 1 мл через день. При хорошей переносимости дозу увеличивают до 2 мл, начиная с 4-й инъекции. Курс лечения - 25-30 инъекций. При необходимости через 6 месяцев возможно проведение повторного курса лечения. Продолжительность повторных курсов лечения устанавливается врачом. Для формирования костной мозоли курс лечения составляет 3-4 недели (10-14 инъекций через день).
Лекарственный препарат «Артогистан раствор для внутримышечного введения». Применяется внутримышечно, по 100 мг через день. При хорошей переносимости дозу увеличивают до 200 мг, начиная с четвертой инъекции. Курс лечения - 25-35 инъекций. При необходимости через 6 месяцев возможно проведение повторного курса лечения.
Лекарственный препарат «Хондрогард раствор для внутримышечного и внутрисуставного введения». Применяется внутримышечно, по 100 мг через день. При хорошей переносимости дозу увеличивают до 200 мг, начиная с четвертой инъекции. Курс лечения - 25-30 инъекций. При необходимости через 6 месяцев возможно проведение повторного курса лечения. При остеоартрозе крупных суставов возможно сочетание внутрисуставного и внутримышечного способов введения. Проводят до 5 внутрисуставных введений по 200 мг с перерывом 3 дня между введениями и 16 внутримышечных инъекций по 200 мг с интервалом 1 день между введениями (через день). В зависимости от размера сустава в суставную полость можно ввести до 2-х мл препарата «Хондрогард».
Лекарственный препарат «Инъектран раствор для внутримышечного и внутрисуставного введения». Применяется внутримышечно, по 1 мл через день. При хорошей переносимости дозу увеличивают до 2 мл, начиная с четвертой инъекции. Курс лечения - 25-30 инъекций. При необходимости через 6 месяцев возможно проведение повторного курса лечения. При остеоартрозе крупных суставов возможно сочетание внутрисуставного и внутримышечного способов введения. Проводят до 5 внутрисуставных инъекции по 2 мл с перерывом 3 дня между введениями и 16 внутримышечных инъекций по 2 мг с интервалом 1 день между введениями (через день). В зависимости от размера сустава в суставную полость можно ввести до 2-х мл препарата «Инъектран».
Лекарственный препарат «Мукосат раствор для внутримышечного и внутрисуставного введения». Препарат вводят внутримышечно по 100 мг (1 мл) через день. При хорошей переносимости дозу увеличивают до 200 мг (2 мл), начиная с четвертой инъекции. Курс лечения - 25-30 инъекций. При необходимости возможно проведение повторных курсов через 6 месяцев.
Для формирования костной мозоли курс лечения составляет 3-4 недели (10-14 инъекций через день).
При остеоартрозе крупных суставов возможно сочетание внутрисуставного и внутримышечного способов введения. Проводят до 5 внутрисуставных инъекций по 200 с перерывом 3 дня между введениями и 16 внутримышечных инъекций по 200 мг с интервалом 1 день между введениями (через день).
Внутрисуставное введение препарата осуществляется в асептических условиях специалистом, прошедшим обучение технике внутрисуставного введения. В зависимости от размера сустава в суставную полость можно ввести до 2-х мл препарата Мукосат.
После внутрисуставного введения препарата место прокола смазывают спиртовой салфеткой, накладывают бактерицидный пластырь.
Лекарственный препарат «Хондроитин-Б раствор для внутримышечного введения». Внутримышечно, по 100 мг (1 мл) через день. При хорошей переносимости дозу увеличивают до 200 мг (2 мл), начиная с четвертой инъекции. Курс лечения - 25-35 инъекций. При необходимости через 6 месяцев возможно проведение повторного курса лечения. Продолжительность повторных курсов лечения устанавливается врачом. Для формирования костной мозоли курс лечения составляет 3-4 недели (10-14 инъекций через день).
Лекарственный препарат «Хондроитин-Бинергия раствор для внутримышечного и внутрисуставного введения». Препарат вводят внутримышечно по 100 мг (1 мл) через день. При хорошей переносимости дозу увеличивают до 200 мг (2 мл), начиная с четвертой инъекции.
Курс лечения составляет 25-35 инъекций. При необходимости через 6 месяцев возможно проведение повторного курса лечения.
При остеоартрозе крупных суставов возможно сочетание внутрисуставного и внутримышечного способов введения. Проводят до 5 суставных инъекций по 2 мл с перерывом в 3 дня между введениями и 16 внутримышечных инъекций по 2 мл с интервалом 1 день между введениями (через день).
Внутрисуставное введение препарата осуществляется в асептических условиях специалистом, прошедшим обучение технике внутрисуставного введения. В зависимости от размера сустава в суставную полость можно ввести до 2-х мл препарата.
После внутрисуставного введения препарата место прокола смазывают спиртовой салфеткой, накладывают бактерицидный пластырь.
Для формирования костной мозоли курс лечения составляет 3-4 недели (10 - 14 инъекций внутримышечно через день).
