ТЕРАПЕВТИЧЕСКАЯ РНК ДЛЯ РАКА ЯИЧНИКА Российский патент 2024 года по МПК A61K31/7088 A61K48/00 A61K39/00 C07K14/47 C07K14/705 A61P35/00 

Описание патента на изобретение RU2832172C2

Данное изобретение относится к терапевтической РНК для лечения рака яичников. Рак яичников относится к любому злокачественному новообразованию, которое начинается в яичнике. Это пятая по частоте причина смерти от рака среди женщин и десятая по частоте среди женщин в Соединенных Штатах. Среди гинекологических видов рака - рака матки, шейки матки и яичников - самый высокий уровень смертности регистрируют от рака яичников.

В настоящей заявке раскрыты композиции, применения и способы лечения рака яичников. Введение терапевтических РНК, описанных в настоящей заявке, пациенту, страдающему раком яичников, может уменьшить размер опухоли, продлить время до прогрессирования заболевания и/или защитить от метастазирования и/или рецидива опухоли и, в конечном итоге, увеличить время выживания.

Раскрытие изобретения

В одном из аспектов настоящего изобретения предусмотрены композиция или медицинский препарат, содержащие, по меньшей мере, одну РНК, в которых, по меньшей мере, одна РНК кодирует следующие аминокислотные последовательности:

(i) аминокислотную последовательность клаудина 6 (CLDN6), его иммуногенного варианта или иммуногенного фрагмента CLDN6 или его иммуногенного варианта;

(ii) аминокислотную последовательность p53, его иммуногенного варианта, или иммуногенного фрагмента p53 или его иммуногенного варианта; и

(iii) аминокислотную последовательность преимущественно экспрессируемого антигена меланомы (PRAME), его иммуногенного варианта или иммуногенного фрагмента PRAME или его иммуногенного варианта.

В одном из воплощений каждая из аминокислотных последовательностей в соответствии с (i), (ii) или (iii) кодируется отдельной РНК.

В одном из воплощений

(i) РНК, кодирующая аминокислотную последовательность (i), содержит нуклеотидную последовательность SEQ ID NO: 2 или 3 или нуклеотидную последовательность, которая, по меньшей мере, на 99%, 98%, 97%, 96%, 95%, 90%, 85% или 80% идентична нуклеотидной последовательности SEQ ID NO: 2 или 3; и/или

(ii) аминокислотная последовательность (i) включает аминокислотную последовательность SEQ ID NO: 1 или аминокислотную последовательность, которая, по меньшей мере, на 99%, 98%, 97%, 96%, 95%, 90%, 85% или 80% идентична аминокислотной последовательности SEQ ID NO: 1.

В одном из воплощений

(i) РНК, кодирующая аминокислотную последовательность (ii), содержит нуклеотидную последовательность SEQ ID NO: 6 или 7 или нуклеотидную последовательность, которая, по меньшей мере, на 99%, 98%, 97%, 96%, 95%, 90%, 85% или 80% идентична нуклеотидной последовательности SEQ ID NO: 6 или 7; и/или

(ii) аминокислотная последовательность (ii) включает аминокислотную последовательность SEQ ID NO: 4 или 5 или аминокислотную последовательность, которая, по меньшей мере, на 99%, 98%, 97%, 96%, 95%, 90%, 85% или 80% идентична аминокислотной последовательности SEQ ID NO: 4 или 5.

В одном из воплощений

(i) РНК, кодирующая аминокислотную последовательность (iii), содержит нуклеотидную последовательность SEQ ID NO: 10 или 11 или нуклеотидную последовательность, которая, по меньшей мере, на 99%, 98%, 97%, 96%, 95%, 90%, 85% или 80% идентична нуклеотидной последовательности SEQ ID NO: 10 или 11; и/или

(ii) аминокислотная последовательность (iii) включает аминокислотную последовательность SEQ ID NO: 8 или 9 или аминокислотную последовательность, которая, по меньшей мере, на 99%, 98%, 97%, 96%, 95%, 90%, 85% или 80% идентична аминокислотной последовательности SEQ ID NO: 8 или 9.

В одном из воплощений, по меньшей мере, одна аминокислотная последовательность (i), (ii) или (iii) включает аминокислотную последовательность, которая нарушает иммунологическую толерантность. В одном из воплощений, каждая аминокислотная последовательность (i), (ii) или (iii) включает аминокислотную последовательность, которая нарушает иммунологическую толерантность.

В одном из воплощений, по меньшей мере, одну РНК вводят совместно с РНК, кодирующей: (iv) аминокислотную последовательность, которая нарушает иммунологическую толерантность. В одном из воплощений, каждую РНК вводят совместно с РНК, кодирующей (iv) аминокислотную последовательность, которая нарушает иммунологическую толерантность.

В одном из воплощений, аминокислотная последовательность, которая нарушает иммунологическую толерантность, включает хелперные детерминанты, предпочтительно, хелперные детерминанты, происходящие из столбнячного анатоксина.

В одном из воплощений

(i) РНК, кодирующая аминокислотную последовательность, которая нарушает иммунологическую толерантность, включает нуклеотидную последовательность SEQ ID NO: 14 или 15 или нуклеотидную последовательность, которая, по меньшей мере, на 99%, 98%, 97%, 96%, 95%, 90%, 85% или 80% идентична нуклеотидной последовательности SEQ ID NO: 14 или 15; и/или

(ii) аминокислотная последовательность, которая нарушает иммунологическую толерантность, включает аминокислотную последовательность SEQ ID NO: 12 или 13 или аминокислотную последовательность, которая, по меньшей мере, 99%, 98%, 97%, 96%, 95%, 90%, 85% или 80% идентична аминокислотной последовательности SEQ ID NO: 12 или 13.

В одном из воплощений, по меньшей мере, одна из аминокислотных последовательностей (i), (ii), (iii) или (iv) кодируется последовательностью, которая представляет собой кодоноптимизированную последовательность и/или содержание G/C в которой увеличено по сравнению с кодирующей последовательностью дикого типа, при этом оптимизация кодонов и/или увеличение содержания G/C предпочтительно не изменяет последовательность кодируемой аминокислотной последовательности. В одном из воплощений, каждая из аминокислотных последовательностей (i), (ii), (iii) или (iv) кодируется последовательностью, которая представляет собой кодоноптимизированную последовательность и/или содержание G/C в которой увеличено по сравнению с кодирующей последовательностью дикого типа, при этом оптимизация кодонов и/или увеличение содержания G/C предпочтительно не изменяет последовательность кодируемой аминокислотной последовательности.

В одном из воплощений, по меньшей мере, одна РНК представляет собой модифицированную РНК, в особенности, стабилизированную мРНК. В одном из воплощений, по меньшей мере, одна РНК содержит модифицированный нуклеозид вместо, по меньшей мере, одного уридина. В одном из воплощений, по меньшей мере, одна РНК содержит модифицированный нуклеозид вместо каждого уридина. В одном из воплощений, каждая РНК содержит модифицированный нуклеозид вместо, по меньшей мере, одного уридина. В одном из воплощений, каждая РНК содержит модифицированный нуклеозид вместо каждого уридина. В одном из воплощений, модифицированный нуклеозид независимо выбран из псевдоуридина (ψ), N1-метил-псевдоуридина (m1ψ) и 5-метилуридина (m5U).

В одном из воплощений, по меньшей мере, одна РНК содержит 5'-кэп m27,2'-OGppsp(5')G. В одном из воплощений, каждая РНК содержит 5'-кэп m27,2'-OGppsp(5')G.

В одном из воплощений, по меньшей мере, одна РНК содержит 5'-UTR, включающую нуклеотидную последовательность SEQ ID NO: 16 или нуклеотидную последовательность, которая, по меньшей мере, на 99%, 98%, 97%, 96%, 95%, 90%, 85% или 80% идентична нуклеотидной последовательности SEQ ID NO: 16. В одном из воплощений, каждая РНК содержит 5'-UTR, включающую нуклеотидную последовательность SEQ ID NO: 16 или нуклеотидную последовательность, которая, по меньшей мере, на 99%, 98%, 97%, 96%, 95%, 90%, 85% или 80% идентична нуклеотидной последовательности SEQ ID NO: 16.

В одном из воплощений, по меньшей мере, одна аминокислотная последовательность (i), (ii), (iii) или (iv) включает аминокислотную последовательность, усиливающую процессинг и/или презентацию антигена. В одном из воплощений, каждая аминокислотная последовательность (i), (ii), (iii) или (iv) включает аминокислотную последовательность, усиливающую процессинг и/или презентацию антигена. В одном из воплощений, аминокислотная последовательность, усиливающая процессинг и/или презентацию антигена, включает аминокислотную последовательность, соответствующую трансмембранному и цитоплазматическому домену молекулы MHC, предпочтительно, молекулы MHC класса I.

В одном из воплощений

(i) РНК, кодирующая аминокислотную последовательность, усиливающую процессинг и/или презентацию антигена, включает нуклеотидную последовательность SEQ ID NO: 20 или нуклеотидную последовательность, которая, по меньшей мере, на 99%, 98%, 97%, 96%, 95%, 90%, 85% или 80% идентична нуклеотидной последовательности SEQ ID NO: 20; и/или

(ii) аминокислотная последовательность, усиливающая процессинг и/или презентацию антигена, включает аминокислотную последовательность SEQ ID NO: 19 или аминокислотную последовательность, которая, по меньшей мере, на 99%, 98%, 97%, 96%, 95%, 90%, 85% или 80% идентична аминокислотной последовательности SEQ ID NO: 19.

В одном из воплощений аминокислотная последовательность, усиливающая процессинг и/или презентацию антигена, дополнительно включает аминокислотную последовательность, кодирующую секреторный сигнальный пептид.

В одном из воплощений

(i) РНК, кодирующая секреторный сигнальный пептид, включает нуклеотидную последовательность SEQ ID NO: 18 или нуклеотидную последовательность, которая, по меньшей мере, на 99%, 98%, 97%, 96%, 95%, 90%, 85% или 80% идентична нуклеотидной последовательностью SEQ ID NO: 18; и/или

(ii) секреторный сигнальный пептид включает аминокислотную последовательность SEQ ID NO: 17 или аминокислотную последовательность, которая, по меньшей мере, на 99%, 98%, 97%, 96%, 95%, 90%, 85% или 80% идентична аминокислотной последовательностью SEQ ID NO: 17.

В одном из воплощений, по меньшей мере, одна РНК содержит 3'-UTR, включающую нуклеотидную последовательность SEQ ID NO: 21 или нуклеотидную последовательность, которая, по меньшей мере, на 99%, 98%, 97%, 96%, 95%, 90%, 85% или 80% идентична нуклеотидной последовательности SEQ ID NO: 21. В одном из воплощений, каждая РНК содержит 3'-UTR, включающую нуклеотидную последовательность SEQ ID NO: 21 или нуклеотидную последовательность, которая, по меньшей мере, на 99%, 98%, 97%, 96%, 95%, 90%, 85% или 80% идентична нуклеотидной последовательности SEQ ID NO: 21.

В одном из воплощений, по меньшей мере, одна РНК включает последовательность поли-А. В одном из воплощений, каждая РНК включает последовательность поли-А. В одном из воплощений, последовательность поли-А включает, по меньшей мере, 100 нуклеотидов. В одном из воплощений, последовательность поли-А включает или состоит из нуклеотидной последовательности SEQ ID NO: 22.

В одном из воплощений РНК находится в виде жидкости, твердого вещества или их комбинации. В одном из воплощений РНК находится в форме для инъекций. В одном из воплощений РНК находится в форме для внутривенного введения.

В одном из воплощений РНК находится или должна находиться в виде липоплексных частиц. В одном из воплощений, РНК-липоплексные частицы получаются путем смешивания РНК с липосомами. В одном из воплощений, по меньшей мере, одна РНК, кодирующая аминокислотную последовательность (i), (ii) и/или (iii), объединена или должна быть объединена в составе липоплексных частиц с РНК, кодирующей аминокислотную последовательность, которая нарушает иммунологическую толерантность. В одном из воплощений, каждая РНК, кодирующая аминокислотную последовательность (i), (ii) и/или (iii), объединена или должна быть объединена в составе липоплексных частиц с РНК, кодирующей аминокислотную последовательность, которая нарушает иммунологическую толерантность. В одном из воплощений, РНК, кодирующая аминокислотную последовательность (i), (ii) и/или (iii), объединена или должна быть объединена в составе липоплексных частиц с РНК, кодирующей аминокислотную последовательность, которая нарушает иммунологическую толерантность в соотношении, равном примерно от 4:1 до примерно 16:1, от примерно 6:1 до примерно 14:1, от примерно 8:1 до примерно 12:1 или примерно 10:1.

В одном из воплощений композиция или лекарственный препарат представляет собой фармацевтическую композицию. В одном из воплощений, фармацевтическая композиция дополнительно включает один или несколько фармацевтически приемлемых носителей, разбавителей и/или эксципиентов.

В одном из воплощений композиция или лекарственный препарат представляет собой набор. В одном из воплощений, РНК и, необязательно, липосомы находятся в отдельных флаконах.

В одном из воплощений композиция или лекарственный препарат дополнительно включает инструкции по применению РНК и, необязательно, липосом для лечения или предупреждения рака яичников.

В одном из аспектов изобретения, раскрытых в настоящей заявке, представлена композиция или лекарственный препарат для фармацевтического применения. В одном из воплощений фармацевтическое применение включает терапевтическое или профилактическое лечение заболевания или расстройства. В одном из воплощений терапевтическое или профилактическое лечение заболевания или нарушения включает лечение или предупреждение рака яичников. В одном из воплощений композиция или лекарственный препарат, описанные в настоящей заявке, предназначены для введения человеку.

В одном из воплощений изобретения терапевтическое или профилактическое лечение заболевания или расстройства также включает проведение дополнительной терапии. В одном из воплощений, дополнительная терапия включает один или несколько средств, выбранных из группы, включающей: (i) операцию по иссечению, резекции или удалению опухоли, (ii) лучевую терапию и (iii) химиотерапию. В одном из воплощений, дополнительная терапия включает введение дополнительного терапевтического агента. В одном из воплощений, дополнительный терапевтический агент включает противораковое терапевтическое средство. В одном из воплощений, дополнительное терапевтическое средство представляет собой модулятор контрольной точки. В одном из воплощений, модулятор контрольной точки представляет собой антитело против PD1, антитело против CTLA-4 или комбинацию антитела против PD1 и антитела против CTLA-4.

В одном из аспектов изобретения, раскрытых в настоящей заявке, представлен способ лечения рака яичников у субъекта, включающий введение, по меньшей мере, одной РНК субъекту, причем, по меньшей мере, одна РНК кодирует следующие аминокислотные последовательности:

(i) аминокислотную последовательность клаудина 6 (CLDN6), его иммуногенного варианта, или иммуногенного фрагмента CLDN6 или его иммуногенного варианта;

(ii) аминокислотную последовательность p53, его иммуногенного варианта, или иммуногенного фрагмента p53 или его иммуногенного варианта; и

(iii) аминокислотную последовательность преимущественно экспрессируемого антигена меланомы (PRAME), его иммуногенного варианта, или иммуногенного фрагмента PRAME или его иммуногенного варианта.

В одном из воплощений, каждая из аминокислотных последовательностей (i), (ii) или (iii) кодируется отдельной РНК.

В одном из воплощений

(i) РНК, кодирующая аминокислотную последовательность (i), включает нуклеотидную последовательность SEQ ID NO: 2 или 3 или нуклеотидную последовательность, которая, по меньшей мере, на 99%, 98%, 97%, 96%, 95%, 90%, 85% или 80% идентична нуклеотидной последовательности SEQ ID NO: 2 или 3; и/или

(ii) аминокислотная последовательность (i) включает аминокислотную последовательность SEQ ID NO: 1 или аминокислотную последовательность, которая, по меньшей мере, на 99%, 98%, 97%, 96%, 95%, 90%, 85% или 80% идентична аминокислотной последовательности SEQ ID NO: 1.

В одном из воплощений

(i) РНК, кодирующая аминокислотную последовательность (ii), включает нуклеотидную последовательность SEQ ID NO: 6 или 7 или нуклеотидную последовательность, которая, по меньшей мере, на 99%, 98%, 97%, 96%, 95%, 90%, 85% или 80% идентична нуклеотидной последовательности SEQ ID NO: 6 или 7; и/или

(ii) аминокислотная последовательность (ii) включает аминокислотную последовательность SEQ ID NO: 4 или 5 или аминокислотную последовательность, которая, по меньшей мере, на 99%, 98%, 97%, 96%, 95%, 90%, 85% или 80% идентична аминокислотной последовательности SEQ ID NO: 4 или 5.

В одном из воплощений

(i) РНК, кодирующая аминокислотную последовательность (iii), включает нуклеотидную последовательность SEQ ID NO: 10 или 11 или нуклеотидную последовательность, которая, по меньшей мере, на 99%, 98%, 97%, 96%, 95%, 90%, 85% или 80% идентична нуклеотидной последовательности SEQ ID NO: 10 или 11; и/или

(ii) аминокислотная последовательность (iii) включает аминокислотную последовательность SEQ ID NO: 8 или 9 или аминокислотную последовательность, которая, по меньшей мере, на 99%, 98%, 97%, 96%, 95%, 90%, 85% или 80% идентична аминокислотной последовательности SEQ ID NO: 8 или 9.

В одном из воплощений, по меньшей мере, одна аминокислотная последовательность (i), (ii) или (iii) включает аминокислотную последовательность, которая нарушает иммунологическую толерантность. В одном из воплощений, каждая аминокислотная последовательность (i), (ii) или (iii) включает аминокислотную последовательность, которая нарушает иммунологическую толерантность.

В одном из воплощений, по меньшей мере, одну РНК вводят совместно с РНК, кодирующей: (iv) аминокислотную последовательность, которая нарушает иммунологическую толерантность. В одном из воплощений, каждую РНК вводят совместно с РНК, кодирующей (iv) аминокислотную последовательность, которая нарушает иммунологическую толерантность.

В одном из воплощений аминокислотная последовательность, которая нарушает иммунологическую толерантность, включает хелперные детерминанты, предпочтительно, хелперные детерминанты, происходящие из столбнячного анатоксина.

В одном из воплощений

(i) РНК, кодирующая аминокислотную последовательность, которая нарушает иммунологическую толерантность, включает нуклеотидную последовательность SEQ ID NO: 14 или 15 или нуклеотидную последовательность, которая, по меньшей мере, на 99%, 98%, 97%, 96%, 95%, 90%, 85% или 80% идентична нуклеотидной последовательности SEQ ID NO: 14 или 15; и/или

(ii) аминокислотная последовательность, которая нарушает иммунологическую толерантность, включает аминокислотную последовательность SEQ ID NO: 12 или 13 или аминокислотную последовательность, которая, по меньшей мере, на 99%, 98%, 97%, 96%, 95%, 90%, 85% или 80% идентична аминокислотной последовательности SEQ ID NO: 12 или 13.

В одном из воплощений, по меньшей мере, одна из аминокислотных последовательностей (i), (ii), (iii) или (iv) кодируется последовательностью, которая представляет собой кодоноптимизированную последовательность и/или содержание G/C в которой увеличено по сравнению с кодирующей последовательностью дикого типа, при этом оптимизация кодонов и/или увеличение содержания G/C предпочтительно не изменяет последовательность кодируемой аминокислотной последовательности. В одном из воплощений, каждая из аминокислотных последовательностей (i), (ii), (iii) или (iv) кодируется последовательностью, которая представляет собой кодоноптимизированную последовательность и/или содержание G/C в которой увеличено по сравнению с кодирующей последовательностью дикого типа, при этом оптимизация кодонов и/или увеличение содержания G/C предпочтительно не изменяет последовательность кодируемой аминокислотной последовательности.

В одном из воплощений, по меньшей мере, одна РНК представляет собой модифицированную РНК, в особенности, стабилизированную мРНК. В одном из воплощений, по меньшей мере, одна РНК содержит модифицированный нуклеозид вместо, по меньшей мере, одного уридина. В одном из воплощений, по меньшей мере, одна РНК содержит модифицированный нуклеозид вместо каждого уридина. В одном из воплощений каждая РНК содержит модифицированный нуклеозид вместо, по меньшей мере, одного уридина. В одном из воплощений каждая РНК содержит модифицированный нуклеозид вместо каждого уридина. В одном из воплощений, модифицированный нуклеозид независимо выбран из псевдоуридина (ψ), N1-метил-псевдоуридина (m1ψ) и 5-метилуридина (m5U).

В одном из воплощений, по меньшей мере, одна РНК включает 5'-кэп m27,2'-OGppsp(5')G. В одном из воплощений каждая РНК включает 5'-кэп m27,2'-OGppsp(5')G.

В одном из воплощений, по меньшей мере, одна РНК содержит 5'-UTR, включающую нуклеотидную последовательность SEQ ID NO: 16 или нуклеотидную последовательность, которая, по меньшей мере, на 99%, 98%, 97%, 96%, 95%, 90%, 85% или 80% идентична нуклеотидной последовательности SEQ ID NO: 16. В одном из воплощений каждая РНК содержит 5'-UTR, включающую нуклеотидную последовательность SEQ ID NO: 16 или нуклеотидную последовательность, которая, по меньшей мере, на 99%, 98%, 97%, 96%, 95%, 90%, 85% или 80% идентична нуклеотидной последовательности SEQ ID NO: 16.

В одном из воплощений, по меньшей мере, одна аминокислотная последовательность (i), (ii), (iii) или (iv) включает аминокислотную последовательность, усиливающую процессинг и/или презентацию антигена. В одном из воплощений, каждая аминокислотная последовательность (i), (ii), (iii) или (iv) включает аминокислотную последовательность, усиливающую процессинг и/или презентацию антигена. В одном из воплощений, аминокислотная последовательность, усиливающая процессинг и/или презентацию антигена, включает аминокислотную последовательность, соответствующую трансмембранному и цитоплазматическому домену молекулы MHC, предпочтительно, молекулы MHC класса I.

В одном из воплощений

(i) РНК, кодирующая аминокислотную последовательность, усиливающую процессинг и/или презентацию антигена, включает нуклеотидную последовательность SEQ ID NO: 20 или нуклеотидную последовательность, которая, по меньшей мере, на 99%, 98%, 97%, 96%, 95%, 90%, 85% или 80% идентична нуклеотидной последовательности SEQ ID NO: 20; и/или

(ii) аминокислотная последовательность, усиливающая процессинг и/или презентацию антигена, включает аминокислотную последовательность SEQ ID NO: 19 или аминокислотную последовательность, которая, по меньшей мере, на 99%, 98%, 97%, 96%, 95%, 90%, 85% или 80% идентична аминокислотной последовательности SEQ ID NO: 19.

В одном из воплощений аминокислотная последовательность, усиливающая процессинг и/или презентацию антигена, дополнительно включает аминокислотную последовательность, кодирующую секреторный сигнальный пептид.

В одном из воплощений

(i) РНК, кодирующая секреторный сигнальный пептид, включает нуклеотидную последовательность SEQ ID NO: 18 или нуклеотидную последовательность, которая, по меньшей мере, на 99%, 98%, 97%, 96%, 95%, 90%, 85% или 80% идентична нуклеотидной последовательности SEQ ID NO: 18; и/или

(ii) секреторный сигнальный пептид включает аминокислотную последовательность SEQ ID NO: 17 или аминокислотную последовательность, которая, по меньшей мере, на 99%, 98%, 97%, 96%, 95%, 90%, 85% или 80% идентична аминокислотной последовательности SEQ ID NO: 17.

В одном из воплощений, по меньшей мере, одна РНК содержит 3'-UTR, включающую нуклеотидную последовательность SEQ ID NO: 21 или нуклеотидную последовательность, которая, по меньшей мере, на 99%, 98%, 97%, 96%, 95%, 90%, 85% или 80% идентична нуклеотидной последовательности SEQ ID NO: 21. В одном из воплощений, каждая РНК содержит 3'-UTR, включающую нуклеотидную последовательность SEQ ID NO: 21 или нуклеотидную последовательность, которая, по меньшей мере, на 99%, 98%, 97%, 96%, 95%, 90%, 85% или 80% идентична нуклеотидной последовательности SEQ ID NO: 21.

В одном из воплощений, по меньшей мере, одна РНК включает последовательность поли-А. В одном из воплощений каждая РНК включает последовательность поли-А. В одном из воплощений последовательность поли-А включает, по меньшей мере, 100 нуклеотидов. В одном из воплощений последовательность поли-А включает или состоит из нуклеотидной последовательности SEQ ID NO: 22.

В одном из воплощений РНК вводят путем инъекции. В одном из воплощений РНК вводят внутривенно.

В одном из воплощений РНК представлена в виде липоплексных частиц. В одном из воплощений РНК-липоплексные частицы можно получить путем смешивания РНК с липосомами.

В одном из воплощений, по меньшей мере, одна РНК, кодирующая аминокислотную последовательность (i), (ii) и/или (iii), объединена в составе липоплексных частиц с РНК, кодирующей аминокислотную последовательность, которая нарушает иммунологическую толерантность. В одном из воплощений каждая РНК, кодирующая аминокислотную последовательность (i), (ii) и/или (iii), объединена в составе липоплексных частиц с РНК, кодирующей аминокислотную последовательность, которая нарушает иммунологическую толерантность. В одном из воплощений РНК, кодирующая аминокислотную последовательность (i), (ii) и/или (iii), объединена в составе липоплексных частиц с РНК, кодирующей аминокислотную последовательность, которая нарушает иммунологическую толерантность в соотношении, равном от примерно 4:1 до примерно 16:1, от примерно 6:1 до примерно 14:1, от примерно 8:1 до примерно 12:1 или примерно 10:1.

В одном из воплощений субъект представляет собой человека.

В одном из воплощений способ, описанный в настоящей заявке, также включает проведение дополнительной терапии. В одном из воплощений дополнительная терапия включает одно или несколько средств, выбранных из группы, включающей: (i) хирургическую операцию по иссечению, резекции или удалению опухоли, (ii) лучевую терапию и (iii) химиотерапию. В одном из воплощений дополнительная терапия включает введение дополнительного терапевтического агента. В одном из воплощений дополнительное терапевтическое средство включает противораковое терапевтическое средство. В одном из воплощений дополнительное терапевтическое средство представляет собой модулятор контрольной точки. В одном из воплощений модулятор контрольной точки представляет собой антитело против PD1, антитело против CTLA-4 или комбинацию антитела против PD1 и антитела против CTLA-4.

В одном из аспектов изобретения, раскрытом в настоящей заявке, предложена РНК, например, выбранная из следующей группы:

(i) РНК, кодирующая аминокислотную последовательность клаудина 6 (CLDN6), его иммуногенного варианта, или иммуногенного фрагмента CLDN6 или его иммуногенного варианта;

(ii) РНК, кодирующая аминокислотную последовательность p53, его иммуногенного варианта, или иммуногенного фрагмента p53 или его иммуногенного варианта; и/или

(iii) РНК, кодирующая аминокислотную последовательность преимущественно экспрессируемого антигена меланомы (PRAME), его иммуногенного варианта, или иммуногенного фрагмента PRAME или его иммуногенного варианта,

для применения в способе, раскрытом в настоящей заявке.

Краткое описание рисунков

Фиг. 1 - общие структуры РНК RBL005.2, RBL008.1, RBL012.1 и RBLTet.1.

Схематическое изображение общих структур всех РНК-вакцин с 5'-кэпом, 5'- и 3'-нетранслируемыми областями (UTR), кодирующих последовательности с N- и C-концевыми метками слияния (sec и MITD, соответственно) и A30L70 поли(A)-хвост. Следует обратить внимание, что отдельные элементы нарисованы не в точном соответствии с масштабом по сравнению с соответствующей длиной их последовательности.

Фиг. 2 - 5'-кэпирующая структура бета-S-ARCA (D1) (m27,2'-OGppSpG).

Красным цветом показаны различия между бета-S-ARCA (D1) и основным аналогом кэпа m7GpppG: группа -OCH3 в положении C2' структурного блока m7G и замещение немостикового кислорода в бета-фосфате на серу. Из-за наличия стереогенного Р-центра (помеченного звездочкой) аналог фосфоротиоатного кэпа бета-S-ARCA существует в виде двух диастереомеров. В зависимости от порядка их элюирования в обратно-фазовой ВЭЖХ они были обозначены как D1 и D2.

Фиг. 3 - векторная карта плазмиды pST1-hAg-Kozak-CLDN6-2hBgUTR-A30L70 для синтеза RBL005.2.

Вставка с обозначенными элементами последовательности показана разными цветами. Eam1104I обозначает сайт узнавания эндонуклеазой рестрикции, используемый для линеаризации. Ген устойчивости к канамицину показан черным цветом.

Фиг. 4 - векторная карта плазмиды pST1-hAg-Kozak-sec-GS-P53-GS-MITD-2hBgUTR-A30L70 для продукции RBL008.1.

Вставка с обозначенными элементами последовательности показана разными цветами. Eam1104I обозначает сайт узнавания эндонуклеазой рестрикции, используемый для линеаризации. Ген устойчивости к канамицину показан черным цветом.

Фиг. 5 - векторная карта плазмиды pST1-hAg-Kozak-sec-GS-PRAME-GS-MITD-2hBgUTR-A30L70 для продукции RBL0012.1.

Вставка с обозначенными элементами последовательности показана разными цветами. Eam1104I обозначает сайт узнавания эндонуклеазой рестрикции, используемый для линеаризации. Ген устойчивости к канамицину показан черным цветом.

Фиг. 6 - векторная карта плазмиды pST2-hAg-Kozak-sec-GS-P2P16-GS-MITD-2hBgUTR-A30L70 для продукции RBLTet.1.

Вставка с обозначенными элементами последовательности показана разными цветами. Eam1104I обозначает сайт узнавания эндонуклеазой рестрикции, используемый для линеаризации. Ген устойчивости к канамицину показан черным цветом.

Фиг. 7 - химическая структура отобранных катионных липидов и сополимеров липидов, протестированная во время разработки состава препаратов.

Фиг. 8 - органная селективность РНК-липоплексов с различным соотношением зарядов.

Положительно заряженные luc-РНК-липоплексы демонстрируют высокую экспрессию люциферазы в легких, тогда как отрицательно заряженные РНК-липоплексы демонстрируют высокую избирательность экспрессии люциферазы в селезенке.

Фиг. 9 - биологическая активность РНК-липоплексов зависит от размера частиц и размера липосом, которые были использованы для их получения.

20 мкг luc-РНК конденсировали с маленькими (198 нм) и большими (381 нм) липосомами для восстановления РНК-липоплексов и вводили внутривенно мышам BALB/c (n = 5). Экспрессию люциферазы в селезенке анализировали через 6 часов после введения luc-РНК(LIP) (среднее ± SD).

Фиг. 10 - размеры частиц РНК-липоплексов, полученных в соответствии с клиническим протоколом разработки состава препаратов.

Размеры частиц РНК-липоплексов, полученных разными экспериментаторами, в разных лабораториях и с разными конструкциями РНК, анализировали с помощью измерений PCS. Для опытов № 3 и 10 проводили два независимых приготовления.

Фиг. 11 - размер и индекс полидисперсности для РНК-липоплексов с различным соотношением зарядов.

Размер частиц (z-средний диаметр) и индекс полидисперсности измеряли для РНК-липоплексов с различным соотношением зарядов (DOTMA:РНК) через 10 мин, 2 ч и 24 ч после приготовления.

Фиг. 12 - размер и биологическая активность РНК-липоплексов с различным соотношением зарядов.

(A) Размер частиц (z-средний диаметр) и индекс полидисперсности измеряли для РНК-липоплексов с различным соотношением зарядов (DOTMA:РНК) непосредственно после приготовления (10 мин). (B) Экспрессию люциферазы в селезенке анализировали через 6 часов после внутривенного введения luc-РНК(LIP) (20 мкг РНК) мышам BALB/c (n = 4-5).

Фиг. 13 - локализация сигнала биолюминесценции после внутривенного введения люциферазной РНК(LIP).

Визуализация биолюминесценции через 6 часов после внутривенной инъекции luc-РНК(LIP) (20 мкг РНК (HED: 4,74 мг)) мышам BALB/c (n = 3) in vivo (A) и эксплантированной селезенки, печени и легких ex vivo (B). Показана одна типичная мышь.

Фиг. 14 - РНК(LIP) избирательно интернализируется APC селезенки.

Мышам BALB/c (n = 3) внутривенно вводили Cy5-РНК (40 мкг (HED: 9,48 мг)), приготовленную с липосомами, меченными родамином. Поглощение РНК, меченной Cy5 (нижний ряд), или липосом, меченных родамином (верхний ряд), популяциями клеток в селезенке оценивали с помощью проточной цитометрии через 1 час после инъекции липоплекса. Показаны характерные точечные графики.

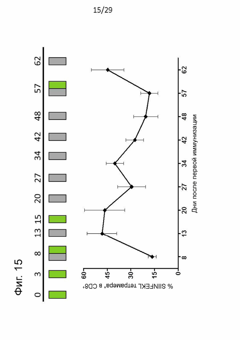
Фиг. 15 - индукция антигенспецифических CD8+ Т-клеточных ответов и развитие Т-клеточной памяти.

Мышей C57BL/6 (n = 5) иммунизировали внутривенно SIINFEKL-РНК(LIP) (40 мкг РНК) в дни 0, 3, 8 и 15 (зеленый). Частоту появления антигенспецифических CD8+ Т-клеток контролировали в крови с помощью окрашивания тетрамера SIINFEKL-MHC класса I (серый). Ответы на вызов содержимого памяти оценивали на 62-й день после повторной инъекции РНК(LIP) на 57-й день. График показывает среднюю частоту тетрамеров SD.

Фиг. 16 - сокращенный график вакцинации не снижает эффективность индукции антигенспецифических Т-клеток в фазе индукции.

Мышей C57BL/6 (n = 3) иммунизировали внутривенно 40 или 10 мкг SIINFEKL-РНК(LIP) в дни 1, 4 и 8 (группы 1 и 3) или дни 1 и 8 (группы 2 и 4) (черные столбики). На 13 день брали кровь и анализировали индукцию антигенспецифических CD8+ Т-клеток с помощью окрашивания тетрамера SIINFEKL-MHC класса I (красный столбик). График показывает среднюю частоту тетрамера ± стандартное отклонение.

Фиг. 17 - выделение RBL005.2-специфичного TCR из примированных in vitro CD8+ Т-клеток.

(А) Примирование in vitro RBL005.2-специфических Т-клеток. CD8+ Т-клетки здорового донора, экспрессирующего HLA-A*02, примировали in vitro с применением аутологичных mDC, трансфицированных RBL005.2. После трех циклов стимуляции антигенспецифические CD8+ Т-клетки были обнаружены и отсортированы с помощью проточной цитометрии на основе специфического связывания декстрамера RBL005.291-99/HLA-A2. Клетки были разделены на единичные лимфоциты. Отрицательный контроль: Т-клетки, примированные против контрольного антигена (RBL001.2). (B) Тестирование специфичности TCR, выделенного из RBL005.2-специфичных CD8+ Т-клеток. CD8+ T-клетки HLA-A*02-положительного здорового донора трансфицировали РНК TCR-α/β-цепи и тестировали на распознавание клеток K562-A2, трансфицированных RBL005.2 или подвергнутых импульсному воздействию RBL005.2, перекрывающих 15-мерные пептиды (=пул RBL005.2) или связывающих HLA-A*02 пептид RBL005.291-99 с помощью анализа IFN-γ-ELISPOT. Отрицательные контроли: контрольная РНК (RBL003.2), пул нерелевантных контрольных пептидов (HIV-gag); нерелевантный 9-мерный пептид (MAGE-A3112-120); Положительный контроль: стафилококковый энтеротоксин B (SEB).

Фиг. 18 - секреция IFN-γ антигенспецифическими CD8+ Т-клетками после электропорации RBL005.2 в человеческие DCs.

Антигенспецифические CD8+ Т-клетки инкубировали совместно с DCs, трансфицированными 0,25, 1, 4 или 16 мкг (HED: от 0,6 до 3,8 мг) RBL005.2. В качестве отрицательного контроля применяли только эффекторы или DCs, трансфицированные нерелевантной антигенкодирующей РНК. В столбцах указаны средние значения двух доноров и биологических дубликатов.

Фиг. 19 - вакцинация антигенными РНК WAREHOUSE приводит к сильной секреции цитокинов.

Спленоциты мышей A2/DR1, вакцинированных внутривенно, повторно стимулировали в течение 20-ти часов соответствующими HLA-A*0201-рестриктированными пептидами ALFGLLVYL (RBL005.291 99), пептидным пулом p53 (RBL008.1), ALQSLLQHL (RBL012.1422-430) или смесью пептидов p2 и p16 (RBLTet.1). Эффекторную функцию измеряли с помощью анализа ELISPOT IFN-γ. Точки указывают средние значения трех лунок от индивидуальных животных. Столбцы указывают на медианное значение всех животных в группе. Все группы достоверно отличаются от контроля (критерий Манна-Уитни, p <0,05).

Фигура 20 - вакцинация РНК(LIP), кодирующей антиген-мишень, смешанной с хелперными детерминантами, происходящими из столбнячного анатоксина, приводит к нарушению иммунологической толерантности в условиях аутоантигена.

Спленоциты мышей C57BL/6, вакцинированных РНК(LIP), повторно стимулировали в течение 20-ти часов эпитопом Tyrp1 MHC класса I (A) или пептидами p2 и p16 (B). Эффекторную функцию измеряли с помощью анализа ELISPOT IFN-γ. Точки указывают средние значения трех лунок от индивидуальных животных. Столбцы показывают средние значения (± SEM) всех животных в группе. *Одиночное сравнение с группой 1 (только РНК Tyrp1) показывает статистически значимое различие с группой 2 (Tyrp1 + 4:1 RBLTet.1) с применением критерия Манна-Уитни (p = 0,0159).

Фиг. 21 - временное повышение уровня IFN-α после вакцинации РНК(LIP).

(A) Мышам C57BL/6 (n = 3) вводили HA-РНК(LIP) (40 мкг РНК (HED: 9,48 мг)), только липосомы или PBS в качестве контроля. Концентрации IFN-α и TNF-α в сыворотке крови оценивали с помощью ELISA через 6 и 24 часа после лечения (среднее ± стандартное отклонение). (B) Нетронутым или подвергнутым спленэктомии мышам C57BL/6 (n = 2) инъецировали внутривенно НА-РНК(LIP) (40 мкг РНК (HED: 9,48 мг)). Концентрации IFN-α в сыворотке крови оценивали с помощью ELISA через 6 часов после обработки (среднее ± стандартное отклонение).

Фиг. 22 - отсутствие клеточной активации и IFN-α с РНК(LIP), содержащей неиммуногенную РНК (ni-РНК).

Мышам C57BL/6 (n = 3) вводили HA-РНК(LIP) (10 мкг РНК (HED: 2,37 мг)), содержащую либо иммуногенную (немодифицированную) РНК, либо неиммуногенную (очищенную с помощью ВЭЖХ, модифицированную псевдоуридином) ni-РНК или PBS в качестве контроля. (A) Активацию иммунных клеток в селезенке определяли с помощью FACS через 24 часа после введения. (B) Концентрацию IFN-α в сыворотке оценивали с помощью ELISA через 6 часов и 24 часа после введения (среднее значение ± стандартное отклонение). nd: не обнаружено.

Фиг. 23 - кратковременное уменьшение общего количества лейкоцитов (WBC) и субпопуляций Т-лимфоцитов в периферической крови после введения РНК(LIP) зависит от IFN-α.

Мышам C57BL/6 дикого типа (n = 36) и мышам IFNAR -/- (n = 12) вводили внутривенно смесь равных частей четырех ATM РНК(LIP) (всего 40 мкг РНК (HED: 9,48 мг)) или только липосом. Количество лейкоцитов и лимфоцитов исследовали с помощью анализа FACS через различные интервалы времени после инъекции. Данные представлены в виде процента от числа клеток от необработанных контрольных мышей (% от числа необработанных клеток). Подобные эффекты наблюдали для других популяций лимфоцитов, включая В-клетки и NK-клетки.

Фиг. 24 - отсутствие повышающей регуляции печеночных ферментов и IFN-α с РНК(LIP), содержащей неиммуногенную РНК (ni-РНК).

Самцам мышей C57BL/6 (n = 5) вводили HA-РНК(LIP), содержащую указанные количества иммуногенной (немодифицированной) РНК, неиммуногенной (псевдоуридинмодифицированной, очищенной ВЭЖХ) ni-РНК или NaCl в качестве контроля. (A) Параметры ферментов печени определялись через 6, 24 и 120 часов после обработки (*, p <0,05; ***, p <0,001) (B) Концентрация IFN-α в сыворотке оценивали с помощью ELISA через 6 часов после обработки (среднее значение ± SD).

Фиг. 25 - средние уровни IFN-α (черные столбцы) и IL-6 (серые столбцы) у животных из группы c высокой дозой.

Планки погрешностей показывают стандартные отклонения. Индукция IL-6 была намного сильнее после 1-го введения (день 1), чем после 5-го введения (день 22).

Фиг. 26 - накопление DOTMA в селезенке, печени, легких, сердце, лимфатических узлах и костном мозге измерялось в течение 28 дней на трех мышах в каждой временной точке.

Накопление DOTMA измеряли в течение 28-ми дней с тремя мышами в каждый момент времени. Ось Y для концентрации DOTMA в органах дана в том же масштабе, что и для печени и селезенки. Сплошные линии приведены для направления взгляда.

Фиг. 27 - накопление DOTMA в жировой ткани, головном мозге и почках.

Накопление DOTMA измеряли в течение 28-ми дней с тремя мышами в каждый момент времени. Ось Y для концентрации DOTMA в органах дана в том же масштабе, что и для печени и селезенки.

Фиг. 28 - DOTMA в селезенке и печени во время и после инъекции (восемь инъекций в неделю).

Столбцы указывают кумулятивную введенную дозу; квадраты показывают результаты DOTMA, всегда измеряемые через неделю после предыдущей инъекции; светодиодная линия показывает результаты, полученные из одинарных экспоненциальных модельных кривых точечных данных после последней инъекции, при использовании y = A * exp (-t/τ), где t - время в неделях. Для модельных кривых было выбрано t = 9 недель.

Фиг. 29 - относительная экспрессия целевых антигенов WH_ova1 на уровне мРНК в образцах опухоли яичника и нормальной ткани.

Экспрессию оценивали с помощью количественной RT-PCR в реальном времени (платформа для скрининга Fluidgm) в 91 образце опухоли яичника и 51 образце нормальной ткани. Были рассчитаны средние значения экспрессии для повторов, которые соответствуют относительной экспрессии <5000 у.е. (предел обнаружения), 5000-30000 у.е. (низкий/средний), >30000 у.е. (высокий). Обозначение «% экспрессии опухоли» относится к проценту положительных образцов (>5000 у.е.).

Описание последовательностей

В следующей таблице представлены определенные последовательности, на которые приведены ссылки в настоящей заявке.

Осуществление изобретения

Хотя настоящее изобретение подробно описано ниже, следует понимать, что это раскрытие не ограничивается конкретными методологиями, протоколами и реагентами, приведенными в настоящей заявке, поскольку они могут варьировать. Также следует понимать, что применяемая в настоящем описании терминология предназначена только для характеристики конкретных воплощений и не предназначена для ограничения объема настоящего изобретения, которое будет ограничено только прилагаемой формулой изобретения. Если не указано иное, все технические и научные термины, используемые в настоящем описании, имеют те же значения, которые обычно понимаются специалистами в данной области.

Предпочтительно, чтобы используемые в настоящей заявке термины определялись, как описано в «Многоязычном словаре биотехнологических терминов: (Рекомендации ИЮПАК) (A multilingual glossary of biotechnological terms: (IUPAC Recommendations)», H.G.W. Leuenberger, B. Nagel, and H. Kölbl, Eds., Helvetica Chimica Acta, CH-4010 Basel, Switzerland, (1995)).

При практическом осуществлении настоящего изобретения будут применяться, если не указано иное, обычные способы химии, биохимии, клеточной биологии, иммунологии и способы рекомбинантной ДНК, которые объяснены в литературе в данной области (смотри, например, руководство Molecular Cloning: A Laboratory Manual, 2nd Edition, J. Sambrook et al. eds., Cold Spring Harbor Laboratory Press, Cold Spring Harbor 1989).

Далее будут описаны элементы настоящего изобретения. Эти элементы перечислены с конкретными воплощениями, однако следует понимать, что они могут быть объединены любым способом и в любом количестве для создания дополнительных воплощений. Различные описанные примеры и воплощения не должны быть истолкованы как ограничивающие настоящее изобретение только явно раскрытыми вариантами его осуществления. Следует понимать, что настоящее описание раскрывает и охватывает те воплощения, которые объединяют явным образом раскрытые воплощения с любым количеством раскрытых элементов. Кроме того, любые перестановки и комбинации всех описанных элементов следует считать раскрытыми в этом описании, если контекст не указывает иное.

Термин «примерно» («около») означает приблизительно или почти, и в контексте числового значения или диапазона, приведенного в настоящем описании, в одном из воплощений, означает ± 20%, ± 10%, ± 5% или ± 3% от числового значения или диапазона, указанного или заявленного.

Формы единственного числа при описании изобретения (особенно формулы изобретения) следует рассматривать как охватывающие значения как единственного, так и множественного числа, если здесь не указано иное, или указанное явно противоречит контексту. Перечисление диапазонов значений в настоящем описании просто предназначено для применения в качестве сокращенного способа индивидуальной ссылки на каждое отдельное значение, попадающее в этот диапазон. Если здесь не указано иное, то каждое отдельное значение включено в описание, как если бы оно было отдельно указано в описании. Все способы, раскрытые в настоящей заявке, могут выполняться в любом подходящем порядке, если здесь не указано иное или другой порядок явным образом не противоречит контексту. Любой пример, или все примеры, или вводное выражение (например, «такой, как»), приведенные в настоящем описании, предназначены просто для лучшей иллюстрации изобретения и не накладывает ограничения на объем формулы изобретения. Никакие формулировки в описании не следует истолковывать как указывающие на какой-либо не заявленный элемент, существенный для практики раскрытия.

Если специально не указано иное, термин «включающий» используется в контексте настоящего изобретения для обозначения того, что дополнительные элементы могут необязательно присутствовать в дополнение к элементам списка, обозначенным словом «включающий». Однако в качестве конкретного воплощения настоящего изобретения предполагается, что термин «включающий» охватывает возможность отсутствия дополнительных элементов, т.е. для целей этого воплощения «включающий» следует понимать, как имеющий значение «состоящий из».

В тексте настоящего описания цитируется несколько документов. Каждый из документов, приведенных в описании (включая все патенты, заявки на патенты, научные публикации, спецификации производителя, инструкции и т.д.), будь то выше или ниже, полностью включен в настоящее описание в качестве ссылки. Ничто в настоящем описании не должно толковаться как признание того, что заявленное изобретение не могло предшествовать содержанию указанных документов.

Определения

Далее будут приведены определения, которые применяются ко всем аспектам настоящего изобретения. Следующие термины имеют приведенные ниже значения, если не указано иное. Любые неопределенные термины имеют свое значение, признанное в данной области техники.

Такие термины, как «редуцировать» или «ингибировать», как здесь используется, означают способность вызывать общее снижение, например, примерно на 5% или больше, примерно на 10% или больше, примерно на 20% или больше, примерно на 50% или больше, или примерно на 75% или больше по отношению к какому-либо уровню. Термин «ингибировать» или сходные определения включают полное или практически полное ингибирование, то есть снижение до нуля или практически до нуля.

Такие термины, как «увеличивать» или «усиливать» в одном из воплощений, относятся к увеличению или усилению, по меньшей мере, примерно на 10%, по меньшей мере, примерно на 20%, по меньшей мере, примерно на 30%, по меньшей мере, примерно на 40%, по меньшей мере, примерно на 50%, по меньшей мере, примерно на 80% или, по меньшей мере, примерно на 100%.

Используемый в настоящем описании термин «физиологическое значение pH» относится к pH примерно 7,5.

Термин «ионная сила» относится к математической зависимости между количеством различных типов ионных частиц в конкретном растворе и их соответствующими зарядами. Таким образом, ионная сила I математически представлена формулой

,

в которой c - это молярная концентрация определенного ионного вещества, а z - абсолютное значение его заряда. Сумма Σ берется по всем различным видам ионов (i) в растворе.

Согласно изобретению, термин «ионная сила» в одном из воплощений относится к наличию одновалентных ионов. Что касается присутствия двухвалентных ионов, в особенности двухвалентных катионов, их концентрация или эффективная концентрация (присутствие свободных ионов) из-за наличия хелатирующих агентов в одном из воплощений достаточно низка, чтобы предотвратить деградацию РНК. В одном из воплощений концентрация или эффективная концентрация двухвалентных ионов ниже каталитического уровня гидролиза фосфодиэфирных связей между нуклеотидами РНК. В одном из воплощений концентрация свободных двухвалентных ионов составляет 20 мкМ или менее. В одном из воплощений отсутствуют или практически отсутствуют свободные двухвалентные ионы.

Термин «замораживание» относится к затвердеванию жидкости, обычно с отводом тепла.

Термин «лиофилизацирование» или «лиофилизация» относится к сублимационной сушке вещества путем его замораживания и последующего снижения давления окружающей среды, чтобы позволить замороженной среде в веществе сублимироваться непосредственно из твердой фазы в газовую фазу.

Термин «распылительная сушка» относится к распылительной сушке вещества путем смешивания (нагретого) газа с жидкостью, которая диспергируется (распыляется) в сосуде (распылительной сушилке), где растворитель из образовавшихся капель испаряется, что приводит к получению сухого порошка.

Термин «криопротектор» относится к веществу, которое добавляют в композицию для защиты активных ингредиентов во время стадий замораживания.

Термин «лиопротектор» относится к веществу, которое добавляют в композицию для защиты активных ингредиентов на стадиях сушки.

Термин «восстановить» относится к добавлению растворителя, такого как вода, к высушенному продукту, чтобы вернуть его в жидкое состояние, такое как его исходное жидкое состояние.

