ТЕРАПЕВТИЧЕСКАЯ РНК ДЛЯ РАКА ПРЕДСТАТЕЛЬНОЙ ЖЕЛЕЗЫ Российский патент 2025 года по МПК A61K39/00 A61K9/127 A61P35/00 

Описание патента на изобретение RU2838161C2

Изобретение относится к области терапевтической РНК для лечения рака предстательной железы. Рак предстательной железы - серьезное заболевание, от которого ежегодно страдают тысячи мужчин среднего и старшего возраста. Около 60 процентов случаев приходится на мужчин старше 65 лет. По оценкам Американского онкологического общества (ACS), в 2019 году 174650 американских мужчин будут диагностированы с этим заболеванием. По данным фонда Urology Care Foundation, рак предстательной железы является второй по значимости причиной смерти от онкологических заболеваний среди мужчин в Соединенных Штатах.

В настоящем описании раскрыты композиции, применения и способы лечения рака предстательной железы. Введение терапевтических РНК пациенту, страдающему раком предстательной железы, описанных в настоящей заявке, может уменьшить размер опухоли, продлить время до прогрессирования заболевания и/или защитить от метастазирования и/или рецидива опухоли и, в конечном итоге, увеличить время выживания.14

Сущность изобретения

В одном аспекте в настоящей заявке предлагается композиция или медицинский состав, содержащий, по меньшей мере, одну РНК, где, по меньшей мере, одна РНК кодирует следующие аминокислотные последовательности:

(i) аминокислотную последовательность калликреина-2 (KLK2), его иммуногенного варианта или иммуногенного фрагмента KLK2 или его иммуногенного варианта;

(ii) аминокислотную последовательность простатоспецифического антигена (PSA), его иммуногенного варианта или иммуногенного фрагмента PSA или его иммуногенного варианта;

(iii) аминокислотную последовательность простатической кислой фосфатазы (PAP), ее иммуногенного варианта или иммуногенного фрагмента PAP или его иммуногенного варианта;

(iv) аминокислотную последовательность Homeobox B13 (HOXB13), его иммуногенного варианта или иммуногенного фрагмента HOXB13 или его иммуногенного варианта; и

(v) аминокислотную последовательность NK3 Homeobox 1 (NKX3-1), его иммуногенного варианта или иммуногенного фрагмента NKX3-1 или его иммуногенного варианта.

В одном воплощении каждая из аминокислотных последовательностей по (i), (ii), (iii), (iv) или (v) кодируется отдельной РНК.

В одном воплощении

(i) РНК, кодирующая аминокислотную последовательность по (i), включает нуклеотидную последовательность SEQ ID NO: 3 или 4 или нуклеотидную последовательность, идентичную, по меньшей мере, на 99%, 98%, 97%, 96%, 95%, 90%, 85% или 80% нуклеотидной последовательности SEQ ID NO: 3 или 4; и/или

(ii) аминокислотная последовательность по (i) включает аминокислотную последовательность SEQ ID NO: 1 или 2 или аминокислотную последовательность, идентичную, по меньшей мере, на 99%, 98%, 97%, 96%, 95%, 90%, 85% или 80% аминокислотной последовательности SEQ ID NO: 1 или 2.

В одном воплощении

(i) РНК, кодирующая аминокислотную последовательность по (ii), включает нуклеотидную последовательность SEQ ID NO: 7 или 8 или нуклеотидную последовательность, идентичную, по меньшей мере, на 99%, 98%, 97%, 96%, 95%, 90%, 85% или 80% нуклеотидной последовательности SEQ ID NO: 7 или 8; и/или

(ii) аминокислотная последовательность по (ii) включает аминокислотную последовательность SEQ ID NO: 5 или 6 или аминокислотную последовательность, идентичную, по меньшей мере, на 99%, 98%, 97%, 96%, 95%, 90%, 85% или 80% аминокислотной последовательности SEQ ID NO: 5 или 6.

В одном воплощении

(i) РНК, кодирующая аминокислотную последовательность по (iii), включает нуклеотидную последовательность SEQ ID NO: 11 или 12 или нуклеотидную последовательность, идентичную, по меньшей мере, на 99%, 98%, 97%, 96%, 95%, 90%, 85% или 80% нуклеотидной последовательности SEQ ID NO: 11 или 12; и/или

(ii) аминокислотная последовательность по (iii) включает аминокислотную последовательность SEQ ID NO: 9 или 10 или аминокислотную последовательность, идентичную, по меньшей мере, на 99%, 98%, 97%, 96%, 95%, 90%, 85% или 80% аминокислотной последовательности SEQ ID NO: 9 или 10.

В одном воплощении

(i) РНК, кодирующая аминокислотную последовательность по (iv), включает нуклеотидную последовательность SEQ ID NO: 15 или 16 или нуклеотидную последовательность, идентичную, по меньшей мере, на 99%, 98%, 97%, 96%, 95%, 90%, 85% или 80% нуклеотидной последовательности SEQ ID NO: 15 или 16; и/или

(ii) аминокислотная последовательность по пункту (iv) включает аминокислотную последовательность SEQ ID NO: 13 или 14 или аминокислотную последовательность, идентичную, по меньшей мере, на 99%, 98%, 97%, 96%, 95%, 90%, 85% или 80% аминокислотной последовательности SEQ ID NO: 13 или 14.

В одном воплощении

(i) РНК, кодирующая аминокислотную последовательность по (v), включает нуклеотидную последовательность SEQ ID NO: 19 или 20 или нуклеотидную последовательность, идентичную, по меньшей мере, на 99%, 98%, 97%, 96%, 95%, 90%, 85% или 80% нуклеотидной последовательности SEQ ID NO: 19 или 20; и/или

(ii) аминокислотная последовательность по (v) включает аминокислотную последовательность SEQ ID NO: 17 или 18 или аминокислотную последовательность, идентичную, по меньшей мере, на 99%, 98%, 97%, 96%, 95%, 90%, 85% или 80% аминокислотной последовательности SEQ ID NO: 17 или 18.

В одном воплощении, по меньшей мере, одна из аминокислотных последовательностей по (i), (ii), (iii), (iv) или (v) кодируется последовательностью, которая оптимизирована по кодонам, и/или содержание G/C в которой увеличено по сравнению с кодирующей последовательностью дикого типа, где оптимизация по кодонам и/или увеличение содержания G/C, предпочтительно, не изменяет последовательность кодируемой аминокислотной последовательности. В одном воплощении каждая из аминокислотных последовательностей по (i), (ii), (iii), (iv) или (v) кодируется последовательностью, которая оптимизирована по кодонам, и/или содержание G/C в которой увеличивается по сравнению с кодирующей последовательностью дикого типа, где оптимизация по кодонам и/или увеличение содержания G/C предпочтительно не изменяет последовательность кодируемой аминокислотной последовательности.

В одном воплощении по меньшей мере одна РНК представляет собой модифицированную РНК, в частности стабилизированную мРНК. В одном воплощении, по меньшей мере, одна РНК содержит модифицированный нуклеозид вместо по меньшей мере одного уридина. В одном воплощении, по меньшей мере, одна РНК содержит модифицированный нуклеозид вместо каждого уридина. В одном воплощении каждая РНК содержит модифицированный нуклеозид вместо, по меньшей мере, одного уридина. В одном воплощении каждая РНК содержит модифицированный нуклеозид вместо каждого уридина. В одном воплощении модифицированный нуклеозид независимо выбран из псевдоуридина (ψ), N1-метил-псевдоуридина (m1ψ) и 5-метилуридина (m5U).

В одном воплощении по меньшей мере одна РНК содержит 5’-кэп m2 7,2’-OGppsp (5') G. В одном воплощении каждая РНК содержит 5’-кэп m2 7,2’-OGppsp (5') G.

В одном воплощении по меньшей мере одна РНК включает 5'-UTR, содержащую нуклеотидную последовательность SEQ ID NO: 21, или нуклеотидную последовательность, идентичную, по меньшей мере, на 99%, 98%, 97%, 96%, 95%, 90%, 85% или 80% нуклеотидной последовательности SEQ ID NO: 21. В одном воплощении каждая РНК включает 5'-UTR, содержащую нуклеотидную последовательность SEQ ID NO: 21, или нуклеотидную последовательность, идентичную, по меньшей мере, на 99%, 98%, 97%, 96%, 95%, 90%, 85% или 80% нуклеотидной последовательности SEQ ID NO: 21.

В одном воплощении, по меньшей мере, одна аминокислотная последовательность по (i), (ii), (iii), (iv) или (v) включает аминокислотную последовательность, усиливающую процессинг и/или презентацию антигена. В одном воплощении каждая аминокислотная последовательность по (i), (ii), (iii), (iv) или (v) включает аминокислотную последовательность, усиливающую процессинг и/или презентацию антигена. В одном воплощении аминокислотная последовательность, усиливающая процессинг и/или презентацию антигена, включает аминокислотную последовательность, соответствующую трансмембранному и цитоплазматическому домену молекулы MHC, предпочтительно молекулы MHC класса I.

В одном воплощении

(i) РНК, кодирующая аминокислотную последовательность, усиливающую процессинг и/или презентацию антигена, включает нуклеотидную последовательность SEQ ID NO: 25 или нуклеотидную последовательность, идентичную, по меньшей мере, на 99%, 98%, 97%, 96%, 95%, 90%, 85% или 80% нуклеотидной последовательности SEQ ID NO: 25; и/или

(ii) аминокислотная последовательность, усиливающая процессинг и/или презентацию антигена, включает аминокислотную последовательность SEQ ID NO: 24 или аминокислотную последовательность, идентичную, по меньшей мере, на 99%, 98%, 97%, 96%, 95%, 90%, 85% или 80% аминокислотной последовательности SEQ ID NO: 24.

В одном воплощении аминокислотная последовательность, усиливающая процессинг и/или презентацию антигена, дополнительно содержит аминокислотную последовательность, кодирующую секреторный сигнальный пептид.

В одном воплощении

(i) РНК, кодирующая секреторный сигнальный пептид, включает нуклеотидную последовательность SEQ ID NO: 23 или нуклеотидную последовательность, идентичную, по меньшей мере, на 99%, 98%, 97%, 96%, 95%, 90%, 85% или 80% с нуклеотидной последовательностью SEQ ID NO: 23; и/или

(ii) секреторный сигнальный пептид содержит аминокислотную последовательность SEQ ID NO: 22 или аминокислотную последовательность, идентичную, по меньшей мере, на 99%, 98%, 97%, 96%, 95%, 90%, 85% или 80% с аминокислотной последовательностью SEQ ID NO: 22.

В одном воплощении по меньшей мере одна аминокислотная последовательность по (i), (ii), (iii), (iv) или (v) включает аминокислотную последовательность, которая нарушает иммунологическую толерантность. В одном воплощении каждая аминокислотная последовательность по (i), (ii), (iii), (iv) или (v) содержит аминокислотную последовательность, которая нарушает иммунологическую толерантность. В одном воплощении аминокислотная последовательность, которая нарушает иммунологическую толерантность, включает хелперные эпитопы, предпочтительно хелперные эпитопы, происходящие из столбнячного анатоксина.

В одном воплощении

(i) РНК, кодирующая аминокислотную последовательность, которая нарушает иммунологическую толерантность, включает нуклеотидную последовательность SEQ ID NO: 27 или нуклеотидную последовательность, идентичную, по меньшей мере, на 99%, 98%, 97%, 96%, 95%, 90%, 85%, или 80% нуклеотидной последовательности SEQ ID NO: 27; и/или

(ii) аминокислотная последовательность, которая нарушает иммунологическую толерантность, включает аминокислотную последовательность SEQ ID NO: 26 или аминокислотную последовательность, идентичную, по меньшей мере, на 99%, 98%, 97%, 96%, 95%, 90%, 85% или 80% нуклеотидной последовательности SEQ ID NO: 26.

В одном воплощении по меньшей мере одна РНК содержит 3'-UTR, содержащую нуклеотидную последовательность SEQ ID NO: 28, или нуклеотидную последовательность, идентичную, по меньшей мере, на 99%, 98%, 97%, 96%, 95%, 90%, 85% или 80% нуклеотидной последовательности SEQ ID NO: 28. В одном воплощении каждая РНК содержит 3'-UTR, содержащую нуклеотидную последовательность SEQ ID NO: 28, или нуклеотидную последовательность, идентичную, по меньшей мере, на 99%, 98%, 97%, 96%, 95%, 90%, 85% или 80% нуклеотидной последовательности SEQ ID NO: 28.

В одном воплощении по меньшей мере одна РНК содержит последовательность поли-А. В одном воплощении каждая РНК содержит последовательность поли-А. В одном воплощении последовательность поли-А содержит, по меньшей мере, 100 нуклеотидов. В одном воплощении последовательность поли-A включает или состоит из нуклеотидной последовательности SEQ ID NO: 29.

В одном воплощении РНК включена в состав в виде жидкости, в виде твердого вещества или их комбинации. В одном воплощении РНК включена в состав для инъекции. В одном воплощении РНК включена в состав для внутривенного введения. В одном воплощении РНК включена в состав или будет включена в состав в виде липоплексных частиц. В одном воплощении липоплексные частицы РНК могут быть получены путем смешивания РНК с липосомами.

В одном воплощении композиция или медицинский состав представляет собой фармацевтическую композицию. В одном воплощении фармацевтическая композиция дополнительно содержит один или несколько фармацевтически приемлемых носителей, разбавителей и/или эксципиентов.

В одном воплощении медицинский состав представляет собой набор. В одном воплощении РНК и, необязательно, липосомы находятся в отдельных флаконах.

В одном воплощении композиция или медицинский состав дополнительно содержат инструкции по применению РНК и, необязательно, липосом для лечения или профилактики рака предстательной железы.

В одном аспекте в настоящей заявке предлагается композиция или медицинский состав, раскрытые в настоящем описании, для фармацевтического применения. В одном из воплощений фармацевтическое применение включает терапевтическое или профилактическое лечение заболевания или расстройства. В одном воплощении терапевтическое или профилактическое лечение заболевания или нарушения включает лечение или профилактику рака предстательной железы. В одном воплощении композиция или медицинский состав, описанные в настоящей заявке, предназначены для введения человеку.

В одном воплощении терапевтическое или профилактическое лечение заболевания или расстройства также включает проведение дополнительной терапии. В одном воплощении дополнительная терапия включает одно или несколько средств, выбранных из группы, состоящей из: (i) хирургического вмешательства по иссечению, резекции или удалению опухоли, (ii) лучевой терапии и (iii) химиотерапии. В одном воплощении дополнительная терапия включает введение дополнительного терапевтического средства (агента). В одном воплощении дополнительное терапевтическое средство включает противоопухолевое терапевтическое средство. В одном воплощении дополнительный терапевтический агент представляет собой модулятор контрольной точки. В одном воплощении модулятор контрольной точки представляет собой анти-PD1 антитело, анти-CTLA-4 антитело или комбинацию анти-PD1 антитела и анти-CTLA-4 антитела.

В одном аспекте в настоящей заявке предусмотрен способ лечения рака предстательной железы у субъекта, включающий введение субъекту, по меньшей мере, одной РНК, при этом, по меньшей мере, одна РНК кодирует следующие аминокислотные последовательности:

(i) аминокислотную последовательность калликреина-2 (KLK2), его иммуногенного варианта или иммуногенного фрагмента KLK2 или его иммуногенного варианта;

(ii) аминокислотную последовательность простатоспецифического антигена (PSA), его иммуногенного варианта или иммуногенного фрагмента PSA или его иммуногенного варианта;

(iii) аминокислотную последовательность простатической кислой фосфатазы (PAP), ее иммуногенного варианта или иммуногенного фрагмента PAP или его иммуногенного варианта;

(iv) аминокислотную последовательность Homeobox B13 (HOXB13), его иммуногенного варианта или иммуногенного фрагмента HOXB13 или его иммуногенного варианта; и

(v) аминокислотную последовательность NK3 Homeobox 1 (NKX3-1), его иммуногенного варианта или иммуногенного фрагмента NKX3-1 или его иммуногенного варианта.

В одном воплощении каждая из аминокислотных последовательностей по (i), (ii), (iii), (iv) или (v) кодируется отдельной РНК.

В одном воплощении

(i) РНК, кодирующая аминокислотную последовательность по (i), включает нуклеотидную последовательность SEQ ID NO: 3 или 4 или нуклеотидную последовательность, идентичную, по меньшей мере, на 99%, 98%, 97%, 96%, 95%, 90%, 85% или 80% нуклеотидной последовательности SEQ ID NO: 3 или 4; и/или

(ii) аминокислотная последовательность по (i) включает аминокислотную последовательность SEQ ID NO: 1 или 2 или аминокислотную последовательность, идентичную, по меньшей мере, на 99%, 98%, 97%, 96%, 95%, 90%, 85% или 80% аминокислотной последовательности SEQ ID NO: 1 или 2.

В одном воплощении

(i) РНК, кодирующая аминокислотную последовательность по (ii), включает нуклеотидную последовательность SEQ ID NO: 7 или 8 или нуклеотидную последовательность, идентичную, по меньшей мере, на 99%, 98%, 97%, 96%, 95%, 90%, 85% или 80% нуклеотидной последовательности SEQ ID NO: 7 или 8; и/или

(ii) аминокислотная последовательность по (ii) включает аминокислотную последовательность SEQ ID NO: 5 или 6 или аминокислотную последовательность, идентичную, по меньшей мере, на 99%, 98%, 97%, 96%, 95%, 90%, 85% или 80% аминокислотной последовательности SEQ ID NO: 5 или 6.

В одном воплощении

(i) РНК, кодирующая аминокислотную последовательность по (iii), включает нуклеотидную последовательность SEQ ID NO: 11 или 12 или нуклеотидную последовательность, идентичную, по меньшей мере, на 99%, 98%, 97%, 96%, 95%, 90%, 85% или 80% нуклеотидной последовательности SEQ ID NO: 11 или 12; и/или

(ii) аминокислотная последовательность по (iii) включает аминокислотную последовательность SEQ ID NO: 9 или 10 или аминокислотную последовательность, идентичную, по меньшей мере, на 99%, 98%, 97%, 96%, 95%, 90%, 85% или 80% аминокислотной последовательности SEQ ID NO: 9 или 10.

В одном воплощении

(i) РНК, кодирующая аминокислотную последовательность по (iv), включает нуклеотидную последовательность SEQ ID NO: 15 или 16 или нуклеотидную последовательность, идентичную, по меньшей мере, на 99%, 98%, 97%, 96%, 95%, 90%, 85% или 80% нуклеотидной последовательности SEQ ID NO: 15 или 16; и/или

(ii) аминокислотная последовательность по (iv) включает аминокислотную последовательность SEQ ID NO: 13 или 14 или аминокислотную последовательность, идентичную, по меньшей мере, на 99%, 98%, 97%, 96%, 95%, 90%, 85% или 80% аминокислотной последовательности SEQ ID NO: 13 или 14.

В одном воплощении

(i) РНК, кодирующая аминокислотную последовательность по (v), включает нуклеотидную последовательность SEQ ID NO: 19 или 20 или нуклеотидную последовательность, идентичную, по меньшей мере, на 99%, 98%, 97%, 96%, 95%, 90%, 85% или 80% нуклеотидной последовательности SEQ ID NO: 19 или 20; и/или

(ii) аминокислотная последовательность по (v) включает аминокислотную последовательность SEQ ID NO: 17 или 18 или аминокислотную последовательность, идентичную, по меньшей мере, на 99%, 98%, 97%, 96%, 95%, 90%, 85% или 80% аминокислотной последовательности SEQ ID NO: 17 или 18.

В одном воплощении по меньшей мере одна из аминокислотных последовательностей по (i), (ii), (iii), (iv) или (v) кодируется последовательностью, которая оптимизирована по кодонам, и/или содержание G/C в которой увеличено по сравнению с кодирующей последовательностью дикого типа, где оптимизация по кодонам и/или увеличение содержания G/C предпочтительно не изменяет последовательность кодируемой аминокислотной последовательности. В одном воплощении каждая из аминокислотных последовательностей по (i), (ii), (iii), (iv) или (v) кодируется последовательностью, которая оптимизирована по кодонам, и/или содержание G/C в которой увеличено по сравнению с кодирующей последовательностью дикого типа, где оптимизация по кодонам и/или увеличение содержания G/C предпочтительно не изменяет последовательность кодируемой аминокислотной последовательности.

В одном воплощении, по меньшей мере, одна РНК представляет собой модифицированную РНК, в частности стабилизированную мРНК. В одном воплощении по меньшей мере одна РНК содержит модифицированный нуклеозид вместо, по меньшей мере, одного уридина. В одном воплощении, по меньшей мере, одна РНК содержит модифицированный нуклеозид вместо каждого уридина. В одном воплощении каждая РНК содержит модифицированный нуклеозид вместо, по меньшей мере, одного уридина. В одном воплощении каждая РНК содержит модифицированный нуклеозид вместо каждого уридина. В одном воплощении модифицированный нуклеозид независимо выбран из псевдоуридина (ψ), N1-метил-псевдоуридина (m1ψ) и 5-метилуридина (m5U).

В одном воплощении по меньшей мере одна РНК содержит 5’-кэп m2 7,2’-OGppsp (5') G. В одном воплощении каждая РНК содержит 5’-кэп m2 7,2’-OGppsp (5') G.

В одном воплощении, по меньшей мере, одна РНК содержит 5'-UTR, содержащую нуклеотидную последовательность SEQ ID NO: 21, или нуклеотидную последовательность, идентичную, по меньшей мере, на 99%, 98%, 97%, 96%, 95%, 90%, 85% или 80% нуклеотидной последовательности SEQ ID NO: 21. В одном воплощении каждая РНК содержит 5'-UTR, содержащую нуклеотидную последовательность SEQ ID NO: 21, или нуклеотидную последовательность, идентичную, по меньшей мере, на 99%, 98%, 97%, 96%, 95%, 90%, 85% или 80% нуклеотидной последовательности SEQ ID NO: 21.

В одном воплощении по меньшей мере одна аминокислотная последовательность по (i), (ii), (iii), (iv) или (v) включает аминокислотную последовательность, усиливающую процессинг и/или презентацию антигена. В одном воплощении каждая аминокислотная последовательность по (i), (ii), (iii), (iv) или (v) включает аминокислотную последовательность, усиливающую процессинг и/или презентацию антигена. В одном воплощении аминокислотная последовательность, усиливающая процессинг и/или презентацию антигена, включает аминокислотную последовательность, соответствующую трансмембранному и цитоплазматическому домену молекулы MHC, предпочтительно молекулы MHC класса I.

В одном воплощении

(i) РНК, кодирующая аминокислотную последовательность, усиливающую процессинг и/или презентацию антигена, включает нуклеотидную последовательность SEQ ID NO: 25 или нуклеотидную последовательность, идентичную, по меньшей мере, на 99%, 98%, 97%, 96%, 95%, 90%, 85% или 80% нуклеотидной последовательности SEQ ID NO: 25; и/или

(ii) аминокислотная последовательность, усиливающая процессинг и/или презентацию антигена, включает аминокислотную последовательность SEQ ID NO: 24 или аминокислотную последовательность, идентичную, по меньшей мере, на 99%, 98%, 97%, 96%, 95%, 90%, 85% или 80% аминокислотной последовательности SEQ ID NO: 24.

В одном воплощении аминокислотная последовательность, усиливающая процессинг и/или презентацию антигена, дополнительно содержит аминокислотную последовательность, кодирующую секреторный сигнальный пептид.

В одном воплощении

(i) РНК, кодирующая секреторный сигнальный пептид, включает нуклеотидную последовательность SEQ ID NO: 23 или нуклеотидную последовательность, идентичную, по меньшей мере, на 99%, 98%, 97%, 96%, 95%, 90%, 85% или 80% с нуклеотидной последовательностью SEQ ID NO: 23; и/или

(ii) секреторный сигнальный пептид содержит аминокислотную последовательность SEQ ID NO: 22 или аминокислотную последовательность, идентичную, по меньшей мере, на 99%, 98%, 97%, 96%, 95%, 90%, 85% или 80% с аминокислотной последовательностью SEQ ID NO: 22.

В одном воплощении по меньшей мере одна аминокислотная последовательность по (i), (ii), (iii), (iv) или (v) включает аминокислотную последовательность, которая нарушает иммунологическую толерантность. В одном воплощении каждая аминокислотная последовательность по (i), (ii), (iii), (iv) или (v) содержит аминокислотную последовательность, которая нарушает иммунологическую толерантность. В одном воплощении аминокислотная последовательность, которая нарушает иммунологическую толерантность, включает хелперные эпитопы, предпочтительно хелперные эпитопы, происходящие из столбнячного анатоксина.

В одном воплощении

(i) РНК, кодирующая аминокислотную последовательность, которая нарушает иммунологическую толерантность, включает нуклеотидную последовательность SEQ ID NO: 27 или нуклеотидную последовательность, идентичную, по меньшей мере, на 99%, 98%, 97%, 96%, 95%, 90%, 85%, или 80% нуклеотидной последовательности SEQ ID NO: 27; и/или

(ii) аминокислотная последовательность, которая нарушает иммунологическую толерантность, включает аминокислотную последовательность SEQ ID NO: 26 или аминокислотную последовательность, идентичную, по меньшей мере, на 99%, 98%, 97%, 96%, 95%, 90%, 85% или 80% нуклеотидной последовательности SEQ ID NO: 26.

В одном воплощении по меньшей мере одна РНК содержит 3'-UTR, содержащую нуклеотидную последовательность SEQ ID NO: 28, или нуклеотидную последовательность, идентичную, по меньшей мере, на 99%, 98%, 97%, 96%, 95%, 90%, 85% или 80% нуклеотидной последовательности SEQ ID NO: 28. В одном воплощении каждая РНК содержит 3'-UTR, содержащую нуклеотидную последовательность SEQ ID NO: 28, или нуклеотидную последовательность, идентичную, по меньшей мере, на 99%, 98%, 97%, 96%, 95%, 90%, 85% или 80% нуклеотидной последовательности SEQ ID NO: 28.

В одном воплощении по меньшей мере одна РНК содержит последовательность поли-А. В одном воплощении каждая РНК содержит последовательность поли-А. В одном воплощении последовательность поли-А содержит, по меньшей мере, 100 нуклеотидов. В одном воплощении последовательность поли-A включает или состоит из нуклеотидной последовательности SEQ ID NO: 29.

В одном воплощении РНК вводят путем инъекции. В одном воплощении РНК вводят внутривенно.

В одном воплощении РНК включена в состав липоплексных частиц (представлена липоплексными частицами). В одном воплощении липоплексные частицы РНК могут быть получены путем смешивания РНК с липосомами.

В одном воплощении субъектом является человек.

В одном воплощении описанный в настоящей заявке способ также включает проведение дополнительной терапии. В одном воплощении дополнительная терапия включает одно или несколько средств, выбранных из группы, состоящей из: (i) хирургического вмешательства по иссечению, резекции или удалению опухоли, (ii) лучевой терапии и (iii) химиотерапии. В одном воплощении дополнительная терапия включает введение дополнительного терапевтического агента (средства). В одном воплощении дополнительное терапевтическое средство включает противоопухолевое терапевтическое средство. В одном воплощении дополнительный терапевтический агент представляет собой модулятор контрольной точки. В одном воплощении модулятор контрольной точки представляет собой анти-PD1 антитело, анти-CTLA-4 антитело или комбинацию анти-PD1 антитела и анти-CTLA-4 антитела.

В одном аспекте в настоящей заявке представлена РНК, раскрытая в настоящем описании, например,

(i) РНК, кодирующая аминокислотную последовательность калликреина-2 (KLK2), его иммуногенного варианта или иммуногенного фрагмента KLK2 или его иммуногенного варианта;

(ii) РНК, кодирующая аминокислотную последовательность простатоспецифического антигена (PSA), его иммуногенного варианта или иммуногенного фрагмента PSA или его иммуногенного варианта;

(iii) РНК, кодирующая аминокислотную последовательность простатической кислой фосфатазы (PAP), ее иммуногенного варианта или иммуногенного фрагмента PAP или его иммуногенного варианта;

(iv) РНК, кодирующая аминокислотную последовательность Homeobox B13 (HOXB13), его иммуногенного варианта или иммуногенного фрагмента HOXB13 или его иммуногенного варианта; и/или

(v) РНК, кодирующая аминокислотную последовательность NK3 Homeobox 1 (NKX3-1), его иммуногенного варианта или иммуногенного фрагмента NKX3-1 или его иммуногенного варианта, для применения в способе, раскрытом в настоящей заявке.

Краткое описание чертежей

Фигура 1. Общая структура РНК RBL038.1, RBL039.1, RBL040.1, RBL041.1 и RBL045.1

Схематическое изображение общих структур всех РНК-вакцин с 5'-кэп, 5'- и 3'-нетранслируемыми областями (UTRs), кодирующими последовательностями с N- и C-концевыми мишенями слияния (sec и P2P16/MITD, соответственно) и поли (А)-хвостом. Обратите внимание, что отдельные элементы нарисованы не в точном масштабе по сравнению с соответствующей длиной их последовательности.

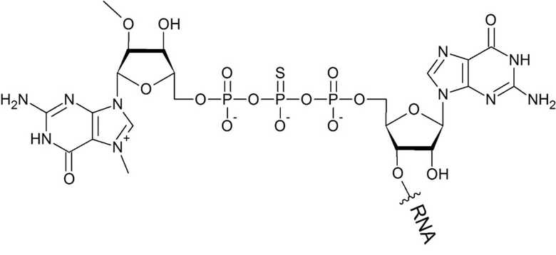
Фигура 2. 5'-кэпирующая структура бета-S-ARCA (D1) (m2 7,2'-O GppSpG)

Красным цветом показаны различия между бета-S-ARCA (D1) и основным аналогом кэпа m7GpppG: группа -OCH3 в положении C2 'строительного блока m7G и замещение немостикового кислорода в бета-фосфате на серу. Из-за присутствия стереогенного Р-центра (помеченного звездочкой) аналог фосфоротиоатного кэпа бета-S-ARCA существует в виде двух диастереомеров. В зависимости от порядка их элюирования в обратно-фазовой ВЭЖХ они были обозначены как D1 и D2.

Фигура 3. Векторная карта плазмиды pST4-hAg-Kozak-KLK2-GS-P2P16-GS-MITD-FI-A30L70 для продуцирования RBL038.1

Вставка с обозначенными элементами последовательности отображается разными цветами. Eam1104I указывает сайт узнавания эндонуклеазы рестрикции, используемый для линеаризации. Ген устойчивости к канамицину показан черным цветом.

Фигура 4. Векторная карта плазмиды pST4-hAg-Kozak-KLK3-GS-P2P16-GS-MITD-FI-A30L70 для продуцирования RBL039.1

Вставка с обозначенными элементами последовательности отображается разными цветами. Eam1104I указывает сайт узнавания эндонуклеазы рестрикции, используемый для линеаризации. Ген устойчивости к канамицину показан черным цветом.

Фигура 5. Векторная карта плазмиды pST4-hAg-Kozak-ACPP-GS-P2P16-GS-MITD-FI-A30L70 для продуцирования RBL40.1

Вставка с обозначенными элементами последовательности отображается разными цветами. Eam1104I указывает сайт узнавания эндонуклеазы рестрикции, используемый для линеаризации. Ген устойчивости к канамицину показан черным цветом.

Фигура 6. Векторная карта плазмиды pST4-hAg-Kozak-sec-GS-HOXB13-GS-P2P16-GS-MITD-FI-A30L70 для продуцирования RBL041.1

Вставка с обозначенными элементами последовательности отображается разными цветами. Eam1104I указывает сайт узнавания эндонуклеазы рестрикции, используемый для линеаризации. Ген устойчивости к канамицину показан черным цветом.

Фигура 7. Векторная карта плазмиды pST4-hAg-Kozak-sec-GS-NKX3-1-GS-P2P16-GS-MITD-FI-A30L70 для продуцирования RBL045.1

Вставка с обозначенными элементами последовательности отображается разными цветами. Eam1104I указывает сайт узнавания эндонуклеазы рестрикции, используемый для линеаризации. Ген устойчивости к канамицину показан черным цветом.

Фигура 8. Химическая структура выбранных катионных липидов и сополимеров липидов, протестированных во время разработки состава

Фигура 9. Органная селективность липоплексов РНК с различным соотношением зарядов

Положительно заряженные липоплексы luc-РНК показывают высокую экспрессию люциферазы в легких, в то время как отрицательно заряженные липоплексы РНК показывают высокую избирательность экспрессии люциферазы в селезенке.

Фигура 10. Биологическая активность липоплексов РНК зависит от размера частиц и размера липосом, используемых для приготовления состава

20 мкг luc-РНК конденсировали с маленькими (198 нм) и большими (381 нм) липосомами для восстановления липоплексов РНК (РНК (LIP)) и вводили мышам BALB/c (n = 5). Экспрессию люциферазы в селезенке анализировали через 6 часов после введения luc-РНК (LIP) (среднее ± стандартное отклонение).

Фигура 11. Размеры частиц липоплексов РНК, восстановленных в соответствии с протоколом для клинических составов

Размеры частиц липоплексов РНК, восстановленных разными экспериментаторами, в разных лабораториях и с разными конструкциями РНК, анализировали с помощью измерений PCS. Для экспериментов № 3 и 10 были приготовлены два независимых состава.

Фигура 12. Размер и индекс полидисперсности для липоплексов РНК с различным соотношением зарядов

Размер частиц (z-среднее) и индекс полидисперсности измеряли для липоплексов РНК с различным соотношением зарядов (DOTMA: РНК) через 10 мин, 2 ч и 24 ч после приготовления.

Фигура 13. Размер и биологическая активность липоплексов РНК с различным соотношением зарядов

(A) Размер частиц (z-среднее) и индекс полидисперсности измеряли для липоплексов РНК с различным соотношением зарядов (DOTMA: РНК) непосредственно после приготовления (10 мин). (B) Экспрессию люциферазы в селезенке анализировали через 6 часов после введения luc-РНК (LIP) (20 мкг РНК) на мышах BALB/c (n = 4–5).

Фигура 14. Локализация сигнала биолюминесценции после внутривенного введения люциферазной РНК (LIP)

Визуализация биолюминесценции через 6 часов после внутривенной инъекции luc-РНК (LIP) (20 мкг РНК) мышам BALB/c (n = 3) in vivo (A) и в эксплантированную селезенку, печень, а также легкие ex vivo (B). Показана одна репрезентативная мышь.

Фигура 15. РНК (LIP) избирательно интернализируется APC селезенки

Мышам BALB/c (n = 3) внутривенно вводили Cy5-РНК (40 мкг (HED: 9,48 мг)), приготовленную с липосомами, меченными родамином. Поглощение меченной Cy5 РНК (нижний ряд) или липосом, меченных родамином (верхний ряд) популяциями клеток в селезенке оценивали с помощью проточной цитометрии через 1 час после инъекции липоплекса. Показаны характерные точечные графики.

Фигура 16. Нарушение толерантности и антигенспецифическая цитотоксичность in vivo после иммунизации AH5-РНК (LIP)

Мышей BALB/c (n = 5) иммунизировали внутривенно AH5-РНК (LIP) (40 мкг РНК) в дни 0, 3, 8 и 15 (зеленый). Частоты антигенспецифических CD8+ Т-клеток контролировали в крови с помощью окрашивания тетрамера gp70-MHC (серый). Линия представляет собой среднее значение частоты тетрамера (A). Мышей BALB/c (n = 5) иммунизировали внутривенно AH5-РНК (LIP) (40 мкг РНК) в дни 0, 3, 8 или оставляли без обработки. На 12 день проводили анализ цитотоксичности in vivo путем введения смеси клеток селезенки CFSEhigh (нагруженных пептидом AH-5) и CFSElow (нагруженных пептидом Inf-HA) из наивных мышей BALB/c. AH5-специфический лизис был показан для одной репрезентативной мыши. Все мыши, иммунизированные AH5-РНК (LIP), показали более 90% антигенспецифической литической активности (B).

Фигура 17. Кратковременное повышение IFN-α после вакцинации РНК (LIP)

(A) Мышам C57BL/6 (n = 3) вводили HA-РНК (LIP) (40 мкг РНК), только липосомы или PBS в качестве контроля. Концентрации IFN-α и TNF-α в сыворотке крови оценивали с помощью ELISA через 6 и 24 часа после обработки (среднее ± стандартное отклонение). (B) Нетронутым или подвергнутым спленэктомии мышам C57BL/6 (n = 2) внутривенно вводили HA-РНК (LIP) (40 мкг РНК). Концентрации IFN-α в сыворотке крови оценивали с помощью ELISA через 6 часов после обработки (среднее ± стандартное отклонение).