Лекарственный препарат «Хонсатраствор для внутримышечного введения». Препарат вводят внутримышечно по 1 мл (100 мг) через день. При хорошей переносимости дозу увеличивают до 2 мл (200 мг), начиная с четвертой инъекции. Курс лечения - 25-30 инъекций. При необходимости возможно проведение повторных курсов через 6 месяцев. Для формирования костной мозоли курс лечения составляет 3-4 недели (10-14 инъекций через день).
Лекарственный препарат «Хондроитина сульфат раствор для внутримышечного введения». Препарат вводят внутримышечно по 100 мг (1 мл) через день. При хорошей переносимости дозу увеличивают до 200 мг (2 мл), начиная с четвертой инъекции. Курс лечения 25-30 инъекций. При необходимости возможно проведение повторных курсов через 6 месяцев.
Для формирования костной мозоли курс лечения составляет 3-4 недели (10-14 инъекций через день).
Лекарственный препарат «Хондрофаст раствор для внутримышечного введения». Препарат вводят внутримышечно по 100 мг (1 мл) через день. При хорошей переносимости дозу увеличивают до 200 мг (2 мл), начиная с четвертой инъекции. Курс лечения - 25-30 инъекций. При необходимости возможно проведение повторных курсов через 6 месяцев.
Для ускорения формирования костной мозоли курс лечения составляет 3-4 недели (10-14 инъекций через день).
Лекарственный препарат «Хондромед-Лекфарм раствор для внутримышечного введения». Лекарственный препарат вводят внутримышечно по 100 мг (1 мл) через день. При хорошей переносимости дозу увеличивают до 200 мг (2 мл), начиная с четвертой инъекции. Курс лечения - 25-35 инъекций. При необходимости через 6 месяцев возможно проведение повторного курса лечения.
Лекарственный препарат «АРТРАВИР-ТРИВИУМ раствор для внутримышечного введения». Вводят внутримышечно по 100 мг (1 мл) через день. При хорошей переносимости дозу увеличивают до 200 мг (2 мл), начиная с четвертой инъекции.
Курс лечения - 25-30 инъекций. При необходимости возможно проведение повторных курсов через 6 месяцев.
Эффективность парентеральных средств, в том числе связана с высокой биодоступностью. После внутримышечной инъекции хондроитина сульфат натрия обнаруживается в синовиальной жидкости уже через 15 минут, затем он попадает в сустав, где достигает своего максимума через 48 часов.
Вместе с тем перечисленные препараты имеют побочные эффекты – аллергические реакции (кожный зуд, эритема, крапивница, дерматит, отек), геморрагии в месте инъекций и, поскольку, у вышеуказанных препаратов длительный курс лечения (не менее 25 инъекций), это неизбежно приводит к увеличению количества данных побочных эффектов. Кроме этого, длительные курсы не удобны для пациентов, поскольку необходимо посещать процедурные кабинеты минимум 25 дней, не все медицинские специалисты обучены делать данные инъекции, особенно внутрисуставные. Это приводит к тому, что пациенты не проходят полные курсы лечения, снижая эффективность лечения. Также для всех перечисленных препаратов необходимы повторные курсы, как минимум, 6 раз в год, что также создает сложности для пациентов.
Использование меди в медицине
Функция меди в организме
Медь (Си) — важный микроэлемент, необходимый для нормального функционирования организма человека. Входит в состав ферментов и принимает участие во всех процессах:
- обмена веществ;
- в тканевом дыхании;
- совместно с железом участвует в создании эритроцитов и гемоглобина;
- поддержания нормальной структуры костей, хрящей, сухожилий, эластичности стенок кровеносных сосудов и кожи;
- формирования пигментов кожи и волос;
- нормальной работы щитовидной железы и сердечно-сосудистой системы;
- в усвоении белков и углеводов;
- работы иммунной системы;
- выработки женских половых гормонов;
- укрепления вестибулярного аппарата.
Максимальная концентрация меди отмечена в печени, почках, мозге. Физиологическая потребность организма в меди составляет 2-3 мг/сутки. Порог токсичности для человека равен 200 мг/сутки. Медь поступает в организм с пищей. В ряде случаев, необходим прием препаратов с медью. Основная часть существующих препаратов выполняют именно такую функцию.
Препараты с медью
Препарат Аспарагиназа медак — содержит медь, содержащий фермент аспарагиназу. Он эффективен при лечении лимфобластного лейкоза.
Препарат Турамин медь, 90 шт., капсулы массой 0,2 г (меди цитрат) - профилактика дефицита меди.
Препарат Меди глюконат GLS, капсулы по 400 мг 60 шт. (Меди глюконата 14,5 мг, в том числе меди 2 мг) - профилактика дефицита меди.
Препарат Тетралаб медь хелат, 90 шт., таблетки массой 100 мг (меди хелат (меди бисглицинат) - в качестве биологически активной добавки к пище - дополнительного источника меди.
Препарат Витамир медь хелат, 60 шт. таблетки массой 100 мг (меди хелат (меди бисглицинат) - профилактика дефицита меди.