Термин «рекомбинантный» в контексте настоящего изобретения означает «полученный с помощью генной инженерии». В одном из воплощений «рекомбинантный объект» в контексте настоящего изобретения не встречается в природе.

Термин «встречающийся в природе», как здесь используется, относится к объекту, который может быть обнаружен в природе. Например, пептид или нуклеиновая кислота, присутствующие в организме (включая вирусы), которые могут быть выделены из природного источника и которые не были намеренно модифицированы человеком в лаборатории, встречаются в природе. Термин «обнаруженный в природе» означает «присутствующий в природе» и включает известные объекты, а также объекты, которые еще не были обнаружены в природе и/или изолированы из природной среды, но которые могут быть обнаружены и/или изолированы в будущем из природного источника.

В контексте настоящего изобретения термин «частица» относится к структурированному объекту, образованному молекулами и комплексами молекул. В одном из воплощений термин «частица» относится к структуре микро- или наноразмеров, такой как компактная структура микро- или наноразмеров.

В контексте настоящего изобретения термин «РНК-липоплексная частица» относится к частице, которая содержит липид, в особенности, катионный липид, и РНК. Электростатические взаимодействия между положительно заряженными липосомами и отрицательно заряженной РНК приводят к комплексообразованию и спонтанному образованию РНК-липоплексных частиц. Положительно заряженные липосомы обычно можно синтезировать с применением катионного липида, такого как DOTMA, и дополнительных липидов, таких как DOPE. В одном из воплощений РНК-липоплексная частица представляет собой наночастицу.

Как используется в настоящем описании, термин «наночастица» относится к частице, включающей РНК и, по меньшей мере, один катионный липид, и имеющей средний диаметр, подходящий для внутривенного введения.

Термин «средний диаметр» относится к среднему гидродинамическому диаметру частиц, измеренному с помощью динамического рассеяния света (DLS) с анализом данных при использовании так называемого кумулянтного алгоритма, который в качестве результатов определяет так называемое Zсреднее с размерностью длины и индекс полидисперсности (PI), который безразмерен (Koppel, D., J. Chem. Phys. 57, 1972, pp 4814-4820, ISO 13321). В настоящем описании термины «средний диаметр», «диаметр» и «размер» по отношению к частицам применяют как синонимы с указанным термином «значение Zсреднее».

Используемый здесь термин «индекс полидисперсности» означает меру распределения по размерам популяции частиц, например, наночастиц. Индекс полидисперсности рассчитывают на основе измерений динамического светорассеяния с помощью, так называемого кумулянтного анализа.

Термин «техника инъекции этанола» относится к способу, в котором раствор этанола, содержащий липиды, быстро вводят в водный раствор через иглу. Это действие диспергирует липиды по всему раствору и способствует образованию липидной структуры, например, образованию липидных пузырьков, такому как образование липосом. Как правило, РНК-липоплексные частицы, описанные в настоящей заявке, могут быть получены путем добавления РНК к дисперсии коллоидных липосом. При применении техники инъекции этанола такую дисперсию коллоидных липосом в одном из воплощений формируют следующим образом: раствор этанола, содержащий липиды, такие как катионные липиды, например, DOTMA, и дополнительные липиды, вводят в водный раствор при перемешивании. В одном из воплощений, РНК-липоплексные частицы, описанные в настоящей заявке, могут быть получены без стадии экструзии.

Термин «экструдирование» или «экструзия» относится к созданию частиц, имеющих фиксированный профиль поперечного сечения. В особенности, это относится к уменьшению размера частицы, когда частица проталкивается через фильтры с определенными порами.

Яичник представляет собой орган женской репродуктивной системы, который производит яйцеклетку. При высвобождении она перемещается по маточной трубе в матку, где может быть оплодотворена спермой. Яичник расположен на левой и правой сторонах тела. Яичники также выделяют гормоны, которые играют роль в менструальном цикле и фертильности. Яичник проходит через множество стадий развития, начиная с пренатального периода до менопаузы. Он также представляет собой эндокринную железу, поскольку выделяет различные гормоны. Как используется в настоящем описании, термин «рак яичника» означает рак, который формируется в яичнике или на яичнике. Это приводит к появлению аномальных клеток, которые могут проникать или распространяться на другие части тела. Когда такой процесс начинается, симптомы могут отсутствовать или проявляться только расплывчато. Симптомы становятся более заметными по мере прогрессирования рака и могут включать, среди прочего, вздутие живота, боль в области таза, увеличение размеров живота и потерю аппетита. Типичные области, на которые может распространяться рак, включают слизистую оболочку живота, лимфатические узлы, легкие и печень.

Риск рака яичников увеличивается у женщин, у которых в течение жизни было больше овуляций. Сюда входят те, у кого никогда не было детей, те, у кого овуляция начинается в более молодом возрасте, и те, кто достигает менопаузы в более старшем возрасте. Другие факторы риска включают гормональную терапию после менопаузы, лекарства от бесплодия и ожирение. Факторы, снижающие риск, включают гормональные противозачаточные средства, перевязку маточных труб и грудное вскармливание. Около 10% случаев связаны с наследственным генетическим риском; женщины с мутациями в генах BRCA1 или BRCA2 имеют примерно 50% вероятности развития болезни. Карцинома яичников представляет собой наиболее распространенный тип рака яичников, составляющий более 95% случаев. Существует пять основных подтипов рака яичников, из которых наиболее распространена серозная карцинома высокой степени злокачественности (HGSC). Считается, что эти опухоли возникают в клетках, покрывающих яичники, хотя некоторые из них могут образовываться в фаллопиевых трубах. Менее распространенные типы рака яичников включают опухоли половых клеток и стромальные опухоли полового канатика. Диагноз рака яичников подтверждается биопсией ткани, обычно удаляемой во время операции. При выявлении и лечении на ранней стадии рак яичников часто излечим. Лечение обычно включает комбинацию хирургического вмешательства, лучевой терапии и химиотерапии. Результаты зависят от степени заболевания, подтипа имеющегося рака и других медицинских состояний.

Термин «совместно введенный» или «совместное введение» или тому подобное, как используется в настоящем описании, относится к введению двух или более агентов одновременно или по существу в одно и то же время либо в качестве частей одной композиции, либо в качестве нескольких композиций, которые вводят одним и тем же или разными путями. Термин «по существу в одно и то же время», как используется в настоящем описании, означает интервал, равный примерно 1, 5, 10, 15, 30, 1 час, 2 часа или 6 часов.

В описании раскрыты последовательности нуклеиновых кислот и аминокислотные последовательности, имеющие определенную степень идентичности с данной последовательностью нуклеиновой кислоты или аминокислотной последовательностью, соответственно (эталонная последовательность).

«Идентичность последовательностей» между двумя последовательностями нуклеиновых кислот указывает на процент нуклеотидов, которые идентичны у последовательностей. «Идентичность последовательностей» между двумя аминокислотными последовательностями указывает на процент аминокислот, которые идентичны у последовательностей.

Термины «% идентичных», «% идентичности» или подобные термины предназначены для обозначения, в особенности, процента нуклеотидов или аминокислот, которые идентичны при оптимальном выравнивании у сравниваемых последовательностей. Указанный процент чисто статистический, и различия между двумя последовательностями могут быть, но не обязательно, случайным образом распределены по всей длине сравниваемых последовательностей. Сравнение двух последовательностей обычно проводят после оптимального выравнивания относительно сегмента или «окна сравнения», чтобы идентифицировать локальные области соответствующих последовательностей. Оптимальное выравнивание для сравнения может быть выполнено вручную или с помощью алгоритма локальной гомологии по Smith and Waterman, 1981, Ads App. Math. 2, 482, с помощью алгоритма локальной гомологии по Neddleman and Wunsch, 1970, J. Mol. Biol. 48, 443, с помощью алгоритма поиска сходства по Pearson and Lipman, 1988, Proc. Natl Acad. Sci. USA 88, 2444 или с помощью компьютерных программ, в которых применяют указанные алгоритмы. (GAP, BESTFIT, FASTA, BLAST P, BLAST N и TFASTA в Wisconsin Genetics Software Package, Genetics Computer Group, 575 Science Drive, Madison, Wis.). В некоторых воплощениях, процент идентичности двух последовательностей определяют с помощью алгоритма BLASTN или BLASTP, доступного на интернет-сайте Национального центра биотехнологической информации США (NCBI) (например, по адресу blast.ncbi.nlm.nih.gov/Blast.cgi?PAGE_TYPE=BlastSearch&BLAST_SPEC=blast2seq&LINK_LOC=align2seq). В некоторых воплощениях, параметры алгоритма, применяемые для алгоритма BLASTN на интернет-сайте NCBI, включают: (i) Ожидаемое пороговое значение установлено на 10; (ii) Размер слова установлен на 28; (iii) Максимальное количество совпадений в диапазоне запроса установлено на 0; (iv) Показатели совпадения/несоответствия установлены на 1, -2; (v) Стоимость разрыва установлена на «Линейный» и (vi) Использован фильтр для областей низкой сложности. В некоторых воплощениях, параметры алгоритма, применяемые для алгоритма BLASTP на интернет-сайте NCBI, включают: (i) Ожидаемое пороговое значение установлено на 10; (ii) Размер слова установлен на 3; (iii) Максимальное количество совпадений в диапазоне запроса установлено на 0; (iv) Матрица установлена на BLOSUM62; (v) Стоимость разрыва установлена на «Существование: 11 Продление: 1»; и (vi) Корректировка матрицы условных композиционных оценок.

Идентичность в процентах получают путем определения количества идентичных положений для сравниваемых последовательностей, деления этого числа на количество сравниваемых положений (например, количества позиций в эталонной последовательности) и умножения этого результата на 100.

В некоторых воплощениях, степень идентичности приводится для области, которая составляет, по меньшей мере, примерно 50%, по меньшей мере, примерно 60%, по меньшей мере, примерно 70%, по меньшей мере, примерно 80%, по меньшей мере, примерно 90% или примерно 100% всей длины эталонной последовательности. Например, если эталонная последовательность нуклеиновой кислоты состоит из 200 нуклеотидов, степень идентичности приводится для, по меньшей мере, примерно 100, по меньшей мере, примерно 120, по меньшей мере, примерно 140, по меньшей мере, примерно 160, по меньшей мере, примерно 180 или примерно 200 нуклеотидов, в некоторых воплощениях для нуклеотидов непрерывной последовательности. В некоторых воплощениях, степень идентичности приведена для всей длины эталонной последовательности.

Последовательности нуклеиновых кислот или аминокислотные последовательности, имеющие определенную степень идентичности с данной последовательностью нуклеиновой кислоты или аминокислотной последовательностью, соответственно, могут иметь, например, по меньшей мере, одно функциональное свойство указанной данной последовательности, а в некоторых случаях быть функционально эквивалентными указанной данной последовательности. Одно важное свойство включает иммуногенное свойство, в особенности, при введении субъекту. В некоторых воплощениях последовательность нуклеиновой кислоты или аминокислотная последовательность, имеющая конкретную степень идентичности с данной последовательностью нуклеиновой кислоты или аминокислотной последовательностью, функционально эквивалентна данной последовательности.

РНК

В настоящем изобретении термин «РНК» относится к молекуле нуклеиновой кислоты, которая включает остатки рибонуклеотидов. В предпочтительных воплощениях РНК содержит все или большую часть рибонуклеотидных остатков. Как используется в настоящем описании, термин «рибонуклеотид» относится к нуклеотиду с гидроксильной группой в 2'-положении β-D-рибофуранозильной группы. РНК включает, без ограничения указанным, двухцепочечную РНК, одноцепочечную РНК, изолированную РНК, такую как частично очищенная РНК, по существу очищенная РНК, синтетическая РНК, рекомбинантно полученная РНК, а также модифицированная РНК, которая отличается от встречающейся в природе РНК вставкой, делецией, заменой и/или изменением одного или нескольких нуклеотидов. Такие изменения могут относиться к добавлению ненуклеотидного материала к нуклеотидам исходной РНК или к концу (концам) РНК. В настоящем описании также предполагается, что нуклеотиды в РНК могут быть нестандартными нуклеотидами, такими как химически синтезированные нуклеотиды или дезоксинуклеотиды. Для настоящего описания такие измененные РНК считаются аналогами встречающейся в природе РНК.

В определенных воплощениях настоящего изобретения РНК представляет собой информационную РНК (мРНК), которая относится к транскрипту РНК, кодирующему пептид или белок. Как установлено в данной области, мРНК обычно содержит 5'-нетранслируемую область (5'-UTR), область, кодирующую пептид, и 3'-нетранслируемую область (3'-UTR). В некоторых воплощениях РНК получают транскрипцией in vitro или химическим синтезом. В одном из воплощений мРНК получают транскрипцией in vitro с применением матрицы ДНК, где ДНК относится к нуклеиновой кислоте, содержащей дезоксирибонуклеотиды.

В одном из воплощений РНК представляет собой РНК, транскрибируемую in vitro (IVT-РНК), и может быть получена путем транскрипции in vitro соответствующей матрицы ДНК. Промотор для контроля транскрипции может быть любым промотором любой РНК-полимеразы. Матрица ДНК для транскрипции in vitro может быть получена путем клонирования нуклеиновой кислоты, в особенности, кДНК, и введения ее в соответствующий вектор для транскрипции in vitro. кДНК может быть получена обратной транскрипцией РНК.

В одном из воплощений, РНК может содержать модифицированные нуклеозиды. В некоторых воплощениях РНК содержит модифицированный нуклеозид вместо, по меньшей мере, одного (например, каждого) уридина.

Термин «урацил», как используется в настоящем описании, раскрывает одно из оснований нуклеотида, которое может встречаться в РНК. Урацил имеет следующую структуру:

Термин «уридин», как используется в настоящем описании, раскрывает один из нуклеозидов, который может встречаться в РНК. Уридин имеет следующую структуру:

.

UTP (уридин-5'-трифосфат) имеет следующую структуру:

.

Псевдо-UTP (псевдоуридин-5'-трифосфат) имеет следующую структуру:

.

«Псевдоуридин» представляет собой один из примеров модифицированного нуклеозида и является изомером уридина, в котором урацил присоединен к пентозному кольцу через углерод-углеродную связь вместо азот-углеродной гликозидной связи.

N1-метил-псевдоуридина (m1ψ) представляет собой другой пример модифицированного нуклеозида, который имеет структуру:

N1-метил-псевдо-UTP имеет следующую структуру:

.

5-Метилуридин (m5U) представляет собой другой пример модифицированного нуклеозида, который имеет структуру:

В некоторых воплощениях, один или несколько уридинов в РНК, раскрытой в настоящем описании, заменяют модифицированным нуклеозидом. В некоторых воплощениях, модифицированный нуклеозид представляет собой модифицированный уридин.

В некоторых воплощениях, модифицированный уридин, заменяющий исходный уридин, представляет собой псевдоуридин (ψ), N1-метил-псевдоуридина (m1ψ) или 5-метил-уридин (m5U).

В некоторых воплощениях, модифицированный нуклеозид, заменяющий один или несколько исходных уридинов в РНК, может быть одним или несколькими нуклеозидами, выбранными из 3-метил-уридина (m3U), 5-метокси-уридина (mo5U), 5-аза-уридина, 6-аза-уридина, 2-тио-5-аза-уридина, 2-тио-уридина (s2U), 4-тио-уридина (s4U), 4-тио-псевдоуридина, 2-тио-псевдоуридина, 5-гидрокси-уридина (ho5U), 5-аминоаллил-уридина, 5-гало-уридина (например, 5-йод-уридина или 5-бром-уридина), уридина 5-оксиуксусной кислоты (cmo5U), уридина 5-оксиуксусной кислоты метилового эфира (mcmo5U), 5-карбоксиметил-уридина (cm5U), 1-карбоксиметил-псевдоуридина, 5-карбоксигидроксиметил-уридина (chm5U), метилового эфира 5-карбоксигидроксиметил-уридина (mchm5U), 5-метоксикарбонилметил-уридина (mcm5U), 5-метоксикарбонилметил-2-тио-уридина (mcm5s2U), 5-аминометил-2-тио-уридина (nm5s2U), 5-метиламинометил-уридина (mnm5U), 1-этил-псевдоуридина, 5-метиламинометил-2-тио-уридина (mnm5s2U), 5-метиламинометил-2-селено-уридина (mnm5se2U), 5-карбамоилметил-уридина (ncm5U), 5-карбоксиметиламинометил-уридина (cmnm5U), 5-карбоксиметиламинометил-2-тио-уридина (cmnm5s2U), 5-пропинил-уридина, 1-пропинил-псевдоуридина, 5-тауринометил-уридина (τm5U), 1-тауринометил-псевдоуридина, 5-тауринометил-2-тио-уридина(τm5s2U), 1-тауринометил-4-тио-псевдоуридина), 5-метил-2-тио-уридина (m5s2U), 1-метил-4-тио-псевдоуридина (m1s4ψ), 4-тио-1-метил-псевдоуридина, 3-метил-псевдоуридина (m3ψ), 2-тио-1-метил-псевдоуридина, 1-метил-1-деаза-псевдоуридина, 2-тио-1-метил-1-деаза-псевдоуридина, дигидроуридина (D), дигидропсевдоуридина, 5,6-дигидроуридина, 5-метил-дигидроуридина (m5D), 2-тио-дигидроуридина, 2-тио-дигидропсевдоуридина, 2-метокси-уридина, 2-метокси-4-тио-уридина, 4-метокси-псевдоуридина, 4-метокси-2-тио-псевдоуридина, N1-метил-псевдоуридина, 3-(3-амино-3-карбоксипропил)уридина (acp3U), 1-метил-3-(3-амино-3-карбоксипропил)псевдоуридина (acp3 ψ), 5-(изопентениламинометил)уридина (inm5U), 5-(изопентениламинометил)-2-тио-уридина (inm5s2U), α-тио-уридина, 2′-O-метил-уридина (Um), 5,2′-O-диметил-уридина (m5Um), 2′-O-метил-псевдоуридина (ψm), 2-тио-2′-O-метил-уридина (s2Um), 5-метоксикарбонилметил-2′-O-метил-уридина (mcm5Um), 5-карбамоилметил-2′-O-метил-уридина (ncm5Um), 5-карбоксиметиламинометил-2′-O-метил-уридина (cmnm5Um), 3,2′-O-диметил-уридина (m3Um), 5-(изопентениламинометил)-2′-O-метил-уридина (inm5Um), 1-тио-уридина, дезокситимидина, 2′-F-ара-уридина, 2′-F-уридина, 2′-OH-ара-уридина, 5-(2-карбометоксивинил) уридина, 5-[3-(1-E- пропениламино)уридина или любого другого модифицированного уридина известного в данной области техники.

В некоторых воплощениях изобретения, по меньшей мере, одна РНК включает модифицированный нуклеозид вместо, по меньшей мере, одного исходного уридина. В некоторых воплощениях, по меньшей мере, одна РНК включает модифицированный нуклеозид вместо каждого исходного уридина. В некоторых воплощениях, каждая РНК включает модифицированный нуклеозид вместо, по меньшей мере, одного исходного уридина. В некоторых воплощениях, каждая РНК включает модифицированный нуклеозид вместо каждого исходного уридина.

В некоторых воплощениях, модифицированный нуклеозид независимо выбран из псевдоуридина (ψ), N1-метил-псевдоуридина (m1ψ) и 5-метилуридина (m5U). В некоторых воплощениях, модифицированный нуклеозид включает псевдоуридин (ψ). В некоторых воплощениях, модифицированный нуклеозид включает N1-метил-псевдоуридин (m1ψ). В некоторых воплощениях, модифицированный нуклеозид включает 5-метил-уридин (m5U). В некоторых воплощениях, по меньшей мере, одна РНК может включать более одного типа модифицированного нуклеозида, и модифицированные нуклеозиды независимо выбирают из псевдоуридина (ψ), N1-метил-псевдоуридина (m1ψ) и 5-метилуридина (m5U). В некоторых воплощениях, модифицированные нуклеозиды включают псевдоуридин (ψ) и N1-метил-псевдоуридин (m1ψ). В некоторых воплощениях, модифицированные нуклеозиды включают псевдоуридин (ψ) и 5-метил-уридин (m5U). В некоторых воплощениях, модифицированные нуклеозиды включают N1-метил-псевдоуридин (m1ψ) и 5-метил-уридин (m5U). В некоторых воплощениях, модифицированные нуклеозиды включают псевдоуридин (ψ), N1-метил-псевдоуридин (m1ψ) и 5-метилуридин (m5U).

В одном из воплощений, РНК содержит другие модифицированные нуклеозиды или содержит дополнительные модифицированные нуклеозиды, например, модифицированный цитидин. Например, в одном из воплощений, в РНК 5-метилцитидин замещен частично или полностью, предпочтительно полностью, цитидином. В одном из воплощений, РНК включает 5-метилцитидин и один или несколько нуклеозидов, выбранных из псевдоуридина (ψ), N1-метил-псевдоуридина (m1ψ) и 5-метилуридина (m5U). В одном из воплощений, РНК содержит 5-метилцитидин и N1-метил-псевдоуридин (m1ψ). В некоторых воплощениях, РНК содержит 5-метилцитидин вместо каждого цитидина и N1-метил-псевдоуридин (m1ψ) вместо каждого уридина.

В некоторых воплощениях настоящего изобретения РНК содержит 5'-кэп. В одном из воплощений изобретения РНК не содержит некэпированных 5'-трифосфатов. В одном из воплощений РНК может быть модифицирована аналогом 5'-кэпа. Термин «5'-кэп» относится к структуре, обнаруженной на 5'-конце молекулы мРНК, которая обычно состоит из гуанозинового нуклеотида, связанного с мРНК через 5'-5'-трифосфатную связь. В одном из воплощений указанный гуанозин метилирован в 7-м положении. Получение РНК с 5'-кэпом или аналогом 5'-кэпа может быть достигнуто с помощью транскрипции in vitro, в процессе которой 5'-кэп совместно экспрессируется в цепи РНК, или же 5'-кэп может быть присоединен к РНК посттранскрипционно с помощью кэпирующих ферментов.

В некоторых воплощениях структурный кэп-блок РНК представляет собой m27,3'-OGppp(m12'-O)ApG (также иногда обозначается как m27,3`OG(5')ppp(5')m2'-OApG) и имеет следующую структуру:

.

Ниже приведен пример Cap1 РНК, которая содержит РНК и m27,3`OG(5')ppp(5')m2'-OApG:

.

Ниже приведен еще один пример Cap1 РНК (без кэп-аналога):

.

В некоторых воплощениях РНК модифицирована структурами "Cap0" с применением, в одном из воплощений, кэп-аналога, представляющего собой «антиреверсивный кэп» (ARCA Cap (m27,3`OG(5')ppp(5')G)) структуры:

.

Ниже приведен пример РНК «Cap0», содержащей РНК и m27,3`OG(5')ppp(5')G:

.

В некоторых воплощениях, структуры "Cap0" генерируют с применением кэп-аналога Beta-S-ARCA (m27,2`OG(5')ppSp(5')G) структуры:

.

Ниже приведен пример РНК «Cap0», содержащей Beta-S-ARCA (m27,2`OG(5')ppSp(5')G) и РНК:

.

Особенно предпочтительный кэп включает 5'-кэп m27,2`OG(5')ppSp(5')G. В некоторых воплощениях, по меньшей мере, одна РНК, описанная в настоящей заявке, содержит 5'-кэп m27,2`OG(5')ppSp(5')G. В некоторых воплощениях, каждая РНК, описанная в настоящей заявке, содержит 5'-кэп m27,2`OG(5')ppSp(5')G.

В некоторых воплощениях РНК в соответствии с настоящим описанием содержит 5'-UTR и/или 3'-UTR. Термин «нетранслируемая область» или «UTR» относится к области в молекуле ДНК, которая транскрибируется, но не транслируется в аминокислотную последовательность, или в соответствующую область в молекуле РНК, такой как молекула мРНК. Нетранслируемая область (UTR) может присутствовать в направлении 5' апстрим (выше) от открытой рамки считывания (5'-UTR) и/или в направлении 3' даунстрим (ниже) от открытой рамки считывания (3'-UTR). 5'-UTR, если она присутствует, расположена на 5'-конце выше стартового кодона области, кодирующей белок. 5'-UTR находится ниже 5'-кэпа (если он присутствует), например, непосредственно примыкает к 5'-кэпу. 3'-UTR, если она присутствует, расположена на 3'-конце, ниже кодона терминации области, кодирующей белок, но «3'-UTR» предпочтительно не включает последовательность поли-А. Таким образом, 3'-UTR находится выше последовательности поли-А (если она присутствует), например, непосредственно рядом с последовательностью поли-А.

Особенно предпочтительная 5'-UTR включает нуклеотидную последовательность SEQ ID NO: 16. Особенно предпочтительная 3'-UTR включает нуклеотидную последовательность SEQ ID NO: 21.

В некоторых воплощениях, по меньшей мере, одна РНК содержит 5'-UTR, включающую нуклеотидную последовательность SEQ ID NO: 16 или нуклеотидную последовательность, которая, по меньшей мере, на 99%, 98%, 97%, 96%, 95%, 90%, 85% или 80% идентична нуклеотидной последовательности SEQ ID NO: 16. В некоторых воплощениях, каждая РНК содержит 5'-UTR, включающую нуклеотидную последовательность SEQ ID NO: 16 или нуклеотидную последовательность, которая, по меньшей мере, на 99%, 98%, 97%, 96%, 95%, 90%, 85% или 80% идентична нуклеотидной последовательности SEQ ID NO: 16.

В некоторых воплощениях, по меньшей мере, одна РНК содержит 3'-UTR, включающую нуклеотидную последовательность SEQ ID NO: 21 или нуклеотидную последовательность, которая, по меньшей мере, на 99%, 98%, 97%, 96%, 95%, 90%, 85% или 80% идентична нуклеотидной последовательности SEQ ID NO: 21. В некоторых воплощениях, каждая РНК содержит 3'-UTR, включающую нуклеотидную последовательность SEQ ID NO: 21 или нуклеотидную последовательность, которая, по меньшей мере, на 99%, 98%, 97%, 96%, 95%, 90%, 85% или 80% идентична нуклеотидной последовательности SEQ ID NO: 21.

Как используется в настоящем описании, термин «поли-A-хвост» или «последовательность поли-А» относится к непрерывной или прерывистой последовательности остатков аденилата, которая обычно расположена на 3'-конце молекулы РНК. Поли-А-хвосты или последовательности поли-А известны специалистам в данной области техники и могут следовать за 3'-UTR в РНК, описанной в настоящей заявке. Непрерывный поли-А-хвост характеризуется последовательно расположенными остатками аденилата. В природе типичен непрерывный поли-А-хвост. Описанные в настоящей заявке РНК могут иметь поли-А-хвост, присоединенный к свободному 3'-концу РНК с помощью независимой от матрицы РНК-полимеразы после транскрипции, или поли-А-хвост, кодируемый ДНК и транскрибируемый зависимой от матрицы РНК-полимеразой.

Было показано, что поли-А-хвост примерно из 120 нуклеотидов А оказывает благотворное влияние на уровни РНК в трансфицированных эукариотических клетках, а также на уровни белка, транслируемого с открытой рамки считывания, расположенной выше (5') хвоста поли-А (Holtkamp et al., 2006, Blood, vol. 108, pp. 4009-4017).

Хвост поли-А может быть любой длины. В некоторых воплощениях хвост поли-А включает, по существу, состоит или состоит из, по меньшей мере, 20, по меньшей мере, 30, по меньшей мере, 40, по меньшей мере, 80 или по меньшей мере, 100 и вплоть до 500, вплоть до 400, вплоть до 300, вплоть до 200 или вплоть до 150 нуклеотидов А и, в особенности, примерно, из 120 нуклеотидов А. В данном контексте «по существу состоит из» означает, что большинство нуклеотидов в поли-А-хвосте, обычно, по меньшей мере, 75%, по меньшей мере, 80%, по меньшей мере, 85%, по меньшей мере, 90%, по меньшей мере, 95%, по меньшей мере, 96%, по меньшей мере, 97%, по меньшей мере, 98% или, по меньшей мере, 99% по количеству нуклеотидов в поли-A-хвосте представляют собой нуклеотиды A, но допускается, что оставшиеся нуклеотиды представляют собой нуклеотиды, отличные от нуклеотидов A, такие как нуклеотиды U (уридилат), нуклеотиды G (гуанилат) или нуклеотиды C (цитидилат). В данном контексте «состоит из» означает, что все нуклеотиды в поли-A-хвосте, то есть 100% по количеству нуклеотидов в поли-A-хвосте, представляют собой нуклеотиды A. Термин «нуклеотид А» или «А» относится к аденилату.

В некоторых воплощениях, поли-A-хвост присоединяется во время транскрипции РНК, например, во время получения транскрибированной РНК in vitro на основе матрицы ДНК, содержащей повторяющиеся нуклеотиды dT (дезокситимидилат) в цепи, комплементарной кодирующей цепи. Последовательность ДНК, кодирующая поли-А-хвост (кодирующая цепь), называется поли(А)-кассетой.

В некоторых воплощениях поли(А)-кассета, присутствующая в кодирующей цепи ДНК, по существу состоит из нуклеотидов dA, но прерывается случайной последовательностью из четырех нуклеотидов (dA, dC, dG и dT). Такая случайная последовательность может иметь длину от 5 до 50, от 10 до 30 или от 10 до 20 нуклеотидов. Такая кассета раскрыта в заявке WO 2016/005324 A1, включенной в настоящее описание в качестве ссылки. В настоящем изобретении можно применять любую кассету поли (A), описанную в заявке WO 2016/005324 A1. Поли(А)-кассета, которая по существу состоит из нуклеотидов dA, но прерывается случайной последовательностью, имеющей равное распределение четырех нуклеотидов (dA, dC, dG, dT) и имеющей длину, например, от 5 до 50 нуклеотидов, которая демонстрирует, на уровне ДНК, постоянное размножение плазмидной ДНК в E. Coli и ассоциирована на уровне РНК с полезными свойствами в отношении поддержания стабильности РНК и эффективности трансляции, также входит в объем изобретения. Следовательно, в некоторых воплощениях изобретения поли-A-хвост, содержащийся в молекуле РНК, описанной в настоящей заявке, по существу состоит из нуклеотидов A, но прерывается случайной последовательностью из четырех нуклеотидов (A, C, G, U). Такая случайная последовательность может иметь длину от 5 до 50, от 10 до 30 или от 10 до 20 нуклеотидов.

В некоторых воплощениях, никакие нуклеотиды, кроме нуклеотидов A, не фланкируют поли-A-хвост на его 3'-конце, то есть поли-A-хвост не замаскирован или не сопровождается на своем 3'-конце нуклеотидом, отличным от A.

В некоторых воплощениях, поли-А-хвост включает последовательность SEQ ID NO: 22.

В некоторых воплощениях, по меньшей мере, одна РНК включает поли-А-хвост. В некоторых воплощениях, каждая РНК включает поли-А-хвост. В некоторых воплощениях, поли-А-хвост может включать, по меньшей мере, 20, по меньшей мере, 30, по меньшей мере, 40, по меньшей мере, 80 или, по меньшей мере, 100 и вплоть до 500, вплоть до 400, вплоть до 300, вплоть до 200 или вплоть до 150 нуклеотидов. В некоторых воплощениях, поли-А-хвост может в основном состоять из, по меньшей мере, 20, по меньшей мере, 30, по меньшей мере, 40, по меньшей мере, 80 или, по меньшей мере, 100 и вплоть до 500, вплоть до 400, вплоть до 300, вплоть до 200 или вплоть до 150 нуклеотидов. В некоторых воплощениях, поли-А-хвост может состоять из, по меньшей мере, 20, по меньшей мере, 30, по меньшей мере, 40, по меньшей мере, 80 или, по меньшей мере, 100 и вплоть до 500, вплоть до 400, вплоть до 300, вплоть до 200 или вплоть до 150 нуклеотидов. В некоторых воплощениях, поли-А-хвост может включать поли-А-хвост, имеющий SEQ ID NO: 22. В некоторых воплощениях, поли-А-хвост включает, по меньшей мере, 100 нуклеотидов. В некоторых воплощениях, поли-А-хвост включает примерно 150 нуклеотидов. В некоторых воплощениях, поли-А-хвост включает примерно 120 нуклеотидов.

В контексте настоящего изобретения термин «транскрипция» относится к процессу, в котором генетический код в последовательности ДНК транскрибируется в РНК. Впоследствии РНК может быть транслирована в пептид или белок.

Что касается РНК, термин «экспрессия» или «трансляция» относится к процессу в рибосомах клетки, посредством которого цепь мРНК направляет сборку последовательности аминокислот с образованием пептида или белка.

В одном из воплощений изобретения после введения РНК, описанной в настоящей заявке, например, в виде РНК-липоплексных частиц, по меньшей степени, часть РНК доставляется в клетку-мишень. В одном из воплощений, по меньшей степени, часть РНК доставляется в цитозоль клетки-мишени. В одном из воплощений РНК транслируется клеткой-мишенью с образованием пептида или белка, который она кодирует. В одном из воплощений клетка-мишень представляет собой клетку селезенки. В одном из воплощений клетка-мишень представляет собой антигенпрезентирующую клетку, такую как профессиональная антигенпрезентирующая клетка в селезенке. В одном из воплощений клетка-мишень представляет собой дендритную клетку или макрофаг. РНК-липоплексные частицы, описанные в настоящей заявке, могут быть применены для доставки РНК к такой клетке-мишени. Соответственно, настоящее изобретение также относится к способу доставки РНК в клетку-мишень субъекта, включающему введение субъекту РНК-липоплексных частиц, раскрытых в настоящем описании. В одном из воплощений РНК доставляется в цитозоль клетки-мишени. В одном из воплощений РНК транслируется клеткой-мишенью с образованием пептида или белка, кодируемого РНК.

Согласно изобретению, термин «РНК кодирует» означает, что РНК, если она присутствует в соответствующей среде, например, в клетках ткани-мишени, может управлять сборкой аминокислот с образованием пептида или белка, который она кодирует, в процессе трансляции. В одном из воплощений, РНК способна взаимодействовать с механизмом клеточной трансляции, обеспечивая трансляцию пептида или белка. Клетка может продуцировать кодируемый РНК пептид или белок внутриклеточно (например, в цитоплазме и/или в ядре), может секретировать кодируемый пептид или белок, или может продуцировать его на поверхности.

Согласно изобретению, термин «пептид» включает олиго- и полипептиды и относится к веществам, которые включают примерно два или более, примерно 3 или более, примерно 4 или более, примерно 6 или более, примерно 8 или более, примерно 10 или более, примерно 13 или более, примерно 16 или более, примерно 20 или более и вплоть до примерно 50, примерно 100 или примерно 150 последовательных аминокислот, связанных друг с другом пептидными связями. Термин «белок» относится к большим пептидам, в особенности, пептидам, имеющим, по меньшей мере, примерно 151 аминокислоту, но термины «пептид» и «белок» используются в настоящем описании обычно как синонимы.

Термин «антиген» относится к агенту, включающему эпитоп, против которого может быть выработан иммунный ответ. Термин «антиген» включает, в особенности, белки и пептиды. В одном из воплощений изобретения антиген представлен клетками иммунной системы, такими как антигенпрезентирующие клетки, подобные дендритным клеткам или макрофагам. Антиген или продукт его процессинга, такой как Т-клеточный эпитоп, в одном из воплощений связан с Т- или В-клеточным рецептором, или молекулой иммуноглобулина, такой, как антитело. Соответственно, антиген или продукт его процессинга могут специфически реагировать с антителами или Т-лимфоцитами (Т-клетками). В одном из воплощений антиген представляет собой ассоциированный с заболеванием антиген, такой как опухолевый антиген, и эпитоп происходит от такого антигена.

Термин «ассоциированный с заболеванием антиген» применяется в самом широком смысле для обозначения любого антигена, ассоциированного с заболеванием. Связанный с заболеванием антиген представляет собой молекулу, которая включает эпитопы, которые будут стимулировать иммунную систему хозяина для выработки клеточного антигенспецифического иммунного ответа и/или гуморального антительного ответа против заболевания. Следовательно, ассоциированный с заболеванием антиген или его эпитоп можно применять в терапевтических целях. Антигены, ассоциированные с заболеванием, могут быть связаны с раком, обычно с опухолями.

Термин «опухолевый антиген» относится к компоненту раковых клеток, который может происходить из цитоплазмы, поверхности клетки и ядра клетки. В особенности, это относится к тем антигенам, которые продуцируются внутриклеточно или в виде поверхностных антигенов на опухолевых клетках.

Термин «эпитоп» относится к части или фрагменту молекулы, такой как антиген, который распознается иммунной системой. Например, эпитоп может распознаваться Т-клетками, В-клетками или антителами. Эпитоп антигена может включать непрерывную или прерывистую часть антигена и может иметь длину от примерно 5 до примерно 100 аминокислот. В одном из воплощений эпитоп имеет длину от примерно 10 до примерно 25 аминокислот. Термин «эпитоп» включает эпитопы Т-клеток.

Термин «Т-клеточный эпитоп» относится к части или фрагменту белка, который распознается Т-клеткой в контексте молекул MHC. Термин «главный комплекс гистосовместимости» и аббревиатура «MHC» включают молекулы MHC класса I и MHC класса II и относятся к комплексу генов, который присутствует у всех позвоночных. Белки или молекулы MHC важны для передачи сигналов между лимфоцитами и антигенпрезентирующими клетками или больными клетками в иммунных реакциях, при которых белки или молекулы MHC связывают пептидные эпитопы и представляют их для распознавания Т-клеточными рецепторами на Т-клетках. Белки, кодируемые MHC, экспрессируются на поверхности клеток и представляют собой как аутоантигены (пептидные фрагменты из самой клетки), так и неаутоантигены (например, фрагменты вторгшихся микроорганизмов) Т-клетке. В случае комплексов МНС класса I/пептид связывающие пептиды обычно имеют длину от примерно 8 до примерно 10 аминокислот, хотя более длинные или более короткие пептиды могут быть эффективными. В случае комплексов МНС класса II/пептид связывающие пептиды обычно имеют длину примерно от 10 до примерно 25 аминокислот и, в особенности, имеют длину примерно от 13 до примерно 18 аминокислот, тогда как более длинные и более короткие пептиды могут быть эффективными.

В определенных воплощениях настоящего изобретения РНК кодирует, по меньшей мере, один эпитоп. В определенных воплощениях, эпитоп происходит от опухолевого антигена, как описано в настоящей заявке.

Вводимые РНК

В некоторых воплощениях изобретения композиции или лекарственные препараты, раскрытые в настоящем описании, включают РНК, кодирующую белок клаудин 6 (CLDN6), РНК, кодирующую белок p53, и РНК, кодирующую белок, представляющий собой преимущественно экспрессируемый антиген меланомы (PRAME). Аналогично, способы, описанные в настоящей заявке, включают введение РНК, кодирующей белок клаудин 6 (CLDN6), РНК, кодирующей белок p53, и РНК, кодирующей белок, представляющий собой преимущественно экспрессируемый антиген меланомы (PRAME).

Молекулярная структура и функция CLDN6 (RBL005.2)

Ген клаудина 6 человека (CLDN6) локализован на хромосоме 16 и содержит две изоформы, которые кодируют белок из 220 аминокислот. CLDN6 имеет высокую видовую консервативность и относится к группе клаудинов, которая состоит, по меньшей мере, из 27 членов. В общем, клаудины, в том числе CLDN6, важны для регуляции эпителиального барьера и относятся к группе молекул с плотным контактом. CLDN6 содержит четыре трансмембранных домена, две внеклеточные петли, внутриклеточные N- и C-концы и PDZ-связывающий домен, и было показано, что он играет роль в поддержании барьеров проницаемости и трансэпителиальной устойчивости в эпидермальных клетках. Кроме того, CLDN6, по-видимому, необходим для нормального образования бластоцисты. Подробный анализ на основе RT-qPCR выявил экспрессию CLDN6 ниже предела обнаружения во всех исследованных тканях (фиг. 29).

Белок клаудин 6 (CLDN6) имеет аминокислотную последовательность, включающую последовательность собственно CLDN6, его иммуногенного варианта, или иммуногенного фрагмента CLDN6 или его иммуногенного варианта, и может иметь аминокислотную последовательность, включающую последовательность SEQ ID NO: 1 или последовательность, которая, по меньшей мере, на 99%, 98%, 97%, 96%, 95%, 90%, 85% или 80% идентична аминокислотной последовательности SEQ ID NO:1. РНК, кодирующая белок CLDN6 (i) может включать нуклеотидную последовательность SEQ ID NO: 2 или 3 или нуклеотидную последовательность, которая, по меньшей мере, на 99%, 98%, 97%, 96%, 95%, 90%, 85% или 80% идентична нуклеотидной последовательности SEQ ID NO: 2 или 3; и/или (ii) может кодировать аминокислотную последовательность, включающую последовательность SEQ ID NO: 1 или последовательность, которая, по меньшей мере, на 99%, 98%, 97%, 96%, 95%, 90%, 85% или 80% идентична аминокислотной последовательности SEQ ID NO: 1.

Молекулярная структура и функция опухолевого белка p53 (RBL008.1)

Локус p53 на хромосоме 17p13.1 кодирует белок размером 53 кДа, который имеет довольно высокую видовую консервативность. Белок p53 в основном локализован в ядре, однако, в зависимости от его модификаций убиквитином, а также изоформы, может быть обнаружен и в цитоплазме. P53 представляет собой фактор транскрипции и участвует в плейотропных клеточных функциях, таких, как репарация ДНК, пролиферация и апоптоз клеток, в зависимости от физиологических обстоятельств, типа клетки и посттрансляционных модификаций, которые включают убиквитинирование, сумоилирование, фосфорилирование, неддилирование, ацетилирование и метилирование. В здоровой ткани экспрессия p53 строго контролируется посредством убиквитинирования и последующей протеасомной деградации. Однако при повреждении ДНК белок p53 стабилизируется и предотвращает геномную нестабильность, вызывая ответ на повреждение ДНК.

p53 представляет собой хорошо известный ген-супрессор опухолей, о котором известно, что он мутирован или сверхэкспрессирован более чем в 50% всех случаев рака. Белок p53 экспрессируется во многих тканях (фиг. 29) и интенсивно изучается как антигенная мишень для иммунотерапии рака. Адоптивный перенос p53-специфических цитотоксических Т-лимфоцитов (CTL) и CD4+ T-хелперных клеток уничтожает сверхэкспрессирующие p53 опухоли у мышей. Кроме того, было описано, что p53 подвержен «раздельной толерантности» с эффективной делецией лимфоцитов, которые распознают производные p53 пептида на MHC I, но без делеции лимфоцитов, которые распознают пептиды p53 на молекулах MHC класса II. Следовательно, р53 квалифицируют как универсальный антиген для индукции противоопухолевых ответов Т-хелперных клеток.

На сегодняшний день, по меньшей мере, установлены три CD8+ и два CD4+ Т-клеточных эпитопа, которые охватывают разные молекулы HLA. Кроме того, у больных раком были обнаружены аутоантитела к р53 и специфические к р53 цитотоксические Т-лимфоциты (CTL), что подтверждает способность белка вызывать эффективные иммунные ответы.

Было начато несколько иммунотерапевтических клинических испытаний фазы I и II с применением p53 в качестве антигена, большинство из которых демонстрируют p53-специфические иммунные ответы, индуцированные вакциной. Эти исследования включали вирусный вектор, а также стратегии вакцинации на основе дендритных клеток и пептидов и проводились на различных формах рака. Несколько исследований продемонстрировали сильную индукцию p53-специфических CD4+ Т-хелперных клеток и рекрутирование CD8+ цитотоксических Т-лимфоцитов, но отсутствие четких доказательств клинической эффективности.

Белок p53 имеет аминокислотную последовательность, включающую последовательность собственно p53, его иммуногенного варианта, или иммуногенного фрагмента p53 или его иммуногенного варианта, и может иметь аминокислотную последовательность, включающую последовательность SEQ ID NO: 4 или 5 или последовательность, которая, по меньшей мере, на 99%, 98%, 97%, 96%, 95%, 90%, 85% или 80% идентична аминокислотной последовательностью SEQ ID NO: 4 или 5. РНК, кодирующая белок p53, (i) может включать нуклеотидную последовательность SEQ ID NO: 6 или 7 или нуклеотидную последовательность, которая, по меньшей мере, на 99%, 98%, 97%, 96%, 95%, 90%, 85% или 80% идентична нуклеотидной последовательности SEQ ID NO: 6 или 7; и/или (ii) может кодировать аминокислотную последовательность, включающую последовательность SEQ ID NO: 4 или 5 или последовательность, которая, по меньшей мере, на 99%, 98%, 97%, 96%, 95%, 90%, 85% или 80% идентична аминокислотной последовательности SEQ ID NO: 4 или 5.

Молекулярная структура и функция PRAME (RBL012.1)

Ген преимущественно экспрессируемого антигена меланомы человека (PRAME) локализован на хромосоме 22 и содержит восемь изоформ, из которых семь кодируют идентичный белок из 509 аминокислот, а восьмой изоформе не хватает первых 16 аминокислот. Исследования локализации с применением PRAME с меткой FLAG или GFP предполагают ядерную локализацию белка. Кроме того, PRAME играет решающую роль в апоптозе и пролиферации клеток. Дальнейшие функциональные исследования показали, что PRAME ингибирует передачу сигналов рецептора ретиноевой кислоты и тем самым проявляет свою роль в апоптозе и дифференцировке. Ген PRAME принадлежит к мультигенному семейству, состоящему из 32 PRAME-подобных генов и псевдогенов. Ближайшие белки, родственные PRAME, демонстрируют 53%-ную гомологию с белком PRAM (с применением команды blastp пакета программного обеспечения blast). Подробный анализ на основе RT qPCR выявил высокую экспрессию PRAME в яичках, придатке яичка и матке. Умеренная экспрессия PRAME была обнаружена в плаценте, яичнике, маточной трубе и надпочечниках (фиг. 29).

Белок, представляющий собой преимущественно экспрессируемый антиген меланомы (PRAME), имеет аминокислотную последовательность, включающую последовательность собственно PRAME, его иммуногенного варианта, или иммуногенного фрагмента PRAME или его иммуногенного варианта, и может иметь аминокислотную последовательность, включающую последовательность SEQ ID NO: 8 или 9 или последовательность, которая, по меньшей мере, на 99%, 98%, 97%, 96%, 95%, 90%, 85% или 80% идентична аминокислотной последовательности SEQ ID NO: 8 или 9. РНК, кодирующая белок PRAME (i) может включать нуклеотидную последовательность SEQ ID NO: 10 или 11 или нуклеотидную последовательность, которая, по меньшей мере, на 99%, 98%, 97%, 96%, 95%, 90%, 85% или 80% идентична нуклеотидной последовательности SEQ ID NO: 10 или 11; и/или (ii) может кодировать аминокислотную последовательность, включающую последовательность SEQ ID NO: 8 или 9 или последовательность, которая, по меньшей мере, на 99%, 98%, 97%, 96%, 95%, 90%, 85% или 80% идентична аминокислотной последовательности SEQ ID NO: 8 или 9.

Молекулярная структура и функция хелперных последовательностей p2 и p16, полученных из столбнячного анатоксина (RBLTet.1)

Аминокислотные последовательности, полученные из столбнячного анатоксина Clostridium tetani, могут быть применены для преодоления механизмов самотолерантности с целью эффективного усиления иммунного ответа на аутоантигены путем оказания помощи Т-клеткам во время праймирования.

Известно, что тяжелая цепь столбнячного анатоксина включает эпитопы, которые могут беспорядочно связываться с аллелями MHC класса II и индуцировать CD4+ Т-клетки памяти почти у всех лиц, вакцинированных против столбняка. Кроме того, известно, что комбинация вспомогательных эпитопов столбнячного анатоксина (ТТ) с опухолеь-ассоциированными антигенами улучшает иммунную стимуляцию по сравнению с применением только антигена, ассоциированного с опухолью, за счет оказания помощи Т-клеткам, опосредованным CD4+, во время праймирования. Для снижения риска стимуляции CD8+ Т-клеток последовательностями анатоксина столбняка, которые могут конкурировать с предполагаемой индукцией опухолевого антигенспецифического Т-клеточного ответа, применяют не весь фрагмент С столбнячного анатоксина, поскольку он, как известно, содержит эпитопы CD8+ Т-клеток. В качестве альтернативы были выбраны две пептидные последовательности, содержащие беспорядочно связывающиеся хелперные детерминанты, чтобы гарантировать связывание с максимально возможным количеством аллелей MHC класса II. На основании данных исследований ex vivo были отобраны хорошо известные эпитопы p2 (QYIKANSKFIGITEL; TT830-844) и p16 (MTNSVDDALINSTKIYSYFPSVISKVNQGAQG; TT578-609). Эпитоп p2 уже применялся для пептидной вакцинации в клинических испытаниях для повышения антимеланомной активности.

Современные доклинические данные (неопубликованные) показали, что РНК-вакцины, кодирующие как опухолевый антиген, так и беспорядочно связывающиеся последовательности столбнячного анатоксина, приводят к усилению ответов CD8+ Т-клеток, направленных против опухолевого антигена, и улучшают нарушение толерантности. Данные иммуномониторинга пациентов, которым вводили вакцины, включающие последовательности столбнячного анатоксина, слитые в рамке с последовательностями, специфичными для опухолевого антигена, показывают, что отобранные последовательности столбнячного анатоксина способны индуцировать специфичный к столбняку Т-клеточный ответ почти у всех пациентов.

Вместо применения аутоантигенных РНК, слитых с хелперным эпитопом столбнячного анатоксина, РНК опухолевого антигена WH_ova1 можно вводить совместно с отдельной РНК, кодирующей ТТ-хелперный эпитоп во время вакцинации (т.е. RBLTet.1). Согласно настоящему изобретению, РНК, кодирующая хелперный эпитоп ТТ, добавляется к каждой из антиген-кодирующих РНК перед приготовлением препарата. Таким образом, формируют смешанные липоплексные наночастицы, содержащие РНК, кодирующую как антиген, так и хелперный эпитоп, для их совместной доставки к конкретной APC.