Фигура 18. Вакцинация с помощью РНК антигена W_pro1 приводит к антигенспецифическим Т-клеточным ответам

Спленоциты мышей A2/DR1, вакцинированных внутривенно (n = 4–5 на группу), рестимулировали в течение 20 часов с помощью BMDC, электропорированных с соответствующими мРНК, как указано. BMDC, подвергнутые электропорации с нерелевантной мРНК, использовали в качестве контроля (светлые символы, серые столбцы). Эффекторную функцию измеряли с помощью анализа IFN-γ ELISPOT. Символы указывают средние значения трех лунок для отдельных животных. Столбцы указывают на медианное значение всех животных в группе.

Фигура 19. Средние уровни IFN-α (черные столбцы) и IL-6 (серые столбцы) у животных из группы высокой дозы

Планки погрешностей показывают стандартные отклонения. Индукция IL-6 была намного сильнее после 1-го приема (день 1), чем после 5-го приема (день 22).

Фигура 20. Индукция антигенспецифических Т-клеток в селезенке с помощью KLK2-, KLK3-, ACPP-, NKX3-1- и HOXB13-кодирующей РНК

IFN-γ ELISPOT-анализ эффекторов Т-клеток из селезенки мышей, иммунизированных липоплексной РНК, кодирующей KLK2 (ак 1-261), KLK3 (ак 1-261), ACPP (ак 1-418), HOXB13 (ак 1-284) или NKX3-1 (а.о. 1-234). Спленоциты, полученные через пять дней после последней иммунизации, повторно стимулировали либо пулом пептидов, охватывающим соответствующий белок человека, пептиды P2/P16/P17, либо нерелевантным контрольным пептидом CMV pp65 (495-504). Точки обозначают отдельных животных; горизонтальные полосы указывают среднее значение ± стандартное отклонение для трех животных.

Описание последовательностей

В следующей таблице представлен список определенных последовательностей, упомянутых в настоящем описании.

Подробное описание изобретения

Хотя настоящее изобретение подробно описано ниже, следует понимать, что это раскрытие не ограничивается конкретными методологиями, протоколами и реагентами, описанными в настоящей заявке, поскольку они могут варьировать. Также следует понимать, что используемая в настоящей заявке терминология предназначена только для описания конкретных воплощений и не предназначена для ограничения объема настоящего изобретения, которое будет ограничено только прилагаемой формулой изобретения. Если иное не определено, все технические и научные термины, использованные в настоящей заявке, имеют тот же смысл, который вкладывается в них средним специалистом в данной области.

Предпочтительно, чтобы используемые в настоящей заявке термины были определены, как описано в «A multilingual glossary of biotechnological terms: (IUPAC Recommendations)", H.G.W. Leuenberger, B. Nagel, and H. Kölbl, Eds., Helvetica Chimica Acta, CH-4010 Basel, Switzerland, (1995).

При практическом осуществлении настоящего изобретения будут использоваться, если не указано иное, обычные способы химии, биохимии, клеточной биологии, иммунологии и методы рекомбинантных ДНК, которые объяснены в литературе в данной области (см., например, Molecular Cloning: A Laboratory Manual, 2nd Edition, J. Sambrook et al. eds., Cold Spring Harbor Laboratory Press, Cold Spring Harbor 1989).

Далее будут описаны элементы настоящего изобретения. Эти элементы перечислены с конкретными воплощениями, однако следует понимать, что они могут объединяться любым способом и в любом количестве с созданием дополнительных воплощений. Различно описанные примеры и воплощения не должны толковаться как ограничение настоящего изобретения только явно описанными воплощениями. Следует понимать, что это описание раскрывает и охватывает воплощения, которые объединяют явно описанные воплощения с любым количеством раскрытых элементов. Более того, любые перестановки и комбинации всех описанных элементов следует считать раскрытыми в этом описании, если контекст не указывает иное.

Термин «около» означает приблизительно или почти, и в контексте числового значения или диапазона, изложенного в настоящем описании, в одном воплощении означает ± 20%, ± 10%, ± 5% или ± 3% указанного или заявленного числового значения или диапазона.

Термины «a» и «an» и «the» (в тексте на английском языке) и аналогичные ссылки, используемые в контексте описания изобретения (особенно в контексте формулы изобретения), должны толковаться как охватывающие как единственное, так и множественное число, если в настоящем описании не указано иное или иное явно не противоречит контексту. Перечисление интервалов в настоящем описании предназначено всего лишь для того, чтобы служить в качестве способа сокращения индивидуального обозначения каждого отдельного значения, попадающего в интервал. Если в данном описании не оговаривается иное, каждое отдельное значение включено в описание, как если бы оно было отдельно указано в нем. Все способы, описанные в настоящей заявке, могут осуществляться в любом подходящем порядке до тех пор, пока в данном описании не будет указано иное или иное очевидно не следует из контекста. Использование любых и всех примеров или вводного слова перед примером (например, «такой как»), представленных в настоящей заявке, предназначено просто для лучшей иллюстрации изобретения и не налагает ограничения на объем формулы изобретения. Никакие формулировки в описании не должны толковаться как указывающие на какой-либо не заявленный элемент, существенный для практического осуществления изобретения.

Если специально не указано иное, термин «содержащий» используется в контексте настоящего описания для обозначения того, что дополнительные элементы могут необязательно присутствовать в дополнение к элементам перечня, введенным словом «содержащий». Однако в качестве конкретного воплощения настоящего изобретения предполагается, что термин «содержащий» охватывает возможность отсутствия дополнительных элементов, т.е. для целей этого воплощения «содержащий» следует понимать как имеющий значение «состоящий из».

Несколько документов цитируется по всему тексту данного описания. Каждый из документов, процитированных в настоящем описании (включая все патенты, патентные заявки, научные публикации, описании производителя, инструкции и т.д.), будь то выше или ниже, включен в настоящее описание в качестве ссылки во всей свой полноте. Ничто в настоящем описании не должно толковаться как признание того, что настоящее изобретение не может претендовать на более раннюю дату раскрытия.

Определения

Далее будут предоставлены определения, которые применяются ко всем аспектам настоящего изобретения. Следующие термины имеют приведенные ниже значения, если не указано иное. Любой из неопределенных терминов имеет свое признанное в данной области техники значение.

Такие термины, как «уменьшать» или «ингибировать», как используется в настоящем описании, означают способность вызывать общее уменьшение уровня, предпочтительно на 5% или более, 10% или более, 20% или более, более предпочтительно, на 50% или более, и наиболее предпочтительно на 75% или более. Термин «ингибирует» или ему подобные выражения включает полное или, по существу, полное ингибирование, т.е. снижение до нуля или, по существу, до нуля.

Такие термины, как «увеличение» или «улучшение» в одном воплощении относятся к увеличению или усилению, по меньшей мере, примерно на 10%, по меньшей мере, примерно на 20%, по меньшей мере, примерно на 30%, по меньшей мере, примерно на 40%, по меньшей мере, примерно на 50%, по меньшей мере около 80% или по меньшей мере около 100%.

Используемый в настоящем описании термин «физиологический pH» относится к pH примерно 7,5.

Термин «ионная сила» относится к математической зависимости между количеством различных типов ионных частиц в конкретном растворе и их соответствующими зарядами. Таким образом, ионная сила I математически представлена формулой

в которой c - молярная концентрация определенного ионного вещества, а z - абсолютное значение его заряда. Сумма Σ берется по всем различным видам ионов (i) в растворе.

Согласно изобретению, термин «ионная сила» в одном воплощении относится к присутствию одновалентных ионов. Что касается присутствия двухвалентных ионов, в частности двухвалентных катионов, их концентрация или эффективная концентрация (присутствие свободных ионов) из-за наличия хелатирующих агентов в одном воплощении является достаточно низкой, чтобы предотвратить деградацию РНК. В одном воплощении концентрация или эффективная концентрация двухвалентных ионов ниже каталитического уровня гидролиза фосфодиэфирных связей между нуклеотидами РНК. В одном воплощении концентрация свободных двухвалентных ионов составляет 20 мкМ или менее. В одном воплощении свободные двухвалентные ионы отсутствуют или практически отсутствуют.

Термин «замораживание» относится к затвердеванию жидкости, обычно с отводом тепла.

Термин «лиофилизировать» или «лиофилизация» относится к сублимационной сушке вещества путем его замораживания и последующего снижения давления окружающей среды, чтобы позволить замороженной среде в веществе сублимироваться непосредственно из твердой фазы в газовую фазу.

Термин «распылительная сушка» относится к распылительной сушке вещества путем смешивания (нагретого) газа с жидкостью, которая атомизируется (распыляется) в сосуде (распылительной сушилке), где растворитель из образовавшихся капель испаряется, что приводит к сухому порошку.

Термин «криопротектор» относится к веществу, которое добавляют в состав для защиты активных ингредиентов во время стадий замораживания.

Термин «лиопротектор» относится к веществу, которое добавляют в состав для защиты активных ингредиентов на стадиях сушки.

Термин «восстановитель» относится к добавлению растворителя, такого как вода, к высушенному продукту, чтобы вернуть его в жидкое состояние, такое как его исходное жидкое состояние.

Термин «рекомбинантный» в контексте настоящего изобретения означает «полученный с помощью генной инженерии». В одном воплощении «рекомбинантный объект» в контексте настоящего изобретения не встречается в природе.

Термин «природный» при использовании в настоящем описании обозначает тот факт, что объект может быть обнаружен в естественной среде. Например, пептид или нуклеиновая кислота, которая присутствует в организме (включая вирусы), может быть выделена из природного (естественного) источника, и которая не была специально модифицирована человеком в лаборатории, является природной. Термин «найденный в природе» означает «присутствующий в природе» и включает известные объекты, а также объекты, которые еще не были обнаружены и/или выделены из природного окружения, но которые могут быть обнаружены и/или выделены в будущем из природного источника.

В контексте настоящего изобретения термин «частица» относится к структурированному объекту, образованному молекулами или комплексами молекул. В одном воплощении термин «частица» относится к структуре микро- или наноразмера, такой как компактная структура микро- или наноразмера.

В контексте настоящего описания термин «частица липоплекс РНК» относится к частице, которая содержит липид, в частности катионный липид, и РНК. Электростатические взаимодействия между положительно заряженными липосомами и отрицательно заряженной РНК приводят к комплексообразованию и спонтанному образованию частиц липоплекса РНК. Положительно заряженные липосомы обычно можно синтезировать с использованием катионного липида, такого как DOTMA, и дополнительных липидов, таких как DOPE. В одном воплощении липоплексная частица РНК представляет собой наночастицу.

Используемый в настоящем описании термин «наночастица» относится к частице, содержащей РНК и по меньшей мере один катионный липид, и имеющей средний диаметр, подходящий для внутривенного введения.

Термин «средний диаметр» относится к среднему гидродинамическому диаметру частиц, измеренному с помощью динамического рассеяния света (DLS) с анализом данных при использовании так называемого кумулянтного алгоритма, который обеспечивает в качестве результатов так называемое Z-среднее с размером длины, и индекс полидисперсности (PI), который является безразмерным (Koppel, D., J. Chem. Phys. 57, 1972, pp 4814-4820, ISO 13321). Здесь «средний диаметр», «диаметр» или «размер» по отношению к частицам используются как синонимы указанного значения Z-среднего.

Термин «индекс полидисперсности» используется в настоящем описании как мера распределения по размерам набора частиц, например наночастиц. Индекс полидисперсности рассчитывается на основе измерений динамического светорассеяния с помощью так называемого кумулянтного анализа.

Термин «техника инъекции этанола» относится к процессу, в котором раствор этанола, содержащий липиды, быстро вводится в водный раствор через иглу. Это действие диспергирует липиды по всему раствору и способствует образованию липидной структуры, например образованию липидных пузырьков, таких как образование липосом. Обычно липоплексные частицы РНК, описанные в настоящей заявке, могут быть получены путем добавления РНК к дисперсии коллоидных липосом. Используя технику инъекции этанола, такую дисперсию коллоидных липосом в одном воплощении формируют следующим образом: раствор этанола, содержащий липиды, такие как катионные липиды, такие как DOTMA, и дополнительные липиды, вводят в водный раствор при перемешивании. В одном воплощении описанные в настоящей заявке липоплексные частицы РНК можно получить без стадии экструзии.

Термин «выполнять экструзию» или «экструзия» относится к созданию частиц, имеющих фиксированный профиль поперечного сечения. В частности, это относится к уменьшению размера частицы, когда частица проталкивается через фильтры с определенными порами.

Предстательная железа - это небольшая железа, которая находится в нижней части живота мужчины. Она расположена под мочевым пузырем и окружает уретру. Предстательная железа регулируется гормоном тестостероном и производит семенную жидкость, также известную как сперма. Семенная жидкость - это субстанция, содержащая сперматозоиды, которая выходит из уретры во время эякуляции.

В контексте настоящего описания «рак предстательной железы» означает, что злокачественная опухоль находится в предстательной железе. Когда в предстательной железе формируется патологический злокачественный рост клеток, который называется опухолью, это называется раком предстательной железы. В большинстве случаев раковые опухоли предстательной железы растут медленно; однако некоторые растут относительно быстро. Злокачественные опухолевые клетки могут распространяться из предстательной железы в другие части тела, особенно в кости и лимфатические узлы. Сначала это может не вызывать никаких симптомов. На более поздних стадиях это может привести к затрудненному мочеиспусканию, крови в моче или боли в тазу, спине или при мочеиспускании. Около 99% случаев приходится на мужчин старше 50 лет. Во многих случаях ведется активное наблюдение или динамическое наблюдение. Другие методы лечения могут включать комбинацию хирургического вмешательства, лучевой терапии, гормональной терапии или химиотерапии. Когда злокачественные процессы происходят только внутри предстательной железы, это может быть излечимо. Тем, у кого болезнь распространилась на кости, среди прочего могут быть полезны обезболивающие, бисфосфонаты и таргетная терапия. Результаты зависят от возраста человека и других проблем со здоровьем, а также от того, насколько агрессивным и обширным является онкологическое заболевание. В глобальном масштабе рак предстательной железы - это второй по распространенности тип онкологического заболевание и занимает пятое место среди причин смертности мужчин от онкологических заболеваний.

Используемый в настоящем описании термин «совместно вводимый» или «совместное введение» или аналогичный термин относится к одновременному, конкурентному или, по существу, одновременному введению двух или более агентов как часть одного препарата, либо как несколько препаратов, которые вводятся одним и тем же или разными путями.

Термин «по существу в одно и то же время», как используется в настоящем описании, означает период в пределах приблизительно 1 минуты, 5 минут, 10 минут, 15 минут, 30 минут, 1 час, 2 часа или 6 часов друг относительно друга.

В изобретении описаны последовательности нуклеиновых кислот и аминокислотные последовательности, имеющие определенную степень идентичности с данной последовательностью нуклеиновой кислоты или аминокислотной последовательностью, соответственно (референсная последовательность).

«Идентичность последовательностей» между двумя последовательностями нуклеиновых кислот указывает процент нуклеотидов, которые идентичны между последовательностями. «Идентичность последовательностей» между двумя аминокислотными последовательностями указывает процент аминокислот, которые идентичны между последовательностями.

Термины «идентичный на %», «% идентичности» или аналогичные термины предназначены для обозначения, в частности, процента нуклеотидов или аминокислот, которые идентичны при оптимальном выравнивании между сравниваемыми последовательностями. Указанный процент является чисто статистическим, и различия между двумя последовательностями могут быть, но не обязательно, случайным образом распределены по всей длине сравниваемых последовательностей. Сравнение двух последовательностей обычно проводят после оптимального выравнивания относительно сегмента или «окна сравнения», чтобы идентифицировать локальные области соответствующих последовательностей. Оптимальное выравнивание для сравнения может быть выполнено вручную или с помощью алгоритма локальной гомологии Smith and Waterman, 1981, Ads App. Math. 2, 482, с помощью алгоритма локальной гомологии Neddleman and Wunsch, 1970, J. Mol. Biol. 48, 443, с помощью алгоритма поиска подобия Pearson and Lipman, 1988, Proc. Natl Acad. Sci. USA 88, 2444, или с помощью компьютерных программ, использующих указанные алгоритмы (GAP, BESTFIT, FASTA, BLAST P, BLAST N и TFASTA в пакете программного обеспечения Wisconsin Genetics, Genetics Computer Group, 575 Science Drive, Мэдисон, Висконсин). В некоторых воплощениях процент идентичности двух последовательностей определяется с использованием алгоритма BLASTN или BLASTP, доступного на веб-сайте Национального центра биотехнологической информации США (NCBI) (например, blast.ncbi.nlm.nih.gov/Blast.cgi?PAGE_TYPE=BlastSearch &BLAST_SPEC=blast2seq&LINK_LOC=align2seq). В некоторых воплощениях параметры алгоритма, используемые для алгоритма BLASTN на веб-сайте NCBI, включают: (i) пороговое значение ожидания, равное 10; (ii) размер слова равен 28; (iii) максимальное количество совпадений в диапазоне запроса равно 0; (iv) показатели соответствия/несоответствия равны 1, -2; (v) цена разрыва установлена на Linear; и (vi) для областей низкой сложности используется фильтр. В некоторых воплощениях параметры алгоритма, используемые для алгоритма BLASTP на веб-сайте NCBI, включают: (i) пороговое значение ожидания, равное 10; (ii) размер слова установлен на 3; (iii) максимальное количество совпадений в диапазоне запроса, установленном на 0; (iv) матрица установлена на BLOSUM62; (v) цена разрыва установлена на Existence: 11 удлинение: 1; и (vi) корректировка условной композиционной матрицы оценок.

Идентичность в процентах получается путем определения количества идентичных положений, которым соответствуют сравниваемые последовательности, деления этого числа на количество сравниваемых положений (например, количества положений в референсной последовательности) и умножения этого результата на 100.

В некоторых воплощениях степень идентичности дается для области, которая составляет по меньшей мере около 50%, по меньшей мере около 60%, по меньшей мере около 70%, по меньшей мере около 80%, по меньшей мере около 90% или около 100% всей длины референсной последовательности. Например, если референсная последовательность нуклеиновой кислоты состоит из 200 нуклеотидов, степень идентичности дается по меньшей мере для около 100, по меньшей мере, около 120, по меньшей мере, около 140, по меньшей мере, около 160, по меньшей мере, около 180 или около 200 нуклеотидов в некоторых воплощениях в непрерывных нуклеотидах. В некоторых воплощениях степень идентичности дается для всей длины референсной последовательности.

Последовательности нуклеиновых кислот или аминокислотные последовательности, имеющие определенную степень идентичности с данной последовательностью нуклеиновой кислоты или аминокислотной последовательностью, соответственно, могут иметь, например, по меньшей мере одно функциональное свойство указанной данной последовательности, а в некоторых случаях функционально эквивалентны указанной заданной последовательности. Одно важное свойство включает иммуногенное свойство, в частности, при введении субъекту. В некоторых воплощениях последовательность нуклеиновой кислоты или аминокислотная последовательность, имеющая конкретную степень идентичности с данной последовательностью нуклеиновой кислоты или аминокислотной последовательностью, функционально эквивалентна данной последовательности.

РНК

В настоящем описании термин «РНК» относится к молекуле нуклеиновой кислоты, которая включает остатки рибонуклеотидов. В предпочтительных воплощениях РНК содержит все или большую часть рибонуклеотидных остатков. Используемый в данном описании термин «рибонуклеотид» относится к нуклеотиду с гидроксильной группой в 2'-положении β-D-рибофуранозильной группы. РНК включает без ограничения указанным, двухцепочечную РНК, одноцепочечную РНК, выделенную РНК, такую как частично очищенная РНК, по существу очищенная РНК, синтетическая РНК, рекомбинантно полученная РНК, а также модифицированная РНК, которая отличается от встречающейся в природе РНК добавлением, делецией, заменой и/или изменением одного или нескольких нуклеотидов. Такие изменения могут относиться к добавлению ненуклеотидного материала к нуклеотидам внутренней РНК или к концу(ам) РНК. В настоящем описании также предполагается, что нуклеотиды в РНК могут быть нестандартными нуклеотидами, такими как химически синтезированные нуклеотиды или дезоксинуклеотиды. Для настоящего изобретения эти измененные РНК считаются аналогами природной РНК.

В некоторых воплощениях настоящего изобретения РНК представляет собой информационную РНК (мРНК), которая относится к транскрипту РНК, который кодирует пептид или белок. Как установлено в данной области техники, мРНК обычно содержит 5'-нетранслируемую область (5'-UTR), кодирующую область пептида и 3'-нетранслируемую область (3'-UTR). В некоторых воплощениях РНК получают транскрипцией или химическим синтезом in vitro. В одном воплощении мРНК получают транскрипцией in vitro с использованием матрицы ДНК, где ДНК относится к нуклеиновой кислоте, содержащей дезоксирибонуклеотиды.

В одном воплощении РНК представляет собой РНК, транскрибируемую in vitro (IVT-РНК), и может быть получена путем транскрипции in vitro соответствующей матрицы ДНК. Промотор для контроля транскрипции может представлять собой любой промотор для любой РНК-полимеразы. Матрица ДНК для транскрипции in vitro может быть получена путем клонирования нуклеиновой кислоты, в частности кДНК, и введения ее в соответствующий вектор для транскрипции in vitro. КДНК может быть получена путем обратной транскрипции РНК.

В одном воплощении РНК может содержать модифицированные нуклеозиды. В некоторых воплощениях РНК содержит модифицированный нуклеозид вместо по меньшей мере одного (например, каждого) уридина.

Используемый в настоящем описании термин «урацил» описывает одно из азотистых оснований, которое может встречаться в нуклеиновой кислоте РНК. Структура урацила представляет собой:

Используемый в настоящем описании термин «уридин» описывает один из нуклеозидов, который может встречаться в РНК. Структура уридина представляет собой:

.

УТФ (уридин-5’-трифосфат) имеет следующую структуру:

.

Псевдо-УТФ (псевдоуридин-5’-трифосфат) имеет следующую структуру:

.

«Псевдоуридин» представляет собой один пример модифицированного нуклеозида, который является изомером уридина, где урацил присоединен к пентозному кольцу через углерод-углеродную связь вместо азот-углеродной гликозидной связи.

Другой пример модифицированного нуклеозида - это N1-метил-псевдоуридин (m1Ψ), который имеет структуру:

.

N1-метил-псевдо-УТФ имеет следующую структуру:

.

Другой пример модифицированного нуклеозида - 5-метилуридин (m5U), который имеет структуру:

.

В некоторых воплощениях один или несколько уридинов в раскрытой в настоящем описании РНК заменены модифицированным нуклеозидом. В некоторых воплощениях модифицированный нуклеозид представляет собой модифицированный уридин.

В некоторых воплощениях модифицированный уридин, заменяющий уридин, представляет собой псевдоуридин (ψ), N1-метил-псевдоуридин (m1ψ) или 5-метилуридин (m5U).

В некоторых воплощениях модифицированный нуклеозид, заменяющий один или несколько уридинов в РНК, может представлять собой один или несколько нуклеозидов из числа 3-метилуридина (m3U), 5-метоксиуридина (mo5U), 5-азауридина, 6-аза-уридина, 2-тио-5-азауридина, 2-тиоуридина (s2U), 4-тио-уридина (s4U), 4-тио-псевдоуридина, 2-тио-псевдоуридина, 5-гидроксиуридина (ho5U) , 5-аминоаллилуридина, 5-галогенуридина (например, 5-йод-уридина или 5-бромуридина), уридин 5-оксиуксусной кислоты (cmo5U), метилового эфира уридин 5-оксиуксусной кислоты (mcmo5U), 5-карбоксиметил-уридина (cm5U), 1-карбоксиметил-псевдоуридина, 5-карбоксигидроксиметилуридина (chm5U), метилового эфира 5-карбоксигидроксиметилуридина (mchm5U), 5-метоксикарбонилметилуридина (mcm5U), 5-метоксикарбонил-2-метоксикарбонила (mcm5s2U), 5-аминометил-2-тиоуридина (nm5s2U), 5-метиламинометилуридина (mnm5U), 1-этил-псевдоуридина, 5-метиламинометил-2-тиоуридина (mnm5s2U), 5-метиламинометил-2 -селеноуридина (mnm5se2U), 5-карбамоилметилуридина (ncm5U), 5-карбоксиметиламинометилуридина (cmnm5U), 5-карбоксиметиламинометил-2-тиоуридина (cmnm5s2U), 5-пропинилуридина, 1-пропинил-псевдоуридина, 5-тауринометил-уридина (τm5U), 1-тауринометил-псевдоуридина, 5-тауринометил-псевдоуридина, 5-тауринометил-псевдоуридина, 5-тауринометил-псевдоуридин тиоуридина (τm5s2U), 1-тауринометил-4-тио-псевдоуридина), 5-метил-2-тиоуридина (m5s2U), 1-метил-4-тио-псевдоуридина (m1s4ψ), 4-тио-1- метил-псевдоуридина, 3-метил-псевдоуридина (m3ψ), 2-тио-1-метилпсевдоуридина, 1-метил-1-деазапсевдоуридина, 2-тио-1-метил-1-деазапсевдоуридина, дигидроуридина (D), дигидропсевдоуридина, 5,6-дигидроуридина, 5-метилдигидроуридина (m5D), 2-тиодигидроуридина, 2-тио-дигидропсеудуридина, 2-метокси-уридина, 2-метокси-4-тиоуридина, 4-метокси -псевдоуридина, 4-метокси-2-тиопсевдоуридина, N1-метил-псевдоуридина, 3- (3-амино-3-карбоксипропил) уридина (acp3U), 1-метил-3-(3-амино-3-карбоксипропил) псевдоуридина (acp3 ψ), 5-(изопентениламинометил) уридина (inm5U), 5- (изопентениламинометил)-2-тиоуридина (inm5s2U), α-тиоуридина, 2′-O-метилуридина (Um), 5,2′-O-диметилуридина (m5Um), 2′-O-метилпсевдоуридина (ψm), 2-тио-2′-O-метилуридина (s2Um), 5-метоксикарбонилметил-2′-О-метилуридина (mcm5Um), 5-карбамоилметил-2'-O-метилуридина (ncm5Um), 5-карбоксиметиламинометил-2'-O-метилуридина (cmnm5Um), 3,2'-O-диметил- уридина (m3Um), 5- (изопентениламинометил)-2'-O-метилуридина (inm5Um), 1-тиоуридина, дезокситимидина, 2'-F-арауридина, 2'-F-уридина, 2'- ОН-арауридина, 5- (2-карбометоксивинил) уридина, 5- [3- (1-E-пропениламино) уридина или любого другого модифицированного уридина, известного в данной области.

В некоторых воплощениях по меньшей мере одна РНК содержит модифицированный нуклеозид вместо по меньшей мере одного уридина. В некоторых воплощениях по меньшей мере одна РНК содержит модифицированный нуклеозид вместо каждого уридина. В некоторых воплощениях каждая РНК содержит модифицированный нуклеозид вместо по меньшей мере одного уридина. В некоторых воплощениях каждая РНК содержит модифицированный нуклеозид вместо каждого уридина.

В некоторых воплощениях модифицированный нуклеозид независимо выбран из псевдоуридина (ψ), N1-метилпсевдоуридина (m1ψ) и 5-метилуридина (m5U). В некоторых воплощениях модифицированный нуклеозид включает псевдоуридин (ψ). В некоторых воплощениях модифицированный нуклеозид включает N1-метил-псевдоуридин (m1ψ). В некоторых воплощениях модифицированный нуклеозид включает 5-метилуридин (m5U). В некоторых воплощениях по меньшей мере одна РНК может содержать более одного типа модифицированного нуклеозида, и модифицированные нуклеозиды независимо выбраны из псевдоуридина (ψ), N1-метилпсевдоуридина (m1ψ) и 5-метилуридина (m5U). В некоторых воплощениях модифицированные нуклеозиды включают псевдоуридин (ψ) и N1-метилпсевдоуридин (m1ψ). В некоторых воплощениях модифицированные нуклеозиды включают псевдоуридин (ψ) и 5-метилуридин (m5U). В некоторых воплощениях модифицированные нуклеозиды включают N1-метил-псевдоуридин (m1ψ) и 5-метилуридин (m5U). В некоторых воплощениях модифицированные нуклеозиды включают псевдоуридин (ψ), N1-метилпсевдоуридин (m1ψ) и 5-метилуридин (m5U).

В некоторых воплощениях РНК, согласно настоящему изобретению, содержит 5’-кэп. В одном воплощении РНК настоящего раскрытия не содержит незащищенных 5'-трифосфатов. В одном воплощении РНК может быть модифицирована аналогом 5'-кэпа. Термин «5'-кэп» относится к структуре, обнаруженной на 5'-конце молекулы мРНК, и обычно состоит из гуанозинового нуклеотида, соединенного с мРНК через 5'-5'-трифосфатную связь. В одном воплощении этот гуанозин метилирован в 7-положении. Предоставление РНК с 5'-кэпом или аналогом 5'-кэпа может быть достигнуто с помощью транскрипции in vitro, при которой 5'-кэп котранскрипционно экспрессируется в цепи РНК, или может быть присоединен к РНК посттранскрипционно с использованием кэпирующих ферментов.

В некоторых воплощениях «кэпирующий» структурный элемент для РНК представляет собой m27,3’-OGppp(m1 2’-O)ApG (также иногда обозначаемый как

m27,3`OG(5’)ppp(5’)m2’-OApG), который имеет следующую структуру:

.

Ниже приведена примерная структура кэп1-РНК, которая включает РНК и m2 7,3`OG(5’)ppp(5’)m2’-OApG:

.

Ниже приведена еще одна примерная кэп1-РНК:

.

В некоторых воплощениях РНК модифицирована структурами «Кэп0» с использованием, в одном воплощении, аналога кэпа, антиреверсивного кэпа (ARCA Cap (m27,3`O G(5’)ppp(5’)G)) со структурой:

.

Ниже приводится примерная Кэп0-РНК, содержащая РНК и m27,3`OG(5’)ppp(5’)G:

.

В некоторых воплощениях структуры «Кэп0» генерируются с использованием кэп-аналога Beta-S-ARCA (m2 7,2`OG(5’)ppSp(5’)G) со структурой:

.

Ниже приведен пример РНК-Cap0, содержащей Beta-S-ARCA (m27,2`OG(5’)ppSp(5’)G) и РНК:

.

Особенно предпочтительный Cap включает 5’-кэп m27,2`OG(5’)ppSp(5’)G. В некоторых воплощениях по меньшей мере одна описанная в настоящей заявке РНК содержит 5’-кэп m27,2`OG(5’)ppSp(5’)G. В некоторых воплощениях каждая описанная в настоящей заявке РНК содержит 5’cap m27,2`OG(5’)ppSp(5’)G.

В некоторых воплощениях РНК, согласно настоящему изобретению, содержит 5’-UTR и/или 3’-UTR. Термин «нетранслируемая область» или «UTR» относится к области в молекуле ДНК, которая транскрибируется, но не транслируется в аминокислотную последовательность, или к соответствующей области в молекуле РНК, такой, как молекула мРНК. Нетранслируемая область (UTR) может располагаться в направлении 5’ («апстрим») от открытой рамки считывания (5’-UTR) и/или в направлении 3’ («даунстрим») от открытой рамки считывания (3’-UTR). 5’-UTR, если он присутствует, локализован на 5’-конце выше («апстрим») стартового кодона области, кодирующей белок. 5’-UTR находится ниже («даунстрим») 5’-кэп-структуры (если присутствует), например, непосредственно примыкает к 5’-кэп-структуре. 3’-UTR, если он присутствует, расположен на 3’-конце, ниже («даунстрим») кодона терминации области, кодирующей белок, но термин «3’-UTR», предпочтительно, не включает последовательность поли-А. Таким образом, 3'-UTR находится выше («апстрим») последовательности поли(A) (если присутствует), например, непосредственно примыкает к последовательности поли(A).

Особенно предпочтительный 5’-UTR включает нуклеотидную последовательность SEQ ID NO: 21. Особенно предпочтительный 3’-UTR включает нуклеотидную последовательность SEQ ID NO: 28.

В некоторых воплощениях по меньшей мере одна РНК содержит 5'-UTR, содержащую нуклеотидную последовательность SEQ ID NO: 21, или нуклеотидную последовательность, идентичную, по меньшей мере, на 99%, 98%, 97%, 96%, 95%, 90%, 85% или 80% нуклеотидной последовательности SEQ ID NO: 21. В некоторых воплощениях каждая РНК содержит 5'-UTR, содержащую нуклеотидную последовательность SEQ ID NO: 21, или нуклеотидную последовательность, идентичную, по меньшей мере, на 99%, 98%, 97%, 96%, 95%, 90%, 85% или 80% нуклеотидной последовательности SEQ ID NO: 21.

В некоторых воплощениях по меньшей мере одна РНК содержит 3'-UTR, содержащую нуклеотидную последовательность SEQ ID NO: 28, или нуклеотидную последовательность, идентичную, по меньшей мере, на 99%, 98%, 97%, 96%, 95%, 90%, 85% или 80% нуклеотидной последовательности SEQ ID NO: 28. В некоторых воплощениях каждая РНК содержит 3'-UTR, содержащую нуклеотидную последовательность SEQ ID NO: 28, или нуклеотидную последовательность, идентичную, по меньшей мере, на 99%, 98%, 97%, 96%, 95%, 90%, 85% или 80% нуклеотидной последовательности SEQ ID NO: 28.

Используемый в настоящем описании термин «поли-А-хвост» или «поли-А-последовательность» относится к непрерывной или прерываемой последовательности аденилатных остатков, которая обычно расположена на 3'-конце молекулы РНК. Поли-A-хвосты или последовательности поли-A известны специалистам в данной области и могут следовать за 3’-UTR в молекулах РНК, раскрытых в настоящей заявке. Непрерывный поли-А-хвост характеризуется последовательными аденилатными остатками. В природе типичным является непрерывный поли-А-хвост. Раскрытые в настоящем описании РНК могут иметь поли-А-хвост, прикрепленный к свободному 3'-концу РНК с помощью матрично-независимой РНК-полимеразы после транскрипции, или поли-А-хвост, кодируемый ДНК и транскрибируемый матрично-зависимой РНК-полимеразой.

Было продемонстрировано, что поли-А-хвост из примерно 120 нуклеотидов А оказывает благотворное влияние на уровни РНК в трансфицированных эукариотических клетках, а также на уровни белка, транслируемого с открытой рамки считывания, расположенной выше (5') поли-А-хвоста (Holtkamp et al., 2006, Blood, vol. 108, pp. 4009-4017).

Хвост поли-А может быть любой длины. В некоторых воплощениях поли-А-хвост содержит, по существу состоит или состоит из, по меньшей мере, 20, по меньшей мере, 30, по меньшей мере, 40, по меньшей мере, 80 или, по меньшей мере, 100 и вплоть до 500, вплоть до 400, вплоть до 300, вплоть до 200 или вплоть до 150 нуклеотидов А и, в частности, около 120 нуклеотидов А. В контексте изобретения понятие «по существу состоит из» означает, что большинство нуклеотидов в поли-A-хвосте, обычно не менее 75%, не менее 80%, не менее 85%, не менее 90%, не менее 95%, не менее 96%, по меньшей мере, 97%, по меньшей мере, 98% или, по меньшей мере, 99% нуклеотидов в поли-A-хвосте являются нуклеотидами A, но допускает, что оставшиеся нуклеотиды являются нуклеотидами, отличными от нуклеотидов A, такими, как нуклеотиды U (уридилат), нуклеотиды G (гуанилат) или нуклеотиды C (цитидилат). При этом понятие «состоит из» означает, что все нуклеотиды в поли-A-хвосте, т.е. 100% нуклеотидов в поли-A-хвосте, являются нуклеотидами A. Термин «нуклеотид А» или «А» относится к аденилату.

В некоторых воплощениях поли-A-хвост присоединяется во время транскрипции РНК, например, во время получения РНК, транскрибируемой in vitro, на основе матрицы ДНК, содержащей повторяющиеся нуклеотиды dT (дезокситимидилат) в цепи, комплементарной кодирующей цепи. Последовательность ДНК, кодирующая поли-А-хвост (кодирующая цепь), называется поли (А) кассетой.

В некоторых воплощениях кассета поли (A), присутствующая в кодирующей цепи ДНК, по существу, состоит из нуклеотидов dA, но прерывается случайной последовательностью из четырех нуклеотидов (dA, dC, dG и dT). Такая случайная последовательность может иметь длину от 5 до 50, от 10 до 30 или от 10 до 20 нуклеотидов. Такая кассета раскрыта в заявке WO 2016/005324 A1, включенной в настоящее описание в качестве ссылки. В настоящем изобретении можно использовать любую кассету поли (A), описанную в заявке WO 2016/005324 A1. Кассета поли (А), которая, по существу, состоит из нуклеотидов dA, но прерывается случайной последовательностью, имеющей равное распределение четырех нуклеотидов (dA, dC, dG, dT) и имеющей длину, например, от 5 до 50 нуклеотидов, демонстрирует, на уровне ДНК, постоянное размножение плазмидной ДНК в E. coli, и ассоциируется, на уровне РНК, с полезными свойствами применительно к поддержанию стабильности РНК и эффективности трансляции. Следовательно, в некоторых воплощениях поли-A-хвост, содержащийся в раскрытой в настоящей заявке молекуле РНК, по существу, состоит из нуклеотидов A, но прерывается случайной последовательностью из четырех нуклеотидов (A, C, G, U). Такая случайная последовательность может иметь длину от 5 до 50, от 10 до 30 или от 10 до 20 нуклеотидов.