Раскрытие изобретения
Задачей настоящего изобретения является разработка средства с хондроитином сульфатом натрия в виде лиофилизированных и жидких инъекционных форм для лечения артрологических заболеваний, содержащего медь и обладающего существенно более высокой эффективностью по сравнению со средствами, в состав которого входит только хондроитин сульфат натрия, что позволяет существенно снизить продолжительность курса лечения.
Выявлено, что введение определенных доз меди в состав композиций, включающих хондроитин сульфат натрия, как действующее вещество, значительно снижает продолжительность курса лечения при такой же или большей терапевтической эффективности с низким уровнем побочных эффектов.
Данные эффекты сочетания композиции меди и хондроитина сульфата натрия являются неожиданными.
Предметом настоящего изобретения является средство для лечения артрологических заболеваний, включающее эффективное количество хондроитина сульфата натрия и, по меньшей мере, одно вспомогательное вещество или носитель, отличающееся тем, что дополнительно содержит медь в относительном количестве от 1 мг/кг до 20 мг/кг в пересчете на массу действующего вещества - хондроитина сульфата натрия.
Технический результат настоящего изобретения заключается в существенном сокращении курса лечения за счет повышения терапевтической эффективности хондроитина сульфата натрия в композиции с медью и низким уровнем побочных эффектов.
Использование средства по изобретению приводит также к нормализации метаболических процессов, ускорению снятия отеков при травмах и/или инъекциях и более быстрому процессу регенерации, улучшению кровоснабжения тканей.
Средства, согласно заявленному назначению, содержащие в своем составе медь, из уровня техники не выявлены.
Описание изобретения
В составе настоящего препарата медь способствует увеличению терапевтической активности хондроитина сульфата натрия и повышает общую эффективность композиции.
В составе средства по изобретению используется медь в виде различных химических соединений.
Выбор конкретного соединения определяется методикой производства и лекарственными формами.
В контексте настоящего изобретения могут использоваться меди сульфат, меди хлорид, меди глюконат, хелатные формы меди. Данный перечень не является исчерпывающим.
Средство по настоящему изобретению включает медь в относительном количестве от 1 мг/кг до 20 мг/кг в пересчете на массу активного вещества - хондроитина сульфата натрия.
В частном варианте в относительном количестве от 2 мг/кг до 9 мг/кг, а также от 1 мг/кг до 8 мг/кг в пересчете на массу активного вещества.
В частном варианте в относительном количестве от 1 мг/кг до 6 мг/кг, а также от 3 мг/кг до 10 мг/кг, а также от 2 мг/кг до 2 мг/кг, а также от1 мг/кг до 5 мг/кг, а также от 7 мг/кг до 10 мг/кг, а также от 4 мг/кг до 8 мг/кг в пересчете на массу активного вещества.
Количество хондроитина сульфата натрия в средстве может составлять от 50 мг до 2500 мг.
Количество хондроитина сульфата натрия в средстве может составлять от 100 мг до 2000 мг.
Количество хондроитина сульфата натрия в средстве может составлять от 300 мг до 1500 мг.
Количество хондроитина сульфата натрия в средстве может составлять от 500 мг до 1200 мг.
Количество хондроитина сульфата натрия в средстве может составлять от 50 мг до 250 мг.
Количество хондроитина сульфата натрия в средстве может составлять от 250 мг до 1000 мг.
Массовое соотношение хондроитина сульфата натрия к меди может составлять 1 : 1×10-7 - 1 : 1×10-5.
Формы выпуска изобретения
Средство по настоящему изобретению может быть изготовлено в жидкой и лиофилизированной форме.
Средство может быть использовано для инъекционного применения.
Инъекционные формы включают инъекционные растворы и лиофилизаты.
Вспомогательные компоненты выбираются в зависимости от формы изготовления.
Средство, выполненное в форме раствора, содержит в своем составе воду.
Конкретнее, средство содержит в своем составе дистиллированную воду.
Готовое парентеральное средство может включать в своем составе некоторое количество консервантов, таких как бензиловый спирт, бензоат натрия, метабисульфит натрия, бисульфит натрия, метилпарагидроксибензоат или аналогичные.
Конкретные соотношения компонентов определяются технологией производства и требованиями к применению и хранению.
Терапевтическая эффективность
Заявленное средство предназначено для лечения артрологических заболеваний.
К таким заболеваниям относятся дегенеративно-дистрофические заболевания суставов и позвоночника: остеоартроз периферических суставов; межпозвонковый остеохондроз и остеоартроз, ревматоидный артрит, подагра, реактивный артрит, спондилоартропатии, артрит при системной красной волчанке, дерматомиозите и других системных болезнях, псориатический артрит, постравматические повреждения суставного хряща, связок, менисков.
Осуществление изобретения
Примеры приготовления различных формы выпуска композиций с хондроитином сульфатом натрия и медью, которые не являются исчерпывающими.
Пример 1. Приготовление раствора
Препарат в виде раствора, включающий хондроитина сульфат натрия, воду очищенную, и который дополнительно содержит медь от 1 мг/кг до 20 мг/кг в пересчете на массу хондроитина сульфата натрия, может быть получен следующими способами.