Соответственно, в некоторых воплощениях изобретения композиции, описанные в настоящей заявке, могут включать РНК, кодирующую полученные из столбнячного анатоксина хелперные последовательности p2 и p16 (P2P16). Аналогично, способы, раскрытые в настоящем описании, могут включать введение РНК, кодирующей полученные из столбнячного анатоксина хелперные последовательности p2 и p16 (P2P16).

Таким образом, следующий аспект изобретения относится к композиции, например, фармацевтической композиции, включающей частицы, такие как липоплексные частицы, содержащие:

(i) РНК, кодирующую вакцинный антиген и

(ii) РНК, кодирующую аминокислотную последовательность, которая нарушает иммунологическую толерантность.

Такая композиция полезна в способе индукции иммунного ответа против вакцинного антигена и, таким образом, против ассоциированного с заболеванием антигена.

Дополнительный аспект изобретения относится к способу индукции иммунного ответа, включающему введение частиц, таких как липоплексные частицы, содержащих:

(i) РНК, кодирующую вакцинный антиген и

(ii) РНК, кодирующую аминокислотную последовательность, которая нарушает иммунологическую толерантность.

В одном из воплощений аминокислотная последовательность, которая нарушает иммунологическую толерантность, включает хелперные детерминанты, предпочтительно, хелперные детерминанты, происходящие из столбнячного анатоксина.

В одном из воплощений

(i) РНК, кодирующая аминокислотную последовательность, которая нарушает иммунологическую толерантность, включает нуклеотидную последовательность SEQ ID NO: 14 или 15 или нуклеотидную последовательность, которая, по меньшей мере, на 99%, 98%, 97%, 96%, 95%, 90%, 85% или 80% идентична нуклеотидной последовательности SEQ ID NO: 14 или 15; и/или

(ii) аминокислотная последовательность, которая нарушает иммунологическую толерантность, включает аминокислотную последовательность SEQ ID NO: 12 или 13 или аминокислотную последовательность, которая, по меньшей мере, на 99%, 98%, 97%, 96%, 95%, 90%, 85% или 80% идентична аминокислотной последовательности SEQ ID NO: 12 или 13.

В одном из воплощений РНК, кодирующая вакцинный антиген, объединена в виде частиц, таких, как липоплексные частицы, с РНК, кодирующей аминокислотную последовательность, которая нарушает иммунологическую толерантность. В одном из воплощений, РНК, кодирующая вакцинный антиген, объединена в виде частиц, таких, как липоплексные частицы, с РНК, кодирующей аминокислотную последовательность, которая нарушает иммунологическую толерантность в соотношении, равном от примерно 4:1 до примерно 16:1, от примерно 6:1 до примерно 14:1, от примерно 8:1 до примерно 12:1 или примерно 10:1.

Белок хелперных последовательностей р2 и р16 (P2P16), полученных из столбнячного анатоксина, имеет аминокислотную последовательность, включающую последовательность собственно P2 и P16, их иммуногенного варианта, или иммуногенного фрагмента P2 и P16 или их иммуногенного варианта, и может иметь аминокислотную последовательность, включающую последовательность SEQ ID NO: 12 или 13 или последовательность, которая, по меньшей мере, на 99%, 98%, 97%, 96%, 95%, 90%, 85% или 80% идентична аминокислотной последовательности SEQ ID NO:12 или 13. РНК, кодирующая белок P2P16 (i) может включать нуклеотидную последовательность SEQ ID NO: 14 или 15 или нуклеотидную последовательность, которая, по меньшей мере, на 99%, 98%, 97%, 96%, 95%, 90%, 85% или 80% идентична нуклеотидной последовательности SEQ ID NO: 14 или 15; и/или (ii) может кодировать аминокислотную последовательность, включающую последовательность SEQ ID NO: 12 или 13 или последовательность, которая, по меньшей мере, на 99%, 98%, 97%, 96%, 95%, 90%, 85% или 80% идентична аминокислотной последовательности SEQ ID NO: 12 или 13.

Под «вариантом» в настоящем описании подразумевается аминокислотная последовательность, которая отличается от исходной аминокислотной последовательности хотя бы, по меньшей мере, одной аминокислотной модификацией. Исходная аминокислотная последовательность может представлять собой природную аминокислотную последовательность или аминокислотную последовательность дикого типа (WT) или представлять собой модифицированную версию аминокислотной последовательности дикого типа. Предпочтительно аминокислотная последовательность варианта имеет, по меньшей мере, одну аминокислотную модификацию по сравнению с исходной аминокислотной последовательностью, например, от 1 до примерно 20 аминокислотных модификаций, и, предпочтительно, от 1 до примерно 10 или от 1 до примерно 5 аминокислотных модификаций по сравнению с исходной последовательностью.

Под последовательностью «дикого типа», «WT» или «нативной последовательностью» в настоящем описании подразумевается аминокислотная последовательность, которая встречается в природе, включая аллельные варианты. Аминокислотная последовательность дикого типа - это последовательность, которая не была намеренно модифицирована. Пептид или белок дикого типа имеют аминокислотную последовательность, которая также не была намеренно модифицирована.

Для целей настоящего изобретения «варианты» аминокислотной последовательности (пептид, белок или полипептид) включают варианты с вставкой аминокислот, варианты с добавлением аминокислот, варианты с делецией аминокислот и/или варианты с заменой аминокислот. Термин «вариант» включает все мутанты, варианты сплайсинга, варианты, модифицированные после трансляции, конформации, изоформы, аллельные варианты, видовые варианты и видовые гомологи, в особенности, те, которые встречаются в природе.

Варианты с вставкой аминокислот включают вставки одной, двух или более аминокислот в конкретную аминокислотную последовательность. В случае вариантов аминокислотной последовательности, имеющих вставку, один или несколько аминокислотных остатков вставляют в конкретный сайт в аминокислотной последовательности, хотя также возможна случайная вставка с соответствующим скринингом полученного продукта. Варианты присоединения аминокислот включают слияния на амино- и/или карбоксиконце одной или нескольких аминокислот, например, 1, 2, 3, 5, 10, 20, 30, 50 или более аминокислот. Варианты с делецией аминокислот характеризуются удалением одной или нескольких аминокислот из последовательности, например, удалением 1, 2, 3, 5, 10, 20, 30, 50 или более аминокислот. Делеции могут находиться в любом положении белка. Варианты с делецией аминокислот, которые включают делецию на N-конце и/или C-конце белка, также называются вариантами с укорочением на N-конце и/или C-конце. Варианты с аминокислотной заменой, по меньшей мере, характеризуются тем, что в последовательности удаляют один остаток и на его место вставляют другой остаток. Предпочтение отдают модификациям, находящимся в положениях аминокислотной последовательности, которые не консервативны между гомологичными белками или пептидами и/или замене аминокислот другими аминокислотами, имеющими аналогичные свойства. Предпочтительно, аминокислотные изменения в пептидных и белковых вариантах представляют собой консервативные аминокислотные замены, то есть замены одинаково заряженных или незаряженных аминокислот. Консервативная замена аминокислоты включает замену одной аминокислоты из семейства аминокислот, которые схожи по строению боковых цепей. Встречающиеся в природе аминокислоты обычно делятся на четыре семейства: кислые (аспартат, глутамат), основные (лизин, аргинин, гистидин), неполярные (аланин, валин, лейцин, изолейцин, пролин, фенилаланин, метионин, триптофан) и незаряженные полярные (глицин, аспарагин, глутамин, цистеин, серин, треонин, тирозин) аминокислоты. Фенилаланин, триптофан и тирозин иногда вместе классифицируются как ароматические аминокислоты. В одном из воплощений консервативные аминокислотные замены включают замены в следующих группах:

глицин, аланин;

валин, изолейцин, лейцин;

аспарагиновая кислота, глутаминовая кислота;

аспарагин, глутамин;

серин, треонин;

лизин, аргинин; и

фенилаланин, тирозин.

Предпочтительно, степень сходства, предпочтительно, идентичность между данной аминокислотной последовательностью и аминокислотной последовательностью, которая представляет собой вариант указанной данной аминокислотной последовательности, будет равна, по меньшей мере, примерно 80%, 81%, 82%, 83%, 84%, 85%, 86%, 87%, 88%, 89%, 90%, 91%, 92%, 93%, 94%, 95%, 96%, 97%, 98% или 99%. Степень сходства или идентичности относят, предпочтительно, к аминокислотной области, которая составляет, по меньшей мере, примерно 50%, по меньшей мере, примерно 60%, по меньшей мере, примерно 70%, по меньшей мере, примерно 80%, по меньшей мере, примерно 90% или примерно 100% от всей длины эталонной аминокислотной последовательности. Например, если эталонная аминокислотная последовательность состоит из 200 аминокислот, то степень сходства или идентичности относится, предпочтительно, к, по меньшей мере, примерно 100, по меньшей мере, примерно 120, по меньшей мере, примерно 140, по меньшей мере, примерно 160, по меньшей мере, примерно 180 или примерно 200 аминокислотам, предпочтительно, непрерывно расположенным аминокислотам. В предпочтительных воплощениях изобретения степень сходства или идентичности приведена для всей длины эталонной аминокислотной последовательности.

«Сходство последовательностей» отражает процент аминокислот, которые либо идентичны, либо представляют собой консервативные аминокислотные замены. «Идентичность последовательностей» между двумя аминокислотными последовательностями указывает на процент аминокислот, которые идентичны между последовательностями.

Аминокислотная последовательность (пептид, белок или полипептид), «происходящая из» конкретной аминокислотной последовательности (пептида, белка или полипептида), относится к последовательности, которая происходит из конкретной последовательности. Предпочтительно, аминокислотная последовательность, которая происходит из конкретной аминокислотной последовательности, имеет последовательность, которая идентична, по существу идентична или гомологична этой конкретной последовательности или ее фрагменту. Аминокислотные последовательности, происходящие из конкретной аминокислотной последовательности, могут быть вариантами этой конкретной последовательности или ее фрагмента.

Пептидный и белковый антиген, описанный в настоящей заявке (белок CLDN6, белок p53 и белок PRAME), при введении субъекту путем инъекции РНК, кодирующей антиген, т.е. вакцинный антиген, предпочтительно приводит к стимуляции, примированию и/или размножению Т-клеток у субъекта. Указанные стимулированные, примированные и/или размноженные Т-клетки предпочтительно направлены против антигена-мишени, в особенности, антигена-мишени, экспрессируемого больными клетками, тканями и/или органами, то есть ассоциированного с заболеванием антигена. Таким образом, вакцинный антиген может активировать ассоциированный с заболеванием антиген или его фрагмент, или вариант. В одном из воплощений изобретения такой фрагмент или вариант иммунологически эквивалентен антигену, ассоциированному с заболеванием. В контексте настоящего изобретения термин «фрагмент антигена» или «вариант антигена» означает агент, который приводит к стимуляции, примированию и/или размножению Т-клеток, и эти стимулированные, примированные и/или размноженные Т-клетки нацелены на ассоциированный с заболеванием антиген, в особенности, когда он экспрессируется на поверхности пораженных клеток, тканей и/или органов. Таким образом, вакцинный антиген, вводимый субъекту согласно изобретению, может соответствовать ассоциированному с заболеванием антигену или может включать ассоциированный с заболеванием антиген, может соответствовать фрагменту ассоциированного с заболеванием антигена или может включать фрагмент ассоциированного с заболеванием антигена, или может соответствовать антигену или может включать антиген, который гомологичен ассоциированному с заболеванием антигену или его фрагменту. Если вакцинный антиген, вводимый субъекту согласно изобретению, включает фрагмент ассоциированного с заболеванием антигена или аминокислотную последовательность, которая гомологична фрагменту ассоциированного с заболеванием антигена, указанный фрагмент или аминокислотная последовательность может включать эпитоп ассоциированного с заболеванием антигена или последовательность, которая гомологична эпитопу ассоциированного с заболеванием антигена, причем Т-клетки связываются с указанным эпитопом. Таким образом, согласно изобретению, антиген может включать иммуногенный фрагмент ассоциированного с заболеванием антигена или аминокислотную последовательность, гомологичную иммуногенному фрагменту ассоциированного с заболеванием антигена. Согласно изобретению, «иммуногенный фрагмент антигена» предпочтительно относится к фрагменту антигена, который способен стимулировать, примировать Т-клетки и/или приводить к размножению Т-клеток. Предпочтительно, чтобы вакцинный антиген (подобный ассоциированному с заболеванием антигену) содержал соответствующий эпитоп для связывания Т-клетками. Также предпочтительно, чтобы вакцинный антиген (аналогичный ассоциированному с заболеванием антигену) экспрессировался на поверхности клетки, такой как антигенпрезентирующая клетка, чтобы обеспечить соответствующий эпитоп для связывания Т-клетками. Вакцинный антиген, согласно изобретению, может представлять собой рекомбинантный антиген.

Термин «иммунологически эквивалентный» означает, что иммунологически эквивалентная молекула, такая, как иммунологически эквивалентная аминокислотная последовательность, проявляет такие же или, по существу такие же, иммунологические свойства и/или оказывает такие же или, по существу такие же, иммунологические эффекты, например, в отношении типа иммунологического процесса. В контексте настоящего изобретения термин «иммунологически эквивалентный», предпочтительно, применяют по отношению к иммунологическим эффектам или свойствам антигенов, или антигенным вариантам. Например, аминокислотная последовательность иммунологически эквивалентна эталонной аминокислотной последовательности, если указанная аминокислотная последовательность, будучи экспонированной Т-клеткам, связывающимся с эталонной аминокислотной последовательностью, или клеткам, экспрессирующим эталонную аминокислотную последовательность, индуцирует иммунную реакцию, обладающую специфичностью взаимодействия с эталонной аминокислотной последовательностью, в особенности, обеспечивая стимуляцию, примирование и/или размножение Т-клеток. Таким образом, молекула, которая иммунологически эквивалентна антигену, проявляет те же или, по существу те же, свойства и/или оказывает те же или, по существу те же, эффекты в отношении стимуляции, примирования и/или размножения Т-клеток, что и антиген, на который нацелены Т-клетки.

Термин «активация» или «стимуляция», как он используется в настоящем описании, относится к состоянию Т-клетки, которая была в достаточной степени простимулирована, чтобы вызвать детектируемую клеточную пролиферацию. Активация также может быть связана с индуцированной продукцией цитокинов и детектируемыми эффекторными функциями. Термин «активированные Т-клетки» относится, помимо прочего, к Т-клеткам, которые подвергаются клеточному делению.

Термин «примирование» относится к процессу, при котором Т-клетка впервые контактирует со своим специфическим антигеном, что приводит к ее дифференцировке в эффекторные Т-клетки.

Термин «клональное размножение» или «размножение» относится к процессу, в котором размножается конкретный объект. В контексте настоящего изобретения указанный термин, предпочтительно, применяют по отношению к иммунологическому ответу, в котором лимфоциты стимулируются антигеном, пролиферируют, а специфический лимфоцит, распознающий указанный антиген, амплифицируется. Предпочтительно, клональное размножение приводит к дифференцировке лимфоцитов.

Липоплексные частицы

В определенных воплощениях настоящего изобретения, РНК, описанная в настоящем документе, может находиться в РНК-липоплексных частицах. РНК-липоплексные частицы и композиции, содержащие РНК-липоплексные частицы, описанные в настоящей заявке, полезны для доставки РНК в ткань-мишень после парентерального введения, в особенности, после внутривенного введения. РНК-липоплексные частицы могут быть получены с применением липосом, которые могут быть образованы путем инъекции раствора липидов в этаноле в воду или подходящую водную фазу. В одном из воплощений водная фаза имеет кислый pH. В одном из воплощений водная фаза содержит уксусную кислоту, например, в количестве примерно 5 мМ. В одном из воплощений липосомы и РНК-липоплексные частицы включают, по меньшей мере, один катионный липид и, по меньшей мере, один дополнительный липид. В одном из воплощений, по меньшей мере, один катионный липид представляет собой 1,2-ди-O-октадеценил-3-триметиламмоний пропан (DOTMA) и/или 1,2-диолеоил-3-триметиламмоний-пропан (DOTAP). В одном из воплощений, по меньшей мере, один дополнительный липид представляет собой 1,2-ди-(9Z-октадеценоил)-sn-глицеро-3-фосфоэтаноламин (DOPE), холестерол (Chol) и/или 1,2-диолеоил-sn-глицеро-3-фосфохолин (DOPC). В одном из воплощений, по меньшей мере, один катионный липид представляет собой 1,2-ди-O-октадеценил-3-триметиламмоний пропан (DOTMA) и, по меньшей мере, один дополнительный липид представляет собой 1,2-ди-(9Z-октадеценоил)-sn-глицеро-3-фосфоэтаноламин (DOPE). В одном из воплощений, липосомы и РНК-липоплексные частицы включают 1,2-ди-O-октадеценил-3-триметиламмоний пропан (DOTMA) и 1,2-ди-(9Z-октадеценоил)-sn-глицеро-3- фосфоэтаноламин (DOPE). Липосомы можно применять для получения РНК-липоплексных частиц путем смешивания липосом с РНК.

РНК-липоплексные частицы, нацеленные на селезенку, описаны в заявке WO 2013/143683, включенной в настоящее описание в качестве отсылки. Было обнаружено, что РНК-липоплексные частицы, имеющие суммарный отрицательный заряд, могут быть применены для преимущественного нацеливания на ткань селезенки или клетки селезенки, такие как антигенпрезентирующие клетки, в особенности, дендритные клетки. Соответственно, после введения РНК-липоплексных частиц происходит накопление РНК и/или экспрессия РНК в селезенке. Таким образом, РНК-липоплексные частицы по настоящему изобретению можно применять для экспрессии РНК в селезенке. В одном воплощении изобретения после введения РНК-липоплексных частиц не происходит или практически не происходит накопления РНК и/или экспрессии РНК в легких и/или печени. В одном из воплощений изобретения после введения РНК-липоплексных частиц происходит накопление РНК и/или экспрессия РНК в антигенпрезентирующих клетках, таких, как профессиональные антигенпрезентирующие клетки в селезенке. Таким образом, РНК-липоплексные частицы по настоящему изобретению можно применять для экспрессии РНК в таких антигенпрезентирующих клетках. В одном из воплощений изобретения антигенпрезентирующие клетки представляют собой дендритные клетки и/или макрофаги.

Диаметр РНК-липоплексной частицы

РНК-липоплексные частицы, описанные в настоящей заявке, имеют средний диаметр, который в одном из воплощений изобретения находится в диапазоне от примерно 200 нм до примерно 1000 нм, от примерно 200 нм до примерно 800 нм, от примерно 250 до примерно 700 нм, от примерно 400 до примерно 600 нм, примерно от 300 нм до примерно 500 нм или примерно от 350 нм до примерно 400 нм. В одном воплощении изобретения РНК-липоплексные частицы имеют средний диаметр в диапазоне от примерно 250 нм до примерно 700 нм. В другом воплощении изобретения РНК-липоплексные частицы имеют средний диаметр в диапазоне от примерно 300 нм до примерно 500 нм. В примерном воплощении РНК-липоплексные частицы имеют средний диаметр около 400 нм.

В одном из воплощений изобретения РНК-липоплексные частицы, описанные в настоящей заявке, демонстрируют индекс полидисперсности, менее примерно 0,5, менее примерно 0,4 или менее примерно 0,3. В качестве примера, РНК-липоплексные частицы могут демонстрировать индекс полидисперсности в диапазоне от примерно 0,1 до примерно 0,3.

Липид

В одном из воплощений изобретения растворы липидов, липосомы и РНК-липоплексные частицы, описанные в настоящей заявке, включают катионный липид. Как используется в настоящем описании, термин «катионный липид» относится к липиду, имеющему суммарный положительный заряд. Катионные липиды связывают отрицательно заряженную РНК электростатическим взаимодействием с липидной матрицей. Обычно катионные липиды содержат липофильную группу, такую как стерол, ацильную или диацильную цепь, а головная группа липида обычно несет положительный заряд. Примеры катионных липидов включают, но не ограничиваются указанными: 1,2-ди-O-октадеценил-3-триметиламмоний пропан (DOTMA), диметилдиоктадециламмоний (DDAB); 1,2-диолеоил-3-триметиламмоний пропан (DOTAP); 1,2-диолеоил-3-диметиламмоний-пропан (DODAP); 1,2-диацилокси-3-диметиламмоний пропаны; 1,2-диалкилокси-3-диметиламмоний пропаны; хлорид диоктадецилдиметиламмония (DODAC), 2,3-ди(тетрадекокси)пропил-(2-гидроксиэтил)-диметилазан (DMRIE), 1,2-димиристоил-sn-глицеро-3-этилфосфохолин (DMEPC), l,2-димиристоил-3-триметиламмоний пропан (DMTAP), 1,2-диолеилоксипропил-3-диметил-гидроксиэтиламмонийбромид (DORIE) и 2,3-диолеоилокси-N-[2 (сперминкарбоксамид)этил]-N,N-диметил-1-пропанамиум трифторацетат (DOSPA). Предпочтительны DOTMA, DOTAP, DODAC и DOSPA. В конкретных вариантах реализации катионный липид представляет собой DOTMA и/или DOTAP.

Дополнительный липид может быть включен для регулирования общего соотношения положительного и отрицательного зарядов и физической стабильности РНК-липоплексных частиц. В определенных воплощениях изобретения дополнительный липид представляет собой нейтральный липид. Как используется в настоящем описании, термин «нейтральный липид» относится к липиду, имеющему нулевой суммарный заряд. Примеры нейтральных липидов включают, но не ограничиваются указанными: 1,2-ди-(9Z-октадеценоил)-sn-глицеро-3-фосфоэтаноламин (DOPE), 1,2-диолеоил-sn-глицеро-3-фосфохолин (DOPC), диацилфосфатидилхолин, диацилфосфатидилэтаноламин, церамид, сфингоэмиелин, цефалин, холестерол и цереброзид. В конкретных воплощениях дополнительный липид представляет собой DOPE, холестерол и/или DOPC.

В определенных воплощениях, РНК-липоплексные частицы включают как катионный липид, так и дополнительный липид. В иллюстративном воплощении изобретения катионный липид представляет собой DOTMA, а дополнительный липид представляет собой DOPE. Не желая быть связанными какой-либо теорией, авторы изобретения отмечают, что количество, по меньшей мере одного катионного липида по сравнению с количеством по меньшей мере одного дополнительного липида может повлиять на важные характеристики РНК-липоплексной частицы, такие как заряд, размер частицы, стабильность, тканевая селективность и биоактивность РНК. Соответственно, в некоторых воплощениях изобретения молярное отношение одного катионного липида к, по меньшей мере, одному дополнительному липиду составляет примерно от 10:0 до примерно 1:9, примерно от 4:1 до примерно 1:2 или примерно от 3:1 до примерно 1:1. В конкретных воплощениях изобретения молярное соотношение может составлять примерно 3:1, примерно 2,75:1, примерно 2,5:1, примерно 2,25:1, примерно 2:1, примерно 1,75:1, примерно 1,5:1, примерно 1,25:1 или примерно 1:1. В иллюстративном воплощении изобретения молярное отношение, по меньшей мере, одного катионного липида к, по меньшей мере, одному дополнительному липиду составляет примерно 2: 1.

Отношение зарядов

Электрический заряд РНК-липоплексных частиц по настоящему изобретению представляет собой сумму электрических зарядов, присутствующих, по меньшей мере, в одном катионном липиде, и электрических зарядов, присутствующих в РНК. Соотношение зарядов представляет собой отношение положительных зарядов, присутствующих, по меньшей мере, в одном катионном липиде, к отрицательным зарядам, присутствующим в РНК. Отношение положительных зарядов присутствующих, по меньшей мере, в одном катионном липиде, к отрицательным зарядам, присутствующим в РНК рассчитывают по следующему уравнению: отношение зарядов = [(концентрация катионного липида (моль)) * (общее количество положительных зарядов в катионном липиде)]/[(концентрация РНК (моль)) * (общее количество отрицательных зарядов в РНК)]. Концентрация РНК и количество, по меньшей мере, одного катионного липида могут быть определены специалистом в данной области техники обычными способами.

В одном из воплощений изобретения при физиологическом pH отношение положительных зарядов к отрицательным зарядам в РНК-липоплексных частицах равно примерно от 1,6:2 до примерно 1:2 или примерно от 1,6:2 до примерно 1.1:2. В конкретных воплощениях изобретения отношение положительных зарядов к отрицательным зарядам в РНК-липоплексных частицах при физиологическом pH равно примерно 1,6:2,0, примерно 1,5:2,0, примерно 1,4:2,0, примерно 1,3:2,0, примерно 1.2:2,0, примерно 1,1:2,0 или примерно 1:2,0.

Было обнаружено, что РНК-липоплексные частицы, имеющие такое отношение зарядов, могут быть применены для преимущественного нацеливания на ткань селезенки или клетки селезенки, такие как антигенпрезентирующие клетки, в особенности, дендритные клетки. Соответственно, в одном из воплощений, после введения РНК-липоплексных частиц происходит накопление РНК и/или экспрессия РНК в селезенке. Таким образом, РНК-липоплексные частицы по настоящему изобретению можно применять для экспрессии РНК в селезенке. В одном воплощении изобретения после введения РНК-липоплексных частиц не происходит или практически не происходит накопления РНК и/или экспрессии РНК в легких и/или печени. В одном из воплощений изобретения после введения РНК-липоплексных частиц происходит накопление РНК и/или экспрессия РНК в антигенпрезентирующих клетках, таких, как профессиональные антигенпрезентирующие клетки в селезенке. Таким образом, РНК-липоплексные частицы по настоящему изобретению можно применять для экспрессии РНК в таких антигенпрезентирующих клетках. В одном из воплощений изобретения антигенпрезентирующие клетки представляют собой дендритные клетки и/или макрофаги.

A. Соль и ионная сила

В соответствии с настоящим изобретением описанные здесь композиции могут включать соли, такие, как хлорид натрия. Без связи с какой-либо теорией, хлорид натрия действует как агент ионной осмоляльности для предварительного кондиционирования РНК перед смешиванием, по меньшей мере, с одним катионным липидом. В настоящем описании в определенных воплощениях изобретения могут быть использованы органические или неорганические соли как альтернатива хлориду натрия. Альтернативные соли включают, без ограничения указанными, хлорид калия, дикалийфосфат, монофосфат калия, ацетат калия, бикарбонат калия, сульфат калия, ацетат калия, динатрийфосфат, мононатрийфосфат, ацетат натрия, бикарбонат натрия, сульфат натрия, ацетат натрия, хлорид лития, хлорид магния, фосфат магния, хлорид кальция и натриевые соли этилендиаминтетрауксусной кислоты (ЭДТА).

Как правило, композиции, содержащие РНК-липоплексные частицы, описанные в настоящей заявке, включают хлорид натрия в концентрации, которая предпочтительно находится в диапазоне от 0 мМ до примерно 500 мМ, от примерно 5 мМ до примерно 400 мМ или от примерно 10 мМ до примерно 300 мМ. В одном из воплощений изобретения композиции, содержащие РНК-липоплексные частицы, имеют ионную силу, соответствующую указанным концентрациям хлорида натрия.

B. Стабилизатор

Композиции, описанные в настоящей заявке, могут включать стабилизатор, чтобы избежать существенной потери качества продукта и, в особенности, существенной потери активности РНК во время замораживания, лиофилизации, сушки распылением или хранения, такого, как хранение замороженной, лиофилизированной или высушенной распылением композиции.

В одном воплощении изобретения стабилизатор представляет собой углевод. Термин «углевод», как используется в настоящем описании, относится к моносахаридам, дисахаридам, трисахаридам, олигосахаридам и полисахаридам и охватывает их.

В некоторых воплощениях изобретения стабилизатор представляет собой маннозу, глюкозу, сахарозу или трегалозу.

В соответствии с настоящим изобретением, композиции РНК-липоплексных частиц, раскрытые в описании, содержат стабилизатор в концентрации, подходящей для обеспечения стабильности композиции, в особенности, для стабильности РНК-липоплексных частиц и для стабильности РНК.

C. pH и буфер

В соответствии с настоящим изобретением композиции РНК-липоплексных частиц, раскрытые в заявке, имеют pH, обеспечивающий стабильность РНК-липоплексных частиц и, в особенности, стабильность РНК. В одном из воплощений изобретения композиции РНК-липоплексных частиц, представленные в настоящем описании, имеют pH от примерно 5,5 до примерно 7,5.

В соответствии с настоящим изобретением обеспечиваются композиции, которые содержат буфер. Без ограничения какой-либо теорией, применение буфера поддерживает pH композиции в процессе производства, хранения и применения композиции. В определенных воплощениях настоящего изобретения буфер может представлять собой бикарбонат натрия, мононатрийфосфат, динатрийфосфат, монокалийфосфат, дикалийфосфат, [трис(гидроксиметил)метиламино]пропансульфоновую кислоту (TAPS), 2-(бис(2-гидроксиэтил)амино)уксусную кислоту (бицин), 2-амино-2-(гидроксиметил)пропан-1,3-диол (Трис), N-(2-гидрокси-1,1-бис(гидроксиметил)этил)глицин (трицин), 3-[[1,3-Адигидроокси-2-(гидроксиметил)пропан-2-ил]амино]-2-гидроксипропан-1-сульфоновую кислоту (TAPSO), 2-[4-(2-гидроксиэтил)пиперазин-1-ил]этансульфоновую кислоту (HEPES), 2-[[1,3-дигидроокси-2-(гидроксиметил)пропан-2-ил]амино]этансульфоновую кислоту (TES), 1,4-пиперазиндиэтансульфоновую кислоту (PIPES), диметиларсиновую кислоту, 2-морфолин-4-ил-этансульфоновую кислоту (MES), 3-морфолино-2-гидроксипропансульфоновую кислоту (MOPSO) или фосфатно-солевой буфер (PBS). Другими подходящими буферами могут быть уксусная кислота в форме соли, лимонная кислота в форме соли, борная кислота в форме соли и фосфорная кислота в форме соли.

В одном из воплощений буфер представляет собой HEPES.

В одном из воплощений буфер имеет концентрацию от примерно 2,5 мМ до примерно 15 мМ.

D. Хелатирующее средство

Определенные воплощения настоящего изобретения предполагают применение хелатирующего средства. Хелатирующие средства относятся к химическим соединениям, которые способны образовывать, по меньшей мере, две координационные ковалентные связи с ионом металла, тем самым образуя стабильный водорастворимый комплекс. Без связи с какой-либо теорией, хелатирующие средства снижают концентрацию свободных двухвалентных ионов, которые в противном случае могут вызвать ускоренную деградацию РНК, раскрытой в настоящей заявке. Примеры подходящих хелатирующих средств включают, без ограничения указанными, этилендиаминтетрауксусную кислоту (EDTA), соль EDTA, десфериоксамин B, дефероксамин, дитиокарб натрия, пеницилламин, пентетат кальция, натриевую соль пентетиновой кислоты, сукцимер, триентин, нитрилотриуксусную кислоту, трансдиаминоциклогексантетрауксусную кислоту (DCTA), диэтилентриаминпентауксусную кислоту (DTPA), бис(аминоэтил)гликолэфир-N,N,N',N'-тетрауксусную кислоту, иминодиуксусную кислоту, лимонную кислоту, винную кислоту, фумаровую кислоту или их соль. В определенных воплощениях изобретения хелатирующее средство представляет собой ЭДТА или соль ЭДТА. В иллюстративном воплощении изобретения хелатирующее средство представляет собой дигидрат динатрия ЭДТА.

В некоторых воплощениях изобретения EDTA применяют в концентрации от примерно 0,05 мМ до примерно 5 мМ.

E. Физическое состояние композиций по изобретению

Согласно настоящему изобретению, композиция представляет собой жидкость или твердое вещество. Неограничивающие примеры твердых веществ включают замороженную форму или лиофилизированную форму. В предпочтительном воплощении изобретения композиция представляет собой жидкость.

Фармацевтические композиции по изобретению

РНК, описанная в настоящей заявке, например, находящаяся в виде РНК-липоплексных частиц, полезна в качестве фармацевтических композиций или лекарственных средств, а также для приготовления фармацевтических композиций или лекарственных средств для терапевтического или профилактического лечения.

Композиции по настоящему изобретению можно вводить в форме любой подходящей фармацевтической композиции.

Термин «фармацевтическая композиция» относится к композиции, включающей терапевтически эффективный агент, предпочтительно, вместе с фармацевтически приемлемыми носителями, разбавителями и/или эксципиентами. Указанная фармацевтическая композиция полезна для лечения, предотвращения или уменьшения тяжести заболевания или нарушения путем введения ее субъекту. Термин «фармацевтическая композиция» в данной области техники также может относиться к фармацевтическому препарату (составу). В контексте настоящего изобретения фармацевтическая композиция содержит РНК, раскрытую в настоящем описании, например, в виде РНК-липоплексных частиц.

Фармацевтические композиции по настоящему изобретению, предпочтительно, включают один или несколько адъювантов. Можно использовать один или несколько адъювантов. Термин «адъювант» относится к соединению, которое продлевает, усиливает или ускоряет иммунный ответ. Адъюванты составляют гетерогенную группу соединений, таких как масляные эмульсии (например, адъюванты Фрейнда), минеральные соединения (такие, как квасцы), бактериальные продукты (такие, как токсин Bordetella pertussis) или иммуностимулирующие комплексы. Примеры адъювантов включают, без ограничения указанными, LPS, GP96, CpG-олигодезоксинуклеотиды, факторы роста и цитокины, такие, как монокины, лимфокины, интерлейкины, хемокины. Хемокины могут представлять собой IL-1, IL-2, IL-3, IL-4, IL-5, IL-6, IL-7, IL-8, IL-9, IL-10, IL-12, INFa, INF-γ, GM-CSF, LT-a. Другие известные адъюванты - это гидроксид алюминия, адъювант Фрейнда или масло, такое, как Montanide® ISA51. Другие подходящие адъюванты для применения в настоящем изобретении включают липопептиды, такие, как Pam3Cys.

Фармацевтические композиции в соответствии с настоящим изобретением обычно применяют в «фармацевтически эффективном количестве» и в «фармацевтически приемлемом составе».

Термин «фармацевтически приемлемый» относится к нетоксичности материала, который не оказывает влияния на действие активного компонента фармацевтической композиции.

Термин «фармацевтически эффективное количество» относится к количеству, которое обеспечивает желаемую реакцию или желаемый эффект отдельно или вместе с дополнительными дозами. В случае лечения конкретного заболевания желаемая реакция предпочтительно связана с торможением течения заболевания. Это включает замедление развития болезни и, в особенности, прерывание или обращение вспять развития болезни. Желаемой реакцией при лечении заболевания также может быть отсрочка наступления или предотвращение наступления указанного заболевания или указанного состояния. Эффективное количество композиций, раскрытых в настоящей заявке, будет зависеть от состояния, которое подлежит лечению, тяжести заболевания, индивидуальных параметров пациента, включая возраст, физиологическое состояние, размер и вес, продолжительности лечения, типа сопутствующей терапии (если она присутствует), конкретного способа введения и подобных факторов. Соответственно, вводимые дозы композиций, раскрытых в настоящей заявке, могут зависеть от множества указанных параметров. В случае если реакция пациента на начальную дозу недостаточна, можно применять более высокие дозы (или эффективно более высокие дозы, достигаемые другим, более локализованным путем введения).

В некоторых воплощениях изобретения эффективное количество включает количество, достаточное для того, чтобы вызвать уменьшение опухоли/поражения. В некоторых воплощениях изобретения эффективное количество представляет собой количество, достаточное для уменьшения скорости роста опухоли (например, для подавления роста опухоли). В некоторых воплощениях изобретения эффективное количество представляет собой количество, достаточное для задержки развития опухоли. В некоторых воплощениях изобретения эффективное количество представляет собой количество, достаточное для предотвращения или задержки рецидива опухоли. В некоторых воплощениях изобретения эффективное количество представляет собой количество, достаточное для усиления иммунного ответа субъекта на опухоль, так что рост опухоли, и/или размер, и/или метастазирование редуцируются, уменьшаются, замедляются и/или предотвращаются. Эффективное количество можно обеспечить за одно или несколько введений. В некоторых воплощениях введение эффективного количества (например, композиции, содержащей мРНК) способно: (i) уменьшить количество раковых клеток; (ii) уменьшить размер опухоли; (iii) подавить, замедлить, до некоторой степени замедлить и, возможно, остановить инфильтрацию раковых клеток в периферические органы; (iv) ингибировать (например, до некоторой степени замедлять и/или блокировать или предотвращать) метастазирование; (v) подавить рост опухоли; (vi) предотвратить или отсрочить возникновение и/или рецидив опухоли; и/или (vii) облегчить до некоторой степени один или несколько симптомов, связанных с раком.

Фармацевтические композиции по настоящему изобретению могут содержать соли, буферы, консерванты и, необязательно, другие терапевтические агенты. В одном из воплощений изобретения фармацевтические композиции включают один или несколько фармацевтически приемлемых носителей, разбавителей и/или эксципиентов.

Подходящие консерванты для применения в фармацевтических композициях по настоящему изобретению включают, без ограничения указанными, хлорид бензалкония, хлорбутанол, парабен и тимеросал.

Термин «эксципиент», как он используется в настоящем описании, относится к веществу, которое может присутствовать в фармацевтической композиции по настоящему изобретению, но не является активным ингредиентом. Примеры эксципиентов включают, без ограничения указанными, носители, связующие, разбавители, лубриканты, загустители, поверхностно-активные соединения, консерванты, стабилизаторы, эмульгаторы, буферы, ароматизаторы или красители.

Термин «разбавитель» относится к разбавителю и/или разжижающему агенту. Кроме того, термин «разбавитель» включает любую одну или несколько жидкостей, жидких или твердых суспензий и/или смешанных сред. Примеры подходящих разбавителей включают этанол, глицерол и воду.

Термин «носитель» относится к компоненту, который может быть натуральным, синтетическим, органическим, неорганическим, с которым активный компонент объединен для облегчения, усиления или обеспечения возможности введения фармацевтической композиции. Носитель, согласно настоящему описанию, может быть одним или несколькими совместимыми твердыми или жидкими наполнителями, разбавителями или инкапсулирующими веществами, которые подходят для введения субъекту. Подходящий носитель включает, без ограничения указанными, стерильную воду, раствор Рингера, лактат Рингера, стерильный раствор хлорида натрия, изотонический солевой раствор, полиалкиленгликоли, гидрированные нафталины и, в особенности, биосовместимые лактидные полимеры, сополимеры лактида/гликолида или сополимеры полиоксиэтилена/полиоксипропилена. В одном из воплощений изобретения фармацевтическая композиция по настоящему изобретению включает изотонический физиологический раствор.

Фармацевтически приемлемые носители, эксципиенты или разбавители для терапевтического применения хорошо известны в фармацевтике и описаны, например, в руководстве Remington's Pharmaceutical Sciences, Mack Publishing Co. (A.R. Gennaro edit. 1985).

Фармацевтические носители, эксципиенты или разбавители могут быть выбраны с учетом предполагаемого пути введения и стандартной фармацевтической практики.

Способы введения фармацевтических композиций по изобретению

В одном из воплощений изобретения фармацевтические композиции, раскрытые в настоящем описании, могут быть введены внутривенно, внутриартериально, подкожно, внутрикожно, внутриузлово или внутримышечно. В определенных воплощениях изобретения фармацевтическая композиция находится в форме для местного или системного введения. Системное введение может включать энтеральное введение, которое подразумевает всасывание через желудочно-кишечный тракт или парентеральное введение. Как используется в настоящем описании, термин «парентеральное введение» относится к введению любым способом, кроме через желудочно-кишечный тракт, например, путем внутривенной инъекции. В предпочтительном воплощении изобретения фармацевтическая композиция предназначена для системного введения. В другом предпочтительном воплощении изобретения системное введение осуществляют путем внутривенного введения.

Применение фармацевтических композиций по изобретению

РНК, раскрытую в настоящей заявке, например, в виде РНК-липоплексных частиц, можно применять в терапевтическом или профилактическом лечении заболеваний, при которых обеспечение субъекта аминокислотными последовательностями, кодируемыми РНК, приводит к терапевтическому или профилактическому эффекту.

Термин «заболевание» относится к аномальному состоянию, которое поражает организм человека. Заболевание часто трактуют как расстройство организма, связанное с определенными симптомами и признаками. Заболевание может быть вызвано факторами из внешнего источника, например, инфекционное заболевание, или оно может быть вызвано внутренними дисфункциями, например, аутоиммунное заболевание. У людей термин «заболевание» часто применяют в более широком смысле для обозначения любого состояния, которое вызывает боль, дисфункцию, дистресс, социальные проблемы или смерть индивидуума, страдающего заболеванием, или аналогичные проблемы для тех, кто находится в контакте с индивидуумом. В этом более широком смысле он иногда включает травмы, инвалидность, расстройства, синдромы, инфекции, изолированные симптомы, девиантное поведение и атипичные вариации структуры и функции, в то время как в других контекстах и для других целей их можно рассматривать как отдельные категории. Заболевания обычно поражают людей не только физически, но и эмоционально, поскольку возникновение многих заболеваний и существование с ними могут изменить взгляд на жизнь и личность человека.

В контексте настоящего изобретения термин «лечение», «лечить» или «терапевтическое вмешательство» относится к наблюдению за субъектом и уходу за ним с целью борьбы с таким состоянием, как заболевание или расстройство. Термин предназначен для обозначения полного спектра лечебных процедур в отношении конкретного состояния, от которого страдает субъект, таких, как введение терапевтически эффективного соединения для облегчения или ослабления симптомов или осложнений, замедления прогрессирования заболевания, расстройства или состояния и/или излечения или устранения заболевания, расстройства или состояния, а также предотвращения состояния, при этом предотвращение следует понимать как наблюдение и уход за человеком с целью борьбы с заболеванием, состоянием или расстройством, и оно включает введение активных соединений для предотвращения появления симптомов или осложнений.

Термин «терапевтическое лечение» относится к любому лечению, которое улучшает состояние здоровья и/или продлевает (увеличивает) продолжительность жизни индивидуума. Указанное лечение может устранить заболевание у индивидуума, остановить или замедлить развитие заболевания у индивидуума, подавить или замедлить развитие заболевания у индивидуума, уменьшить частоту или тяжесть симптомов у индивидуума и/или уменьшить рецидивы у индивидуума, который в настоящее время болеет или ранее имел заболевание.

Термины «профилактическое лечение» или «профилактика» относятся к любому лечению, которое предназначено для предотвращения возникновения заболевания у индивидуума. Термины «профилактическое лечение» или «профилактика» применяются в настоящем описании взаимозаменяемо.

Термины «индивидуум» и «субъект» применяются в настоящем описании как эквивалентные. Они относятся к человеку или к другим млекопитающим (например, таким, как мышь, крыса, кролик, собака, кошка, крупный рогатый скот, свинья, овца, лошадь или примат), которые могут быть поражены заболеванием или быть подвержены заболеванию или расстройству (например, раку), но могут иметь или могут не иметь заболевания или расстройства. Во многих воплощениях изобретения индивидуум представляет собой человека. Если не указано иное, термины «индивидуум» и «субъект» не обозначают конкретный возраст и, таким образом, охватывают взрослых людей, пожилых людей, детей и новорожденных. В воплощениях настоящего изобретения «индивидуум» или «субъект» представляют собой «пациента».

Термин «пациент» означает индивидуума или субъекта, подлежащего лечению, в особенности, страдающего от заболевания индивидуума или субъекта.

Задачей одного из воплощений настоящего изобретения является обеспечение иммунного ответа против раковых клеток, экспрессирующих один или несколько опухолевых антигенов, и лечение ракового заболевания, вовлекающего клетки, экспрессирующие один или несколько опухолевых антигенов. В одном из воплощений изобретения рак представляет собой рак яичника. В другом воплощении изобретения опухолевые антигены представляют собой CLDN6, p53 и/или PRAME.

Фармацевтическая композиция, содержащая РНК, может быть введена субъекту для того, чтобы вызвать иммунный ответ у субъекта против одного или нескольких антигенов, или одного или нескольких эпитопов, кодируемых РНК, которые могут быть терапевтическими или частично, или полностью протективными. Специалист в данной области техники знает, что один из принципов иммунотерапии и вакцинации основан на том факте, что иммунопротекторная реакция на заболевание вызывается иммунизацией субъекта антигеном или эпитопом, который иммунологически релевантен в отношении заболевания, подлежащего лечению. Соответственно, фармацевтические композиции, описанные в настоящей заявке, применимы для индукции или усиления иммунного ответа. Фармацевтические композиции, раскрытые в описании, таким образом, полезны для профилактического и/или терапевтического лечения заболевания, связанного с антигеном или эпитопом, в особенности, рака яичников.

Как используется в настоящем описании, термин «иммунный ответ» относится к интегрированному ответу организма на антиген или клетку, экспрессирующую антиген, в том числе, к клеточному иммунному ответу и/или гуморальному иммунному ответу. Клеточный иммунный ответ включает, без ограничения указанным, клеточный ответ, направленный на клетки, экспрессирующие антиген и характеризующийся презентацией антигена молекулами MHC класса I или класса II. Клеточный ответ относится к Т-лимфоцитам, которые можно классифицировать как Т-хелперы (также называемые Т-лимфоцитами CD4+), которые играют центральную роль, регулируя иммунный ответ, или к клеткам-киллерам (также называемым цитотоксическими Т-клетками, CD8+ Т-клетками или CTL), которые вызывают апоптоз в инфицированных клетках или раковых клетках. В одном из воплощений изобретения введение фармацевтической композиции по настоящему изобретению включает стимуляцию противоопухолевого CD8+ Т-клеточного ответа против раковых клеток, экспрессирующих один или несколько опухолевых антигенов. В конкретном воплощении опухолевые антигены презентируются молекулами MHC класса I.

Настоящее изобретение предполагает иммунный ответ, который может быть защитным, предупредительным, профилактическим и/или терапевтическим. Как используется в настоящем описании, термин «индуцирует [или индуцирующий] иммунный ответ» может указывать на отсутствие иммунного ответа против конкретного антигена до индукции или может указывать на то, что до индукции имелся базовый уровень иммунного ответа против конкретного антигена, который усиливается после индукции. Следовательно, термин «индуцирует [или индуцирующий] иммунный ответ» охватывает понятие «усиливает [или усиливающий] иммунный ответ».

Термин «иммунотерапия» относится к лечению заболевания или состояния путем индукции или усиления иммунного ответа. Термин «иммунотерапия» включает иммунизацию антигеном или вакцинацию антигеном.

Термины «иммунизация» или «вакцинация» описывают процесс введения антигена субъекту с целью индукции иммунного ответа, например, в терапевтических или профилактических целях.

Настоящее изобретение предусматривает воплощения, согласно которым субъекту вводят РНК-липоплексные частицы, раскрытые в описании, нацеленные на ткань селезенки. Как указывается в настоящей заявке, например, РНК кодирует пептид или белок, содержащий антиген или эпитоп. РНК захватывается антигенпрезентирующими клетками селезенки, такими, как дендритные клетки, для экспрессии пептида или белка. После необязательного процессинга и презентации антигенпрезентирующими клетками может быть сформирован иммунный ответ против антигена или эпитопа, обеспечивающий профилактическое и/или терапевтическое лечение ассоциированного с антигеном или эпитопом заболевания. В одном из воплощений изобретения иммунный ответ, индуцированный РНК-липоплексными частицами, раскрытыми в настоящей заявке, включает презентацию антигена или его фрагмента, такого, как эпитоп, антигенпрезентирующими клетками, такими, как дендритные клетки и/или макрофаги, и активацию цитотоксических Т-клеток вследствие этой презентации. Например, пептиды или белки, кодируемые РНК или продуктами их процессинга, могут быть представлены белками главного комплекса гистосовместимости (MHC), экспрессируемыми на антигенпрезентирующих клетках. Пептидный комплекс MHC затем может распознаваться иммунными клетками, такими, как Т-клетки или В-клетки, что приводит к их активации.

Таким образом, в одном из воплощений изобретения РНК в составе РНК-липоплексных частиц, раскрытых в настоящем описании, после введения доставляется в селезенку и/или экспрессируется в селезенке. В одном из воплощений изобретения РНК-липоплексные частицы доставляются в селезенку для активации антигенпрезентирующих клеток селезенки. Таким образом, в одном из воплощений изобретения после введения РНК-липоплексных частиц происходит доставка РНК и/или экспрессия РНК в антигенпрезентирующих клетках. Антигенпрезентирующие клетки могут представлять собой профессиональные антигенпрезентирующие клетки или непрофессиональные антигенпрезентирующие клетки. Профессиональные антигенпрезентирующие клетки могут быть дендритными клетками и/или макрофагами, даже более предпочтительно, дендритными клетками селезенки и/или макрофагами селезенки.

Соответственно, настоящее изобретение относится к РНК-липоплексным частицам или фармацевтической композиции, содержащей РНК-липоплексные частицы, как они раскрыты в настоящей заявке, для индукции или усиления иммунного ответа, предпочтительно, иммунного ответа против рака яичников.

В одном из воплощений изобретения системное введение РНК-липоплексных частиц или фармацевтической композиции, содержащей РНК-липоплексные частицы, как они раскрыты в настоящей заявке, приводит к нацеливанию и/или накоплению РНК-липоплексных частиц или РНК в селезенке, а не в легких и/или печени. В одном из воплощений изобретения РНК-липоплексные частицы высвобождают РНК в селезенке и/или проникают в клетки селезенки. В другом воплощении изобретения системное введение РНК-липоплексных частиц или фармацевтической композиции, содержащей РНК-липоплексные частицы, которые, как раскрыто в описании, доставляют РНК к антигенпрезентирующим клеткам в селезенке. В конкретном воплощении изобретения антигенпрезентирующие клетки в селезенке представляют собой дендритные клетки или макрофаги.