В некоторых воплощениях никакие нуклеотиды, кроме нуклеотидов A, не фланкируют поли-A-хвост на его 3'-конце, то есть поли-A-хвост не замаскирован и не содержит на своем 3'-конце нуклеотида, отличного от A. В некоторых воплощениях поли-A-хвост содержит последовательность SEQ ID NO: 29.

В некоторых воплощениях по меньшей мере одна РНК содержит поли-А-хвост. В некоторых воплощениях каждая РНК содержит поли-А-хвост. В некоторых воплощениях поли-А-хвост может содержать по меньшей мере, 20, по меньшей мере, 30, по меньшей мере, 40, по меньшей мере, 80 или, по меньшей мере, 100, и вплоть до 500, вплоть до 400, вплоть до 300, вплоть до 200 или вплоть до 150 нуклеотидов. В некоторых воплощениях поли-А-хвост может, по существу, состоять, по меньшей мере, из 20, по меньшей мере, 30, по меньшей мере, 40, по меньшей мере, 80 или, по меньшей мере, 100 и вплоть до 500, вплоть до 400, вплоть до 300, вплоть до 200, или вплоть до 150 нуклеотидов. В некоторых воплощениях поли-А-хвост может состоять, по меньшей мере, из 20, по меньшей мере, 30, по меньшей мере, 40, по меньшей мере, 80 или, по меньшей мере, 100 и вплоть до 500, вплоть до 400, вплоть до 300, вплоть до 200 или вплоть до 150 нуклеотидов. В некоторых воплощениях поли-А-хвост может включать поли-А-хвост SEQ ID NO: 29. В некоторых воплощениях поли-А-хвост содержит, по меньшей мере, 100 нуклеотидов. В некоторых воплощениях поли-А-хвост содержит около 150 нуклеотидов. В некоторых воплощениях поли-А-хвост содержит около 120 нуклеотидов.

В контексте настоящего изобретения термин «транскрипция» относится к процессу, в котором генетический код в последовательности ДНК транскрибируется в РНК. Впоследствии РНК можно транслировать в пептид или белок.

Что касается РНК, термин «экспрессия» или «трансляция» относится к процессу, происходящему в рибосомах клетки, посредством которого цепь мРНК определяет сборку последовательности аминокислот с образованием пептида или белка.

В одном воплощении после введения РНК, описанной в настоящей заявке, например, приготовленной в виде РНК-липоплексных частиц, по меньшей мере, часть РНК доставляется в клетку-мишень. В одном воплощении, по меньшей мере, часть РНК доставляется в цитозоль клетки-мишени. В одном воплощении РНК транслируется клеткой-мишенью с образованием пептида или белка, который она кодирует. В одном воплощении клетка-мишень представляет собой клетку селезенки. В одном воплощении клетка-мишень представляет собой антигенпрезентирующую клетку, такую, как профессиональная антигенпрезентирующая клетка в селезенке. В одном воплощении клетка-мишень представляет собой дендритную клетку или макрофаг. Описанные в настоящей заявке РНК-липоплексные частицы можно использовать для доставки РНК к такой клетке-мишени. Соответственно, настоящее изобретение также относится к способу доставки РНК в клетку-мишень субъекта, включающему введение объекту РНК-липоплексных частиц, раскрытых в настоящем описании. В одном воплощении РНК доставляется в цитозоль клетки-мишени. В одном воплощении РНК транслируется клеткой-мишенью с образованием пептида или белка, кодируемого РНК.

Согласно изобретению, термин «кодирует РНК» означает, что РНК, если она присутствует в соответствующей среде, например, в клетках ткани-мишени, может направлять сборку аминокислот с образованием пептида или белка, который она кодирует, во время процесса трансляции. В одном воплощении РНК способна взаимодействовать с механизмом клеточной трансляции, обеспечивая трансляцию пептида или белка. Клетка может продуцировать кодируемый пептид или белок внутриклеточно (например, в цитоплазме и/или в ядре), может секретировать кодируемый пептид или белок или может выставлять его на клеточной поверхности.

В соответствии с описанием термин «пептид» включает олиго- и полипептиды и относится к веществам, которые включают около двух или более, около 3 или более, около 4 или более, около 6 или более, около 8 или более, около 10 или более, около 13 или больше, около 16 или больше, около 20 или больше и до около 50, около 100 или около 150 последовательных аминокислот, связанных друг с другом пептидными связями. Термин «белок» относится к большим пептидам, в частности пептидам, имеющим, по меньшей мере, около 151 аминокислоту, но термины «пептид» и «белок» используются в данном описании обычно как синонимы.

Термин «антиген» относится к агенту, содержащему эпитоп, против которого может быть сформирован иммунный ответ. Термин «антиген» включает, в частности, белки и пептиды. В одном воплощении антиген представляется клетками иммунной системы, такими как антигенпрезентирующие клетки, например, дендритные клетки или макрофаги. Антиген или продукт его процессинга, такой, как Т-клеточный эпитоп, в одном воплощении связывается с Т- или В-клеточным рецептором или с молекулой иммуноглобулина, такой, как антитело. Соответственно, антиген или продукт его процессинга может специфически реагировать с антителами или Т-лимфоцитами (Т-клетками). В одном воплощении антиген представляет собой ассоциированный с заболеванием антиген, такой как опухолевый антиген, и эпитоп происходит от такого антигена.

Термин «антиген, ассоциированный с заболеванием», используется в самом широком смысле для обозначения любого антигена, ассоциированного с заболеванием. Антиген, связанный с заболеванием, представляет собой молекулу, которая содержит эпитопы, которые будут стимулировать иммунную систему хозяина для выработки клеточного антигенспецифического иммунного ответа и/или антительного гуморального ответа против заболевания. Следовательно, ассоциированный с заболеванием антиген или его эпитоп можно использовать в терапевтических целях. Антигены, ассоциированные с заболеванием, могут быть связаны с онкологическим заболеванием, обычно с опухолями.

Термин «опухолевый антиген» относится к компоненту злокачественных опухолевых клеток, который может происходить из цитоплазмы, поверхности клетки и ядра клетки. В частности, это относится к тем антигенам, которые продуцируются внутриклеточно или как поверхностные антигены на опухолевых клетках.

Термин «эпитоп» относится к части или фрагменту молекулы, такой, как антиген, который распознается иммунной системой. Например, эпитоп может распознаваться Т-клетками, В-клетками или антителами. Эпитоп антигена может включать непрерывную или прерывистую часть антигена и может иметь длину от около 5 до около 100 аминокислот. В одном воплощении эпитоп имеет от около 10 до около 25 аминокислот в длину. Термин «эпитоп» включает эпитопы Т-клеток.

Термин «Т-клеточный эпитоп» относится к части или фрагменту белка, который распознается Т-клеткой, когда он презентируется молекулами MHC. Термин «главный комплекс гистосовместимости» и сокращение «MHC» включают молекулы MHC класса I и MHC класса II и относится к комплексу генов, который присутствует у всех позвоночных. Белки или молекулы MHC важны для передачи сигналов между лимфоцитами и антигенпрезентирующими клетками или больными клетками в иммунных реакциях, где белки или молекулы MHC связывают пептидные эпитопы и представляют их для распознавания Т-клеточным рецепторам на Т-клетках. Белки, кодируемые MHC, экспрессируются на поверхности клеток и презентируют как аутоантигены (пептидные фрагменты из самой клетки), так и не аутоантигены (например, фрагменты вторгшихся микроорганизмов) Т-клетке. В случае комплексов МНС/пептид класса I связывающие пептиды обычно имеют от около 8 до около 10 аминокислот в длину, хотя более длинные или более короткие пептиды могут быть эффективными. В случае комплексов МНС/пептид класса II связывающие пептиды обычно имеют от около 10 до около 25 аминокислот в длину, в частности от около 13 до около 18 аминокислот, при этом более длинные и более короткие пептиды могут быть эффективными.

В некоторых воплощениях настоящего изобретения РНК кодирует по меньшей мере один эпитоп. В некоторых воплощениях эпитоп происходит от опухолевого антигена, как раскрыто в настоящем описании.

Применяемые РНК

В некоторых воплощениях композиции, раскрытые в настоящей заявке, содержат РНК, кодирующую белок калликреин-2 (KLK2), РНК, кодирующую белок простатоспецифического антигена (PSA), РНК, кодирующую белок простатической кислой фосфатазы (PAP), РНК, кодирующую белок Homeobox B13 (HOXB13), и РНК, кодирующую белок NK3 Homeobox 1 (NKX3-1). Аналогичным образом, способы, описанные в настоящей заявке, включают введение РНК, кодирующей белок калликреин-2 (KLK2), РНК, кодирующей белок простатоспецифического антигена (PSA), РНК, кодирующей белок простатической кислой фосфатазы (PAP), РНК, кодирующей белок Homeobox B13 (HOXB13), и РНК, кодирующей белок NK3 Homeobox 1 (NKX3-1).

Белок калликреин-2 (KLK2) содержит аминокислотную последовательность KLK2, его иммуногенный вариант или иммуногенный фрагмент KLK2 или иммуногенный вариант фрагмента, и может иметь аминокислотную последовательность, содержащую аминокислотную последовательность SEQ ID NO: 1 или 2, или аминокислотную последовательность, идентичную, по меньшей мере, на 99%, 98%, 97%, 96%, 95%, 90%, 85% или 80% аминокислотной последовательности SEQ ID NO: 1 или 2. РНК, кодирующая белок KLK2, (i) может содержать нуклеотидную последовательность SEQ ID NO: 3 или 4 или нуклеотидную последовательность, идентичную, по меньшей мере, на 99%, 98%, 97%, 96%, 95%, 90%, 85%, или 80% нуклеотидной последовательности SEQ ID NO: 3 или 4; и/или (ii) может кодировать аминокислотную последовательность, содержащую аминокислотную последовательность SEQ ID NO: 1 или 2, или аминокислотную последовательность, идентичную, по меньшей мере, на 99%, 98%, 97%, 96%, 95%, 90%, 85% или 80% аминокислотной последовательности SEQ ID NO: 1 или 2.

Белок простатоспецифического антигена (PSA) содержит аминокислотную последовательность PSA, его иммуногенного варианта или иммуногенного фрагмента PSA или иммуногенного варианта фрагмента, и может иметь аминокислотную последовательность, содержащую аминокислотную последовательность SEQ ID NO: 5 или 6, или аминокислотную последовательность, идентичную, по меньшей мере, на 99%, 98%, 97%, 96%, 95%, 90%, 85% или 80% аминокислотной последовательности SEQ ID NO: 5 или 6. РНК, кодирующая белок PSA, (i) может содержать нуклеотидную последовательность SEQ ID NO: 7 или 8 или нуклеотидную последовательность, идентичную, по меньшей мере, на 99%, 98%, 97%, 96%, 95%, 90%, 85%, или 80% нуклеотидной последовательности SEQ ID NO: 7 или 8; и/или (ii) может кодировать аминокислотную последовательность, содержащую аминокислотную последовательность SEQ ID NO: 5 или 6, или аминокислотную последовательность, идентичную, по меньшей мере, на 99%, 98%, 97%, 96%, 95%, 90%, 85% или 80% аминокислотной последовательности SEQ ID NO: 5 или 6.

Белок простатической кислой фосфатазы (PAP) содержит аминокислотную последовательность PAP, его иммуногенного варианта или иммуногенного фрагмента PAP или иммуногенного варианта фрагмента, и может иметь аминокислотную последовательность, содержащую аминокислотную последовательность SEQ ID NO: 9 или 10, или аминокислотную последовательность, идентичную, по меньшей мере, на 99%, 98%, 97%, 96%, 95%, 90%, 85% или 80% аминокислотной последовательности SEQ ID NO: 9 или 10. РНК, кодирующая белок PAP, (i) может содержать нуклеотидную последовательность SEQ ID NO: 11 или 12 или нуклеотидную последовательность, идентичную, по меньшей мере, на 99%, 98%, 97%, 96%, 95%, 90%, 85%, или 80% нуклеотидной последовательности SEQ ID NO: 11 или 12; и/или (ii) может кодировать аминокислотную последовательность, содержащую аминокислотную последовательность SEQ ID NO: 9 или 10, или аминокислотную последовательность, идентичную, по меньшей мере, на 99%, 98%, 97%, 96%, 95%, 90%, 85% или 80% аминокислотной последовательности SEQ ID NO: 9 или 10.

Белок Homeobox B13 (HOXB13) содержит аминокислотную последовательность HOXB13, его иммуногенного варианта или иммуногенного фрагмента HOXB13 или иммуногенного варианта фрагмента, и может иметь аминокислотную последовательность, содержащую аминокислотную последовательность SEQ ID NO: 13 или 14, или аминокислотную последовательность, идентичную, по меньшей мере, на 99%, 98%, 97%, 96%, 95%, 90%, 85% или 80% аминокислотной последовательности SEQ ID NO: 13 или 14. РНК, кодирующая белок HOXB13, (i) может содержать нуклеотидную последовательность SEQ ID NO: 15 или 16 или нуклеотидную последовательность, идентичную, по меньшей мере, на 99%, 98%, 97%, 96%, 95%, 90%, 85%, или 80% нуклеотидной последовательности SEQ ID NO: 15 или 16; и/или (ii) может кодировать аминокислотную последовательность, содержащую аминокислотную последовательность SEQ ID NO: 13 или 14, или аминокислотную последовательность, идентичную, по меньшей мере, на 99%, 98%, 97%, 96%, 95%, 90%, 85% или 80% аминокислотной последовательности SEQ ID NO: 13 или 14.

Белок NK3 Homeobox 1 (NKX3-1) содержит аминокислотную последовательность NKX3-1, его иммуногенного варианта или иммуногенного фрагмента NKX3-1 или иммуногенного варианта фрагмента, и может иметь аминокислотную последовательность, содержащую аминокислотную последовательность SEQ ID NO: 17 или 18, или аминокислотную последовательность, идентичную, по меньшей мере, на 99%, 98%, 97%, 96%, 95%, 90%, 85% или 80% аминокислотной последовательности SEQ ID NO: 17 или 18. РНК, кодирующая белок NKX3-1, (i) может содержать нуклеотидную последовательность SEQ ID NO: 19 или 20 или нуклеотидную последовательность, идентичную, по меньшей мере, на 99%, 98%, 97%, 96%, 95%, 90%, 85% или 80% нуклеотидной последовательности SEQ ID NO: 19 или 20; и/или (ii) может кодировать аминокислотную последовательность, содержащую аминокислотную последовательность SEQ ID NO: 17 или 18, или аминокислотную последовательность, идентичную, по меньшей мере, на 99%, 98%, 97%, 96%, 95%, 90%, 85% или 80% аминокислотной последовательности SEQ ID NO: 17 или 18.

Под «вариантом» в данном описании подразумевается аминокислотная последовательность, которая отличается от исходной аминокислотной последовательности, по меньшей мере, одной модификацией аминокислоты. Исходная аминокислотная последовательность может быть аминокислотной последовательностью природного или дикого типа (WT) или может быть модифицированной версией аминокислотной последовательности дикого типа. Предпочтительно, вариантная аминокислотная последовательность имеет, по меньшей мере, одну аминокислотную модификацию по сравнению с исходной аминокислотной последовательностью, например, от 1 до около 20 аминокислотных модификаций, и предпочтительно от 1 до около 10 или от 1 до около 5 аминокислотных модификаций по сравнению с исходной.

Термины «дикий тип», «WT» или «нативный» в данном описании относятся к аминокислотной последовательности, которая встречается в природе, включая аллельные варианты. Пептид или белок дикого типа имеют аминокислотную последовательность, которая не была намеренно модифицирована.

Для целей настоящего изобретения «варианты» аминокислотной последовательности (пептид, белок или полипептид) включают варианты с вставкой аминокислот, варианты с добавлением аминокислот, варианты с делецией аминокислот и/или варианты с заменой аминокислот. Термин «вариант» включает все мутанты, варианты сплайсинга, варианты, модифицированные после трансляции, конформации, изоформы, аллельные варианты, видовые варианты и видовые гомологи, в частности, те, которые встречаются в природе.

Аминокислотные варианты со вставкой включают вставки одной или двух или более аминокислот в конкретную аминокислотную последовательность. В случае вариантов аминокислотной последовательности, имеющих вставку, один или несколько аминокислотных остатков встраиваются в конкретный сайт аминокислотной последовательности, хотя также возможна случайная вставка с соответствующим скринингом полученного продукта. Варианты присоединения аминокислот включают слияния на амино- и/или карбоксиконце одной или нескольких аминокислот, например, 1, 2, 3, 5, 10, 20, 30, 50 или большего количества аминокислот. Варианты с делецией аминокислот характеризуются удалением одной или нескольких аминокислот из последовательности, например, удалением 1, 2, 3, 5, 10, 20, 30, 50 или большего количества аминокислот. Делеции могут находиться в любом положении белка. Варианты с делецией аминокислот, которые содержат делецию на N-конце и/или C-конце белка, также называются вариантами с укорочением на N-конце и/или C-конце. Аминокислотные варианты с заменой характеризуются тем, что, по меньшей мере, один остаток в последовательности удаляется, а другой остаток вставляется на его место. Предпочтение отдается модификациям в тех положениях аминокислотной последовательности, которые не являются консервативными между гомологичными белками или пептидами, и/или заменам одних аминокислот другими, имеющими аналогичные свойства. Предпочтительно, аминокислотные замены в пептидных и белковых вариантах представляют собой консервативные аминокислотные изменения, то есть замены одинаково заряженных или незаряженных аминокислот. Консервативная замена аминокислот включает замену одной аминокислоты из семейства аминокислот, в котором аминокислоты имеют схожие боковые цепи. Природные аминокислоты обычно делятся на четыре семейства: кислые (аспартат, глутамат), основные (лизин, аргинин, гистидин), неполярные (аланин, валин, лейцин, изолейцин, пролин, фенилаланин, метионин, триптофан) и незаряженные полярные (глицин, аспарагин, глутамин, цистеин, серин, треонин, тирозин) аминокислоты. Фенилаланин, триптофан и тирозин иногда классифицируют совместно как ароматические аминокислоты. В одном воплощении консервативные аминокислотные замены включают замены в следующих группах:

глицин, аланин;

валин, изолейцин, лейцин;

аспарагиновая кислота, глутаминовая кислота;

аспарагин, глутамин;

серин, треонин;

лизин, аргинин; и

фенилаланин, тирозин.

Предпочтительно степень сходства, предпочтительно идентичности между данной аминокислотной последовательностью и аминокислотной последовательностью, которая является вариантом указанной данной аминокислотной последовательности, будет составлять, по меньшей мере, около 80%, 81%, 82%, 83%, 84%, 85%, 86%, 87%, 88%, 89%, 90%, 91%, 92%, 93%, 94%, 95%, 96%, 97%, 98% или 99%. Степень сходства или идентичности дается предпочтительно для аминокислотной области, которая составляет, по меньшей мере, около 50%, по меньшей мере, около 60%, по меньшей мере, около 70%, по меньшей мере, около 80%, по меньшей мере, около 90% или около 100% от полной длины референсной аминокислотной последовательности. Например, если референсная аминокислотная последовательность состоит из 200 аминокислот, степень сходства или идентичности дается предпочтительно, по меньшей мере, для около 100, по меньшей мере, около 120, по меньшей мере, около 140, по меньшей мере, около 160, по меньшей мере около, 180, или около 200 аминокислот, предпочтительно непрерывных аминокислот. В предпочтительных воплощениях степень сходства или идентичности приводится для всей длины референсной аминокислотной последовательности.

«Сходство последовательностей» указывает процент аминокислот, которые либо идентичны, либо представляют собой консервативные аминокислотные замены. «Идентичность последовательностей» между двумя аминокислотными последовательностями указывает процент аминокислот, которые идентичны в последовательностях.

Аминокислотная последовательность (пептид, белок или полипептид), «происходящая из» определенной аминокислотной последовательности (пептида, белка или полипептида), указывает на происхождение первой аминокислотной последовательности. Предпочтительно, аминокислотная последовательность, происходящая из конкретной аминокислотной последовательности, имеет аминокислотную последовательность, которая идентична, по существу, идентична или гомологична этой конкретной последовательности или ее фрагменту. Аминокислотные последовательности, полученные из конкретной аминокислотной последовательности, могут быть вариантами этой конкретной последовательности или ее фрагмента.

Пептидный и белковый антиген, описанные в настоящей заявке (белок KLK2, белок PSA, белок PAP, белок HOXB13 и белок NKX3-1), доставляемый субъекту путем введения РНК, кодирующей антиген, то есть антигена вакцины, предпочтительно, приводит к стимуляции, примированию и/или размножению Т-клеток у субъекта. Указанные стимулированные, примированные и/или размноженные Т-клетки, предпочтительно, направлены против антигена-мишени, в частности, антигена-мишени, экспрессируемого больными клетками, тканями и/или органами, то есть ассоциированного с заболеванием антигена. Таким образом, вакцинный антиген может включать антиген, ассоциированный с заболеванием, или его фрагмент или вариант. В одном воплощении такой фрагмент или вариант иммунологически эквивалентен антигену, ассоциированному с заболеванием. В контексте настоящего изобретения термин «фрагмент антигена» или «вариант антигена» означает агент, который приводит к стимуляции, примированию и/или размножению Т-клеток, которые направлены к Т-клеточной мишени, представляющей собой ассоциированный с заболеванием антиген, в частности, когда он экспрессируется на поверхности пораженных клеток, тканей и/или органов. Таким образом, вакцинный антиген, вводимый согласно настоящему изобретению, может соответствовать или может содержать антиген, ассоциированный с заболеванием, может соответствовать или может содержать фрагмент антигена, ассоциированного с заболеванием, или может соответствовать или может содержать антиген, который гомологичен антигену, ассоциированному с заболеванием, или его фрагменту. Если вакцинный антиген, вводимый в соответствии с изобретением, содержит фрагмент ассоциированного с заболеванием антигена или имеет аминокислотную последовательность, которая гомологична фрагменту ассоциированного с заболеванием антигена, указанный фрагмент или аминокислотная последовательность могут содержать эпитоп ассоциированного с заболеванием антигена или последовательность, гомологичную эпитопу ассоциированного с заболеванием антигена, причем Т-клетки связываются с указанным эпитопом. Таким образом, согласно изобретению, вводимый антиген может включать иммуногенный фрагмент антигена, ассоциированного с заболеванием, или иметь аминокислотную последовательность, гомологичную иммуногенному фрагменту антигена, ассоциированного с заболеванием. «Иммуногенный фрагмент антигена» согласно настоящему описанию, предпочтительно, относится к фрагменту антигена, который способен стимулировать, примировать и/или приводить к размножению Т-клеток. Предпочтительно, чтобы вакцинный антиген (подобный антигену, связанному с заболеванием) содержал соответствующий эпитоп для связывания Т-клетками. Также предпочтительно, чтобы вакцинный антиген (подобный антигену, связанному с заболеванием) экспрессировался на поверхности клетки, такой, как антигенпрезентирующая клетка, чтобы обеспечить соответствующий эпитоп для связывания Т-клетками. Вакцинный антиген, согласно изобретению, может быть рекомбинантным антигеном.

Термин «иммунологически эквивалентный» означает, что иммунологически эквивалентная молекула, такая, как иммунологически эквивалентная аминокислотная последовательность, проявляет такие же или практически такие же иммунологические свойства и/или оказывает такие же или практически такие же иммунологические эффекты, например, в отношении типа иммунологического эффекта. В контексте настоящего изобретения термин «иммунологически эквивалентный», предпочтительно, используется применительно к иммунологическим эффектам или свойствам антигенов или вариантов антигенов. Например, аминокислотная последовательность иммунологически эквивалентна референсной аминокислотной последовательности, если указанная аминокислотная последовательность при экспонировании Т-клеткам, связывающимся с референсной аминокислотной последовательностью, или клеткам, экспрессирующим референсную аминокислотную последовательность, вызывает иммунную реакцию, имеющую ту же специфичность, что и референсная аминокислотная последовательность, в частности, применительно к стимуляции, примированию и/или размножению Т-клеток. Таким образом, молекула, которая иммунологически эквивалентна антигену, проявляет такие же или практически такие же свойства и/или оказывает такие же или практически такие же эффекты в отношении стимуляции, примирования и/или размножения Т-клеток, что и антиген, на который нацелены Т-клетки.

«Активация» или «стимуляция» в контексте настоящего изобретения относится к состоянию Т-клетки, которая была в достаточной степени простимулирована, чтобы вызвать детектируемую клеточную пролиферацию. Активация также может быть связана с индуцированной продукцией цитокинов и детектируемыми эффекторными функциями. Термин «активированные Т-клетки» относится, помимо прочего, к Т-клеткам, которые подвергаются клеточному делению.

Термин «примирование» относится к процессу, при котором Т-клетка впервые контактирует со своим специфическим антигеном и дифференцируется в эффекторные Т-клетки.

Термин «клональное размножение» или «размножение» относится к процессу, при котором приумножается конкретный объект. В контексте настоящего изобретения этот термин, предпочтительно, используется применительно к иммунологическому ответу, при котором лимфоциты стимулируются антигеном, пролиферируют, и специфический лимфоцит, распознающий указанный антиген, амплифицируется. Предпочтительно, клональное размножение приводит к дифференцировке лимфоцитов.

Липоплексные частицы

В некоторых воплощениях настоящего изобретения описанная здесь РНК может находиться в липоплексных частицах РНК. Липоплексные РНК частицы и композиции, содержащие эти частицы, раскрытые в настоящем описании, полезны для доставки РНК в ткань-мишень после парентерального введения, в частности, после внутривенного введения. Липоплексные РНК частицы могут быть получены с использованием липосом, которые могут быть приготовлены путем инъекции раствора липидов в этаноле в воду или подходящую водную фазу. В одном воплощении водная фаза имеет кислый pH. В одном воплощении водная фаза содержит уксусную кислоту, например, в количестве примерно 5 мМ. В одном воплощении липосомы и РНК-липоплексные частицы содержат, по меньшей мере, один катионный липид и, по меньшей мере, один дополнительный липид. В одном воплощении, по меньшей мере, один катионный липид включает 1,2-ди-O-октадеценил-3-триметиламмоний пропан (DOTMA) и/или 1,2-диолеоил-3-триметиламмонийпропан (DOTAP). В одном воплощении, по меньшей мере, один дополнительный липид включает 1,2-ди- (9Z-октадеценоил) -sn-глицеро-3-фосфоэтаноламин (DOPE), холестерол (Chol) и/или 1,2-диолеоил-sn-глицеро-3-фосфохолин (DOPC). В одном воплощении, по меньшей мере, один катионный липид включает 1,2-ди-O-октадеценил-3-триметиламмонийпропан (DOTMA), а, по меньшей мере, один дополнительный липид включает 1,2-ди- (9Z-октадеценоил)-sn-глицеро-3-фосфоэтаноламин (DOPE). В одном воплощении липосомы и липоплексные РНК частицы содержат 1,2-ди-O-октадеценил-3-триметиламмоний пропан (DOTMA) и 1,2-ди-(9Z-октадеценоил)-sn-глицеро-3-фосфоэтаноламин (DOPE). Липосомы можно использовать для получения липоплексных частиц РНК путем смешивания липосом с РНК.

Липоплексные частицы РНК, нацеленные на селезенку, описаны в заявке WO 2013/143683, включенной в настоящее описание в качестве ссылки. Было обнаружено, что липоплексные частицы РНК, имеющие суммарный отрицательный заряд, могут быть использованы для предпочтительного нацеливания на ткань селезенки или клетки селезенки, такие, как антигенпрезентирующие клетки, в частности дендритные клетки. Соответственно, после введения липоплексных частиц РНК происходит накопление РНК и/или экспрессия РНК в селезенке. Таким образом, липоплексные частицы РНК по настоящему изобретению можно использовать для экспрессии РНК в селезенке. В одном воплощении после введения липоплексных частиц РНК не происходит или практически не происходит накопления РНК и/или экспрессии РНК в легких и/или печени. В одном воплощении после введения липоплексных частиц РНК происходит накопление РНК и/или экспрессия РНК в антигенпрезентирующих клетках, таких, как профессиональные антигенпрезентирующие клетки в селезенке. Таким образом, липоплексные частицы РНК по настоящему изобретению можно использовать для экспрессии РНК в указанных антигенпрезентирующих клетках. В одном воплощении антигенпрезентирующие клетки представляют собой дендритные клетки и/или макрофаги.

Диаметр липоплексных частиц РНК

Описанные в настоящей заявке липоплексные частицы РНК имеют средний диаметр, который в одном воплощении находится в диапазоне от около 200 нм до около 1000 нм, от около 200 нм до около 800 нм, от около 250 до около 700 нм, от около 400 до около 600 нм, от около 300 нм до около 500 нм или от около 350 нм до около 400 нм. В одном воплощении липоплексные частицы РНК имеют средний диаметр в диапазоне от около 250 нм до около 700 нм. В другом воплощении липоплексные частицы РНК имеют средний диаметр в диапазоне от около 300 нм до около 500 нм. В примерном воплощении липоплексные частицы РНК имеют средний диаметр около 400 нм.

В одном воплощении описанные в настоящей заявке липоплексные частицы РНК имеют индекс полидисперсности менее чем около 0,5, менее чем около 0,4 или менее чем около 0,3. Например, липоплексные частицы РНК могут демонстрировать индекс полидисперсности в диапазоне от около 0,1 до около 0,3.

Липид

В одном воплощении липидные растворы, липосомы и липоплексные частицы РНК, описанные в настоящей заявке, включают катионный липид. Используемый в настоящем описании термин «катионный липид» относится к липиду, имеющему чистый положительный заряд. Катионные липиды связывают отрицательно заряженную РНК посредством электростатического взаимодействия с липидной матрицей. Обычно катионные липиды содержат липофильную группу, такую, как стерол, ацильную или диацильную цепь, а головная группа липида, обычно, несет положительный заряд. Примеры катионных липидов включают, без ограничения указанным, 1,2-ди-O-октадеценил-3-триметиламмоний пропан (DOTMA), диметилдиоктадециламмоний (DDAB); 1,2-диолеоил-3-триметиламмоний пропан (DOTAP); 1,2-диолеоил-3-диметиламмоний-пропан (DODAP); 1,2-диацилокси-3-диметиламмоний пропаны; 1,2-диалкилокси-3-диметиламмоний пропаны; хлорид диоктадецилдиметиламмония (DODAC), 2,3-ди (тетрадекокси) пропил- (2-гидроксиэтил) диметилазан (DMRIE), 1,2-димиристоил-sn-глицеро-3-этилфосфохолин (DMEPC), 1,2-димиристоил -3-триметиламмонийпропан (DMTAP), 1,2-диолеилоксипропил-3-диметил-гидроксиэтиламмоний бромид (DORIE) и 2,3-диолеилокси-N- [2 (сперминкарбоксамид) этил]-N, N-диметил-1-пропанаминия трифторацетат (DOSPA). Предпочтительны DOTMA, DOTAP, DODAC и DOSPA. В конкретных воплощениях катионный липид представляет собой DOTMA и/или DOTAP.

Дополнительный липид может быть включен для регулирования общего отношения положительного и отрицательного зарядов и физической стабильности липоплексных частиц РНК. В некоторых воплощениях дополнительный липид представляет собой нейтральный липид. Используемый в настоящем описании термин «нейтральный липид» относится к липиду, имеющему нулевой чистый заряд. Примеры нейтральных липидов включают, без ограничения указанным, 1,2-ди- (9Z-октадеценоил) -sn-глицеро-3-фосфоэтаноламин (DOPE), 1,2-диолеоил-sn-глицеро-3-фосфохолин (DOPC), диацилфосфатидилхолин, диацилфосфатидилэтаноламин, церамид, сфингоэмиелин, цефалин, холестерол и цереброзид. В конкретных воплощениях дополнительный липид представляет собой DOPE, холестерол и/или DOPC.

В некоторых воплощениях липоплексные частицы РНК включают как катионный липид, так и дополнительный липид. В иллюстративном воплощении катионный липид представляет собой DOTMA, а дополнительный липид представляет собой DOPE. Не желая ограничиваться теорией, авторы изобретения отмечают, что количество, по меньшей мере, одного катионного липида по сравнению с количеством, по меньшей мере, одного дополнительного липида может влиять на важные характеристики липоплексных частиц РНК, таких, как заряд, размер частиц, стабильность, тканевая селективность и биоактивность РНК. Соответственно, в некоторых воплощениях молярное отношение, по меньшей мере, одного катионного липида к, по меньшей мере, одному дополнительному липиду составляет от около 10: 0 до около 1: 9, от около 4: 1 до около 1: 2 или от около 3: 1 до около 1: 1. В конкретных воплощениях молярное соотношение может составлять около 3: 1, около 2,75: 1, около 2,5: 1, около 2,25: 1, около 2: 1, около 1,75: 1, около 1,5: 1, около 1,25: 1 или около 1: 1. В примерном воплощении молярное отношение, по меньшей мере, одного катионного липида к, по меньшей мере, одному дополнительному липиду составляет около 2:1.

Отношение зарядов

Электрический заряд липоплексных частиц РНК, согласно настоящему изобретению, представляет собой сумму электрических зарядов, присутствующих, по меньшей мере, в одном катионном липиде, и электрических зарядов, присутствующих в РНК. Отношение зарядов - это отношение положительных зарядов, присутствующих, по меньшей мере, в одном катионном липиде, к отрицательным зарядам, присутствующим в РНК. Отношение положительных зарядов, присутствующих, по меньшей мере, в одном катионном липиде, к отрицательным зарядам, присутствующим в РНК, рассчитывается по следующему уравнению: соотношение зарядов = [(концентрация катионного липида (моль)) * (общее количество положительных зарядов в катионном липиде)]/[(концентрация РНК (моль)) * (общее количество отрицательных зарядов в РНК)]. Концентрация РНК и количество, по меньшей мере, одного катионного липида могут быть определены обычными способами специалистом в данной области.

В одном воплощении при физиологическом pH отношение положительных зарядов к отрицательным зарядам в липоплексных частицах РНК составляет от около 1,6: 2 до около 1: 2 или от около 1,6: 2 до около 1,1: 2. В конкретных воплощениях отношение положительных зарядов к отрицательным зарядам в липоплексных частицах РНК при физиологическом pH составляет около 1,6: 2,0, около 1,5: 2,0, около 1,4: 2,0, около 1,3: 2,0, около 1,2: 2,0, около 1,1: 2,0, или около 1: 2,0.

Было обнаружено, что липоплексные частицы РНК, имеющие указанное выше соотношение зарядов, могут быть использованы для преимущественного нацеливания на ткань селезенки или клеток селезенки, такие, как антигенпрезентирующие клетки, в частности дендритные клетки. Соответственно, в одном воплощении после введения липоплексных частиц РНК происходит накопление РНК и/или экспрессия РНК в селезенке. Таким образом, липоплексные частицы РНК по настоящему изобретению можно использовать для экспрессии РНК в селезенке. В одном воплощении после введения липоплексных частиц РНК не происходит или практически не происходит накопления РНК и/или экспрессии РНК в легких и/или печени. В одном воплощении после введения липоплексных частиц РНК происходит накопление РНК и/или экспрессия РНК в антигенпрезентирующих клетках, таких, как профессиональные антигенпрезентирующие клетки в селезенке. Таким образом, липоплексные частицы РНК по настоящему изобретению можно использовать для экспрессии РНК в таких антигенпрезентирующих клетках. В одном воплощении антигенпрезентирующие клетки представляют собой дендритные клетки и/или макрофаги.

A. Соль и ионная сила

Согласно настоящему изобретению, раскрытые в настоящем описании композиции могут содержать соли, такие, как хлорид натрия. Не желая быть связанными теорией, авторы изобретения отмечают, что хлорид натрия действует как агент ионной осмоляльности для предварительного кондиционирования РНК перед смешиванием, по меньшей мере, с одним катионным липидом. В некоторых воплощениях в настоящем описании рассматриваются альтернативные хлориду натрия органические или неорганические соли. Альтернативные соли включают, без ограничения указанными, хлорид калия, дикалийфосфат, монофосфат калия, ацетат калия, бикарбонат калия, сульфат калия, ацетат калия, динатрийфосфат, мононатрийфосфат, ацетат натрия, бикарбонат натрия, сульфат натрия, ацетат натрия, хлорид лития, магний. хлорид, фосфат магния, хлорид кальция и натриевые соли этилендиаминтетрауксусной кислоты (EDTA).

Обычно композиции, содержащие липоплексные частицы РНК, описанные в настоящей заявке, содержат хлорид натрия в концентрации, которая, предпочтительно, находится в диапазоне от 0 мМ до около 500 мМ, от около 5 мМ до около 400 мМ или от около 10 мМ до около 300 мМ. В одном воплощении композиции, содержащие липоплексные частицы РНК, имеют ионную силу, соответствующую таким концентрациям хлорида натрия.

