2',3'-ДИАЦЕТИЛУРИДИН, ЗАМЕЩЕННЫЙ АЦЕТОАЦЕТИЛОМ В 5' ПОЛОЖЕНИИ Российский патент 2025 года по МПК C07H19/67 C07H1/00 A61K31/7072 A61P25/00 A61P25/28 

Описание патента на изобретение RU2839363C1

Пероральная доставка уридина в терапевтических целях ограничена его плохой биодоступностью, составляющей примерно 7% как у людей, так и у мышей. Было обнаружено, что сложноэфирные пролекарства уридина улучшают его биодоступность, хотя в клинических целях только одно, 2',3',5-три-O-ацетилуридин (или триацетат уридина), оказалось удовлетворительным для доставки достаточного количества уридина. Биодоступность перорального триацетата уридина составляет примерно 50% (Ashour 1996). Таким образом, есть место для улучшения эффективности доставки уридина, что важно, поскольку для его терапевтического применения необходимы относительно большие дозы уридина.

СУЩНОСТЬ ИЗОБРЕТЕНИЯ

В настоящем изобретении предложено соединение 5'-O-(ацетоацетил)-2',3'-ди-O-ацетилуридин. Предложен способ лечения или профилактики расстройства, характеризующегося церебральной недостаточностью метаболической энергии или сниженной способностью запаса энергии митохондрий у субъекта-млекопитающего, включающий введение субъекту эффективного для лечения расстройства количества соединения по настоящему изобретению. В настоящем изобретении также предложено соединение по данному изобретению для применения при лечении или предупреждении или для изготовления лекарственного средства для лечения или предупреждения расстройства, характеризующегося церебральной недостаточностью метаболической энергии или сниженной способностью запаса энергии митохондрий у субъекта-млекопитающего. И предложена фармацевтическая композиция, содержащая соединение по данному изобретению и фармацевтически приемлемый носитель. В настоящем изобретении предложен также способ получения 5'-O-ацетоацетил-2',3'-ди-O-ацетилуридина, включающий следующие стадии: (a) смешивание 2',3'-O-изопропилиденуридина и 2,2,6-триметил-4H-1,3-диоксин-4-она в диметилформамиде в условиях, подходящих для получения 5'-O-ацетоацетил-2',3'-O-изопропилиденуридина; (b) смешивание 5'-O-ацетоацетил-2',3'-O-изопропилиденуридина со стадии (a) с водным раствором уксусной кислоты в условиях, подходящих для получения сырого 5'-O-ацетоацетилуридина; (c) растворение сырого 5'-O-ацетоацетилуридина со стадии (b) в смеси дихлорметана и пиридина с последующим добавлением уксусного ангидрида и перемешиванием в течение нескольких дней; (d) в смеси, полученной на стадии (c), замена растворителя на этилацетат и нейтрализация насыщенным раствором NaHCO3 с получением сырого 5'-O-ацетоацетил-2',3'-ди-O-ацетилуридина. В настоящем изобретении предложен также 5'-O-ацетоацетилуридин в качестве сырого промежуточного соединения и в качестве выделенного соединения.

Ацетатные заместители улучшают всасывание из желудочно-кишечного тракта в кровоток и быстро удаляются под действием активности неспецифических эстераз. Ацетат является доброкачественным метаболитом, но фармакологически и терапевтически нейтрален. Важным достижением является обнаружение того факта, что введение ацетоацетильного заместителя в 5'-положение улучшает биодоступность уридина в достаточной степени для терапевтических целей в дополнение к полезной фармакологической активности при заболеваниях, для которых также показана доставка уридина, обеспечивающая двойную терапевтическую активность одного соединения.

КРАТКОЕ ОПИСАНИЕ ФИГУР

ФИГУРА 1: [Уридин+урацил] в плазме у мышей после перорального введения пролекарств уридина

UTA=уридин триацетат (2',3',5'-три-O-ацетилуридин)

Три-AcAcU=2',3',5'-три-O-(ацетоацетил)уридин

AcAcDAU=5'-O-(ацетоацетил)-2',3'-ди-O-ацетилуридин

DA-HU=2',3'-ди-O-ацетил-5'-O-гептаноилуридин

ФИГУРА 2. Уридин в плазме у мышей после перорального введения пролекарств уридина

Три-AcAcU=2',3',5'-три-O-(ацетоацетил)уридин

AcAcDAU=5'-O-(ацетоацетил)-2',3'-ди-O-ацетилуридин

DA-HU=2',3'-ди-O-ацетил-5'-O-гептаноилуридин

ФИГУРА 3: Уридин в плазме у мышей после перорального введения пролекарств уридина

UTA=уридин триацетат (2',3',5'-три-O-ацетилуридин)

DAU=2',3'-ди-O-ацетилуридин

AcAcU=5'-O-(ацетоацетил)уридин

ФИГУРА 4: Уридин в плазме у мышей после перорального введения AcAcDAU

AcAcDAU=5'-O-(ацетоацетил)-2',3'-ди-O-ацетилуридин

ФИГУРА 5: Урацил в плазме у мышей после перорального введения AcAcDAU

AcAcDAU=5'-O-(ацетоацетил)-2',3'-ди-O-ацетилуридин

ФИГУРА 6: Уридин+урацил в плазме у мышей после перорального введения AcAcDAU

AcAcDAU=5'-O-(ацетоацетил)-2',3'-ди-O-ацетилуридин

ФИГУРА 7: бета-Гидроксибутират в плазме у мышей после перорального введения AcAcDAU

BHB=бета-гидроксибутират

ФИГУРА 8: Выживаемость мышей, получавших 60 мг/кг/день 3-нитропропионовой кислоты и получавших перорально триацетат уридина (UTA) 1000 мг/кг два раза в день или 5'-O-ацетоацетил-2',3'-ди-O-ацетилуридин (AcAcDAU) 1113,5 мг/кг два раза в день.

ПОДРОБНОЕ ОПИСАНИЕ ИЗОБРЕТЕНИЯ

Как используется в настоящем документе, термин «содержащий» является открытым. Пункт формулы изобретения, в котором используется этот термин, может содержать элементы в дополнение к элементам, указанным в таком пункте формулы изобретения. Так, например, формула изобретения может относиться к схемам лечения, которые также включают другие терапевтические агенты или терапевтические дозы вируса, конкретно не указанные в ней, при условии, что указанные элементы или их эквиваленты присутствуют.

СОКРАЩЕНИЯ

Некоторые химические соединения указываются в настоящем документе химическим названием или условным обозначением, либо структурной формулой, показанной ниже. Соединение AcAcDAU входит в объем настоящего изобретения.