Термин «макрофаг» относится к подгруппе фагоцитарных клеток, образующихся в результате дифференцировки моноцитов. Макрофаги, которые активируются воспалением, иммунными цитокинами или микробными продуктами, неспецифически поглощают и убивают чужеродные патогены внутри макрофага за счет гидролитической и окислительной атаки, что приводит к деградации патогена. Пептиды из деградированных белков экспонируются на поверхности макрофагальных клеток, где они могут распознаваться Т-клетками и напрямую взаимодействовать с антителами на поверхности В-клеток, что приводит к активации Т- и В-клеток и дальнейшей стимуляции иммунного ответа. Макрофаги относятся к классу антигенпрезентирующих клеток. В одном из воплощений изобретения макрофаги представляют собой макрофагов селезенки.

Термин «дендритная клетка» (DC) относится к другому подтипу фагоцитарных клеток, принадлежащих к классу антигенпрезентирующих клеток. В одном из воплощений изобретения дендритные клетки происходят из кроветворных клеток-предшественников костного мозга. Эти клетки-предшественники первоначально трансформируются в незрелые дендритные клетки. Такие незрелые клетки характеризуются высокой фагоцитарной активностью и низким потенциалом активации Т-клеток. Незрелые дендритные клетки постоянно проверяют окружающую среду на наличие патогенов, таких, как вирусы и бактерии. Как только они вступают в контакт с презентируемым антигеном, они активируются в зрелые дендритные клетки и начинают мигрировать в селезенку или лимфатический узел. Незрелые дендритные клетки фагоцитируют патогены и расщепляют их белки на мелкие кусочки, и после созревания презентируют эти фрагменты на своей клеточной поверхности с помощью молекул MHC. Одновременно они активируют рецепторы на поверхности клетки, которые действуют как корецепторы при активации Т-клеток, такие, как CD80, CD86 и CD40, значительно повышая их способность активировать Т-клетки. Они также активируют CCR7, хемотаксический рецептор, который заставляет дендритную клетку перемещаться через кровоток в селезенку или через лимфатическую систему в лимфатический узел. Как раскрыто в настоящем описании, они действуют как антигенпрезентирующие клетки и активируют Т-хелперы и Т-клетки-киллеры, а также В-клетки, презентируя им антигены наряду с неантигенспецифическими костимулирующими сигналами. Таким образом, дендритные клетки могут активно индуцировать иммунный ответ, связанный с Т-клетками или В-клетками. В одном из воплощений изобретения дендритные клетки представляют собой дендритные клетки селезенки.

Термин «антигенпрезентирующая клетка» (APC) означает клетку, принадлежащую к многочисленным клеткам, способным экспонировать, захватывать и/или презентировать, по меньшей мере, один антиген или антигенный фрагмент на своей клеточной поверхности. Антигенпрезентирующие клетки можно подразделить на профессиональные антигенпрезентирующие клетки и непрофессиональные антигенпрезентирующие клетки.

Термин «профессиональные антигенпрезентирующие клетки» относится к антигенпрезентирующим клеткам, которые конститутивно экспрессируют молекулы главного комплекса гистосовместимости класса II (МНС класса II), необходимые для взаимодействия с наивными Т-клетками. Если Т-клетка взаимодействует с комплексом молекул МНС класса II на мембране антигенпрезентирующей клетки, антигенпрезентирующая клетка продуцирует костимуляторную молекулу, индуцирующую активацию Т-клетки. Профессиональные антигенпрезентирующие клетки включают дендритные клетки и макрофаги.

Термин «непрофессиональные антигенпрезентирующие клетки» относится к антигенпрезентирующим клеткам, которые не экспрессируют молекулы MHC класса II конститутивно, а экспрессируют их только при стимуляции определенными цитокинами, такими, как интерферон-гамма. Примеры непрофессиональных антигенпрезентирующих клеток включают фибробласты, эпителиальные клетки тимуса, эпителиальные клетки щитовидной железы, глиальные клетки, бета-клетки поджелудочной железы и эндотелиальные клетки сосудов.

Термин «процессинг антигена» относится к расщеплению антигена на продукты процессинга, которые представляют собой фрагменты указанного антигена (например, расщепление белка на пептиды), и объединению одного или нескольких из этих фрагментов (например, посредством связывания) с молекулами MHC для презентации их клетками, такими, как антигенпрезентирующие клетки, специфическим Т-клеткам.

Термин «заболевание, вовлекающее антиген» или «заболевание, вовлекающее эпитоп», относится к любому заболеванию, которое связано с антигеном или эпитопом, например, заболеванию, которое характеризуется присутствием антигена или эпитопа. Заболевание, связанное с антигеном или эпитопом, может представлять собой раковое заболевание или просто рак. Как упомянуто выше, антиген может быть ассоциированным с заболеванием антигеном, таким, как ассоциированный с опухолью антиген, и эпитоп может происходить от такого антигена.

Термины «злокачественное заболевание» или «рак» относятся или описывают физиологическое состояние индивидуума, которое обычно характеризуется нерегулируемым ростом клеток. Примеры рака включают, но не ограничиваются указанными, карциному, лимфому, бластому, саркому и лейкоз. Более конкретно, примеры таких видов рака включают рак костей, рак крови, рак легких, рак печени, рак поджелудочной железы, рак кожи, рак головы или шеи, кожную и внутриглазную меланому, рак матки, рак яичников, рак прямой кишки, рак анальная область, рак желудка, рак толстой кишки, рак молочной железы, рак простаты, рак матки, рак половых и репродуктивных органов, болезнь Ходжкина, рак пищевода, рак тонкой кишки, рак эндокринной системы, рак щитовидной железы, рак паращитовидной железы, рак надпочечников, саркома мягких тканей, рак мочевого пузыря, рак почки, почечно-клеточную карциному, карциному почечной лоханки, новообразования центральной нервной системы (ЦНС), нейроэктодермальный рак, опухоли оси позвоночника, глиому, менингиому и аденому гипофиза. Одна конкретная форма рака, которую можно лечить с помощью композиции и способов, описанных в настоящей заявке, представляет собой рак яичников. Термин «рак», согласно изобретению, также включает метастазы рака.

Комбинированные стратегии лечения рака могут быть желательными из-за результирующего синергетического эффекта, который может быть значительно сильнее, чем действие монотерапии. В одном из воплощений изобретения фармацевтическую композицию вводят вместе с иммунотерапевтическим агентом. Как используется в настоящем описании, термин «иммунотерапевтическое средство» относится к любому средству, которое может быть вовлечено в активацию специфического иммунного ответа и/или иммунной эффекторной функции (иммунных эффекторных функций). Настоящее изобретение предполагает применение антитела в качестве иммунотерапевтического средства. Без связи с какой-либо теорией, антитела способны проявлять терапевтическое действие против раковых клеток с помощью различных механизмов, включая индукцию апоптоза, блокировку компонентов путей передачи сигнала и ингибирование пролиферации опухолевых клеток. В определенных воплощениях изобретения антитело представляет собой моноклональное антитело. Моноклональные антитела могут вызывать гибель клеток посредством антителозависимой клеточноопосредованной цитотоксичности (ADCC) и связывать белки комплемента, что приводит к прямой клеточной токсичности, известной как комплементзависимая цитотоксичность (CDC). Неограничивающие примеры противораковых антител и потенциальных мишеней антител (в скобках), которые можно применять в комбинации с настоящим изобретением, включают: абаговомаб (CA-125), абциксимаб (CD41), адекатумумаб (EpCAM), афутузумаб (CD20), алацизумаб пегол (VEGFR2), альтумомаб пентетат (CEA), аматуксимаб (MORAb-009), анатумомаб мафенатокс (TAG-72), аполизумаб (HLA-DR), аркитумомаб (CEA), атезолизумаб (PD-L1), бавитуксимаб (фосфатидилсерин), бектумомаб (CD22), белимумаб (BAFF), бевацизумаб (VEGF-A), биватузумаб мертанзин (CD44 v6), блинатумомаб (CD 19), брентуксимаб ведотин (CD30 TNFRSF8), кантузумаб мертанзин (муцин CanAg), кантузумаб равтансин (MUC1), капромаб пендетид (клетки карциномы предстательной железы), карлумаб (CNT0888), катумаксомаб (EpCAM, CD3), цетуксимаб (EGFR), цитатузумаб богатокс (EpCAM), циксутумумаб (рецептор IGF-1), клаудиксимаб (клаудин), кливатузумаб тетраксетан (MUC1), конатумумаб (TRAIL-R2), дацетузумаб (CD40), далотузумаб (рецептор инсулиноподобного фактора роста I), деносумаб (RANKL), детумомаб (клетка В-лимфомы), дрозитумаб (DR5), экромексимаб (ганглиозид GD3), эдреколомаб (EpCAM), элотузумаб (SLAMF7), энаватузумаб (PDL192), энситуксимаб (NPC-1C), эпратузумаб (CD22), эртумаксомаб (HER2/neu, CD3), этарацизумаб (интегрин ανβ3), фарлетузумаб (рецептор фолата 1), FBTA05 (CD20), фиклатузумаб (SCH 900105), фигитумумаб (рецептор IGF-1), фланвотумаб (гликопротеин 75), фрезолимумаб (TGF-β), галиксимаб (CD80), ганитумаб (IGF-I), гемтузумаб озогамицин (CD33), гевокизумаб (IL-ββ), гирентуксимаб (карбоангидраза 9 (CA-IX)), глембатумумаб ведотин (GPNMB), ибритумомаб тиуксетан (CD20), икрукумаб (VEGFR-1), иговома (CA-125), индатуксимаб равтансин (SDC1), интетумумаб (CD51), инотузумаб озогамицин (CD22), ипилимумаб (CD 152), иратумумаб (CD30), лабетузумаб (CEA), лексатумумаб (TRAIL-R2), либивирумаб (поверхностный антиген гепатита B), линтузумаб (CD33), лорвотузумаб мертансин (CD56), лукатумумаб (CD40), лумиликсимаб (CD23), мапатумумаб (TRAIL-R1), матузумаб (EGFR), меполизумаб (IL-5), милатузумаб (CD74), могамулизумаб (CCR4), моксетумомаб пасудотокс (CD22), наколомаб тафенатокс (антиген C242), наптумомаб эстафенатокс (5T4), наматумаб (RON), нецитумумаб (EGFR), нимотузумаб (EGFR), ниволумаб (IgG4), офатумумаб (CD20), оларатумаб (PDGF-R a), онартузумаб (киназа рецептора человеческого фактора рассеяния), опортузумаб монатокс (EpCAM), ореговомаб (CA-125), окселумаб (OX-40), панитумумаб (EGFR), патритумаб (HER3), пемтумома (MUC1), пертузума (HER2/neu), пинтумомаб (антиген аденокарциномы), притумумаб (виментин), ракотумомаб (N-гликолилнейраминовая кислота), радретумаб (дополнительный домен фибронектина-B), рафивирумаб (гликопротеин вируса бешенства), рамуцирумаб (VEGFR2), рилотумумаб (HGF), ритуксимаб (CD20), робатумумаб (рецептор IGF-1), самализумаб (CD200), сибротузумаб (FAP), силтуксимаб (IL-6), табалумаб (BAFF), такатузумаб тетраксетан (альфа-фетопротеин), таплитумомаб паптокс (CD 19), тенатумомаб (тенасцин C), тепротумумаб (CD221), тицилимумаб (CTLA-4), тигатузумаб (TRAIL-R2), TNX-650 (IL-13), тозитумомаб (CD20), трастузумаб (HER2/neu), TRBS07 (GD2), тремелимумаб (CTLA-4), тукотузумаб, целмолейкин (EpCAM), ублитуксимаб (MS4A1), урелумаб (4-1 BB), волоциксимаб (интегрин α5β1), вотумумаб (опухолевый антиген CTAA 16.88), залутумумаб (EGFR) и занолимумаб (CD4).

В одном из воплощений изобретения иммунотерапевтический агент представляет собой антагонист связывания оси PD-1. Антагонист связывания оси PD-1 включает, но не ограничивается указанными, антагонист связывания PD-1, антагонист связывания PD-L1 и антагонист связывания PD-L2. Альтернативные названия для «PD-1» включают CD279 и SLEB2. Альтернативные названия для «PD-L1» включают B7-H1, B7-4, CD274 и B7-H. Альтернативные названия для «PD-L2» включают B7-DC, Btdc и CD273. В некоторых воплощениях изобретения антагонист связывания PD-1 представляет собой молекулу, которая ингибирует связывание PD-1 с его партнерами по связыванию лиганда. В конкретном аспекте PD-L1 и/или PD-L2 представляют собой партнеров по связыванию лиганда PD-1. В другом воплощении антагонист связывания PD-L1 представляет собой молекулу, которая ингибирует связывание PD-L1 с его партнерами по связыванию. В конкретном воплощении изобретения PD-1 и B7-1 представляют собой партнеров по связыванию PD-L1. В другом воплощении изобретения антагонист связывания PD-L2 представляет собой молекулу, которая ингибирует связывание PD-L2 с его партнерами по связыванию. В конкретном воплощении, партнером по связыванию для PD-L2 является PD-1. Антагонист связывания PD-1 может представлять собой антитело, его антигенсвязывающий фрагмент, иммуноадгезин, слитый белок или олигопептид. В некоторых воплощениях изобретения антагонист связывания PD-1 представляет собой антитело против PD-1 (например, человеческое антитело, гуманизированное антитело или химерное антитело). Примеры антитела против PD-1 включают, без ограничения указанными, MDX-1106 (ниволумаб, OPDIVO), Merck 3475 (MK-3475, пембролизумаб, KEYTRUDA), MEDI-0680 (AMP-514), PDR001, REGN2810, BGB- 108 и BGB-A317.

В одном из воплощений изобретения антагонист связывания PD-1 представляет собой иммуноадгезин, который содержит внеклеточную или связывающую PD-1 часть PD-L1 или PD-L2, слитую с константной областью. В особенности, антагонист связывания PD-1 представляет собой AMP-224 (также известный как B7-DCIg и PD-L2-Fc), который является слитым растворимым рецептором, описанным в заявках WO2010/027827 и WO201 1/066342.

В одном из воплощений изобретения антагонист связывания PD-1 представляет собой антитело против PD-L1, включая, без ограничения указанными, YW243.55.S70, MPDL3280A (атезолизумаб), MEDI4736 (дурвалумаб), MDX-1105 и MSB0010718C (авелумаб).

В одном из воплощений изобретения иммунотерапевтический агент представляет собой антагонист связывания PD-1. В другом воплощении антагонист связывания PD-1 представляет собой антитело против PD-L1. В антипролиферативных средствах антитело против PD-L1 представляет собой атезолизумаб.

Цитирование документов и исследований, приведенных в настоящем описании, не означает признание того, что любое из вышеизложенного относится предшествующему уровню техники. Все утверждения относительно содержания этих документов основаны на информации, доступной заявителям, и не являются признанием правильности содержания этих документов.

Следующее описание представлено для того, чтобы дать возможность специалисту в данной области техники создавать и применять различные воплощения изобретения. Описание конкретных устройств, способов и методик приводится только в качестве примеров. Различные модификации примеров, описанных в настоящей заявке, будут понятны специалистам в данной области техники, и общие принципы, определенные в настоящем описании, могут быть применены к другим примерам и приложениям, не выходя за рамки сущности и объема различных воплощений изобретения. Таким образом, различные воплощения изобретения не ограничиваются примерами, раскрытыми в настоящем описании, но должны соответствовать объему формулы изобретения.

Примеры

Пример 1. Внутривенная вакцина для лечения рака яичников

Вакцина, описанная в настоящей заявке, состоит из РНК, которая отдельно образует комплекс с липосомами для создания стабильных в сыворотке крови РНК-липоплексов (РНК(LIP)) для внутривенного (i.v.) введения. РНК, нацеленную на ассоциированный с опухолью антиген (ТАА), можно применять вместе с РНК, кодирующей вспомогательный эпитоп, для усиления результирующего иммунного ответа. РНК(LIP) нацелена на антигенпрезентирующие клетки (APC) в лимфоидных органах, что приводит к эффективной стимуляции иммунной системы.

Вакцина для лечения рака яичников состоит из трех различных противораковых РНК-вакцин: RBL005.2, RBL008.1 и RBL012.1. Каждая противораковая РНК-вакцина состоит из одной лекарственной субстанции РНК, которая кодирует антиген клаудин 6 (CLDN6), универсальный ассоциированный с опухолью антиген p53 и преимущественно экспрессируемый антиген меланомы (PRAME), соответственно.

Мишени были включены в исследования (WH_ova1) на основании следующих критериев.

• Низкая или отсутствующая экспрессия в органах, имеющих значение для токсичности, по оценке количественной RT-PCR в реальном времени (RT-QPCR) (фиг. 29).

• Экспрессия в значительной части опухолей, оцененная с помощью количественной RT-PCR в реальном времени (RT-QPCR) (фиг. 29).

• Способность вызывать антигенспецифические иммунные ответы, что подтверждается опубликованными литературными данными и/или оценивается путем стимуляции in vitro человеческих Т-клеток, имеющих антигенспецифические TCRs, и/или примирования in vivo HLA-трансгенных мышей.

Кроме того, было показано, что р53, ген-супрессор опухолей, о котором хорошо известно, что он мутирует или сверхэкспрессируется более чем в 50% всех видов рака, может использоваться в качестве универсального ассоциированного с опухолью антигена для опухоли яичника в качестве антигена-мишени.

Следовательно, все лекарственные РНК-препараты WH_ova1 могут приносить пациентам иммунноопосредованную избирательную пользу в отношении опухолей, обладая при этом лишь низким риском побочных реакций.

Каждую РНК вводят совместно с дополнительной РНК (RBLTet.1), кодирующей хелперные детерминанты р2 и р16 (P2P16), происходящие из столбнячного анатоксина (ТТ), для усиления результирующего иммунного ответа.

РНК-липоплексы (РНК(LIP)) могут быть приготовлены перед введением в соответствии с установленным протоколом. Лекарственные РНК-препараты могут находиться в трех флаконах. Для каждого из трех лекарственных РНК-препаратов может быть дополнительно обеспечен один флакон RBLTet.1. Также могут быть обеспечены стерильный изотонический раствор NaCl (например, 40 мл, 0,9%) в качестве основного разбавителя и липосомы в качестве эксципиента. Специальные материалы, такие, как шприцы и канюли для приготовления РНК(LIP), а также дополнительный изотонический физиологический раствор для дальнейшего разбавления РНК(LIP)-продуктов, могут являться стандартными клиническими товарами.

Лекарственное средство

RBL005.2, бета-S-ARCA(D1)-hAg-Козак-CLDN6-2hBgUTR-A30L70

Кодируемый антиген: человеческий клаудин 6 (идентификационный номер гена (Gene ID) (HG19): uc002csu.4)

RBL008.1, бета-S-ARCA(D1)-hAg-Козак-sec-GS-p53-GS-MITD-2hBgUTR-A30L70

Кодируемый антиген: человеческий p53 (Gene ID (HG18): uc002gij.2)

RBL012.1, бета-S-ARCA(D1)-hAg-Козак-sec-GS-PRAME-GS-MITD-2hBgUTR-A30L70

Кодируемый антиген: человеческий PRAME (Gene ID (HG19): uc002zwg.3)

RBLTet.1, бета-S-ARCA(D1)-hAg-Козак-sec-GS-P2P16-GS-MITD-2hBgUTR-A30L70

Кодируемый антиген: столбнячный анатоксин p2 и p16 (UniProtKB/Swiss-Prot Identifier P04958)

Активное начало в каждом лекарственном средстве представляет собой одноцепочечную мРНК с 5'-кэпом, которая транслируется в соответствующий белок при попадании в антигенпрезентирующие клетки (APC). На фиг. 1 схематически представлена общая структура антиген-кодирующих РНК, которая определяется соответствующей нуклеотидной последовательностью линеаризованной плазмидной ДНК, применяемой в качестве матрицы для транскрипции РНК in vitro. В дополнение к последовательностям дикого типа и оптимизированным по кодонам последовательностям, кодирующим целевой белок, каждая РНК содержит общие структурные элементы, оптимизированные для максимальной эффективности РНК в отношении стабильности и эффективности трансляции (5'-кэп, 5'-UTR, 3'-UTR, поли(A)-хвост; смотри ниже). Кроме того, sec (секреторный сигнальный пептид) и MITD (домен переноса MHC класса I) слиты с антигенкодирующими областями таким образом, что соответствующие элементы транслируются как N- или C-концевой тег, соответственно. Было показано, что оба тега слияния улучшают процессинг и презентацию антигена. Для некоторых антигенов, как указано ниже, один или оба тега слияния не требуются и, таким образом, опускаются.

Кэп мРНК

Beta-S-ARCA(D1) (фиг. 2) применяют в качестве специфической кэпирующей структуры на 5'-конце РНК-лекарственных веществ.

Последовательность мРНК

Общие элементы последовательности мРНК, как показано на рисунке 1, приведены ниже.

CLDN6, p53, PRAME и P2P16. Оптимизированные по кодонам последовательности, кодирующие соответствующие целевые белки. Для P2P16 два эпитопа сливают с помощью короткого линкерного пептида, состоящего преимущественно из аминокислот глицина (G) и серина (S), которые обычно применяют для слитых белков.

hAg-Kozak. 5'-UTR последовательность мРНК альфаглобина человека с оптимизированной «последовательностью Козака» для повышения эффективности трансляции.

sec/MITD. Метки слитого белка, полученные из последовательности, кодирующей комплекс MHC класса I человека (HLA-B51, гаплотип A2, B27/B51, Cw2/Cw3), которые, как было показано, улучшают процессинг и презентацию антигена. Sec соответствует фрагменту длиной 78 п.н., кодирующему секреторный сигнальный пептид, который направляет транслокацию растущей полипептидной цепи в эндоплазматический ретикулум. MITD соответствует трансмембранному и цитоплазматическому домену молекулы MHC класса I, также называемому доменом доставки MHC класса I. Обратите внимание, что CLDN6 имеет собственный секреторный сигнальный пептид и трансмембранный домен. Соответственно, к этому антигену не добавляли теги слияния.

GS/Линкер. Последовательности, кодирующие короткие линкерные пептиды, состоящие преимущественно из аминокислот глицина (G) и серина (S), которые обычно применяют для слитых белков.

2hBgUTR. Две повторяющиеся 3'-UTR мРНК человеческого бетаглобина локализованы между кодирующей последовательностью и поли(A)-хвостом для обеспечения более высоких максимальных уровней белка и более длительного сохранения мРНК.

A30L70. поли(A)-хвост длиной 110 нуклеотидов, состоящий из участка в 30 остатков аденозина, за которым следуют 10-нуклеотидная линкерная последовательность и еще 70 остатков аденозина. Эта последовательность поли(A)-хвоста была разработана для повышения стабильности РНК и эффективности трансляции в дендритных клетках.

Полные нуклеотидные последовательности четырех РНК-лекарственных веществ RBL005.2, RBL008.1, RBL012.1 и RBLTet.1 приведены ниже.

Нуклеотидная последовательность RBL005.2.

Нуклеотидная последовательность показана с индивидуальными элементами, выделенными жирным шрифтом. Кроме того, последовательность транслируемого белка показана курсивом ниже кодирующей нуклеотидной последовательности (* = стоп-кодон).

Нуклеотидная последовательность RBL008.1.

Нуклеотидная последовательность показана с индивидуальными элементами, выделенными жирным шрифтом. Кроме того, последовательность транслируемого белка показана курсивом ниже кодирующей нуклеотидной последовательности (* = стоп-кодон).

Нуклеотидная последовательность RBL012.1.

Нуклеотидная последовательность показана с индивидуальными элементами, выделенными жирным шрифтом. Кроме того, последовательность транслированного белка показана курсивом ниже кодирующей нуклеотидной последовательности (* = стоп-кодон).

Нуклеотидная последовательность RBLTet.1.

Нуклеотидная последовательность показана с индивидуальными элементами, выделенными жирным шрифтом. Кроме того, последовательность транслируемого белка показана курсивом ниже кодирующей нуклеотидной последовательности (* = стоп-кодон).

Индивидуальные плазмидные ДНК для получения RBL005.2 (pST1-hAg-Kozak-CLDN6-2hBgUTR-A30L70), RBL008.1 (pST1-hAg-Kozak-sec-GS-P53-GS-MITD-2hBgUTR-A30L70), RBL012.1 (pST1-hAg-Kozak-sec-GS-PRAME-GS-MITD-2hBgUTR-A30L70) и RBLTet.1 (pST2-hAg-Kozak-sec-GS-P2P16-GS-MITD-2hBgUTR-A30L70) создавали с применением методики синтеза генов и технологии рекомбинантной ДНК. В дополнение к последовательности, кодирующей транскрибируемые области, плазмидные ДНК содержат промотор для РНК-полимеразы Т7, последовательность распознавания для эндонуклеазы класса II, применяемой для линеаризации, ген устойчивости к канамицину и точку начала репликации (ori).

Плазмидная ДНК pST1-hAg-Kozak-sec-GS-SIINFEKL-GS-MITD-2hBgUTR-A30L70 служила отправной точкой для конструирования ДНК-матриц для RBL008.1 и RBL012.1, а также плазмидной ДНК pST2-hAg-Kozak-sec-GS-SIINFEKL-GS-MITD-2hBgUTR-A30L70 для RBLTet.1, соответственно. Плазмидная ДНК pST1-hAg-Kozak-2hBgUTR-A30L70 служила отправной точкой для конструирования RBL005.2. К этому антигену не нужно было добавлять теги слияния, поскольку он имеет свой собственный секреторный сигнальный пептид и трансмембранный домен.

На фиг. 3-6 показаны векторные карты. Следует обратить внимание, что плазмидная ДНК, кодирующая RBLTet.1, содержит дополнительную последовательность из 800 пар оснований, вставленную между точкой начала репликации и промотором Т7. Эта модификация плазмидного остова основана на том наблюдении авторов, что для коротких мРНК (то есть мРНК с общей длиной менее 1200 нуклеотидов) кодирующая поли (A)-хвост область соответствующих плазмидных ДНК частично нестабильна при размножении в E. coli. Впоследствии расстояние между точкой начала репликации (или ближайшим элементом последовательности) и последовательностью поли (dA:dT) было идентифицировано как критический параметр для стабилизации последовательности ДНК, кодирующей поли (А)-хвост. Соответственно, между точкой начала репликации и промотором РНК-полимеразы T7 была вставлена последовательность из 800 пар оснований, что привело к получению плазмидной ДНК pST2 для конструирования плазмиды, кодирующей RBLTet.1, тем самым имитируя более длинную кодирующую последовательность РНК по отношению к расстоянию между вышележащим элементом последовательности и последовательностью поли (dA:dT).

Кольцевую плазмидную ДНК линеаризовали с помощью подходящего рестрикционного фермента для получения исходного материала для транскрипции РНК. В данном случае был выбран фермент Eam1104I (Thermo Fisher Scientific Baltics UAB, Вильнюс, Литва), потому что линеаризация с помощью такой эндонуклеазы рестрикции класса IIs обеспечивает транскрипцию молекул РНК, кодирующих «свободный» поли (A)-хвост, т.е. не имеющих дополнительных нуклеотидов на 3'-конце. Можно подтвердить, что это приводит к более высокой экспрессии белка.

Продукт РНК(LIP) может быть получен с помощью трехэтапной процедуры, включающей (i) добавление RBLTet.1 РНК, (ii) разбавление смеси РНК раствором NaCl и (iii) формирование РНК-липоплексов путем добавления липосом. В качестве липидов можно применять синтетический катионный липид DOTMA и встречающийся в природе фосфолипид DOPE.

Продукт для внутривенной инъекции представляет собой состав (препарат) с такими фармацевтическими и физиологическими характеристиками, которые позволяют избирательно нацеливать РНК на APC, в основном находящиеся в селезенке. РНК-липоплексы образуются сначала путем конденсации РНК с подходящей ионной средой и последующей инкубации с положительно заряженными липосомами.

Для конденсации РНК применяют различные одновалентные и двухвалентные ионы, пептиды и буферы в различных концентрациях. Одновалентные ионы, такие, как натрий и аммоний, были протестированы в концентрациях вплоть до 1,5 М. Двухвалентные ионы, в особенности, Ca2+, Mg2+, Zn2+ и Fe2+, были протестированы в концентрациях вплоть до 50 мМ. Кроме того, были протестированы различные коммерчески доступные буферные растворы.

Для формирования РНК(LIP) липосомы, содержащие катионный липид и различные колипиды, были тщательно протестированы. Были исследованы липосомы, которые различаются по заряду, фазовому состоянию, размеру, ламеллярности и функционализации поверхности. Учитывали только липидные компоненты, доступные в классе GMP, которые ранее были протестированы в клинических испытаниях или которые применяют для одобренных на рынке продуктов (фиг. 7).

Применяя описанные выше липосомные компоненты, собирали РНК-липоплексы с различными соотношениями катионный липид:РНК и различными соотношениями зарядов, где соотношение зарядов рассчитывали, исходя из количества положительных зарядов липидов и отрицательных зарядов нуклеотидов РНК, т.е. фосфатных групп РНК. В частности, расчет соотношения зарядов был выполнен следующим образом.

Предполагается, что РНК состоит из нуклеотидов со средней молярной массой 330 Да, каждый из которых несет фосфатную группу с одним отрицательным зарядом. Таким образом, на раствор РНК с концентрацией 1 мг/мл приходится приблизительно 3 мМ в отрицательных зарядах. С другой стороны, учитывается один положительный заряд на одновалентный катионный липид. Например, если катионный липид DOTMA имеет молярную массу 670 Да, то липосомам с концентрацией DOTMA 2 мг/мл приписывается концентрация положительных зарядов, равная 3 мМ. Поэтому в данном случае соотношение зарядов (+: -) было принято равным 1: 1. Концентрация незаряженных колипидов, которые в большинстве случаев присутствуют, не влияет на этот расчет.

Химические и физико-химические свойства липосом и РНК-липоплексов, сформированных на их основе (т.е. химический состав, размер частиц, дзета-потенциал), тщательно исследовали. Для регулярного контроля качества продукта химический состав определяли с помощью анализа HPLC, а размер частиц измеряли с помощью фотонной корреляционной спектроскопии (PCS). Дзета-потенциал также измеряли с помощью PCS. Кроме того, в ходе получения препаратов применяли электронную микроскопию, малоугловое рассеяние рентгеновских лучей (SAXS), калориметрию, фракционирование в полевом потоке, аналитическое ультрацентрифугирование и спектроскопические способы. С помощью этих процедур были идентифицированы оптимизированные составы для дальнейшей фармацевтической разработки.

Подходящие липосомные композиции были протестированы in vitro и in vivo. Чтобы оптимизировать нацеливание на APC, в основном находящиеся в селезенке, in vivo наблюдали экспрессию люциферазы как репортерного гена. Может быть показано, что коллоидностабильные липоплексные композиции в виде наночастиц с дискретными размерами частиц могут быть сформированы при подходящих соотношениях зарядов (избыток отрицательного или положительного заряда). Кроме того, in vivo было показано, что отрицательно заряженные препараты «люцифераза-РНК-липоплекс» проявляют высокую селективность в отношении селезенки, которая служит резервуаром для профессиональных APC. Путем изменения соотношения зарядов селективность экспрессии люциферазы в селезенке можно регулировать желаемым образом, как показано на фиг. 8, где отображается органная избирательность РНК-липоплексов из одних и тех же липосом с разными соотношениями катионных липидов и РНК при смешивании. Наблюдение, что отрицательно заряженные липоплексы нацелены на APC селезенки, может быть подтверждено для большого количества липидных композиций. Липосомы, состоящие из катионного липида DOTMA и вспомогательного фосфолипида DOPE, были идентифицированы как наиболее подходящие с точки зрения характеристик частиц для формирования подходящих липоплексов РНК для нацеливания на APC селезенки. Оптимизированную селективность и эффективность нацеливания на селезенку выявляли при небольшом избытке отрицательного заряда, образованного избытком РНК. РНК-липоплексы, которые были немного более положительно заряжены и демонстрировали сопоставимую эффективность, не подходили для разработки фармацевтического продукта, поскольку они были слишком нестабильны в коллоидах и в этих условиях существовал высокий риск агрегации и осаждения.

Кроме того, можно подтвердить, что для данной РНК биологическая активность препаратов возрастает с увеличением размера частиц РНК-липоплексов. Более конкретно, РНК-липоплексы, сформированные из более крупных липосом (например, примерно 400 нм), сами по себе были больше, чем те, которые были приготовлены с липосомами меньшего размера (например, примерно 200 нм), и проявляли более высокую биологическую активность (фиг. 9). Следовательно, для образования РНК(LIP) применяли липосомы размером более 200 нм.

На основе результатов, описанных выше, авторы разработали надежный и воспроизводимый протокол для получения РНК(LIP). При использовании указанных компонентов и конкретного протокола, РНК-липоплексы формируются путем самосборки с заданными физико-химическими характеристиками и биологической активностью. В качестве примера на фиг. 10 приведены размеры частиц РНК-липоплексов из различных независимых препаратов. Ограниченный разброс размеров полученных РНК-липоплексов демонстрирует надежность процедуры восстановления.

Чтобы определить пределы и надежность приготовления РНК(LIP), размеры частиц были измерены для различных соотношений зарядов от 1,0:2,0 до 1,9:2,0 (соотношения при смешивании катионного липида и нуклеотидами). На фиг. 11 приведены результаты измерения размеров РНК-липоплексов после смешивания липосом с РНК в различных соотношениях. Размер частиц измеряли в разные моменты времени после получения РНК(LIP). Для соотношений от 1,0:2,0 до 1,6:2,0 были получены частицы сравнимого размера, которые стабильны во времени. Для соотношений 1,7:2,0 и выше размер частиц РНК-липоплексов увеличивается как первоначально, так и с течением времени. Этот результат был наиболее выражен через 24 часа.

На основании этих данных соотношения зарядов от 1,0:2,0 до 1,6:2,0 были сочтены подходящими для получения приемлемых характеристик частиц в РНК-липоплексных продуктах. При более высоких соотношениях (1,7:2,0 и выше) размер частиц увеличивался, что потенциально могло привести к ухудшению качества продукта. При более низких соотношениях зарядов изменений в характеристиках частиц не наблюдалось, однако более низкие соотношения не рассматривали из-за потенциально более низкой активности в этом диапазоне (данные не показаны). Эксперимент был повторен для диапазона от 1,1:2,0 до 1,6:2,0, и в дополнение к измерениям размера (фиг. 12A) была исследована биологическая активность (фиг. 12B). В соответствии с предыдущими экспериментами размеры частиц были практически постоянными. То же самое справедливо и для биологической активности (экспрессия люциферазы). Подводя итог, можно сказать, что РНК-липоплексы со всеми протестированными соотношениями зарядов доставили РНК в APC без значительных изменений физико-химических свойств или биологических характеристик. Следовательно, считается, что диапазон от 1,1:2,0 до 1,6:2,0 приводит к получению РНК-липоплексов соответствующего качества.

Пример 2. Доклинические данные

В этом примере рассматриваются доклинические исследования, которые были проведены для выяснения механизма действия, фармакодинамики, противоопухолевой активности, фармакокинетики и потенциальной токсичности РНК(LIP) вакцины. Наиболее важные результаты представлены в таблице 1.

В первой части этого раздела дается краткий обзор научных основ и подготовительных работ для разработки платформы вакцины, включая обзор целевых характеристик WAREHOUSE_ova1 антигенов-мишеней и хелперных эпитопов p2 и p16, полученных из столбнячного анатоксина (раздел 1).

В следующем разделе описаны исследования первичной фармакодинамики РНК(LIP), включая (i) индукцию антигенспецифических Т-клеток in vitro и in vivo, (ii) временные иммуномодулирующие эффекты, вызванные вакцинацией РНК(LIP) BioNTech, и (iii) данные о стимуляции антигенспецифических Т-клеток и противоопухолевая активность вакцины РНК(LIP).

В исследованиях вторичной фармакодинамики представлены результаты тестирования индукции провоспалительных цитокинов, опосредованной РНК(LIP) (раздел 3). Не GLP-исследование фармакодинамики на яванских макаках было проведено для уточнения анализа кинетики цитокинов, а также гематологических изменений, которые наблюдались у мышей. В этом разделе также обобщены исследования in vitro, в которых анализируется секреция цитокинов клетками крови человека и яванского макака после инкубации с препаратами РНК(LIP).

Исследования фармакологической безопасности для респираторной и нервной систем кратко суммированы в разделе 4.

Краткие обзоры биораспределения и метаболизма in vivo приведены в разделе 5.

GLP-исследования токсичности многократных доз, включающие определение иммунотоксичности, представлены и обсуждаются в разделе 6.

Таблица 1. Краткое изложение основных фармакологических и токсикологических характеристик РНК(LIP) вакцин Категория Характеристики Класс лекарственного средства Комплекс липосом с мРНК, кодирующими специфические для рака яичника (ОС) антигены и эпитопы р2 и р16, которые происходят от столбнячного анатоксина.
Транскрипция in vitro полимеразой Т7 с применением ДНК-матриц.
Оценка партии с помощью трансляции in vitro (количественное определение действующего вещества).
Для внутривенного введения ОС пациентам во время неоадъювантной химиотерапии первичной опухоли с последующей интервальной операцией.
Ведущая структура Ведущие структуры РНК, нацеленные на антигены ОС, оптимизированы по кодонам и содержат стабилизирующие нетранслируемые последовательности и модифицированный аналог кэпа для повышения стабильности и способности к трансляции. Более того, все ведущие структуры состоят из полноразмерной мРНК, в большинстве случаев фланкированной 5'- и 3'-концами, кодирующими секреторные и трансмембранные домены, усиливающие процессинг белка. Способ действия Состав липоплекса защищает РНК от разложения, опосредованного РНКазой, делая возможным внутривенное введение.
Селективный захват РНК(LIP) через резидентные в селезенке профессиональные APC, доступные через внутривенный путь введения.
Трансляция кодирующей антигены РНК и процессинг антигенов в пептидные эпитопы.
Индукция антигенспецифических Т-лимфоцитов путем презентации пептидов, кодируемых РНК, профессиональными APC.
Активация и экспансия опухолеспецифических Т-клеток.
Транскрибированные in vitro РНК, кодирующие раковые мутации человека, обнаруженные у пациентов с меланомой, были успешно применены для размножения специфичных для мутации Т-клеток из крови соответствующих доноров.
TLR-опосредованные иммуномодулирующие эффекты мРНК, приводящие к клеточной активации и индукции провоспалительных цитокинов (например, IFN-α, IFN-γ, IP-10, TNF-α, IL-6, IL-10), усиливающие эффект вакцины.
Противоопухолевая активность на моделях опухолей животных Ликвидация in vivo клеток-мишеней с импульсным воздействием антигена.
Подавление скорости роста опухоли после подкожного заражения опухолью на моделях опухолей мышей.
Полная регрессия опухоли у части животных.
Увеличение средней продолжительности жизни животных-опухоленосителей.
Подходящие виды животных Считается, что мыши являются подходящим видом для определения биологических и иммунологических эффектов, возникающих в результате введения РНК, и нежелательных побочных реакций из-за ожидаемой иммуноактивации посредством TLR и последующей индукции провоспалительных цитокинов. Не существует подходящих видов животных, которые могли бы адекватно улавливать потенциально вредные эффекты, вызванные предположительно аутореактивными или перекрестно-реактивными ответами Т-клеток, индуцированными вакциной. Фармакокинетика Быстрая деградация и неустойчивость РНК в крови (период полураспада около 5 минут) и в органах в течение 48-ми часов. Временное присутствие РНК в селезенке и печени.
Плазмидная ДНК не накапливается и не сохраняется в гонадах.
Временное накопление DOTMA в селезенке и печени после повторного введения РНК(LIP). ДОТМА выводится из органов с примерным периодом полувыведения порядка 6-7 недель.
Фармакология безопасности В исследованиях фармакологии безопасности (ЦНС и дыхательная система) у мышей побочных эффектов не наблюдали.
Сердечно-сосудистая безопасность, о чем свидетельствуют подтверждающие данные фармакологического не GLP-исследования на яванских макаках.
Токсикология Мыши очень хорошо переносят внутривенную инъекцию многочисленных РНК(LIP), как показано для WAREHOUSE РНК, оцененных в трех различных исследованиях токсичности повторяющихся доз (LPT исследования № 28864, 30283 и 30586).
Считается, что легкая и временная лимфопения соответствует запущенной TLR индукции цитокинов - предполагаемому фармакологическому эффекту.

Раздел 1. Научное обоснование и подготовительные работы

Характеристики последовательности, улучшающие трансляцию РНК и внутриклеточную стабильность

Платформа РНК-вакцины была разработана и систематически оптимизирована в течение последних 10 лет с целью поддержки безопасной и эффективной индукции антигенспецифических CD8+ и CD4+ Т-клеточных ответов против кодируемых антигенов.

Активный компонент (лекарственная субстанция, лекарственное вещество) представляет собой одноцепочечную, кэпированную информационную РНК (мРНК), которая транслируется в белковый антиген при попадании в дендритные клетки (DC). Формат Ribological® РНК-вакцины был оптимизирован путем применения (i) модифицированного аналога кэпа для стабилизации трансляционно активной РНК, (ii) оптимизированных 5'- и 3'-UTR для повышения стабильности и трансляции РНК, (iii) сигнального пептида и последовательности MITD, которые улучшают процессинг антигенов MHC I и II классов, и (iv) удлиненного поли(A)-хвоста со свободным концом, который дополнительно повышает стабильность и эффективность трансляции РНК. В таблице 2 представлен обзор различных структурных элементов, которые были оптимизированы и в настоящее время проходят клинические испытания.

Таблица 2. Структурные элементы РНК, подвергнутые оптимизации Конструктивная характеристика Эффект Оптимизированный аналог кэпа Стабилизирует и увеличивает количество трансляционно активной РНК 5'-UTR, 3'-UTR Некодирующие последовательности, повышающие стабильность и эффективность трансляции РНК Сигнальный пептид, последовательность MITD Улучшает процессинг антигенов MHC класса I и класса II Удлиненный поли(А)-хвост со свободным концом Некодирующая последовательность, повышающая стабильность и эффективность трансляции РНК

Нацеливание антигенкодирующей РНК на лимфоидно-резидентные антигенпрезентирующие клетки

Для системной доставки РНК к дендритным клеткам каждый отдельный лекарственный продукт РНК W_ova1 объединяют с липосомами для формирования РНК-липоплексов (РНК(LIP)), которые позволяют осуществлять внутривенное введение. Наиболее важно то, что состав РНК(LIP) был разработан для защиты РНК от деградации РНКазами плазмы крови и оптимизирован для селективной доставки полученных DPs РНК в антигенпрезентирующие клетки (APC), преимущественно расположенные в селезенке (фиг. 13) и других лимфатических органах, для которых было показано избирательное поглощение РНК дендритными клетками и макрофагами (фиг. 14).

Как только РНК-липоплексы достигают APC в селезенке, механизм их действия не отличается от механизма действия вводимых непосредственно в узлы РНК-вакцин (РНК(RIN)) в растворе Рингера, что приводит к мощной индукции антигенспецифических CD8+ и CD4+ Т-клеточных ответов и Т-клеточной памяти, которая дополнительно поддерживается иммуностимулирующей средой в селезенке, вызванной внутривенной инъекцией продуктов РНК(LIP).

Индукция антигенспецифических CD8+ и CD4+ Т-клеточных ответов и Т-клеточной памяти

Захват и трансляция РНК представляют собой предпосылки для процессинга и презентации пептидов на поверхности APC. Возможность иммунизации РНК(LIP) для примирования наивных мышей была определена в исследовании № STR-30207-021. С этой целью наивных мышей C57BL/6 повторно иммунизировали внутривенно РНК(LIP), кодирующей иммунодоминантный эпитоп (SIINFEKL) куриного овальбумина, объединенного с липосомами. Проточный цитометрический мониторинг SIINFEKL-специфических CD8+ Т-клеток в периферической крови продемонстрировал значительную пролиферацию антигенспецифических Т-клеток после внутривенной иммунизации (фиг. 15).

После окончания схемы повторяющейся иммунизации наблюдали снижение частоты регистрации антигенспецифических CD8+ Т-клеток из-за фазы сокращения Т-клеток. Чтобы оценить, сформировались ли Т-клетки памяти в этот период, мышей повторно стимулировали SIINFEKL-РНК(LIP) через 42 дня после последней иммунизации, что привело к быстрому размножению антигенспецифических Т-клеток памяти, обнаруженных на 62-й день, что доказывает формирование Т-клеточной памяти посредством иммунизации РНК(LIP).

Схема вакцинации была дополнительно изучена в исследовании № STR-30207-015. Это исследование продемонстрировало, что схема вакцинации со сниженной интенсивностью в первую неделю без вакцинации на 4-й день (первоначально день 3) приводит к антигенспецифическим иммунным ответам аналогичного размера, что указывает на то, что схемы вакцинации с начальными недельными интервалами и общим количеством шести (вместо восьми) прививок в дни 1, 8, 15, 21, 29 и 43, по-видимому, достаточно для адекватной индукции антигенспецифических Т-клеток.

Фармакология

Механизм действия вакцинации РНК(LIP) основан на (i) привлечении антигенспецифических Т-лимфоцитов после презентации пептидов, полученных из РНК-кодируемых антигенов, профессиональными APC, и (ii) TLR-опосредованных иммуномодулирующих эффектах, которые приводят к клеточной активации и индукции провоспалительных цитокинов, таких как интерфероны типа I, тем самым усиливая эффекты вакцинации. Внутривенно введенные РНК-липоплексы попадают во вторичные лимфатические ткани, включая селезенку, лимфатические узлы и костный мозг, где они быстро поглощаются профессиональными APC.

В разделе 2 говорится (i) об активации и размножении целевых антигенспецифических Т-клеток при иммунизации WAREHOUSE РНК, кодирующими раковый антиген, (ii) о связанной с РНК(LIP) индукции процессов клеточной активации, сопровождающейся индукцией провоспалительных цитокинов и (iii) о цитоцидных и противоопухолевых эффектах вакцинации WAREHOUSE антигенной РНК(LIP).

Авторы провели обширные исследования in vitro и in vivo для изучения потенциальных вторичных эффектов введения РНК(LIP) вакцин, таких, как индукция провоспалительных цитокинов и гематологические изменения, которые вызваны предполагаемым иммуномодулирующим эффектом РНК(LIP).

В разделе 3 обсуждается ряд исследований, которые оценивают степень активации клеток периферической крови человека (PBMC) и клеток крови в цельной гепаринизированной крови. Кроме того, показана степень индуцированной вакцинацией индукции цитокинов и гематологические изменения у яванских макаков, которых лечили дозами, превышающими наивысшую предполагаемую клиническую дозу для людей. Наконец, авторы провели параллельное сравнение индукции цитокинов in vitro в образцах крови от людей-доноров и яванских макаков и применяли данные, полученные в этих исследованиях, чтобы определить безопасную начальную дозу для продолжающегося клинического исследования злокачественной меланомы (RB_0003-01/Lipo-MERIT) и других исследований, посвященных иммунотерапии с помощью РНК(LIP).

Обзор доклинических исследований с применением клеток крови человека, мышей и яванских макаков в качестве тест-систем для оценки вторичной фармакодинамики РНК(LIP) приведен в разделе 3.

Авторы придерживаются позиции, что вторичные фармакодинамические эффекты, наблюдаемые для РНК, объединенных с липосомами, не зависят от последовательности, и поэтому представленные данные также применимы к лекарственным РНК-препаратам, использованным в настоящем исследовании.

Краткое изложение основных результатов Для изучения механизма действия вакцин WAREHOUSE РНК(LIP) были проведены исследования in vitro и in vivo.
Кодирующие антиген ведущие структуры РНК RBL005.2, RBL008.1, RBL012.1 и RBLTet.1 индуцировали антигенспецифические Т-клеточные ответы in vivo у мышей, экспрессирующих молекулы HLA человека. Кроме того, иммуногенность RBL005.2 может быть доказана с помощью анализов примирования in vitro и стимуляции in vitro с применением человеческих клеток. В типичном анализе с другими WAREHOUSE РНК, примированные антигенспецифические Т-клеточные ответы придавали сильную цитотоксичность in vivo опухолевым антигенположительным клеткам-мишеням. Более того, с применением мышиных модельных антигенов противоопухолевые эффекты вакцинации РНК(LIP) были продемонстрированы в исследованиях профилактической и терапевтической иммунизации на моделях опухолей мышей in vivo.
Кроме того, были проанализированы независимые от последовательности фармакологические эффекты вакцинации РНК(LIP). РНК(LIP)-вакцины вызывали временную активацию антигенпрезентирующих клеток, приводящую к последующей индукции воспалительных цитокинов, таких как IFN-α, IFN-γ, IL-6 и IP-10. Было показано, что секреция цитокинов, включая IFN-α, осуществляется клетками селезенки и опосредуется передачей сигналов с помощью TLR7 после введения РНК(LIP), которое сопровождается временными и полностью обратимыми гематологическими изменениями. Примечательно, что индукция цитокинов, опосредованная РНК(LIP), и последующие гематологические изменения были сильно уменьшены у мышей, лишенных рецептора интерферона-α/β (IFNAR-/-).

Раздел 2. Первичная фармакодинамика

Было проведено несколько экспериментов in vitro и in vivo, чтобы подтвердить иммуногенность вакцины РНК(LIP) с WH_ova1 и другими WAREHOUSE РНК. Эксперименты in vitro проводили с выбранным препаратом WAREHOUSE РНК RBL005.2 и антигенспецифическими Т-клетками, первоначально полученными от здоровых добровольцев, которые были повторно стимулированы трансфицированными или примированными пептидами аутологичными дендритными клетками. Мышей A2/DR1, которые экспрессируют лейкоцитарные антигены человека (HLA)-A*0201 и -DRB1*01, применяли для демонстрации иммуногенности вакцины РНК(LIP) со всеми WAREHOUSE РНК in vivo.