B. Стабилизатор

Композиции, описанные в настоящей заявке, могут содержать стабилизатор, чтобы избежать существенной потери качества продукта и, в частности, значительной потери активности РНК во время замораживания, лиофилизации, распылительной сушки или хранения, такого, как хранение замороженной, лиофилизированной или высушенной распылением композиции.

В одном из воплощений стабилизатор представляет собой углевод. Используемый в настоящем описании термин «углевод» относится к моносахаридам, дисахаридам, трисахаридам, олигосахаридам и полисахаридам и охватывает их.

В воплощениях настоящего изобретения стабилизатор представляет собой маннозу, глюкозу, сахарозу или трегалозу.

Согласно настоящему изобретению, раскрытые в настоящем описании композиции липоплексных частиц РНК имеют концентрацию стабилизатора, подходящую для стабильности композиции, в частности, для стабильности липоплексных частиц РНК и стабильности РНК.

С. Значение pH и буфер

В соответствии с настоящим изобретением, композиции липоплексных частицы РНК, раскрытые в настоящем описании, имеют pH, подходящий для стабилизации липоплексных частиц РНК и, в частности, для стабилизации РНК. В одном воплощении композиции липоплексные частицы РНК, описанные в настоящей заявке, имеют pH от около 5,5 до около 7,5.

Согласно настоящему изобретению, заявленные композиции включают буфер. Не ограничиваясь теорией, авторы изобретения отмечают, что применение буфера поддерживает pH композиции во время ее производства, хранения и применения. В некоторых воплощениях настоящего изобретения буфер может представлять собой бикарбонат натрия, мононатрийфосфат, динатрийфосфат, монокалиевый фосфат, дикалийфосфат, [трис (гидроксиметил) метиламино] пропансульфоновую кислоту (TAPS), 2-(бис(2-гидроксиэтил) амино) уксусная кислота (бицин), 2-амино-2-(гидроксиметил) пропан-1,3-диол (Трис), N- (2-гидрокси-1,1-бис (гидроксиметил) этил) глицин (трицин), 3-[[1,3-дигидрокси-2- (гидроксиметил) пропан-2-ил] амино] -2-гидроксипропан-1-сульфоновую кислоту (TAPSO), 2-[4-(2-гидроксиэтил)пиперазин-1-ил] этансульфоновую кислоту (HEPES), 2-[[1,3-дигидрокси-2-(гидроксиметил) пропан-2-ил]амино] этансульфоновую кислоту (TES), 1,4-пиперазиндиэтансульфоновую кислоту (PIPES), диметиларсиновую кислоту, 2 -морфолин-4-илэтансульфоновую кислоту (MES), 3-морфолино-2-гидроксипропансульфоновую кислоту (MOPSO) или фосфатно-солевой буфер (PBS). Другими подходящими буферами могут быть уксусная кислота и ее соли, лимонная кислота и ее соли, борная кислота и ее соли и фосфорная кислота и ее соли.

В одном воплощении буфер представляет собой HEPES.

В одном воплощении буфер имеет концентрацию от около 2,5 мМ до около 15 мМ.

D. Хелатирующий агент

Некоторые воплощения настоящего изобретения предполагают применение хелатирующего агента. Хелатирующие агенты относятся к химическим соединениям, которые способны образовывать, по меньшей мере, две координационные ковалентные связи с ионом металла, тем самым формируя стабильный водорастворимый комплекс. Не желая быть связанными теорией, авторы изобретения полагают, что хелатирующие агенты снижают концентрацию свободных двухвалентных ионов, которые, в противном случае, могут вызвать ускоренную деградацию РНК. Примеры подходящих хелатирующих агентов включают, без ограничения указанными, этилендиаминтетрауксусную кислоту (EDTA), соль EDTA, десфериоксамин B, дефероксамин, дитиокарб натрия, пеницилламин, пентетат кальция, натриевую соль пентетиновой кислоты, сукцимер, триентин, нитрилотриуксусную кислоту, транс- диаминоциклогексантетрауксусную кислоту (DCTA), диэтилентриаминпентауксусную кислоту (DTPA), бис (аминоэтил) гликолэфир-N, N, N ', N'-тетрауксусную кислоту, иминодиуксусную кислоту, лимонную кислоту, винную кислоту, фумаровую кислоту или их соль. В некоторых воплощениях хелатирующий агент представляет собой EDTA или соль EDTA. В примерном воплощении хелатирующий агент представляет собой дигидрат динатрия EDTA.

В некоторых воплощениях EDTA имеет концентрацию от около 0,05 мМ до около 5 мМ.

E. Физическое состояние предложенных композиций

Композиция, согласно настоящему изобретению, представляет собой жидкость или твердое вещество. Неограничивающие примеры твердого вещества включают замороженную форму или лиофилизированную форму. В предпочтительном воплощении композиция представляет собой жидкость.

Предложенные фармацевтические композиции

Описанная в настоящей заявке РНК, например, в виде липоплексных частиц РНК, используется для приготовления фармацевтических композиций или лекарственных средств для терапевтического или профилактического лечения.

Композиции по настоящему изобретению можно вводить в любой фармацевтически приемлемой форме.

Термин «фармацевтическая композиция» относится к составу, содержащему терапевтически эффективный агент, предпочтительно, вместе с фармацевтически приемлемыми носителями, разбавителями и/или эксципиентами. Указанная фармацевтическая композиция пригодна для лечения, предотвращения или снижения тяжести заболевания или расстройства путем введения указанной фармацевтической композиции субъекту. Фармацевтическая композиция также известна в данной области как фармацевтический препарат. В контексте настоящего изоброетения фармацевтическая композиция включает РНК, описанную в настоящей заявке, например, приготовленную в виде липоплексных частиц РНК.

Фармацевтические композиции по настоящему изобретению, предпочтительно, содержат один или несколько адъювантов или могут вводиться с одним или несколькими адъювантами. Термин «адъювант» относится к соединению, которое продлевает, усиливает или ускоряет иммунный ответ. Адъюванты включают гетерогенную группу соединений, таких, как масляные эмульсии (например, адъюванты Фрейнда), минеральные соединения (такие, как квасцы), бактериальные продукты (такие, как токсин Bordetella pertussis) или иммуностимулирующие комплексы. Примеры адъювантов включают, без ограничения указанными, LPS, GP96, олигодезоксинуклеотиды CpG, факторы роста и цитокины, такие как монокины, лимфокины, интерлейкины, хемокины. Хемокины могут представлять собой IL-1, IL-2, IL-3, IL-4, IL-5, IL-6, IL-7, IL-8, IL-9, IL-10, IL-12, INFa, INF-γ, GM-CSF, LT-a. Другими известными адъювантами являются гидроксид алюминия, адъювант Фрейнда или масло, такое, как Montanide® ISA51. Другие подходящие адъюванты для применения в настоящем изобретении включают липопептиды, такие, как Pam3Cys.

Фармацевтические композиции, согласно настоящему изобретению, обычно применяют в «фармацевтически эффективном количестве» и в «фармацевтически приемлемом составе».

Термин «фармацевтически приемлемый» относится к нетоксичности материала, который не взаимодействует с активным компонентом фармацевтической композиции.

Термин «фармацевтически эффективное количество» относится к количеству, которое обеспечивает желаемую реакцию или желаемый эффект отдельно или вместе с дополнительными дозами. В случае лечения конкретного заболевания искомая реакция, предпочтительно, связана с ингибированием течения заболевания. Это включает замедление прогрессирования заболевания и, в частности, прекращение или реверсию прогрессирования заболевания. Искомой реакцией при лечении заболевания также может быть отсрочка начала или предотвращение наступления указанного заболевания или указанного состояния. Эффективное количество описанных в настоящей заявке композиций будет зависеть от состояния, подлежащего лечению, тяжести заболевания, индивидуальных параметров пациента, включая возраст, физиологическое состояние, размер и массу, продолжительность лечения, тип сопутствующей терапии (при наличии), конкретный способ введения и аналогичные факторы. Соответственно, вводимые дозы композиций, описанных в настоящей заявке, могут зависеть от множества таких параметров. В случае, когда реакция пациента недостаточна при исходной дозе, могут использоваться более высокие дозы (или эффективно более высокие дозы, достигнутые с помощью другого более точно локализованного пути введения).

В некоторых воплощениях эффективное количество включает количество, достаточное для уменьшения размеров опухоли/поражения. В некоторых воплощениях эффективное количество представляет собой количество, достаточное для уменьшения скорости роста опухоли (например, для подавления роста опухоли). В некоторых воплощениях эффективное количество представляет собой количество, достаточное для задержки развития опухоли. В некоторых воплощениях эффективное количество представляет собой количество, достаточное для предотвращения или задержки рецидива опухоли. В некоторых воплощениях эффективное количество представляет собой количество, достаточное для усиления иммунного ответа субъекта на опухоль, так что рост и/или размер опухоли и/или метастазирование редуцируются, задерживаются, уменьшаются и/или предотвращаются. Эффективное количество может применяться посредством одного или нескольких введений. В некоторых воплощениях введение эффективного количества (например, композиции, содержащей мРНК) может: (i) уменьшать количество злокачественных опухолевых клеток; (ii) уменьшать размер опухоли; (iii) подавлять, замедлять, до некоторой степени замедлять и останавливать инфильтрацию злокачественных опухолевых клеток в периферические органы; (iv) подавлять (например, до некоторой степени замедлять и/или блокировать или предотвращать) метастазирование; (v) подавлять рост опухоли; (vi) предотвращать или приводить к отсрочке возникновения опухоли и/или ее рецидивов; и/или (vii) облегчить до некоторой степени один или несколько симптомов, связанных с онкологическим заболеванием.

Фармацевтические композиции по настоящему изобретению могут содержать соли, буферы, консерванты и, возможно, другие терапевтические агенты. В одном воплощении фармацевтические композиции по настоящему изобретению содержат один или несколько фармацевтически приемлемых носителей, разбавителей и/или эксципиентов.

Подходящие консерванты для применения в фармацевтических композициях по настоящему изобретению включают, без ограничения указанными, хлорид бензалкония, хлорбутанол, парабен и тимеросал.

Используемый в настоящем описании термин «эксцепиент» относится к веществу, которое может присутствовать в фармацевтической композиции по настоящему изобретению, но не является активным ингредиентом. Примеры эксципиентов включают, без ограничения указанными, носители, связующие агенты, разбавители, смазывающие вещества, загустители, поверхностно-активные агенты, консерванты, стабилизаторы, эмульгаторы, буферы, ароматизаторы или красители.

Термин «разбавитель» относится к разбавляющему и/или разжижающему агенту. Кроме того, термин «разбавитель» включает любую одну или несколько жидкостей, жидких или твердых суспензий и/или смешанных сред. Примеры подходящих разбавителей включают этанол, глицерин и воду.

Термин «носитель» относится к компоненту, который может быть натуральным, синтетическим, органическим, неорганическим, в котором активный компонент объединен для облегчения, усиления или обеспечения возможности введения фармацевтической композиции. Используемый согласно настоящему изобретению носитель может быть одним или несколькими совместимыми твердыми или жидкими наполнителями, разбавителями или инкапсулирующими веществами, которые подходят для введения субъекту. Подходящий носитель включает, без ограничения указанными, стерильную воду, раствор Рингера, лактат Рингера, стерильный раствор хлорида натрия, изотонический солевой раствор, полиалкиленгликоли, гидрогенизированные нафталины и, в частности, биосовместимые полимеры лактида, сополимеры лактида/гликолида или сополимеры полиоксиэтилена/полиоксипропилена. В одном воплощении фармацевтическая композиция по настоящему изобретению включает изотонический физиологический раствор.

Фармацевтически приемлемые носители, наполнители или разбавители для терапевтического использования хорошо известны в фармацевтике и описаны, например, в Remington's Pharmaceutical Sciences, Mack Publishing Co. (А. R Gennaro edit. 1985).

Фармацевтические носители, эксципиенты или разбавители могут быть выбраны с учетом предполагаемого пути введения и стандартной фармацевтической практики.

Способы введения предложенных фармацевтических композиций

В одном воплощении описанные в настоящей заявке фармацевтические композиции можно вводить внутривенно, внутриартериально, подкожно, внутрикожно, внутрь узлов или внутримышечно. В некоторых воплощениях фармацевтическая композиция приготовлена для местного или системного введения. Системное введение может включать энтеральное введение, которое включает абсорбцию через желудочно-кишечный тракт, или парентеральное введение. Используемый в настоящем описании термин «парентеральное введение» относится к введению любым способом, отличным от желудочно-кишечного тракта, например, путем внутривенной инъекции. В предпочтительном воплощении фармацевтическая композиция приготовлена для системного введения. В другом предпочтительном воплощении системное введение осуществляется путем внутривенного введения.

Применение предложенных фармацевтических композиций

Описанная в настоящей заявке РНК, например, в виде липоплексных частиц РНК, может использоваться в терапевтическом или профилактическом лечении заболеваний, при которых предоставление субъекту аминокислотных последовательностей, кодируемых РНК, приводит к терапевтическому или профилактическому эффекту.

Термин «болезнь» («заболевание») относится к аномальному состоянию, которое влияет на организм индивидуума. Под заболеванием часто понимают заболевание, связанное с определенными симптомами и признаками. Заболевание может быть вызвано факторами из внешнего источника, например, инфекционное заболевание, или оно может быть вызвано внутренними дисфункциями, например, аутоиммунное заболевание. По отношению к людям термин «заболевание» часто используется в более широком смысле для обозначения любого состояния, которое вызывает боль, дисфункцию, дистресс, социальные проблемы или смерть человека, страдающего данным заболеванием, или аналогичные проблемы для тех, кто контактирует с этим индивидуумом. В указанном более широком смысле болезнь иногда включает травмы, инвалидность, расстройства, синдромы, инфекции, отдельные симптомы, девиантное поведение и атипичные вариации структуры и функции, в то время как в других контекстах и для других целей их можно рассматривать как отдельные категории. Болезни обычно поражают индивидуумов не только физически, но и эмоционально, поскольку приобретение заболевания и жизнь с многими заболеваниями могут изменить взгляд на жизнь и личность.

В контексте настоящего изобретения термины «лечение», «лечить» или «терапевтическое вмешательство» относятся к наблюдению и уходу за субъектом с целью борьбы с таким состоянием, как заболевание или расстройство. Термины включают полный спектр лечения состояния, от которого страдает субъект, где под лечением, например, подразумевается введение терапевтически эффективного соединения для облегчения симптомов или осложнений, для замедления прогрессирования заболевания, расстройства или состояния и/или для излечения или устранения заболевания, расстройства или состояния, а также для предотвращения состояния; при этом профилактика должна пониматься как наблюдение и уход за индивидуумом с целью борьбы с заболеванием, состоянием или расстройством и включает введение активных соединений для предотвращения появления симптомов или осложнений.

Термин «терапевтическое лечение» относится к любому лечению, которое улучшает состояние здоровья и/или продлевает (увеличивает) продолжительность жизни индивидуума. Указанное лечение может устранить заболевание у индивидуума, остановить или замедлить развитие заболевания у индивидуума, подавить или замедлить развитие заболевания у индивидуума, уменьшить частоту или тяжесть симптомов у индивидуума и/или уменьшить рецидивов у индивидуума, который в настоящее время имеет или ранее имел заболевание.

Термины «профилактическое лечение» или «превентивное лечение» относятся к любому лечению, которое предназначено для предотвращения возникновения заболевания у индивидуума. Термины «профилактическое лечение» или «превентивное лечение» используются в настоящем описании взаимозаменяемо.

Термины «индивидуум» и «субъект» используются в настоящем описании взаимозаменяемо. Они относятся к человеку или другому млекопитающему (например, мыши, крысе, кролику, собаке, кошке, корове, свинье, овце, лошади или примату), которые могут быть поражены или подвержены заболеванию или расстройству (например, онкологическому заболеванию), но могут иметь или не иметь заболевание или расстройство. Во многих воплощениях индивидуумом является человек. Если не указано иное, термины «индивидуум» и «субъект» не обозначают конкретный возраст и, таким образом, охватывают взрослых, пожилых, детей и новорожденных. В воплощениях настоящего изобретения «индивидуум» или «субъект» является «пациентом».

Термин «пациент» означает индивидуума или субъекта, подлежащего лечению, в частности, больного индивидуума или субъекта.

В одном воплощении настоящего изобретения задачей является обеспечение иммунного ответа против злокачественных опухолевых клеток, экспрессирующих один или несколько опухолевых антигенов, и лечение ракового заболевания с участием клеток, экспрессирующих один или несколько опухолевых антигенов. В одном из воплощений онкологическое заболевание представляет собой рак предстательной железы. В одном воплощении опухолевые антигены представляют собой KLK2, PSA, PAP, HOXB13 и/или NKX3-1.

Фармацевтическая композиция, содержащая РНК, может быть введена субъекту для того, чтобы вызвать иммунный ответ у субъекта против одного или нескольких антигенов или одного или нескольких эпитопов, кодируемых РНК, которые могут быть терапевтическими или частично или полностью протективными. Специалисту в данной области известно, что один из принципов иммунотерапии и вакцинации основан на том факте, что иммунопротекторная реакция на заболевание вызывается иммунизацией субъекта антигеном или эпитопом, который иммунологически релевантен болезни, которую нужно лечить. Соответственно, описанные в настоящей заявке фармацевтические композиции применимы для индукции или усиления иммунного ответа. Таким образом, описанные в здесь фармацевтические композиции полезны для профилактического и/или терапевтического лечения заболевания, связанного с антигеном или эпитопом, в частности рака предстательной железы.

Используемый в настоящем описании термин «иммунный ответ» относится к интегрированному ответу организма на антиген или клетку, экспрессирующую антиген, и относится к клеточному иммунному ответу и/или гуморальному иммунному ответу. Клеточный иммунный ответ включает, без ограничения указанным, клеточный ответ, направленный на клетки, экспрессирующие антиген, и характеризуется презентацией антигена с помощью молекул MHC класса I или класса II. Клеточный ответ относится к Т-лимфоцитам, которые можно классифицировать как Т-хелперы (также называемые Т-лимфоцитами CD4+), которые играют центральную роль, регулируя иммунный ответ, или клетки-киллеры (также называемые цитотоксическими Т-клетками, CD8+ Т-клетками или ЦТЛ), которые вызывают апоптоз в инфицированных клетках или злокачественных опухолевых клетках. В одном воплощении введение фармацевтической композиции по настоящему изобретению включает стимуляцию противоопухолевого CD8+ Т-клеточного ответа против злокачественных опухолевых клеток, экспрессирующих один или несколько опухолевых антигенов. В конкретном воплощении опухолевые антигены презентируются молекулами MHC класса I.

Настоящее изобретение предполагает иммунный ответ, который может быть протективным, превентивным, профилактическим и/или терапевтическим. Используемый в настоящем описании термин «индуцирует [или индуцирующий] иммунный ответ» может указывать на отсутствие иммунного ответа против конкретного антигена до индукции или может указывать на то, что до индукции существовал базовый уровень иммунного ответа против конкретного антигена, который был усилен после индукции. Следовательно, термин «индуцирует [или индуцирующий] иммунный ответ» охватывает понятие «усиливает [или усиливающий] иммунный ответ».

Термин «иммунотерапия» относится к лечению заболевания или состояния путем индукции или усиления иммунного ответа. Термин «иммунотерапия» включает иммунизацию антигеном или вакцинацию антигеном.

Термины «иммунизация» или «вакцинация» описывают процесс введения антигена индивидууму с целью индукции иммунного ответа, например, в терапевтических или профилактических целях.

В одном воплощении настоящее изобретение предусматривает введение липоплексных частиц РНК с нацеливанием на ткань селезенки. Как раскрыто в настоящем описании, РНК кодирует пептид или белок, содержащий антиген или эпитоп. РНК захватывается антигенпрезентирующими клетками селезенки, такими, как дендритные клетки, для экспрессии пептида или белка. После необязательного процессинга и презентации антигенпрезентирующими клетками может возникнуть иммунный ответ против антигена или эпитопа, приводящий к профилактическому и/или терапевтическому лечению заболевания с участием антигена или эпитопа. В одном воплощении иммунный ответ, индуцированный липоплексными частицами РНК, описанными в настоящей заявке, включает представление антигена или его фрагмента, такого, как эпитоп, антигенпрезентирующими клетками, такими, как дендритные клетки и/или макрофаги, и активацию цитотоксических Т-клеток вследствие презентации. Например, пептиды или белки, кодируемые РНК, или продукты их процессинга могут быть представлены молекулами главного комплекса гистосовместимости (MHC), экспрессируемыми на антигенпрезентирующих клетках. Затем пептидный комплекс MHC может распознаваться иммунными клетками, такими, как Т-клетки или В-клетки, что приводит к их активации.

Таким образом, в одном воплощении РНК, входящая в состав описанных в настоящей заявке липоплексных частиц, после введения доставляется в селезенку и/или экспрессируется в селезенке. В одном воплощении липоплексные частицы РНК доставляются в селезенку для активации селезеночных антигенпрезентирующих клеток. Таким образом, в одном воплощении после введения липоплексных частиц РНК происходит доставка РНК и/или экспрессия РНК в антигенпрезентирующих клетках. Антигенпрезентирующие клетки могут быть профессиональными антигенпрезентирующими клетками или непрофессиональными антигенпрезентирующими клетками. Профессиональные антигенпрезентирующие клетки могут быть дендритными клетками и/или макрофагами, даже более предпочтительно дендритными клетками селезенки и/или макрофагами селезенки.

Соответственно, настоящее изобретение относится к липоплексным частицам РНК или фармацевтической композиции, содержащей липоплексные частицы РНК, как раскрыто в настоящем описании, для индукции или усиления иммунного ответа, предпочтительно иммунного ответа против рака предстательной железы.

В одном воплощении системное введение липоплексных частиц РНК или фармацевтической композиции, содержащей липоплексные частицы РНК, как раскрыто в настоящем описании, приводит к нацеливанию и/или накоплению липоплексных частиц РНК в селезенке, а не в легких и/или печени. В одном воплощении липоплексные частицы РНК высвобождают РНК в селезенке и/или проникают в клетки селезенки. В одном воплощении системное введение липоплексных частиц РНК или фармацевтической композиции, содержащей такие частицы, как раскрыто в настоящем описании, доставляет РНК к антигенпрезентирующим клеткам в селезенке. В конкретном воплощении антигенпрезентирующие клетки в селезенке представляют собой дендритные клетки или макрофаги.

Термин «макрофаг» относится к подгруппе фагоцитарных клеток, образующихся при дифференцировке моноцитов. Макрофаги, которые активируются воспалением, неспецифически поглощают чужеродные патогены, иммунные цитокины или микробные продукты и уничтожают внутри патогены счет гидролитической и окислительной атаки, что приводит к их деградации. Пептиды из деградированных белков отображаются на поверхности клеток макрофагов, где они могут распознаваться Т-клетками, и напрямую взаимодействовать с антителами на поверхности В-клеток, что приводит к активации Т- и В-клеток и дальнейшей стимуляции иммунного ответа. Макрофаги относятся к классу антигенпрезентирующих клеток. В одном воплощении макрофаги представляют собой макрофаги селезенки.

Термин «дендритная клетка» (DC) относится к другому подтипу фагоцитарных клеток, принадлежащих к классу антигенпрезентирующих клеток. В одном воплощении дендритные клетки происходят из гематопоэтических клеток-предшественников костного мозга. Эти клетки-предшественники первоначально трансформируются в незрелые дендритные клетки. Эти незрелые клетки характеризуются высокой фагоцитарной активностью и низким потенциалом активации Т-клеток. Незрелые дендритные клетки постоянно проверяют окружающую среду на наличие патогенов, таких, как вирусы и бактерии. Как только они вступают в контакт с презентируемым антигеном, они активируются в зрелые дендритные клетки и начинают мигрировать в селезенку или лимфатический узел. Незрелые дендритные клетки фагоцитируют патогены и расщепляют их белки на мелкие кусочки, и после созревания представляют эти фрагменты на своей клеточной поверхности с помощью молекул MHC. Одновременно они активируют рецепторы на поверхности клетки, которые действуют как корецепторы при активации Т-клеток, такие, как CD80, CD86 и CD40, значительно повышая их способность активировать Т-клетки. Они также активируют CCR7, хемотаксический рецептор, который побуждает дендритные клетки перемещаться через кровоток в селезенку или через лимфатическую систему в лимфатический узел. Здесь они действуют как антигенпрезентирующие клетки и активируют Т-хелперы и Т-киллеры, а также В-клетки, представляя им антигены наряду с неантигенспецифическими костимулирующими сигналами. Таким образом, дендритные клетки могут активно индуцировать иммунный ответ, связанный с Т-клетками или В-клетками. В одном воплощении дендритные клетки представляют собой дендритные клетки селезенки.

Термин «антигенпрезентирующая клетка» (APC) означает клетку из множества клеток, способную отображать, приобретать и/или презентировать, по меньшей мере, один антиген или антигенный фрагмент на своей клеточной поверхности. Антигенпрезентирующие клетки подразделяются на профессиональные антигенпрезентирующие клетки и непрофессиональные антигенпрезентирующие клетки.

Термин «профессиональные антигенпрезентирующие клетки» относится к антигенпрезентирующим клеткам, которые конститутивно экспрессируют молекулы главного комплекса гистосовместимости класса II (МНС класса II), необходимые для взаимодействия с наивными Т-клетками. Если Т-клетка взаимодействует с комплексом молекул MHC класса II на мембране антигенпрезентирующей клетки, антигенпрезентирующая клетка продуцирует костимулирующую молекулу, вызывающую активацию Т-клетки. Профессиональные антигенпрезентирующие клетки включают дендритные клетки и макрофаги.

Термин «непрофессиональные антигенпрезентирующие клетки» относится к антигенпрезентирующим клеткам, которые не экспрессируют конститутивно молекулы MHC класса II, но делают это при стимуляции определенными цитокинами, таким, как интерферон-гамма. Примеры непрофессиональных антигенпрезентирующих клеток включают фибробласты, эпителиальные клетки тимуса, эпителиальные клетки щитовидной железы, глиальные клетки, бета-клетки поджелудочной железы или эндотелиальные клетки сосудов.

«Процессинг антигена» относится к расщеплению антигена на продукты переработки, которые являются фрагментами указанного антигена (например, к расщеплению белка на пептиды), и к ассоциации одного или нескольких из этих фрагментов (например, посредством связывания) с молекулами MHC для презентации их клетками, такими, как антигенпрезентирующие клетки, специфическим Т-клеткам.

Термин «заболевание с участием антигена» или «заболевание с участием эпитопа» относится к любому заболеванию, которое связано с антигеном или эпитопом, например заболевание, которое характеризуется наличием антигена или эпитопа. Заболевание, связанное с антигеном или эпитопом, может быть онкологическим заболеванием или просто злокачественной опухолью. Как упоминалось выше, антиген может быть ассоциированным с заболеванием антигеном, таким, как ассоциированный с опухолью антиген, и эпитоп может происходить от такого антигена.

Термины «онкологическое заболевание» («раковое заболевание») или «злокачественная опухоль» относятся или описывают физиологическое состояние индивидуума, которое обычно характеризуется нерегулируемым ростом клеток. Примеры онкологических заболеваний включают, без ограничения указанным, карциному, лимфому, бластому, саркому и лейкоз. Более конкретно, примеры таких видов онкологических заболеваний включают злокачественные опухоли кости, гемобластоз, рак легкого, рак печени, рак поджелудочной железы, рак кожи, рак головы или шеи, кожную или внутриглазную меланому, рак матки, рак яичников, рак прямой кишки, рак области анального канала, рак желудка, рак толстой кишки, рак молочной железы, рак предстательной железы, рак матки, рак половых и репродуктивных органов, болезнь Ходжкина, рак пищевода, рак тонкой кишки, рак эндокринной системы, рак щитовидной железы, рак паращитовидной железы, рак надпочечников, саркома мягких тканей, рак мочевого пузыря, рак почки, почечно-клеточный рак, рак почечной лоханки, новообразования центральной нервной системы (ЦНС), нейроэктодермальный рак, опухоли оси позвоночника, глиому, менингиому и аденому гипофиза. Одной конкретной формой онкологического заболевания, которую можно лечить с помощью раскрытых в настоящем описании композиций и способов, является рак предстательной железы. Термин «онкологическое заболевание» в соответствии с описанием также включает метастазы злокачественных опухолей.

Комбинированные стратегии лечения онкологических заболеваний могут быть желательными из-за результирующего синергетического эффекта, который может быть значительно сильнее, чем действие монотерапевтического подхода. В одном воплощении фармацевтическую композицию вводят с иммунотерапевтическим агентом. Используемый в настоящем описании термин «иммунотерапевтический агент» относится к любому агенту, который может участвовать в активации специфического иммунного ответа и/или иммунной(ых) эффекторной(ых) функции(ий). Настоящее изобретение предполагает применение антитела в качестве иммунотерапевтического агента. Не желая быть связанными теорией, авторы изобретения полагают, что антитела способны достигать терапевтического эффекта против злокачественных опухолевых клеток с помощью различных механизмов, включая индукцию апоптоза, блокирование компонентов путей передачи сигнала или ингибирование пролиферации опухолевых клеток. В некоторых воплощениях антитело представляет собой моноклональное антитело. Моноклональные антитела могут вызывать гибель клеток посредством антителозависимой клеточно-опосредованной цитотоксичности (ADCC) или связывать белки комплемента, приводя к прямой клеточной токсичности, известной как комплемент-зависимая цитотоксичность (CDC). Неограничивающие примеры противоопухолевых антител и потенциальных антител-мишеней (в скобках), которые могут использоваться в сочетании с настоящим изобретением, включают: абаговомаб (CA-125), абциксимаб (CD41), адекатумумаб (EpCAM), афутузумаб (CD20), алацизумаб пегол (VEGFR2), альтумомаб пентетат (CEA), аматуксимаб (MORAb-009), анатумомаб мафенатокс (TAG-72), аполизумаб (HLA-DR), арцитумомаб (CEA), атезолизумаб (PD-L1), бавитуксимаб (фосфатидилсерин), бектумомаб (CD22), белимумаб (BAFF), бевацизумаб (VEGF-A), биватузумаб мертансин (CD44 v6), блинатумомаб (CD 19), брентуксимаб ведотин (CD30 TNFRSF8), кантузумаб мертанзин (муцин CanAg), пендетид капромаба (клетки карциномы предстательной железы), карлумаб (CNT0888), катумаксомаб (EpCAM, CD3), цетуксимаб (EGFR), цитатузумаб богатокс (EpCAM), циксутумумаб (рецептор IGF-1), клаудиксимаб (клаудин), кливатузумаб тетраксетан (MUC1), конатумумаб (TRAIL-R2), дацетузумаб (CD40), далотузумаб (рецептор инсулиноподобного фактора роста I), деносумаб (RANKL), детумомаб (клетка В-лимфомы), дрозитумаб (DR5), экромексимаб (ганглиозид GD3), эдреколомаб (EpCAM), элотузумаб (SLAMF7), энаватузумаб (PDL192), энситуксимаб (NPC-1C), эпратузумаб (CD22), эртумаксомаб (HER2/neu, CD3), этарацизумаб (интегрин ανβ3), фарлетузумаб (рецептор фолиевой кислоты 1), FBTA05 (CD20), фиклатузумаб (SCH 900105), фигитумумаб (рецептор IGF-1), фланвотумаб (гликопротеин 75), фрезолимумаб (TGF-β), галиксимаб (CD80), ганитумаб (IGF-I), гемтузумаб озогамицин (CD33), гевокизумаб (IL-Ιβ), гирентуксимаб (карбоангидраза 9 (CA-IX)), глембатумумаб ведотин (GPNMB), ибритумомаб тиуксетан (CD20), икрукумаб (VEGFR-1), иговома (CA-125), индатуксимаб равтансин (SDC1), интетумумаб (CD51), инотузумаб озогамицин (CD22), ипилимумаб (CD 152), иратумумаб (CD30), лабетузумаб (CEA), лексатумумаб (TRAIL-R2), либивирумаб (поверхностный антиген гепатита B), линтузумаб (CD33), лорвотузумаб мертансин (CD56), лукатумумаб (CD40), лумиликсимаб (CD23), мапатумумаб (TRAIL-R1), матузумаб (EGFR), меполизумаб (IL-5), милатузумаб (CD74), митумомаб (ганглиозид GD3), могамулизумаб (CCR4), моксетумомаб пасудотокс (CD22), наколомаб тафенатокс (антиген C242), наптумомаб эстафенатокс (5T4), наматумаб (RON), некитумумаб (EGFR), ниволумаб (IgG4), офатумумаб (CD20), оларатумаб (PDGF-Ra), онартузумаб (человеческая киназа рецептора фактора роста гепатоцитов), опортузумаб монатокс (EpCAM), ореговомаб (CA-125), окселумаб (OX-40), панитумумаб (EGFR), патритумаб (HER3), пемтумома (MUC1), пертузума (HER2/neu), пинтумомаб (антиген аденокарциномы), притумумаб (виментин), ракотумомаб (N-гликолилнейраминовая кислота), радретумаб (дополнительный домен фибронектина-B), рафивирумаб (гликопротеин вируса бешенства), рамуцирумаб (VEGFR2), рилотумумаб (HGF), ритуксимаб (CD20), робатумумаб (рецептор IGF-1), самализумаб (CD200), мибротузумаб (FAP), милтуксимаб (IL-6), табалумаб (BAFF), такатузумаб тетраксетан (альфа-фетопротеин), таплитумомаб паптокс (CD 19), тенатумомаб (тенасцин C), тепротумумаб (CD221), тицилимумаб (CTLA-4), тигатузумаб (TRAIL -R2), TNX-650 (IL-13), тозитумомаб (CD20), трастузумаб (HER2/neu), TRBS07 (GD2), тремелимумаб (CTLA-4), тукотузумаб целмолейкин (EpCAM), ублитуксимаб (MS4A1), урелумаб (4-1 BB), волоциксимаб (интегрин α5β1), вотумумаб (опухолевый антиген CTAA 16.88), залутумумаб (EGFR) и занолимумаб (CD4).

В одном воплощении иммунотерапевтический агент представляет собой антагонист связывания оси PD-1. Антагонист связывания оси PD-1 включает, без ограничения указанными, антагонист связывания PD-1, антагонист связывания PD-L1 и антагонист связывания PD-L2. Альтернативные названия для «PD-1» включают CD279 и SLEB2. Альтернативные названия для «PD-L1» включают B7-H1, B7-4, CD274 и B7-H. Альтернативные названия для «PD-L2» включают B7-DC, Btdc и CD273. В некоторых воплощениях антагонист связывания PD-1 представляет собой молекулу, которая ингибирует связывание PD-1 с его партнерами по связыванию лиганда. В конкретном аспекте партнерами по связыванию лиганда PD-1 являются PD-L1 и/или PD-L2. В другом воплощении антагонист связывания PD-L1 представляет собой молекулу, которая ингибирует связывание PD-L1 с его партнерами по связыванию. В конкретном воплощении партнерами связывания PD-L1 являются PD-1 и/или B7-1. В другом воплощении антагонист связывания PD-L2 представляет собой молекулу, которая ингибирует связывание PD-L2 с его партнерами по связыванию. В конкретном воплощении партнером связывания PD-L2 является PD-1. Антагонист связывания PD-1 может представлять собой антитело, его антигенсвязывающий фрагмент, иммуноадгезин, гибридный белок или олигопептид. В некоторых воплощениях антагонист связывания PD-1 представляет собой антитело против PD-1 (например, человеческое антитело, гуманизированное антитело или химерное антитело). Примеры антитела против PD-1 включают, без ограничения указанным, MDX-1106 (ниволумаб, OPDIVO), Merck 3475 (MK-3475, пембролизумаб, KEYTRUDA), MEDI-0680 (AMP-514), PDR001, REGN2810, BGB- 108 и BGB-A317.

В одном воплощении антагонист связывания PD-1 представляет собой иммуноадгезин, который включает внеклеточную или связывающую PD-1 часть PD-L1 или PD-L2, слитую с константной областью. В одном воплощении антагонист связывания PD-1 представляет собой AMP-224 (также известный как B7-DCIg, представляет собой PD-L2-Fc), который представляет собой растворимый в слиянии рецептор, описанный в заявках WO2010/027827 и WO201 1/066342.

В одном из воплощений антагонист связывания PD-1 представляет собой анти-PD-L1 антитело, включая, без ограничения указанным, YW243.55.S70, MPDL3280A (атезолизумаб), MEDI4736 (дурвалумаб), MDX-1105 и MSB0010718C (авелумаб).

В одном воплощении иммунотерапевтический агент представляет собой антагонист связывания PD-1. В другом воплощении антагонист связывания PD-1 представляет собой анти-PD-L1 антитело. В типичном воплощении анти-PD-L1 антитело представляет собой атезолизумаб.