UTA=уридин триацетат (2',3',5'-три-O-ацетилуридин)

Три-AcAcU=2',3',5'-три-O-(ацетоацетил)уридин, MW 496.42

AcAcDAU=5'-O-(ацетоацетил)-2',3'-ди-O-ацетилуридин, MW 412.35

DA-HU=2',3'-ди-O-ацетил-5'-O-гептаноилуридин, MW 440.44

DAU=2',3'-ди-O-ацетилуридин

AcAcU=5'-O-(ацетоацетил)уридин (называемый также 5'-O-ацетоацетилуридин)

BHB=бета-гидроксибутират (называемый также 3-гидроксибутират)

DCM=дихлорметан (называемый также метиленхлоридом, химическая формула CH2Cl2)

ДМФ=диметилформамид, химическая формула (CH3)2NC(O)H

В соответствии со способом, соединением для применения, применением и фармацевтической композицией по данному изобретению можно лечить или предотвращать у субъекта-млекопитающего любое обычное расстройство, характеризующееся церебральной недостаточностью метаболической энергии или сниженной способностью запаса энергии митохондрий. В одном варианте осуществления изобретения расстройство представляет собой неврологическое расстройство, например, генетическое нейродегенеративное заболевание, возрастное нейродегенеративное заболевание и ишемическое повреждение головного мозга. Примеры таких генетических нейродегенеративных заболеваний включают, но этим не ограничиваются, деменцию с синдромом Дауна, болезнь Хантингтона и боковой амиотрофический склероз. Примеры таких возрастных нейродегенеративных расстройств включают, но этим не ограничиваются, болезнь Паркинсона и старческое слабоумие. К категории сенильной деменции относятся, например, болезнь Альцгеймера и сосудистая деменция. Примеры таких травматических или ишемических поражений головного мозга включают, но этим не ограничиваются, вторичное повреждение после черепно-мозговой травмы, вторичное повреждение после гипоксически-ишемической энцефалопатии, вторичную травму после родовой асфиксии, вторичное повреждение после ишемического инсульта, вторичное повреждение после геморрагического инсульта, вторичную травму после остановки сердца и вторичную травму после утопления.

В другом варианте осуществления изобретения расстройство представляет собой нервно-мышечное расстройство. Примеры таких нервно-мышечных расстройств включают, но этим не ограничиваются, возрастную саркопению, дисфункциональную атрофию мышц, мышечную дистрофию, миотоническую дистрофию, синдром хронической усталости и атаксию Фридрейха.

В другом варианте осуществления изобретения расстройство представляет собой сердечную недостаточность. Примеры такой сердечной недостаточности включают, но этим не ограничиваются, дилатационную кардиомиопатию, правожелудочковую недостаточность (включая правожелудочковую недостаточность, вторичную по отношению к легочной артериальной гипертензии), острую сердечную недостаточность и хроническую сердечную недостаточность.

В другом варианте осуществления изобретения расстройство представляет собой первичное генетическое митохондриальное заболевание. Примеры таких первичных генетических митохондриальных заболеваний включают, но этим не ограничиваются, MELAS (митохонкриальную энцефаломиопатию с лактоацидемией и инсультоподобными эпизодами), MERRF (миоклонус, эпилепсию и миопатию с рваными красными волокнами), NARP (нейрогенную мышечную слабость, атаксию), NARP/MILS (нейрогенную мышечную слабость, атаксию, пигментный ретинит/синдром Ли, наследуемый по материнской линии), LHON (наследственную оптическую нейропатию Лебера), также известную как «митохондриальная слепота», KSS (синдром Кернса-Сейра), PMPS (синдром костно-поджелудочной железы Пирсона), PEO (прогрессирующую наружную офтальмоплегию), CPEO (хроническую прогрессирующую наружную офтальмоплегию), синдром Ли, MNGIE (синдром митохондриальной нейрогастроинтестинальной энцефалопатии), синдром Альперса, синдром множественных делеций мтДНК, синдром истощения мтДНК, дефицит митохондриального комплекса I, дефицит митохондриального комплекса II (SDH), дефицит митохондриального комплекса III, дефицит митохондриального комплекса IV (цитохром с оксидазы), дефицит митохондриального комплекса V, дефицит транслокатора адениновых нуклеотидов (ANT), дефицит пируватдегидрогеназы (ПДГ), множественные синдромы делеции митохондриальной ДНК, синдром Барта, митохондриальную миопатию, митохондриальную эпилепсию и митохондриальный ацидоз почечных канальцев.

Дополнительные примеры расстройств, которые можно лечить или предотвращать в соответствии с данным изобретением, включают следующие: этилмалоновая ацидурия с лактоацидемией; 3-метилглутаконовая ацидурия с ацидемией; рефрактерная эпилепсия со спадом во время инфекции; синдром Аспергера со снижением во время инфекции; аутизм со снижением во время инфекции; детский церебральный паралич со спадами во время инфекции; дислексия со снижением во время инфекции; тромбоцитопения и лейкозный синдром, наследуемые по материнской линии; синдром MARIAHS (митохондриальная атаксия, рецидивирующие инфекции, афазия, гипоурикемия/гипомиелинизация, судороги и дикарбоновая ацидурия); дистония ND6; синдром циклической рвоты со спадом при инфекции; 3-гидроксиизомасляная ацидурия с молочной ацидемией; сахарный диабет с молочнокислой ацидемией; уридин-чувствительный неврологический синдром (URNS); семейный двусторонний полосатый некроз (FBSN); аминогликозид-ассоциированная глухота; селезеночная лимфома; синдром Вольфрама; синдром почечный тубулярный ацидоз/диабет/атаксия; молочнокислая ацидемия; энцефаломиопатия; 1+ протеинурия; аминоацидурия; гидроксипролинурия; дефицит кардиолипина; нервно-мышечное дегенеративное заболевание; задержка развития когнитивных, двигательных, языковых, исполнительных функций или социальных навыков; эпилепсия; периферическая невропатия; оптическая невропатия; вегетативная невропатия; нейрогенная дисфункция кишечника; нейросенсорная глухота; нейрогенная дисфункция мочевого пузыря; мигрень; атаксия; почечный канальцевый ацидоз; дилатационная кардиомиопатия; стеатогепатит; печеночная недостаточность и молочнокислая ацидемия. Примеры задержки развития когнитивных, двигательных, языковых, исполнительных функций или социальных навыков включают, но этим не ограничиваются: первазивное расстройство развития, первазивное расстройство развития, не указанное иначе (PDD-NOS), синдром дефицита внимания и гиперактивности (ADHD), синдром Ретта и некоторые формы аутизма.

В соответствии с данным изобретением соединение можно вводить любому субъекту-млекопитающему. В одном варианте осуществления изобретения субъектом-млекопитающим является человек. В соответствии с данным изобретением можно использовать любой обычный способ введения. Предпочтительно, соединение вводят перорально. Квалифицированный практикующий врач может осуществить титрование дозировки чтобы оптимизировать ее для конкретного пациента. Обычно соединение вводят перорально пациенту-человеку в дозе от одного до трех г/м2 площади поверхности тела. Обычно дозу вводят два или три раза в день.