In vitro стимуляция антигенспецифических Т-клеток выбранными WAREHOUSE антигенами

Для анализа иммуногенности препарата RBL005.2, взятого в качестве примера для РНК WH_ova1 применительно к организму человека, CD8+ Т-клетки здоровых доноров были примированы in vitro против RBL005.2 с использованием аутологичных зрелых DC (mDC), трансфицированных исследовательского уровня мРНК, кодирующей антиген (Report_CG_14_001_B). После трех циклов еженедельной стимуляции были обнаружены антигенспецифические CD8+ Т-клетки на основании специфического окрашивания MHC-декстрамером. Как представлено на фиг. 17A, 0,462% CD8+ Т-клеток, примированных RBL005.2, специфически связывались с декстрамером HLA-A*02/RBL005.291-99, в то время как это не было показано для Т-клеток, примированных против контрольного антигена. Отдельные CD8+ RBL005.2-специфические Т-клетки были отсортированы в многолуночных планшетах и соответствующие гены TCR были клонированы и подтверждены анализом секреции IFN-γ. Было показано, что один TCR опосредует специфическое распознавание клеток K562-A2, трансфицированных RBL005.2 или обработанных пептидами, происходящими из RBL005.2 (на фиг. 17B).

Кроме того, авторы в качестве примера протестировали способность лекарственного препарата WAREHOUSE РНК RBL005.2 генерировать поверхностно экспрессируемые эпитопы MHC класса I после электропорации РНК в человеческие DC. Это определяли путем совместной инкубации трансфицированных DC в течение 24-х часов с изолированными человеческими CD8+ T-клетками, имеющими α- и β-цепи T-клеточного рецептора (TCR), специфичного для HLA-A*0201-рестриктированного эпитопа ALFGLLVYL (CLDN691-99). Активацию антигенспецифических клеток определяли с помощью анализа супернатантов клеточных культур с применением гранул для выявления IFN-γ (IFN-γ Bio-plex bead assay (Bio-Rad Laboratories)). Чтобы учесть вариабельность доноров, каждый из тестовых элементов был проанализирован с применением двух разных доноров. Применяли РНК качества ATM. Эксперименты проводили с использованием вплоть до 16 мкг РНК для электропорации DC (отчет об исследовании №: STR_21591_003).

Клетки от обоих протестированных доноров были способны продуцировать IFN-γ после стимуляции Т-клеток RBL005.2. В обоих экспериментах могла быть показана четкая зависимость от дозы (фиг. 18).

В заключение следует отметить, что RBL005.2 транслируется и процессируется человеческими DC, которые затем могут представлять пептиды, рестриктированные по антигенам MHC класса I, эффективно индуцируя секрецию эффекторных цитокинов антигенспецифическими CD8+ Т-клетками в зависимости от дозы.

Стимуляция антигенспецифических Т-клеток in vivo WAREHOUSE РНК

Для получения дополнительной информации об индукции антигенспецифических Т-клеток in vivo с помощью RBL005.2, RBL008.1, RBL012.1 и RBLTet.1 продукты РНК(LIP) получали с применением РНК качества СTM. Липосомные компоненты, примененные в исследованиях, были качества ATM.

Продукты РНК(LIP) вводили внутривенно трансгенным мышам, подвергавшимся манипуляции с целью экспрессии человеческих лейкоцитарных антигенов (HLA)-A*0201 и -DRB1*01. С помощью этих мышей можно исследовать in vivo примирование и размножение Т-клеток, специфичных для рестриктированных по HLA эпитопов. Мышей A2/DR1 вакцинировали четыре-пять раз путем инъекции 30 мкг (HED: 7,14 мг) каждого антигена РНК в комплексе с липосомами с последующим выделением клеток селезенки (через 5 дней после последней вакцинации). Эффективность примирования тестируемых клеток оценивали с помощью анализа IFN-γ ELISPOT после повторной стимуляции антигенспецифическими пептидами или РНК-электропорированными дендритными клетками, происходящими из костного мозга (BMDC).

Для всех антигенов четыре вакцинации препаратами РНК(LIP) примировали специфические Т-клеточные ответы у каждого обработанного животного. Т-клетки были способны продуцировать IFN-γ в анализе ELISPOT (фиг. 19) после повторной стимуляции родственными по HLA-A*0201 рестриктированными пептидами, если они определены, или с помощью РНК-электропорированных BMDC. Все РНК WAREHOUSE могут вызывать сильные иммунные ответы у мышей A2/DR1.

Таким образом, эти исследования демонстрируют способность РНК(LIP), кодирующей антигенные РНК WAREHOUSE, in vivo вызывать de novo антигенспецифические Т-клеточные ответы на фоне МНС человека.

Улучшение иммунных ответов с помощью RBLTet.1

Хелперные детерминанты р2 и р16, полученные из ТТ, могут нарушать механизмы толерантности к аутоантигенспецифическим CD8+ Т-клеткам, как известно из литературы и собственных доклинических данных авторов. Для исследования W_ova1 последовательности p2 и p16 применяются в качестве автономных РНК (т.е. RBLTet.1), объединенных вместе с каждой РНК, кодирующей опухолевый антиген, с получением одного продукта РНК(LIP). Объединение обеих РНК в один продукт РНК(LIP) гарантирует, что опухолевый антиген и эпитопы столбняка будут презентироваться одними и теми же DC, которые затем могут распознаваться CD4+ Т-клетками, помогающими примировать опухолеспецифические Т-клетки.

Чтобы получить информацию о достоверности этой концепции, in vivo была протестирована индукция антигенспецифических Т-клеток против мышиного аутоантигена. С этой целью мышей C57BL/6 иммунизировали РНК(LIP) вакцинами, кодирующими мышиную оксидазу 5,6-дигидрооксииндол-2-карбоновой кислоты (Tyrp1), отдельно (30 мкг) и в сочетании с p2 и p16 в качестве автономных РНК (RBLTet.1) в молярных соотношениях 4:1, 8:1 и 16:1 (3,1, 1,6 и 0,8 мкг РНК RBLTet.1, соответственно. Из предыдущих исследований известно, что последовательности p2 и p16 способны индуцировать Т-клеточные ответы у мышей C57BL/6. Животных иммунизировали трижды внутривенной инъекцией препаратами РНК(LIP), содержащими РНК, кодирующие вышеупомянутые антигены. В качестве первичной конечной точки эффективность примирования тестируемых клеток оценивали с помощью анализа IFN-γ ELISPOT для выявления специфических Т-клеточных ответов против основного эпитопа Tyrp1 MHC класса I и против эпитопа p2 и p16 с применением соответствующих пептидов. Иммунизация антигеном вызывала иммунный ответ, равный приблизительно 360 пятен IFN-γ+°/5×105°спленоцитов (фиг. 20A). Этот ответ был улучшен путем добавления RBLTet.1 во время приготовления РНК(LIP) в каждом тестируемом соотношении (640, 670, 605 пятен IFN-γ/5×105 спленоцитов в среднем, соответственно). Ответы против эпитопов p2 и p16 оказались дозозависимыми с 730, 490 и 220 пятен IFN-γ/5×105 спленоцитов в среднем, соответственно.

Эти данные предполагают, что объединение хелперного эпитопа РНК RBLTet.1 с РНК, кодирующей TAA, может улучшить иммунный ответ на антиген даже при низких молярных соотношениях.

Противоопухолевая активность антигенспецифических Т-клеток, индуцированная модельными антигенными РНК in vivo

В связи с известными проблемами идентификации моделей опухолей мышей дополнительные исследования, касающиеся антигенов WH_ova1, не проводили, поскольку мышиные гомологи этих антигенов не существуют. Вместо этого авторы разработали подходящие модели опухолей для SIINFEKL-эпитопа, происходящего из овальбумина, и антигенов E6/E7 и gp70, происходящих из вируса папилломы человека, в качестве моделей для чужеродного и мышиного аутоантигена для вакцинации, соответственно.

Суммарные противоопухолевые эффекты in vivo, индуцированные РНК(LIP), приведена в таблице 3.

Таблица 3. Сводная таблица противоопухолевых эффектов РНК(LIP) in vivo Исследования Способ Результат Профилактические модели B16F10-OVA и CT26
(STR-30207-008/009)
Три цикла внутривенной иммунизации мышей SIINFEKL-РНК(LIP) или gp70-РНК(LIP) перед подкожным введением опухоли B16F10-OVA или CT26, соответственно. Неиммунизированные мыши погибали в течение 22-28 дней после введения опухоли, все иммунизированные мыши были защищены в ходе мониторинга.
Терапевтические модели B16F10-OVA и CT26
(STR_30207_010/011)
Подкожное введение опухоли B16F10-OVA или CT26 с последующей иммунизацией SIINFEKL-РНК(LIP) или gp70-РНК(LIP) при макроскопических размерах опухоли. Неиммунизированные или иммунизированные липосомами мыши погибали в течение 22-28 дней после введения опухоли. Иммунизированные мыши показали значительную задержку роста опухоли и временами уменьшение размера опухоли.
Терапевтическая модель CT26 - внутривенная метастазирующая модель
(STR_30207_012)
Заражение метастазирующей опухолью путем внутривенной инъекции клеток CT26-Luc с последующими тремя иммунизациями gp70-РНК(LIP), начиная с 4-го дня. Измерение роста опухоли путем получения in vivo изображения клеток, экспрессирующих Luc, и анализа метастазов через 17 дней после индукции опухоли. У мышей, не получавших лечения, развились метастазы, измеренные по усилению Luc-сигналов и макроскопическому исследованию. У мышей, получавших лечение, наблюдалось снижение Luc-сигналов после начала лечения и отсутствие метастазов в легких в конце исследования.
Терапевтическая модель TC-1 - подкожное введение
(STR-30207-018)
Подкожное введение опухоли с помощью клеток TC-1 с последующими тремя иммунизациями HPV E6/E7(LIP) через 13 дней. Неиммунизированые или иммунизированные липосомами мыши погибали в течение 22-28 дней после введения опухоли. Иммунизированные мыши показали сильную противоопухолевую активность с уменьшением размера опухолей до 1 см3 во время лечения и полным излечением 30% животных.

Индукция процессов клеточной активации

Помимо своей способности кодировать белковый антиген, РНК IMP оказывает иммуномодулирующее действие, основанное на ее способности индуцировать процессы клеточной активации. Имеются убедительные литературные доказательства и результаты собственных исследований авторов, подтверждающие, что РНК представляет собой лиганд для человеческих Toll-подобных рецепторов (TLRs) и, таким образом, может вызывать иммуномодулирующие эффекты. После захвата клетками транскрибируемой in vitro РНК распознавание ее TLRs происходит в эндосомных компартментах, где указанные рецепторы в основном локализованы. Это инициирует каскады сигнальных реакций, которые в конечном итоге приводят к активации и созреванию DCs, как было подтверждено выявлением созревания DCs в селезенке после внутривенного введения разработанной авторами изобретения РНК(LIP) вакцины мышам. Дальнейшие последствия указанных иммуномодулирующих эффектов - это активация T, B, NK-клеток и макрофагов селезенки и обратимая индукция провоспалительных цитокинов.

Наиболее важно, что инъекция модельного антигена гемагглютинина гриппа, кодируемого HA-РНК(LIP), продемонстрировала сильную индукцию IFN-α у мышей (фиг. 21A), который, как было установлено на спленэктомированных мышах, происходил из селезенки (фиг. 21B). Примечательно, что индукция IFN-α была показана только для РНК(LIP), тогда как липосомы сами по себе не приводили к индукции IFN-α у мышей (отчет об исследовании STR-30207-005).

Интересно, что активация различных иммунных клеток в селезенке (фиг. 22A), а также синтез системного IFN-α (фиг. 22B), наблюдаемые при введении РНК(LIP), были отменены, если использовалась модифицированная псевдоуридином, очищенная с помощью HPLC РНК которая, как ранее сообщалось, является неиммуногенной. Эти результаты представляют собой дополнительное доказательство того, что иммуностимулирующая активность РНК(LIP) происходит от компонента РНК (отчет об исследовании STR-30207-019).

Временная активация клеток и синтез цитокинов, наблюдаемые у мышей, получавших вакцины РНК(LIP), согласуются с выводами авторов о том, что РНК-вакцины могут связываться с TLR и запускать их. Было также показано, что РНК в виде частиц, а также РНК, находящаяся в водных растворах, способна активировать TLR. Было показано, что активация TLR вызывает лимфопению, что приводит к интерферонзависимой рециркуляции лейкоцитов. В соответствии с этим, активация дендритных клеток, а также других популяций клеток селезенки была серьезно затруднена у мышей TLR7-/- или IFNAR-/- (отчет об исследовании №: STR-30207-005), о чем сообщали в IMPD для исследования авторов RB_0003-01/Lipo-MERIT. Соответственно, исследования на мышах IFNAR-/- с применением четырех липосомных составов РНК, показали, что временные гематологические изменения, наблюдаемые после внутривенной доставки РНК(LIP), в первую очередь опосредуются понижающими эффектами IFN-α (фиг. 23).

Доклинические исследования in vivo с более высокими дозами РНК(LIP) на мышах (раздел 6) и яванских макаках (раздел 3) показали, что лечение РНК-липоплексами было ассоциировано с временной индукцией провоспалительных цитокинов, временными гематологическими изменениями, а также с временным повышением ферментов печени. Чтобы оценить, является ли повышение ферментов печени результатом понижающего действия желаемых иммуномодулирующих эффектов РНК(LIP), а не токсической реакцией на синтетические липиды или наночастицы в печени, авторы провели дополнительные доклинические исследования с применением неиммуногенных РНК в комплексе с липосомами. С этой целью авторы иммунизировали мышей C57BL/6 РНК(LIP), сформированными РНК и неиммуногенной РНК, и оценили последующее повышение уровней IFN-α и ферментов печени (фиг. 24).

Временное повышение ферментов печени, наблюдаемое при введении РНК(LIP), было существенно отменено, если модифицированную псевдоуридином, очищенную с помощью HPLC неиммуногенную РНК (ni-РНК), применяли для формирования РНК(LIP) по сравнению с немодифицированными иммуногенными РНК (фиг. 24A) при использовании липосом качества ATM (номер партии: F12/L2-ATM; EUFETS-13-45-01-F2). Высокие неспецифические отклонения в некоторых параметрах ферментов печени можно отнести к связанным со стрессом изменениям у самцов мышей и эти изменения не были ассоциированы с тестируемыми препаратами (отчет об исследовании STR-30207-019). Более того, в подтверждение фигуры 22B, системного образования IFN-α не наблюдали (фиг. 24B), если для формирования РНК(LIP) применяли ni-РНК. Эти результаты представляют собой дополнительное доказательство того, что компонент РНК, а не липидный компонент РНК(LIP), ответственен за наблюдаемые эффекты, что может быть дополнительно подтверждено с помощью липидов высокой чистоты (данные не показаны).

Раздел 3. Вторичная фармакодинамика

Для изучения возможных вторичных эффектов от введения РНК-липоплексных вакцин, таких как индукция воспалительных цитокинов и гематологические изменения, вызванные предполагаемым иммуномодулирующим действием, авторы провели обширные исследования in vitro и in vivo с применением клеток крови человека и яванских макаков в качестве тест-систем.

Ниже степень генерированной вакциной РНК(LIP) индукции цитокинов, гематологические изменения, активация комплемента и клиническая биохимия были изучены на яванских макаках, которых лечили дозами, соответствующими предполагаемым дозам для людей. Более того, степень высвобождения цитокинов клетками периферической крови (PBMC) человека и яванского макака и клетками крови в гепаринизированной цельной крови в ответ на лечение РНК-липоплексом изучалась в не GLP-исследованиях и GLP-исследованиях.

Кроме того, авторы провели биоинформационный поиск гомологии последовательностей РНК-вакцины с протеомом человека, чтобы исключить потенциальную перекрестную реактивность индуцированных Т-клеток, как описано ниже.

Резюме основных выводов Вторичные эффекты были изучены in vivo на яванских макаках путем определения высвобождения цитокинов, гематологии, клинической биохимии и параметров сердечно-сосудистой системы. Обезьяны Cynomolgus показали сильную временную индукцию IL-6 и очень слабую индукцию IFN-α на уровне дозы 354 мкг РНК, что авторы рассматривают как предполагаемый фармакодинамический эффект лечения липоплексами. Это сопровождалось временной лимфопенией, которая прошла через 48 часов. Признаков сердечно-сосудистой токсичности не было.
Кроме того, высвобождение цитокинов (IP-10, IFN-α, IFN-γ, TNF-α, IL-1β, IL-2, IL-6, IL-12) анализировали при культивировании клеток периферической крови человека (PBMC) и культивировании клеток цельной крови человека (WB), взятых от разных доноров после введения РНК(LIP) качества ATM. В культивируемых РВМС наблюдали дозозависимую индукцию всех определяемых аналитов. Однако при дозах, соответствующих клиническим уровням доз и выше, наблюдали индукцию пяти из восьми изученных маркеров, а именно IP-10, IFN-γ, TNF-α, IL-1β и IL-6. В культивируемых клетках цельной крови (WB) не обнаруживалось изменений уровней цитокинов IFN-γ, TNF-α, IL-1β, IL-2, IL-12. Уровень хемокина IP-10 (CXCL10) увеличивался дозозависимым образом, но не увеличивался значительно по сравнению с контролем при уровнях доз, предназначенных для клинического применения. Повышенная индукция IL-6, хотя и на низком уровне, была обнаружена у одного из четырех доноров. IFN-α не был значительно повышен ни при одной дозе по сравнению с контролем (разбавитель).
Для получения дополнительной информации о степени индукции провоспалительных цитокинов и проверки того, может ли цитокиновый профиль, наблюдаемый у яванского макака in vivo, быть адекватно зафиксирован in vitro, были проведены дополнительные фармакодинамические GLP- и не GLP-исследования с применением PBMC и WB в качестве тест-систем. Эти исследования гораздо лучше подтверждали наблюдения in vivo в WB, чем в тестовой системе PBMC.
Параллельное сравнение секреции цитокинов в образцах от человеческих доноров и яванских макаков в тест-системе WB и PBMC показало, что оба вида в высшей степени сопоставимы в отношении индукции провоспалительных цитокинов при инкубации с РНК(LIP).

Активация in vitro PBMC и клеток цельной крови у человеческих доноров и яванских макаков

Помимо своей способности кодировать белковые антигены, РНК обладает иммуномодулирующими эффектами, которые обусловлены ее способностью индуцировать процессы клеточной активации через запуск TLR. С одной стороны, иммуномодулирующая способность РНК-вакцины усиливает индукцию антигенспецифических Т-клеточных ответов и должна рассматриваться как первичный фармакодинамический эффект. С другой стороны, слишком сильная или неспецифическая активация иммунных клеток может привести к нежелательным вторичным эффектам и уже должна быть учтена в доклинических исследованиях.

Для изучения степени активации клеток крови человека цельную гепаринизированную кровь и PBMC (выделенные из гепаринизированной цельной крови) от четырех здоровых доноров инкубировали in vitro со смесью равных частей липосом в составе RBL001.1, RBL002.2, RBL003.1 и RBL004.1 качества ATM. Поскольку активация TLR РНК не зависит от последовательности РНК, исследование с WH_ova1 WAREHOUSE РНК не повторяли.

РНК(LIP) для каждого из четырех лекарственных препаратов РНК были приготовлены отдельно в соответствии с протоколом клинической рецептуры. В этом первом исследовании (исследование 1, STR-30207-013) был выбран диапазон концентраций 0,014-3,333 мкг РНК/мл, что эквивалентно дозам для человека от 0,07 мг до 16,65 мг РНК (таблица 4). В качестве первичной конечной точки активацию клеток определяли через 6 и 24 часа по секреции цитокинов (IP-10, IFN-α, IFN-γ, TNF-α, IL-1β, IL-2, IL-6, IL -12) в среду культивирования клеток (PBMC) или в плазму (цельная кровь), соответственно.

Таблица 4. Определение доз для исследований in vitro на основе предполагаемых клинических групп по величине дозы

Значения представляют собой мкг общей РНК на мл цельной крови или среды, соответственно.

Отчет об исследовании №: STR-30207-013 Уровень дозы мкг РНК на
мл объема крови
Общая доза [мкг РНК] [1]
1 0,014 70 2 0,041 205 3 0,123 615 4 0,371 1,850 5 1,111 5,550 7 3,333 16,650

[1] Предполагается, что средний общий объем крови составляет 5 л.

После инкубации PBMC со смесью РНК(LIP) наблюдали дозозависимую активацию, обнаруживаемую в отношении всех восьми тестируемых аналитов, хотя и с большими вариациями уровней концентрации. В цитокиновом ответе преобладали пять из восьми выбранных маркеров, а именно IP-10, IFN-γ, TNF-α, IL-1β и IL-6 (смотри сводные данные в таблице 5). IFN-α, IL-2 и IL 12 показали лишь незначительную индукцию при самых высоких испытанных уровнях доз.

Напротив, после инкубации с РНК(LIP) в системе анализа цельной крови не обнаружили секреции IFN-γ, TNF-α, IL-1β, IL-2 и IL-12. Наблюдали повышенную дозозависимую секрецию IP-10 и IL-6. Для IFN-α выявляли только базовую секрецию низкого уровня, которая была сравнима с контрольным разбавителем и не повышалась в дальнейшем при инкубации с РНК(LIP) (см. сводные данные таблице 5).

Таким образом, данные, полученные при использовании PBMC, показали четкие различия по сравнению с цельной кровью, что свидетельствует о более высокой чувствительности тест-системы к PBMC. В то время как повышенные уровни цитокинов для всех восьми тестируемых аналитов были обнаружены в PBMC, определение цитокинов было ограничено IFN-α, IP-10 и IL-6 при применении образцов цельной крови в качестве тест-системы.

Таблица 5. Результаты, полученные при использовании PBMC и цельной крови всех доноров (исследование STR-30207-013) Цитокин/Аналит Тест-система PBMC Цельная кровь IFN-α Повышенную секрецию обнаруживают через 24 часа у всех доноров
Дозозависимая индукция
Значения на низком уровне и не повышаются заметно в дозах 0,014-0,37 мкг/мл РНК
Секрецию обнаруживают на очень низком уровне в некоторых образцах 3/4 доноров
Не обнаруживают отчетливого повышения по сравнению с контролем в любом разведении
IP-10 Повышенную секрецию обнаруживают через 24 часа у всех доноров
Дозозависимая индукция
У 4/4 доноров повышенный уровень обнаруживают при 0,37 мкг/мл РНК.
У 3/4 доноров повышенный уровень обнаруживают при 0,12 мкг/мл РНК.
Повышенную секрецию обнаружили через 24 часа у всех доноров
Дозозависимая индукция
У 2/4 доноров обнаруживают повышенный уровень при 0,37 мкг/мл
IL-6 Повышенную секрецию обнаруживают через 6 и 24 часа у всех доноров
Дозозависимая индукция
У 4/4 доноров повышенный уровень обнаруживают при 0,37 мкг/мл РНК.
У 3/4 доноров повышенный уровень обнаруживают при 0,12 мкг/мл РНК через 24 часа.
Повышенную секрецию обнаруживают на очень низком уровне только в самой высокой дозе у 2/4 доноров
IFN-γ Повышенную секрецию обнаруживают через 24 часа у всех доноров
Дозозависимая индукция
У 4/4 доноров повышенный уровень обнаруживают при 0,37 мкг/мл РНК
Повышенную секрецию не обнаруживают
TNF-α Повышенную секрецию обнаруживают через 6 и 24 часа у всех доноров
Дозозависимая индукция
У 4/4 доноров повышенный уровень обнаруживают при 0,37 мкг/мл РНК только через 6 часов
Повышенную секрецию не обнаруживают
IL-1β Повышенную секрецию обнаруживают через 6 и 24 часа у всех доноров
Дозозависимая индукция
У 4/4 доноров повышенный уровень обнаруживают при 0,37 мкг/мл РНК
У 2/4 доноров повышенный уровень обнаруживают при 0,12 мкг/мл РНК через 24 часа
Повышенную секрецию не обнаруживают
IL-2 Повышенную секрецию обнаруживают через 6 и 24 часа у всех доноров
Дозозависимая индукция
Величины на низком уровне и не повышаются в дозах 0,014-0,37 мкг/мл РНК.
Повышенную секрецию не обнаруживают
IL-12 Повышенную секрецию обнаруживают через 24 часа у всех доноров
Дозозависимая индукция
У 2/4 доноров повышенный уровень обнаруживают при 0,37 мкг/мл РНК.
Повышенную секрецию не обнаруживают

Для дальнейшего изучения высвобождения цитокинов человеческими клетками в ответ на РНК(LIP) in vitro, а также для сравнения и классификации данных, полученных в результате in vivo исследований иммунотоксичности на мышах (см. ниже) и на яванском макаке (см. ниже), проводили дополнительное GLP-совместимое in vitro исследование во внешней CRO (LPT № 31031). Основная цель этого исследования состояла в том, чтобы проверить (i) сопоставимы ли результаты, полученные на яванских макаках, с результатами, полученными на людях, и (ii) какая тестовая система лучше отражает характер цитокинового ответа, наблюдаемый у яванских макаков in vivo. Исследование LPT № 31031 было проведено следующим образом: индукцию провоспалительных цитокинов in vitro у здоровых людей-доноров и яванских макаков тестировали в двух тест-системах, а именно при использовании PBMC и цельной крови. Испытывали тот же диапазон доз и ступени дозировки РНК(LIP), что и в исследовании № STR-30207-013. Объектом испытания снова была смесь отдельно полученных липосомных РНК RBL001.1, RBL002.2, RBL003.1 и RBL004.1 качества ATM. Как упоминалось выше, данные, полученные с помощью этих IVT-РНК, также учитывают WAREHOUSE РНК, поскольку активация TLR не зависит от последовательности РНК. Всего были проанализированы образцы от четырех особей каждого вида. В качестве первичной конечной точки активацию клеток определяли через 6, 24 и 48 часов по секреции провоспалительных цитокинов в среду для культивирования клеток (PBMC) или плазму (цельная кровь), соответственно.

Наблюдаемые цитокиновые ответы суммированы в таблице 6 для тест-системы цельной крови и в таблице 7 для тест-системы PBMC, соответственно.

Таблица 6. Сводная информация о цитокиновых ответах в системе анализа цельной крови Система тестирования: цельная кровь Цитокин/Аналит Результат TNF-α Повышенную секрецию обнаружили у 4/4 обезьян и 4/4 человек
Максимальные абсолютные уровни цитокинов при максимальной дозе
Обезьяны: 1/4: <100 пг/мл; 1/4: 100-500 пг/мл; 2/4: 500-1000 пг/мл
Люди: 1/4: <100 пг/мл; 3/4: 500-1000 пг/мл
IFN-γ Повышенную секрецию обнаружили только у 2/4 обезьян
Максимальные абсолютные уровни цитокинов при максимальной дозе
Обезьяны: 2/4 <100 пг/мл
IL-6 Повышенную секрецию обнаружили у 4/4 обезьян и 4/4 человек
Максимальные абсолютные уровни цитокинов при максимальной дозе
Обезьяны: 2/4: 100-500 пг/мл; 2/4: 500-1000 пг/мл
Люди: 1/4: 500-1000 пг/мл; 3/4: 1000-5000 пг/мл
IP-10 Повышенную секрецию обнаружили только у 4/4 человек
Максимальные абсолютные уровни цитокинов при максимальной дозе
Люди: 4/4: 500-1000 пг/мл.
IL-1β Повышенную секрецию обнаружили у 4/4 обезьян и 4/4 человек
Максимальные абсолютные уровни цитокинов при максимальной дозе
Обезьяны: 2/4: <100 пг/мл; 2/4: 100-500 пг/мл
Люди: 2/4: <100 пг/мл; 2/4: 100-500 пг/мл
IL-12 Повышенную секрецию обнаружили только у 4/4 человек
Максимальные абсолютные уровни цитокинов при максимальной дозе
Люди: 3/4: <100 пг/мл; 1/4: 100-500 пг/мл
IL-2 Не обнаружили повышенной секреции ни у обезьян, ни у людей

Таблица 7. Сводная информация о цитокиновых ответах в тест-системе PBMC (исследование LPT № 31031) Тестовая система: PBMC Цитокин/Аналит Результат TNF-α Повышенную секрецию обнаружили у 4/4 обезьян и 4/4 человек
Максимальные абсолютные уровни цитокинов при максимальной дозе
Обезьяны: 4/4: 1000-5000 пг/мл.
Люди: 4/4: 1000-5000 пг/мл.
IFN-γ Повышенную секрецию обнаружили у 4/4 обезьян и 4/4 человек
Максимальные абсолютные уровни цитокинов при максимальной дозе
Обезьяны: 2/4: 100-500 пг/мл; 2/4: 500-1000 пг/мл
Люди: 2/4: 1000-5000 пг/мл; 2/4: 5000-10 000 пг/мл
IL-6 Повышенную секрецию обнаружили у 4/4 обезьян и 4/4 человек
Максимальные абсолютные уровни цитокинов при максимальной дозе
Обезьяны: 1/4: 1000-5000 пг/мл; 3/4: 5000-10 000 пг/мл
Люди: 2/4: 5000-10 000 пг/мл; 2/4: 10 000-15 000 пг/мл
IP-10 Повышенную секрецию обнаружили только у 4/4 человек
Максимальные уровни при максимальной дозе
Люди: 4/4: 100-500 пг/мл.
IL-1β Повышенную секрецию обнаружили у 4/4 обезьян и 4/4 человек
Максимальные абсолютные уровни цитокинов при максимальной дозе
Обезьяны: 4/4: 1000-5000 пг/мл.
Люди: 4/4: 1000-5000 пг/мл
IL-12 Повышенную секрецию обнаружили у 4/4 обезьян и 4/4 человек
Максимальные абсолютные уровни цитокинов при максимальной дозе
Обезьяны: 4/4: <100 пг/мл
Люди: 1/4: 100-500 пг/мл; 3/4: 500-1000 пг/мл
IL-2 Не обнаружили повышенной секреции ни у обезьян, ни у людей

В таблице 8 приведены данные, полученные в исследовании LPT № 31031, в котором цельная кровь четырех обезьян яванских макаков и четырех здоровых доноров была проанализирована через 6 и 24 часа инкубации с шестью различными дозами РНК(LIP). Анализ был сосредоточен на провоспалительных цитокинах TNFα, IL-6 и IFN-γ, поскольку в исследовании № STR-30207-013 было показано, что они подвергались преимущественно повышающей регуляции при культивировании человеческих PBMC. Как определено, цитокиновые ответы in vitro у двух видов были в высокой степени сопоставимы. Для IL-6 после 24 ч инкубации наблюдали 122-кратную индукцию у яванских макаков и 108-кратную индукцию у здоровых доноров, соответственно. Только низкие уровни TNF-α можно было обнаружить у обоих видов при самом высоком уровне дозы. Очень низкая индукция IFN-γ наблюдалась только при самом высоком уровне дозы у яванских макаков после 24 ч инкубации.

Наиболее важно, что сильную индукцию этих трех провоспалительных цитокинов, связанную с тестируемым препаратом, наблюдали только при уровнях доз ≥ 5500 мкг, что превышает наивысший уровень предполагаемой дозы в 100 мкг для пациентов и что более чем в 100 раз превышает запланированную дозу для начального цикла вакцинации (= 50 мкг РНК). Примечательно, что результаты исследования на здоровых донорах подтвердили результаты исследования STR-30207-013 in vitro, а картина цитокинового ответа яванских макаков, наблюдаемая в системе анализа цельной крови, была сходна с результатами исследования LPT № 29928 in vivo, в котором только IL-6 может быть обнаружен у яванских макаков, обработанных РНК(LIP) (см. ниже).

В таблице 9 показаны данные, полученные в исследовании LPT № 31031, в котором РВМС от четырех яванских макаков и четырех здоровых доноров были проанализированы через 6 и 24 часа инкубации с шестью различными дозами РНК(LIP). Индукция IL-6 и TNF-α была сопоставима в PBMC человека и яванского макака в отношении (i) абсолютных количеств индуцированных цитокинов (различия между видами менее чем в 2 раза), (ii) кинетики (ранняя индукция IL-6 и TNF-α через 6 ч) и (iii) уровня дозы РНК(LIP), который привел к индукции цитокинов. IFN-γ был обнаружен в PBMC обоих видов, обработанных промежуточными дозами РНК(LIP), только через 24 часа стимуляции РНК(LIP), хотя и в большей степени у людей. В целом, профили цитокинов, индуцированные РНК(LIP) в PBMC, были сопоставимы для двух видов в отношении IL-6 и TNF-α. Результаты, полученные в этом исследовании, позволяют предположить, что яванский макак представляет собой подходящий вид для оценки индукции цитокинов, опосредованной РНК(LIP), и что PBMC человека являются более чувствительной системой для определения индукции IFN-γ.

Таблица 8. Индукция in vitro провоспалительных цитокинов IL-6, TNF-α и IFN-γ у яванских макаков и здоровых доноров в системе анализа цельной крови

В таблице представлены данные, полученные в исследовании LPT № 31031: уровни цитокинов IL-6 (верхняя часть), TNF-α (средняя часть) и IFN-γ (нижняя часть) (пг/мл), обнаруженные после инкубации цельной крови с различными дозами РНК(LIP). В первом столбце указаны общие уровни доз, примененные в клинических условиях. Во втором столбце указано количество РНК, примененное в тест-системе in vitro, исходя из объема крови, равного 5 л. * = данные не собраны.

6 часов 24 часа Общая доза [мкг РНК] мкг РНК протестировано в анализе [1] Яванский макак Человек Яванский макак Человек IL-6
(пг/мл)
0 4 10 4 13
7,2 * * * * 14,5 * * * * 29 * * * * 50,4 * * * * 72,8 70 4 21 4 15 200 205 4 9 4 22 615 4 43 4 35 1,850 4 17 13 51 * * * * 5,550 7 238 25 415 16,650 139 807 488 1,408 TNF-α
(пг/мл)
0 5 9 5 9
7,2 * * * * 14,5 * * * * 29 * * * * 50,4 * * * * 72,8 70 5 9 5 9 200 205 5 9 5 9 615 5 14 5 9 1,850 7 11 5 9 * * * * 5,550 18 73 5 9 16,650 570 624 77 28 IFN-γ
(пг/мл)
0 3 4 3 4
7,2 * * * * 14,5 * * * * 29 * * * * 50,4 * * * * 72,8 70 3 4 4 4 200 205 3 4 6 4 615 3 4 4 4 1,850 3 4 5 4 * * * * 5,550 3 4 8 4 16,650 3 4 24 6

[1] Предполагается, что средний общий объем крови составляет 5 л.

Таблица 9. In vitro индукция провоспалительных цитокинов IL-6, TNF-α и IFN-γ у яванских макаков и здоровых доноров в тест-системе PBMC

В таблице представлены данные, полученные в исследовании LPT № 31031: уровни цитокинов IL-6 (верхняя часть), TNF-α (средняя часть) и IFN-γ (нижняя часть) (пг/мл), обнаруженные после инкубации PBMC с разными дозами РНК(LIP). В первом столбце указаны общие уровни доз, примененные в клинических условиях. Во втором столбце указано количество РНК, примененное в тест-системе in vitro, исходя из объема крови 5 л. * = данные не собраны.

6 часов 24 часа Общая доза [мкг РНК] мкг РНК протестировано в анализе [1] Яванский макак Человек Яванский макак Человек IL-6
(пг/мл)
0 9 11 29 9
7,2 * * * * 14,5 * * * * 29 * * * * 50,4 * * * * 72,8 70 30 23 407 109 200 205 84 33 1,142 367 615 268 71 2,500 799 1,850 771 182 5,706 2,817 * * * * 5,550 1,451 1,066 6,484 4,700 16,650 2,047 2,973 5,419 9,696 TNF-α
(пг/мл)
0 11 9 17 9
7,2 * * * * 14,5 * * * * 29 * * * * 50,4 * * * * 72,8 70 45 17 88 100 200 205 110 58 282 337 615 279 191 646 740 1,850 814 601 1,207 1,612 * * * * 5,550 1,596 1,688 1,632 2,167 16,650 2,316 3,472 1,736 3,684 IFN-γ
(пг/мл)
0 3 4 3 4
7.2 * * * * 14.5 * * * * 29 * * * * 50.4 * * * * 72,8 70 3 4 4 19 200 205 3 4 72 213 615 3 4 175 943 1,850 3 4 374 1,970 * * * * 5,550 3 4 247 3,416 16,650 3 20 56 2,674

[1] Предполагается, что средний общий объем крови составляет 5 л.

При сравнении результатов, полученных при использовании цельной крови и тест-системы PBMC, становится ясно, что провоспалительные цитокины в тест-системе PBMC в целом имеют более широкий спектр, достигают более высоких абсолютных значений и их секреция начинается с более низких уровней доз по сравнению с системой анализа цельной крови.

В этой наиболее чувствительной тест-системе in vitro резкое увеличение уровней цитокинов, измеренное через 24 часа, наблюдали при дозах от 615 мкг до 1850 мкг РНК для IL-6, от 1850 до 5550 мкг РНК для IFN-γ и от 5550 мкг до 16650 мкг РНК для TNF-α. Даже для IL-6, который был наиболее чувствительным маркером цитокинов в системе in vitro, предполагаемая начальная доза первого цикла инъекции в 50 мкг была в 12-37 раз ниже уровня дозы, который соответствует началу сильной индукции цитокинов in vitro.

В дополнение к исследованию GLP LPT № 31031, авторы провели не GLP -исследование in vitro (Report_RB_14_001_B) с аналогичными экспериментальными средствами, тестируя образцы от трех особей каждого вида, в котором были сделаны наблюдения, подтверждающие результаты исследования GLP (данные не показаны). Результаты взятых вместе всех трех исследований подчеркивают (i) сопоставимость обоих видов, яванских макаков и человека, по отношению к стимуляции клеток после инкубации с испытуемым образцом. Более того, эти наблюдения показали (ii), что система анализа цельной крови более точно отражает ситуацию in vivo, чем PBMC. В системе анализа цельной крови индукция цитокинов была, как правило, менее выраженной и наблюдалась только в группах с самыми высокими дозами, а преобладающая индукция IL-6 была сходна с таковой, определенной по результатам исследований на яванских макаках in vivo (ниже).

Авторы признают более выраженными результаты исследований, полученные с помощью тест-системы PBMC, которая считается искусственной, но в то же время более чувствительной тест-системой in vitro, и поэтому применили эти результаты в стратегии определения безопасной исходной начальной дозы.

In vivo тестирование вторичной фармакологии на яванских макаках

Для более точного понимания кинетики и корреляции вторичных эффектов РНК(LIP) с экспрессией цитокинов на самцах яванских макаков было проведено не GLP-исследование (график лечения и дозы приведены в таблице 10, а в таблице 11 показаны подробный план исследования и количества всех компонентов композиции). Животных (два самца на дозу) в группах 1-5 лечили по такому же графику, как планировали для пациентов, т.е. четыре вакцины РНК(LIP) (качество ATM) и контрольные растворы вводили последовательно в виде медленных болюсных инъекций (приблизительно 10 с) с интервалом 30 минут между каждой инъекцией (т.е. последняя инъекция была сделана через 1,5 ч). Результаты этого исследования также должны быть применены для инъекции WAREHOUSE РНК(LIP), поскольку вторичные эффекты не зависят от последовательности РНК.

Эквивалентные дозы для человека (HED), которые вплоть до 20 раз превышали клинические дозы, были протестированы в рамках исследования (эквивалентная доза для человека рассчитывалась как доза для животных, деленная на 3,1, в соответствии с рекомендациями FDA: Оценка максимальной безопасной начальной дозы в начальных клинических испытаниях терапевтических средств на взрослых здоровых добровольцах). Кроме того, животные из дозовой группы 6 получали однократную дозу 4 × 3,6 мкг РНК в день 22 после получения однократной дозы 4 × 88,6 мкг РНК в день 1.

Таблица 10. График исследования и дозы относительно предполагаемых доз для пациентов

Лечение: животные 1-10 (группы 1-5) получали 5 раз по четыре последовательных инъекции NaCl (физиологический раствор) (группа 1), липосом в той же дозе, что и животные с высокими дозами (группа 2) и РНК(LIP) 1-4 (качество ATM, группы 3-5). Животные в группе 6 получали однократную доз 4 × 88,6 мкг (всего 354 мкг РНК) в день испытания 1 и последующую однократную дозу 4 × 3,6 мкг (всего 14,4 мкг РНК) в день испытания 22. Дозы: дозы приведены как общее количество РНК из расчета мг/кг массы тела и как общая доза РНК (мкг на человека, оцениваются пациенты с массой тела 70 кг). x = момент времени дозирования. - = без дозирования

Группа ID животного Дни введения
(день 1)
Доза HED* Доза HED*
Доза [мг/кг м.т.] Общая РНК [мкг] 1 1, 2 Дни 1, 8, 15, 22 NaCl - NaCl - 2 3, 4 Дни 1, 8, 15, 22 Липосомы - Липосомы - 3 5, 6 Дни 1, 8, 15, 22 0,0086 0,0028 43 194 4 7, 8 Дни 1, 8, 15, 22 0,0256 0,0083 128 578 5 9, 10 Дни 1, 8, 15, 22 0,0708 0,0228 354 1,599 6 11, 12 День 1 0,0708 0,0228 354 1,599 6 11, 12 День 22 0,029 0,0009 14 65

* HED (эквивалентная доза для человека): доза для животных, деленная на 3,1.

Таблица 11. Схема фармакодинамического исследования на яванских макаках (исследование LPT № 29928) Схема фармакодинамического исследования RBL001.1, RBL002.2, RBL003.1 и RBL004.1 после внутривенного введения яванским макакам (исследование LPT № 29928) Тестируемый препарат RBL001.1, RBL002.2, RBL003.1 и RBL004.1 РНК(LIP) Введение 5 введений в день 1, 4, 8, 15 и 22, кроме группы 6 Путь Внутривенное болюсное введение в головную вену левой или правой руки
Болюсное введение (приблизительно 10 секунд) RBL001.1, RBL002.2, RBL003.1 и RBL004.1 с 30-минутными интервалами между каждой из РНК(LIP)
Группы по дозам 1. Контроль NaCl [1]
2. Липосомный контроль
3. Низкая доза
4. Средняя доза
5. Высокая доза
6. Однократная высокая доза в день 1 с последующим периодом восстановления
Дополнительная очень низкая доза на 22 день

day - день, days - дни
Размер группы 2 самца на группу, всего 12 животных

[1] NaCl считается наиболее подходящей контрольной группой. В отличие от РНК в составе липосом, которая образует РНК(LIP) определенного размера и заряда, чистые липосомы, применяемые в группе 2, значительно отличаются по физическим характеристикам, например, заряду и структуре, приводящим к различиям в фармакологических свойствах и измененному биораспределению in vivo.

Клиническое наблюдение

В целом лечение переносилось очень хорошо. Не было замечено никаких аномальных признаков непереносимости ни у одного животного при наблюдении за местной и системной толерантностью (включая поведение, внешний вид, фекалии, смертность, массу тела, а также потребление пищи и воды).

Цитокиновый анализ

Высвобождение цитокинов в плазму изучали для IFN-α, IFN-γ, TNF-α, IL-1β, IL-2, IL-6, IL-10, IL 12p70 и IP-10 в двух кинетиках после 1-й и после 5-й инъекций, перед дозой, а также через 0,5, 2, 5, 9, 24 и 48 часов после завершения лечения (т.е. после завершения цикла инъекции всех 4 продуктов РНК(LIP)).

В испытанных дозах только IL-6 показал дозозависимую и связанную с тестируемыми препаратами индукцию. Cmax уровни были достигнуты через 30 минут после завершения лечения и вернулись к уровням перед дозой через 24 часа (фиг. 25). Животное 11 (группа 6) считалось выбросом, показавшим очень сильный ответ, и имело пиковые уровни IL-6 1071 пг/мл, что было приблизительно в 5 раз выше, чем у других животных той же дозовой группы. Следует отметить, что индукция IL-6 была намного ниже после 5-й инъекции, что позволяет предположить эффект адаптации к IL-6 у обезьян.

Индукция IFN-α наблюдалась только на очень низких уровнях у животных группы 6 с высокой дозой, достигая наивысших уровней через 5 часов, которые возвращались к уровням до введения дозы через 24 часа (фиг. 25). В отличие от наблюдений в культивируемых клетках человека и in vivo у мышей у обезьян индукцию IP-10 не наблюдали. Остается непонятным, почему IP 10 не наблюдали в этом исследовании, поскольку индукцию IP-10 определяли у обезьян после активации агонистов TLR, как сообщалось другими исследователями.

Уровень других протестированных цитокинов (IFN-γ, TNF-α, IL-1β, IL-2, IL-10, IL-12p70) не изменился. Сами по себе липосомы не влияли на высвобождение цитокинов.

Гематология

Стандартные гематологические параметры тестировали после 1-й и после 5-й инъекции перед дозой, через 5, 9, 24 и 48 часов после завершения лечения (2 часа были дополнительно включены после 5-й дозы). Кроме того, гематологические анализы проверяли ежедневно, начиная с 4-12 дней тестирования, а также через 1 и 3 недели после последнего приема препарата.

Временное уменьшение лимфоцитов и временное увеличение нейтрофилов были обнаружены как результаты, связанные с тестируемыми препаратами, в зависимости от дозы. Количество лимфоцитов снижалось очень быстро через 5 часов после завершения лечения вплоть до величины в пять 5 раз у животных с высокими дозами (наименьшее количество приблизительно 1000 лимфоцитов/мкл у животных группы 6). Эффект был временным и восстанавливался примерно через 48 часов. Следует отметить, что истощение лимфоцитов также наблюдали у животных группы липосом в меньшей степени, но не в контрольной группе NaCl (таблица 12). Эффект адаптации, наблюдаемый для индукции IL-6, отсутствовал.

Повышение нейтрофилов также наблюдали в контрольной группе NaCl, однако значительную разницу наблюдали в группах 3-6 по сравнению с контролем. Максимальные эффекты наблюдали через 10 часов после инъекции, и они составляли 44%, 34%, 89% и 91% по сравнению с контролем в группах 3, 4, 5 и 6, соответственно.

Связанные с инъекцией временные эффекты (также в группе NaCl) наблюдали для эозинофилов, лейкоцитов и ретикулоцитов (вероятно, из-за постоянного забора крови).

Таблица 12. Результаты, касающиеся абсолютного количества лимфоцитов [1000/мкл] у яванских макаков (средние значения n = 2) Доза День/часы тестирования после РНК4 Группа 1:
NaCl
Группа 2: липосомы Группа 3:
43 мкг
Группа 4:
128 мкг
Группа 5:
354 мкг
Группа 6: 354 мкг однократно Группа 6: 14.4 мкг однократно
1 день 1, перед дозой 6,170 9,130 6,190 6,490 7,060 5,700 n.d. день 1, 5 ч 4,845 3,295 2,095 2,665 1,490 1,065 n.d. день 1, 9 ч 8,605 6,365 4,250 4,200 1,850 1,78 n.d. день 2 5,165 8,950 4,065 4,300 4,190 3,37 n.d. день 3 5,725 9,075 4,745 5,375 5,250 5,425 n.d. 2 день 4 5,775 8,185 5,175 5,265 5,530 5,87 n.d. день 5 5,565 8,850 4,480 4,170 4,600 5,845 n.d. день 6 5,865 8,560 5,590 6,660 7,200 5,495 n.d. день 7 7,090 9,645 6,225 6,780 8,660 6,885 n.d. 3 день 8 5,980 10,555 6,020 6,955 8,775 6,325 n.d. день 9 4,870 7,870 3,465 4,260 4,960 5,430 n.d. день 10 5,495 8,125 4,350 5,885 7,025 5,400 n.d. день 11 6,360 8,325 4,725 6,045 8,555 5,640 n.d. день 12 5,305 7,555 5,290 5,155 7,950 5,815 n.d. 4 день 15 8,180 11,030 9,540 9,170 9,855 n.d. n.d. день 16 4,765 7,320 2,880 3,365 3,490 n.d. n.d. день 19 5,545 8,230 5,215 5,485 8,035 6.205 n.d. 5 день 22, 2 ч 4,360 4,385 2,055 2,645 2,120 n.d. 2,955 день 22, 5 ч 5,525 5,225 2,955 3,325 2,445 n.d. 3,485 день 22, 9 ч 8,560 12,525 5,490 4,650 3,695 n.d. 4,625 день 23 4,645 7,655 3,505 3,720 4,685 n.d. 4,350 день 24 5,780 8,360 4,760 4,50 6,270 n.d. 5,505 день 30 6,120 8,190 5,265 6,370 6,360 n.d. 5,615

Активация комплемента

C3a измеряли перед дозой, через 0,5, 2, 5, 9, 24 и 48 часов после завершения 1-ой и 5-ой инъекции, через 1 и 3 недели после последнего дозирования. Никаких изменений, связанных с тестируемыми препаратами, не наблюдали, и все значения считали находящимися в пределах нормального диапазона биологической изменчивости.

Клиническая биохимия

Стандартные параметры тестировали перед введением, через 24 часа после каждого введения и дополнительно через 4 дня после 3-го и 4-го введения, а также через 1 и 3 недели после последнего введения.

Не оценивали влияние, связанное с тестируемым препаратом, на биохимические параметры для животных группы, получавшей липосомы, и для животных, получавших тестируемый препарат, по сравнению с контрольными животными и/или фоновыми данными, доступными в CRO, проводившем исследование. Частично данные показывают некоторый разброс из-за небольшого количества животных в каждой группе.

Не было отмечено никаких связанных с тестируемыми препаратами изменений уровней желчных кислот, билирубина, холестерина, креатинина, глюкозы, фосфата, общего белка, триглицеридов, мочевины, кальция, хлорида, калия и натрия в сыворотке крови, а также белков сыворотки крови (альбумин, глобулины и соотношение альбумин/глобулин).

Активность сывороточных ферментов аланинаминотрансферазы (ALAT), щелочной фосфатазы (AP), аспартатаминотрансферазы (ASAT), лактатдегидрогеназы (LDH), альфа-амилазы, креатинкиназы (CK, включая изоформы CK-BB, CK-MB и CK-MM), гамма-глутамилтрансфераза (гамма-GT) и глутаматдегидрогеназа (GLDH) считали находящимися в пределах нормальной биологической изменчивости.

На 23-й день испытаний были отмечены высокие значения активности ферментов ЛДГ, альфа-амилазы и CK у животного № 11, получившего 4 × 3,5 мкг РНК/животное в день испытания 22. Однако эти изменения считаются ассоциированными со стрессом из-за удержания обезьяны в кресле для инфузии, а не связанными с тестируемым препаратом.