Ссылка на документы и исследования в настоящем описании не означает признание того, что любое из вышеизложенного относится к предшествующему уровню техники. Все утверждения относительно содержания этих документов основаны на информации, доступной заявителям, и не являются признанием корректного содержания этих документов.

Приведенные ниже сведения представлены для того, чтобы позволить специалисту в данной области техники создавать и использовать различные воплощения изобретения. Описание конкретных устройств, методов и приложений приводится только в качестве примеров. Различные модификации раскрытых в настоящем описании примеров будут очевидны для специалиста в данной области техники, и общие принципы, определенные в настоящей заявке, могут быть применены к другим примерам и приложениям, не выходя за рамки сущности и объема различных воплощений заявленного изобретения. Таким образом, различные воплощения не предназначены для ограничения изобретения раскрытыми и показанными примерами, но должны соответствовать объему, соответствующему формуле изобретения.

Примеры

Пример 1: Внутривенная вакцина для лечения рака предстательной железы

В настоящей заявке описывается вакцина второго поколения для внутривенного (в.в.) применения. Она состоит из РНК, нацеленных на пять антигенов, экспрессируемых при раке предстательной железы, которые по отдельности образуют комплекс с липосомами с образованием сывороточно-стабильных липоплексных РНК (РНК (LIP)). РНК (LIP) доставляет закодированные вакцинные антигены к антигенпрезентирующим клеткам (APC) в лимфоидных органах, что приводит к эффективной индукции антигенспецифических иммунных ответов.

Вакцина для внутривенного введения состоит из пяти различных готовых лекарственных форм на основе РНК, нацеленных на пять антигенов, связанных с раком предстательной железы. Эти формы представляют собой RBL038.1, RBL039.1, RBL040.1, RBL041.1 и RBL045.1. Каждая противораковая РНК-вакцина состоит из одной субстанции лекарственной РНК, которая кодирует антигены калликреин-2 (KLK2), калликреин-3 (KLK3, также известный, как простатоспецифический антиген (PSA)), кислую фосфатазу предстательной железы (ACPP, также известную, как простатическая кислая фосфатаза (PAP)), Homeobox B13 (HOXB13) и NK3 Homeobox 1 (NKX3-1), соответственно, которые были выбраны на основе их селективной экспрессии при раке предстательной железы.

Перед введением РНК будут преобразованы (восстановлены) в липоплексные РНК (РНК (LIP)).

Лекарственные формы на основе РНК для восстановления могут поставляться во флаконах, содержащих 1,1 мл соответствующей готовой лекарственной формы на основе РНК с концентрацией 0,25 мг/мл. Стерильный изотонический раствор NaCl (40 мл, 0,9%) в качестве основного разбавителя и липосомы (4,0 мл с концентрацией 1,4 мг/мл) могут быть доставлены в качестве вспомогательного вещества для восстановления.

Специальные материалы, такие как шприцы и канюли для восстановления, а также дополнительный изотонический физиологический раствор для дальнейшего разбавления РНК (LIP) могут поставляться в качестве клинических стандартных товаров.

Лекарственное вещество (лекарственная субстанция):

RBL038.1, бета-S-ARCA(D1)-hAg-Kozak-KLK2-GS-P2P16-GS-MITD-FI-A30L70

Кодируемый антиген: калликреин-2 человека (соответствующий идентификатор гена (HG19): uc002ptu.3, uc002ptv.3, uc002ptt.3, uc010ycl.2, uc010ycm.2, uc010yck.2, uc010eog.3)

RBL039.1, бета-S-ARCA (D1) -hAg-Kozak-KLK3-GS-P2P16-GS-MITD-FI-A30L70

Кодируемый антиген: человеческий простатоспецифический антиген, также известный как человеческий калликреин-3 (соответствующий идентификатор гена (HG19: uc002pts.1, uc002ptr.1, uc021uyi.1, uc010eof.1)

RBL040.1, бета-S-ARCA (D1) -hAg-Kozak-ACPP-GS-P2P16-GS-MITD-FI-A30L70

Кодируемый антиген: простатическая кислая фосфатаза человека, также известная как человеческая кислая фосфатаза предстательной железы (соответствующий идентификатор гена (HG19): uc003eop.4)

RBL041.1, бета-S-ARCA(D1)-hAg-Kozak-sec-GS-HOXB13-GS-P2P16-GS-MITD-FI-A30L70

Кодируемый антиген: человеческий HOMEOBOX B13 (соответствующий идентификатор гена (HG19): uc002ioa.3r)

RBL045.1, бета-S-ARCA (D1) -hAg-Kozak-sec-GS-NKX31-GS-P2P16-GS-MITD-FI-A30L70

Кодируемый антиген: NK3 homeobox 1 (соответствующий идентификатор гена (HG19): uc011kzx.2)

Активное начало в каждом лекарственном веществе представляет собой одноцепочечную мРНК с 5'-кэпом, которая транслируется в соответствующий белок при попадании в антигенпрезентирующие клетки (APC).

На фигуре 1 схематически представлена общая структура антигенкодирующих РНК, которая определяется соответствующей нуклеотидной последовательностью линеаризованной плазмидной ДНК, используемой в качестве матрицы для транскрипции РНК in vitro. В дополнение к последовательностям дикого типа или оптимизированным по кодонам последовательностям, кодирующим целевой белок, каждая РНК содержит общие структурные элементы, оптимизированные для обеспечения максимальной стабильности РНК и эффективности трансляции (5'-кэп, 5'-UTR, 3'-UTR, поли (A) хвост; см. ниже). Кроме того, sec (секреторный сигнальный пептид) и MITD (транспортный домен MHC класса I) сливаются с антигенкодирующими областями и транслируются как N- или C-концевая метка, соответственно. Было показано, что обе метки слияния улучшают процессинг и презентацию антигена в комплексах MHC класса I и MHC класса II. Для некоторых антигенов, как указано ниже, sec-метка слияния не требуется и, следовательно, опускается. Бета-S-ARCA (D1) (фигура 2) используется в качестве специфической кэпирующей структуры на 5'-конце лекарственных веществ на основе РНК.

Общие элементы последовательности мРНК, как показано на фигуре 1, приведены ниже.

KLK2, PSA (KLK3), PAP (ACPP), HOXB13 и NKX3-1: оптимизированные по кодонам последовательности, кодирующие соответствующие целевые белки.

hAg-Kozak: 5'-UTR-последовательность мРНК альфа-глобина человека с оптимизированной «последовательностью Козака» для повышения эффективности трансляции.

sec/MITD: белковые метки слияния, полученные из последовательности, кодирующей комплекс MHC класса I человека (HLA-B51, гаплотип A2, B27/B51, Cw2/Cw3), которые, как было показано, улучшают процессинг и презентацию антигена. Sec соответствует фрагменту длиной 78 п.н., кодирующему секреторный сигнальный пептид, который направляет транслокацию растущей полипептидной цепи в эндоплазматический ретикулум. MITD соответствует трансмембранному и цитоплазматическому домену молекулы MHC класса I, также называемому доменом доставки MHC класса I. Обратите внимание, что каждый из KLK2, PSA (KLK3) и PAP (ACPP) имеет свой собственный секреторный сигнальный пептид. Соответственно, к этим антигенам не добавляли вторую метку слияния.

GS/Линкер: последовательности, кодирующие короткие линкерные пептиды, преимущественно состоящие из аминокислот глицина (G) и серина (S), которые обычно используются для гибридных белков.

P2P16: последовательность, кодирующая хелперные эпитопы, полученные из столбнячного анатоксина, для нарушения иммунологической толерантности.

Элемент FI: 3’-UTR представляет собой комбинацию двух элементов последовательности, полученных из мРНК «аминоконцевого энхансера расщепления» (AES) (называемого F) и кодируемого митохондриальной 12S рибосомной РНК (называемой I). Они были идентифицированы процессом отбора ex vivo для последовательностей, которые придают стабильность РНК и увеличивают экспрессию общего белка.

A30L70: поли (A) -хвост длиной 110 нуклеотидов, состоящий из отрезка из 30 остатков аденозина, за которым следует 10-нуклеотидная линкерная последовательность и еще 70 остатков аденозина, предназначенные для повышения стабильности РНК и эффективности трансляции в дендритных клетках.

Полные нуклеотидные последовательности лекарственных субстанций на основе пяти РНК, RBL038.1, RBL039.1, RBL040.1, RBL041.1 и RBL045.1 приведены ниже:

Нуклеотидная последовательность RBL038.1.

Нуклеотидная последовательность показана с отдельными элементами последовательности, указанными жирным шрифтом. Кроме того, последовательность транслированного белка показана курсивом под кодирующей нуклеотидной последовательностью (* = стоп-кодон).

Нуклеотидная последовательность RBL039.1.

Нуклеотидная последовательность показана с отдельными элементами последовательности, указанными жирным шрифтом. Кроме того, последовательность транслированного белка показана курсивом под кодирующей нуклеотидной последовательностью (* = стоп-кодон).

Нуклеотидная последовательность RBL040.1.

Нуклеотидная последовательность показана с отдельными элементами последовательности, указанными жирным шрифтом. Кроме того, последовательность транслированного белка показана курсивом под кодирующей нуклеотидной последовательностью (* = стоп-кодон).

Нуклеотидная последовательность RBL041.1.

Нуклеотидная последовательность показана с отдельными элементами последовательности, указанными жирным шрифтом. Кроме того, последовательность транслированного белка показана курсивом под кодирующей нуклеотидной последовательностью (* = стоп-кодон).

Нуклеотидная последовательность RBL045.1.

Нуклеотидная последовательность показана с отдельными элементами последовательности, указанными жирным шрифтом. Кроме того, последовательность транслированного белка показана курсивом под кодирующей нуклеотидной последовательностью (* = стоп-кодон).

Индивидуальные плазмидные ДНК для получения RBL038.1 (pST4-hAg-Kozak-KLK2-GS-P2P16-GS-MITD-FI-A30L70), RBL039.1 (pST4-hAg-Kozak-KLK3-GS-P2P16-GS -MITD-FI-A30L70), RBL040.1 (pST4-hAg-Kozak-ACPP-GS-P2P16-GS-MITD-FI-A30L70), RBL041.1 (pST4-hAg-Kozak-sec-GS-HOXB13-GS -P2P16-GS-MITD-FI-A30L70) и RBL045.1 (pST4-hAg-Kozak-sec-GS-NKX3-1-GS-P2P16-GS-MITD-FI-A30L70) были созданы с использованием комбинации генного синтеза и технологии рекомбинантной ДНК. В дополнение к последовательности, кодирующей транскрибируемые области, плазмидные ДНК содержат промотор для РНК-полимеразы Т7, последовательность распознавания для эндонуклеазы класса II, используемой для линеаризации, ген устойчивости к канамицину и точку начала репликации (ori).

Плазмидная ДНК pST4-hAg-Kozak-sec-GS-SIINFEKL-GS-Ova-GS-P2P16-GS-MITD-FI-A30L70 служила отправной точкой для создания ДНК-матриц для RBL038.1, RBL039.1, RBL040.1, RBL041.1 и RBL045.1.

Векторные карты показаны на фигурах с 3 по 7.

Кольцевую плазмидную ДНК линеаризуют с помощью подходящего рестрикционного фермента, чтобы получить исходный материал для транскрипции РНК. Здесь был выбран фермент Eam1104I (Thermo Fisher Scientific Baltics UAB, Вильнюс, Литва), поскольку линеаризация такой рестриктазой класса IIs обеспечивает транскрипцию РНК, кодирующих «свободный» оли (A) -хвост, т.е. 3'-конец. Можно продемонстрировать, что это дает более высокую экспрессию белка.

Продукт РНК (LIP) может быть получен с помощью двухстадийной процедуры, включающей (i) разбавление концентрата РНК раствором NaCl и (ii) образование липоплекса РНК путем добавления липосом. Для приготовления РНК (LIP) липосомы могут быть добавлены к разбавленной РНК. В качестве липидов можно использовать синтетический катионный липид DOTMA и встречающийся в природе фосфолипид DOPE. Продукт для внутривенной инъекции представляет собой состав с фармацевтическими и физиологическими характеристиками, которые позволяют избирательно нацеливать РНК на APC, которые в основном находятся в селезенке. Липоплексы РНК образуются сначала путем конденсации РНК с подходящей ионной средой и последующей инкубации с положительно заряженными липосомами.

Для конденсации РНК применяли различные одновалентные и двухвалентные ионы, пептиды и буферы в различных концентрациях. Одновалентные ионы, такие как натрий и аммоний, были протестированы в концентрациях до 1,5 М. Двухвалентные ионы, в частности Ca2+, Mg2+, Zn2 + и Fe2+, были протестированы в концентрациях до 50 мМ. Кроме того, были протестированы различные коммерчески доступные буферные растворы.

Для образования РНК-(LIP) липосомы, содержащие катионный липид и различные колипиды, были тщательно протестированы. Были исследованы липосомы, которые различаются по заряду, фазовому состоянию, размеру, ламеллярности и функционализации поверхности. Были рассмотрены только липидные компоненты, доступные в классе GMP, которые ранее были протестированы в клинических испытаниях или которые используются для одобренных продуктов на рынке (фигура 8).

Используя описанные выше липосомные компоненты, РНК-липоплексы были собраны с различным соотношением «катионный липид: РНК» и различным соотношением зарядов, причем соотношение зарядов рассчитывалось из числа положительных зарядов липидов и отрицательных зарядов нуклеотидов РНК, т.е. фосфатных групп РНК. В частности, расчет коэффициента заряда был выполнен следующим образом.

Предполагалось, что РНК состоит из нуклеотидов со средней молярной массой 330 Да, каждый из которых несет фосфатную группу с одним отрицательным зарядом. Следовательно, на раствор РНК с концентрацией 1 мг/мл приходится примерно 3 мМ отрицательных зарядов. С другой стороны, учитывался один положительный заряд на одновалентный катионный липид. Например, катионный липид DOTMA имеет молярную массу 670 Да, липосомы с концентрацией DOTMA 2 мг/мл были отнесены к концентрации положительных зарядов 3 мМ. Поэтому в данном случае соотношение зарядов (+: -) было принято равным 1: 1. Концентрация незаряженных колипидов, которые в большинстве случаев присутствовали, не влияет на этот расчет.

Химические и физико-химические свойства липосом и РНК-липоплексов, созданных на их основе (т.е. в отношении химического состава, размера частиц, дзета-потенциала), были тщательно исследованы. Для регулярного контроля качества продукта химический состав определяли с помощью анализа ВЭЖХ, а размер частиц измеряли с помощью фотонной корреляционной спектроскопии (PCS). Также дзета-потенциал измеряли с помощью PCS. Кроме того, в процессе разработки рецептуры применялись электронная микроскопия, малоугловое рассеяние рентгеновских лучей (SAXS), калориметрия, фракционирование в потоке при наличии поля, аналитическое ультрацентрифугирование и спектроскопические методы. С помощью этой процедуры были определены оптимизированные составы для дальнейшей фармацевтической разработки.

Подходящие липосомные композиции были протестированы in vitro и in vivo. Чтобы оптимизировать нацеливание на APC, в основном находящиеся в селезенке, in vivo наблюдали экспрессию люциферазы как репортерного гена. Можно было показать, что коллоидно-стабильные липоплексные композиции в виде наночастиц с дискретными размерами частиц могут быть сформированы при подходящих соотношениях зарядов (избыток отрицательного или положительного заряда). Кроме того, in vivo было показано, что отрицательно заряженные составы липоплексных РНК с люциферазой и демонстрируют высокую селективность в отношении селезенки, которая служит резервуаром для профессиональных APC. Путем изменения соотношения зарядов селективность экспрессии люциферазы в селезенке может быть отрегулирована по желанию, как показано на фигуре 9, где отображается избирательность РНК-липоплексов из одних и тех же липосом с разными соотношениями смешивания катионных липидов и РНК. Наблюдение, что отрицательно заряженные липоплексы нацелены на APC селезенки, может быть подтверждено для большого количества липидных композиций. Липосомы, состоящие из катионного липида DOTMA и вспомогательного фосфолипида DOPE, были идентифицированы как наиболее подходящие с точки зрения характеристик частиц для образования подходящих липоплексных РНК для нацеливания на APC селезенки. Оптимизированная селективность и эффективность нацеливания на селезенку наблюдаются при небольшом избытке отрицательного заряда, образованного избытком РНК. Липоплексные РНК, которые были немного более положительно заряжены и демонстрировали сопоставимую эффективность, не подходили для разработки фармацевтического продукта, поскольку они были слишком нестабильны в коллоидном отношении и в этих условиях существовал высокий риск агрегации и осаждения.

Кроме того, можно было показать, что для данной РНК биологическая активность составов возрастала с увеличением размера частиц РНК-липоплексов. Более конкретно, можно показать, что РНК-липоплексы, образованные из более крупных липосом (например, примерно 400 нм), сами по себе были больше, чем липоплексы, полученные из меньших липосом (например, прибл. 200 нм), и проявляли более высокую биологическую активность (фигура 10). Следовательно, для образования РНК-(LIP) предпочтительно использовать липосомы размером более 200 нм.

На основе результатов, описанных выше, был разработан надежный и воспроизводимый протокол для подготовки РНК-(LIP). Используя указанные компоненты и определенный протокол приготовления, РНК-липоплексы образуются путем самосборки с заданными физико-химическими характеристиками и биологической активностью. В качестве примера на фигуре 11 приведены размеры лдипоплексных частиц РНК из различных независимых составов. Ограниченный разброс размеров полученных липоплексных частиц РНК демонстрирует надежность процедуры восстановления.

Чтобы определить пределы и надежность приготовления РНК-(LIP), размеры частиц измеряли для различных соотношений зарядов от 1,0: 2,0 до 1,9: 2,0 (соотношения смешивания между катионным липидом и нуклеотидами). На фигуре 12 показаны результаты измерений размера РНК-липоплексов после смешивания липосом с РНК в различных соотношениях. Размер частиц измеряли в разные моменты времени после получения РНК (LIP). Для соотношений от 1,0: 2,0 до 1,6: 2,0 получают частицы сравнимого размера, которые стабильны во времени. Для соотношений 1,7: 2,0 и выше размер частиц РНК-липоплексов увеличивается как вначале, так и со временем. Этот результат наиболее выражен через 24 часа.

На основании этих данных, отношения зарядов от 1,0: 2,0 до 1,6: 2,0 были сочтены подходящими для получения приемлемых характеристик частиц для продуктов РНК-липоплексных продуктов. При более высоких соотношениях (1,7: 2,0 и выше) размер частиц увеличивался, что потенциально могло привести к ухудшению качества продукта. В отношении более низких соотношений зарядов изменений в характеристиках частиц не наблюдалось, однако более низкие отношения не рассматривались из-за потенциально более низкой активности в этом диапазоне (данные не показаны). Эксперимент был повторен для диапазона от 1,1: 2,0 до 1,6: 2,0, и в дополнение к измерениям размера (фигура 13A) была исследована биологическая активность (фигура 13B). В соответствии с предыдущими экспериментами размеры частиц были практически постоянными. То же самое верно и для биологической активности (экспрессия люциферазы). Подводя итог, можно сказать, что РНК-липоплексы всех протестированных соотношений зарядов доставили РНК к APC без значительных изменений физико-химических свойств или биологических характеристик. Таким образом, считается, что диапазон от 1,1: 2,0 до 1,6: 2,0 приводит к получению РНК-липоплексов эквивалентного качества.

Пример 2: Неклинические данные

В этом примере рассматриваются доклинические исследования, которые были проведены для выяснения механизма действия, фармакодинамики, противоопухолевой активности, фармакокинетики и потенциальной токсичности РНК-(LIP) вакцины. Основные выводы приведены в таблице 1.

В первой части этого раздела дается краткий обзор научных основ и подготовительной работы для разработки самой платформы вакцины (Раздел 1), а также краткий обзор целевых характеристик мишеней W_pro1.

В следующем разделе описаны исследования первичной фармакодинамики РНК-(LIP), а именно индукции антигенспецифических Т-клеток in vivo и противоопухолевой активности вакцинации РНК-(LIP) (Раздел 2).

В исследованиях вторичной фармакодинамики представлены результаты тестирования индукции провоспалительных цитокинов, опосредованной РНК-(LIP) (Раздел 3). Не-GLP исследование фармакодинамики на яванских макаках было проведено для уточнения данных кинетики цитокинов, а также гематологических изменений, которые наблюдались у мышей. В этом разделе также обобщены исследования in vitro, в которых анализируется секреция цитокинов клетками крови человека и яванского макака после инкубации с составами РНК-(LIP).

Исследования фармакологической безопасности для дыхательной и неврологической систем кратко изложены в Разделе 4.

Краткие обзоры биораспределения, фармакокинетики и метаболизма in vivo приведены в Разделе 5.

GLP-совместимые исследования токсичности многократных доз, включающие исследования иммунотоксичности, представлены и обсуждаются в Разделе 6.

Таблица 1. Сводка основных фармакологических и токсикологических характеристик РНК-(LIP) вакцин

Категория Признаки Класс лекарственного средства Комплексные липосомные мРНК, кодирующие специфические антигены рака предстательной железы.
Транскрипция in vitro Т7-полимеразой с использованием ДНК-матриц.
Оценка партии с помощью трансляции in vitro (анализ активности).
Для внутривенной инъекции пациентам с раком предстательной железы для неоадъювантной химиотерапии первичной опухоли с последующей интервальной хирургией.
Ведущая структура Ведущие структуры РНК, нацеленные на антигены рака предстательной железы, оптимизированы по кодонам и содержат стабилизирующие нетранслируемые последовательности и модифицированный аналог кэпа для повышения стабильности и способности к трансляции. Более того, все ведущие структуры состоят из полноразмерной мРНК с элементами последовательности, повышающими стабильность и трансляционную способность, и в большинстве случаев фланкированы 5'- и 3'-концами, кодирующими секреторные и трансмембранные домены, усиливающие процессинг и презентацию белка. Кроме того, производные столбнячного анатоксина хелперные эпитопы P2 и P16 сливаются в рамке считывания с антигенами-мишенями. Способ действия Липоплексный состав защищает РНК от разрушения, опосредованного РНКазой, что делает возможным внутривенное введение.
Селективное поглощение внутривенно введенной и циркулирующей РНК-(LIP) профессиональными APC в лимфатическом компартменте, в частности резидентными APC в селезенке.
Трансляция антигенов, кодируемых РНК, и процессинг антигенов в пептидные эпитопы.
Индукция антигенспецифических Т-лимфоцитов путем презентации кодируемых РНК эпитопов в виде пептидов, образующих комплекс с молекулой MHC, на поверхности профессиональных APC в контексте костимулирующих сигналов.
Активация и размножение опухолеспецифических Т-клеток.
Передача сигналов мРНК через связывание с TLR и TLR-опосредованные иммуномодулирующие эффекты, ведущие к клеточной активации и индукции провоспалительных цитокинов (например, IFN-α, IFN-γ, IP-10, TNF-α, IL-6 и IL -10) усиливает эффект вакцины.
Противоопухолевая активность на моделях опухолей животных Уничтожение in vivo клеток-мишеней, активированных антигеном.
Ингибирование скорости роста опухоли и уничтожение крупных образовавшихся опухолей после заражения опухолью SC на моделях быстрорастущих сингенных опухолей мышей.
Увеличение средней продолжительности жизни животных, несущих опухоль.
Соответствующие виды животных Мыши считаются подходящим видом для измерения биологической активности и иммунологических эффектов, возникающих в результате применения вакцин, полученных на основе платформы вакцины РНК-(LIP). Нежелательные побочные реакции из-за ожидаемой иммуноактивации через TLR и последующей индукции провоспалительных цитокинов также можно оценить у мышей, но их необходимо дополнить данными in vitro человека, поскольку экспрессия TLR различается у мышей и людей. Не существует релевантных видов животных, которые могли бы адекватно улавливать потенциальные вредные эффекты, вызванные потенциально аутореактивными или перекрестно-реактивными Т-клеточными ответами, индуцированными вакциной, с учетом различий в MHC при использовании последовательностей человеческого антигена у мышей. Фармакокинетика Быстрая деградация РНК в крови (период полувыведения около 5 минут) и органах в течение 48 часов. Временное присутствие РНК в селезенке и печени.
Остатки матричной ДНК не накапливаются и не сохраняются в гонадах.
Временное накопление DOTMA в селезенке и печени после повторного нанесения РНК (LIP). DOTMA выводится из органов с примерным периодом полувыведения порядка 6-7 недель.
Фармакологические исследования безопасности В исследованиях фармакологии безопасности (центральная нервная система (ЦНС) и дыхательная система) у мышей побочных эффектов не наблюдалось.
Безопасность сердечно-сосудистой системы, о чем свидетельствуют подтверждающие данные фармакологического не-GLP исследования на яванских макаках.
Токсикология Внутривенное введение множественной РНК (LIP) очень хорошо переносилось мышами, как показано для ряда ведущих структур мРНК, оцененных в трех различных исследованиях токсичности повторяющихся доз (LPT № 28864, 30283 и 30586).
Считается, что легкая и преходящая лимфопения соответствует индуцированной TLR индукции цитокинов - предполагаемому фармакологическому эффекту.

Раздел 1: Научная основа

Особенности последовательности, улучшающие трансляцию РНК и внутриклеточную стабильность

Платформа РНК-вакцины была разработана и систематически оптимизировалась в течение двух десятилетий для обеспечения безопасности и эффективной индукции антигенспецифических CD8+ и CD4+ Т-клеточных ответов против кодируемых антигенов.

Как указано выше, активный компонент (лекарственное вещество) представляет собой однонитевую, кэпированную информационную РНК (мРНК), которая транслируется в белковый антиген при попадании в антигенпрезентирующие клетки. Формат мРНК-вакцины фармакологически оптимизирован (таблица 2) за счет (i) модифицированного аналога кэпа для стабилизации трансляционно активной РНК, (ii) оптимизированных 5'- и 3'-UTR для повышения стабильности и трансляции РНК, (iii) сигнального пептида и последовательности MITD, которые улучшают процессинг антигена молекулами MHC классов I и II, (iv) хелперных эпитопов, полученных из столбнячного анатоксина, для нарушения иммунологической толерантности путем предоставления неспецифической помощи CD4+ Т-лимфоцитам, и (v) удлиненного поли (A ) tail, который дополнительно увеличивает стабильность РНК и эффективность трансляции.

Таблица 2. Структурные элементы РНК для иммунофармакологической оптимизации

Признак Эффект Оптимизированный аналог кэпа Стабилизирует и увеличивает количество трансляционной активной РНК 5'-UTR, 3'-UTR Некодирующие последовательности, повышающие стабильность и эффективность трансляции РНК Сигнальный пептид, последовательность MITD Улучшает процессинг антигена молекулами MHC класса I и класса II Хэлперные эпитопы столбнячного анатоксина Оказывают помощь CD4+ Т-лимфоцитам, неспецифическим к опухолевым антигенам Удлиненный свободный конец поли (А) хвоста Некодирующая последовательность, повышающая стабильность РНК и эффективность трансляции

Нацеливание антигенкодирующей РНК на лимфоидно-резидентные антигенпрезентирующие клетки

Для системной доставки РНК к дендритным клеткам каждый отдельный лекарственный продукт РНК W_pro1 приготавливается для формирования РНК-липоплексов (РНК-LIP), которые можно вводить внутривенно. Состав РНК-(LIP) был разработан для защиты РНК от деградации РНКазами плазмы и оптимизирован для селективной доставки приготовленных DPs РНК в антигенпрезентирующие клетки (APC), преимущественно расположенные в селезенке (фигура 14) и других лимфатических органах, где было показано избирательное поглощение РНК дендритными клетками и макрофагами (фигура 15).

Как только РНК-липоплексы захватываются APC в селезенке, мРНК экспрессируется, процессируется и представляется посредством молекул MHC. Это приводит к мощной индукции антигенспецифических CD8+ и CD4+ Т-клеточных ответов и Т-клеточной памяти, которая дополнительно поддерживается иммуностимулирующей средой в селезенке, индуцированной TLR-сигналами, опосредованными РНК (LIP).

Индукция антигенспецифических Т-клеточных ответов

Чтобы изучить эффективность иммунизации РНК-(LIP) и изучить способность РНК-(LIP) нарушать толерантность к эндогенно экспрессируемым антигенам, мышей BALB/c иммунизировали РНК-(LIP), кодирующей эпитоп AH5 вируса лейкоза мышей (muLV), полученный из белка gp70. Повторная иммунизация AH5-РНК-(LIP) приводила к значительному увеличению gp70-специфических CD8+ Т-клеток (фигура 16A). CD8+ T-клетки, индуцированные вакцинацией, были способны лизировать мишени in vivo антигенспецифическим образом (фигура 16B), что означает, что функциональные антигенспецифические CD8+ T-клетки с литической способностью могут быть индуцированы посредством иммунизации РНК- (LIP).

Индукция процессов клеточной активации

мРНК является лигандом для человеческих Toll-подобных рецепторов (TLR) и, таким образом, способна вызывать иммуномодулирующие эффекты. При поглощении клетками транскрибированной (IVT)-РНК in vitro распознавание TLR происходит в эндосомных компартментах, где эти рецепторы в основном локализованы. Это инициирует каскады сигнальных событий, которые в конечном итоге приводят к активации и созреванию DC, как было показано созреванием DC селезенки после внутривенного введения РНК-(LIP) вакцины мышам. Дальнейшими последствиями этих иммуномодулирующих эффектов являются последующая активация T, B, NK-клеток и макрофагов селезенки и обратимая индукция провоспалительных цитокинов.

Наиболее важно то, что инъекция модельной РНК-(LIP), кодирующей гемагглютинин HA гриппа, показала сильную индукцию IFN-α у мышей (фигура 17A), которая, как было показано, происходила из селезенки у мышей после спленэктомии (фигура 17B). Примечательно, что индукция IFN-α была показана только для РНК-(LIP), тогда как липосомы сами по себе не приводили к индукции IFN-α у мышей.

Временная активация клеток и цитокины, наблюдаемые у мышей, обработанных РНК- (LIP) вакцинами, согласуются с выводами о том, что РНК-вакцины могут связываться с TLR и запускать их. Также было показано, что РНК в виде частиц, а также РНК в водных растворах способны активировать TLR. Было показано, что активация TLR вызывает лимфопению, что приводит к интерферонзависимой рециркуляции лейкоцитов. В соответствии с этим, активация дендритных клеток, а также других популяций клеток селезенки была сильно затруднена у мышей TLR7 -/- или IFNAR -/-. Соответственно, исследования на мышах IFNAR -/-, к которым применяли РНК-(LIP), действительно показали, что временные гематологические изменения, наблюдаемые после внутривенного введения, в первую очередь опосредуются последующими эффектами IFN-α.

Полученные из столбнячного анатоксина P2P16 хелперные эпитопы в составе W_pro1

Каждый препарат DP РНК W_pro1 содержит так называемые аминокислотные последовательности P2P16, полученные из столбнячного анатоксина (ТТ) Clostridium tetani. Эти последовательности поддерживают преодоление механизмов самотолерантности для эффективной индукции иммунных ответов на аутоантигены путем оказания помощи Т-клеткам, неспецифическим для опухоли во время примирования.

Тяжелая цепь столбнячного анатоксина включает эпитопы, которые могут случайным образом связываться с аллелями MHC класса II и индуцировать CD4+ Т-клетки памяти почти у всех вакцинированных против столбняка людей. Кроме того, известно, что комбинация эпитопов-помощников ТТ с опухоль-ассоциированными антигенами улучшает иммунную стимуляцию по сравнению с применением только ассоциированного с опухолью антигена, обеспечивая опосредованную CD4+ Т-клетками помощь во время прайминга. Чтобы снизить риск стимуляции CD8+ Т-клеток, были выбраны две пептидные последовательности, которые, как известно, содержат случайным образом связывающиеся хелперные эпитопы, чтобы гарантировать связывание с максимально возможным количеством аллелей MHC класса II. На основании данных приведенных выше исследований ex vivo были отобраны хорошо известные эпитопы P2 (QYIKANSKFIGITEL; TT830-844) и P16 (MTNSVDDALINSTKIYSYFPSVISKVNQGAQG; TT578-609).

Фармакология

Механизм действия вакцины РНК-(LIP) основан на (i) привлечении антигенспецифических Т-лимфоцитов после презентации пептидов, полученных из РНК-кодируемых антигенов, профессиональными APC, и (ii) TLR-опосредованных иммуномодулирующих эффектах, которые приводят к клеточной активации и индукции провоспалительных цитокинов, таких как интерфероны I типа, тем самым усиливая эффекты вакцинации.

В разделе 2 сообщается об активации и размножении целевых антигенспецифических Т-клеток при иммунизации РНК, кодирующей антигены злокачественных опухолей, и противоопухолевых эффектах вакцинации антигенной РНК-(LIP).

Были проведены обширные исследования in vitro и in vivo для изучения потенциальных вторичных эффектов введения РНК-(LIP) вакцин, таких, как индукция провоспалительных цитокинов и гематологические изменения, которые вызваны предполагаемым иммуномодулирующим эффектом РНК-(LIP).

В разделе 3 обсуждается ряд исследований, которые оценивают степень клеточной активации клеток периферической крови человека (PBMC) и клеток крови в цельной гепаринизированной крови. Кроме того, показана степень индуцированной вакцинацией индукции цитокинов и гематологические изменения у яванских макак, которых обрабатывали дозами, превышающими наивысшую предполагаемую клиническую дозу для людей. Наконец, были проведены параллельные сравнения индукции цитокинов in vitro в образцах крови от людей-доноров и яванских макак, и данные, полученные в этих исследованиях, были использованы для поддержки определения безопасной начальной дозы для продолжающегося клинического исследования злокачественной меланомы (Lipo-MERIT) и других испытаний, посвященных иммунотерапии РНК-(LIP).

Обзор доклинических исследований с использованием клеток крови человека, мышей и яванских макак в качестве тест-систем для оценки вторичной фармакодинамики РНК- (LIP) приведен в разделе 3.

Ожидается, что обнаруженные вторичные фармакодинамические эффекты, наблюдаемые для РНК в составе липосом, не зависят от последовательности и что представленные исследования, следовательно, также применимы для других используемых готовых лекарственных форм на основе РНК.

Резюме основных выводов Исследования in vitro и in vivo были проведены для изучения механизма действия РНК- (LIP) вакцин.
Ведущие структуры антигенкодирующей РНК RBL038.1, RBL039.1, RBL040.1, RBL041.1 и RBL045.1 индуцировали антигенспецифические Т-клеточные ответы in vivo у мышей, экспрессирующих молекулы HLA человека. Более того, с использованием мышиных модельных антигенов противоопухолевые эффекты вакцинации РНК-(LIP) были показаны в исследованиях профилактической и терапевтической иммунизации на моделях опухолей мышей in vivo.
Кроме того, были проанализированы независимые от последовательности фармакологические эффекты вакцинации РНК-(LIP). РНК-(LIP) вакцины индуцировали временную активацию антигенпрезентирующих клеток, приводящую к последующей индукции воспалительных цитокинов, таких как IFN-α, IFN-γ, IL-6 и IP-10. Было показано, что секреция цитокинов, включая IFN-α, происходит из клеток селезенки и опосредуется передачей сигналов TLR7 после обработки РНК-(LIP), которая сопровождается временными и полностью обратимыми гематологическими изменениями. Примечательно, что индукция цитокинов, опосредованная РНК-(LIP), и последующие гематологические изменения были сильно уменьшены у мышей, лишенных рецептора интерферона-α/β (IFNAR -/-).

Раздел 2. Первичная фармакодинамика

Было проведено несколько экспериментов in vitro и in vivo для доказательства иммуногенности вакцинации РНК-(LIP) с рядом различных мРНК, кодирующих антигены, специфичные для меланомы, рака молочной железы, HPV+ рака головы и шеи, рака яичников и других типов онкологических заболеваний. Исследования in vivo проводились с использованием материалов R&D и GMP-класса на мышах.

Индукция антигенспецифических Т-клеточных ответов с помощью мРНК W_pro1

Для получения дополнительной информации об индукции in vivo антигенспецифических Т-клеток простатоспецифическими антигенами KLK2, PSA (KLK3), PAP (ACPP), HOXB13 и NKX3-1, продукты РНК-(LIP) были получены с использованием РНК качества R&D и липосом GMP-подобного качества.

Продукты РНК-(LIP) вводили внутривенно трансгенным мышам, подвергавшимся манипуляции с целью экспрессии человеческих лейкоцитарных антигенов HLA-A*0201 и -DRB1*01. Используя этих мышей, можно исследовать in vivo примирование и размножение Т-клеток, специфичных для HLA-рестриктированных эпитопов. Мышей A2/DR1 вакцинировали четыре-пять раз путем инъекции 30 мкг каждого антигена РНК в комплексе с липосомами с последующим выделением клеток селезенки (через 5 дней после последней вакцинации). Эффективность примирования тестируемых элементов оценивали с помощью анализа IFN-γ ELISPOT после рестимуляции дендритными клетками костного мозга (BMDC), электропорированными с соответствующей мРНК или неродственной контрольной мРНК.