Вариант 1: Приготовление раствора «А». В 500 мл инъекционной воды, подогретой до температуры 50°С, растворяют 100 г хондроитина сульфата натрия (в пересчете на содержание сухого вещества). После полного растворения хондроитин сульфат натрия раствор охлаждают до температуры не выше 35°С. Приготовление раствора "Б". К 9,0 г бензилового спирта добавляют 150 мл инъекционной воды и перемешивают до полного растворения бензилового спирта, добавляют 0,002 г меди глюконата (в пересчете содержащий 3 мг меди на 1 кг хондроитина сульфата натрия). Приготовление раствора "Г". В раствор "А" при постоянном перемешивании приливают 230 мл раствора "Б", раствор 0,1 М NaOH до рН 6-6,5 и инъекционную воду до объема 1 л. Проводят анализ на содержание основных веществ и рН раствора, при необходимости раствор подвергают корректировке. Раствор "Г" подвергают стерилизующей фильтрации в стерильную емкость. Раствор разливают в ампулы по 1,0 мл и запаивают.
Получают готовый раствор, имеющий состав (мас./об.%):
1. Хондроитина сульфата натрия - 10;
2. Бензиловый спирт - 1;
3. Меди глюконата - 0,0002;
4. Вода - до 100.
Вариант 2: В предварительно подготовленный реактор загружают 15 л воды для инъекций, имеющую температуру 24°С. Воду барботируют стерильным азотом при избыточном давлении 0,2±0,1 бар (0,02±0,01 МПа) не менее 10 минут (далее процесс ведется при постоянном барботаже раствора азотом).
При работающей мешалке (200-300 об/мин) в реактор загружают 40 г натрия дисульфита и перемешивают не менее 10 минут до полного растворения. Затем в реактор загружают порционно 2 кг (в пересчете на основное вещество) хондроитина сульфата натрия и перемешивают не менее 60 минут до полного растворения.
Далее в реактор загружают 10 г. метилпарагидроксибензоата, перемешивают не менее 20 минут и отбирают пробу. Измеряют рН полученного раствора, при необходимости доводят его значение до 6,8 1М раствором натрия гидроксида, раствор перемешивают не менее 10 минут, далее при перемешивании добавляют 0,4 г меди хелата 10% в виде в виде аминокислотного хелатата глицината меди (в пересчете содержащий 20 мг меди на 1 кг хондроитина сульфата натрия), потом доводят раствор до расчетного объема (20 л) водой для инъекций и перемешивают не менее 15 минут.
После проведения анализа и корректировки (при необходимости) раствор подвергают стерилизующей фильтрации, разливают в ампулы по 1 мл.
Получают готовый раствор, имеющий состав (мас./об.%):
1. Хондроитина сульфата натрия - 10;
2. Натрия дисульфита - 0,2;
3. Метилпарагидроксибензоат - 0,05;
4. Меди хелат 10% (в виде аминокислотного хелатата глицината меди) - 0,002;
5. Вода - до 100.
Вариант 3: Приготовление раствора «А». В 4 литрах инъекционной воды, подогретой до температуры 50°С, растворяют 1 кг хондроитина сульфата натрия (в пересчете на сухое вещество). После полного растворения хондроитина сульфата натрия раствор охлаждают до комнатной температуры, доводят объем раствора инъекционной водой до 5 л и подвергают его стерилизующей фильтрации.
Приготовление раствора «Б». К 90 г бензилового спирта добавляют 1,5 л инъекционной воды и перемешивают до полного растворения бензилового спирта. Далее при перемешивании добавляют 90 мг меди хелата 10% в виде меди бисглицината (в пересчете содержащий 9 мг меди на 1 кг хондроитина сульфата натрия).
Приготовление раствора «В». 0,05 г натрия гидроксида растворяют в 500 мл воды для инъекций.
Приготовление раствора «Г». В стерильный раствор "А" при постоянном перемешивании стерильно фильтруют 500 мл раствора «В», а затем через 15-20 минут после внесения раствора «В», продолжая перемешивание раствора, стерильно фильтруют 1,5 л раствора «Б». Перемешивание после добавления раствора «Б» продолжают в течение 15-20 минут.
Получение препарата. В стерильную емкость с раствором "Г" через стерилизующий фильтр вносят недостающее количество (до 10 л) инъекционной воды.
Розлив раствора препарата. Раствор разливают в ампулы по 1 мл. Ампулы запаивают. Получают готовый раствор, имеющий состав (мас./об.%):
1. Хондроитина сульфата натрия - 10;
2. Бензиловый спирт - 1;
3. Натрия дисульфит - 0,1;
4. Меди хелат 10% (в виде меди бисглицината) - 0,0009;
5. Вода - до 100.
Пример 2. Приготовление лиофилизата
Препарат содержит 95-120 мг лиофилизованного порошка Na-соли хондроитина сульфата, который получен из растворенной в апирогенной инъекционной воде натриевой соли хондроитина сульфата и медь от 1 мг/кг до 20 мг/кг в пересчете на массу хондроитина сульфата натрия.
Приготовленный из указанного лиофилизата раствор для инъекций с использованием апирогенной воды содержит Na-соль хондроитина сульфата в терапевтической дозировке 9,0-11,5 мас.%.