Несмотря на то, что они были оценены как не связанные с тестируемым препаратом, небольшие изменения уровня CK были изучены более подробно. Дифференциальный анализ изоферментов CK CK-BB, CK-MB и CK-MM показал, что повышенная активность CK, отмеченная у отдельных животных групп 4, 5 или 6 по сравнению с контрольными животными в дни испытаний 9, 16 или 23, в основном, была обусловлена увеличением фракции СК-ММ. Как правило, не было отмечено увеличения CK-BB и CK-MB, что подтверждает связь повышения общих уровней CK со стрессом.

Обследование сердечно-сосудистой системы

Измерения ЭКГ и артериального давления не выявили влияния на сердечно-сосудистую систему.

Скрининг гомологии последовательностей между WAREHOUSE РНК и протеомом человека

Три из четырех последовательностей мРНК W_ova1 сливали в рамке считывания с двумя фланкирующими линкерными последовательностями, богатыми глицином/серином (GS), областями MITD и секреторными сигнальными областями. В местах стыков этих слияний могут образовываться новые антигенные слитые белки или пептиды, которые потенциально способны вызывать нежелательный аутоиммунный ответ, если они гомологичны человеческим белкам. Поэтому определяли, являются ли последовательности участков стыков, связанные с линкерными последовательностями и энхансерными последовательностями, антигеном и трансмембранным доменом, гомологичными последовательностям известных человеческих белков, путем поиска гомологии на основе программы BLAST по базе данных последовательностей известных человеческих белков.

Анализируемые последовательности слитого белка разделяли на более мелкие пептидные последовательности с применением скользящего окна длиной от 9 до 15 и размером шага в один аминокислотный остаток. Все полученные пептиды сравнивали со справочной базой данных с применением команды BLAST пакета программного обеспечения BLAST (отсечка е-значения 10, пропуски не допускаются).

Для подпоследовательностей пептидов, гомологичных на 100%, не было обнаружено значимого выравнивания последовательностей в случае белков человека.

Раздел 4. Фармакология безопасности

В руководстве ICH S7A описана основная группа исследований, включая оценку функции дыхательной системы, центральной нервной системы (ЦНС) и сердечно-сосудистой системы, которые следует проводить с любым фармацевтическим продуктом до воздействия на человека. Поэтому фармакология безопасности для РНК(RIN) и РНК(LIP) была протестирована как неотъемлемая часть шести токсикологических исследований GLP, которые описаны в разделе 6.

Потенциальные эффекты на функцию ЦНС и дыхательной системы были оценены в основных исследованиях токсичности при повторных дозах, и какого-либо влияния, связанного с тестируемыми продуктами, на животных выявлено не было.

Авторы провели анализ риска потенциального воздействия РНК(LIP) вакцин на сердечно-сосудистую систему. Системно распределенная РНК разрушается в кровотоке, а РНК в виде РНК(LIP) выводится из крови в течение нескольких минут и распределяется, в основном, в селезенке и печени, как показывают исследования биораспределения (смотри ниже). Полученные данные не предполагают, что РНК(LIP) будет накапливаться в сердечно-сосудистой системе. Ожидается, что потенциальные системные побочные эффекты вакцинации с помощью РНК(LIP) будут связаны с временным повышением IFN-α, которое, как ожидается, не приведет к побочным эффектам со стороны сердечно-сосудистой системы, как это было зарегистрировано у тысяч пациентов, получавших IFN-α. Следовательно, GLР-фармакологическое исследование безопасности сердечно-сосудистой системы, соответствующее требованиям ICH S7A/B, не проводили. Однако имеются подтверждающие данные ЭКГ и измерения артериального давления не-GLР фармакологического исследования на яванских макаках, получавших РНК(LIP), которые касаются оценки сердечно-сосудистой функции после введения РНК(LIP) вакцин.

Таким образом, не наблюдали никаких изменений в дыхательной, нервной и сердечно-сосудистой системах у мышей в любой дозовой группе (дыхательная система и функция ЦНС) и яванского макака (сердечно-сосудистая функция).

Безопасность органов дыхания

Безопасность органов дыхания была включена в исследования токсичности многократных доз на мышах с применением WAREHOUSE РНК в соответствии с GLP (LPT № 28864 и 30283). Например, плетизмография была протестирована в исследовании с WAREHOUSE РНК(LIP) (LPT № 30283) на четырех животных, получавших либо контрольный буфер, либо низкую, либо высокую дозу (5 и 50 мкг РНК в составе 9 и 90 мкг липосом, соответственно). Также в исследование был включен положительный контроль (животные, получавшие 30 мг карбамил-β-метилхолинхлорида (бетанеколь)/кг массы тела). Плетизмографию выполняли через день после 4-7-го дня дозирования. Тесты включали оценку частоты дыхания, дыхательного объема, минутного объема, времени вдоха, времени выдоха, пикового потока выдоха и вдоха, времени выдоха и индекса сопротивления дыхательных путей. Ни один из тестируемых легочных параметров не показал каких-либо изменений, связанных с исследуемым продуктом, у животных, получавших лечение, по сравнению с контрольной группой. Только животные из группы положительного контроля показали ожидаемые изменения.

Безопасность ЦНС

Безопасность ЦНС была включена в исследования токсичности многократных доз на мышах с применением WAREHOUSE РНК в соответствии с GLP (LPT № 28864 и 30283). Например, в исследовании со WAREHOUSE РНК(LIP) (LPT № 30283) обзорный скрининг был проведен на пяти животных примерно через 24 часа после 5-го введения контрольного буфера, а также низкой и высокой дозы (5 и 50 мкг РНК с 9 и 90 мкг липосом, соответственно). В обзорный скрининг были включены следующие тесты: рефлекс выпрямления, температура тела, слюноотделение, реакция вздрагивания, дыхание, дыхание ртом, мочеиспускание, судороги, пилоэрекция, диарея, размер зрачка, реакция зрачка, слезотечение, нарушение походки, стереотипия, защемление пальцев ног, защемление хвоста, проволочный тест, растяжение задних конечностей, позиционная пассивность, тремор, положительный геотропизм, вращение конечностей и слуховая функция. Кроме того, были включены функциональные тесты для оценки силы захвата и двигательной активности.

Неврологический скрининг не выявил какого-либо влияния тестируемых препаратов на мышей, которое можно было бы отнести к неврологической токсичности. Эти результаты были подтверждены результатами GLP-исследования токсичности повторных доз LPT № 28864, проведенного для RB_0003-01/Lipo-MERIT с применением различных РНК, как подробно описано в соответствующем IMPD.

Безопасность в отношении сердечносо-судистой системы

Исследование безопасности в отношении сердечно-сосудистой системы согласно ICH S7 не проводили, поскольку РНК разлагается в кровотоке в течение нескольких секунд, и нет никаких указаний на то, что РНК(LIP) будет накапливаться в сердечно-сосудистой системе.

Однако имеются подтверждающие данные фармакологического GLP-исследования на яванских макаках с РНК(LIP), нацеленной на антигены, ассоциированные с меланомой, использовали двенадцать обезьян яванского макака, разбитых на шесть групп (схема исследования в таблице 11), а ЭКГ и измерения артериального давления проводили после 4-го введения в трех временных точках: до введения, через 5 часов после завершения лечения и через 24 часа после введения.

Яванские макаки очень хорошо переносили инъекции РНК(LIP) (нет данных клинических наблюдений). Ни на один из измеренных параметров (артериальное давление, частота сердечных сокращений, значения QTc, интервалы QT, P-сегмент, PQ, QRS) не было оказано никакого влияния, связанного с тестируемыми препаратами. Кроме того, были определены сывороточные уровни CK-MB и тропонина-I, чтобы исключить возможность некротического повреждения ткани сердечной мышцы. Все измеренные параметры были отрицательными, что свидетельствовало об отсутствии токсического воздействия РНК(LIP) на сердечно-сосудистую систему при уровнях доз, протестированных в ходе исследования.

Обсуждение и выводы

Авторы провели обширные исследования механизма действия и первичной фармакодинамики РНК(LIP) на мышах и в тест-системах человека in vitro. Доклинические исследования показали, что РНК(LIP) вакцины, в основном, нацелены на селезенку после внутривенного введения. РНК(LIP) вакцина вызывает двойное действие, а именно индукцию антигенспецифических Т-клеточных ответов и процессов клеточной активации и иммуномодуляции после запуска TLR.

Полученные данные подтверждают, что все ведущие структуры РНК, кодирующей антигены, применяемой in vivo, включая эпитоп-помощник столбнячного анатоксина, кодируемый RBLTet.1, индуцируют антигенспецифические Т-клеточные ответы. Кроме того, авторы показали, что концепция совместного введения РНК RBLTet.1 с РНК, кодирующей опухолевый антиген, улучшает иммунный ответ на опухолевый антиген на мышиной модели.

Для двух репрезентативных WAREHOUSE РНК (RBL001.2 и RBL007.1) была доказана сильная антигенспецифическая цитотоксичность in vivo при липосомальном составе и внутривенной вакцинации. Было определено, что РНК(LIP) вакцина индуцирует противоопухолевые эффекты in vivo при применении на профилактических и терапевтических моделях опухолей мышей, нацеленные либо на ксеногенные модельные антигены, либо на эндогенный антиген gp70 у мышей BALB/c.

Функциональными свойствами препаратов РНК(LIP) являются (i) защита РНК в сыворотке и (ii) эффективное нацеливание in vivo на APCs, которые способны презентировать антигенные пептиды и активироваться с последующим запуском TLR7. Иммуномодулирующая активность РНК приводит к дозозависимой индукции цитокинов в образцах крови человека, мышей и яванского макака, которые все обнаруживают индукцию IFN-α, IP-10 и IL-6 в различной степени, в зависимости от тестируемого вида или применяемой тест-системы. РНК(LIP)-опосредованная индукция цитокинов в PBMC была ожидаемой, поскольку есть хорошие доказательства этому из собственных исследований авторов РНК и из литературы. Помимо этих ожиданий, умеренная индукция IFN-α и индукция хемокина IP 10 (CXCL10), скорее, отражает начало предполагаемого фармакологического эффекта, чем нежелательное иммунотоксикологическое событие.

Интересно, что как активация различных иммунных клеток в селезенке, так и системная индукция IFN-α, наблюдаемая после введения РНК(LIP), были отменены, когда для образования РНК(LIP) применяли неиммуногенные РНК, указывая на то, что компонент РНК, а не липидный компонент РНК(LIP) отвечает за наблюдаемые эффекты.

Данные, полученные на мышах, указывают на то, что спленоциты представляют собой основной источник секреции IFN-α, которая зависит от TLR7, поскольку она снижается у мышей TLR7 -/-. Авторы рассматривают наблюдаемые временные и полностью обратимые цитокиновые ответы как предполагаемый фармакодинамический эффект, способствующий эффективной индукции индуцированных вакциной противоопухолевых Т-клеточных ответов. Благоприятные иммунологические свойства сочетаются с хорошей переносимостью РНК(LIP) вакцин мышами и яванским макаком.

Авторы также изучали вторичные эффекты введения РНК(LIP) вакцин в нескольких исследованиях in vitro и in vivo с применением тест-систем на людях, яванских макаках и мышах. Особое внимание было уделено иммуномодулирующим эффектам РНК(LIP) вакцин, поскольку они были сильнее, чем те, которые авторы наблюдали для вводимых в лимфатические узлы РНК вакцин вне липосомного состава, что приводило только к локальной клеточной активации и индукции цитокинов.

Были проведены эксперименты с применением образцов цельной крови и PBMC, полученных от человека и яванского макака, что исключало неспецифическую или неконтролируемую клеточную активацию иммунных клеток человека с помощью РНК(LIP) вакцин, но при этом показало умеренную индукцию цитокинов, как и ожидалось. В этих экспериментах клетки человека и яванского макака обрабатывали в дозах, охватывающих наивысшие предполагаемые клинические дозы и выше.

Хотя с точки зрения уровней цитокинов были обнаружены различия между донорами, различными тест-системами in vitro (культивируемые PBMC и цельная кровь) или видами, наблюдаемые цитокиновые паттерны и временный характер цитокиновых ответов были одинаковыми во всех исследованиях за небольшими исключениями, например, индукцию IP-10 не наблюдали у яванского макака. PBMC человека показали индукцию IP-10 и низкий ответ IL-6 и IFN-α, уровни которых были даже ниже при исследовании в цельной крови. Яванские макаки показали очень низкий ответ IFN-α, не показали никакой индукции IP-10 и более выраженный ответ IL-6 при испытанных уровнях доз. Мыши показали сильный ответ IFN-α, IP-10 и IL-6, однако при дозах примерно в 10 раз выше, чем при тестировании на обезьянах (исходя из доз на кг массы тела). Различия в экспрессии цитокинов у мышей и обезьян можно объяснить тестированием разных доз, с одной стороны. С другой стороны, мыши обладают иной активностью в отношении TLR7/8, что также может быть правдоподобным объяснением различных паттернов экспрессии цитокинов.

Паттерны цитокинового ответа, наблюдаемые у яванского макака in vivo, были лучше выражены в системе анализа цельной крови по сравнению с тестовой системой PBMC, в которой наблюдали более широкий, более высокий цитокиновый ответ при более низких уровнях доз. Тем не менее, результаты, полученные на более чувствительных PBMC, были использованы в стратегии определения безопасной начальной дозы для пациентов. Параллельное сравнение секреции цитокинов в цельной крови человека и яванского макака показало, что оба вида в высшей степени сопоставимы применительно к индукции провоспалительных цитокинов при введении РНК(LIP), что позволяет предположить, что яванский макак представляет собой адекватную модель на животных для прогнозирования вторичных фармакодинамических эффектов, которые могут возникнуть у пациентов после вакцинации РНК(LIP).

В дополнение к процессам клеточной активации и индукции цитокинов после воздействия РНК(LIP) авторы оценивали гематологические изменения в исследованиях на мышах и яванском макаке. В этих исследованиях временную лимфопению одинаково наблюдали у мышей и обезьян при всех уровнях доз. В целом, обезьяны, получавшие РНК(LIP), демонстрируют такую же реакцию по цитокиновому профилю и гематологическим параметрам, как и обезьяны, получавшие другой агонист TLR. Это согласуется с предположением, что основные процессы активации экспрессии цитокинов с помощью РНК(LIP) происходят через стимуляцию TLR. Обширные фармакодинамические исследования на мышах дикого типа, TLR7-/- и IFNAR-/- предполагают, что гематологические данные представляют собой вторичные эффекты цитокинов, индуцированных РНК(LIP). Было показано, что РНК(LIP), а также голая РНК, не в виде препарата, способна активировать TLR. Было обнаружено, что активация TLR вызывает лимфопению и накопление В-клеток в селезенке. В качестве подтверждения, данные гистопатологии, полученные в ходе токсикологического тестирования, показали, что временную лимфоидную гиперплазию обнаруживают в селезенке, а не в каком-либо другом органе или ткани. Это соответствует наблюдаемой лимфопении в крови и подчеркивает предполагаемое нацеливание РНК(LIP) и, следовательно, также предполагаемое привлечение эффекторных клеток к лимфоидному органу.

Проведенные фармакологические исследования подтверждают безопасный профиль РНК(LIP). Неврологический скрининг не выявил какого-либо влияния тестируемых препаратов на мышей ни в одном из проведенных тестов. Ни один из протестированных легочных параметров не показал каких-либо изменений у мышей, получавших РНК(LIP). У яванских макаков не было указаний на эффекты тестируемых препаратов в отношении сердечнососудистой системы. В целом, РНК(LIP) демонстрирует очень хороший общий профиль в отношении фармакологических параметров безопасности.

Раздел 5. Фармакокинетика

Несмотря на то, что фармакокинетические исследования обычно не проводят во время разработки противораковой вакцины, авторы провели исследования in vivo для определения биораспределения РНК-липоплексов, вводимых внутривенно, и наличия или сохранения остаточных количеств плазмид из-за примесей в лекарственном препарате.

РНК, транскрибируемая in vitro, состоит из рибонуклеотидов и, следовательно, идентична по структуре РНК, синтезируемой клетками человеческого организма, за исключением структуры 5'-кэпа. Следовательно, вводимые РНК подвергаются тем же процессам деградации, что и природная мРНК. Обильные РНКазы, особенно во внеклеточном пространстве и сыворотке, приводят к быстрому разрушению РНК.

Как указано ниже, в фармакокинетических исследованиях изучали распределение/расположение и возможное накопление РНК в селезенке, печени и легких. Кроме того, количественно определяли потенциальные примеси плазмидной ДНК в гонадах мышей, обработанных РНК(LIP).

Биораспределение и устойчивость синтетического катионного липида DOTMA были изучены в первых поисковых исследованиях in vivo. Полностью синтетический DOPE нельзя отличить от собственного природного фосфолипида DOPE организма, и поэтому авторы воздержались от дальнейших исследований биораспределения и накопления этого липида.

Краткое изложение основных результатов В исследованиях in vivo на мышах анализировали биораспределение РНК(LIP), остаточные примеси плазмидной ДНК и биораспределение и остаточные примеси синтетического липида DOTMA.
РНК: для анализа биораспределения РНК(LIP) in vivo уровни IVT-РНК в образцах из GLP-исследования токсичности многократных доз анализировали с помощью способа на основе RT-qPCR в сторонней компании. Образцы органов для анализа РНК включали кровь, селезенку, печень и легкие. Был разработан полуколичественный аналитический способ для определения общего количества РНК, и образцы органов были проанализированы в условиях, отличных от GLP. Способ был основан на RT-qPCR. РНК быстро выводилась из крови с предполагаемым периодом полураспада примерно 5 мин. Впоследствии она была обнаружена в печени, селезенке и легких в гораздо меньших количествах, чем в крови.
Остаточные примеси плазмиды: был разработан количественный аналитический способ для обнаружения остаточных примесей плазмид, и образцы гонад были проанализированы в соответствии с GLP в BioNTech IMFS GmbH. Способ основан на количественной ПЦР для обнаружения гена устойчивости к канамицину в плазмиде.
Остаточные плазмидные примеси не были обнаружены или лишь немного превышали нижний предел обнаружения. Сигналы были аналогичными после 1-го или 8-го введения, что свидетельствует о том, что как РНК, так и остаточные примеси ДНК не накапливаются или не сохраняются в исследуемых органах.
DOTMA: для анализа биораспределения РНК(LIP) in vivo DOTMA экстрагировали из крови и семи выбранных органов, которые собирали после внутривенной инъекции РНК(LIP) мышам, и содержание DOTMA определяли количественно с помощью анализа LC/MS в условиях, отличных от GLP. DOTMA был быстро (менее чем за час) доставлен в селезенку (и другие органы) после внутривенного введения РНК(LIP). Самые высокие уровни DOTMA были в селезенке и печени, тогда как количество DOTMA во всех других образцах органов было довольно незначительным. Накопленный DOTMA после повторного введения РНК(LIP) удаляется из органов с кинетикой, которая может быть разумно представлена распадом первого порядка с приблизительным периодом полураспада около 6-7 недель.

Биораспределение

РНК

Биораспределение РНК(LIP) было подробно изучено на мышах путем отбора образцов органов во время GLP-исследования токсичности повторной дозы (LPT № 28864), проведенного для клинического эксперимента RB_0003 01/Lipo-MERIT. Органы анализировали на суммарное количество всех IVT-РНК с применением способа количественной RT-PCR, разработанного в IMGM Laboratories GmbH, Мартинсрид, Германия, в условиях, отличных от GLP (идентификатор исследования: RS297). Таким образом, РНК очень быстро выводится из крови с расчетным периодом полураспада приблизительно 5 минут. Через 48 часов, соответственно, и 7 дней РНК обнаруживали только на предельном уровне в крови и органах, что позволяет предположить, что она быстро разлагается и не сохраняется.

Остаточные плазмидные примеси

Биораспределение остаточных плазмидных примесей при вакцинации РНК(LIP) изучали с применением образцов из GLP-исследования токсичности многократных доз (LPT № 28864). В соответствии с GLP в компании BioNTech IMFS GmbH, Идар-Оберштайн, Германия, был разработан способ анализа остаточных плазмидных примесей в образцах органов. Все протестированные образцы были либо ниже, либо немного выше нижнего предела обнаружения (LLOD), что позволяет предположить, что плазмидная ДНК не накапливается или не сохраняется в гонадах (ID исследования: 36X130313).

DOTMA

Биораспределение двух синтетических липидов, примененных в составах РНК(LIP), может дать представление о физическом распределении частицы-носителя липоплекса во времени. Синтетический катионный липид DOTMA был выбран для исследований биораспределения, потому что это не встречающаяся в природе молекула, и поэтому ее можно легко обнаружить на фоне биологической среды.

В первом исследовании биораспределения DOTMA липид был извлечен из крови и семи выбранных органов, которые были собраны после внутривенной инъекции РНК(LIP) мышам. Использовалась смесь равных частей IVT-РНК, приготовленных с применением липосом качества ATM. Это первоначальное исследование включало пять мышей, из которых одну оставили без обработки, две получили однократную инъекцию 60 мкг РНК, а две получили по две инъекции 60 мкг РНК с интервалом в 20 дней. Всех мышей умерщвляли через 24 часа после последней инъекции. Количественное определение DOTMA проводили с помощью измерений LC/MS. Целью экспериментов было проверить общую пригодность протоколов экстракции и количественной оценки и получить первые сведения о биораспределении DOTMA после вакцинации РНК(LIP).

DOTMA можно было четко определить во всех исследованных органах и наблюдать явные различия между результатами исследования в различных органах. В соответствии с предложенным механизмом действия, самые высокие показатели количества DOTMA были в селезенке.

На основе этих первых результатов было проведено исследование с однократным введением РНК(LIP) (Report_BN_14_004). Концентрация DOTMA в выбранных органах оценивалась в течение периода до 28 дней (d0, d1, d4, d7, d14, d21, d28). В этом эксперименте вводили 200 мкл РНК(LIP), содержащей 20 мкг РНК и 26 мкг DOTMA (в первом исследовании вводили 60 мкг на инъекцию). Концентрация DOTMA во введенном продукте составляла 195 мкМ. Исследовали трех мышей на каждый момент времени. Результаты для всех семи временных точек представлены на фиг. 26 и фиг. 27.

Как можно видеть, DOTMA преимущественно обнаруживается в селезенке и печени с несколько иной кинетикой накопления. Во всех остальных исследованных органах/тканях (легкое, сердце, почки, лимфатические узлы, жировая прослойка, костный мозг, мозг) результаты были в 10-50 раз ниже, чем в селезенке и печени (фиг. 26 и фиг. 27). На основании данных о печени и селезенке можно было оценить фармакокинетику DOTMA: максимальная концентрация была обнаружена через несколько дней после введения. В течение 20 дней концентрация DOTMA снизилась примерно до 50% от максимальных значений. Эти данные подтверждают предположение, что DOTMA выводится из органов в приемлемые сроки, и никаких выводов о риске постоянного накопления в каком-либо органе сделать нельзя.

В последующем исследовании концентрацию DOTMA в выбранных органах оценивали до (контрольная группа), во время и после восьминедельных инъекций РНК(LIP), каждая из которых содержала 20 мкг РНК (RBL005.2) и 26 мкг DOTMA (Report_RB_15_004_V02). Образцы органов отбирали у мышей через час после первого введения РНК(LIP), а затем каждые две недели после предыдущего применения. После завершения восьми циклов применения мышей умерщвляли еще через 3, 6, 9, 12 и 15 недель для исследования клиренса DOTMA в органах. Повторное введение тестируемого препарата РНК(LIP) и отбор образцов органов проводили в домашних условиях, тогда как выделение и количественное определение DOTMA из предоставленных образцов органов проводили в Charles River Laboratories Edinburgh Ltd (исследование № 322915). Результаты хорошо согласуются с предыдущими исследованиями, проведенными авторами: опять же, самые высокие концентрации DOTMA наблюдали в селезенке как главном органе-мишени, за которым следует печень (фиг. 28). Во всех других органах было обнаружено не более 5% от концентрации, присутствующей в образцах селезенки (данные не показаны). Как можно видеть, концентрации DOTMA возрастали с увеличением числа инъекций РНК(LIP), а затем непрерывно снижались в фазе восстановления после последнего применения. Конечный период полувыведения DOTMA в плазме (7,07 недели), селезенке (6,76 недели) и печени (6,57 недели) был сопоставим с данными, полученными на животных в период восстановления после 8-й дозы.

Таким образом, DOTMA как индикатор липидного носителя быстро (менее чем за час) доставляется в селезенку (и другие органы) после внутривенного введения РНК(LIP). Помимо селезенки, DOTMA накапливается преимущественно в печени, где, однако, трансляции РНК не наблюдается. В абсолютных цифрах количество DOTMA, обнаруженное в этих двух органах, было близко к общему кумулятивному количеству DOTMA, которое было введено, тогда как количества DOTMA во всех других образцах органов были довольно незначительными.

Исходя из оценки животных в группах восстановления, накопленная DOTMA после повторного введения РНК(LIP) удаляется из органов с кинетикой, которая может быть разумно представлена распадом первого порядка с приблизительным периодом полураспада около 6-7 недель. Такая кинетика клиренса также соответствует результатам повторных применений, в которых наблюдали временное накопление.

В совокупности эти результаты подтверждают предположение, что DOTMA выводится из органов в приемлемые сроки и что потенциальный риск постоянного накопления липидов в плазме, печени, селезенке, легких, сердце, головном мозге, почках, матке, лимфатических узлах и в костном мозге довольно низок.

Метаболизм

РНК

Метаболический путь РНК хорошо изучен: сначала РНК деаденилируется, после чего происходит снятие кэпа и дальнейшая деградация до нуклеозидмонофосфатов под действием РНКаз. Большинство вовлеченных в этот процесс ферментов хорошо описаны. Только бета-S-ARCA(D1)-кэп в исследуемых РНК отличается от природного кэпа m7GpppG в мРНК. Тем не менее, бета-S-ARCA(D1)-кэп должен разрушаться расщепляющим ферментом Dcp2.

Дальнейшие исследования биотрансформации рассматривали как не предоставляющие соответствующей дополнительной информации и их не проводили.

DOTMA/DOPE

Липиды для образования РНК(LIP) представляют собой встречающийся в природе фосфолипид DOPE и синтетический катионный липид DOTMA. DOPE будет метаболизироваться как собственный DOPE организма. Хотя подробные сведения о метаболизме DOTMA пока отсутствуют в литературе, ожидается, что катионный DOTMA в качестве эфирного липида метаболизируется с меньшей скоростью по сравнению с фосфолипидом DOPE. DOTMA уже успешно применяется в клинике с дозами до 2,4 мг. Кроме того, применяемые дозы DOTMA в этом исследовании относительно низкие по сравнению с другими липосомными продуктами, включающими аналогичные катионные липиды.

Выведение

Специальных исследований не проводили. Считается, что исследования выведения РНК вакцины не вносят вклад в совокупность доклинических данных.

Фармакокинетические лекарственные взаимодействия

Для РНК(LIP) вакцин не планируется проводить никаких исследований фармакокинетического взаимодействия.

Другие фармакокинетические исследования

В соответствии с директивой ICH M3 (R2) «Доклинические исследования безопасности при проведении клинических испытаний на людях и регистрации на рынке фармацевтических препаратов» («Non-clinical Safety Studies for the Conduct of Human Clinical Trials and Marketing Authorisation for Pharmaceuticals»), дополнительная информация о распределении и метаболизме у подопытных видов будет получена авторами до применения к большому числу людей или лечения в течение длительного времени (более поздняя клиническая разработка/до фазы III).

Обсуждение и выводы

In vitro транскрибируемая РНК, состоящая из рибонуклеотидов, имеет структуру, идентичную РНК, продуцируемой клетками человеческого организма, причем различие заключается только в структуре 5'-кэпа. Таким образом, IVT-РНК подвергаются тем же процессам деградации, что и природная мРНК. Большое количество РНКаз, особенно во внеклеточном пространстве и сыворотке, приводит к быстрому разрушению РНК.

Внутриклеточная РНК разлагается в течение нескольких часов (t½ = приблизительно 6 часов) как показано в экспериментах in vitro, описанных в IMPD для клинического испытания авторов RB_0001-01/MERIT.

Результаты исследований биораспределения РНК(LIP) показывают высокие уровни РНК в крови вскоре после инъекции РНК(LIP). РНК быстро выводится из крови и впоследствии, хотя и в гораздо меньших количествах, обнаруживается в селезенке и печени, тогда как в легких можно обнаружить лишь незначительные количества. Поскольку РНК, распределенная в печени, может приводить к временной иммунной активации через запуск TLR, ферменты печени будут тщательно контролироваться у пациентов после первой инъекции и на протяжении всего исследования. Через 48 часов и 7 дней в крови и органах были обнаружены только остаточные количества РНК, что позволяет предположить, что РНК не накапливается или сохраняется в каком-либо органе. Также сравнение уровней Cmax после 1-й и 8-й инъекций не показало каких-либо накапливающих эффектов.

В гонадах плазмидная ДНК либо не была обнаружена, либо уровни были немного выше LLOD, что позволяет предположить, что существует лишь незначительный риск интеграции остатков плазмиды, например, гена устойчивости к канамицину в геном клеток зародышевой линии.

Было показано, что биораспределение DOTMA в первую очередь обнаруживается в селезенке и печени, что позволяет рассматривать селезенку как основной орган-мишень при вакцинации РНК(LIP). DOTMA в значительно меньших количествах выявляется в плазме и других тканях после однократного и восьми повторяющихся введений РНК(LIP). DOTMA выводится из плазмы, селезенки и печени с сопоставимым конечным t½ порядка 6-7 недель.

Раздел 6. Токсикология

Программа токсикологии для разработанной РНК вакцины включала несколько фармакологических исследований для тестирования данной РНК(LIP) вакцины в различных диапазонах доз и изучение токсичности при повторных дозах, включая местные параметры фармакологии толерантности и безопасности, а также исследования иммунотоксичности. Исследования проводили в соответствии с условиями GLP во внешней CRO (LPT, Гамбург, Германия) с применением партий РНК и липосом, сопоставимых с продуктами клинических испытаний с точки зрения производственных процессов и аналитического контроля качества.

GLP-исследования включали 6-недельное изучение токсичности многократных доз с внутривенным введением шести различных WAREHOUSE антиген-кодирующих РНК(LIP) плюс p53, кодируемый RBL008.1, и хелперный столбнячный анатоксин, кодируемый РНК RBLTet.1, на мышах C57BL/6 (LPT № 30283).

Кроме того, было проведено дополнительное 6-недельное GLP-исследование токсичности с повторной дозой с применением РНК вакцины Ribological®, нацеленной на ряд специфичных для меланомы антигенов (LPT № 28864). Хотя были протестированы различные последовательности РНК, данные о токсичности также актуальны для WAREHOUSE РНК и могут добавить важную информацию, поскольку для приготовления РНК(LIP) применяли тот же тип липосом. Профиль токсичности препаратов РНК в обоих исследованиях должен быть одинаковым или, по меньшей мере, сопоставимым из-за того, что возможные побочные эффекты связаны с внутренними молекулярными свойствами липосомных рецептур РНК, которые не зависят от последовательности РНК и ее длины.

Кроме того, было проведено дополнительное 4-недельное исследование токсичности при повторной дозе для оценки сопоставимости липосом, примененных в 6-недельном исследовании токсичности при повторной дозе, с адаптированным к pH липосомным составом, буферные условия которого были слегка скорректированы по причинам долгосрочной стабильности (LPT № 30586).

Краткое изложение основных результатов В исследованиях LPT № 28864 и 30283 с применением РНК, кодирующей меланосомный антиген и антиген рака груди, не наблюдали токсикологических эффектов, которые можно было бы приписать РНК(LIP) вакцине.
Признаков местной и системной реакции непереносимости у вакцинированных животных не отмечено. На массу тела, прием пищи, потребление питьевой воды, тесты функционального наблюдения, силу захвата передними и задними конечностями и спонтанную моторику тестируемые продукты не влияли.
Легкую и преходящую лимфопению наблюдали у животных во всех дозированных группах, которые, как считается, соответствуют предполагаемому фармакологическому эффекту вакцинации с помощью РНК(LIP) из-за запуска TLR и индукции цитокинов. Самое главное, что эти эффекты полностью восстановились через две недели.
Было обнаружено, что хемокин IP-10 (CXCL10) и IFN-α временно индуцируются дозозависимым образом, вероятно, из-за начала предполагаемого фармакологического эффекта.
Индукция IP-10 и IFN-α была максимальной через 6 часов после пятой инъекции и либо была близкой, либо полностью возвращалась к нормальным уровням через 24 часа.
Временные существенные индукции IL-6 и IFN-γ были обнаружены только у самцов животных в группах с высокими дозами, тогда как для IL-2 наблюдались только умеренные индукции, независимо от пола и уровня дозы.
Связанное с тестируемым препаратом увеличение уровней ALAT, ASAT, GLDH и LDH было отмечено у животных в группах с высокими дозами, однако эти эффекты носили временный характер и полностью исчезли через три недели. При гистопатологических исследованиях не было обнаружено признаков токсического действия на печень.
Увеличение веса селезенки наблюдали у животных всех групп дозирования. У животных группы средней и высокой дозы эти эффекты полностью не восстанавливались через три недели. На статус мочевыделительной системы и костный мозг не повлиял ни один из протестированных уровней доз. При вскрытии трупа и гистопатологическом исследовании изменений, связанных с тестируемыми препаратами, не отмечено. Лимфоидную гиперплазию белой пульпы селезенки от минимальной до легкой из-за фармакологического механизма действия наблюдали у животных, вакцинированных высокой дозой. Эти эффекты полностью исчезли через три недели.
Важно отметить, что, поскольку в группе с низкой дозой исследования LPT № 30283 (5 мкг общей РНК) не было обнаружено никаких результатов, для РНК(LIP) вакцины был достигнут NOAEL, равный 5 мкг общей РНК на животное (т.е. приблизительно 0,2 мг/кг массы тела у мышей).
В заключение следует отметить, что мыши очень хорошо переносили внутривенную инъекцию множественными вакцинными антигенами, включенными в липосомы. При сравнении профилей токсичности липосом, примененных в основных исследованиях, и слегка рН-адаптированной липосомальной композиции, не было обнаружено значимых токсикологически значимых различий между двумя липосомальными препаратами (LPT № 30586).

Выбор подходящих видов

Авторы считают мышей подходящим видом для тестирования потенциально токсичных прямых эффектов WAREHOUSE РНК(LIP) вакцин по следующим основным причинам:

• Мышь как модельная система обеспечивает все соответствующие характеристики врожденного и адаптивного иммунитета, необходимые для выявления прямых токсических эффектов WAREHOUSE РНК. У мышей обнаруживаются все ожидаемые первичные и вторичные фармакологические эффекты как результат индукции CD4 +/CD8 + Т-клеточных ответов на иммуномодулирующие факторы, которые усиливают иммунный ответ и приводят к последующему запуску TLR, клеточной активации и секреции цитокинов.

• Модельная система на мышах включает множество доступных инструментов и способов для исследования биологических эффектов, которые намного превосходят экспериментальные возможности исследований, проводимых на других видах животных, например, доступность моделей на трансгенных мышах, тетрамеров MHC, антител и т.д.). Это позволяет более глубоко анализировать все неожиданные события.

• Целевые эффекты вакцин не могут быть адекватно исследованы на животных. Таким образом, эксперименты на других видах животных не предоставят дополнительной информации, и, следовательно, применение высших млекопитающих не должно рассматриваться.

Токсикология однократной дозы

Исследования по определению диапазона доз обычно проводят для обоснования доз для основного исследования токсичности и для получения первой информации об органах-мишенях и признаках токсичности. Авторы провели несколько фармакологических исследований для тестирования РНК(LIP) в различных диапазонах доз с графиками, аналогичными предполагаемому клиническому режиму. В ходе этих исследований было обнаружено, что введение РНК(LIP) вызывает благоприятные фармакодинамические эффекты и хорошо переносится.

Кроме того, авторы показали в предыдущих исследованиях токсичности, что внутривенно введенная голая РНК очень хорошо переносится мышами даже в высоких дозах. Липосомы, содержащие DOTMA или DOPE в качестве синтетических липидных компонентов, были протестированы в многочисленных клинических исследованиях, и несколько одобренных липосомальных лекарственных препаратов показали очень хорошую переносимость. Некоторые липосомальные препараты даже применяли для снижения специфической токсичности лекарств, например, нефротоксичности или гепатотоксичности нуклеиновых кислот в высоких дозах или токсичности малых молекул, таких, как доксорубицин или клофазимин.

Исходя из данных, полученных в результате ряда внутренних исследований и изучения литературы, авторы делают следующий вывод.

• Переносимые дозы для мышей, которые обеспечат достаточный запас безопасности первой дозы при введении человеку, могут быть выведены из проведенных фармакологических исследований.

• Однократного введения дозы будет недостаточно, чтобы вызвать значительный иммунный ответ. Максимальный иммунный ответ наблюдается после, по меньшей мере, трех применений.

• РНК вакцины и липоплексные композиции в целом хорошо переносятся.

Основываясь на этих выводах, авторы решили не проводить исследования токсичности однократных доз, а непосредственно провели исследование токсичности при повторных дозах.

Токсикология повторных доз

Продукт РНК(LIP) вакцины Ribological® РНК был проанализирован на безопасность и токсичность в нескольких GLP-исследованиях токсичности при повторных дозах при внутривенной инъекции продуктов РНК(LIP). В таблице 13 представлен обзор исследований токсичности GLP при многократном введении, которые подтверждают клиническую фазу I тестирования с применением РНК(LIP) вакцин.

Таблица 13: Схема исследований токсичности многократных доз GLP Исследование Схема исследования 6-недельное исследование токсичности WAREHOUSE РНК(LIP) при многократном внутривенном введении мышам C57BL/6
(LPT исследование № 28864)
Всего восемь внутривенных введений в хвостовую вену в день 1, 4, 8, 11, 15, 22, 29 и 43 с последующим 3-недельным периодом восстановления.
Вакцины: RBL001.1, RBL002.2, RBL003.1 и RBL004.1 РНК(LIP)
4 группы (14 животных/пол/группа):
1. контроль: носитель
2. низкая доза: 4 × 3,75 мкг (общее количество РНК: 15 мкг; общее количество DOTMA 17,4 мкг, общее количество DOPE: 9,3 мкг) (HED: 3,57 мг)
3. средняя доза: 4 × 7,5 мкг (общее количество РНК: 30 мкг; общее количество DOTMA 34,8 мкг; общее количество DOPE: 18,6 мкг) (HED: 7,14 мг)
4. высокая доза: 4 × 15 мкг (общее количество РНК: 60 мкг; общее количество DOTMA: 69,6 мкг; общее количество DOPE: 37,2 мкг) (HED: 14,28 мг)
6-недельное исследование токсичности WAREHOUSE РНК(LIP) совместно с RBLTet.1 путем внутривенного введения мышам C57BL/6
(LPT исследование № 30283)
Всего восемь введений в хвостовую вену в день 1, 4, 8, 11, 15, 22, 29 и 43 с последующим 3-недельным периодом восстановления.
Пул вакцины 1:
RBL008.1, RBL005.2, RBL006.2, RBL007.1, совместно с RBLTet.1.
Пул вакцины 2:
RBL008.1, RBL009.1, RBL010.1, RBL011.1 совместно с RBLTet.1 (вспомогательный эпитоп p2p16 столбнячного анатоксина).
5 групп (14 животных/пол/группа):
1. контроль: носитель
2. низкая доза: Пул вакцины 1 (0,6 мкг RBLTet.1 + 4 × 1,1 мкг антигенной РНК; общее количество DOTMA: 5,8 мкг; общее количество DOPE: 3,1 мкг) (HED: 1,19 мг)
3. высокая доза: Пул вакцины 1 (6 мкг RBLTet.1 + 4 × 11 мкг антигенной РНК; общее количество DOTMA: 58,0 мкг; общее количество DOPE: 31,0 мкг) (HED: 11,9 мг)
4. низкая доза: пул вакцины 2 (0,6 мкг RBLTet.1 + 4 × 1,1 мкг антигенной РНК; общее количество DOTMA: 5,8 мкг; общее количество DOPE: 3,1 мкг) (HED: 1,19 мг)
5. высокая доза: пул вакцины 2 (6 мкг RBLTet.1 + 4 × 11 мкг антигенной РНК; общее количество DOTMA: 58,0 мкг; общее количество DOPE: 31,0 мкг) (HED: 11,9 мг)
4-недельное исследование токсичности при повторной дозе двух липосомальных препаратов RBL008.1 при внутривенном введении мышам C57BL/6 (LPT исследование № 30586) Всего пять введений в хвостовую вену в день 1, 4, 8, 11 и 25 с последующим 2-недельным периодом восстановления.
Вакцина: RBL008.1, липосомы L1, липосомы L2
2 группы (9 животных/пол/группа):
1: 20 мкг RBL008.1 (HED: 4,76 мг) + 40 мкг L1 липосом/животное
2: 20 мкг RBL008.1 (HED: 4,76 мг) + 40 мкг L2 липосом/животное

Композиция ATM

Композиция, состав и характеристики материала для испытаний на животных были подобраны как можно ближе к предполагаемому лекарственному препарату для применения на людях. Партию испытуемых образцов использовали для получения продуктов РНК(LIP) для исследований LPT № 28864, LPT № 30283 и LPT № 30586, соответственно.

Незначительные изменения в процессе получения продуктов РНК(LIP) пришлось внести по следующим причинам:

• Для получения высокой дозы, которая увеличивает вероятность выявления потенциальных дозозависимых токсикологических эффектов и, таким образом, соответствует критериям тестирования токсичности, изложенным в руководящих принципах ICH S6 или M3 (R2)

• Для предотвращения введения сверх допустимого максимального объема мышам, который составляет 250 мкл при медленной болюсной инъекции. Более высокие объемы инъекций не рекомендуются с этической точки зрения и несут риск потери мышей во время инъекции.

Отличия от клинического протокола:

• Пациенты будут получать различные препараты WAREHOUSE РНК(LIP) последовательно. У мышей это было невозможно из-за ограничения объема. РНК(LIP) для мышей готовили индивидуально, затем смешивали, и все четыре РНК-липоплекса вводили одновременно в общем объеме 250 мкл.

• В случае препарата РНК(LIP) для лечения пациентов будет применяться 150 мМ NaCl. Чтобы получить более высокие дозы в исследованиях токсичности, необходимо применять растворы NaCl с более высокими концентрациями для образования РНК(LIP).

• Для приготовления РНК(LIP) для лечения пациентов будут применяться лекарственные препараты РНК с концентрацией 0,5 мг/мл. Чтобы получить высокую дозу в исследовании токсичности, необходимо применять более концентрированные РНК, т.е. 1 мг/мл, для разработки продуктов РНК(LIP) в исследовании LPT № 28864.

Позиция авторов заключается в том, что указанные изменения не имеют влияния или мало влияют на результаты или проведение исследований.

Схема исследования

Схема исследования приведена в таблице 13. Согласно ICH S6 и S8 данные стандартных исследований токсичности оценивали на предмет признаков иммунотоксического потенциала. Следующие исследования были выполнены в соответствии с руководящими документами FDA, ICH и CHMP: смертность, гистопатология (особенно селезенки), общая патология и масса органа, клинические наблюдения, офтальмология, местная переносимость, реакции в месте инъекции, масса тела, потребление пищи, стандарт гематологические параметры, клиническая химия и цитокины (IL-1β, IL-2, IL-6, IL-10, IL-12, TNF-α, INF-α, INF-γ и IP-10).

Были включены фармакологические исследования безопасности для проверки дыхательной и центральной нервной систем, как указано в разделе 4.

Результаты

Токсикологическая оценка в 6-недельных исследованиях токсичности с повторными дозами с применением разработанных вакцин выявила лишь незначительные эффекты, которые в первую очередь можно отнести к ожидаемому фармакологическому способу действия РНК(LIP) (таблица 14). Активация TLR и высвобождение цитокинов представляют собой желаемые иммуномодулирующие эффекты РНК(LIP) (детали приведены в разделах 2 и 3). Индукция IFN-α у мышей приводит к вторичным эффектам, таким, как лейкопения, снижение тромбоцитов и увеличение показателей работы печени, таких, как ALAT, эффекты, которые обычно описывают для пациентов, получавших IFN-α.

В соответствии с этим, изменения, связанные с тестируемыми препаратами, у инъецированных животных были в основном временными (таблица 14). Кроме того, наблюдали временную активацию цитокинов IP-10, IFN-α, IL-6 и IFN-γ. Все индуцированные цитокины вернулись к нормальным уровням через 24 часа (за исключением уровней IP-10, которые все еще были немного выше нормальных уровней).

Гематологические показатели у мышей включали в основном лимфоцитопению и низкое обратимое снижение общего количества лейкоцитов, нейтрофилов, ретикулоцитов, а также тромбоцитопению во всех группах, получавших лечение. Эти результаты были полностью обратимы. Лимфоидная гиперплазия, наблюдаемая для селезенки при гистопатологии, была полностью восстановлена и указывает на желаемый эффект и намеченное нацеливание тестируемого продукта и лимфоцитов на селезенку.

Наблюдаемые умеренные изменения в показателях работы печени, таких, как GLDH, LDH, ALAT, ASAT, выявляли, в основном, в группах с высокими дозами и не были замечены у животных в группе восстановления, что предполагает полную обратимость эффектов в течение, по меньшей мере, трех недель или меньше. При гистопатологическом исследовании не было выявлено токсических воздействий на печень.

Поскольку при проведении исследования LPT № 30283 не было обнаружено результатов в группе с низкой дозой, NOAEL достигался при дозе 5 мкг общей РНК на животное (т.е. около 0,2 мг/кг массы тела у мышей).

Дальнейшее 4-недельное исследование токсичности при повторных дозах было проведено для изучения изменения в составе липосомального буфера (LPT № 30586). Полученные данные подтверждают, что липосомы нового типа по измеренным параметрам абсолютно сопоставимы с примененными в основном исследовании.

Таблица 14. Обзор результатов исследований токсичности при введении многократных доз РНК(LIP) (LPT №№ 28864, 30283 и 30586)

Все описанные результаты были статистически значимыми по сравнению с контрольной группой.