Для всех антигенов четырех вакцинаций препаратами РНК (LIP) было достаточно для примирования специфических Т-клеточных ответов у обработанных животных (фигура 18).

Эти результаты показывают, что вакцины РНК-(LIP) могут эффективно индуцировать Т-клеточные ответы против антигенов W_pro1 in vivo.

мРНК, использованные в исследованиях, были изготовлены в условиях R&D. Будут выполнены дополнительные исследования иммуногенности на мышах A2/DR1 с RBL038.1, RBL039.1, RBL040.1, RBL041.1 и RBL045.1, произведенными в условиях GMP. Ожидается, что иммуногенность будет сопоставима с результатами более ранних исследований.

Противоопухолевая активность антигенспецифических Т-клеток in vivo, индуцированная модельными антигенными РНК

В связи с известными проблемами идентификации моделей опухолей мышей, дополнительных исследований, касающихся антигенов W_pro1, не проводилось, поскольку мышиные гомологи этих антигенов не существуют. Вместо этого авторы разработали подходящие модели опухолей для SIINFEKL-эпитопа, полученного из овальбумина, а также антигены E6/E7 и gp70, полученные из вируса папилломы человека, в качестве моделей для чужеродного и мышиного аутоантигена для вакцинации, соответственно.

Сводка противоопухолевых эффектов in vivo, индуцированных РНК-(LIP), приведена в таблице 3.

Таблица 3. Сводная таблица противоопухолевых эффектов РНК (LIP) in vivo

Исследование Способ Результат Профилактические модели B16F10-OVA и CT26
(STR-30207-008)
Три цикла внутривенной иммунизации мышей SIINFEKL-РНК-(LIP) или gp70-РНК-(LIP) до подкожного заражения опухолью B16F10-OVA или CT26, соответственно. Необработанные мыши погибли в течение 22-28 дней после заражения опухолью, все иммунизированные мыши были защищены в ходе мониторинга.
Терапевтические модели B16F10-OVA и CT26
(STR-30207-010)
Подкожное заражение опухолью B16F10-OVA или CT26 с последующей иммунизацией SIINFEKL-РНК-(LIP) или gp70-РНК- (LIP) при макроскопических размерах опухоли. Необработанные или обработанные липосомами мыши умерли в течение 22-28 дней после заражения опухолью. Иммунизированные мыши показали значительную задержку роста опухоли и уменьшение опухоли в некоторых случаях.
Терапевтическая модель CT26 - метастатическая модель IV
(STR-30207-012)
Провокация метастатической опухоли путем внутривенной инъекции клеток CT26-Luc с последующими тремя иммунизациями gp70-РНК- (LIP), начиная с 4-го дня. Измерение роста опухоли путем визуализации in vivo клеток, экспрессирующих Luc, и анализа метастазов через 17 дней после индукции опухоли. У мышей, не получавших обработки, развились метастазы, измеренные по усилению Luc-сигналов и макроскопическому исследованию. У обработанных животных наблюдалось снижение Luc-сигналов после начала обработки и отсутствие метастазов в легких в конце исследования.
Терапевтическая модель TC-1 – SC
(STR-30207-018)
Подкожное заражение опухоли клетками TC-1 с последующими тремя иммунизациями HPV E6/E7 (LIP) через 13 дней. Необработанные или обработанные липосомами мыши умерли в течение 22-28 дней после заражения опухолью. Иммунизированные мыши проявили сильную противоопухолевую активность с уменьшением опухолей до 1 см3 во время обработки и полным излечением 30% животных.

Раздел 3: Вторичная фармакодинамика

Чтобы изучить потенциальные вторичные эффекты от введения липоплексных-РНК вакцин, такие, как индукция воспалительных цитокинов и гематологические изменения, вызванные предполагаемым иммуномодулирующим действием, авторы провели обширные исследования in vitro и in vivo с использованием клеток крови человека и яванских макак в качестве тестовых систем. Как известно авторам, вторичные фармакодинамические эффекты, запускаемые TLR, и активация врожденного иммунитета терапевтической мРНК, не зависят от последовательности исследований, представленных в этом разделе, которые были выполнены со смесью равных частей липосомных составов RBL001.1, RBL002.2, RBL003. 1 и RBL004.1 качества ATM. Эти РНК, кодирующие меланосомные антигены, использовались в клинических испытаниях. Исследования не повторялись сW_pro1 RNA DP, кодирующими TAA.

Как описано ниже, степень генерированной вследствие вакцинации РНК-(LIP) индукции цитокинов, гематологические изменения, активация комплемента и клиническая химия были изучены на яванских макаках, которых обрабатывали дозами, соответствующими предполагаемым дозам для людей. Кроме того, степень высвобождения цитокинов клетками периферической крови (PBMC) человека и яванского макака и клетками крови в гепаринизированной цельной крови в ответ на обработку РНК-липоплексами, проверялись в исследованиях, не связанных с GLP и связанных с GLP.

Кроме того, были проведены биоинформационные поиски гомологии последовательностей РНК-вакцины с протеомом человека, чтобы исключить потенциальную перекрестную реактивность индуцированных Т-клеток.

Резюме основных выводов Вторичные эффекты изучались in vivo на яванских макаках путем изучения высвобождения цитокинов, гематологии, клинической биохимии и параметров сердечно-сосудистой системы. Яванские макаки показали сильную временную индукцию IL-6 и очень слабую индукцию IFN-α при уровне дозы 354 мкг РНК, что мы рассматриваем как предполагаемый фармакодинамический эффект лечения липоплексами. Это сопровождалось преходящей лимфопенией, которая прошла через 48 часов. Признаков сердечно-сосудистой токсичности не было.
Кроме того, высвобождение цитокинов (IP-10, IFN-α, IFN-γ, TNF-α, IL-1β, IL-2, IL-6 и IL-12) анализировали в культивируемых клетках периферической крови человека (PBMC) и в культивированной цельной крови человека, взятой от разных доноров, после обработки РНК-(LIP) качества ATM. В культивируемых РВМС наблюдалась дозозависимая индукция всех определяемых аналитов. Однако при дозах, представляющих клинические уровни доз и выше, наблюдалась индукция пяти из восьми изученных маркеров, а именно IP-10, IFN-γ, TNF-α, IL-1β и IL6. В культивированной цельной крови не было обнаружено изменений уровней цитокинов в отношении аналитов: IFN-γ, TNF-α, IL-1β, IL-2 и IL-12. Уровень хемокина IP-10 (CXCL10) увеличивался дозозависимым образом, но не увеличивался значительно по сравнению с контролем при уровнях доз, предназначенных для клинического применения. Повышенная индукция IL-6, хотя и на низком уровне, была обнаружена у одного из четырех доноров. IFN-α не был значительно повышен ни в одной дозе по сравнению с контролем с разбавителем.
Чтобы получить дополнительную информацию о степени индукции провоспалительных цитокинов и проверить, может ли цитокиновый профиль, наблюдаемый у яванского макака in vivo, адекватно фиксироваться in vitro, были проведены дополнительные GLP и не-GLP фармакодинамические исследования с использованием PBMC и цельной крови в качестве тест-систем. Эти исследования показали гораздо лучшее отражение наблюдений in vivo в тест-системе на основе цельной крови, чем в тест-системе на основе PBMC.
Параллельное сравнение секреции цитокинов в образцах от людей-доноров и яванского макака в тест-системе на основе цельной крови и тест-системе на основе PBMC показало, что оба вида очень сопоставимы в отношении индукции провоспалительных цитокинов при инкубации с РНК-(LIP).

Активация in vitro PBMC и цельной крови у здоровых людей-доноров и яванских макаков

Помимо своей способности кодировать белковые антигены, РНК обладает иммуномодулирующими эффектами, которые происходят из ее способности индуцировать процессы клеточной активации через запуск TLR. С одной стороны, иммуномодулирующая способность РНК-вакцины усиливает индукцию антигенспецифических Т-клеточных ответов и должна рассматриваться как первичный фармакодинамический эффект. С другой стороны, слишком сильная или неспецифическая активация иммунных клеток может привести к нежелательным вторичным эффектам и уже должна быть рассмотрена в доклинических исследованиях.

Чтобы изучить степень клеточной активации клеток крови человека, гепаринизированную цельную кровь и PBMC (выделенные из гепаринизированной цельной крови) от четырех здоровых доноров инкубировали in vitro со смесью равных частей включенной в липосомы РНК, кодирующей антигены, ассоциированные с меланосомной опухолью (RBL001.1, RBL002.2, RBL003.1 и RBL004.1) качества ATM. Поскольку активация TLR посредством РНК не зависит от последовательности, исследование с РНК W_pro1 не повторялось.

РНК-(LIP) для каждого из четырех лекарственных препаратов на основе РНК получали отдельно в соответствии с протоколом клинической рецептуры. В этом первом исследовании (Исследование 1, STR-30207-013) был выбран диапазон концентраций от 0,014 мкг РНК/мл до 3,333 мкг РНК/мл, что эквивалентно дозам для человека от 0,07 мг до 16,65 мг общей РНК (таблица 4). В качестве первичной конечной точки активацию клеток определяли через 6 и 24 часа по секреции цитокинов (IP-10, IFN-α, IFN-γ, TNF-α, IL-1β, IL-2, IL-6 и IL-12) в среду для культивирования клеток (PBMC) или плазму (цельная кровь), соответственно.

Таблица 4. Определение доз для исследований in vitro на основе предполагаемых когорт клинических доз

Значения представляют собой мкг общей РНК на мл цельной крови или среды, соответственно.

Отчет об исследовании №: STR-30207-013 Уровень дозы мкг РНК на мл объема крови Общая доза [мкг РНК] [1] 1 0,014 70 2 0,041 205 3 0,123 615 4 0,371 1850 5 1,111 5550 7 3,333 16650

[1] Предполагается, что средний общий объем крови составляет 5 л.

После инкубации PBMC со смесью РНК-(LIP) наблюдалась дозозависимая активация, обнаруживаемая в отношении всех восьми тестируемых аналитов, хотя и с большими вариациями уровней концентрации. В цитокиновом ответе преобладали пять из восьми выбранных маркеров, а именно IP-10, IFN-γ, TNF-α, IL-1β и IL-6 (см. Сводку в таблице 4). IFN-α, IL-2 и IL12 показали лишь незначительную индукцию при самых высоких испытанных уровнях доз.

Напротив, после инкубации с РНК-(LIP) в системе анализа на основе цельной крови не было обнаружено секреции IFN-γ, TNF-α, IL-1β, IL-2 и IL-12. В данном случае наблюдалась повышенная дозозависимая секреция IP-10 и IL-6. Для IFN-α наблюдалась только базовая секреция низкого уровня, которая была сравнима с контрольным разбавителем и не повышалась в дальнейшем при инкубации с РНК-(LIP) (см. Сводку в таблице 5).

Таким образом, данные о PBMC показали четкие различия по сравнению с цельной кровью, что свидетельствует о более высокой чувствительности тест-системы к PBMC. В то время как повышенные уровни цитокинов для всех восьми тестируемых аналитов были обнаружены в PBMC, определение цитокинов было ограничено IFN-α, IP-10 и IL-6 при использовании образцов цельной крови в качестве тест-системы.

Таблица 5. Сводка результатов для PBMC и цельной крови у всех доноров (исследование STR-30207-013)

Цитокин/
Анализируемый образец
Тестовая система
PBMC Цельная кровь IFN-α Повышенная секреция обнаруживается через 24 часа у всех доноров
Дозозависимая индукция
Значения на низком уровне и не повышаются заметно в дозах 0,014–0,37 мкг/мл РНК.
Секреция обнаруживается на очень низком уровне в некоторых образцах доноров 3/4
Не обнаруживается отчетливого повышения по сравнению с контролем в любом разведении
IP-10 Повышенная секреция обнаруживается через 24 часа у всех доноров
Дозозависимая индукция
У 4/4 доноров повышенный уровень обнаруживается при 0,37 мкг/мл РНК.
У 3/4 доноров повышенный уровень обнаруживается при 0,12 мкг/мл РНК.
Повышенная секреция обнаруживается через 24 часа у всех доноров
Дозозависимая индукция
У 2/4 доноров обнаруживается повышенный уровень при 0,37 мкг/мл.
IL-6 Повышенная секреция обнаруживается через 6 и 24 часа у всех доноров
Дозозависимая индукция
У 4/4 доноров повышенный уровень обнаруживается при 0,37 мкг/мл РНК.
У 3/4 доноров повышенные уровни обнаруживаются при 0,12 мкг/мл РНК через 24 часа.
Повышенная секреция обнаруживается на очень низком уровне только в самой высокой дозе у 2/4 доноров.
IFN-γ Повышенная секреция обнаруживается через 24 часа у всех доноров
Дозозависимая индукция
У 4/4 доноров повышенный уровень обнаруживается при 0,37 мкг/мл РНК.
Повышенная секреция не обнаруживается
TNF-α Повышенная секреция обнаруживается через 6 и 24 часа у всех доноров
Дозозависимая индукция
У 4/4 доноров повышенные уровни обнаруживаются при 0,37 мкг/мл РНК только через 6 часов.
Повышенная секреция не обнаруживается
IL-1β Повышенная секреция обнаруживается через 6 и 24 часа у всех доноров
Дозозависимая индукция
У 4/4 доноров повышенный уровень обнаруживается при 0,37 мкг/мл РНК.
У 2/4 доноров повышенные уровни обнаруживаются при 0,12 мкг/мл РНК через 24 часа.
Повышенная секреция не обнаруживается
IL-2 Повышенная секреция обнаруживается через 6 и 24 часа у всех доноров
Дозозависимая индукция
Значения на низком уровне и не повышаются в дозах 0,014–0,37 мкг/мл РНК.
Повышенная секреция не обнаруживается
IL-12 Повышенная секреция обнаруживается через 24 часа у всех доноров
Дозозависимая индукция
В 2/4 повышенные уровни обнаруживаются при 0,37 мкг/мл РНК.
Повышенная секреция не обнаруживается

Для дальнейшего изучения высвобождения цитокинов человеческими клетками в ответ на РНК-(LIP) in vitro, а также для сравнения и классификации данных in vivo исследований иммунотоксичности мышей (см. ниже) и исследования на яванских макаках (см. ниже) дополнительное GLP-совместимое исследование in vitro проводилось при внешнем CRO (LPT № 31031). Основная цель этого исследования состояла в том, чтобы подтвердить (i) сопоставимы ли результаты на яванских макаках с результатами на человеке и (ii) какая тестовая система лучше отражает характер цитокинового ответа, наблюдаемый у яванских макак in vivo. Исследование LPT № 31031 было разработано следующим образом: индукция провоспалительных цитокинов in vitro у здоровых людей-доноров и яванских макак тестировалась в двух тест-системах, а именно в PBMC и цельной крови. Были протестированы тот же диапазон доз и стадии дозировки РНК (LIP), что и в исследовании No. STR-30207-013. Исследуемый объект снова представлял собой смесь отдельно приготовленных липосомных РНК RBL001.1, RBL002.2, RBL003.1 и RBL004.1 качества ATM. Как упоминалось выше, данные, полученные с помощью этих IVT-РНК, также учитывают РНК DP, кодирующие TAA, поскольку активация TLR не зависит от последовательности РНК. Всего были проанализированы образцы от четырех особей каждого вида. В качестве первичной конечной точки активацию клеток определяли через 6, 24 и 48 часов по секреции провоспалительных цитокинов в среду для культивирования клеток (PBMC) или плазму (цельная кровь), соответственно.

Наблюдаемые цитокиновые ответы суммированы в таблице 6 для системы анализа на основе цельной крови и в таблице 7 для системы анализа на основе PBMC, соответственно.

Таблица 6. Сводка цитокиновых ответов в системе анализа на основе цельной крови

Система анализа: цельная кровь Цитокин/Аналит Результат TNF-α Повышенная секреция обнаруживается у 4/4 обезьян и 4/4 человек.
Максимальные абсолютные уровни цитокинов при максимальной дозе:
Обезьяны: 1/4: <100 пг/мл; 1/4: 100–500 пг/мл; 2/4: 500–1000 пг/мл
Люди: 1/4: <100 пг/мл; 3/4: 500–1000 пг/мл
IFN-γ Повышенная секреция обнаруживается только у 2/4 обезьян
Максимальные абсолютные уровни цитокинов при максимальной дозе:
Обезьяны: 2/4 <100 пг/мл
IL-6 Повышенная секреция обнаруживается у 4/4 обезьян и 4/4 человек.
Максимальные абсолютные уровни цитокинов при максимальной дозе:
Обезьяны: 2/4: 100–500 пг/мл; 2/4: 500–1000 пг/мл
Люди: 1/4: 500–1000 пг/мл; 3/4: 1000–5000 пг/мл
IP-10 Повышенная секреция обнаруживается только у 4/4 человек.
Максимальные абсолютные уровни цитокинов при максимальной дозе:
Люди: 4/4: 500–1000 пг/мл.
IL-1β Повышенная секреция обнаруживается у 4/4 обезьян и 4/4 человек.
Максимальные абсолютные уровни цитокинов при максимальной дозе:
Обезьяны: 2/4: <100 пг/мл; 2/4: 100–500 пг/мл
Люди: 2/4: <100 пг/мл; 2/4: 100–500 пг/мл
IL-12 Повышенная секреция обнаруживается только у 4/4 человек.
Максимальные абсолютные уровни цитокинов при максимальной дозе:
Люди: 3/4: <100 пг/мл; 1/4: 100–500 пг/мл
IL-2 не обнаруживается повышенной секреции ни у обезьян, ни у человека

Таблица 7. Сводка цитокиновых ответов в системе анализа на основе PBMC (LPT № 31031)

Тестовая система: PBMC Цитокин/Аналит Результат TNF-α Повышенная секреция обнаруживается у 4/4 обезьян и 4/4 человек.
Максимальные абсолютные уровни цитокинов при максимальной дозе:
Обезьяны: 4/4: 1.000–5000 пг/мл.
Люди: 4/4: 1.000–5000 пг/мл.
IFN-γ Повышенная секреция обнаруживается у 4/4 обезьян и 4/4 человек.
Максимальные абсолютные уровни цитокинов при максимальной дозе:
Обезьяны: 2/4: 100–500 пг/мл; 2/4: 500–1000 пг/мл
Люди: 2/4: 1 000–5 000 пг/мл; 2/4: 5 000–10 000 пг/мл
IL-6 Повышенная секреция обнаруживается у 4/4 обезьян и 4/4 человек.
Максимальные абсолютные уровни цитокинов при максимальной дозе:
Обезьяны: 1/4: 1 000–5 000 пг/мл; 3/4: 5 000–10 000 пг/мл
Люди: 2/4: 5 000–10 000 пг/мл; 2/4: 10 000–15 000 пг/мл
IP-10 Повышенная секреция обнаруживается только у 4/4 человек.
Максимальные уровни при максимальной дозе:
Люди: 4/4: 100–500 пг/мл.
IL-1β Повышенная секреция обнаруживается у 4/4 обезьян и 4/4 человек.
Максимальные абсолютные уровни цитокинов при максимальной дозе:
Обезьяны: 4/4: 1000–5000 пг/мл.
Люди: 4/4: 1000–5000 пг/мл.
IL-12 Повышенная секреция обнаруживается у 4/4 обезьян и 4/4 человек.
Максимальные абсолютные уровни цитокинов при максимальной дозе:
Обезьяны: 4/4: <100 пг/мл
Люди: 1/4: 100–500 пг/мл; 3/4: 500–1000 пг/мл
IL-2 не обнаруживается повышенной секреции ни у обезьян, ни у человека

В таблице 8 показаны данные, полученные в исследовании LPT № 31031, в котором цельная кровь четырех яванских макак и четырех здоровых доноров была проанализирована через 6 и 24 часа инкубации с шестью различными дозами РНК-(LIP). Анализ был сосредоточен на провоспалительных цитокинах TNFα, IL-6 и IFN-γ, поскольку они были преимущественно активированы в человеческих PBMC в исследовании № STR-30207-013. Как показано, цитокиновые ответы in vitro у двух видов были в высокой степени сопоставимы. Для IL-6 после 24 ч инкубации наблюдали 122-кратную индукцию у яванских макак и 108-кратную индукцию у здоровых доноров, соответственно. Только низкие уровни TNF-α могли быть обнаружены у обоих видов при самом высоком уровне дозы. Очень низкая индукция IFN-γ наблюдалась только при самом высоком уровне дозы у яванских макак после 24 ч инкубации.

Наиболее важно, что сильная индукция этих трех провоспалительных цитокинов, связанных с тестируемым элементом, наблюдалась только при уровнях доз ≥ 5500 мкг, что выше наивысшего предполагаемого уровня дозы 100 мкг для пациентов и который в > 100 раз выше запланированной. дозы для начального цикла вакцинации (= 50 мкг РНК). Примечательно, что результаты от здоровых доноров подтвердили результаты исследования STR-30207-013 in vitro, а картина цитокинового ответа яванского макака, наблюдаемая в системе анализа на основе цельной крови, напоминала результаты исследования LPT № 29928 in vivo, в котором только IL -6 может быть обнаружен у яванских макак, обработанных РНК-(LIP) (см. ниже).

В таблице 9 показаны данные, полученные в исследовании LPT № 31031, в котором РВМС от четырех яванских макак и четырех здоровых доноров были проанализированы через 6 и 24 часа инкубации с шестью различными дозами РНК-(LIP). Индукция IL-6 и TNF-α была сопоставима в PBMC человека и яванского макака в отношении (i) абсолютных количеств индуцированных цитокинов (различия между видами менее чем в 2 раза), (ii) кинетики (ранняя индукция IL-6 и TNF-α через 6 ч) и (iii) уровня дозы РНК (LIP), который привел к индукции цитокинов. IFN-γ был обнаружен в PBMC от обоих видов, обработанных промежуточными дозами РНК (LIP), только через 24 часа стимуляции РНК-(LIP), хотя и в большей степени у людей. В целом, профили цитокинов, индуцированные РНК-(LIP) в PBMC, были сопоставимы для разных видов в отношении IL-6 и TNF-α. Результаты, полученные в этом исследовании, позволяют предположить, что яванские макаки являются подходящим видом для оценки индукции цитокинов, опосредованной РНК-(LIP), и что PBMC человека представляют собой более чувствительную систему для улавливания индукции IFN-γ.

Таблица 8. Индукция in vitro провоспалительных цитокинов IL-6, TNF-α и IFN-γ у яванских макак и здоровых доноров-людей в системе анализа на основе цельной крови

В таблице представлены данные, полученные в исследовании LPT № 31031: уровни цитокинов (пг/мл) IL-6 (верхняя часть), TNF-α (средняя часть) и IFN-γ (нижняя часть), детектируемые после инкубации цельной крови с различными дозами РНК-(LIP). Красный цветовой код указывает на высоту уровня цитокинов, а более темный красный цвет указывает на более высокие уровни цитокинов. В первом столбце указаны общие уровни доз, применяемые в клинических условиях. Во втором столбце указано количество РНК, использованное в тестовой системе in vitro, исходя из объема крови 5 л. * = данные не собраны.

[1] Предполагается, что средний общий объем крови составляет 5 л.

Таблица 9. Индукция in vitro провоспалительных цитокинов IL-6, TNF-α и IFN-γ у яванских макак и здоровых доноров-людей в тестовой системе PBMC

В таблице представлены данные, полученные в исследовании LPT № 31031: уровни цитокинов (пг/мл) IL-6 (верхняя часть), TNF-α (средняя часть) и IFN-γ (нижняя часть), обнаруженные после инкубации PBMC с разными дозами РНК-(LIP). Красный цветовой код указывает на высоту уровня цитокинов, а более темный красный цвет указывает на более высокие уровни цитокинов. В первом столбце указаны общие уровни доз, применяемые в клинических условиях. Во втором столбце указано количество РНК, использованное в тестовой системе in vitro, исходя из объема крови 5 л. * = данные не собраны.

[1] Предполагается, что средний общий объем крови составляет 5 л.

При сравнении результатов, полученных в цельной крови и тест-системе PBMC, стало ясно, что провоспалительные цитокины в тест-системе PBMC в целом были шире, достигли более высоких абсолютных значений и начинались с более низких уровней доз по сравнению с системой анализа на основе цельной крови.

В этой наиболее чувствительной тестовой системе in vitro резкое увеличение уровней цитокинов, измеренное через 24 часа, наблюдалось в диапазоне доз от 615 мкг до 1850 мкг РНК для IL-6, от 1850 до 5550 мкг РНК для IFN-γ и от 5550 мкг РНК мкг до 16650 мкг РНК для TNF-α. Даже для IL-6, который был наиболее чувствительным маркером цитокинов в системе in vitro, предполагаемая начальная доза 25 мкг в 25 раз ниже уровня дозы, который отмечает начало сильной индукции цитокинов in vitro.

В дополнение к исследованию GLP LPT № 31031 было проведено исследование in vitro без GLP (Report_RB_14_001_B) с аналогичной экспериментальной установкой, для тестирования образцов от трех особей каждого вида, в которых были сделаны аналогичные наблюдения, подтверждающие результаты исследования GLP (данные не показано). Взятые вместе все исследования, результаты подчеркивают (i) сопоставимость обоих видов, яванских макак и человека, в отношении стимуляции клеток после инкубации с испытуемым образцом. Более того, эти наблюдения показали (ii), что система анализа на основе цельной крови более точно отражает ситуацию in vivo, чем PBMC. В системе анализа на основе цельной крови индукция цитокинов была, как правило, менее выраженной и наблюдалась только в группах с самыми высокими дозами, а преобладающая индукция IL-6 напоминала результаты исследования на яванских макаках in vivo (см. ниже).

Авторы признают более выраженные результаты анализа на основе PBMC, который рассматривается как искусственная, но также более чувствительная тест-система in vitro, и поэтому интегрировали результаты, полученные при использовании этой более чувствительной тест-системы, в стратегию определения безопасной начальной дозы.

Тестирование in vivo вторичной фармакологии на яванских макаках

Чтобы более точно понять кинетику и корреляцию вторичных эффектов РНК-(LIP) с экспрессией цитокинов, на самцах яванских макак было проведено не-GLP исследование (график обработки и дозы см. в таблице 10, а в таблице 11 - подробные сведения о дизайне исследования и количествах всех компонентов состава). Животных (два самца на дозу) в группах с 1 по 5 обрабатывали четырьмя вакцинами с меланосомной РНК (LIP) RBL001.1, RBL002.2, RBL003.1 и RBL004.1 (качество ATM), а затем давали контрольные растворы в виде медленных болюсных инъекций (примерно 10 с) с интервалом 30 мин между каждой инъекцией (т. е. последняя инъекция была сделана через 1,5 часа). Результаты этого исследования также должны применяться для инъекции W_pro1, поскольку вторичные эффекты не зависят от последовательности.

В рамках исследования были протестированы дозы, в 42 раза превышающие максимальную клиническую дозу. Кроме того, животные из группы дозирования 6 получали однократную дозу 4 × 3,6 мкг РНК на 22 день после получения однократной дозы 4 × 88,6 мкг РНК на 1 день.

Таблица 10. График исследования и дозы в зависимости от предполагаемых доз для пациентов (LPT № 29928)

группа Идентификатор животного Дни применения Доза
[мг/кг массы тела]
Доза
общая РНК [мкг]
1 1,2 Дни 1, 4, 8, 15, 22 NaCl NaCl 2 3,4 Дни 1, 4, 8, 15, 22 Липосомы Липосомы 3 5,6 Дни 1, 4, 8, 15, 22 0,0086 43 4 7,8 Дни 1, 4, 8, 15, 22 0,0256 128 5 9,10 Дни 1, 4, 8, 15, 22 0,0708 354 6 11,12 День 1 0,0708 354 6 11,12 День 22 0,029 14

Обработка: животные 1–10 (группы 1–5) получали 5 раз четыре последующих инъекции NaCl (физиологический раствор) (группа 1), липосом в той же дозе, что и животные с высокими дозами (группа 2), и РНК-(LIP) 1–4 (качество ATM, группы 3–5). Животные в группе 6 получали однократную обработку 4 × 88,6 мкг (всего 354 мкг РНК) в день испытания 1 с последующей однократной обработкой 4 × 3,6 мкг (всего 14,4 мкг РНК) на 22 день испытания. Дозы: дозы показаны в виде общего количества РНК в мг/кг массы тела и в виде общей дозы РНК (мкг на человека, пациенты оцениваются с массой тела 70 кг).

Таблица 11. Дизайн фармакодинамического исследования на яванских макаках (LPT № 29928)

Дизайн фармакодинамического исследования RBL001.1, RBL002.2, RBL003.1 и RBL004.1 после в/в введения яванским макакам. Тестируемый объект RBL001.1, RBL002.2, RBL003.1 и RBL004.1 РНК (LIP) Введение 5 введений в 1, 4, 8, 15 и 22 день, кроме группы 6 Путь Болюс внутривенно в головную вену левой или правой руки
Болюсное введение (примерно 10 с) RBL001.1, RBL002.2, RBL003.1 и RBL004.1 с 30-минутными интервалами между каждой из РНК (LIP)
Группы доз 1. Контроль NaCl [1]
2. липосомный контроль
3. малая доза
4. средняя доза
5. высокая доза
6. однократная высокая доза в день 1 с последующим периодом восстановления
дополнительная очень низкая доза на 22 день
Дозы
Группа 1
Группа 2
Группа 3
Группа 4
Группа 5
Группа 6
Группа 6
Дни применения
1, 4, 8, 15, 22
1, 4, 8, 15, 22
1, 4, 8, 15, 22
1, 4, 8, 15, 22
1, 4, 8, 15, 22
1
22
РНК [мкг]
-
-
4 х 10,75
4 х 32
4 х 88,6
4 х 88,6
4 х 3,6
Липиды [мкг]
-
4 х 181
4 х 22
4 х 65
4 х 181
4 х 181
4 х 8
DOTMA [мкг]
-
4 х 116
4 х 14
4 х 42
4 х 116
4 х 116
4 х 5
DOPE [мкг]
-
4 х 65
4 х 8
4 х 23
4 х 65
4 х 65
4 х 3
Размер группы 2 самца на группу, всего 12 животных

[1] NaCl считается наиболее подходящей контрольной группой. В отличие от РНК в составе липосом, которая образует РН- (LIP) определенного размера и заряда, чистые липосомы, применяемые в группе 2, значительно различаются с точки зрения физических характеристик, например заряда и структуры, что приводит к различным фармакологическим свойствам и измененному биораспределению in vivo.

Клиническое наблюдение

В целом обработка переносилась очень хорошо. Не было замечено никаких аномальных признаков непереносимости ни у одного животного в отношении наблюдений за местной и системной толерантностью (включая поведение, внешний вид, кал, смертность, массу тела, а также потребление пищи и воды).

Цитокиновый анализ

Высвобождение цитокинов в плазму изучали для IFN-α, IFN-γ, TNF-α, IL-1β, IL-2, IL-6, IL-10, IL12p70 и IP-10 в двух кинетических исследованиях после 1-й и после 5-й инъекции, перед дозой, 0,5, 2, 5, 9, 24 и 48 ч после завершения обработки (т.е. после завершения цикла инъекции всех 4 продуктов РНК-(LIP)).

В испытанных дозах только IL-6 показал дозозависимую и связанную с тестируемым объектом индукцию. Уровни Cmax были достигнуты через 30 минут после завершения обработки и вернулись к уровням перед введением дозы через 24 часа (фигура 19). Животное 11 (группа 6) было исключением, показывающим очень сильный ответ, и имело пиковые уровни IL-6 1071 пг/мл, что примерно в 5 раз выше, чем у других животных из той же группы дозы. Следует отметить, что индукция IL-6 была намного ниже после 5-й обработки, что позволяет предположить эффект адаптации к IL-6 у обезьян.

Индукция IFN-α наблюдалась только при очень низких уровнях у животных группы 6 с высокими дозами, достигая наивысших уровней через 5 часов, а через 24 часа они возвращались к уровням до введения дозы (фигура 19). В отличие от наблюдений в культивируемых клетках человека и in vivo у мышей, у обезьян индукция IP-10 не наблюдалась. Остается открытым, почему IP10 не наблюдался в этом исследовании, поскольку индукция IP-10 наблюдалась у обезьян после активации агонистов TLR, как сообщалось другими.

Другие протестированные цитокины (IFN-γ, TNF-α, IL-1β, IL-2, IL-10 и IL-12p70) не изменились. Сами по себе липосомы не влияли на высвобождение цитокинов.

Гематология

Стандартные гематологические параметры тестировали после 1-й и после 5-й инъекции перед введением дозы, через 5, 9, 24 и 48 ч после завершения лечения (2 часа были дополнительно включены после 5-й дозы). Кроме того, гематологию проверяли ежедневно с 4 по 12 день, а также через 1 и 3 недели после последнего введения дозы.

Преходящее уменьшение лимфоцитов и преходящее увеличение нейтрофилов были обнаружены как результаты, связанные с тестируемыми элементами, в зависимости от дозы. Количество лимфоцитов снижалось очень быстро через 5 ч после завершения обработки, вплоть до 5-кратного у животных с высокими дозами (наименьшее количество приблизительно 1000 лимфоцитов/мкл у животных группы 6). Эффект был кратковременным и восстановился примерно через 48 часов. Следует отметить, что истощение лимфоцитов также наблюдалось у животных группы липосом в меньшей степени, но не в контрольной группе NaCl (таблица 12). Эффект адаптации, наблюдаемый для индукции IL-6, отсутствовал.

Увеличение нейтрофилов также наблюдалось в контрольной группе NaCl из-за обработки, однако значительная разница наблюдалась в группах с 3 по 6 по сравнению с контролем. Максимальные эффекты наблюдались через 10 часов после обработки и составили 44%, 34%, 89% и 91% по сравнению с контролем в группах 3, 4, 5 и 6, соответственно.

Связанные с обработкой временные эффекты (также в группе NaCl) наблюдались для эозинофилов, лейкоцитов и ретикулоцитов (вероятно, из-за постоянного забора крови).

Таблица 12. Результаты для абсолютного количества лимфоцитов [1000/мкл] у яванских макак (средние значения n = 2)

Дозировка День теста/ часы после RNA4 Группа 1: NaCl Группа 2: липосома Группа 3: 43 µг Группа 4: 128 мкг Группа 5: 354 мкг Группа 6: 354 мкг одино-чный Группа 6: 14.4 мкгодино-чный 1 день 1, перед введение дозы 6,170 9,130 6,190 6,490 7,060 5,700 n.d. день 1, 5 ч 4,845 3,295 2,095 2,665 1,490 1,065 n.d. день 1, 9 ч 8,605 6,365 4,250 4,200 1,850 1,78 n.d. день 2 5,165 8,950 4,065 4,300 4,190 3,37 n.d. день 3 5,725 9,075 4,745 5,375 5,250 5,425 n.d. 2 день 4 5,775 8,185 5,175 5,265 5,530 5,87 n.d. день 5 5,565 8,850 4,480 4,170 4,600 5,845 n.d. день 6 5,865 8,560 5,590 6,660 7,200 5,495 n.d. день 7 7,090 9,645 6,225 6,780 8,660 6,885 n.d. 3 день 8 5,980 10,555 6,020 6,955 8,775 6,325 n.d. день 9 4,870 7,870 3,465 4,260 4,960 5,430 n.d. день 10 5,495 8,125 4,350 5,885 7,025 5,400 n.d. день 11 6,360 8,325 4,725 6,045 8,555 5,640 n.d. день 12 5,305 7,555 5,290 5,155 7,950 5,815 n.d. 4 день 15 8,180 11,030 9,540 9,170 9,855 n.d. n.d. день 16 4,765 7,320 2,880 3,365 3,490 n.d. n.d. день 19 5,545 8,230 5,215 5,485 8,035 6,205 n.d. 5 день 22, 2 ч 4,360 4,385 2,055 2,645 2,120 n.d. 2,955 день 22, 5 ч 5,525 5,225 2,955 3,325 2,445 n.d. 3,485 день 22, 9 ч 8,560 12,525 5,490 4,650 3,695 n.d. 4,625 день 23 4,645 7,655 3,505 3,720 4,685 n.d. 4,350 день 24 5,780 8,360 4,760 4,50 6,270 n.d. 5,505 день 30 6,120 8,190 5,265 6,370 6,360 n.d. 5,615

Активация комплемента

C3a измеряли перед введением дозы, через 0,5, 2, 5, 9, 24 и 48 часов после завершения 1-й и 5-й обработки, через 1 и 3 недели после последнего введения дозы. Никаких изменений, связанных с тестируемыми объектами, не наблюдалось, и все значения считались находящимися в пределах нормального диапазона биологической изменчивости.

Клиническая химия

Стандартные параметры тестировали перед введением, через 24 часа после каждого приема и дополнительно через 4 дня после 3-го и 4-го введения дозы, а также через 1 и 3 недели после последнего введения дозы.