Было обнаружено, что ацетоацетатный заместитель в 5'-положении рибозного фрагмента в сочетании с ацетатными заместителями в 2'- и 3'-положениях дает новое соединение, которое доставляет уридин в кровоток так же как и триацетат уридина или даже лучше. Кроме того, заместитель в структуре пролекарства выбирают для обеспечения дополнительной или дополнительной терапевтической пользы помимо облегчения доставки уридина.

В отличие от этого, такие соединения, как уридинтриацетоацетат (2',3',5'-три-O-ацетоацетилуридин; ацетоацетат является одним из кетоновых тел, окисленной формой бета-гидроксибутирата) или 5'-O-гептаноил-2',3'-ди-О-ацетилуридин, обеспечивали относительно плохую системную доставку уридина после перорального введения. Аналогичным образом, 5'-O-ацетоацетилуридин доставлял в кровоток небольшое количество уридина, а 2',3'-ди-O-ацетилуридин доставлял в кровоток менее 30% уридина по сравнению с эквимолярной дозой триацетата уридина. Аналогичным образом, 5'-O-ацетоацетилуридин доставлял в кровоток небольшое количество уридина, а 2',3'-ди-O-ацетилуридин доставлял в кровоток менее 30% уридина по сравнению с эквимолярной дозой триацетата уридина. Напротив, гибрид, объединяющий структурные фрагменты этих четырех относительно неактивных молекул, 5'-O-ацетоацетил-2',3'-ди-O-ацетилуридин, доставлял в кровоток больше уридина и катаболитов уридина, чем эквимолярная доза уридина триацетат.

Ацетоацетат, кетоновое тело с нейропротекторными свойствами, также доставляется одновременно с уридином при включении в 5'-O-(ацетоацетил)-2',3'-ди-O-ацетилуридин. Ацетоацетат и бета-гидроксибутират, которые оба доставляются при пероральном введении 5'-O-(ацетоацетил)-2',3'-ди-O-ацетилуридина, проблематичны для перорального введения, отчасти из-за неприятного вкуса, так что были предложены сложные эфирные пролекарства этих кетоновых тел, в частности, 3-гидроксибутил 3-гидроксибутират, энантиомерно обогащенный энантиомером (3R, 3R') (энантиомер R [или D] является естественной формой в биохимии млекопитающих, тогда как химический синтез BHB первоначально приводит к рацемической смеси энантиомеров). 5'-O-(Аацетоацетил)-2',3'-ди-O-ацетилуридин преодолевает проблему вкусовых качеств свободных кетокислот и первоначально доставляет ацетоацетат, отщепленный от уридинового скелета, который преобразуется in vivo в R-BHB без необходимости для энантиомерного обогащения при химическом синтезе и очистке. Один агент с двойной взаимодополняющей фармакологической активностью также выгоден с точки зрения регуляторных вопросов, связанных со сложностью клинических испытаний комбинированных препаратов, а также с точки зрения снижения нагрузки на пациентов, которая может ограничивать соблюдение режима лечения.

При преобразовании ацетоацетата в BHB с помощью фермента бета-гидроксибутиратдегидрогеназы NADH используется в качестве донора электронов, что приводит к регенерации NAD+. При некоторых болезненных состояниях, связанных с дисфункцией митохондриальной дыхательной цепи, высокое соотношение NADH/NAD+ из-за ограниченной способности дыхательной цепи принимать электроны от NADH приводит к серьезной вторичной патологии, поскольку соотношения NADH/NAD+ влияют на активность большого числа цитозольных ферментов. Поддержание избыточного соотношения NADH/NAD+ называется «редуктивным стрессом» и является общепризнанной причиной дисфункции тканей и неблагоприятного воздействия на продолжительность жизни при заболеваниях с нарушением дефицита митохондриальной электрон-транспортной цепи. Введение экзогенной AcAcDAU приводит к чистому окислению NADH с образованием NAD+, образуя BHB, который сам по себе имеет важные фармакологические и физиологические преимущества как в качестве альтернативного топлива для мозга и других тканей, так и в качестве сигнальной молекулы с известными противовоспалительными, противоэпилептическими и другими эффектами. Следовательно, AcAcDAU может быть использован для снятия восстановительного стресса при расстройствах, характеризующихся накоплением NADH, вторичным по отношению к дисфункции цепи транспорта электронов, при этом окисление NADH ацетоацетатом дополняет улучшение биоэнергетической эффективности митохондрий, опосредованное уридиновым фрагментом. Кроме того, известно, что BHB обладает плейотропными потенциальными преимуществами, не обязательно опосредованными облегчением восстановительного стресса, в концентрациях, достигаемых после перорального введения AcAcDAU, но не включая противовоспалительную и противосудорожную активность.

В варианте осуществления способа получения 5'-O-ацетоацетил-2',3'-ди-O-ацетилуридина, описанного выше, стадию (а) проводят при температуре от 90°C до 110°C, например, при температуре около 110°С. В другом варианте осуществления стадию (b) проводят при температуре от комнатной до 75°С, например, при температуре около 65°С. В другом варианте осуществления стадию (с) проводят примерно при комнатной температуре. Комнатная температура обычно составляет около 25°C. Предпочтительно, способ получения 5'-O-ацетоацетил-2',3'-ди-O-ацетилуридина, описанный выше, дополнительно включает в качестве стадии (e) очистку сырого 5'-O-ацетоацетил-2',3'-ди-O-ацетилуридина со стадии (d) с получением очищенного 5'-O-ацетоацетил-2',3'-ди-O-ацетилуридина.

Изобретение будет лучше понято со ссылкой на следующие примеры, которые иллюстрируют, но не ограничивают изобретение, описанное в настоящем документе.

ПРИМЕРЫ

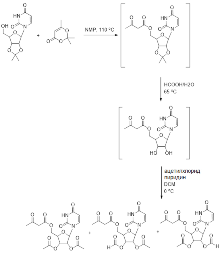
ПРИМЕР 1: Синтез 5'-O-(ацетоацетил)-2',3'-ди-O-ацетилуридина, 5'-O-(ацетоацетил)-2'-O-ацетил-3'-O-формилуридина и 5'-O-(ацетоацетил)-3'-O-ацетил-2'-O-формилуридина

Смесь 2',3'-O-изопропилиденуридина (5,21 г, 18,3 ммоль) и 25 мл N-метилпирролидинона нагревали до температуры 110°C и затем добавляли 2,2,6-триметил-4H-1,3-диоксин-4-он (3,00 мл, 22,6 ммоль). Через 2 часа смесь охлаждали и распределяли между этилацетатом (3×100 мл) и водой (2×100 мл). Органические фазы промывали насыщенным солевым раствором (100 мл), сушили над безводным MgSO4 и концентрировали в вакууме, получая масло темно-коричневого цвета. Rf 0,50 (10% MeOH/DCM). Сырую смесь нагревали при температуре 65°C в смеси 20 мл муравьиной кислоты и 20 мл воды в течение 4 часов. Затем легколетучие компоненты упаривали в вакууме. Rf 0,29 (10% MeOH/DCM).