Категория Исследование № Результаты Смертность LPT № 28864 1 животное из группы высокой дозы погибло преждевременно сразу после 5-й инъекции. У животного обнаружена увеличенная селезенка и умеренный внемедуллярный гемопоэз. Считается, что гибель связана с введением тестируемого препарата. LPT №30283 Во время исследования преждевременных смертей не было. LPT №30586 Одно животное из группы липосом L2 погибло преждевременно через 4 дня после 4-й инъекции. Никаких предсмертных симптомов отмечено не было. У животного выявлено увеличение яичников и аутолиз всех органов. Считается, что гибель наступила самопроизвольно. Масса тела, потребление пищи LPT №. 28864
LPT №30283
LPT №30586
На потребление пищи, массу тела и прибавку в весе во всех исследованиях не было оказано влияния.
Местная переносимость LPT № 28864
LPT № 30283
LPT № 30586
Признаков местной непереносимости не отмечалось ни в одном из исследований.
Клинические признаки LPT № 28864 Слегка сниженная подвижность наблюдалась у девяти животных из группы высокой дозы после 5-й инъекции, начиная через 5 мин после инъекции, и продолжалась приблизительно 15 мин. После этого животные показали нормальное поведение. Это явление снова наблюдали у одного животного после 6-й и 7-й инъекций. У одной самки одновременно наблюдалась легкая атаксия.
Однако, несмотря на то, что они были замечены только в группе, получавшей высокие дозы, эти результаты считаются спонтанными из-за единичного случая, вероятно, связанного с обращением с животными во время процедуры введения. Это предположение подтверждается тем фактом, что при оценке двигательной активности в рамках неврологического скрининга не было обнаружено биологически значимых изменений.
LPT № 30283 Признаков системной непереносимости ни у одного животного не отмечено. LPT № 30586 Признаков системной непереносимости ни у одного животного не отмечено. Неврологический скрининг LPT № 28864 Был начат через 24 ч после 5-го приема. Никакого влияния, связанного с тестируемым препаратом, не было отмечено ни у одного животного. LPT № 30283 Был начат через 24 ч после 5-го приема. Никакого влияния, связанного с тестируемым препаратом, не было отмечено ни у одного животного. LPT № 30586 Не выполняли Плетизмография LPT № 28864 Была начата через 24 ч после 8-го приема. Никакого влияния, связанного с тестируемым препаратом, не было отмечено. LPT № 30283 Была начата через 24 ч после 4-го приема. Никакого влияния, связанного с тестируемым препаратом, не было отмечено. LPT № 30586 Не выполняли Гематология и коагуляция LPT № 28864
LPT № 30283
Уменьшение количества лейкоцитов, лимфоцитов и тромбоцитов, а также увеличение нейтрофилов и крупных неокрашенных клеток наблюдали во всех группах дозирования. Эффекты полностью восстанавливались и считаются соответствующими фармакологическому эффекту РНК(LIP) из-за активации TLR и индукции IFNα (см. также раздел 0).
LPT № 30586 Никаких изменений в гематологических параметрах, связанных с тестируемым препаратом, между обеими группами не отмечено. Клиническая биохимия LPT № 28864 Некоторые изменения по сравнению с контрольными животными были обнаружены в ферментах печени, как показано ниже. При гистопатологических исследованиях не было указаний на токсичность применительно к печени (образцы для клинической биохимии были взяты незадолго до вскрытия).
Уровни холестерина были увеличены во всех группах дозирования. Уровни аланинаминотрансферазы (ALAT), лактатдегидрогеназы (LDH) и глутаматдегидрогеназы (GLDH) были увеличены значительно, главным образом, в группе высоких доз (60 мкг/животное).
LPT № 30283 Уровни холестерина были увеличены во всех группах дозирования. Уровни ALAT, аспартатаминотрансферазы (ASAT), LDH и GLDH были значительно увеличены в группах с высокими дозами (50 мкг/животное) и более выражены у самцов животных. LPT № 30586 В параметрах клинической биохимии не было замечено никаких связанных с тестируемым препаратом изменений между обеими группами. Анализ мочи LPT № 28864
LPT № 30283
LPT № 30586
На параметры мочи не повлияло ни одно из исследований.
Офтальмология и слуховая система LPT № 28864
LPT № 30283
LPT № 30586
Не было влияния ни в одном из исследований.
Цитокины LPT № 28864 Наблюдения в группах дозирования 2, 3 и 4:
IP-10: дозозависимая индукция с пиками через 6 ч после 4-го введения (до 29-кратной индукции). Уровни были близки к нормальным уровням через 24 часа (в 4-5 раз выше контрольной группы).
IL-6: дозозависимая индукция с пиками через 6 ч после 4-го введения (до 8-кратной индукции). Уровни были нормальными через 24 часа.
IL-10: индукция с пиками через 6 ч после 4-го введения (до 3,5-кратной индукции) только у самок. Уровни были нормальными через 24 часа.
TNF-α: низкая индукция с пиками через 6 часов после 4-го введения (до 2,-кратной индукции). Уровни были близки к нормальным уровням через 24 часа (в 2 раза у самок из группы высокой дозы).
Наблюдения только в группе дозирования 4 (высокая доза):
IFN-γ: индукция у самцов (518%) и самок (88%) через 6 часов после 4-го приема вернулась к нормальным уровням через 24 часа.
LPT № 30283 Наблюдения во всех группах дозирования:
IP-10: дозозависимая индукция с пиками через 6 ч после 5-го введения (до 41-кратной индукции). Уровни были близки к нормальным уровням через 24 часа (в 4-5 раз выше контрольной группы).
Наблюдения в группах с высокими дозами (группы 3 и 5):
IL-6: индукция с пиками через 6 ч после 5-го введения (до 20-кратной индукции). Уровни были нормальными через 24 часа.
IFN-α: индукция с пиками через 6 ч после 5-го введения (индукция до 55 раз). Уровни были нормальными через 24 часа.
IFN-γ: индукция в группе 3 (самцы в 176 раз) и группе 5 (самцы в 49 раз) через 6 часов после 5-го приема, вернулась к нормальному уровню через 24 часа.
LPT № 30586 При измерении цитокинов между обеими группами не было отмечено никаких связанных с тестируемым препаратом изменений. Комплемент LPT № 28864 Незначительное увеличение C5a через 24 часа после 6-го приема в группе 3 (13/70% у самцов/самок) и группе дозирования 4 (42/90%). LPT № 30283 Незначительное увеличение (до 71%) C5a через 24 ч после 5-го приема во всех группах дозирования, только у самок. Уровни нормализовались через 48 часов. LPT № 30586 Не определяли Макроскопические патологоанатомические исследования LPT № 28864
LPT № 30283
LPT № 30586
Никаких макроскопических системных изменений, связанных с тестируемыми препаратами, не было отмечено для всех групп дозирования в период восстановления после лечения во всех исследованиях.
Масса органов LPT № 28864 Незначительное увеличение веса печени (19%) наблюдали у самцов всех групп дозирования и у самок 3-й группы (13%). Эффект полностью обращался через 3 недели. Гистопатологические исследования не выявили признаков токсического действия на печень. Это наблюдение не имеет биологического значения, поскольку вес печени находился в пределах нормального диапазона биологических вариаций.
Увеличение веса селезенки (61-107%) наблюдали у животных всех групп дозирования. Эффекты полностью не восстанавливались через 3 недели у животных групп со средней и высокой дозами.
LPT № 30283 Увеличение веса селезенки было дозозависимым, и его наблюдали у животных всех групп дозирования (в диапазоне от 33-53% в группе с низкой дозой и 72-85% в группе с высокой дозой). Эффекты полностью не восстанавливались через 3 недели (от 19-22% в группе с низкой дозой и 40-74% в группе с высокой дозой). LPT № 30586 Никаких изменений веса органов, связанных с тестируемыми препаратами, между обеими группами не было отмечено. Костный мозг LPT № 28864
LPT № 30283
LPT № 30586
Ни в одном из исследований не было отмечено влияния на соотношения миелоид:эритроид.
Гистопатология LPT № 28864 Обследование было ограничено контролем и группами 3 и 4.
Селезенка: лимфоидная гиперплазия белой пульпы у животных 3 и 4 групп.
Тимус: выраженная атрофия у самок животных только у животных 3-й и 4-й групп.
Все эффекты полностью восстанавливались через 3 недели.
Ни в одном другом органе не наблюдали лимфоидной гиперплазии. Наблюдаемые эффекты в лимфоидных органах связаны с фармакологическим механизмом действия и не считаются побочной реакцией.
LPT № 30283 Обследование было ограничено контролем и группами 3 и 5.
Селезенка: лимфоидная гиперплазия белой пульпы у животных групп с высокими дозами. Все эффекты полностью восстанавливались через 3 недели.
Ни в одном другом органе лимфоидной гиперплазии не обнаружили. Наблюдаемые эффекты в лимфоидных органах обусловлены фармакологическим механизмом действия и не рассматриваются как побочная реакция.
LPT № 30586 Гистопатологическое исследование было ограничено основными исследуемыми животными, получавшими 20 мкг RBL008.1/животное + 40 мкг липосом L2/животное (группа 2). Не было отмечено никаких морфологических повреждений, которые, как считается, были связаны с введением RBL008.1 в сочетании с липосомами L2. Считается, что все наблюдения находятся в пределах нормального диапазона фоновых изменений, которые могут обнаруживаться у необработанных мышей этого возраста и линии.

Генотоксичность

Предполагается, что компоненты продуктов РНК(LIP) (липиды и РНК) не обладают генотоксическим потенциалом. Никакие примеси или компоненты системы доставки не требуют тестирования на генотоксичность. В соответствии с рекомендациями, приведенными в руководстве ICH (Доклиническая оценка безопасности биотехнологических фармацевтических препаратов S6(R1)) (июнь 2011 г.), исследования генотоксичности не планируются.

Канцерогенность

Сама РНК и липиды, применяемые в качестве носителей, не обладают канцерогенным или канцерогенным потенциалом. В соответствии с ICH S1A, долгосрочные исследования канцерогенности не требуются в тех случаях, когда нет причин для беспокойства, вытекающих из лабораторных и токсикологических исследований, и, если хроническое применение препарата не рассчитано на длительное время.

Токсическое воздействие на репродуктивную функцию и внутриутробное развитие

Макроскопические и микроскопические исследования репродуктивных тканей самцов и самок были включены в исследования токсичности многократных доз на мышах, получавших РНК(LIP). В этих экспериментах не было обнаружено никаких эффектов, поэтому специальные исследования токсического действия на фертильность и внутриутробное развитие не будут проводиться до начала исследований фазы I по применению РНК(LIP) вакцин. Прямого цитотоксического воздействия РНК(LIP) на репродуктивные ткани не ожидается, что следует из опыта применения других противораковых вакцин, не демонстрирующих эффектов на репродуктивную функцию и внутриутробное развитие. Поскольку нельзя исключить влияния РНК(LIP) на репродуктивную функцию, женщинам детородного возраста придется применять эффективные средства контрацепции во время лечения. На данный момент никаких дальнейших долгосрочных исследований или изучения репродуктивной токсичности не планируется.

Местная переносимость

Согласно рекомендации ICH, тестирование на местную переносимость оценивали в GLP-исследовании токсичности при повторном дозировании для внутривенной инъекции. Признаков местной непереносимости во время исследований не наблюдали.

Другие исследования токсичности

Антигенность

Из-за быстрого, в течение от секунд до минут, внеклеточного распада РНК, транскрибируемой in vitro, образования антител против лекарственных препаратов не ожидается. Поэтому никаких дополнительных тестов на иммуногенность в отношении индукции антител не планируется.

Иммунотоксичность

Поскольку предполагается активировать иммунную систему с помощью продуктов WAREHOUSE РНК(LIP), особое внимание было уделено иммунотоксикологическим параметрам, чтобы исключить непреднамеренную активацию или супрессию. Проверка иммунотоксикологического действия проводилась в обоих 6-недельных исследованиях токсичности при повторных дозах (LPT № 28864 и 30283). Помимо мониторинга уровней цитокинов в сыворотке, для оценки иммунотоксичности учитывали следующие релевантные параметры: масса тела, температура тела, масса лимфатических органов, макроскопическая и гистопатология лимфатических органов, абсолютный и относительный дифференциальный исчисляемый показатель крови, общий белок сыворотки, соотношение альбумин/иммуноглобулин, соотношение миелоид/эритроид в костном мозге, параметры коагуляции.

Гематология

Уменьшение количества лимфоцитов, а также лейкоцитов (в основном из-за снижения количества лимфоцитов) и тромбоцитов наблюдали во всех группах, получавших лечение, на 44-й день тестирования, приблизительно через 24 часа после 8-й инъекции в обоих исследованиях. Все эффекты полностью восстановились через две недели. Результаты приведены в таблице 15 и таблице 16 для исследований LPT № 28864 и 30283, соответственно.

Таблица 15. Гематологические данные (LPT № 28864)

Образцы для гематологического анализа были взяты на 44-й день тестирования (приблизительно через 24 часа после 8-й инъекции).

Изменения гематологических показателей по сравнению с контрольной группой (средние значения) в конце периода лечения (44-й день тестирования) [%] Параметр Группа 2
15 мкг/животное
Группа 3
30 мкг/животное
Группа 4
60 мкг/животное
самцы самки самцы самки самцы самки Лейкоциты (WBC) -72** -60** -78** -61** -68** -69** Нейтрофильные гранулоциты (Neut) -отн. +100 +50 +163 +58 +74 +36 -абс. -46* -30 -44* -29 -47* -51 Лимфоциты (Lym) -отн. -16 -10 -19 нет -10 нет -абс. -77** -64** -82** -65** -71** -71** Моноциты (Mono) -отн. +89 -21 +68 нет -24 -29 -абс. -44** -64 -59** -43 -72** -79* Эозинофильные гранулоциты (Eos) -отн. +41 +68 +90 +45 -34 -23 -абс. -59** -43 -59** -38 -78** -73* Большие неокрашенные клетки (LUC) -отн. +385 +315 +257 +239 +259 +275 -абс. +59 +28 -25 нет +13 нет Базофильные гранулоциты (Baso) -отн. +255 +144 +445 +50 +273 +80 Тромбоциты (PCT) -35** -38** -32** -39** -46** -39**

* статистически значимый, p ≤ 0,05; ** статистически значимый, p ≤ 0,01 (критерий Даннетта)

Таблица 16. Гематологические данные (LPT № 30283)

Образцы для гематологического определения отбирали на 44-й день тестирования (приблизительно через 24 ч после 8-й инъекции).

Изменения гематологических показателей по сравнению с контрольной группой (средние значения) в конце периода лечения (44-й день тестирования) [%] Параметр Группа 2:
5 мкг/животное (RNA set 1)
+ 9 мкг/животное (липосомы)
Группа 3:
50 мкг/животное (RNA set 1)
+ 90 мкг/животное (липосомы)
Группа 4:
5 мкг/животное (RNA set 2)
+ 9 мкг/животное (липосомы)
Группа 5:
50 мкг/животное (RNA set 2)
+ 90 мкг/животное (липосомы)
самцы самки самцы самки самцы самки самцы самки Лейкоциты (WBC) -15 -54 -65 -39 -51** -48 -71** -57** Тромбоциты (PCT) -18* нет -48** -43** -16** нет -45** -46** Ретикулоциты (Ret) нет -30** -27** -34** -17** -25** -27** -38** Нейтрофильные
гранулоциты (Neut)
-отн. +125 +24 +199 +32 +81 +22 +234 +72
Лимфоциты
(Lym)
-отн. -11 -5 -21 -8 -11 -4 -20 -9
-абс. -21 -56* -73 -43 -56* -49* -89** -61* Моноциты (Mono) -отн. нет нет -12 -74 нет нет -41 -47 -абс. нет нет -74* -93* нет нет -76** -71 Большие неокрашенные клетки (LUC) -отн. +86 +29 +516 +640 +194 +195 +320 +295 -абс. нет нет +80* +336* +30 +50 нет +71* Базофильные гранулоциты
(Baso)
-отн. нет нет +540 +290 нет нет +300 +90
Тромбоциты (PCT) -18* нет -48** -43** -16** нет -45** -46**

* статистически значимый, p ≤ 0,05; ** статистически значимый, p ≤ 0,01 (критерий Даннетта)

Определение цитокинов

В исследованиях токсичности повторных доз анализировали образование следующих цитокинов: IL-1β, IL-2, IL-6, IL-10, IL-12p70, TNF-α, IFN-γ и IP-10, которые, как известно, представляют собой чувствительные индикаторы иммунной активации или передачи сигналов TLR7. В исследовании токсичности на мышах LPT № 28864 было выявлено дозозависимое и связанное с тестируемым препаратом повышение уровня цитокина IP-10. Уровни IP-10 временно увеличивались и были максимальными через 6 часов после 4-й инъекции. Через 24 часа уровни все еще были значительно выше по сравнению с контрольными уровнями, но уже почти вернулись к нормальным показателям. По сравнению с контрольной группой IP-10 обнаружил максимальную индукцию в 28 и 16 раз, превышающую таковую в контрольной группе (в самцы и самки, соответственно), через 6 часов. Значительное увеличение также наблюдали для TNF-α (только самки, группы 2, 3 и 4), IL-10 (только самки, группы 3 и 4), IL-6 (самцы, группа 4) и IFN-γ (самцы, группа 4). Максимальная индукция была 3-кратной для TNF-α, 4-кратной для IL-10, 7- и 8-кратной для IL-6 и 6- и 2-кратной для IFN-γ. Все эффекты были полностью обратимы через 24 ч (за исключением уровня TNF-α у самок 4-й группы). Результаты представлены в таблице 17.

Таблица 17. Уровни цитокинов в плазме (LPT № 28864)

Образцы для определения цитокинов отбирали через 6 и 24 ч после 4-й инъекции.

Связанные с тестируемым препаратом изменения уровней цитокинов (средние значения), выраженные как x-кратное увеличение по сравнению с уровнем в контрольной группе, если применимо Цитокин Время Группа 2
15 мкг/животное
Группа 3 30 мкг/животное Группа 4 60 мкг/животное
самцы самки самцы самки самцы самки IL-6 6 часов 2x 2x 3x 7x** 7x** 8x** IL-10 6 часов нет 2x нет 4x** нет 4x** IP-10 6 часов 17x** 11x** 22x** 17x** 29x** 17x** 24 часа 4x** 4x** 4x** 4x** 5x** 5x** IFN-γ 6 часов нет нет нет нет 6x** 2x TNF-α 6 часов 1x 2x* 1x 2x** 1x 2x** 24 часа нет нет нет 1x нет 2x**

* статистически значимый, p ≤ 0,05; ** статистически значимый, p ≤ 0,01 (критерий Даннетта)

Для определения цитокинов в LPT исследовании № 30283 были взяты образцы сыворотки крови через 6 часов и 24 часа после 5-го введения тестируемого препарата. Было обнаружено повышение уровней IL-2, IL-6, IP-10, IFN-α и IFN-γ в сыворотке (таблица 18). Для IL-6 была отмечена явно зависимая от дозы индукция. Для IFN γ индукция была отмечена после лечения высокими дозами (статистически значимый при p ≤ 0,01), более выраженная у самцов. Для IFN α индукцию наблюдали после лечения низкой дозой и после лечения высокой дозой (статистически значимо при p ≤ 0,01 или p ≤ 0,05) при большей выраженности у самок животных в группе 5 (набор 2 РНК, высокая доза). Индукция всех вышеупомянутых цитокинов снизилась через 24 часа после введения препарата.

Относительно низкая, но дозозависимая индукция IL-2 была отмечена у самцов и самок животных через 6 и 24 часа после введения низкой или высокой дозы.

Выраженный дозозависимый эффект был обнаружен для IP-10 при всех уровнях доз для самцов и самок животных по сравнению с контрольной группой через 6 часов после введения высоких доз. Через 24 часа после введения уровни IP-10 все еще были повышены по сравнению с контрольной группой при всех уровнях доз. Указанная индукция IP-10 отражает предполагаемый фармакологический эффект и не рассматривается как нежелательное иммунотоксикологическое событие.

Таблица 18. Уровни цитокинов в плазме (LPT № 30283)

Образцы для определения цитокинов отбирали через 6 и 24 часа после 5-й инъекции.

Связанные с тестируемым препаратом изменения уровней цитокинов (средние значения), выраженные как x-кратное увеличение по сравнению с уровнем в контрольной группе, если применимо, или только как увеличение Цито-кин Время Группа 2
5 мкг/животное (RNA set 1)
+ 9 мкг/животное (липосомы)
Группа 3
50 мкг/животное (RNA set 1)
+ 90 мкг/животное (липосомы)
Группа 4
5 мкг/животное (RNA set 2)
+ 9 мкг/животное (липосомы)
Группа 5
50 мкг/животное (RNA set 2)
+ 90 мкг/животное (липосомы)
Самцы Самки Самцы Самки Самцы Самки Самцы Самки IL-2 6 часов увел. 1x увел. 2x нет 1x увел.** 31x 24 часа нет увел. увел.* увел. увел. увел. увел. увел. IL-6 6 часов 2x увел. 22x** увел.** 2x увел. 21x** увел.** 24 часа нет нет нет 2x 1x 3x 1x 2x IP-10 6 часов 18x* 11x** 41x** 25x** 20x** 14x** 34x** 22x** 24 часа 4x* 3x** 6x** 5x** 3x** 3x* 4x** 4x** IFN-α 6 часов 5x* 8x* 15x** 28x** 8x* 9x 13x** 55x** 24 часа нет нет нет нет нет нет нет нет IFN-γ 6 часов 4x увел. 176x** увел.** 2x увел. 49x** увел.** 24 часа нет нет нет нет нет нет нет нет

увел.: было отмечено явное увеличение по сравнению с контрольной группой, однако, поскольку значение для контрольной группы было установлено на «0,0», увеличение не может быть выражено как кратное.

* статистически значимый, p ≤ 0,05; ** статистически значимый, p ≤ 0,01

Определение цитокинов также проводили в ходе исследования по сравнению липосом L1 и L2 (LPT № 30586). Цитокины анализировали через 6 и 24 часа после 4-ой иммунизации. Никаких изменений, связанных с тестируемыми препаратами, между группами выявлено не было.

Обсуждение и заключение

Введение РНК(LIP) очень хорошо переносится мышами, как показано для ряда антиген-кодирующих РНК, оцененных в трех различных исследованиях токсичности при повторных дозах (LPT-исследования № 28864, 30283 и 30586). В целом, лечение вплоть до восьми внутривенных инъекций хорошо переносилось, в том числе животными из групп с высокими дозами. В исследованиях токсичности не наблюдали преждевременной гибели животных, связанной с тестируемыми препаратами. Поскольку в группе с низкой дозой при исследовании № 30283 не было обнаружено никаких эффектов, NOAEL был достигнут при дозе 5 мкг от общего количества РНК (т.е. около 0,2 мг/кг массы тела мыши). Кроме того, вакцинация препаратами РНК(LIP) также очень хорошо переносилась в фармакологическом не GLP-исследовании на двенадцати яванских макаках (нет данных клинических наблюдений).

Токсикологическая оценка РНК(LIP) в исследованиях токсичности повторных доз на мышах выявила эффекты, включая временную индукцию цитокинов, гематологические изменения и повышение уровня ферментов печени, которые можно отнести к тестируемому препарату. Наблюдаемые эффекты заключались, в основном, в индукции цитокинов IP-10, IFN-α, IFN-γ и IL-6 в исследованиях in vivo, описанных здесь, а также в исследованиях in vitro, описанных и обсуждаемых в разделе 3.

Примечательно, что у мышей чрезмерно активировались провоспалительные цитокины, такие, как TNF-α, IFN-γ или IL-2. Однако в исследовании с яванскими макаками, по меньшей мере, у одного животного была выявлена высокая кратковременная индукция IL-6 (1,076 пг/мл). Индукцию IL-6 также наблюдали у мышей в зависимости от дозы, но в меньшей степени. IL-6 вместе с другими цитокинами будет тщательно контролироваться на протяжении всего клинического исследования и непосредственно анализироваться у пациентов.

Также сообщалось о таких эффектах, как лимфопения и нарушение регуляции ферментов печени, после лечения плазмидными липоплексами и активации TLR у мышей и обезьян, и их обычно рассматривают как вторичные эффекты, вызванные секрецией IFN-α, которые обычно характерны для пациентов, получавших рекомбинантный IFN-α, поставляемый на рынок в течение многих лет для лечения определенных онкологических и неонкологических заболеваний.

Наблюдаемые изменения в параметрах печени в группе с высокими дозами у мышей предполагают, что печень может быть мишенью токсичности при более высоких дозах РНК в виде липосом. Изменения включают увеличение массы печени, повышение уровней GLDH, LDH, ASAT и ALAT в плазме. Эти изменения считаются незначительными и не наблюдались у животных из группы восстановления, что предполагает полную обратимость эффектов в течение, по меньшей мере, трех недель. Кроме того, гистопатология не выявила токсичности для печени. Считается, что у яванского макака биохимические параметры у животных в группе, получавшей липосомы, и у животных, получавших тестируемый препарат, по сравнению с контрольными животными находились в пределах нормальной биологической изменчивости. Некоторое повышение активности CK, отмеченное у отдельных животных групп 4, 5 или 6 по сравнению с контрольными животными в дни испытаний 9, 16 или 23, было в основном связано с увеличением фракции CK-MM и считалось связанным со стрессом.

Умеренное повышение параметров печени у мышей может быть реакцией на иммуномодулирующие эффекты, которые могут быть обусловлены фагоцитозом РНК(LIP) клетками-мишенями печени, такими как клетки Купфера. В отличие от эффектов, наблюдаемых в селезенке мышей (лимфоидная гиперплазия), это не приводит к привлечению лейкоцитов в печень, что позволяет предположить, что желаемые фармакологические эффекты, такие, как активация TLR и перенос лимфоцитов, ограничиваются лимфоидным органом.

Ранее сообщалось об активации комплемента для препаратов, содержащих липосомы. При вакцинации РНК(LIP) у самок мышей наблюдали несколько повышенные уровни C5a, но это было расценено как событие с низкой биологической значимостью. Кроме того, мышей не считают хорошей моделью для экстраполяции эффектов комплемента на людей.

В целом, иммунологические ответы, наблюдаемые во всех трех исследованиях токсичности многократных доз РНК(LIP) (LPT № 28864, 30283 и 30586), показывают полную картину увеличения веса селезенки, активации цитокинов/хемокинов и миграции лимфоцитов. Это отражает индукцию предполагаемых фармакологических событий и подчеркивает важность мышей как правильной тестовой модели для исследований токсичности. В промежуточном исследовании LPT № 30583 по оценке токсичности pH-адаптированного липосомального препарата L2 не наблюдали заметных различий между двумя липосомальными препаратами. Основываясь на этих результатах, авторы намерены применять такие pH-адаптированные липосомы L2 в клинических испытаниях, основываясь на представлении о том, что липосомы L2 оказались более стабильными, чем липосомы L1.

--->

СПИСОК ПОСЛЕДОВАТЕЛЬНОСТЕЙ

<110> BioNTech RNA Pharmaceuticals GmbH et al.