Влияние на биохимические параметры, не связанное с тестируемым объектом, не оценивалось для животных группы, получавшей липосомы, и для животных, получавших тестируемый объект, по сравнению с контрольными животными и/или фоновыми данными, доступными в CRO, проводившем исследование. Частично данные показывают некоторый разброс из-за небольшого количества животных в каждой группе.

Не было отмечено никаких связанных с тестируемыми объектами изменений уровней желчных кислот, билирубина, холестерина, креатинина, глюкозы, фосфата, общего белка, триглицеридов, мочевины, кальция, хлорида, калия и натрия в сыворотке крови, а также белков сыворотки крови (альбумин, глобулины и соотношение альбумин/глобулин).

Активность сывороточных ферментов аланинаминотрансферазы (ALAT), щелочной фосфатазы (AP), аспартатаминотрансферазы (ASAT), лактатдегидрогеназы (LDH), альфа-амилазы, креатинкиназы (CK, включая изоформы CK-BB, CK-MB и CK-MM), гамма-глутамилтрансферазы (гамма-GT) и глутаматдегидрогеназы (GLDH) считались находящимися в пределах нормальной биологической изменчивости.

На 23-й день тестирования были отмечены высокие значения активности ферментов LDH, альфа-амилазы и CK для животных № 11, обработанных 4 × 3,5 мкг РНК/животных на 22 день тестирования. Однако эти изменения считаются связанными со стрессом из-за удержания обезьяны в кресле для инфузии, а не с тестируемым объектом.

Несмотря на то, что они были оценены как несвязанные с тестовыми объектами, небольшие изменения для CK были оценены более подробно. Дифференциальный анализ изоферментов CK CK-BB, CK-MB и CK-MM показал, что повышенная активность CK, отмеченная у отдельных животных групп 4, 5 или 6 по сравнению с контрольными животными в дни тестирования 9, 16, или 23 в основном связано с увеличением фракции СК-ММ. Как правило, не было отмечено увеличения для CK-BB и CK-MB, что подтверждает, что повышение общих уровней CK было связано со стрессом.

Исследование сердечно-сосудистойсистемы

Измерения ЭКГ и артериального давления не показали влияния на сердечно-сосудистую систему.

Скрининг гомологии последовательностей между РНК DPs, кодирующими TAA, и протеомом человека

Все последовательности мРНК, используемые в подходе W_pro1, слиты в рамке считывания максимум с двумя фланкирующими линкерными последовательностями, богатыми глицином/серином (GS). В точках стыков могут образовываться новые антигенные гибридные белки или пептиды, которые потенциально могут вызывать нежелательный аутоиммунный ответ, если они гомологичны человеческим белкам. Таким образом, с помощью поиска гомологии на основе BLASTp по базе данных установленных белков человека определяли, обладают ли точки стыков, связанные с линкерными последовательностями и антигеном, гомологией последовательностей с известными человеческими белками.

Анализируемые последовательности гибридного белка разбирали на более мелкие пептидные последовательности с использованием «скользящего» окна длиной от 9 до 15 и размером шага в один аминокислотный остаток. Все полученные пептиды сравнивали с референсной базой данных с использованием команды BLASTp пакета программного обеспечения blast (отсечка е-значения 10, разрывы не допускаются).

Для подпоследовательностей пептидов, гомологичных на 100%, не было обнаружено значительных выравниваний с последовательностями белков человека.

Раздел 4: Фармакологические исследования безопасности

В руководстве ICH S7A описана основная группа исследований, включая оценку функции дыхательной системы, центральной нервной системы (ЦНС) и сердечно-сосудистой системы, которые следует проводить с любым фармацевтическим продуктом до воздействия на человека. Поэтому фармакология безопасности РНК-(LIP) была протестирована как неотъемлемая часть шести токсикологических исследований GLP, которые описаны ниже.

Потенциальные эффекты на функцию ЦНС и дыхательной системы были оценены в основных исследованиях токсичности при повторных дозах и не выявили какого-либо влияния, связанного с тестируемыми объектами, на животных.

Был проведен анализ риска потенциального воздействия РНК-(LIP)-вакцин на сердечно-сосудистую систему. Системно распределенная РНК разрушается в кровотоке, и РНК в форме РНК (LIP) выводится из крови в течение нескольких минут и распределяется в основном в селезенке и печени, как показано в исследованиях биораспределения (см. ниже). Полученные данные не предполагают, что РНК-(LIP) будет накапливаться в сердечно-сосудистой системе. Ожидается, что потенциальные системные побочные эффекты вакцинации РНК-(LIP) будут связаны с временным повышением IFN-α, которое, как ожидается, не приведет к побочным эффектам со стороны сердечно-сосудистой системы, как это было зарегистрировано у тысяч пациентов, получавших IFN-α. Следовательно, фармакологическое исследование безопасности сердечно-сосудистой системы GLP, соответствующее требованиям ICH S7A/B, не проводилось. Однако доступны подтверждающие данные ЭКГ и артериального давления из фармакологического исследования, не относящегося к GLP, на яванских макаках, получавших РНК-(LIP), и касаются оценки сердечно-сосудистой функции после лечения вакцинами РНК-(LIP).

Таким образом, не наблюдалось никаких изменений в дыхательной, неврологической и сердечно-сосудистой системе, связанных с тестируемым объектом или лечением, в любой группе доз, испытанной на мышах (дыхательная система и функция ЦНС) и яванском макаке (сердечно-сосудистая функция).

Безопасность для дыхательной системы

Безопасность для дыхательной системы была включена в исследования токсичности многократных доз на мышах с использованием РНК DP, кодирующих TAA в соответствии с GLP (LPT № 28864 и 30283, дизайн исследования см. ниже). Например, плетизмография была протестирована в исследовании с РНК-(LIP) (LPT № 30283) с участием четырех животных/пола/группы, получавших либо контрольный буфер, либо низкую, либо высокую дозу (5 и 50 мкг РНК в составе 9 мкг и 90 мкг липосом, соответственно). Положительный контроль животных, получавших 30 мг карбамил-β-метилхолинхлорида (бетанеколь)/кг массы тела также был включен. Плетизмографию выполняли через день после 4-7 введения дозы. Тесты включали оценку частоты дыхания, дыхательного объема, минутного объема, времени вдоха, времени выдоха, пикового потока выдоха и вдоха, времени выдоха и индекса сопротивления дыхательных путей. Ни один из тестируемых легочных параметров не показал каких-либо изменений, связанных с тестируемым объектом, у обработанных животных по сравнению с контрольной группой. Только животные из группы положительного контроля показали ожидаемые изменения.

Безопасность ЦНС

Безопасность ЦНС была включена в исследования токсичности многократных доз на мышах с использованием DP РНК, кодирующих TAA в соответствии с GLP (LPT № 28864 и 30283, дизайн исследования см. ниже). Например, в исследовании с РНК-(LIP) (LPT № 30283) скрининг наблюдений был протестирован на пяти животных/пол примерно через 24 часа после 5-го введения контрольного буфера, низкой и высокой доз (5 мкг и 50 мкг РНК с 9 мкг и 90 мкг липосом, соответственно). В обсервационный скрининг были включены следующие тесты: рефлекс выпрямления, температура тела, слюноотделение, реакция вздрагивания, дыхание, ротовое дыхание, мочеиспускание, судороги, пилоэрекция, диарея, размер зрачка, реакция зрачка, слезотечение, нарушение походки, стереотипия, тест сдавливания пальцев ноги, тест сдавливания хвоста, проволочный тест, тест на разведение задних конечностей, позиционная пассивность, тремор, положительный геотропизм, вращение конечностей и слуховая функция. Кроме того, были включены функциональные тесты для оценки силы захвата и двигательной активности.

Неврологический скрининг не выявил какого-либо влияния тестируемых элементов на мышей, которое можно было бы отнести к неврологической токсичности. Эти данные были подтверждены результатами GLP-совместимого исследования токсичности повторных доз LPT № 28864, проведенного для исследования Lipo-MERIT с использованием различных РНК.

Безопасность сердечно-сосудистой системы

Исследование безопасности сердечно-сосудистой системы согласно ICH S7 не проводилось, поскольку РНК разлагается в кровотоке в течение нескольких секунд, и нет никаких указаний на то, что РНК (LIP) будет накапливаться в сердечно-сосудистой системе.

Однако имеются подтверждающие данные фармакологического исследования, не относящегося к GLP, на яванских макаках с РНК-(LIP), нацеленной на антигены, ассоциированные с меланомой, которые использовались в исследовании Lipo-MERIT. В этом исследовании двенадцать обезьян яванского макак обрабатывали в шести группах (см. схему исследования в таблице 11), и ЭКГ и измерения артериального давления проводились после 4-го приема в трех временных точках до введения дозы, через 5 ч после завершения приема и 24 ч после дозирования.

Обработка с помощью РНК-(LIP) очень хорошо переносилась яванскими макаками (отсутствие наблюдаемых данных клинического наблюдения). Ни один из измеренных параметров (артериальное давление, частота сердечных сокращений, значения QTc, интервалы QT, P-сегмент, PQ, QRS) не оказал никакого влияния, связанного с тестируемыми объектами. Кроме того, были измерены сывороточные уровни CK-MB и тропонина-I, чтобы исключить возможность некротического повреждения ткани сердечной мышцы. Все измеренные параметры были отрицательными, что свидетельствовало об отсутствии токсического воздействия РНК (LIP) на сердечно-сосудистую систему при уровнях доз, испытанных в исследовании.

Обсуждение и выводы

Были проведены обширные исследования механизма действия и первичной фармакодинамики РНК-(LIP) на мышах и в тест-системах человека in vitro. Доклинические исследования показывают, что вакцины РНК-(LIP) нацелены на селезенку и лимфоидную ткань после внутривенного введения. РНК-(LIP) вакцина вызывает двойное действие, а именно индукцию антигенспецифических Т-клеточных ответов и процессов клеточной активации и иммуномодуляции после запуска TLR.

Полученные данные подтверждают, что все ведущие структуры антигенной РНК, применяемые in vivo, индуцируют антигенспецифические Т-клеточные ответы, включая хелперные эпитопы столбнячного анатоксина.

Функциональными свойствами композиции РНК-(LIP) являются (i) защита РНК в сыворотке и (ii) эффективное нацеливание in vivo на APC, которые способны представлять антигенные пептиды, а также активируются после инициирования TLR7. Иммуномодулирующая активность РНК привела к дозозависимой индукции цитокинов в образцах человека, мышей и яванских макак, которые все проявляли индукцию IFN-α, IP-10 и IL-6 в различной степени, в зависимости от тестируемого вида или применяемой тест-системы. РНК (LIP) -опосредованная индукция цитокинов в PBMC была ожидаемой, поскольку есть хорошие доказательства из собственных исследований РНК и литературы. Помимо этих ожиданий, умеренная индукция IFN-α и индукция хемокина IP10 (CXCL10) скорее отражает начало предполагаемого фармакологического эффекта, чем нежелательное иммунотоксикологическое событие.

Данные, полученные на мышах, указывают на то, что спленоциты являются основным источником секреции IFN-α, которая зависит от TLR7, поскольку она снижается у мышей TLR7 -/-. Мы рассматриваем наблюдаемые временные и полностью обратимые цитокиновые ответы как предполагаемый фармакодинамический эффект, способствующий эффективной индукции индуцированных вакциной противоопухолевых Т-клеточных ответов. Благоприятные иммунологические свойства сочетались с хорошей переносимостью РНК-(LIP) вакцин у мышей и яванских макаках.

Мы также изучали вторичные эффекты лечения РНК-(LIP) вакцинами в нескольких исследованиях in vitro и in vivo с использованием тест-систем на людях, яванских макаках и мышах. Особое внимание было уделено иммуномодулирующим эффектам вакцин с РНК-(LIP), поскольку они были сильнее, чем то, что мы наблюдали для несформированных РНК-вакцин, вводимых в лимфатические узлы, что приводило только к локальной клеточной активации и индукции цитокинов.

Были выполнены эксперименты с использованием образцов цельной крови и PBMC от доноров человека и яванского макака, исключая неспецифическую или неконтролируемую клеточную активацию иммунных клеток человека РНК-(LIP)-вакцинами, но с демонстрацией умеренной индукции цитокинов, как и ожидалось. В этих экспериментах человеческие клетки и яванского макака обрабатывали в дозах, охватывающих когорты наивысших клинических доз и выше.

Хотя различия между донорами, различными тест-системами in vitro (культивируемые PBMC по сравнению с цельной кровью) или видами были обнаружены по показателю уровней цитокинов, наблюдаемые паттерны цитокинов и временный характер цитокиновых ответов были одинаковыми во всех исследованиях за незначительными исключениями, например, индукция IP-10 не наблюдалась у яванского макака. PBMC человека показали индукцию IP-10 и низкий ответ IL-6 и IFN-α, уровни которых были даже ниже при исследовании в цельной крови. Яванские макаки показали очень низкий ответ IFN-α, не показали никакой индукции IP-10 и более выраженный ответ IL-6 при испытанных уровнях доз. Мыши показали сильный ответ на IFN-α, IP-10 и IL-6, однако при дозах примерно в 10 раз выше, чем при испытаниях на обезьянах (исходя из доз на кг массы тела). С одной стороны различия в экспрессии цитокинов у мышей и обезьян можно объяснить тестированием разных доз. С другой стороны, мыши обладают разной активностью в отношении TLR7/8, что также может быть правдоподобным объяснением различных паттернов экспрессии цитокинов.

Паттерны цитокинового ответа, наблюдаемые у яванского макака in vivo, лучше отражались системой анализа на основе цельной крови по сравнению с системой анализа на основе PBMC, в которой наблюдался более широкий, более высокий цитокиновый ответ при более низких уровнях доз. Тем не менее, результаты в более чувствительных PBMC были интегрированы в стратегию определения безопасной начальной дозы для пациентов. Побочное сравнение секреции цитокинов в цельной крови человека и яванского макака показало, что оба вида очень сопоставимы в отношении индукции провоспалительных цитокинов при обработке с помощью РНК-(LIP), что позволяет предположить, что яванский макак является адекватной моделью на животных для прогнозирования вторичных фармакодинамических эффектов, которые могут возникнуть после вакцинации пациентов с помощью РНК-(LIP).

В дополнение к процессам клеточной активации и индукции цитокинов после воздействия РНК-(LIP) BioNTech оценил гематологические изменения в исследованиях на мышах и яванских макаках. В данном случае временная лимфопения наблюдалась одинаково у мышей и обезьян при всех уровнях доз. В целом, обезьяны, получавшие РНК (LIP), демонстрируют такую же реакцию по цитокиновому профилю и гематологическим параметрам, как и у обезьян, получавших другой агонист TLR. Это согласуется с предположением, что основные процессы активации экспрессии цитокинов с помощью РНК-(LIP) происходят через стимуляцию TLR. Обширные фармакодинамические исследования на мышах дикого типа, TLR7 -/- и IFNAR/ предполагают, что гематологические данные являются вторичными эффектами цитокинов, индуцированных РНК-(LIP). Было показано, что РНК-(LIP), а также не включенная в состав «голая» РНК способны активировать TLR. Было показано, что активация TLR вызывает лимфопению и накопление B-клеток в селезенке. В качестве подтверждения, данные гистопатологии, полученные в ходе токсикологического тестирования, показали, что временная лимфоидная гиперплазия обнаруживается в селезенке, но не в каком-либо другом органе или ткани. Это соответствует наблюдаемой лимфопении в крови и подчеркивает предполагаемое нацеливание РНК-(LIP) и, следовательно, также предполагаемое привлечение эффекторных клеток к лимфоидному органу.

Проведенные фармакологические исследования безопасности предполагают безопасный профиль РНК-(LIP). Неврологический скрининг не выявил какого-либо влияния тестируемых элементов на мышей ни в одном из выполненных тестов. Ни один из протестированных легочных параметров не показал каких-либо изменений у мышей, получавших РНК-(LIP). У яванских макак симптомов сердечно-сосудистых эффектов не было. В целом, РНК-(LIP) демонстрирует очень хороший общий профиль безопасности в отношении фармакологических параметров безопасности.

Раздел 5: Фармакокинетика

Несмотря на то, что фармакокинетические исследования обычно не проводятся во время разработки противоопухолевой вакцины, авторы провели исследования in vivo для определения биораспределения внутривенно введенных липоплексов РНК и наличия или сохранения остаточных количеств плазмид из-за примесей в готовой лекарственной форме.

РНК, транскрибируемая in vitro, состоит из рибонуклеотидов и, следовательно, идентична по структуре РНК, синтезируемой клетками человеческого тела, за исключением структуры 5'-кэпа. Следовательно, РНК подвергаются тем же процессам деградации, что и природная мРНК. Избыточное количество РНКаз, особенно во внеклеточном пространстве и сыворотке, приводит к быстрому разрушению РНК.

Как указано ниже, распределение/расположение и возможное накопление РНК в селезенке, печени и легких изучались в фармакокинетических исследованиях. Кроме того, были количественно определены потенциальные примеси плазмидной ДНК в гонадах мышей, обработанных РНК-(LIP).

Биораспределение и устойчивость синтетического катионного липида DOTMA были исследованы в первых исследованиях in vivo. Синтетический DOPE нельзя отличить от собственного природного фосфолипида DOPE, он должен проходить через естественные пути метаболизма, и поэтому биораспределение и накопление в дальнейшем не исследовались.

Резюме основных выводов Биораспределение РНК-(LIP), остаточные примеси плазмидной ДНК и синтетический липид DOTMA анализировали в исследованиях in vivo на мышах.
РНК: для анализа биораспределения РНК-(LIP) in vivo уровни IVT-РНК в образцах из исследования токсичности повторных доз, соответствующих требованиям GLP, анализировали с помощью метода на основе RT-qPCR в сторонней компании. Образцы органов для анализа РНК включали кровь, селезенку, печень и легкие. Был разработан полуколичественный аналитический способ для определения общего количества РНК, и образцы органов были проанализированы в не-GLP условиях. Способ был основан на способе RT-qPCR. РНК быстро выводилась из крови с предполагаемым периодом полувыведения прибл. 5 мин. Впоследствии она была обнаружена в печени, селезенке и легких в гораздо меньших количествах, чем в крови.
Остаточные плазмидные примеси: был разработан количественный аналитический способ для обнаружения остаточных плазмидных примесей, и образцы гонад были проанализированы в соответствии с GLP в BioNTech IMFS GmbH. Способ основан на способе количественной ПЦР для обнаружения гена устойчивости к канамицину в плазмиде.
Остаточные плазмидные примеси не были обнаружены или только немного превышали нижний предел обнаружения. Сигналы были аналогичными после 1-го или 8-го введения, что свидетельствует о том, что как РНК, так и остаточные примеси ДНК не накапливаются и не сохраняются в исследуемых органах.
DOTMA: для анализа биораспределения РНК-(LIP) in vivo, DOTMA экстрагировали из крови и семи выбранных органов, которые были собраны после внутривенной инъекции РНК (LIP) мышам, и содержание DOTMA определяли количественно с помощью анализа LC/MS в условиях, отличных от GLP. DOTMA быстро (менее чем за час) доставлялся в селезенку (и другие органы) после внутривенного введения РНК-(LIP). Самые высокие показатели DOTMA были в селезенке и печени, тогда как количество DOTMA во всех других образцах органов было довольно незначительным. Накопленная DOTMA после повторного применения РНК (LIP) удаляется из органов с кинетикой, которая может быть разумно представлена распадом первого порядка с приблизительным периодом полураспада порядка 6-7 недель.

Биораспределение

РНК

Биораспределение РНК-(LIP) было подробно изучено на мышах путем взятия образцов органов во время исследования токсичности GLP-повторной дозы (LPT № 28864), проведенного для клинического испытания Lipo-MERIT. Органы анализировали на сумму всех IVT-РНК, используя способ количественной ПЦР с обратной транскрипцией в реальном времени (RT-qPCR), разработанный в IMGM Laboratories GmbH, Мартинсрид, Германия, в не-GLP условиях (идентификатор исследования: RS297). Таким образом, РНК очень быстро выводилась из крови с предполагаемым периодом полувыведения примерно 5 мин. Через 48 часов и через семь дней РНК обнаруживалась только на маргинальном уровне в крови и органах, что позволяет предположить, что она быстро разлагается и не сохраняется.

Остаточные плазмидные примеси

Биораспределение остаточных плазмидных примесей от вакцинации РНК-(LIP) исследовали с использованием образцов из исследования токсичности многократных доз GLP (LPT № 28864). В соответствии с GLP в BioNTech IMFS GmbH, Идар-Оберштайн, Германия, был разработан способ анализа остаточных плазмидных примесей в образцах органов. Все протестированные образцы были либо ниже, либо немного выше нижнего предела обнаружения (LLOD), что позволяет предположить, что плазмидная ДНК не накапливается и не сохраняется в гонадах (ID исследования: 36X130313).

DOTMA

Биораспределение двух синтетических липидов, используемых в составах РНК (LIP), может дать представление о физическом распределении частицы-носителя липоплекса во времени. Синтетический катионный липид DOTMA был выбран для исследований биораспределения, потому что это не встречающаяся в природе молекула и, следовательно, может быть легко обнаружена на фоне биологической матрицы.

В предварительном исследовании биораспределения DOTMA липид был экстрагирован из крови и семи выбранных органов, которые были забраны после внутривенной инъекции РНК-(LIP) мышам. В данном случае использовалась смесь равных частей IVT-РНК, приготовленных с использованием липосом, качества ATM. Это первоначальное исследование включало пять мышей, из которых одну оставили без обработки, две получили однократную инъекцию 60 мкг РНК, а две получили две инъекции каждой 60 мкг РНК с интервалом в 20 дней. Всех мышей умерщвляли через 24 часа после последней инъекции. Количественное определение DOTMA проводили с помощью измерений ЖХ/МС. Целью экспериментов было проверить общую осуществимость протоколов экстракции и количественной оценки и получить первые сведения о биораспределении DOTMA после вакцинации РНК-(LIP).

DOTMA можно было четко определить во всех исследованных органах, и можно было наблюдать явные различия между результатами в разных органах. В соответствии с предложенным механизмом действия, самые высокие показатели DOTMA были в селезенке.

На основе этих первых результатов было проведено исследование с однократным введением РНК (LIP) (Report_BN_14_004). Концентрация DOTMA в выбранных органах оценивалась в течение периода до 28 дней (d0, d1, d4, d7, d14, d21 и d28). В этом эксперименте вводили 200 мкл РНК (LIP), содержащей 20 мкг РНК и 26 мкг DOTMA (в первом исследовании вводили 60 мкг на инъекцию). Концентрация DOTMA во введенном продукте составляла 195 мкМ. Исследовали трех мышей на каждый момент времени.

Очевидно, DOTMA преимущественно обнаруживалась в селезенке и печени с несколько отличающейся кинетикой накопления. Во всех других исследованных органах/тканях (легкие, сердце, почки, лимфатические узлы, жировая ткань, костный мозг, мозг) результаты были в 10-50 раз ниже, чем в этих. На основании данных о печени и селезенке можно было оценить фармакокинетику DOTMA: максимальная концентрация была обнаружена через несколько дней после введения. В течение 20 дней концентрация DOTMA снизилась примерно до 50% от максимальных значений. Эти данные подтверждают предположение, что DOTMA выводится из органов в приемлемые сроки, и нельзя сделать никаких указаний на риск постоянного накопления в каком-либо органе.

В последующем исследовании концентрация DOTMA в выбранных органах оценивалась до (контрольная группа), во время и после восьминедельных инъекций РНК (LIP), каждая из которых включала 20 мкг РНК (RBL005.2) и 26 мкг DOTMA (Report_RB_15_004_V02). Образцы органов отбирали у мышей через час после первого введения РНК (LIP), а затем каждые две недели после предыдущего применения. После завершения восьми циклов применения мышей умерщвляли еще через 3, 6, 9, 12 и 15 недель для исследования клиренса DOTMA в органах. Повторное введение тестируемого объекта РНК (LIP) и отбор образцов органов проводились на месте, в то время как экстракция и количественная оценка DOTMA из предоставленных образцов органов проводились Charles River Laboratories Edinburgh Ltd. (Исследование № 322915). Результаты хорошо согласуются с предыдущими исследованиями, проведенными нами: опять же, самые высокие концентрации DOTMA наблюдались в селезенке как главном органе-мишени, за которым следует печень. Во всех других органах было обнаружено не более 5% концентрации, присутствующей в образцах селезенки (данные не показаны). Концентрации DOTMA росли с увеличением числа инъекций РНК (LIP), а затем непрерывно снижались в фазе восстановления после последнего применения. Конечный период полувыведения DOTMA в плазме (7,07 недели), селезенке (6,76 недели) и печени (6,57 недели) был сопоставим с данными, полученными у животных в период восстановления после 8-й дозы.

Таким образом, DOTMA как индикатор липидного носителя быстро (менее чем за час) доставляется в селезенку (и другие органы) после внутривенного введения РНК (LIP). Помимо селезенки, DOTMA преимущественно накапливается в печени, где, однако, трансляции РНК не наблюдается. В абсолютных цифрах количество DOTMA, обнаруженное в этих двух органах, было близко к общему кумулятивному количеству DOTMA, которое было полностью введено, тогда как количества DOTMA во всех других образцах органов были довольно незначительными.

По оценке животных в группах фазы восстановления, накопленная DOTMA после повторного применения РНК-(LIP) удаляется из органов с кинетикой, которая может быть разумно представлена методом распада первого порядка с приблизительным периодом полувыведения порядка 6-7 недель. Такая кинетика клиренса также соответствует результатам повторных применений, в которых наблюдалось временное накопление.

В совокупности все эти результаты подтверждают предположение, что DOTMA выводится из органов в приемлемые сроки и что потенциальный риск постоянного накопления липидов в плазме, печени, селезенке, легких, сердце, головном мозге, почках, матке, лимфатических узлах и костном мозге довольно низкий.

Обсуждение и выводы

IVT-РНК, состоящая из рибонуклеотидов, имеет структуру, идентичную РНК, продуцируемой клетками человеческого тела, только с 5'-кэпом в качестве особой структуры. Таким образом, IVT-РНК подвергаются тем же процессам деградации, что и природная мРНК. Избыточное количество РНКаз, особенно во внеклеточном пространстве и сыворотке, приводит к быстрому разрушению РНК.

Результаты исследований биораспределения РНК-(LIP) показывают высокие уровни РНК в крови вскоре после инъекции РНК-(LIP). РНК быстро выводится из крови и впоследствии обнаруживается, хотя и на гораздо более низких уровнях, в селезенке и печени, тогда как в легких можно обнаружить лишь незначительные количества. Поскольку РНК, распределяемая в печени, может приводить к временной иммунной активации через запуск TLR, ферменты печени будут тщательно контролироваться у пациентов после первой инъекции и на протяжении всего исследования. Через 48 часов и семь дней в крови и органах были обнаружены только остаточные количества РНК, что позволяет предположить, что РНК не накапливается и не сохраняется в каком-либо органе. Также сравнение уровней Cmax после 1-й и 8-й инъекций не показало каких-либо эффектов накопления.

В гонадах плазмидная ДНК либо не обнаруживалась, либо образцы были немного выше LLOD, что позволяет предположить, что существует лишь незначительный риск интеграции плазмидных остатков, например гена устойчивости к канамицину, в геном клеток зародышевой линии.

Было показано, что биораспределение DOTMA в первую очередь обнаруживается в селезенке и печени, что подтверждает селезенку как основной орган-мишень для вакцинации РНК (LIP) и значительно меньше подвергается воздействию в плазме и других тканях после однократного и восьми повторяющихся введений РНК (LIP). DOTMA выводился из плазмы, селезенки и печени с сопоставимым конечным периодом полувыведения порядка 6-7 недель. Перед расширенными клиническими испытаниями будет проведен более систематический анализ биораспределения и накопления DOTMA.

Раздел 6: Токсикология

Программа токсикологии для платформы РНК-вакцины включала несколько фармакологических исследований для проверки вакцинации РНК-(LIP) в различных диапазонах доз и исследования токсичности при повторных дозах, включая местные параметры фармакологии толерантности и безопасности, а также исследования иммунотоксичности. Исследования проводились в соответствии с условиями GLP во внешней CRO (LPT, Гамбург, Германия) с использованием партий РНК и липосом, сопоставимых с материалами клинических испытаний в рамках производственных процессов и аналитического контроля качества.

GLP-совместимые исследования включали 6-недельное исследование токсичности при повторной дозе с внутривенным введением восьми различных РНК DPs, кодирующих антигены рака молочной железы, мышам C57BL/6 (LPT № 30283).

Кроме того, было проведено дополнительное исследование токсичности с повторной дозой в течение 6 недель, соответствующее GLP, с использованием платформы РНК-вакцины с нацеливанием на ряд специфичных для меланомы антигенов (LPT № 28864). Хотя были протестированы различные последовательности РНК, данные о токсичности также актуальны для применения РНК DP, кодирующих TAA, и могут добавить важную информацию, поскольку тот же тип липосом использовался для приготовления РНК-(LIP). Профиль токсичности включенных в состав РНК в обоих исследованиях должен быть одинаковым или, по меньшей мере, сопоставимым из-за того факта, что возможные побочные эффекты связаны с внутренними молекулярными свойствами РНК, включенной в состав липосом, которые не зависят от последовательности и длины РНК.

Кроме того, было проведено дополнительное 4-недельное исследование токсичности при повторной дозе для оценки сравнимости липосом, использованных в 6-недельном исследовании токсичности при повторной дозе, с адаптированным к pH липосомным составом, буферные условия которого были слегка скорректированы по причинам долгосрочной стабильности. (LPT № 30586).

Резюме основных выводов В исследованиях LPT № 28864 и 30283 с использованием РНК меланосомного антигена и антигена рака молочной железы не наблюдалось токсикологических эффектов, которые можно было бы приписать вакцинации РНК-(LIP).
Признаков местной или системной реакции непереносимости у вакцинированных животных не отмечено. На массу тела, прием пищи, потребление питьевой воды, тесты функционального наблюдения, силу захвата передних и задних конечностей и спонтанную моторику тестируемые объекты не влияли.
Легкая и преходящая лимфопения наблюдалась у животных групп всех дозировок, которые, как считается, соответствуют предполагаемому фармакологическому эффекту вакцинации РНК-(LIP) из-за активации TLR и индукции цитокинов. Самое главное, что эти эффекты полностью восстановились через две недели.
Было обнаружено, что хемокин IP-10 (CXCL10) и IFN-α временно индуцируются дозозависимым образом, вероятно, из-за начала предполагаемого фармакологического эффекта.
Индукция IP-10 и IFN-α была максимальной через 6 часов после 5-й инъекции и почти или полностью вернулась к нормальным уровням через 24 часа.
Временные существенные индукции IL-6 и IFN-γ были обнаружены только у самцов животных групп с высокими дозами, тогда как для IL-2 наблюдались только умеренные индукции, независимо от пола и уровня дозы.
Связанное с тестируемым элементом увеличение ALAT, ASAT, GLDH и LDH было отмечено у животных из группы высоких доз, однако эти эффекты были временными и полностью исчезли через три недели. При гистопатологических исследованиях не было обнаружено признаков токсического действия на печень.
У животных групп всех дозировок наблюдалось увеличение массы селезенки. У животных группы средней и высокой доз эти эффекты полностью не восстановились через три недели. На мочевой статус и костный мозг не повлияли ни один из протестированных уровней доз. При некропсии и гистопатологическом исследовании изменений, связанных с тестируемыми объектами, не отмечено. Лимфоидная гиперплазия белой пульпы селезенки от минимальной до легкой из-за фармакологического механизма действия наблюдалась у животных, вакцинированных высокой дозой. Эти эффекты полностью исчезли через три недели.
Важно отметить, что, поскольку в группе с низкой дозой исследования LPT № 30283 (5 мкг общей РНК) не было обнаружено никаких результатов, NOAEL составлял 5 мкг общей РНК на животное (т.е. прибл. 0,2 мг/кг массы тела у мышей) была достигнута для РНК-(LIP)-вакцин.
В заключение следует отметить, что внутривенная инъекция вакцинных антигенов с множественными липосомами очень хорошо переносилась мышами. При сравнении профилей токсичности липосом, использованных в основных исследованиях, и липосомальной композиции, слегка адаптированной к pH, не наблюдалось никаких токсикологически значимых различий между двумя липосомными препаратами (LPT № 30586).

Отбор соответствующих видов

Авторы считают мышей подходящим видом для тестирования потенциально токсичных прямых эффектов РНК-(LIP)-вакцин по следующим основным причинам:

Мышь как модельная система обеспечивает все соответствующие характеристики врожденного и адаптивного иммунитета, относящиеся к характеристике прямых токсических эффектов РНК-DP, кодирующих TAA. Мыши проявляют все ожидаемые первичные и вторичные фармакологические эффекты от индукции CD4+/CD8+ Т-клеточных ответов на иммуномодулирующие эффекты, которые усиливают иммунологический ответ и приводят к последующему запуску TLR, клеточной активации и секреции цитокинов.

Мышиная система включает множество доступных инструментов и методов для исследования биологических эффектов, которые намного превосходят экспериментальные возможности у других видов (например, доступность моделей трансгенных мышей, тетрамеров MHC, антител и т.д.). Это позволяет более глубоко анализировать все неожиданные события.

Целевые эффекты вакцин не могут быть адекватно исследованы на животных. Таким образом, использование других видов животных не предоставит дополнительной информации, и, следовательно, использование высших млекопитающих не должно рассматриваться.

Токсикология однократной дозы

Исследования по определению диапазона доз обычно проводятся для обоснования доз для основного исследования токсичности и для получения первой информации об органах-мишенях и признаках токсичности. Авторы провели несколько фармакологических исследований для тестирования РНК-(LIP) в различных диапазонах доз с графиками, аналогичными предполагаемому клиническому режиму. В ходе этих исследований было обнаружено, что введение РНК-(LIP) вызывает благоприятные фармакодинамические эффекты и хорошо переносится.

Кроме того, предыдущие исследования токсичности показали, что вводимая внутривенно голая РНК очень хорошо переносится мышами также в высоких дозах. Липосомы, содержащие DOTMA или DOPE в качестве синтетических липидных компонентов, были протестированы в многочисленных клинических исследованиях, и несколько одобренных липосомальных готовых лекарственных форм показали очень хорошую переносимость. Некоторые липосомальные составы применялись для снижения специфической токсичности лекарственных средств, например нефротоксичности или гепатотоксичности нуклеиновых кислот в высоких дозах или токсичности малых молекул, таких как доксорубицин или клофазимин.

На основании данных, полученных в результате ряда внутренних исследований и литературных источников, был сделан следующий вывод:

Переносимые дозы для мышей, которые обеспечат достаточный запас безопасности для первой дозы при использовании человеком, могут быть выведены из проведенных фармакологических исследований.

Однократного введения дозы будет недостаточно, чтобы вызвать значительный иммунный ответ. Максимальный иммунный ответ наблюдался по меньшей мере после трех применений.

РНК-вакцины и липоплексные составы в целом хорошо переносятся.

Основываясь на этих выводах, мы решили не проводить исследования токсичности однократных доз, а непосредственно провели исследование токсичности при повторных дозах.

Токсикология многократных доз

Продукт РНК-(LIP) платформы РНК-вакцины был проанализирован на безопасность и токсичность в нескольких совместимых с GLP исследованиях токсичности многократных доз, направленных на внутривенное введение продуктов РНК-(LIP). В таблице 13 представлен обзор GLP-исследований токсичности многократных доз, которые подтверждают клинические испытания фаз 1 и 2 с использованием РНК-(LIP)-вакцин.