Смесь сырого продукта реакции, 6 мл пиридина и 36 мл DCM охлаждали на бане со льдом. Затем медленно добавляли ацетилхлорид (3,00 мл, 42,0 ммоль). Через 2 часа добавляли 5 мл воды и смесь концентрировали. Остаток растворяли в этилацетате (100 мл) и последовательно промывали 100 мл воды, насыщенным раствором бикарбоната натрия, водой, 1М HCl и водой. Водные фазы экстрагировали этилацетатом (2×100 мл). Органические фазы промывали насыщенным солевым раствором (100 мл), сушили над безводным MgSO4 и концентрировали в вакууме. Очистка основного продукта флэш-хроматографией с использованием ступенчатого градиента 1%, 2% и 3% MeOH/DCM давала 1,6 г вещества бледно-желтого цвета. Rf 0,24 (5% MeOH/DCM) Анализ с помощью ЖХ/МС показал, что материал представлял собой смесь 9,4:1 5'-O-(ацетоацетил)-2',3'-ди-O-ацетилуридина и комбинации 5'-O-(ацетоацетил)-2'-O-ацетил-3'-O-формилуридина и 5'-O-(ацетоацетил)-3'-O-ацетил-2'-O-формилуридина.

Схема 1

ПРИМЕР 2: Улучшенный синтез 5'-O-ацетоацетил-2',3'-ди-O-ацетилуридина

5'-O-Ацетоацетил-2',3'-O-изопропилиденуридин

Смесь 2',3'-O-изопропилиденуридина (40 г, 141 ммоль) и 2,2,6-триметил-4H-1,3-диоксин-4-она (18,7 мл, 141 ммоль) в 60 мл ДМФ нагревали при температуре 110°C в течение 2 часов. Затем смесь охлаждали и легколетучие компоненты выпаривали. Остаток распределяли между этилацетатом и водой, органические фазы промывали насыщенным солевым раствором, сушили над безводным MgSO4 и концентрировали выпариванием. Очистка флэш-хроматографией (3% MeOH/DCM) давала продукт, загрязненный окрашенным веществом. Частичное обесцвечивание с помощью 2 г активированного угля в этилацетате давало 35 г продукта в виде сиропа светло-коричневого цвета. Rf 0,71 (10% MeOH/DCM).

5'-O-Ацетоацетилуридин

Смесь 5'-O-ацетоацетил-2',3'-O-изопропилиденуридина (35 г, 95 ммоль), 100 мл уксусной кислоты и 100 мл воды нагревали при температуре 65°C в течение 24 часов, за это время ТСХ аликвоты смеси показала, что исходный материал почти израсходован. Легколетучие компоненты упаривали в вакууме. Использовали далее сырой продукт. Rf 0,32 (10% MeOH/DCM).

5'-O-Ацетоацетил-2',3'-ди-O-ацетилуридин

Полученный выше сырой продукт растворяли в 100 мл DCM и 30 мл пиридина и затем растворители выпаривали в вакууме. Остаток обрабатывали 250 мл DCM и 19 мл пиридина. Когда смесь становилась гомогенной, добавляли 22 мл уксусного ангидрида. Смесь перемешивали в течение 3 дней. Затем растворитель заменяли на 500 мл этилацетата и нейтрализовали насыщенным раствором NaHCO3. Легколетучие компоненты выпаривали для удаления избытка пиридина. Остаток распределяли между этилацетатом и водой, 1М HCl, водой и насыщенным солевым раствором, органические фазы сушили над безводным MgSO4 и концентрировали в вакууме. Очистка флэш-хроматографией (3% MeOH/DCM) давала 25,7 г продукта в виде пенистого твердого вещества белого цвета. 1H ЯМР (400 МГц, CDCl3) δ 9,04 (шир. с, 1H), 7,47 (д, 1H, J=8 Гц), 6,07 (д, 1H, J=6 Гц), 5,84 (д, 1H, J=8 Гц), 5,38-5,35 (м, 1H), 5,31-5,28 (м, 1H), 4,90 (ABX, 1H, J=2,5, 12,5 Гц), 4,39 (ABX, 1H, J=3,7, 12,4Гц), 4,35-4,32 (м, 1H), 3,61 (AB, 1H, J=16 Гц), 3,56 (AB, 1H, J=16 Гц), 2,97 (с, 3H), 2,14 (с, 3H), 2,10 (с, 3H); ЖХ/МС 99,4%-ная чистота (260 нм); MW: Вычисл. 412, найдено 412; Rf 0,24 (5% MeOH/DCM).

Схема 2

ПРИМЕР 3: Улучшенный синтез 5'-O-ацетоацетилуридина

5'-O-Ацетоацетилуридин

Смесь 5'-O-ацетоацетил-2',3'-O-изопропилиденуридина (11,4 г, 31,0 ммоль), 75 мл уксусной кислоты и 75 мл воды нагревали при температуре 65°C в течение 24 часов, за это время ТСХ аликвоты смеси показала, что исходный материал почти израсходован. Легколетучие компоненты упаривали в вакууме. Остаток очищали флэш-хроматографией (ступенчатый градиент 5% и 7% MeOH/DCM) с получением 6,10 г продукта в виде пенистого твердого вещества белого цвета. 1H ЯМР (400 МГц, ДМСО-d6) δ 11,36 (с, 1H), 7,59 (д, 1H, J=8 Гц), 5,76 (д, 1H, J=5 Гц), 5,64 (д, 1H, J=8 Гц), 5,46 (д, 1H, J=6 Гц), 5,29 (д, 1H, J=6 Гц), 4,31 (1H, ABX, J=3, 12 Гц), 4,22 (1H, ABX, J=5, 12 Гц), 4,07 (q, 1H, J=5 Гц), 4,02-3,98 (м, 1H), 3,95 (q, 1H, J=5 Гц), 3,68 (2H, AB), 2,19 (с, 3H); 13C ЯМР (100 МГц, ДМСО-d6) δ 201,63, 167,07, 163,01, 150,62, 140,75, 101,99, 88,48, 81,04, 72,63, 69,68, 64,26, 49,46, 30,10; Rf 0,32 (10% MeOH/DCM).