<120> THERAPEUTIC RNA FOR OVARIAN CANCER

<130> 674-283 PCT2

<150> PCT/EP2019/062967

<151> 2019-05-20

<160> 26

<170> PatentIn version 3.5

<210> 1

<211> 220

<212> PRT

<213> Artificial Sequence

<220>

<223> CLDN6

<400> 1

Met Ala Ser Ala Gly Met Gln Ile Leu Gly Val Val Leu Thr Leu Leu

1 5 10 15

Gly Trp Val Asn Gly Leu Val Ser Cys Ala Leu Pro Met Trp Lys Val

20 25 30

Thr Ala Phe Ile Gly Asn Ser Ile Val Val Ala Gln Val Val Trp Glu

35 40 45

Gly Leu Trp Met Ser Cys Val Val Gln Ser Thr Gly Gln Met Gln Cys

50 55 60

Lys Val Tyr Asp Ser Leu Leu Ala Leu Pro Gln Asp Leu Gln Ala Ala

65 70 75 80

Arg Ala Leu Cys Val Ile Ala Leu Leu Val Ala Leu Phe Gly Leu Leu

85 90 95

Val Tyr Leu Ala Gly Ala Lys Cys Thr Thr Cys Val Glu Glu Lys Asp

100 105 110

Ser Lys Ala Arg Leu Val Leu Thr Ser Gly Ile Val Phe Val Ile Ser

115 120 125

Gly Val Leu Thr Leu Ile Pro Val Cys Trp Thr Ala His Ala Ile Ile

130 135 140

Arg Asp Phe Tyr Asn Pro Leu Val Ala Glu Ala Gln Lys Arg Glu Leu

145 150 155 160

Gly Ala Ser Leu Tyr Leu Gly Trp Ala Ala Ser Gly Leu Leu Leu Leu

165 170 175

Gly Gly Gly Leu Leu Cys Cys Thr Cys Pro Ser Gly Gly Ser Gln Gly

180 185 190

Pro Ser His Tyr Met Ala Arg Tyr Ser Thr Ser Ala Pro Ala Ile Ser

195 200 205

Arg Gly Pro Ser Glu Tyr Pro Thr Lys Asn Tyr Val

210 215 220

<210> 2

<211> 663

<212> RNA

<213> Artificial Sequence

<220>

<223> CLDN6 CDS

<400> 2

auggccucug ccggaaugca gauccugggc guggugcuga cccugcuggg cugggugaau 60

ggccugguga gcugugcccu gcccaugugg aaggugacag ccuucauugg caacagcauu 120

gugguggccc agguggugug ggagggccug uggaugagcu guguggugca gagcacaggc 180

cagaugcagu gcaaggugua ugacagccug cuggcccugc cucaggaccu ccaggccgcc 240

agagcccugu gugugauugc ccugcuggug gcccuguuug gccugcuggu guaccuggcu 300

ggagccaagu gcaccaccug uguggaggag aaggacagca aggccagacu ggugcugacc 360

ucuggcauug uguuugugau cucuggcgug cugacccuga ucccugugug cuggacagcc 420

caugccauca ucagagacuu cuacaacccu cugguggccg aggcccagaa aagagagcug 480

ggagccagcc uguaccuggg cugggccgcc ucuggccuuc uucugcuggg aggaggacug 540

cugugcugca ccugccccuc uggcggcagc cagggcccca gccacuacau ggccagauac 600

agcaccucug ccccugccau cagcagaggc ccuucugagu accccaccaa gaacuaugug 660

uga 663

<210> 3

<211> 1146

<212> RNA

<213> Artificial Sequence

<220>

<223> CLDN6 RNA

<400> 3

gggcgaacua guauucuucu gguccccaca gacucagaga gaacccgcca ccauggccuc 60

ugccggaaug cagauccugg gcguggugcu gacccugcug ggcuggguga auggccuggu 120

gagcugugcc cugcccaugu ggaaggugac agccuucauu ggcaacagca uugugguggc 180

ccagguggug ugggagggcc uguggaugag cuguguggug cagagcacag gccagaugca 240

gugcaaggug uaugacagcc ugcuggcccu gccucaggac cuccaggccg ccagagcccu 300

gugugugauu gcccugcugg uggcccuguu uggccugcug guguaccugg cuggagccaa 360

gugcaccacc uguguggagg agaaggacag caaggccaga cuggugcuga ccucuggcau 420

uguguuugug aucucuggcg ugcugacccu gaucccugug ugcuggacag cccaugccau 480

caucagagac uucuacaacc cucugguggc cgaggcccag aaaagagagc ugggagccag 540

ccuguaccug ggcugggccg ccucuggccu ucuucugcug ggaggaggac ugcugugcug 600

caccugcccc ucuggcggca gccagggccc cagccacuac auggccagau acagcaccuc 660

ugccccugcc aucagcagag gcccuucuga guaccccacc aagaacuaug ugugaggagg 720

auccccucga gagcucgcuu ucuugcuguc caauuucuau uaaagguucc uuuguucccu 780

aaguccaacu acuaaacugg gggauauuau gaagggccuu gagcaucugg auucugccua 840

auaaaaaaca uuuauuuuca uugcugcguc gagagcucgc uuucuugcug uccaauuucu 900

auuaaagguu ccuuuguucc cuaaguccaa cuacuaaacu gggggauauu augaagggcc 960

uugagcaucu ggauucugcc uaauaaaaaa cauuuauuuu cauugcugcg ucgagaccug 1020

guccagaguc gcuagcaaaa aaaaaaaaaa aaaaaaaaaa aaaaaagcau augacuaaaa 1080

aaaaaaaaaa aaaaaaaaaa aaaaaaaaaa aaaaaaaaaa aaaaaaaaaa aaaaaaaaaa 1140

aaaaaa 1146

<210> 4

<211> 393

<212> PRT

<213> Artificial Sequence

<220>

<223> P53

<400> 4

Met Glu Glu Pro Gln Ser Asp Pro Ser Val Glu Pro Pro Leu Ser Gln

1 5 10 15

Glu Thr Phe Ser Asp Leu Trp Lys Leu Leu Pro Glu Asn Asn Val Leu

20 25 30

Ser Pro Leu Pro Ser Gln Ala Met Asp Asp Leu Met Leu Ser Pro Asp

35 40 45

Asp Ile Glu Gln Trp Phe Thr Glu Asp Pro Gly Pro Asp Glu Ala Pro

50 55 60

Arg Met Pro Glu Ala Ala Pro Pro Val Ala Pro Ala Pro Ala Ala Pro

65 70 75 80

Thr Pro Ala Ala Pro Ala Pro Ala Pro Ser Trp Pro Leu Ser Ser Ser

85 90 95

Val Pro Ser Gln Lys Thr Tyr Gln Gly Ser Tyr Gly Phe Arg Leu Gly

100 105 110

Phe Leu His Ser Gly Thr Ala Lys Ser Val Thr Cys Thr Tyr Ser Pro

115 120 125

Ala Leu Asn Lys Met Phe Cys Gln Leu Ala Lys Thr Cys Pro Val Gln

130 135 140

Leu Trp Val Asp Ser Thr Pro Pro Pro Gly Thr Arg Val Arg Ala Met

145 150 155 160

Ala Ile Tyr Lys Gln Ser Gln His Met Thr Glu Val Val Arg Arg Cys

165 170 175

Pro His His Glu Arg Cys Ser Asp Ser Asp Gly Leu Ala Pro Pro Gln

180 185 190

His Leu Ile Arg Val Glu Gly Asn Leu Arg Val Glu Tyr Leu Asp Asp

195 200 205

Arg Asn Thr Phe Arg His Ser Val Val Val Pro Tyr Glu Pro Pro Glu

210 215 220

Val Gly Ser Asp Cys Thr Thr Ile His Tyr Asn Tyr Met Cys Asn Ser

225 230 235 240

Ser Cys Met Gly Gly Met Asn Arg Arg Pro Ile Leu Thr Ile Ile Thr

245 250 255

Leu Glu Asp Ser Ser Gly Asn Leu Leu Gly Arg Asn Ser Phe Glu Val

260 265 270

Arg Val Cys Ala Cys Pro Gly Arg Asp Arg Arg Thr Glu Glu Glu Asn

275 280 285

Leu Arg Lys Lys Gly Glu Pro His His Glu Leu Pro Pro Gly Ser Thr

290 295 300

Lys Arg Ala Leu Pro Asn Asn Thr Ser Ser Ser Pro Gln Pro Lys Lys

305 310 315 320

Lys Pro Leu Asp Gly Glu Tyr Phe Thr Leu Gln Ile Arg Gly Arg Glu

325 330 335

Arg Phe Glu Met Phe Arg Glu Leu Asn Glu Ala Leu Glu Leu Lys Asp

340 345 350

Ala Gln Ala Gly Lys Glu Pro Gly Gly Ser Arg Ala His Ser Ser His

355 360 365

Leu Lys Ser Lys Lys Gly Gln Ser Thr Ser Arg His Lys Lys Leu Met

370 375 380

Phe Lys Thr Glu Gly Pro Asp Ser Asp

385 390

<210> 5

<211> 482

<212> PRT

<213> Artificial Sequence

<220>

<223> P53 fusion

<400> 5

Met Arg Val Thr Ala Pro Arg Thr Leu Ile Leu Leu Leu Ser Gly Ala

1 5 10 15

Leu Ala Leu Thr Glu Thr Trp Ala Gly Ser Leu Gln Gly Gly Ser Met

20 25 30

Glu Glu Pro Gln Ser Asp Pro Ser Val Glu Pro Pro Leu Ser Gln Glu

35 40 45

Thr Phe Ser Asp Leu Trp Lys Leu Leu Pro Glu Asn Asn Val Leu Ser

50 55 60

Pro Leu Pro Ser Gln Ala Met Asp Asp Leu Met Leu Ser Pro Asp Asp

65 70 75 80

Ile Glu Gln Trp Phe Thr Glu Asp Pro Gly Pro Asp Glu Ala Pro Arg

85 90 95

Met Pro Glu Ala Ala Pro Pro Val Ala Pro Ala Pro Ala Ala Pro Thr

100 105 110

Pro Ala Ala Pro Ala Pro Ala Pro Ser Trp Pro Leu Ser Ser Ser Val

115 120 125

Pro Ser Gln Lys Thr Tyr Gln Gly Ser Tyr Gly Phe Arg Leu Gly Phe

130 135 140

Leu His Ser Gly Thr Ala Lys Ser Val Thr Cys Thr Tyr Ser Pro Ala

145 150 155 160

Leu Asn Lys Met Phe Cys Gln Leu Ala Lys Thr Cys Pro Val Gln Leu

165 170 175

Trp Val Asp Ser Thr Pro Pro Pro Gly Thr Arg Val Arg Ala Met Ala

180 185 190

Ile Tyr Lys Gln Ser Gln His Met Thr Glu Val Val Arg Arg Cys Pro

195 200 205

His His Glu Arg Cys Ser Asp Ser Asp Gly Leu Ala Pro Pro Gln His

210 215 220

Leu Ile Arg Val Glu Gly Asn Leu Arg Val Glu Tyr Leu Asp Asp Arg

225 230 235 240

Asn Thr Phe Arg His Ser Val Val Val Pro Tyr Glu Pro Pro Glu Val

245 250 255

Gly Ser Asp Cys Thr Thr Ile His Tyr Asn Tyr Met Cys Asn Ser Ser

260 265 270

Cys Met Gly Gly Met Asn Arg Arg Pro Ile Leu Thr Ile Ile Thr Leu

275 280 285

Glu Asp Ser Ser Gly Asn Leu Leu Gly Arg Asn Ser Phe Glu Val Arg

290 295 300

Val Cys Ala Cys Pro Gly Arg Asp Arg Arg Thr Glu Glu Glu Asn Leu

305 310 315 320

Arg Lys Lys Gly Glu Pro His His Glu Leu Pro Pro Gly Ser Thr Lys

325 330 335

Arg Ala Leu Pro Asn Asn Thr Ser Ser Ser Pro Gln Pro Lys Lys Lys

340 345 350

Pro Leu Asp Gly Glu Tyr Phe Thr Leu Gln Ile Arg Gly Arg Glu Arg

355 360 365

Phe Glu Met Phe Arg Glu Leu Asn Glu Ala Leu Glu Leu Lys Asp Ala

370 375 380

Gln Ala Gly Lys Glu Pro Gly Gly Ser Arg Ala His Ser Ser His Leu

385 390 395 400

Lys Ser Lys Lys Gly Gln Ser Thr Ser Arg His Lys Lys Leu Met Phe

405 410 415

Lys Thr Glu Gly Pro Asp Ser Asp Gly Gly Ser Ile Val Gly Ile Val

420 425 430

Ala Gly Leu Ala Val Leu Ala Val Val Val Ile Gly Ala Val Val Ala

435 440 445

Thr Val Met Cys Arg Arg Lys Ser Ser Gly Gly Lys Gly Gly Ser Tyr

450 455 460

Ser Gln Ala Ala Ser Ser Asp Ser Ala Gln Gly Ser Asp Val Ser Leu

465 470 475 480

Thr Ala

<210> 6

<211> 1179

<212> RNA

<213> Artificial Sequence

<220>

<223> P53 CDS

<400> 6

auggaggagc cgcagucaga uccuagcguc gagcccccuc ugagucagga aacauuuuca 60

gaccuaugga aacuacuucc ugaaaacaac guucuguccc ccuugccguc ccaagcaaug 120

gaugauuuga ugcugucccc ggacgauauu gaacaauggu ucacugaaga cccaggucca 180

gaugaagcuc ccagaaugcc agaggcugcu ccccccgugg ccccugcacc agcagcuccu 240

acaccggcgg ccccugcacc agcccccucc uggccccugu caucuucugu cccuucccag 300

aaaaccuacc agggcagcua cgguuuccgu cugggcuucu ugcauucugg gacagccaag 360

ucugugacuu gcacguacuc cccugcccuc aacaagaugu uuugccaacu ggccaagacc 420

ugcccugugc agcugugggu ugauuccaca cccccgcccg gcacccgcgu ccgcgccaug 480

gccaucuaca agcagucaca gcacaugacg gagguuguga ggcgcugccc ccaccaugag 540

cgcugcucag auagcgaugg ucuggccccu ccucagcauc uuauccgagu ggaaggaaau 600

uugcgugugg aguauuugga ugacagaaac acuuuucgac auaguguggu ggugcccuau 660

gagccgccug agguuggcuc ugacuguacc accauccacu acaacuacau guguaacagu 720

uccugcaugg gcggcaugaa ccggaggccc auccucacca ucaucacacu ggaagacucc 780

agugguaauc uacugggacg gaacagcuuu gaggugcgug uuugugccug uccugggaga 840

gaccggcgca cagaggagga aaaucuccgc aagaaagggg agccucacca cgagcugccc 900

ccagggagca cuaagcgagc acugcccaac aacaccagcu ccucucccca gccaaagaag 960

aaaccacugg auggagaaua uuucacccuu cagauccgug ggcgugagcg cuucgagaug 1020

uuccgagagc ugaaugaggc cuuggaacuc aaggaugccc aggcugggaa ggagccaggg 1080

gggagcaggg cucacuccag ccaccugaag uccaaaaagg gucagucuac cucccgccau 1140

aaaaaacuca uguucaagac agaagggccu gacucagac 1179

<210> 7

<211> 1922

<212> RNA

<213> Artificial Sequence

<220>

<223> P53 RNA

<400> 7

gggcgaacua guauucuucu gguccccaca gacucagaga gaacccgcca ccaugagagu 60

gaccgccccc agaacccuga uccugcugcu gucuggcgcc cuggcccuga cagagacaug 120

ggccggaagc cugcagggag gaagcaugga ggagccgcag ucagauccua gcgucgagcc 180

cccucugagu caggaaacau uuucagaccu auggaaacua cuuccugaaa acaacguucu 240

gucccccuug ccgucccaag caauggauga uuugaugcug uccccggacg auauugaaca 300

augguucacu gaagacccag guccagauga agcucccaga augccagagg cugcuccccc 360

cguggccccu gcaccagcag cuccuacacc ggcggccccu gcaccagccc ccuccuggcc 420

ccugucaucu ucugucccuu cccagaaaac cuaccagggc agcuacgguu uccgucuggg 480

cuucuugcau ucugggacag ccaagucugu gacuugcacg uacuccccug cccucaacaa 540

gauguuuugc caacuggcca agaccugccc ugugcagcug uggguugauu ccacaccccc 600

gcccggcacc cgcguccgcg ccauggccau cuacaagcag ucacagcaca ugacggaggu 660

ugugaggcgc ugcccccacc augagcgcug cucagauagc gauggucugg ccccuccuca 720

gcaucuuauc cgaguggaag gaaauuugcg uguggaguau uuggaugaca gaaacacuuu 780

ucgacauagu gugguggugc ccuaugagcc gccugagguu ggcucugacu guaccaccau 840

ccacuacaac uacaugugua acaguuccug caugggcggc augaaccgga ggcccauccu 900

caccaucauc acacuggaag acuccagugg uaaucuacug ggacggaaca gcuuugaggu 960

gcguguuugu gccuguccug ggagagaccg gcgcacagag gaggaaaauc uccgcaagaa 1020

aggggagccu caccacgagc ugcccccagg gagcacuaag cgagcacugc ccaacaacac 1080

cagcuccucu ccccagccaa agaagaaacc acuggaugga gaauauuuca cccuucagau 1140

ccgugggcgu gagcgcuucg agauguuccg agagcugaau gaggccuugg aacucaagga 1200

ugcccaggcu gggaaggagc caggggggag cagggcucac uccagccacc ugaaguccaa 1260

aaagggucag ucuaccuccc gccauaaaaa acucauguuc aagacagaag ggccugacuc 1320

agacggagga uccaucgugg gaauuguggc aggacuggca gugcuggccg ugguggugau 1380

cggagccgug guggcuaccg ugaugugcag acggaagucc agcggaggca agggcggcag 1440

cuacagccag gccgccagcu cugauagcgc ccagggcagc gacgugucac ugacagccug 1500

acucgagagc ucgcuuucuu gcuguccaau uucuauuaaa gguuccuuug uucccuaagu 1560

ccaacuacua aacuggggga uauuaugaag ggccuugagc aucuggauuc ugccuaauaa 1620

aaaacauuua uuuucauugc ugcgucgaga gcucgcuuuc uugcugucca auuucuauua 1680

aagguuccuu uguucccuaa guccaacuac uaaacugggg gauauuauga agggccuuga 1740

gcaucuggau ucugccuaau aaaaaacauu uauuuucauu gcugcgucga gaccuggucc 1800

agagucgcua gcaaaaaaaa aaaaaaaaaa aaaaaaaaaa aagcauauga cuaaaaaaaa 1860

aaaaaaaaaa aaaaaaaaaa aaaaaaaaaa aaaaaaaaaa aaaaaaaaaa aaaaaaaaaa 1920

aa 1922

<210> 8

<211> 509

<212> PRT

<213> Artificial Sequence

<220>

<223> PRAME

<400> 8

Met Glu Arg Arg Arg Leu Trp Gly Ser Ile Gln Ser Arg Tyr Ile Ser

1 5 10 15

Met Ser Val Trp Thr Ser Pro Arg Arg Leu Val Glu Leu Ala Gly Gln

20 25 30

Ser Leu Leu Lys Asp Glu Ala Leu Ala Ile Ala Ala Leu Glu Leu Leu

35 40 45

Pro Arg Glu Leu Phe Pro Pro Leu Phe Met Ala Ala Phe Asp Gly Arg

50 55 60

His Ser Gln Thr Leu Lys Ala Met Val Gln Ala Trp Pro Phe Thr Cys

65 70 75 80

Leu Pro Leu Gly Val Leu Met Lys Gly Gln His Leu His Leu Glu Thr

85 90 95

Phe Lys Ala Val Leu Asp Gly Leu Asp Val Leu Leu Ala Gln Glu Val

100 105 110

Arg Pro Arg Arg Trp Lys Leu Gln Val Leu Asp Leu Arg Lys Asn Ser

115 120 125

His Gln Asp Phe Trp Thr Val Trp Ser Gly Asn Arg Ala Ser Leu Tyr

130 135 140

Ser Phe Pro Glu Pro Glu Ala Ala Gln Pro Met Thr Lys Lys Arg Lys

145 150 155 160

Val Asp Gly Leu Ser Thr Glu Ala Glu Gln Pro Phe Ile Pro Val Glu

165 170 175

Val Leu Val Asp Leu Phe Leu Lys Glu Gly Ala Cys Asp Glu Leu Phe

180 185 190

Ser Tyr Leu Ile Glu Lys Val Lys Arg Lys Lys Asn Val Leu Arg Leu

195 200 205

Cys Cys Lys Lys Leu Lys Ile Phe Ala Met Pro Met Gln Asp Ile Lys

210 215 220

Met Ile Leu Lys Met Val Gln Leu Asp Ser Ile Glu Asp Leu Glu Val

225 230 235 240

Thr Cys Thr Trp Lys Leu Pro Thr Leu Ala Lys Phe Ser Pro Tyr Leu

245 250 255

Gly Gln Met Ile Asn Leu Arg Arg Leu Leu Leu Ser His Ile His Ala

260 265 270

Ser Ser Tyr Ile Ser Pro Glu Lys Glu Glu Gln Tyr Ile Ala Gln Phe

275 280 285

Thr Ser Gln Phe Leu Ser Leu Gln Cys Leu Gln Ala Leu Tyr Val Asp

290 295 300

Ser Leu Phe Phe Leu Arg Gly Arg Leu Asp Gln Leu Leu Arg His Val

305 310 315 320

Met Asn Pro Leu Glu Thr Leu Ser Ile Thr Asn Cys Arg Leu Ser Glu

325 330 335

Gly Asp Val Met His Leu Ser Gln Ser Pro Ser Val Ser Gln Leu Ser

340 345 350

Val Leu Ser Leu Ser Gly Val Met Leu Thr Asp Val Ser Pro Glu Pro

355 360 365

Leu Gln Ala Leu Leu Glu Arg Ala Ser Ala Thr Leu Gln Asp Leu Val

370 375 380

Phe Asp Glu Cys Gly Ile Thr Asp Asp Gln Leu Leu Ala Leu Leu Pro

385 390 395 400

Ser Leu Ser His Cys Ser Gln Leu Thr Thr Leu Ser Phe Tyr Gly Asn

405 410 415

Ser Ile Ser Ile Ser Ala Leu Gln Ser Leu Leu Gln His Leu Ile Gly

420 425 430

Leu Ser Asn Leu Thr His Val Leu Tyr Pro Val Pro Leu Glu Ser Tyr

435 440 445

Glu Asp Ile His Gly Thr Leu His Leu Glu Arg Leu Ala Tyr Leu His

450 455 460

Ala Arg Leu Arg Glu Leu Leu Cys Glu Leu Gly Arg Pro Ser Met Val

465 470 475 480

Trp Leu Ser Ala Asn Pro Cys Pro His Cys Gly Asp Arg Thr Phe Tyr

485 490 495

Asp Pro Glu Pro Ile Leu Cys Pro Cys Phe Met Pro Asn

500 505

<210> 9

<211> 598

<212> PRT

<213> Artificial Sequence

<220>

<223> PRAME fusion

<400> 9

Met Arg Val Thr Ala Pro Arg Thr Leu Ile Leu Leu Leu Ser Gly Ala

1 5 10 15

Leu Ala Leu Thr Glu Thr Trp Ala Gly Ser Leu Gln Gly Gly Ser Met

20 25 30

Glu Arg Arg Arg Leu Trp Gly Ser Ile Gln Ser Arg Tyr Ile Ser Met

35 40 45

Ser Val Trp Thr Ser Pro Arg Arg Leu Val Glu Leu Ala Gly Gln Ser

50 55 60

Leu Leu Lys Asp Glu Ala Leu Ala Ile Ala Ala Leu Glu Leu Leu Pro

65 70 75 80

Arg Glu Leu Phe Pro Pro Leu Phe Met Ala Ala Phe Asp Gly Arg His

85 90 95

Ser Gln Thr Leu Lys Ala Met Val Gln Ala Trp Pro Phe Thr Cys Leu

100 105 110

Pro Leu Gly Val Leu Met Lys Gly Gln His Leu His Leu Glu Thr Phe

115 120 125

Lys Ala Val Leu Asp Gly Leu Asp Val Leu Leu Ala Gln Glu Val Arg

130 135 140

Pro Arg Arg Trp Lys Leu Gln Val Leu Asp Leu Arg Lys Asn Ser His

145 150 155 160

Gln Asp Phe Trp Thr Val Trp Ser Gly Asn Arg Ala Ser Leu Tyr Ser

165 170 175

Phe Pro Glu Pro Glu Ala Ala Gln Pro Met Thr Lys Lys Arg Lys Val

180 185 190

Asp Gly Leu Ser Thr Glu Ala Glu Gln Pro Phe Ile Pro Val Glu Val

195 200 205

Leu Val Asp Leu Phe Leu Lys Glu Gly Ala Cys Asp Glu Leu Phe Ser

210 215 220

Tyr Leu Ile Glu Lys Val Lys Arg Lys Lys Asn Val Leu Arg Leu Cys

225 230 235 240

Cys Lys Lys Leu Lys Ile Phe Ala Met Pro Met Gln Asp Ile Lys Met

245 250 255

Ile Leu Lys Met Val Gln Leu Asp Ser Ile Glu Asp Leu Glu Val Thr

260 265 270

Cys Thr Trp Lys Leu Pro Thr Leu Ala Lys Phe Ser Pro Tyr Leu Gly

275 280 285

Gln Met Ile Asn Leu Arg Arg Leu Leu Leu Ser His Ile His Ala Ser

290 295 300

Ser Tyr Ile Ser Pro Glu Lys Glu Glu Gln Tyr Ile Ala Gln Phe Thr

305 310 315 320

Ser Gln Phe Leu Ser Leu Gln Cys Leu Gln Ala Leu Tyr Val Asp Ser

325 330 335

Leu Phe Phe Leu Arg Gly Arg Leu Asp Gln Leu Leu Arg His Val Met

340 345 350

Asn Pro Leu Glu Thr Leu Ser Ile Thr Asn Cys Arg Leu Ser Glu Gly

355 360 365

Asp Val Met His Leu Ser Gln Ser Pro Ser Val Ser Gln Leu Ser Val

370 375 380

Leu Ser Leu Ser Gly Val Met Leu Thr Asp Val Ser Pro Glu Pro Leu

385 390 395 400

Gln Ala Leu Leu Glu Arg Ala Ser Ala Thr Leu Gln Asp Leu Val Phe

405 410 415

Asp Glu Cys Gly Ile Thr Asp Asp Gln Leu Leu Ala Leu Leu Pro Ser

420 425 430

Leu Ser His Cys Ser Gln Leu Thr Thr Leu Ser Phe Tyr Gly Asn Ser

435 440 445

Ile Ser Ile Ser Ala Leu Gln Ser Leu Leu Gln His Leu Ile Gly Leu

450 455 460

Ser Asn Leu Thr His Val Leu Tyr Pro Val Pro Leu Glu Ser Tyr Glu

465 470 475 480

Asp Ile His Gly Thr Leu His Leu Glu Arg Leu Ala Tyr Leu His Ala

485 490 495

Arg Leu Arg Glu Leu Leu Cys Glu Leu Gly Arg Pro Ser Met Val Trp

500 505 510

Leu Ser Ala Asn Pro Cys Pro His Cys Gly Asp Arg Thr Phe Tyr Asp

515 520 525

Pro Glu Pro Ile Leu Cys Pro Cys Phe Met Pro Asn Gly Gly Ser Ile

530 535 540

Val Gly Ile Val Ala Gly Leu Ala Val Leu Ala Val Val Val Ile Gly

545 550 555 560

Ala Val Val Ala Thr Val Met Cys Arg Arg Lys Ser Ser Gly Gly Lys

565 570 575

Gly Gly Ser Tyr Ser Gln Ala Ala Ser Ser Asp Ser Ala Gln Gly Ser

580 585 590

Asp Val Ser Leu Thr Ala

595

<210> 10

<211> 1527

<212> RNA

<213> Artificial Sequence

<220>

<223> PRAME CDS

<400> 10

auggaacgaa ggcguuugug ggguuccauu cagagccgau acaucagcau gagugugugg 60

acaagcccac ggagacuugu ggagcuggca gggcagagcc ugcugaagga ugaggcccug 120

gccauugccg cccuggaguu gcugcccagg gagcuguucc cgccacuguu cauggcagcc 180

uuugacggga gacacagcca gacccugaag gcaauggugc aggccuggcc cuucaccugc 240

cucccucugg gagugcugau gaagggacaa caucuucacc uggagaccuu caaagcugug 300

cuugauggac uugaugugcu ccuugcccag gagguucgcc ccaggaggug gaaacuucaa 360

gugcuggauu uacggaagaa cucucaucag gacuucugga cuguaugguc uggaaacagg 420

gccagucugu acucauuucc agagccagaa gcagcucagc ccaugacaaa gaagcgaaaa 480

guagaugguu ugagcacaga ggcagagcag cccuucauuc caguagaggu gcucguagac 540

cuguuccuca aggaaggugc cugugaugaa uuguucuccu accucauuga gaaagugaag 600

cgaaagaaaa auguacuacg ccugugcugu aagaagcuga agauuuuugc aaugcccaug 660

caggauauca agaugauccu gaaaauggug cagcuggacu cuauugaaga uuuggaagug 720

acuuguaccu ggaagcuacc caccuuggcg aaauuuucuc cuuaccuggg ccagaugauu 780

aaucugcgua gacuccuccu cucccacauc caugcaucuu ccuacauuuc cccggagaag 840

gaggaacagu auaucgccca guucaccucu caguuccuca gucugcagug ccuccaggcu 900

cucuaugugg acucuuuauu uuuccuuaga ggccgccugg aucaguugcu caggcacgug 960

augaaccccu uggaaacccu cucaauaacu aacugccggc uuucggaagg ggaugugaug 1020

caucuguccc agagucccag cgucagucag cuaagugucc ugagucuaag uggggucaug 1080

cugaccgaug uaagucccga gccccuccaa gcucugcugg agagagccuc ugccacccuc 1140

caggaccugg ucuuugauga gugugggauc acggaugauc agcuccuugc ccuccugccu 1200

ucccugagcc acugcuccca gcuuacaacc uuaagcuucu acgggaauuc caucuccaua 1260

ucugccuugc agagucuccu gcagcaccuc aucgggcuga gcaaucugac ccacgugcug 1320

uauccugucc cccuggagag uuaugaggac auccauggua cccuccaccu ggagaggcuu 1380

gccuaucugc augccaggcu cagggaguug cugugugagu uggggcggcc cagcaugguc 1440

uggcuuagug ccaaccccug uccucacugu ggggacagaa ccuucuauga cccggagccc 1500

auccugugcc ccuguuucau gccuaac 1527

<210> 11

<211> 2270

<212> RNA

<213> Artificial Sequence

<220>

<223> PRAME RNA

<400> 11

gggcgaacua guauucuucu gguccccaca gacucagaga gaacccgcca ccaugagagu 60

gaccgccccc agaacccuga uccugcugcu gucuggcgcc cuggcccuga cagagacaug 120

ggccggaagc cugcagggag gaagcaugga acgaaggcgu uugugggguu ccauucagag 180

ccgauacauc agcaugagug uguggacaag cccacggaga cuuguggagc uggcagggca 240

gagccugcug aaggaugagg cccuggccau ugccgcccug gaguugcugc ccagggagcu 300

guucccgcca cuguucaugg cagccuuuga cgggagacac agccagaccc ugaaggcaau 360

ggugcaggcc uggcccuuca ccugccuccc ucugggagug cugaugaagg gacaacaucu 420

ucaccuggag accuucaaag cugugcuuga uggacuugau gugcuccuug cccaggaggu 480

ucgccccagg agguggaaac uucaagugcu ggauuuacgg aagaacucuc aucaggacuu 540

cuggacugua uggucuggaa acagggccag ucuguacuca uuuccagagc cagaagcagc 600

ucagcccaug acaaagaagc gaaaaguaga ugguuugagc acagaggcag agcagcccuu 660

cauuccagua gaggugcucg uagaccuguu ccucaaggaa ggugccugug augaauuguu 720

cuccuaccuc auugagaaag ugaagcgaaa gaaaaaugua cuacgccugu gcuguaagaa 780

gcugaagauu uuugcaaugc ccaugcagga uaucaagaug auccugaaaa uggugcagcu 840

ggacucuauu gaagauuugg aagugacuug uaccuggaag cuacccaccu uggcgaaauu 900

uucuccuuac cugggccaga ugauuaaucu gcguagacuc cuccucuccc acauccaugc 960

aucuuccuac auuuccccgg agaaggagga acaguauauc gcccaguuca ccucucaguu 1020

ccucagucug cagugccucc aggcucucua uguggacucu uuauuuuucc uuagaggccg 1080

ccuggaucag uugcucaggc acgugaugaa ccccuuggaa acccucucaa uaacuaacug 1140

ccggcuuucg gaaggggaug ugaugcaucu gucccagagu cccagcguca gucagcuaag 1200

uguccugagu cuaagugggg ucaugcugac cgauguaagu cccgagcccc uccaagcucu 1260

gcuggagaga gccucugcca cccuccagga ccuggucuuu gaugagugug ggaucacgga 1320

ugaucagcuc cuugcccucc ugccuucccu gagccacugc ucccagcuua caaccuuaag 1380

cuucuacggg aauuccaucu ccauaucugc cuugcagagu cuccugcagc accucaucgg 1440

gcugagcaau cugacccacg ugcuguaucc ugucccccug gagaguuaug aggacaucca 1500

ugguacccuc caccuggaga ggcuugccua ucugcaugcc aggcucaggg aguugcugug 1560

ugaguugggg cggcccagca uggucuggcu uagugccaac cccuguccuc acugugggga 1620

cagaaccuuc uaugacccgg agcccauccu gugccccugu uucaugccua acggaggauc 1680

caucguggga auuguggcag gacuggcagu gcuggccgug guggugaucg gagccguggu 1740

ggcuaccgug augugcagac ggaaguccag cggaggcaag ggcggcagcu acagccaggc 1800

cgccagcucu gauagcgccc agggcagcga cgugucacug acagccugac ucgagagcuc 1860

gcuuucuugc uguccaauuu cuauuaaagg uuccuuuguu cccuaagucc aacuacuaaa 1920

cugggggaua uuaugaaggg ccuugagcau cuggauucug ccuaauaaaa aacauuuauu 1980

uucauugcug cgucgagagc ucgcuuucuu gcuguccaau uucuauuaaa gguuccuuug 2040

uucccuaagu ccaacuacua aacuggggga uauuaugaag ggccuugagc aucuggauuc 2100

ugccuaauaa aaaacauuua uuuucauugc ugcgucgaga ccugguccag agucgcuagc 2160

aaaaaaaaaa aaaaaaaaaa aaaaaaaaaa gcauaugacu aaaaaaaaaa aaaaaaaaaa 2220

aaaaaaaaaa aaaaaaaaaa aaaaaaaaaa aaaaaaaaaa aaaaaaaaaa 2270

<210> 12

<211> 65

<212> PRT

<213> Artificial Sequence

<220>

<223> TET

<400> 12

Lys Lys Gln Tyr Ile Lys Ala Asn Ser Lys Phe Ile Gly Ile Thr Glu

1 5 10 15

Leu Lys Lys Leu Gly Gly Gly Lys Arg Gly Gly Gly Lys Lys Met Thr

20 25 30

Asn Ser Val Asp Asp Ala Leu Ile Asn Ser Thr Lys Ile Tyr Ser Tyr

35 40 45

Phe Pro Ser Val Ile Ser Lys Val Asn Gln Gly Ala Gln Gly Lys Lys

50 55 60

Leu

65

<210> 13

<211> 170

<212> PRT

<213> Artificial Sequence

<220>

<223> TET fusion

<400> 13

Met Arg Val Thr Ala Pro Arg Thr Leu Ile Leu Leu Leu Ser Gly Ala

1 5 10 15

Leu Ala Leu Thr Glu Thr Trp Ala Gly Ser Leu Gly Ser Leu Gly Gly

20 25 30

Gly Gly Ser Gly Lys Lys Gln Tyr Ile Lys Ala Asn Ser Lys Phe Ile

35 40 45

Gly Ile Thr Glu Leu Lys Lys Leu Gly Gly Gly Lys Arg Gly Gly Gly

50 55 60

Lys Lys Met Thr Asn Ser Val Asp Asp Ala Leu Ile Asn Ser Thr Lys

65 70 75 80

Ile Tyr Ser Tyr Phe Pro Ser Val Ile Ser Lys Val Asn Gln Gly Ala

85 90 95

Gln Gly Lys Lys Leu Gly Ser Ser Gly Gly Gly Gly Ser Pro Gly Gly

100 105 110

Gly Ser Ser Ile Val Gly Ile Val Ala Gly Leu Ala Val Leu Ala Val

115 120 125

Val Val Ile Gly Ala Val Val Ala Thr Val Met Cys Arg Arg Lys Ser

130 135 140

Ser Gly Gly Lys Gly Gly Ser Tyr Ser Gln Ala Ala Ser Ser Asp Ser

145 150 155 160

Ala Gln Gly Ser Asp Val Ser Leu Thr Ala

165 170

<210> 14

<211> 195

<212> RNA

<213> Artificial Sequence

<220>

<223> TET CDS

<400> 14

aagaagcagu acaucaaggc caacagcaag uucaucggca ucaccgagcu gaagaagcug 60

ggagggggca aacggggagg cggcaaaaag augaccaaca gcguggacga cgcccugauc 120

aacagcacca agaucuacag cuacuucccc agcgugauca gcaaagugaa ccagggcgcu 180

cagggcaaga aacug 195

<210> 15

<211> 986

<212> RNA

<213> Artificial Sequence

<220>

<223> TET RNA

<400> 15

gggcgaacua guauucuucu gguccccaca gacucagaga gaacccgcca ccaugagagu 60

gaccgccccc agaacccuga uccugcugcu gucuggcgcc cuggcccuga cagagacaug 120

ggccggaagc cugggauccc ugggaggcgg gggaagcggc aagaagcagu acaucaaggc 180

caacagcaag uucaucggca ucaccgagcu gaagaagcug ggagggggca aacggggagg 240

cggcaaaaag augaccaaca gcguggacga cgcccugauc aacagcacca agaucuacag 300

cuacuucccc agcgugauca gcaaagugaa ccagggcgcu cagggcaaga aacugggcuc 360

uagcggaggg ggaggcucuc cuggcggggg aucuagcauc gugggaauug uggcaggacu 420

ggcagugcug gccguggugg ugaucggagc cgugguggcu accgugaugu gcagacggaa 480

guccagcgga ggcaagggcg gcagcuacag ccaggccgcc agcucugaua gcgcccaggg 540

cagcgacgug ucacugacag ccugacucga gagcucgcuu ucuugcuguc caauuucuau 600

uaaagguucc uuuguucccu aaguccaacu acuaaacugg gggauauuau gaagggccuu 660

gagcaucugg auucugccua auaaaaaaca uuuauuuuca uugcugcguc gagagcucgc 720

uuucuugcug uccaauuucu auuaaagguu ccuuuguucc cuaaguccaa cuacuaaacu 780

gggggauauu augaagggcc uugagcaucu ggauucugcc uaauaaaaaa cauuuauuuu 840

cauugcugcg ucgagaccug guccagaguc gcuagcaaaa aaaaaaaaaa aaaaaaaaaa 900

aaaaaagcau augacuaaaa aaaaaaaaaa aaaaaaaaaa aaaaaaaaaa aaaaaaaaaa 960

aaaaaaaaaa aaaaaaaaaa aaaaaa 986

<210> 16

<211> 52

<212> RNA

<213> Artificial Sequence

<220>

<223> 5'-UTR

<400> 16

gggcgaacua guauucuucu gguccccaca gacucagaga gaacccgcca cc 52

<210> 17

<211> 26

<212> PRT

<213> Artificial Sequence

<220>

<223> Sec

<400> 17

Met Arg Val Thr Ala Pro Arg Thr Leu Ile Leu Leu Leu Ser Gly Ala

1 5 10 15

Leu Ala Leu Thr Glu Thr Trp Ala Gly Ser

20 25

<210> 18

<211> 78

<212> RNA

<213> Artificial Sequence

<220>

<223> Sec CDS

<400> 18

augagaguga ccgcccccag aacccugauc cugcugcugu cuggcgcccu ggcccugaca 60

gagacauggg ccggaagc 78

<210> 19

<211> 55

<212> PRT

<213> Artificial Sequence

<220>

<223> MITD

<400> 19

Ile Val Gly Ile Val Ala Gly Leu Ala Val Leu Ala Val Val Val Ile

1 5 10 15

Gly Ala Val Val Ala Thr Val Met Cys Arg Arg Lys Ser Ser Gly Gly

20 25 30

Lys Gly Gly Ser Tyr Ser Gln Ala Ala Ser Ser Asp Ser Ala Gln Gly

35 40 45

Ser Asp Val Ser Leu Thr Ala

50 55

<210> 20

<211> 168

<212> RNA

<213> Artificial Sequence

<220>

<223> MITD CDS

<400> 20

aucgugggaa uuguggcagg acuggcagug cuggccgugg uggugaucgg agccguggug 60

gcuaccguga ugugcagacg gaaguccagc ggaggcaagg gcggcagcua cagccaggcc 120

gccagcucug auagcgccca gggcagcgac gugucacuga cagccuga 168

<210> 21

<211> 311

<212> RNA

<213> Artificial Sequence

<220>

<223> 3'-UTR

<400> 21

cucgagagcu cgcuuucuug cuguccaauu ucuauuaaag guuccuuugu ucccuaaguc 60

caacuacuaa acugggggau auuaugaagg gccuugagca ucuggauucu gccuaauaaa 120

aaacauuuau uuucauugcu gcgucgagag cucgcuuucu ugcuguccaa uuucuauuaa 180

agguuccuuu guucccuaag uccaacuacu aaacuggggg auauuaugaa gggccuugag 240

caucuggauu cugccuaaua aaaaacauuu auuuucauug cugcgucgag accuggucca 300

gagucgcuag c 311

<210> 22

<211> 110

<212> RNA

<213> Artificial Sequence

<220>

<223> A30L70

<400> 22

aaaaaaaaaa aaaaaaaaaa aaaaaaaaaa gcauaugacu aaaaaaaaaa aaaaaaaaaa 60

aaaaaaaaaa aaaaaaaaaa aaaaaaaaaa aaaaaaaaaa aaaaaaaaaa 110

<210> 23

<211> 9

<212> PRT

<213> Artificial Sequence

<220>

<223> Antigenic peptide

<400> 23

Ala Leu Phe Gly Leu Leu Val Tyr Leu

1 5

<210> 24

<211> 9

<212> PRT

<213> Artificial Sequence

<220>

<223> Antigenic peptide

<400> 24

Ala Leu Gln Ser Leu Leu Gln His Leu

1 5

<210> 25

<211> 15

<212> PRT

<213> Artificial Sequence

<220>

<223> Antigenic peptide

<400> 25

Gln Tyr Ile Lys Ala Asn Ser Lys Phe Ile Gly Ile Thr Glu Leu

1 5 10 15

<210> 26

<211> 32

<212> PRT

<213> Artificial Sequence

<220>

<223> Antigenic peptide

<400> 26

Met Thr Asn Ser Val Asp Asp Ala Leu Ile Asn Ser Thr Lys Ile Tyr

1 5 10 15

Ser Tyr Phe Pro Ser Val Ile Ser Lys Val Asn Gln Gly Ala Gln Gly

20 25 30

<---

Похожие патенты RU2832172C2

название год авторы номер документа
ТЕРАПЕВТИЧЕСКАЯ РНК ДЛЯ РАКА ПРЕДСТАТЕЛЬНОЙ ЖЕЛЕЗЫ 2020
  • Вебер, Давид
  • Вальтер, Карина
  • Бареа Ролдан, Диана
  • Кунер, Рупрехт
  • Дикен, Элиф
  • Зухан, Мартин
  • Ганги Маурици, Стефания
  • Сахин, Угур
RU2838161C2
Модифицированные клетки с химерным антигеновым рецептором для лечения рака, экспрессирующего CLDN6 2020
  • Сахин, Угур
  • Эм, Петра
  • Ренгстль, Беньямин
  • Райнхард, Катарина
  • Михель, Кристина
RU2826058C2
СПОСОБЫ И КОМПОЗИЦИИ ДЛЯ ПРОГНОЗИРОВАНИЯ ТЕРАПЕВТИЧЕСКОЙ ЭФФЕКТИВНОСТИ ЛЕЧЕНИЯ ОНКОЛОГИЧЕСКИХ ЗАБОЛЕВАНИЙ И ПРОГНОЗА ОНКОЛОГИЧЕСКИХ ЗАБОЛЕВАНИЙ 2016
  • Сахин Угур
  • Тюречи Озлем
  • Маурус Даниэль
RU2785291C2
ГЛИКАНЗАВИСИМЫЕ ИММУНОТЕРАПЕВТИЧЕСКИЕ МОЛЕКУЛЫ 2016
  • Деметриоу Майкл
  • Чжоу Рэймонд Вэньхоу
RU2754661C2
КОМБИНИРОВАННАЯ ТЕРАПИЯ С ИСПОЛЬЗОВАНИЕМ АНТИТЕЛ ПРОТИВ КЛАУДИНА 18.2 ДЛЯ ЛЕЧЕНИЯ РАКА 2014
  • Сахин, Угур
  • Тюречи, Озлем
  • Митнахт-Краус, Рита
  • Вёль, Штефан
  • Якобс, Штефан
  • Хайнц, Корнелиа
RU2792932C2
КОНСТРУКЦИИ ДНК-АНТИТЕЛ ДЛЯ ПРИМЕНЕНИЯ ПРОТИВ БОЛЕЗНИ ЛАЙМА 2017
  • Уэйнер, Дэвид, Б.
  • Флингай, Селеке
RU2813829C2
КОНЪЮГАТЫ ЛЕКАРСТВЕННЫХ СРЕДСТВ, СОДЕРЖАЩИЕ АНТИТЕЛА ПРОТИВ КЛАУДИНА 18.2 2016
  • Сахин, Угур
  • Тюречи, Озлем
  • Вальтер, Корден
  • Кройцберг, Мария
  • Митнахт-Краус, Рита
  • Ле Гол, Фабрис
  • Якобс, Штефан
RU2841168C2
НОВЫЕ АНТИ-HLA-А2 АНТИТЕЛА И ИХ ПРИМЕНЕНИЕ 2018
  • Чжо, Ли
  • Абель,Тобиас
  • Майер, Франсуа
  • Левингс, Меган
  • Носан, Николас
  • Ламарш, Каролин
RU2805674C2
СЛИТЫЕ БЕЛКИ FMDV-E2 И ИХ ПРИМЕНЕНИЕ 2016
  • Одонне, Жан-Кристоф
  • Ренар, Фредерик
  • Бомшиль, Наталия
  • Зигойо-Клод, Сесиль
RU2714428C2
АНТИТЕЛА ПРОТИВ NGF И СВЯЗАННЫЕ С НИМИ СПОСОБЫ 2019
  • Стейнигер Сибэсчен С. Д.
  • Дункл Уилльям
  • Рагг Кэтрин
  • Данхэм Стивен А.
RU2838175C2

Иллюстрации к изобретению RU 2 832 172 C2

Реферат патента 2024 года ТЕРАПЕВТИЧЕСКАЯ РНК ДЛЯ РАКА ЯИЧНИКА

Группа изобретений относится к терапевтической РНК для лечения рака яичников. Предложены фармацевтическая композиция, лекарственный препарат и набор, включающие по меньшей мере одну РНК, которая кодирует: (i) аминокислотную последовательность, содержащую клаудин 6 (CLDN6), его иммуногенный вариант или иммуногенный фрагмент CLDN6 или его иммуногенный вариант; (ii) аминокислотную последовательность, содержащую р53, его иммуногенный вариант или иммуногенный фрагмент р53 или его иммуногенный вариант; и (iii) аминокислотную последовательность, содержащую преимущественно экспрессируемый антиген меланомы (PRAME), его иммуногенный вариант или иммуногенный фрагмент PRAME или его иммуногенный вариант. В другом варианте каждая из указанных в (i), (ii) или (iii) аминокислотных последовательностей кодируется отдельной РНК. Введение терапевтических РНК пациенту, страдающему раком яичников, способствует уменьшению размера опухоли, продлевает время до прогрессирования заболевания и/или защищает от метастазирования и/или рецидива опухоли. 7 н. и 76 з.п. ф-лы, 29 ил., 18 табл., 2 пр.

Формула изобретения RU 2 832 172 C2

1. Фармацевтическая композиция для лечения или предупреждения рака яичников, включающая один или более фармацевтически приемлемых носителей, разбавителей и/или эксципиентов и по меньшей мере одну РНК, где указанная по меньшей мере одна РНК кодирует следующие аминокислотные последовательности:

(i) аминокислотную последовательность, содержащую клаудин 6 (CLDN6), его иммуногенный вариант или иммуногенный фрагмент CLDN6 или его иммуногенный вариант;

(ii) аминокислотную последовательность, содержащую р53, его иммуногенный вариант или иммуногенный фрагмент р53 или его иммуногенный вариант; и

(iii) аминокислотную последовательность, содержащую преимущественно экспрессируемый антиген меланомы (PRAME), его иммуногенный вариант или иммуногенный фрагмент PRAME или его иммуногенный вариант, или

где каждая из указанных в (i), (ii) или (iii) аминокислотных последовательностей кодируется отдельной РНК, причем иммуногенный вариант или иммуногенный фрагмент представляет собой иммунологический эквивалент CLDN6, p53 или PRAME соответственно.

2. Лекарственный препарат для лечения или предупреждения рака яичников, включающий по меньшей мере одну РНК, где указанная по меньшей мере одна РНК кодирует следующие аминокислотные последовательности:

(i) аминокислотную последовательность, содержащую клаудин 6 (CLDN6), его иммуногенный вариант или иммуногенный фрагмент CLDN6 или его иммуногенный вариант;

(ii) аминокислотную последовательность, содержащую р53, его иммуногенный вариант или иммуногенный фрагмент р53 или его иммуногенный вариант; и

(iii) аминокислотную последовательность, содержащую преимущественно экспрессируемый антиген меланомы (PRAME), его иммуногенный вариант или иммуногенный фрагмент PRAME или его иммуногенный вариант, или

где каждая из указанных в (i), (ii) или (iii) аминокислотных последовательностей кодируется отдельной РНК, причем иммуногенный вариант или иммуногенный фрагмент представляет собой иммунологический эквивалент CLDN6, p53 или PRAME соответственно.

3. Композиция или лекарственный препарат по п. 1 или 2, в которых

(i) РНК, кодирующая аминокислотную последовательность по (i), включает нуклеотидную последовательность SEQ ID NO: 2 или 3 или нуклеотидную последовательность, которая по меньшей мере на 99%, 98%, 97%, 96%, 95%, 90%, 85% или 80% идентична нуклеотидной последовательности SEQ ID NO: 2 или 3; и/или

(ii) аминокислотная последовательность по (i) включает аминокислотную последовательность SEQ ID NO: 1 или аминокислотную последовательность, которая по меньшей мере на 99%, 98%, 97%, 96%, 95%, 90%, 85% или 80% идентична аминокислотной последовательности SEQ ID NO: 1.

4. Композиция или лекарственный препарат по любому из пп. 1-3, в которых

(i) РНК, кодирующая аминокислотную последовательность по (ii), включает нуклеотидную последовательность SEQ ID NO: 6 или 7 или нуклеотидную последовательность, которая по меньшей мере на 99%, 98%, 97%, 96%, 95%, 90%, 85% или 80% идентична нуклеотидной последовательности SEQ ID NO: 6 или 7; и/или

(ii) аминокислотная последовательность по (ii) включает аминокислотную последовательность SEQ ID NO: 4 или 5 или аминокислотную последовательность, которая по меньшей мере на 99%, 98%, 97%, 96%, 95%, 90%, 85% или 80% идентична аминокислотной последовательности SEQ ID NO: 4 или 5.

5. Композиция или лекарственный препарат по любому из пп. 1-4, в которых

(i) РНК, кодирующая аминокислотную последовательность по (iii), включает нуклеотидную последовательность SEQ ID NO: 10 или 11 или нуклеотидную последовательность, которая по меньшей мере на 99%, 98%, 97%, 96%, 95%, 90%, 85% или 80% идентична нуклеотидной последовательности SEQ ID NO: 10 или 11; и/или

(ii) аминокислотная последовательность по (iii) включает аминокислотную последовательность SEQ ID NO: 8 или 9 или аминокислотную последовательность, которая по меньшей мере на 99%, 98%, 97%, 96%, 95%, 90%, 85% или 80% идентична аминокислотной последовательности SEQ ID NO: 8 или 9.

6. Композиция или лекарственный препарат по любому из пп. 1-5, причем по меньшей мере одну РНК вводят совместно с РНК, кодирующей

(iv) аминокислотную последовательность, нарушающую иммунологическую толерантность.

7. Композиция или лекарственный препарат по любому из пп. 1-6, причем каждую РНК вводят совместно с РНК, кодирующей

(iv) аминокислотную последовательность, нарушающую иммунологическую толерантность.

8. Композиция или лекарственный препарат по п. 6 или 7, в которых аминокислотная последовательность, нарушающая иммунологическую толерантность, включает хелперные эпитопы, происходящие из столбнячного анатоксина.

9. Композиция или лекарственный препарат по любому из пп. 6-8, в которых

(i) РНК, кодирующая аминокислотную последовательность, нарушающую иммунологическую толерантность, включает нуклеотидную последовательность SEQ ID NO: 14 или 15 или нуклеотидную последовательность, которая по меньшей мере на 99%, 98%, 97%, 96%, 95%, 90%, 85% или 80% идентична нуклеотидной последовательности SEQ ID NO: 14 или 15; и/или

(ii) аминокислотная последовательность, нарушающая иммунологическую толерантность, включает аминокислотную последовательность SEQ ID NO: 12 или 13 или аминокислотную последовательность, которая по меньшей мере на 99%, 98%, 97%, 96%, 95%, 90%, 85% или 80% идентична аминокислотной последовательности SEQ ID NO: 12 или 13.

10. Композиция или лекарственный препарат по любому из пп. 1-9, в которых по меньшей мере одна из аминокислотных последовательностей по (i), (ii), (iii) или (iv) кодируется последовательностью, которая представляет собой кодоноптимизированную последовательность и/или содержание G/C в которой увеличено по сравнению с кодирующей последовательностью дикого типа; или

по меньшей мере одна из аминокислотных последовательностей (i), (ii), (iii) или (iv) кодируется последовательностью, которая представляет собой кодоноптимизированную последовательность и/или содержание G/C в которой увеличено по сравнению с кодирующей последовательностью дикого типа, и при этом оптимизация кодонов и/или увеличение содержания G/C не изменяют последовательность кодируемой аминокислотной последовательности.

11. Композиция или лекарственный препарат по любому из пп. 1-10, в которых каждая из аминокислотных последовательностей по (i), (ii), (iii) или (iv) кодируется последовательностью, которая представляет собой кодоноптимизированную последовательность и/или содержание G/C в которой увеличено по сравнению с кодирующей последовательностью дикого типа; или

каждая из аминокислотных последовательностей (i), (ii), (iii) или (iv) кодируется последовательностью, которая представляет собой кодоноптимизированную последовательность и/или содержание G/C в которой увеличено по сравнению с кодирующей последовательностью дикого типа, и при этом оптимизация кодонов и/или увеличение содержания G/C не изменяют последовательность кодируемой аминокислотной последовательности.

12. Композиция или лекарственный препарат по любому из пп. 1-11, в которых по меньшей мере одна РНК содержит 5’-кэп m27,2’-OGppsp(5')G.

13. Композиция или лекарственный препарат по любому из пп. 1-12, в которых каждая РНК содержит 5’-кэп m27,2’-OGppsp(5')G.

14. Композиция или лекарственный препарат по любому из пп. 1-13, в которых по меньшей мере одна РНК содержит 5’-UTR, включающую нуклеотидную последовательность SEQ ID NO: 16 или нуклеотидную последовательность, которая по меньшей мере на 99%, 98%, 97%, 96%, 95%, 90%, 85% или 80% идентична нуклеотидной последовательности SEQ ID NO: 16.

15. Композиция или лекарственный препарат по любому из пп. 1-14, в которых каждая РНК содержит 5’-UTR, включающую нуклеотидную последовательность SEQ ID NO: 16 или нуклеотидную последовательность, которая по меньшей мере на 99%, 98%, 97%, 96%, 95%, 90%, 85% или 80% идентична нуклеотидной последовательности SEQ ID NO: 16.

16. Композиция или лекарственный препарат по любому из пп. 1-15, в которых по меньшей мере одна аминокислотная последовательность по (i), (ii), (iii) или (iv) включает аминокислотную последовательность, усиливающую процессинг и/или презентацию антигена.

17. Композиция или лекарственный препарат по любому из пп. 1-16, в которых каждая аминокислотная последовательность по (i), (ii), (iii) или (iv) включает аминокислотную последовательность, усиливающую процессинг и/или презентацию антигена.

18. Композиция или лекарственный препарат по п. 16 или 17, в которых аминокислотная последовательность, усиливающая процессинг и/или презентацию антигена, включает аминокислотную последовательность, соответствующую трансмембранному и цитоплазматическому домену молекулы MHC или молекулы MHC класса I.

19. Композиция или лекарственный препарат по любому из пп. 16-18, в которых

(i) РНК, кодирующая аминокислотную последовательность, усиливающую процессинг и/или презентацию антигена, включает нуклеотидную последовательность SEQ ID NO: 20 или нуклеотидную последовательность, которая по меньшей мере на 99%, 98%, 97%, 96%, 95%, 90%, 85% или 80% идентична нуклеотидной последовательности SEQ ID NO: 20; и/или

(ii) аминокислотная последовательность, усиливающая процессинг и/или презентацию антигена, включает аминокислотную последовательность SEQ ID NO: 19 или аминокислотную последовательность, которая по меньшей мере на 99%, 98%, 97%, 96%, 95%, 90%, 85% или 80% идентична аминокислотной последовательности SEQ ID NO: 19.

20. Композиция или лекарственный препарат по любому из пп. 1-19, в которых по меньшей мере одна РНК содержит 3’-UTR, включающую нуклеотидную последовательность SEQ ID NO: 21 или нуклеотидную последовательность, которая по меньшей мере на 99%, 98%, 97%, 96%, 95%, 90%, 85% или 80% идентична нуклеотидной последовательности SEQ ID NO: 21.

21. Композиция или лекарственный препарат по любому из пп. 1-20, в которых каждая РНК содержит 3’-UTR, включающую нуклеотидную последовательность SEQ ID NO: 21 или нуклеотидную последовательность, которая по меньшей мере на 99%, 98%, 97%, 96%, 95%, 90%, 85% или 80% идентична нуклеотидной последовательности SEQ ID NO: 21.

22. Композиция или лекарственный препарат по любому из пп. 1-21, в которых по меньшей мере одна РНК содержит последовательность поли-А.

23. Композиция или лекарственный препарат по любому из пп. 1-22, в которых каждая РНК содержит последовательность поли-А.

24. Композиция или лекарственный препарат по п. 22 или 23, в которых последовательность поли-А включает по меньшей мере 100 нуклеотидов.

25. Композиция или лекарственный препарат по любому из пп. 22-24, в которых последовательность поли-А включает или состоит из нуклеотидной последовательности SEQ ID NO: 22.

26. Композиция или лекарственный препарат по любому из пп. 1-25, в которых РНК находится в форме жидкости, в форме твердого вещества или их комбинации.

27. Композиция или лекарственный препарат по любому из пп. 1-26, в которых РНК находится в форме для инъекций.

28. Композиция или лекарственный препарат по любому из пп. 1-27, в которых РНК находится в форме для внутривенной инъекции.

29. Композиция или лекарственный препарат по любому из пп. 1-28, в которых РНК находится в виде липоплексных частиц.

30. Композиция или лекарственный препарат по любому из пп. 1-29, в которых РНК-липоплексные частицы могут быть получены путем смешивания РНК с липосомами.

31. Композиция или лекарственный препарат по п. 29 или 30, в которых по меньшей мере одна РНК, кодирующая аминокислотную последовательность по (i), (ii) и/или (iii), объединена в составе липоплексных частиц с РНК, кодирующей аминокислотную последовательность, нарушающую иммунологическую толерантность.

32. Композиция или лекарственный препарат по любому из пп. 29-31, в которых каждая РНК, кодирующая аминокислотную последовательность по (i), (ii) и/или (iii), объединена в составе липоплексных частиц с РНК, кодирующей аминокислотную последовательность, нарушающую иммунологическую толерантность.

33. Набор для лечения или предупреждения рака яичников, включающий по меньшей мере одну РНК, где указанная по меньшей мере одна РНК кодирует следующие аминокислотные последовательности:

(i) аминокислотную последовательность, содержащую клаудин 6 (CLDN6), его иммуногенный вариант или иммуногенный фрагмент CLDN6 или его иммуногенный вариант;

(ii) аминокислотную последовательность, содержащую р53, его иммуногенный вариант или иммуногенный фрагмент р53 или его иммуногенный вариант; и

(iii) аминокислотную последовательность, содержащую преимущественно экспрессируемый антиген меланомы (PRAME), его иммуногенный вариант или иммуногенный фрагмент PRAME или его иммуногенный вариант, или

где каждая из указанных в (i), (ii) или (iii) аминокислотных последовательностей кодируется отдельной РНК, причем иммуногенный вариант или иммуногенный фрагмент представляет собой иммунологический эквивалент CLDN6, p53 или PRAME соответственно.

34. Набор по п. 33, в котором РНК находится в виде липоплексных частиц.

35. Набор по п. 33, также содержащий липосомы.

36. Набор по п. 35, в котором по меньшей мере одна РНК подлежит представлению в виде липоплексных частиц.

37. Набор по п. 34 или 36, причем РНК-липоплексные частицы могут быть получены путем смешивания РНК с липосомами.

38. Набор по любому из пп. 33-37, причем РНК и, необязательно, липосомы находятся в отдельных флаконах.

39. Набор по любому из пп. 33-38, также содержащий инструкции по применению РНК и, необязательно, липосом для лечения или предупреждения рака яичников.

40. Применение композиции любому из пп. 1-32 в способе лечения или предупреждения рака яичников.

41. Применение лекарственного препарата по любому из пп. 2-32 в способе лечения или предупреждения рака яичников.

42. Применение набора по любому из пп. 33-39 в способе лечения или предупреждения рака яичников.

43. Композиция или лекарственный препарат по любому из пп. 1-32 или набор по любому из пп. 33-39, которые предназначены для введения человеку.

44. Применение по любому из пп. 40-42, причем указанный способ предназначен для лечения или предупреждения рака яичников у человека.

45. Применение по любому из пп. 40-42 или 44, причем способ лечения или предупреждения рака яичников также включает проведение дополнительной терапии, при этом дополнительная терапия включает одно или более средств, выбранных из группы, включающей (а) хирургическую операцию по иссечению, резекции или удалению опухоли, (b) лучевую терапию и (c) химиотерапию.

46. Применение по п. 45, причем дополнительная терапия включает введение противоракового терапевтического средства.

47. Применение по п. 46, причем дополнительное терапевтическое средство представляет собой модулятор контрольной точки.

48. Применение по п. 47, причем модулятор контрольной точки представляет собой антитело против PD1, антитело против CTLA-4 или комбинацию антитела против PD1 и антитела против CTLA-4.

49. Способ лечения рака яичников у субъекта, включающий введение по меньшей мере одной РНК субъекту, где указанная по меньшей мере одна РНК кодирует следующие аминокислотные последовательности:

(i) аминокислотную последовательность, содержащую клаудин 6 (CLDN6), его иммуногенный вариант или иммуногенный фрагмент CLDN6 или его иммуногенный вариант;

(ii) аминокислотную последовательность, содержащую p53, его иммуногенный вариант или иммуногенный фрагмент p53 или его иммуногенный вариант; и

(iii) аминокислотную последовательность, содержащую преимущественно экспрессируемый антиген меланомы (PRAME), его иммуногенный вариант или иммуногенный фрагмент PRAME или его иммуногенный вариант, или

где введение субъекту по меньшей мере одной РНК, каждая из которых кодирует отдельную аминокислотную последовательность, указанную в (i), (ii) или (iii), причем иммуногенный вариант или иммуногенный фрагмент представляет собой иммунологический эквивалент CLDN6, p53 или PRAME соответственно.

50. Способ по п. 49, в котором

(i) РНК, кодирующая аминокислотную последовательность по (i), включает нуклеотидную последовательность SEQ ID NO: 2 или 3 или нуклеотидную последовательность, которая по меньшей мере на 99%, 98%, 97%, 96%, 95%, 90%, 85% или 80% идентична нуклеотидной последовательности SEQ ID NO: 2 или 3; и/или

(ii) аминокислотная последовательность по (i) включает аминокислотную последовательность SEQ ID NO: 1 или аминокислотную последовательность, которая по меньшей мере на 99%, 98%, 97%, 96%, 95%, 90%, 85% или 80% идентична аминокислотной последовательности SEQ ID NO: 1.

51. Способ по п. 49 или 50, в котором

(i) РНК, кодирующая аминокислотную последовательность по (ii), включает нуклеотидную последовательность SEQ ID NO: 6 или 7 или нуклеотидную последовательность, которая по меньшей мере на 99%, 98%, 97%, 96%, 95%, 90%, 85% или 80% идентична нуклеотидной последовательности SEQ ID NO: 6 или 7; и/или

(ii) аминокислотная последовательность по (ii) включает аминокислотную последовательность SEQ ID NO: 4 или 5 или аминокислотную последовательность, которая по меньшей мере на 99%, 98%, 97%, 96%, 95%, 90%, 85% или 80% идентична аминокислотной последовательности SEQ ID NO: 4 или 5.

52. Способ по любому из пп. 49-51, в котором

(i) РНК, кодирующая аминокислотную последовательность по (iii), включает нуклеотидную последовательность SEQ ID NO: 10 или 11 или нуклеотидную последовательность, которая по меньшей мере на 99%, 98%, 97%, 96%, 95%, 90%, 85% или 80% идентична нуклеотидной последовательности SEQ ID NO: 10 или 11; и/или

(ii) аминокислотная последовательность по (iii) включает аминокислотную последовательность SEQ ID NO: 8 или 9 или аминокислотную последовательность, которая по меньшей мере на 99%, 98%, 97%, 96%, 95%, 90%, 85% или 80% идентична аминокислотной последовательности SEQ ID NO: 8 или 9.

53. Способ по любому из пп. 49-52, в котором по меньшей мере одну РНК вводят совместно с РНК, кодирующей

(iv) аминокислотную последовательность, нарушающую иммунологическую толерантность.

54. Способ по любому из пп. 49-53, в котором каждую РНК вводят совместно с РНК, кодирующей

(iv) аминокислотную последовательность, нарушающую иммунологическую толерантность.

55. Способ по п. 53 или 54, в котором аминокислотная последовательность, нарушающая иммунологическую толерантность, включает хелперные эпитопы, происходящие из столбнячного анатоксина.

56. Способ по любому из пп. 53-55, в котором

(i) РНК, кодирующая аминокислотную последовательность, нарушающую иммунологическую толерантность, включает нуклеотидную последовательность SEQ ID NO: 14 или 15 или нуклеотидную последовательность, которая по меньшей мере на 99%, 98%, 97%, 96%, 95%, 90%, 85% или 80% идентична нуклеотидной последовательности SEQ ID NO: 14 или 15; и/или

(ii) аминокислотная последовательность, нарушающая иммунологическую толерантность, включает аминокислотную последовательность SEQ ID NO: 12 или 13 или аминокислотную последовательность, которая по меньшей мере на 99%, 98%, 97%, 96%, 95%, 90%, 85% или 80% идентична аминокислотной последовательности SEQ ID NO: 12 или 13.

57. Способ по любому из пп. 49-56, в котором по меньшей мере одна из аминокислотных последовательностей по (i), (ii), (iii) или (iv) кодируется последовательностью, которая представляет собой кодоноптимизированную последовательность и/или содержание G/C в которой увеличено по сравнению с кодирующей последовательностью дикого типа; или

по меньшей мере одна из аминокислотных последовательностей по (i), (ii), (iii) или (iv) кодируется последовательностью, которая представляет собой кодоноптимизированную последовательность и/или содержание G/C в которой увеличено по сравнению с кодирующей последовательностью дикого типа, и при этом оптимизация кодонов и/или увеличение содержания G/C не изменяет последовательность кодируемой аминокислотной последовательности.

58. Способ по любому из пп. 49-57, в котором каждая из аминокислотных последовательностей по (i), (ii), (iii) или (iv) кодируется последовательностью, которая представляет собой кодоноптимизированную последовательность и/или содержание G/C в которой увеличено по сравнению с кодирующей последовательностью дикого типа; или

каждая из аминокислотных последовательностей по (i), (ii), (iii) или (iv) кодируется последовательностью, которая представляет собой кодоноптимизированную последовательность и/или содержание G/C в которой увеличено по сравнению с кодирующей последовательностью дикого типа, и при этом оптимизация кодонов и/или увеличение содержания G/C не изменяет последовательность кодируемой аминокислотной последовательности.

59. Способ по любому из пп. 49-58, в котором по меньшей мере одна РНК содержит 5’-кэп m27,2’-OGppsp(5')G.

60. Способ по любому из пп. 49-59, в котором каждая РНК содержит 5’-кэп m27,2’-OGppsp(5')G.

61. Способ по любому из пп. 49-60, в котором по меньшей мере одна РНК содержит 5’-UTR, включающую нуклеотидную последовательность SEQ ID NO: 16 или нуклеотидную последовательность, которая по меньшей мере на 99%, 98%, 97%, 96%, 95%, 90%, 85% или 80% идентична нуклеотидной последовательности SEQ ID NO: 16.

62. Способ по любому из пп. 49-61, в котором каждая РНК содержит 5’-UTR, включающую нуклеотидную последовательность SEQ ID NO: 16 или нуклеотидную последовательность, которая по меньшей мере на 99%, 98%, 97%, 96%, 95%, 90%, 85% или 80% идентична нуклеотидной последовательности SEQ ID NO: 16.

63. Способ по любому из пп. 49-62, в котором по меньшей мере одна аминокислотная последовательность по (i), (ii), (iii) или (iv) включает аминокислотную последовательность, усиливающую процессинг и/или презентацию антигена.

64. Способ по любому из пп. 49-63, в котором каждая аминокислотная последовательность по (i), (ii), (iii) или (iv) включает аминокислотную последовательность, усиливающую процессинг и/или презентацию антигена.

65. Способ по п. 63 или 64, в котором аминокислотная последовательность, усиливающая процессинг и/или презентацию антигена, включает аминокислотную последовательность, соответствующую трансмембранному и цитоплазматическому домену молекулы MHC или молекулы MHC класса I.

66. Способ по любому из пп. 63-65, в котором

(i) РНК, кодирующая аминокислотную последовательность, усиливающую процессинг и/или презентацию антигена, включает нуклеотидную последовательность SEQ ID NO: 20 или нуклеотидную последовательность, которая по меньшей мере на 99%, 98%, 97%, 96%, 95%, 90%, 85% или 80% идентична нуклеотидной последовательности SEQ ID NO: 20; и/или

(ii) аминокислотная последовательность, усиливающая процессинг и/или презентацию антигена, включает аминокислотную последовательность SEQ ID NO: 19 или аминокислотную последовательность, которая по меньшей мере на 99%, 98%, 97%, 96%, 95%, 90%, 85% или 80% идентична аминокислотной последовательности SEQ ID NO: 19.

67. Способ по любому из пп. 49-66, в котором по меньшей мере одна РНК содержит 3’-UTR, включающую нуклеотидную последовательность SEQ ID NO: 21 или нуклеотидную последовательность, которая по меньшей мере на 99%, 98%, 97%, 96%, 95%, 90%, 85% или 80% идентична нуклеотидной последовательности SEQ ID NO: 21.

68. Способ по любому из пп. 49-67, в котором каждая РНК содержит 3’-UTR, включающую нуклеотидную последовательность SEQ ID NO: 21 или нуклеотидную последовательность, которая по меньшей мере на 99%, 98%, 97%, 96%, 95%, 90%, 85% или 80% идентична нуклеотидной последовательности SEQ ID NO: 21.

69. Способ по любому из пп. 49-68, в котором по меньшей мере одна РНК включает последовательность поли-А.

70. Способ по любому из пп. 49-69, в котором каждая РНК включает последовательность поли-А.

71. Способ по п. 69 или 70, в котором последовательность поли-А включает по меньшей мере 100 нуклеотидов.

72. Способ по любому из пп. 69-71, в котором последовательность поли-А включает или состоит из нуклеотидной последовательности SEQ ID NO: 22.

73. Способ по любому из пп. 49-72, в котором РНК вводят путем инъекции.

74. Способ по любому из пп. 49-73, в котором РНК вводят путем внутривенной инъекции.

75. Способ по любому из пп. 49-74, в котором РНК находится в виде липоплексных частиц.

76. Способ по любому из пп. 49-75, в котором РНК-липоплексные частицы могут быть получены путем смешивания РНК с липосомами.

77. Способ по п. 75 или 76, в котором по меньшей мере одна РНК, кодирующая аминокислотную последовательность по (i), (ii) и/или (iii), объединена в составе липоплексных частиц с РНК, кодирующей аминокислотную последовательность, нарушающую иммунологическую толерантность.

78. Способ по любому из пп. 75-77, в котором каждая РНК, кодирующая аминокислотную последовательность по (i), (ii) и/или (iii), объединена в составе липоплексных частиц с РНК, кодирующей аминокислотную последовательность, нарушающую иммунологическую толерантность.

79. Способ по любому из пп. 49-78, в котором субъект представляет собой человека.

80. Способ по любому из пп. 49-79, который также включает проведение дополнительной терапии, при этом дополнительная терапия включает одно или более средств, выбранных из группы, включающей (а) хирургическую операцию по иссечению, резекции или удалению опухоли, (b) лучевую терапию и (с) химиотерапию.

81. Способ по п. 80, причем дополнительная терапия включает введение противоракового терапевтического средства.

82. Способ по п. 81, причем дополнительное терапевтическое средство представляет собой модулятор контрольной точки.

83. Способ по п. 82, причем модулятор контрольной точки представляет собой антитело против PD1, антитело против CTLA-4 или комбинацию антитела против PD1 и антитела против CTLA-4.

Документы, цитированные в отчете о поиске Патент 2024 года RU2832172C2

WO 2015014375 A1, 05.02.2015
WO 2013143683 A1, 03.10.2013
KLOUDOVA K
ET AL
Expression of tumor antigens on primary ovarian cancer cells compared to established ovarian cancer cell lines, ONCOTARGET, 2016, v.7, no
Солесос 1922
  • Макаров Ю.А.
SU29A1
ПРОТИВОПОЖАРНОЕ УСТРОЙСТВО ДЛЯ КИНОПРОЕКТОРА 1927
  • Т. Финей
  • Г. Годой
SU10028A1
НУКЛЕИНОВАЯ КИСЛОТА, СОДЕРЖАЩАЯ ИЛИ КОДИРУЮЩАЯ ГИСТОНОВУЮ СТРУКТУРУ ТИПА"СТЕБЕЛЬ-ПЕТЛЯ" И ПОЛИ(А)-ПОСЛЕДОВАТЕЛЬНОСТЬ ИЛИ СИГНАЛ ПОЛИАДЕНИЛИРОВАНИЯ, ДЛЯ УВЕЛИЧЕНИЯ ЭКСПРЕССИИ КОДИРУЕМОГО ОПУХОЛЕВОГО АНТИГЕНА 2013
  • Тесс Андреас
  • Шлаке Томас
  • Пробст Йохен
RU2650795C2
КОМПОЗИЦИЯ, ВКЛЮЧАЮЩАЯ КОМПЛЕКСНУЮ (И)РНК И СВОБОДНУЮ ИРНК ДЛЯ ОСУЩЕСТВЛЕНИЯ ИЛИ ПОВЫШЕНИЯ ИММУНОСТИМУЛИРУЮЩЕГО ОТВЕТА У МЛЕКОПИТАЮЩИХ, И ЕЕ ПРИМЕНЕНИЯ 2009
  • Мариола Фотин-Млечек
  • Зёнке Фосс
RU2545756C2

RU 2 832 172 C2

Авторы

Сахин, Угур

Вебер, Давид

Вальтер, Карина

Бареа Ролдан, Диана

Кунер, Рупрехт

Вагнер, Майке

Зухан, Мартин

Ганги Мауричи, Стефания

Хубих-Рау, Стефание

Бекер, Рене

Даты

2024-12-20Публикация

2020-05-20Подача