Препарат может быть получен, например, следующими способом:
Вариант 1: 101 мг субстанции с содержанием хондроитина сульфата натрия 90-115% растворяют в 0,9 мл апирогенной инъекционной воды. Устанавливают рН от 6,0 до 7,5 раствором гидроокиси натрия, после чего добавляют 0,0014 мг меди глюконата (в пересчете содержащий 2 мг меди на 1 кг хондроитина сульфата натрия). Осуществляют стерилизующую фильтрацию, разливают в ампулы по 1 мл и осуществляют сублимацию известным способом, ампулы с лиофилизованным лекарственным средством запаивают. Получают препарат, содержащий не менее 98,7 мг хондроитина сульфата натрия; 0,0014 мг меди глюконата на 1 мл водного раствора, получаемого при растворении в апирогенной инъекционной воде.
Вариант 2: 104 г субстанции с содержанием хондроитина сульфата натрия 90-115% растворяют в 800 мл апирогенной инъекционной воды, добавляют при перемешивании 0,3 г натрия дисульфита. Устанавливают рН от 6,0 до 7,5 раствором гидроокиси натрия, после чего добавляют 11,44 мг 10% меди хелата в виде меди бисглицината (в пересчете содержащий 11 мг меди на 1 кг хондроитина сульфата натрия). Осуществляют стерилизующую фильтрацию, разливают в ампулы по 1 мл и осуществляют сублимацию известным способом, ампулы с лиофилизованным лекарственным средством запаивают. Получают препарат, содержащий не менее 99,6 г хондроитина сульфата натрия, 11,44 мг 10% меди хелата в виде меди бисглицината, 0,3 г натрия дисульфита на 1 л водного раствора, получаемого при растворении в апирогенной инъекционной воде.
Вариант 3: 515 г субстанции с содержанием хондроитина сульфата натрия 90-115% растворяют в 4,5 л апирогенной инъекционной воды. Устанавливают рН от 6,0 до 7,5 раствором гидроокиси натрия, после чего добавляют 63,06 мг меди глюконата (в пересчете содержащий 18 мг меди на 1 кг хондроитина сульфата натрия). Осуществляют стерилизующую фильтрацию, разливают в ампулы по 1 мл и осуществляют сублимацию известным способом, ампулы с лиофилизованным лекарственным средством запаивают. Получают препарат, содержащий не менее 99,7 мг хондроитина сульфата натрия, 63 мг меди глюконата на 5 л водного раствора, получаемого при растворении в апирогенной инъекционной воде.
Представленные выше примеры показывают, что приготовление препаратов может быть реализовано в разных лекарственных формах с использованием различных способов и вспомогательных веществ, не влияющих на конечный результат, поскольку функциональная роль средства для лечения артрологических заболеваний и достижения заявленного технического результата определяется действующим веществом на основе хондроитина сульфата натрия с добавлением меди от 1 мг до 20 мг на 1 кг хондроитина сульфата натрия.
Исследования
Были проведены исследования на животных с целью оценки терапевтической эффективности и безопасности средств по изобретению. Данные показатели оценивались на животных для каждой формы выпуска по изобретению, изготовленных по разным вариантам. В качестве препаратов сравнения были использованы препараты аналогичных форм выпуска, отличающихся по составу отсутствием меди. Кроме этого, препараты сравнения также являются аналогами препаратов, представленных на фармацевтическом рынке.
Исследование эффективности
Для оценки эффективности проводилось моделирование артроза суставов кроликов на ПО особях в течение 50 дней. После диагностики (показателей крови, синовиальной жидкости, особенностей поведения, внешних признаков поражения суставов) отбирали кроликов с наиболее выраженным артрозом. Отобранных кроликов разделяли на группы по 10 особей в зависимости от формы выпуска, варианта изготовления, типа препарата (средства по изобретению, препараты сравнения). После этого проводился стандартный курс 25 внутримышечных инъекций средствами по изобретению и препаратами сравнения, в процессе которого регулярно анализировались показатели крови, синовиальной жидкости, а также проводился мониторинг поведенческих реакций и рентгенография. Для каждой группы отслеживались показатели перед началом моделирования (начальные), после моделирования и перед началом курса инъекций, а также отслеживался период восстановления показателей до начальных.
Препараты, участвующие в исследовании
Перечень исследуемых препаратов приведен в Таблице 1.
Дозы, длительность курса, способ применения
В соответствии с методическими указаниями по изучению общей эффективности фармакологических средств минимальная доза при изучении побочных эффектов должна быть близка к терапевтической дозе.
На основании данных о терапевтических дозах и метаболических коэффициентах для каждого исследуемого препарата и препаратов сравнения установлена суточная доза 32 мг/сутки с периодичностью 1 раз в двое суток. Длительность курса - 51 день.
Экспериментальные группы
Для проведения исследований препараты и животные были разделены на 10 групп:
Подготовка животных для исследований
Эксперименты выполнялись на кроликах породы «Советская шиншилла» в возрасте 14 16 мес, массой 2,5±0,5 кг.