ПРИМЕР 4: Уридин и [уридин+урацил] в плазме у мышей после перорального введения пролекарств уридина

Химические вещества: HPMC (гидроксипропил)метилцеллюлоза (SIGMA-Aldrich: кат. № H3785, CAS 9004-65-3); уридин триацетат (2',3',5'-три-O-ацетилуридин): UTA, код товара D000156, номер партии Q000001095, произведено компанией Almac Sciences; 2',3',5'-три-O-(ацетоацетил)уридин: три-AcAcU; 5'-O-(ацетоацетил)-2',3'-ди-O-ацетилуридин: AcAcDAU; 2',3'-ди-O-ацетил-5'-O-гептаноилуридин: DA-HU. (Примечание: AcAcDAU, используемый в этом эксперименте, представлял собой смесь 9,4 частей 5'-O-(ацетоацетил)-2',3'-ди-O-ацетилуридина и 1 часть комбинации 5'-O-(ацетоацетил)-2'-O-ацетил-3'-O-формилуридина и 5'-O-(ацетоацетил)-3'-O-ацетил-2'-O-формилуридина из примера 1 выше).

Несущая среда: В качестве несущей среды для перорального введения производных уридина использовали водную HPMC.

Дозируемый состав: UTA и другие производные уридина готовили в 0,75% HPMC. UTA и другие производные уридина добавляли к 0,75% HPMC и гомогенизировали для устранения комков. Суспензию доводили до желаемого объема и концентрации и обрабатывали ультразвуком для размельчения любых небольших оставшихся комков на мелкие частицы. До использования суспензии хранили при температуре 4°C. Суспензии использовали в течение 24 часов после приготовления.

Дозирование: Мыши получали дозу 600 мг/кг UTA через желудочный зонд из расчета 0,02 мл/г массы тела. Другие производные уридина дозировали таким же образом в концентрациях, содержащих эквимолярные UTA количества уридина.

Животные: Самки мышей CD-1.

Вид Штамм Пол Количество Возраст и диапазон массы при поставке Поставщик Рацион и условия содержания Мышь CD-1 Самки 39 ~26-30 г Envigo Harlan Teklad 2016, ad libitum, по 5 особей в клетке

Общая первоначальная схема эксперимента включала введение производных уридина через желудочный зонд группам из 6 мышей и последующее получение образцов крови в несколько моментов времени (у 3 мышей брали кровь в 2 временных точках (15 и 60 минут), и еще у 3 мышей брали кровь в течение других 2 временных точках (30 и 120 минут). Каждый эксперимент включал временную точку HPMC (только несущая среда) с 3 мышами для установления исходного уровня уридина в крови.

№ группы Количество животных Время кровотечения после дозирования UTA 6 15, 30, 60 и 120 мин три-AcAcU 6 15, 30, 60 и 120 мин AcAcDAU 6 15, 30, 60 и 120 мин DA-HU 6 15, 30, 60 и 120 мин HPMC 3 -

Образцы крови собирали в пробирки для разделения плазмы, которые центрифугировали сразу после забора крови, и аликвоты плазмы замораживали для последующей обработки. Позже плазму депротеинизировали и количественно определяли уридин и урацил с помощью жидкостной хроматографии с использованием определения УФ-поглощения и масс-спектрометрии.

Доставку уридина в кровоток оценивали путем мониторинга уридина в плазме и суммы уридина и урацила [уридин+урацил], так как урацил является первым продуктом ферментативного разложения уридина. У мышей введенный уридин преобразуется в урацил быстрее и интенсивнее, чем у людей.

Из исследованных соединений пероральное введение 5'-O-(ацетоацетил)-2',3'-ди-O-ацетилуридина (AcAcDAU) приводило к доставке системного уридина и [уридина+урацила] в аналогичной или большей степени, чем при пероральной доставке уридина триацетата.

Концентрации [уридин+урацил] и уридина в плазме после введения набора пролекарств уридина показаны на фигурах 1 и 2. На фигуре 3 показан уридин в плазме у мышей после перорального введения другого набора пролекарств уридина.

ПРИМЕР 5: Уридин и бета-гидроксибутират в плазме у мышей после перорального введения 5'-O-(ацетоацетил)-2',3'-ди-O-ацетилуридина

Важной особенностью 5'-O-(ацетоацетил)-2',3'-ди-O-ацетилуридина (AcAcDAU) является то, что он обеспечивает одновременную или параллельную доставку как уридина, так и ацетоацетата посредством одного лекарственного соединения. Ацетоацетат в плазме находится в равновесии с бета-гидроксибутиратом (BHB), отражающим соотношение свободного NADH/NAD+ в митохондриях печени, и эффективно благоприятствует BHB как более распространенному из двух кетоновых тел в нормальных физиологических условиях. Кроме того, BHB стабилен после забора и обработки крови, тогда как ацетоацетат лабилен. Таким образом, у мышей, получавших перорально AcAcDAU, измеряли BHB плазмы вместе с уридином в плазме.

Химические вещества: HPMC (гидроксипропил)метилцеллюлоза (SIGMA-Aldrich: кат. № H3785, CAS 9004-65-3), 5'-O-(ацетоацетил)-2',3'-ди-O-ацетилуридин (AcAcDAU; номер партии 432168B). В этом эксперименте использовали AcAcDAU из примера 2.

Несущая среда: В качестве несущей среды для перорального введения производных уридина использовали водную HPMC.

Вводимый состав: UTA и другие производные уридина готовили в 0,75% HPMC. AcAcDAU добавляли к 0,75% HPMC и гомогенизировали для устранения комков. Суспензию доводили до желаемого объема и концентрации и обрабатывали ультразвуком для размельчения любых небольших оставшихся комков на мелкие частицы. До использования суспензии хранили при температуре 4°C. Суспензии использовали в течение 24 часов после приготовления.

Дозирование: Мыши получали дозу 2350 мг/кг AcAcDAU через желудочный зонд из расчета 0,02 мл/г массы тела. Мыши контрольной группы получали только несущую среду 0,75% HPMC.

Животные: Самки мышей CD-1.

Общий план эксперимента: Общий план эксперимента включал введение мышам через желудочный зонд AcAcDAU и последующее получение образцов крови в нескольких временных точках (подробности см. в таблице ниже). Эксперимент включал группу с 2 мышами, которым вводили через желудочный зонд только HPMC и брали кровь через 60 и 120 минут для определения исходного уровня уридина в плазме.