В качестве критериев отбора животных для исследований считали отсутствие внешних признаков заболеваний и гомогенность групп по массе тела (±10%).
Длительность карантина для всех животных составляла 14 дней. В течение карантина проводили ежедневный осмотр каждого животного (поведение и общее состояние), дважды в день животных наблюдали в клетках (заболеваемость и смертность). Животные, не соответствующие критериям, были исключены из исследования в течение карантина.
Содержание животных
Животных содержали в соответствии с требованиями ГОСТ Р от 02.12.2009 53434-2009 «Принципы надлежащей лабораторной практики (GLP)». Животные содержались в вентилируемых клетках «Rair Iso System», группами по 5 особей. В качестве подстила использовали стерильные древесные опилки из нехвойных пород деревьев. В качестве корма - стандартный комбикорм гранулированный полнорационный для лабораторных животных (экструдированный) ПК-120 ГОСТ Р 51849-2001 Р.5. Кормление животных осуществлялось по нормативам в соответствии с видом животных. Водопроводная очищенная вода всем животным давалась ad libitum в стандартных поилках. Животные содержались в контролируемых условиях окружающей среды: температура воздуха 22-24°С и относительная влажность 60-70%. Освещение в помещениях естественно-искусственное. В комнатах содержания животных поддерживался 12-часовой цикл освещения.
Период наблюдения и регистрируемые показатели
Период наблюдения составлял 103 суток.
Всем животным за 50 дней до начала исследования было проведено моделирование артроза путем интраартикулярного введения дексаметазона в дозе 5 мг/кг.
Для подтверждения развития артроза по окончании периода моделирования артроза проводилось исследование рентгеновских снимков. Также на всем протяжении периода моделирования проводилось отслеживание поведенческих реакций животных.
Перед началом моделирования, по его окончании, а также на 1-й, 3-й, 5-й, 7-й, 9-й, 13-й, 17-й, 21-й, 25-й, 30-й, 35-й, 40-й, 45-й, 50-й и 51-й день эксперимента проводилась регистрация показателей крови и синовиальной жидкости.
Для оценки результатов исследований проводился комплексный анализ рентгеновских снимков, показателей крови, показателей синовиальной жидкости, а также поведенческих реакций.
Методы оценки эффективности
Перед началом моделирования артроза, по его окончании, а также на 1-й, 3-й, 5-й, 7-й, 9-й, 13-й, 17-й, 21-й, 25-й, 30-й, 35-й, 40-й, 45-й, 50-й и 51-й день исследования показатели крови, показатели синовиальной жидкости вносились в таблицы. После завершения курса внутримышечных инъекций анализировалось время достижения показателей до начала моделирования, что говорит об излечении артроза. Также отслеживалась нормализация морфофункционального состояния сустава (отеки, утолщения), который был подвержен моделированию, анализ рентгенограмм на предмет восстановления хрящевой поверхности, а также нормализация поведенческих реакций.
Результаты анализа показателей крови и синовиальной жидкости
Группа 1
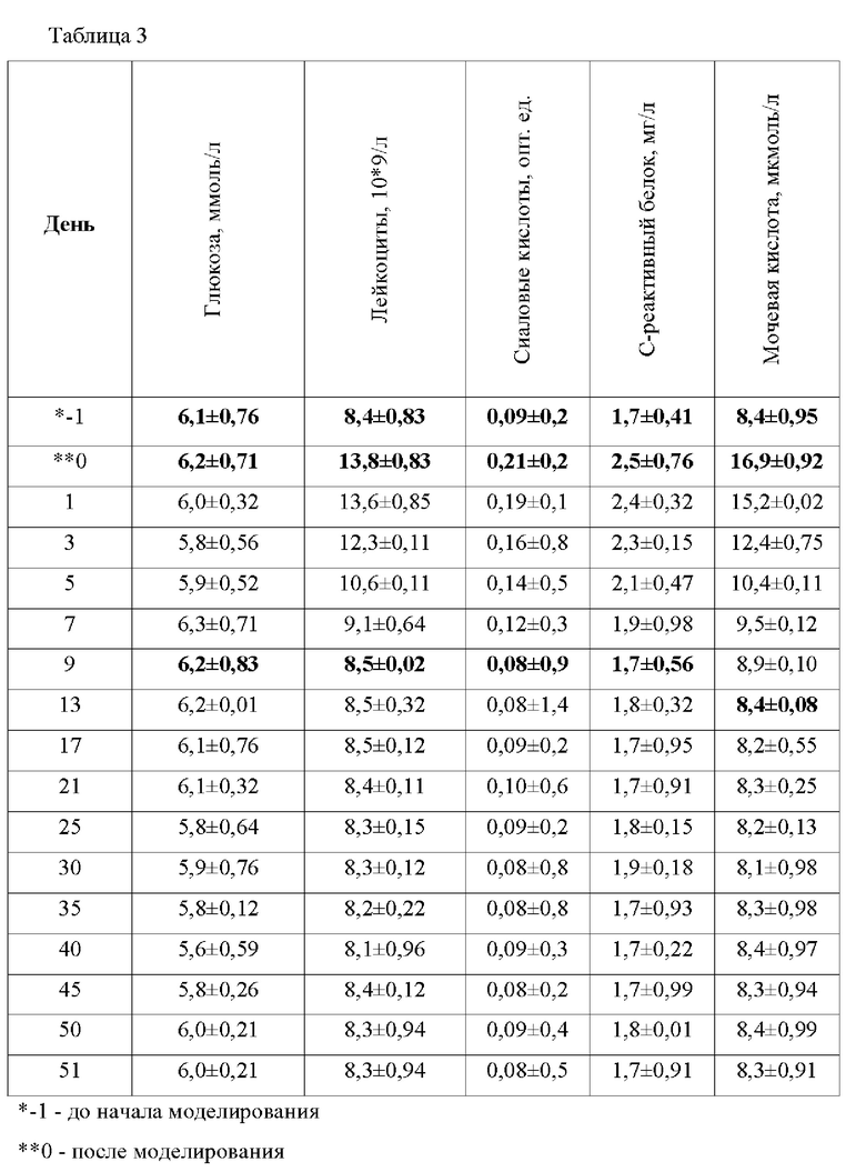
Результаты по группе №1 указаны в таблице 3 (показатели крови) и таблице 4 (показатели синовиальной жидкости).