Желудочный зонд Животные Время кровотечения у животных после дозирования AcAcDAU A1, A2, A3, A4 15 и 60 мин AcAcDAU A5, A6, A7, A8 30 и 120 мин HPMC C1, C2 60 и 120 мин

Мыши получали 0,02 мл/г массы тела суспензии (0,75% гидроксипропилметилцеллюлозы в воде) с концентрацией AcAcDAU 117 мг/мл в дозе 2350 мг/кг массы тела. В каждой временной точке (15, 30, 60 и 120 минут после введения) у 4 мышей в пробирки собирали образцы крови (~100 мкл) для отделения плазмы. Образцы быстро центрифугировали, а полученную плазму замораживали на сухом льду. Затем образцы плазмы депротеинизировали и подвергали обращенно-фазовому анализу ВЭЖХ для измерения уровня уридина в плазме и его исходного метаболита урацила. Аликвоты тех же образцов плазмы также использовали для измерения концентрации BHB с помощью коммерческого набора для ферментативного анализа.

Уровень уридина в плазме и его начального метаболита урацила повышались после перорального введения AcAcDAU, как показано на фигурах 4, 5 и 6. Уровень бета-гидроксибутирата в плазме также повышался при введении AcAcDAU, как показано на фигуре 7, с площадью под кривой (AUC) 24,212 нмоль/мл×мин.

ПРИМЕР 6: Защита от смертности, вызванной 3-нитропропионовой кислотой, с помощью 5'-ацетоацетил-2',3'-ди-O-ацетилуридина и 2',3',5'-три-O-ацетилуридина

После перорального приема 5'-O-ацетоацетил-2',3'-ди-O-ацетилуридин (AcAcDAU) доставляет в кровоток как уридин, так и ацетоацетат (и бета-гидроксибутират [BHB], полученный из ацетоацетата). Исследование было разработано для сравнения относительной эффективности UTA и AcAcDAU в модели прогрессирующего летального отказа митохондриальной энергии. Митохондриальную дисфункцию вызывали ежедневным введением 3-нитропропионовой кислоты (3-NP; 60 мг/кг/день) путем внутрибрюшинной инъекции. 3-NP является необратимым ингибитором сукцинатдегидрогеназы (комплекс II митохондриальной цепи переноса электронов). Ежедневный прием 3-NP приводит к прогрессирующему снижению способности митохондрий поддерживать выработку АТФ, что в конечном итоге приводит к смертности как от нейродегенерации, так и от кардиомиопатии.

Самок мышей CD-1 в возрасте примерно 16 недель разделяли на группы одинакового веса по 10 мышей в каждой. Всем мышам ежедневно вводили внутрибрюшинно 3-NP (60 мг/кг) в объеме 0,01 мл на грамм массы тела.

В дополнение к ежедневным инъекциям 3-NP три группы мышей получали 1) несущую среду, 2) UTA или 3) AcAcDAU. В этом эксперименте использовали AcAcDAU из примера 2. Эти препараты вводили перорально через желудочный зонд в объеме 0,02 мл на грамм массы тела.

Группы:

1. Контроль несущая среда (0,75% HPMC; гидроксипропилметилцеллюлоза)

2. Уридин триацетат 1000 мг/кг два раза в день (суспендированный в 0,75% HPMC)

3. AcAcDAU 1113,5 мг/кг (молярный эквивалент 1000 мг/кг UTA) два раза в день (растворенный в 0,75% HPMC)

Схема лечения была следующей:

Группа 7:00 через зонд 16:00 через зонд 17:00 внутрибрюшинная инъекция 1 HPMC HPMC 3-NP (60 мг/кг) 2 UTA UTA 3-NP (60 мг/кг) 3 AcAcDAU AcAcDAU 3-NP (60 мг/кг)

Массу тела регистрировали каждый день чтобы скорректировать дозы лекарственного средства по мере того, как мыши теряли вес во время повторной обработки 3-NP.

Для количественной оценки и сравнения защитных эффектов испытуемых агентов в конце 11-дневного исследования использовали время выживаемости (медиана выживаемости; временная точка, когда 50% животных в группе погибло) и процент выживаемости.

Полученные результаты:

Окончательные проценты выживаемости и среднее время выживаемости в конце исследования показаны в следующей таблице 1 и на фигуре 8.

Таблица 1: Выживаемость мышей, получавших 60 мг/кг/день 3-нитропропионовой кислоты и получавших перорально триацетат уридина (UTA) 1000 мг/кг два раза в день или 5'-ацетоацетил-2',3'-ди-O-ацетилуридин (AcAcDAU) 1113,5 мг/кг два раза в день

Группа % выживаемости Медиана выживаемости Контроль несущая среда 10% (1/10) 5,5 дней UTA 30% (5/10) 7 дней AcACDAU 50% (2/10) >11 дней

Эквимолярные дозы UTA и AcAcDAU улучшали время выживаемости при прогрессирующей митохондриальной недостаточности по сравнению с одним носителем. Лечение AcAcDAU продемонстрировало более длительное среднее время выживаемости, чем введение UTA у мышей, подвергшихся прогрессирующей недостаточности митохондриальной энергии.

ПРИМЕР 7: Защита от смертности, вызванной 3-нитропропионовой кислотой, с помощью 5'-ацетоацетил-2',3'-ди-O-ацетилуридина и 2',3',5'-три-O-ацетилуридина

В примере 6 показано, что лечение AcAcDAU приводило к лучшей выживаемости в модели летальных эффектов прогрессирующей митохондриальной недостаточности при пероральном введении в дозе 1113,5 мг/кг по сравнению с молярным эквивалентом UTA (1000 мг/кг/доза). В этом примере сравнивали эффект более высоких доз UTA (2000 мг/кг/доза) по сравнению с эквимолярным AcAcDAU (2227 мг/кг/доза) в одной и той же модельной системе.

Группы:

1. Контроль несущая среда (0,75% HPMC; гидроксипропилметилцеллюлоза)

2. Уридин триацетат 2000 мг/кг два раза в день (суспендированный в 0,75% HPMC)

AcAcDAU 2227 мг/кг (молярный эквивалент 2000 мг/кг UTA) два раза в день (растворенный в 0,75% HPMC). В этом эксперименте использовали AcAcDAU из примера 2. Схема лечения была следующей:

Группа 7:00 через зонд 16:00 через зонд 17:00 внутрибрюшинная инъекция 1 HPMC HPMC 3-NP (60 мг/кг) 2 UTA UTA 3-NP (60 мг/кг) 3 AcAcDAU AcAcDAU 3-NP (60 мг/кг)

Вес тела регистрировали каждый день чтобы скорректировать дозы лекарственного средства по мере того, как мыши теряли вес во время повторного лечения 3-NP.

Процент выживаемости мышей в каждой группе из 10 мышей в конце 10-дневного исследования использовали для количественной оценки и сравнения защитных эффектов исследуемых агентов.

Полученные результаты:

Окончательные проценты выживаемости в конце исследования показаны в следующей таблице 2.

Таблица 2: Выживаемость мышей, получавших 60 мг/кг/день 3-нитропропионовой кислоты и получавших перорально триацетат уридина (UTA) 2000 мг/кг два раза в день или 5'-ацетоацетил-2',3'-ди-O-ацетилуридин (AcAcDAU) 2227 мг/кг два раза в день

Группа % выживаемости Контроль несущая среда 30% (3/10) UTA 70% (7/10) AcAcDAU 100% (10/10)

UTA и AcAcDAU, оба улучшали время выживаемости при прогрессирующей митохондриальной недостаточности по сравнению с одним носителем. Лечение AcAcDAU приводило к лучшей выживаемости на 10-й день, чем введение эквимолярных доз пероральной UTA у мышей, подвергшихся прогрессирующей недостаточности митохондриальной энергии.

Похожие патенты RU2839363C1

название год авторы номер документа
КОМПОЗИЦИИ И УСТРОЙСТВА ДЛЯ СИСТЕМНОЙ ДОСТАВКИ УРИДИНА 2019
  • Вон Борстел, Рейд В.
  • Гарсия Гарсия, Роландо, Алехандро
RU2832150C2
СОЕДИНЕНИЕ, СПОСОБ И ФАРМАЦЕВТИЧЕСКАЯ КОМПОЗИЦИЯ ДЛЯ МОДУЛИРОВАНИЯ ЭКСПРЕСИИ DUX4 2020
  • Кумагаи, Синдзи
  • Ясиро, Такаси
  • Араки, Томо
  • Канагава, Такаюки
  • Окагаки, Тиеко
  • Фурукава, Хироюки
RU2831087C2
ТЕРАПЕВТИЧЕСКИЕ СОЕДИНЕНИЯ И СПОСОБЫ 2018
  • Гювен, Нури
  • Смит, Джейсон
  • Вулли, Кристел Ли
  • Надикуди, Монила
RU2837261C2
ИНГИБИТОРЫ α-АМИНО-β-КАРБОКСИМУКОНАТ-ε-СЕМИАЛЬДЕГИД-ДЕКАРБОКСИЛАЗЫ 2015
  • Пелличари Роберто
  • Ауверкс Йохан
  • Раффаэлли Надия
RU2746405C2
Замещенные цианопирролидины, обладающие активностью ингибиторов USP30 2020
  • Томпсон Пол Уиллиям
  • Лакхерст Кристофер Эндрю
  • Кемп Марк Иэн
RU2822680C1
ФАРМАЦЕВТИЧЕСКАЯ КОМПОЗИЦИЯ ДЛЯ ПРОФИЛАКТИКИ ИЛИ ЛЕЧЕНИЯ МИОЗИТА, СОДЕРЖАЩАЯ ВЫДЕЛЕННЫЕ МИТОХОНДРИИ В КАЧЕСТВЕ АКТИВНОГО ИНГРЕДИЕНТА 2020
  • Хан, Киубоем
  • Ким, Чун-Хиунг
  • Ю, Шин-Хие
  • Ли, Сео-Еун
  • Лим, Санг-Мин
  • Дзунг, Хансун
  • На, Квангмин
  • Хан, Йоон Ми
  • Сон, Дзун Янг
  • Ли, Еун Йоунг
  • Ким, Дзеонг Йеон
  • Сонг, Йеонг Воок
  • Паенг, Дзин Чул
  • Ли, Юн Санг
  • Хванг, До Вон
RU2810508C2
ОБРАЗУЕМЫЕ СРЕДНЕЦЕПОЧЕЧНЫМИ ЖИРНЫМИ КИСЛОТАМИ СЛОЖНЫЕ ЭФИРЫ БЕТА-ГИДРОКСИБУТИРАТА И БУТАНДИОЛА, И КОМПОЗИЦИИ И СПОСОБЫ НА ИХ ОСНОВЕ 2017
  • Вердин, Эрик
  • Ульрих, Скотт
  • Ньюман, Джон
RU2831011C1
ИНГИБИТОРЫ ДЕКАРБОКСИЛАЗЫ ПОЛУАЛЬДЕГИДА α-АМИНО-β-КАРБОКСИМУКОНОВОЙ КИСЛОТЫ 2019
  • Пелличари, Роберто
  • Лишио, Париде
  • Джакке, Никола
  • Де Франко, Франческа
RU2841136C2
НОВОЕ ПРОИЗВОДНОЕ ОКСИМА ХРОМОНА И ЕГО ИСПОЛЬЗОВАНИЕ В КАЧЕСТВЕ АЛЛОСТЕРИЧЕСКОГО МОДУЛЯТОРА МЕТАБОТРОПНЫХ РЕЦЕПТОРОВ ГЛУТАМАТА 2015
  • Шарвен Дельфин
  • Манто Батист
  • Помель Венсан
  • Конке Франсуа
RU2672569C2
ФЕНИЛ-2-ГИДРОКСИ-АЦЕТИЛАМИНО-2-МЕТИЛ-ФЕНИЛОВЫЕ СОЕДИНЕНИЯ 2018
  • Сифуэнтес-Гарсия, Марта Мария
  • Гарсия-Паредес, Мария Кристина
RU2804280C2

Иллюстрации к изобретению RU 2 839 363 C1

Реферат патента 2025 года 2',3'-ДИАЦЕТИЛУРИДИН, ЗАМЕЩЕННЫЙ АЦЕТОАЦЕТИЛОМ В 5' ПОЛОЖЕНИИ

Группа изобретений относится к области фармацевтической химии и включает 5ʼ-O-ацетоацетил-2ʼ,3ʼ-ди-O-ацетилуридин, его способ получения, способ лечения расстройства, фармацевтическую композицию на его основе и промежуточное соединение 5ʼ-O-ацетоацетилуридин. Технический результат - повышение биодоступности уридина для терапевтических целей за счет использования 5ʼ-O-ацетоацетил-2ʼ,3ʼ-ди-O-ацетилуридина. 5 н. и 26 з.п. ф-лы, 8 ил., 2 табл., 7 пр.

Формула изобретения RU 2 839 363 C1

1. Соединение 5ʼ-O-(ацетоацетил)-2ʼ,3ʼ-ди-O-ацетилуридин.

2. Способ лечения расстройства, характеризующегося церебральной недостаточностью метаболической энергии или сниженной способностью запаса энергии митохондрий у субъекта-млекопитающего, включающий введение субъекту эффективного для лечения расстройства количества соединения по п.1.

3. Способ по п.2, где расстройство представляет собой неврологическое расстройство.

4. Способ по п.3, где неврологическое расстройство выбрано из группы, включающей генетическое нейродегенеративное заболевание, возрастное нейродегенеративное заболевание и ишемическое повреждение головного мозга.

5. Способ по п.4, где неврологическое расстройство представляет собой генетическое нейродегенеративное заболевание.

6. Способ по п.5, где генетическое нейродегенеративное заболевание выбрано из группы, включающей деменцию с синдромом Дауна, болезнь Хантингтона и боковой амиотрофический склероз.