Группа 2
Результаты по группе №2 указаны в таблице 4 (показатели крови) и таблице 5 (показатели синовиальной жидкости). 
Группа 3
Результаты по группе №3 указаны в таблице 6 (показатели крови) и таблице 7 (показатели синовиальной жидкости).
Группа 4
Результаты по группе №4 указаны в таблице 8 (показатели крови) и таблице 9 (показатели синовиальной жидкости). 
Группа 5
Результаты по группе №5 указаны в таблице 10 (показатели крови) и таблице 11 (показатели синовиальной жидкости).
Группа 6
Результаты по группе №6 указаны в таблице 12 (показатели крови) и таблице 13 (показатели синовиальной жидкости).
Результаты мониторинга поведенческих реакций, морфофункционального состояния животных и оценка рентгенограмм
Поведенческие реакции и морфофункциональное состояние оценивали по подвижности животных, травматическим проявлениям (хромота, подтягивание конечностей), увеличения коленного сустава в объеме, повышения местной температуры пораженного сустава, болезненности. Данные проявления практически у всех животных достигали максимума после моделирования артроза и перед началом курса инъекций. На протяжение курса внутримышечных инъекций оценивалась выраженность вышеуказанных эффектов и фиксировался момент их снижения для всех групп.
Полученные результаты указаны в таблице 18.
По рентгенограммам оценивалась как степень поражения суставов в процессе моделирования артроза, так и степень их восстановления в течение курса внутримышечных инъекций. После моделирования артроза практически у всех животных было выявлено неравномерное сужение суставной щели, наличие остеофитов и остеосклероз суставных поверхностей. В процессе курса внутримышечных инъекций на основании анализа рентгенологических снимков установлено, что существенное улучшение состояния суставов по дням практически совпадает с днями указанными в таблице 18.
Заключение по исследованию эффективности
Сводные данные по исследованиям эффективности приведены в Таблице 19. Для каждой группы оценивалось время (в днях) максимального восстановления сустава на основании данных анализов крови и синовиальной жидкости, оценки поведенческих реакций, морфофункционального состояния суставов и рентгенографии.
Приведенные данные позволяют сделать однозначный вывод о существенно большей эффективности средств по изобретению. Фактически курс лечения может быть сокращен в три раза.
Исследование безопасности
Исследование безопасности проводилось на животных путем оценки выраженности побочных эффектов в течение полного курса терапии. Побочными эффектами для инъекционных форм препаратов с хондроитином сульфатом натрия, согласно инструкции по медицинскому применению, являются отеки и геморрагии в месте уколов. Для оценки безопасности всем животным был проведен полный курс инъекций, в течение которых проводилось наблюдение и подсчет животных с обнаруженными побочными эффектами.
Препараты, участвующие в исследовании
Перечень исследуемых препаратов приведен в Таблице 6.
Дозы, длительность курса, способ применения
В соответствии с методическими указаниями по изучению общей эффективности фармакологических средств минимальная доза при изучении побочных эффектов должна быть близка к терапевтической дозе.
На основании данных о терапевтических дозах и метаболических коэффициентах для каждого исследуемого препарата и препаратов сравнения установлена суточная доза 32 мг/сутки с периодичностью 1 раз в двое суток. Длительность курса - 50 дней.
Экспериментальные группы
Для проведения исследований препараты и животные были разделены на 8 групп:
Животные для исследований
Определение показателей проводилось на кроликах.
Эксперименты выполнялись на кроликах породы Шиншилла в возрасте 14-16 мес, массой 2,4±0,5 кг.
При распределении животных по группам использовался метод рандомизации. В качестве критериев приемлемости рандомизации считали отсутствие внешних признаков заболеваний и гомогенность групп по массе тела (±10%).
Карантин
Длительность карантина для всех животных составляла 14 дней. В течение карантина проводили ежедневный осмотр каждого животного (поведение и общее состояние), дважды в день животных наблюдали в клетках (заболеваемость и смертность). Перед началом исследования животные, отвечающие критериям включения в эксперимент, были распределены на группы методом рандомизации. Животные, не соответствующие критериям, были исключены из исследования в течение карантина.
Содержание животных
Животных содержали в соответствии с требованиями ГОСТ Р от 02.12.2009 53434-2009 «Принципы надлежащей лабораторной практики (GLP)». Животные содержались в вентилируемых клетках «Rair Iso System», группами по 5 особей. В качестве подстила использовали стерильные древесные опилки из нехвойных пород деревьев. В качестве корма - стандартный комбикорм гранулированный полнорационный для лабораторных животных (экструдированный) ПК-120 ГОСТ Р 51849-2001 Р.5. Кормление животных осуществлялось по нормативам в соответствии с видом животных. Водопроводная очищенная вода всем животным давалась ad libitum в стандартных поилках. Животные содержались в контролируемых условиях окружающей среды: температура воздуха 22-24°С и относительная влажность 60-70%. Освещение в помещениях естественно-искусственное. В комнатах содержания животных поддерживался 12-часовой цикл освещения.
Период наблюдения и регистрируемые показатели
Период наблюдения составлял 50 суток.
По завершению курса введения животные всех групп были подвергнуты эвтаназии передозировкой эфира и направлены на вскрытие.
Общее состояние животных оценивалось при ежедневном осмотре. Взвешивание, измерение ректальной температуры, потребление воды и корма выполнялось один раз в две недели и после окончания эксперимента.
Каждые 5 дней проводился подсчет животных с выраженными геморрагиями и отеками в месте уколов.
Методы оценки безопасности
Оценка безопасности проводилось на протяжении 50 дней. Каждые 5 дней оценивалась выраженность геморрагических проявлений и отеков в месте уколов.
Обработка данных
В процессе исследования данные по количеству животных с побочными эффектами заносились в сравнительную таблицу. Далее проводилось сложение и сравнение суммированных данных между средствами по изобретению и препаратами сравнения.
Результаты исследования побочных эффектов
Раствор для внутримышечного введения
Результаты исследования растворов для внутримышечного введения приведены в таблице 8. 


Заключение по исследованию безопасности
Итоги исследования безопасности приведены в таблице 10.
Исследование подтвердило высокий профиль безопасности средств по изобретению. Количество животных с выявленными побочными эффектами для средств по изобретению минимально и аналогично препаратам сравнения.
Заключение по исследованиям
Исследования эффективности и безопасности однозначно доказывают, что средства по изобретению обладают высокой эффективностью, позволяющей более чем в два раза сократить курс лечения по сравнению со стандартным курсом лечения инъекционных препаратов с хондроитином сульфатом натрия. Стандартный курс лечения составляет 50 дней (25 инъекций), при этом применении средств по изобретению позволяет достичь такого же результата лечения за 10-16 дней (5-8 инъекций). Также исследования подтвердили высокий профиль безопасности средств по изобретению. За стандартный курс лечения наличие и выраженность побочных эффектов не превысили аналогичные показатели инъекционных препаратов с хондроитином сульфатом натрия.
Изобретение относится к фармацевтической промышленности, а именно к средству для лечения артрологических заболеваний. Предлагается средство для лечения артрологических заболеваний, включающее эффективное количество хондроитина сульфата натрия и, по меньшей мере, одно вспомогательное вещество и/или носитель, которое дополнительно содержит медь в относительном количестве от 1 мг/кг до 20 мг/кг в пересчете на массу действующего вещества - хондроитина сульфата натрия. Использование изобретения позволяет существенно сократить курс лечения за счет повышения терапевтической эффективности хондроитина сульфат натрия в композиции с медью в указанном выше количестве. 25 табл., 2 пр.
Средство для лечения артрологических заболеваний, включающее эффективное количество хондроитина сульфата натрия и, по меньшей мере, одно вспомогательное вещество и/или носитель, отличающееся тем, что дополнительно содержит медь в относительном количестве от 1 мг/кг до 20 мг/кг в пересчете на массу действующего вещества - хондроитина сульфата натрия.
| ФАРМАЦЕВТИЧЕСКОЕ СРЕДСТВО ДЛЯ ЛЕЧЕНИЯ АРТРОЛОГИЧЕСКИХ ЗАБОЛЕВАНИЙ | 2023 |
|
RU2813891C1 |
| ФАРМАЦЕВТИЧЕСКОЕ СРЕДСТВО ДЛЯ ЛЕЧЕНИЯ АРТРОЛОГИЧЕСКИХ ЗАБОЛЕВАНИЙ | 2020 |
|
RU2739746C1 |
| Устройство для получения электрической энергии | 1928 |
|
SU13558A1 |
| Способ получения -арил-2аминоалкоксистиролов | 1970 |
|
SU450398A3 |
| JP 2011153082 A, 11.08.2011. | |||
Авторы
Даты
2025-02-25—Публикация
2024-12-03—Подача