7. Способ по п.4, где неврологическое расстройство представляет собой возрастное нейродегенеративное заболевание.

8. Способ по п.7, где возрастное нейродегенеративное расстройство выбрано из группы, включающей болезнь Паркинсона и старческое слабоумие.

9. Способ по п.8, где старческое слабоумие выбрано из группы, включающей болезнь Альцгеймера и сосудистую деменцию.

10. Способ по п.4, где неврологическое расстройство представляет собой ишемическое повреждение головного мозга.

11. Способ по п.10, где ишемическое повреждение головного мозга выбрано из группы, включающей вторичное повреждение после черепно-мозговой травмы, вторичное повреждение после гипоксически-ишемической энцефалопатии, вторичную травму после родовой асфиксии, вторичное повреждение после ишемического инсульта, вторичное повреждение после геморрагического инсульта, вторичную травму после остановки сердца и вторичную травму после утопления.

12. Способ по п.2, где расстройство представляет собой нервно-мышечное расстройство.

13. Способ по п.12, где нервно-мышечное расстройство выбрано из группы, включающей возрастную саркопению, дисфункциональную атрофию мышц, мышечную дистрофию, миотоническую дистрофию, синдром хронической усталости и атаксию Фридрейха.

14. Способ по п.2, где расстройство представляет собой сердечную недостаточность.

15. Способ по п.14, где сердечная недостаточность выбрана из группы, включающей дилатационную кардиомиопатию, правожелудочковую недостаточность, острую сердечную недостаточность и хроническую сердечную недостаточность.

16. Способ по п.2, где расстройство представляет собой первичное генетическое митохондриальное заболевание.

17. Способ по п.16, где первичное генетическое митохондриальное заболевание выбрано из группы, включающей следующее: MELAS (митохонкриальная энцефаломиопатия с лактоацидемией и инсультоподобными эпизодами), MERRF (миоклонус, эпилепсия и миопатия с рваными красными волокнами), NARP, NARP/MILS (нейрогенная мышечная слабость, атаксия, пигментный ретинит/синдром Ли, наследуемый по материнской линии), LHON (наследственная оптическая нейропатия Лебера) «митохондриальная слепота», KSS (синдром Кернса-Сейра), PMPS (синдром костно-поджелудочной железы Пирсона), PEO (прогрессирующая наружная офтальмоплегия), CPEO (хроническая прогрессирующая наружная офтальмоплегия), синдром Ли, MNGIE (синдром митохондриальной нейрогастроинтестинальной энцефалопатии), синдром Альперса, синдром множественных делеций мтДНК, синдром истощения мтДНК, дефицит митохондриального комплекса I, дефицит митохондриального комплекса II (SDH), дефицит митохондриального комплекса III, дефицит митохондриального комплекса IV (цитохром с оксидазы), дефицит митохондриального комплекса V, дефицит транслокатора адениновых нуклеотидов (ANT), дефицит пируватдегидрогеназы (ПДГ), множественные синдромы делеции митохондриальной ДНК, синдром Барта, митохондриальная миопатия, митохондриальная эпилепсия и митохондриальный ацидоз почечных канальцев.

18. Способ по п.2, где субъектом-млекопитающим является человек.

19. Способ по п.2, где соединение вводят перорально.

20. Способ по п.19, где соединение вводят в дозе от 1 до 3 г/м2.

21. Способ по п.20, где дозу вводят 2 или 3 раза в день.

22. Соединение по п.1 для применения при лечении или предупреждении расстройства, характеризующегося церебральной недостаточностью метаболической энергии или сниженной способностью запаса энергии митохондрий у субъекта-млекопитающего.

23. Соединение по п.1 для применения при изготовлении лекарственного средства для лечения или профилактики расстройства, характеризующегося церебральной недостаточностью метаболической энергии или сниженной способностью запаса энергии митохондрий у субъекта-млекопитающего.

24. Фармацевтическая композиция, содержащая соединение по п.1 в количестве, эффективном для лечения или профилактики нарушения, характеризующегося церебральной недостаточностью метаболической энергии или сниженной способностью запаса энергии митохондрий у субъекта-млекопитающего, и фармацевтически приемлемый носитель.

25. Способ получения 5ʼ-O-ацетоацетил-2ʼ,3ʼ-ди-O-ацетилуридина, включающий стадии:

(a) смешивание 2ʼ,3ʼ-O-изопропилиденуридина и 2,2,6-триметил-4H-1,3-диоксин-4-она в диметилформамиде в условиях, подходящих для получения 5ʼ-O-ацетоацетил-2ʼ,3ʼ-O-изопропилиденуридина;

(b) смешивание 5ʼ-O-ацетоацетил-2ʼ,3ʼ-O-изопропилиденуридина со стадии (a) с водным раствором уксусной кислоты в условиях, подходящих для получения сырого 5ʼ-O-ацетоацетилуридина;

(c) растворение сырого 5ʼ-O-ацетоацетилуридина со стадии (b) в смеси дихлорметана и пиридина с последующим добавлением уксусного ангидрида и перемешиванием в течение нескольких дней;

(d) в смеси, полученной на стадии (c), замена растворителя на этилацетат и нейтрализация насыщенным раствором NaHCO3 с получением сырого 5ʼ-O-ацетоацетил-2ʼ,3ʼ-ди-O-ацетилуридина.

26. Способ по п.25, где стадию (a) проводят при температуре от 90°C до 110°C.

27. Способ по п.25, где стадию (b) проводят при температуре от комнатной до 75°C.

28. Способ по п.27, где стадию (b) проводят при температуре около 65°C.

29. Способ по п.25, где стадию (c) проводят при около комнатной температуре.

30. Способ по п.25, дополнительно включающий очистку сырого 5ʼ-O-ацетоацетил-2ʼ,3ʼ-ди-O-ацетилуридина со стадии (d) с получением очищенного 5ʼ-O-ацетоацетил-2ʼ,3ʼ-ди-O-ацетилуридина.

31. Соединение 5ʼ-O-ацетоацетилуридин.

Документы, цитированные в отчете о поиске Патент 2025 года RU2839363C1

WO 2000050043 A1, 31.08.2000
WO 2019152776 A1, 08.08.2019
WO 2016028894 A1, 25.02.2016
US 20010025032 A1, 27.09.2001
US 20040102523 A1, 27.05.2004
БД PUBCHEM, PubChem CID: 9913736, create date: 25.10.2006
Корообдирная машина 1929
  • Поляков Н.К.
SU34135A1

RU 2 839 363 C1

Авторы

Вон Борстел, Рейд, Уоррен

Симпсон, Дэвид, Майкл

Гарсия Гарсия, Роландо, Алехандро

Даты

2025-04-30Публикация

2021-09-14Подача