Таблица 13. Дизайн GLP-исследований токсичности многократных доз

Исследование Дизайн исследования 6-недельное исследование токсичности РНК (LIP) при в/в введении повторных доз мышам C57BL/6
(LPT № 28864)
Всего восемь внутривенных введений в хвостовую вену на 1, 4, 8, 11, 15, 22, 29 и 43 день с последующим 3-недельным периодом восстановления.
Вакцины: RBL001.1, RBL002.2, RBL003.1 и RBL004.1 РНК (LIP)
4 группы (14 животных/пол/группа):
1. контроль: носитель
2. низкая доза: 4 × 3,75 мкг (общее количество РНК: 15 мкг; общее количество DOTMA 17,4 мкг, общее количество DOPE: 9,3 мкг)
3. средняя доза: 4 × 7,5 мкг (общее количество РНК: 30 мкг; общее количество DOTMA 34,8 мкг; общее количество DOPE: 18,6 мкг)
4. высокая доза: 4 × 15 мкг (общее количество РНК: 60 мкг; общее количество DOTMA: 69,6 мкг; общее количество DOPE: 37,2 мкг)
6-недельное исследование токсичности РНК (LIP), состав совместно с RBLTet.1, при внутривенном введении мышам C57BL/6
(LPT № 30283)
Всего восемь внутривенных введений в хвостовую вену на 1, 4, 8, 11, 15, 22, 29 и 43 день с последующим периодом восстановления в 3 недели.
Пул вакцины 1:
RBL008.1, RBL005.2, RBL006.2, RBL007.1, совместно с RBLTet.1 (вспомогательный эпитоп P2P16 столбнячного анатоксина).
Пул вакцин 2:
RBL008.1, RBL009.1, RBL010.1, RBL011.1, совместно с RBLTet.1 (вспомогательный эпитоп P2P16 столбнячного анатоксина).
5 групп (14 животных/пол/группа):
1. контроль: носитель
2. низкая доза: пул вакцины 1 (0,6 мкг RBLTet.1 + 4 × 1,1 мкг антигенной РНК; общее количество DOTMA: 5,8 мкг; общее количество DOPE: 3,1 мкг)
3. высокая доза: пул вакцины 1 (6 мкг RBLTet.1 + 4 × 11 мкг антигенной РНК; общее количество DOTMA: 58,0 мкг; общее количество DOPE: 31,0 мкг)
4. низкая доза: пул вакцины 2 (0,6 мкг RBLTet.1 + 4 × 1,1 мкг антигенной РНК; общее количество DOTMA: 5,8 мкг; общее количество DOPE: 3,1 мкг)
5. высокая доза: пул вакцины 2 (6 мкг RBLTet.1 + 4 × 11 мкг антигенной РНК; общее количество DOTMA: 58,0 мкг; общее количество DOPE: 31,0 мкг)
4-недельное исследование токсичности при повторной дозе двух липосомальных препаратов RBL008.1 при внутривенном введении мышам C57BL/6
(LPT № 30586)
Всего пять в/в введений в хвостовую вену на 1, 4, 8, 11 и 25 день с последующим периодом восстановления в 2 недели.-
Вакцина: RBL008.1, липосомы L1, липосомы L2
2 группы (9 животных/пол/группа):
1:20 мкг RBL008.1 + 40 мкг липосом L1/животное
2: 20 мкг RBL008.1 + 40 мкг липосом L2/животное

Состав ATM

Состав, рецептура и спецификации AMT были спланированы как можно ближе к предполагаемой готовой лекарственной формы для применения на людях.

Незначительные изменения в процессе получения РНК-(LIP) пришлось внести по следующим причинам:

Для получения высокой дозы, которая увеличивает вероятность выявления потенциальных дозозависимых токсикологических эффектов и, таким образом, соответствует критериям тестирования токсичности, изложенным в руководящих принципах ICH S6 или M3 (R2).

Для предотвращения введения выше допустимого максимального объема у мышей, который составляет 250 мкл при медленной болюсной инъекции. Более высокие объемы инъекций не рекомендуются с этической точки зрения и несут риск потери мышей во время инъекции.

Отличия от клинического протокола:

Пациенты будут получать различные продукты РНК-(LIP) последовательно. У мышей это было невозможно из-за ограничения объема. РНК-(LIP) для мышей готовили индивидуально, затем смешивали, и все четыре липоплекса РНК вводили одновременно в общем объеме 250 мкл.

Для создания РНК-(LIP) для лечения пациентов будет использоваться 150 мМ NaCl. Чтобы получить более высокие дозы в исследованиях токсичности, необходимо было использовать растворы NaCl с более высокими концентрациями для образования РНК (LIP).

Для приготовления РНК-(LIP) для лечения пациентов будут использоваться готовые лекарственные формы РНК с концентрацией 0,25 мг/мл. Чтобы получить высокую дозу в исследовании токсичности, для получения продуктов РНК (LIP) в исследовании LPT № 28864 необходимо было использовать более концентрированные РНК, т.е. 1 мг/мл.

В этом испытании будут применяться липосомы, стабилизированные уксусной кислотой (L4), которые сконцентрированы в половину от ранее использованных, эквивалентно произведенных липосом, стабилизированных уксусной кислотой (L2). Никаких дальнейших исследований мостикового соединения не планировалось, поскольку даны те же характеристики, что и для липосом L2.

Наша позиция заключается в том, что упомянутые изменения в протоколе составления в ATM не имеют или мало влияют на результаты или проведение исследований.

Дизайн исследования

Дизайн исследования см. В таблице 13. Согласно ICH S6 и S8 данные стандартных исследований токсичности были оценены на предмет признаков иммунотоксического потенциала. Следующие исследования были выполнены в соответствии с руководящими документами FDA, ICH и CHMP: смертность, гистопатология (особенно селезенки), макроскопическая патология и масса органа, клинические наблюдения, офтальмология, местная переносимость, реакции в месте инъекции, масса тела, потребление пищи, стандартные гематологические параметры, клиническая химия и цитокины (IL-1β, IL-2, IL-6, IL-10, IL-12, TNF-α, INF-α, INF-γ и IP-10).

Были включены фармакологические исследования безопасности для проверки дыхательной и центральной нервной системы, как указано в Разделе 4.

Результаты

Токсикологическая оценка в 6-недельных исследованиях токсичности с повторными дозами с использованием платформы вакцины выявила лишь незначительные эффекты, которые в первую очередь можно отнести к ожидаемому фармакологическому способу действия РНК-(LIP) (таблица 14). Желаемыми иммуномодулирующими эффектами РНК- (LIP) являются активация TLR и высвобождение цитокинов. Индукция IFN-α у мышей приводит к вторичным эффектам, таким как лейкопения, уменьшение тромбоцитов и увеличение параметров печени, таких как ALAT, эффектам, которые обычно описываются для пациентов, получавших IFN-α.

В соответствии с этим, изменения, связанные с тестируемыми объектами, у обработанных животных были в основном временными (таблица 14). Кроме того, наблюдалась временная активация цитокинов IP-10, IFN-α, IL-6 и IFN-γ. Все индукции вернулись к нормальным уровням через 24 часа (за исключением уровней IP-10, которые все еще были немного выше нормальных уровней).

Гематологические данные у мышей включали в основном лимфоцитопению и низкое обратимое снижение общего количества лейкоцитов, нейтрофилов, ретикулоцитов и тромбоцитопению во всех группах обработки. Эти результаты были полностью обратимы. Лимфоидная гиперплазия, наблюдаемая для селезенки при гистопатологии, была полностью восстановлена и указывает на желаемый эффект и предполагаемое нацеливание тестируемого вещества и лимфоцитов на селезенку.

Наблюдаемые умеренные изменения в параметрах печени, таких как GLDH, LDH, ALAT и ASAT, повлияли в основном на группы с высокими дозами и не были замечены у животных из группы восстановления, что предполагает полное восстановление эффектов в течение по меньшей мере трех недель или меньше. При гистопатологическом исследовании не было выявлено токсических воздействий на печень.

Поскольку в исследовании LPT № 30283 не было обнаружено результатов в группе с низкой дозой, NOAEL соблюдался при дозе 5 мкг общей РНК на животное (т.е. приблизительно 0,2 мг/кг массы тела у мышей).

Дальнейшее 4-недельное исследование токсичности при повторных дозах было проведено для изучения изменения состава липосомального буфера (LPT № 30586). Полученные данные подтверждают, что новый тип липосом по измеренным параметрам абсолютно сопоставим с использованным в основном исследовании.

Таблица 14. Обзор токсикологических результатов исследований токсичности многократных доз с использованием РНК- (LIP) (LPT № 28864, 30283 и 30586)

Все описанные результаты были статистически значимыми по сравнению с контрольной группой.

Категория Исследо-вание № Выводы Смертность LPT № 28864 Одно животное из группы высокой дозы умерло преждевременно сразу после 5-й инъекции. У животного обнаружена увеличенная селезенка и умеренный внемедуллярный гемопоэз. Смерть считалась связанной с введением тестируемого объекта. LPT № 30283 Во время исследования преждевременных смертей не произошло. LPT № 30586 Одно животное из группы липосом L2 умерло преждевременно через 4 дня после 4-й инъекции. Никаких предсмертных симптомов не отмечалось. У животного выявлено увеличение яичников и аутолиз всех органов. Считалось, что смерть наступила самопроизвольно. Масса тела, потребление пищи LPT № 28864
LPT № 30283
LPT № 30586
На потребление пищи, массу тела и прибавку во всех исследованиях влияния оказано не было.
Местная толерантность LPT № 28864
LPT № 30283
LPT № 30586
Признаков местного нарушения толерантности не отмечалось ни в одном из исследований.
Клинические признаки LPT № 28864 Незначительное снижение подвижности наблюдалось у девяти животных из группы высокой дозы после 5-й инъекции, начиная через 5 мин после инъекции и продолжаясь прибл. 15 мин. После этого животные показали нормальное поведение. Это снова наблюдалось у одного животного после 6-й и 7-й инъекций. У одной самки одновременно наблюдалась легкая атаксия.
Однако, несмотря на то, что они были замечены только в группе, получавшей высокие дозы, эти результаты считаются спонтанными из-за единичного случая, вероятно, в результате обращения с животными во время процедуры введения. Это предположение подтверждается тем фактом, что при оценке двигательной активности в рамках неврологического скрининга не было измерено биологически значимых изменений.
LPT № 30283 Признаков системной непереносимости ни у одного животного не отмечено. LPT № 30586 Признаков системной непереносимости ни у одного животного не отмечено. Неврологический скрининг LPT № 28864 Был начат через 24 ч после 5-го приема. Никакого влияния, связанного с тестируемым элементом, не было отмечено ни у одного животного. LPT № 30283 Был начат через 24 ч после 5-го приема. Никакого влияния, связанного с тестируемым элементом, не было отмечено ни у одного животного. LPT № 30586 Не сделано. Плетизмография LPT № 28864 Была начата через 24 ч после 8-го приема. Никакого влияния, связанного с тестируемыми объектами, отмечено не было. LPT № 30283 Было начато через 24 ч после 4-го приема. Никакого влияния, связанного с тестируемыми объектами, отмечено не было. LPT № 30586 Не сделано. Гематология и коагуляция LPT № 28864
LPT № 30283
Уменьшение количества лейкоцитов, лимфоцитов и тромбоцитов, а также увеличение нейтрофилов и крупных неокрашенных клеток наблюдалось во группах всех дозировок. Эффекты были полностью восстановлены и считаются соответствующими фармакологическому эффекту РНК (LIP) из-за активации TLR и индукции IFNα (см. Также раздел 2.2.2.3).
LPT № 30586 Никаких изменений в гематологических параметрах, связанных с тестируемым объектом, между обеими группами не отмечено. Клиническая биохимия LPT № 28864 Некоторые изменения по сравнению с контрольными животными были обнаружены в ферментах печени, как показано ниже. При гистопатологических исследованиях не было указаний на токсичность печени (образцы для клинической биохимии были взяты незадолго до некропсии).
Уровни холестерина были увеличены во группах всех дозировок. Уровни аланинаминотрансферазы (ALAT), лактатдегидрогеназы (LDH) и глутаматдегидрогеназы (GLDH) были значительно увеличены в основном в группе высоких доз (60 мкг/животное).
LPT № 30283 Уровни холестерина были увеличены во группах всех дозировок. Уровни ALAT, аспартатаминотрансферазы (ASAT), LDH и GLDH были значительно увеличены в группах с высокими дозами (50 мкг/животное), более выраженными у самцов животных. LPT № 30586 В параметрах клинической биохимии не было замечено никаких связанных с тестируемым объектом изменений между обеими группами. Анализ мочи LPT № 28864
LPT № 30283
LPT № 30586
На параметры мочи не повлияло ни одно из исследований.
Офтальмология и слуховая система LPT № 28864
LPT № 30283
LPT № 30586
Ни одно из исследований не оказало влияния.
Цитокины LPT № 28864 Наблюдения в дозовых группах 2, 3 и 4:
IP-10: дозозависимая индукция с пиками через 6 ч после 4-го введения (до 29-кратной индукции). Уровни были близки к нормальным уровням через 24 часа (в 4-5 раз выше контрольной группы).
IL-6: дозозависимая индукция с пиками через 6 ч после 4-го введения (до 8-кратной индукции). Уровни были нормальными через 24 часа.
IL-10: индукция с пиками через 6 ч после 4-го введения (индукция до 3,5 раз) только у самок. Уровни были нормальными через 24 часа.
TNF-α: низкая индукция с пиками через 6 ч после 4-го введения (до 2,5-кратной индукции). Уровни были близки к нормальным уровням через 24 часа (в 2 раза у самок из группы высокой дозы).
Наблюдения только в дозовой группе 4 (высокая доза):
IFN-γ: Индукция у самцов (518%) и самок (88%) через 6 часов после 4-го приема вернулась к нормальным уровням через 24 часа.
LPT № 30283 Наблюдения во всех дозовых группах:
IP-10: дозозависимая индукция с пиками через 6 ч после 5-го введения (до 41-кратной индукции). Уровни были близки к нормальным уровням через 24 часа (в 4-5 раз выше контрольной группы).
Наблюдения в группах с высокими дозами (группы 3 и 5):
IL-6: индукция с пиками через 6 ч после 5-го введения (до 20-кратной индукции). Уровни были нормальными через 24 часа.
IFN-α: индукция с пиками через 6 ч после 5-го введения (индукция до 55-кратной). Уровни были нормальными через 24 часа.
IFN-γ: Индукция в группе 3 (мужчины 176 раз) и группе 5 (мужчины 49 раз) через 6 часов после 5-го приема, вернулась к нормальным уровням через 24 часа.
LPT № 30586 При измерении цитокинов между обеими группами не было отмечено никаких связанных с тестируемым элементом изменений. Дополнение LPT № 28864 Незначительное увеличение C5a через 24 часа после 6-го приема в группе 3 (13/70% у самцов/самок) и группе доз 4 (42/90%). LPT № 30283 Незначительное повышение (до 71%) C5a через 24 ч после 5-го приема во всех группах доз, только у самок. Уровни нормализовались через 48 часов. LPT № 30586 Не определено. Макроскопические патологоанатомические исследования LPT № 28864
LPT № 30283
LPT № 30586
Никаких макроскопических системных изменений, связанных с исследуемыми объектами, не было отмечено для групп всех дозировок во время периода обработки или восстановления во всех исследованиях.
Массы органов LPT № 28864 Незначительное увеличение массы печени (19%) наблюдалось у самцов групп всех дозировок и у самок 3-й группы (13%). Эффект полностью восстановился через 3 недели. Гистопатологические исследования не выявили признаков токсического действия на печень. Это открытие не имеет биологического значения, поскольку масса печени находился в пределах нормального диапазона биологических вариаций.
Увеличение массы селезенки (61–107%) наблюдалось у животных групп всех дозировок. Эффекты не были полностью восстановлены через 3 недели у животных групп со средней и высокой дозой.
LPT № 30283 Увеличение массы селезенки было дозозависимым и наблюдалось у животных групп всех дозировок (от 33–53% в группе с низкой дозой и 72–85% в группе с высокой дозой). Эффекты полностью не восстановились через 3 недели (от 19 до 22% в группе с низкой дозой и от 40 до 74% в группе с высокой дозой). LPT № 30586 Никаких изменений массы органов между обеими группами отмечено не было. Костный мозг LPT № 28864
LPT № 30283
LPT № 30586
На соотношение миелоидные: эритроидные клетки не повлияло ни одно из исследований.
Гистопатология LPT № 28864 Обследование было ограничено контролем и группами 3 и 4.
Селезенка: лимфоидная гиперплазия белой пульпы у животных 3 и 4 групп.
Тимус: выраженная атрофия у самок животных только у животных 3-й и 4-й групп.
Все эффекты полностью восстановились через 3 недели.
Ни в одном другом органе лимфоидной гиперплазии не наблюдалось. Наблюдаемые эффекты в лимфоидных органах связаны с фармакологическим механизмом действия и не считаются побочной реакцией.
LPT № 30283 Обследование было ограничено контролем и группами 3 и 5.
Селезенка: лимфоидная гиперплазия белой пульпы у животных групп высоких доз. Все эффекты полностью восстановились через 3 недели.
Ни в одном другом органе лимфоидной гиперплазии не наблюдалось. Наблюдаемые эффекты в лимфоидных органах обусловлены фармакологическим механизмом действия и не рассматриваются как побочная реакция.
LPT № 30586 Гистопатологическое исследование было ограничено основными исследуемыми животными, получавшими 20 мкг RBL008.1/животное + 40 мкг липосом L2/животное (группа 2). Не было отмечено никаких морфологических повреждений, которые, как считается, были связаны с введением RBL008.1 в сочетании с липосомами L2. Считалось, что все наблюдения находятся в пределах нормального диапазона фоновых изменений, которые могут наблюдаться у необработанных мышей этого возраста и линии.

Генотоксичность

Предполагается, что компоненты продуктов РНК-(LIP) (липиды и РНК) обладают генотоксическим потенциалом. Никакие примеси или компоненты системы доставки не требуют тестирования на генотоксичность. В соответствии с рекомендациями, приведенными в руководстве ICH по доклинической оценке безопасности биотехнологических фармацевтических препаратов S6 (R1) (июнь 2011 г.), исследования генотоксичности не планируются.

Канцерогенность

Сама РНК и липиды, используемые в качестве носителей, не обладают канцерогенным или туморогенным действием. В соответствии с ICH S1A, долгосрочные исследования канцерогенности не требуются в тех случаях, когда нет причин для беспокойства, вытекающих из лабораторных и токсикологических исследований, и если длительное применение лекарственного средства не является ожидаемым.

Репродуктивная токсичность и токсичность для развития

Макроскопические и микроскопические исследования репродуктивных тканей самцов и самок были включены в исследования токсичности многократных доз на мышах, получавших РНК (LIP). В этих исследованиях не было обнаружено никаких результатов, поэтому никаких исследований специфической фертильности и токсичности для развития не будет проводиться до начала исследований фазы 1 с РНК (LIP) вакцинами. Прямого цитотоксического воздействия на репродуктивные ткани РНК (LIP) не ожидается, что подтверждается опытом других противоопухолевых вакцин, не показывающих воздействия на репродукцию и развитие. Поскольку нельзя исключить влияние на репродуктивную функцию, женщинам детородного возраста придется использовать эффективные средства контрацепции во время лечения. На данный момент никаких дальнейших исследований по долгосрочным или репродуктивным токсическим воздействиям не планируется.

Местная толерантность

Согласно рекомендации ICH, тестирование на местную переносимость оценивалось в исследовании токсичности GLP при повторной дозе для внутривенной инъекции. Признаков местной непереносимости во время исследований не наблюдалось.

Другие исследования токсичности

Антигенность

Из-за быстрого внеклеточного распада IVT-РНК в течение от секунд до минут образования антител против лекарств (ADA) не ожидается. Поэтому никаких тестов на специфическую антигенность в отношении индукции антител не планируется.

Иммунотоксичность

Поскольку имеется намерение активировать иммунную систему продуктами РНК (LIP), особое внимание было уделено иммунотоксикологическим параметрам, чтобы исключить непреднамеренную активацию или подавление. Проверка иммунотоксикологии проводилась в обоих 6-недельных исследованиях токсичности с многократным введением (LPT № 28864 и 30283). Помимо мониторинга уровней цитокинов в сыворотке, для оценки иммунотоксичности учитывались следующие релевантные параметры: масса тела, температура тела, масса лимфатических органов, макроскопическая и гистопатология лимфатических органов, абсолютный и относительный дифференциальный анализ крови, общий белок сыворотки, соотношение альбумин/иммуноглобулин, соотношение миелоидные/эритроидные клетки в костном мозге, параметры свертывания.

Гематология

Уменьшение количества лимфоцитов, лейкоцитов (в основном из-за уменьшения количества лимфоцитов) и тромбоцитов наблюдалось во всех группах лечения на 44 день тестирования, примерно через 24 часа после 8-й инъекции в обоих исследованиях. Все эффекты полностью восстановились через две недели. Результаты показаны в таблице 15 и таблице 16 для исследований LPT № 28864 и 30283, соответственно.

Таблица 15. Гематологические данные (LPT № 28864)

Образцы для определения гематологии были взяты на 44 день тестирования (примерно через 24 часа после 8-й инъекции).

Изменения гематологических показателей по сравнению с контрольной группой (средние значения) в конце периода обработки (44-й день тестирования) [%] Параметр Группа 2
15 мкг/животное
Группа 3 30 мкг/животное Группа 4 60 мкг/животное
самцы самки самцы самки самцы самки Лейкоциты (WBC) –72 ** –60 ** –78 ** –61 ** –68 ** –69 ** Нейтрофильные гранулоциты (нейтральные) -отн. +100 +50 +163 +58 +74 +36 -абс. –46 * –30 –44 * –29 –47 * –51 Лимфоциты (Lym) -отн. –16 –10 –19 Нет –10 Нет -абс. –77 ** –64 ** –82 ** –65 ** –71 ** –71 ** Моноциты (моно) -отн. +89 –21 +68 Нет –24 –29 -абс. –44 ** –64 –59 ** –43 –72 ** –79 * Эозинофильные гранулоциты (Eos) -отн. +41 +68 +90 +45 –34 –23 -абс. –59 ** –43 –59 ** –38 –78 ** –73 * Большие неокрашенные клетки (LUC) -отн. +385 +315 +257 +239 +259 +275 -абс. +59 +28 –25 Нет +13 Нет Базофильные гранулоциты (Baso) -отн. +255 +144 +445 +50 +273 +80 Тромбоциты (PCT) –35 ** –38 ** –32 ** –39 ** –46 ** –39 **

* Статистически значимо, p ≤ 0,05; ** статистически значимо, p ≤ 0,01 (критерий Даннетта).

Таблица 16. Гематологические данные (LPT № 30283)

Образцы для определения гематологии были взяты на 44 день тестирования (примерно через 24 часа после 8-й инъекции).

Изменения гематологических показателей по сравнению с контрольной группой (средние значения) в конце периода обработки (44-й день тестирования) [%] Параметр Группа 2:
5 мкг/животное (набор РНК 1)
+ 9 мкг/животное (липосомы)
Группа 3:
50 мкг/животное (набор РНК 1)
+ 90 мкг/животное (липосомы)
Группа 4:
5 мкг/животное (набор РНК 2)
+ 9 мкг/животное (липосомы)
Группа 5:
50 мкг/животное (набор РНК 2)
+ 90 мкг/животное (липосомы)
самцы самки самцы самки самцы самки самцы самки Лейкоциты (WBC) –15 –54 –65 –39 –51 ** –48 –71 ** –57 ** Тромбоциты (PCT) –18 * Нет –48 ** –43 ** –16 ** Нет –45 ** –46 ** Ретикулоциты (Ret) Нет –30 ** –27 ** –34 ** –17 ** –25 ** –27 ** –38 ** Нейтрофильный
гранулоциты (нейтральные)
-отн. +125 +24 +199 +32 +81 +22 +234 +72
Лимфоциты
(Лим)
-отн. –11 –5 –21 –8 –11 –4 –20 –9
-абс. –21 –56 * –73 –43 –56 * –49 * –89 ** –61 * Моноциты (моно) -отн. Нет Нет –12 –74 Нет Нет –41 –47 -абс. Нет Нет –74 * –93 * Нет Нет –76 ** –71 Большие неокрашенные клетки (LUC) -отн. +86 +29 +516 +640 +194 +195 +320 +295 -абс. Нет Нет +80 * +336 * +30 +50 Нет +71 * Базофильные гранулоциты
(Басо)
-отн. Нет Нет +540 +290 Нет Нет +300 +90
Тромбоциты (PCT) –18 * Нет –48 ** –43 ** –16 ** Нет –45 ** –46 **

* Статистически значимо, p ≤ 0,05; ** статистически значимо, p ≤ 0,01 (критерий Даннетта).

Определение цитокинов

Экскреция следующих цитокинов была проанализирована в исследованиях токсичности при повторных дозах: IL-1β, IL2, IL-6, IL-10, IL-12p70, TNF-α, IFN-γ и IP-10, которые, как известно, являются чувствительными индикаторами иммунной активации или передачи сигналов TLR7. В исследовании токсичности LPT № 28864 у мышей выявили дозозависимое и связанное с тестируемым объектом повышение цитокина IP-10. Уровни IP-10 временно увеличивались и были максимальными через 6 часов после 4-й инъекции. Через 24 часа уровни все еще были значительно выше по сравнению с контрольными уровнями, но уже почти вернулись к нормальным уровням. По сравнению с контрольной группой, IP-10 показал максимальную индукцию в 28 и 16 раз (у самцов и самок, соответственно) через 6 часов. Значительное увеличение также наблюдалось для TNF-α (только самки, группы 2, 3 и 4), IL-10 (только самки, группы 3 и 4), IL-6 (самцы, группа 4) и IFN-γ. (самец, группа 4). Максимальная индукция была 3-кратной для TNF-α, 4-кратной для IL-10, 7- и 8-кратной для IL-6 и 6- и 2-кратной для IFN-γ. Все эффекты были полностью обратимы через 24 ч (за исключением уровней TNF-α у женщин 4-й группы). Результаты суммированы в таблице 17.

Таблица 17. Уровни цитокинов в плазме (LPT № 28864)

Образцы для определения цитокинов отбирали через 6 и 24 ч после 4-й инъекции.

Связанные с тестируемым элементом изменения уровней цитокинов (средние значения), выраженные как x-кратное увеличение по сравнению с уровнем контрольной группы, если применимо Цитокин Время Группа 2
15 мкг/животное
Группа 3 30 мкг/животное Группа 4 60 мкг/животное
самцы самки самцы самки самцы самки IL-6 6 ч 2x 2x 3x 7x ** 7x ** 8x ** Ил-10 6 ч Нет 2x Нет 4x ** Нет 4x ** IP-10 6 ч 17x ** 11x ** 22x ** 17x ** 29x ** 17x ** 24 ч 4x ** 4x ** 4x ** 4x ** 5x ** 5x ** IFN-γ 6 ч Нет Нет Нет Нет 6x ** 2x TNF-α 6 ч 1x 2x * 1x 2x ** 1x 2x ** 24 ч Нет Нет Нет 1x Нет 2x **

* Статистически значимо, p ≤ 0,05; ** статистически значимо, p ≤ 0,01 (критерий Даннетта).

Для определения цитокинов в исследовании LPT № 30283 образцы сыворотки были взяты через 6 и 24 ч после 5-го введения. Было обнаружено повышение сывороточных уровней IL-2, IL-6, IP-10, IFN-α и IFN-γ (таблица 18). Для IL-6 была отмечена явно зависимая от дозы индукция. Для IFNγ индукция была отмечена после обработки высокими дозами (статистически значимая при p ≤ 0,01), будучи более выраженной у самцов животных. Для IFNα индукция наблюдалась после обработки низкой дозой и после обработки высокой дозой (статистически значимая при p ≤ 0,01 или p ≤ 0,05), будучи более выраженной для самок животных в группе 5 (набор РНК 2, высокая доза). Индукция всех вышеупомянутых цитокинов снизилась через 24 часа после введения.

Относительно низкая, но дозозависимая индукция IL-2 была отмечена у самцов и самок животных через 6 и 24 часа после лечения низкими или высокими дозами.

Выраженный дозозависимый эффект был обнаружен для IP10 при всех уровнях доз для самцов и самок животных по сравнению с контрольной группой через 6 часов после обработки высокими дозами. Через 24 часа после введения уровни IP10 все еще были повышены по сравнению с контрольной группой при всех уровнях доз. Эта индукция IP-10 отражает предполагаемый фармакологический эффект и не рассматривается как нежелательное иммунотоксикологическое событие.

Таблица 18. Уровни цитокинов в плазме (LPT № 30283)

Образцы для определения цитокинов отбирали через 6 и 24 ч после 5-й инъекции.

Связанные с тестируемым элементом изменения уровней цитокинов (средние значения), выраженные как x-кратное увеличение по сравнению с уровнем контрольной группы, если применимо, или только как увеличение Цитокин Время Группа 2:
5 мкг/животное (набор РНК 1)
+ 9 мкг/животное (липосомы)
Группа 3:
50 мкг/животное (набор РНК 1)
+ 90 мкг/животное (липосомы)
Группа 4:
5 мкг/животное (набор РНК 2)
+ 9 мкг/животное (липосомы)
Группа 5:
50 мкг/животное (набор РНК 2)
+ 90 мкг/животное (липосомы)
Самцы самки самцы самки самцы самки самцы самки IL-2 6 ч увелич. 1x увелич. 2x Нет 1x увелич. ** 31x 24 ч Нет увелич. увелич. * увелич. увелич. увелич. увелич. увелич. IL-6 6 ч 2x увелич. 22x ** увелич. ** 2x увелич. 21x ** увелич. ** 24 ч Нет Нет Нет 2x 1x 3x 1x 2x IP-10 6 ч 18x * 11x ** 41x ** 25x ** 20x ** 14x ** 34x ** 22x ** 24 ч 4x * 3x ** 6x ** 5x ** 3x ** 3x * 4x ** 4x ** IFN-α 6 ч 5x * 8x * 15x ** 28x ** 8x * 9x 13x ** 55x ** 24 ч Нет Нет Нет Нет Нет Нет Нет Нет IFN-γ 6 ч 4x увелич. 176x ** увелич. ** 2x увелич. 49x ** увелич. ** 24 ч Нет Нет Нет Нет Нет Нет Нет Нет

увелич.: было отмечено явное увеличение по сравнению с контрольной группой, однако, поскольку значение контрольной группы было установлено на «0,0», увеличение не может быть выражено как кратное.

* Статистически значимо, p ≤ 0,05; ** статистически значимо, p ≤ 0,01 (критерий Даннетта).

Определение цитокинов было также выполнено в ходе исследования по сравнению липосом L1 и L2 (LPT № 30586). Здесь цитокины анализировали через 6 и 24 часа после 4-й иммунизации. Никаких изменений, связанных с заданиями теста, между группами замечено не было.

Обсуждение и заключение

Обработка РНК-(LIP) хорошо переносится мышами, как показано для ряда антигенкодирующих РНК, оцененных в трех различных исследованиях токсичности при повторных дозах (LPT № 28864, 30283 и 30586). В целом, лечение до восьми внутривенных инъекций переносилось хорошо, также у животных из групп с высокими дозами. В исследованиях № 30283 и 30586 преждевременных смертей, связанных с тестируемыми объектами, не наблюдалось. Одно животное умерло преждевременно после введения тестируемого объекта в исследовании № 28864. Поскольку в группе с низкой дозой исследования № 30283 не было никаких результатов, NOAEL был достигнут при дозе 5 мкг общей РНК на животное (т.е. примерно 0,2 мг/кг массы тела у мышей). Кроме того, вакцинация с помощью продуктов РНК (LIP) также очень хорошо переносилась в фармакологическом исследовании без GLP на двенадцати яванских макаках (нет данных клинических наблюдений).

Токсикологическая оценка РНК-(LIP) в исследованиях токсичности многократных доз на мышах выявила эффекты, включая временную индукцию цитокинов, гематологические изменения и повышение уровня ферментов печени, которые можно отнести к тестируемому объекту. Наблюдаемые эффекты заключались в основном в индукции цитокинов IP-10, IFN-α, IFN-γ и IL-6 в исследованиях in vivo, описанных в данном документе, а также в исследованиях in vitro, описанных и обсужденных выше.

Примечательно, что ни один из провоспалительных цитокинов, таких как TNF-α, IFN-γ или IL-2, не был чрезмерно повышен у мышей. Однако в исследовании яванского макака по меньшей мере у одного животного была выявлена высокая временная индукция IL-6 (1076 пг/мл). Индукция IL-6 также наблюдалась у мышей в зависимости от дозы, но в меньшей степени. IL-6 вместе с другими цитокинами будет тщательно контролироваться на протяжении всего клинического исследования и непосредственно анализироваться у пациентов.

Такие эффекты, как лимфопения и повышение уровня печеночных ферментов, также наблюдались после лечения липоплексами плазмид и активации TLR у мышей и обезьян и обычно наблюдаются как вторичные эффекты, вызванные секрецией IFN-α, которые обычно описываются для пациентов, получавших рекомбинантный IFN-α, который присутствует на рынке уже много лет для лечения ряда онкологических и неонкологических заболеваний.

Наблюдаемые изменения параметров печени в группе мышей, получавшей высокие дозы, предполагают, что печень может быть мишенью токсичности при более высоких дозах РНК в составе липосом. Изменения включают увеличение массы печени, повышение уровней GLDH, LDH, ASAT и ALAT в плазме. Эти изменения считаются незначительными и не наблюдались у животных из группы восстановления, что предполагает полное восстановление эффектов в течение по меньшей мере трех недель. Кроме того, гистопатология не выявила токсичности для печени. У яванского макака биохимические параметры животных группы, получавшей липосомы, и животных, получавших исследуемый объект, по сравнению с контрольными животными рассматривали как находящиеся в пределах нормальной биологической изменчивости. Повышение CK, отмеченное для отдельных животных групп 4, 5 или 6 по сравнению с контрольными животными в дни испытаний 9, 16 или 23, в основном объяснялось фракцией CK-MM и считалось связанным со стрессом.

Умеренное повышение параметров печени у мышей может быть реакцией иммуномодулирующих эффектов, которые могут быть вызваны фагоцитозом РНК-(LIP) клетками-мишенями печени, такими как клетки Купфера. В отличие от эффектов, наблюдаемых в селезенке мышей (лимфоидная гиперплазия), это не приводит к привлечению лейкоцитов в печень, что позволяет предположить, что искомые фармакологические эффекты, такие как активация TLR и перенос лимфоцитов, ограничиваются лимфоидным органом.

Ранее сообщалось об активации комплемента для веществ, содержащих липосомы. Для вакцинации РНК-(LIP) у самок мышей наблюдались несколько повышенные уровни C5a, но это было расценено как событие с низкой биологической значимостью. Кроме того, мышей не считают хорошей моделью для экстраполяции эффектов комплемента на людей.

В целом, иммунологические ответы, наблюдаемые во всех трех исследованиях токсичности многократных доз РНК-(LIP) (LPT № 28864, 30283 и 30586), предполагают полную картину увеличения массы селезенки, активации цитокинов/хемокинов и транспорта лимфоцитов. Это отражает индукцию предполагаемых фармакологических событий и подчеркивает важность мышей как правильной тестовой модели для исследований токсичности. В промежуточном исследовании LPT № 30583 по оценке токсичности pH-адаптированного липосомального препарата L2 не наблюдалось заметных различий между двумя липосомными составами. В этом испытании будут применяться липосомы L4, адаптированные к pH, которые представляют собой полуконцентрированные липосомы L2. Никаких дальнейших связывающих исследований не планировалось, так как даны те же характеристики, что и для липосом L2.

Пример 3: Индукция антигенспецифических Т-клеток в селезенке с помощью KLK2-, KLK3-, ACPP-, NKX3-1- и HOXB13-кодирующей РНК

На 1-й, 8-й, 15-й и 22-й день мышей A2/DR1 иммунизировали 200 мкл раствора РНК (Lip) с концентрацией 0,15 мг/мл, что соответствует 30 мкг РНК (Lip).

Спленоциты получали от иммунизированных мышей A2/DR1 через пять дней после последней из четырех инъекций РНК (Lip), и индукцию антигенспецифических Т-клеток определяли in vivo с помощью анализа ELISPOT. Для проверки иммуногенности выделенные спленоциты повторно стимулировали пулом пептидов (15 меров, перекрывающихся 11 аминокислотами), охватывающего соответствующие белки человека, KLK2, KLK3 (PSA), ACPP (PAP), NKX3-1 или HOXB13. Результаты представлены на фиг. 20. Количество пятен IFN-γ +, индуцированных KLK2-, ACPP- и HOXB13-кодирующей РНК (Lip), было статистически выше по сравнению с рестимуляцией контрольным пептидом CMV pp65 согласно непарному t-критерию (P = 0,0056; P> 0,0001; P = 0,0095). У всех иммунизированных мышей рестимуляция спленоцитов контрольными пептидами P2/P16/P17 также приводила к большому количеству пятен, указывающему на успешную иммунизацию. На всех планшетах для ELISPOT среда отрицательного контроля вызывала только минимальное количество пятен независимо от животного, от которого были получены спленоциты.

--->

СПИСОК ПОСЛЕДОВАТЕЛЬНОСТЕЙ

<110> БИОНТЕХ РНА ФАРМАСЬЮТИКАЛС ГМБХ

<120> ТЕРАПЕВТИЧЕСКАЯ РНК ДЛЯ РАКА ПРЕДСТАТЕЛЬНОЙ ЖЕЛЕЗЫ

<130> 674-273 PCT2

<150> PCT/EP2019/056185

<151> 2019-03-12

<160> 31

<170> PatentIn version 3.5

<210> 1

<211> 261

<212> PRT

<213> Artificial Sequence

<220>

<223> KLK2

<400> 1

Met Trp Asp Leu Val Leu Ser Ile Ala Leu Ser Val Gly Cys Thr Gly

1 5 10 15

Ala Val Pro Leu Ile Gln Ser Arg Ile Val Gly Gly Trp Glu Cys Glu

20 25 30

Lys His Ser Gln Pro Trp Gln Val Ala Val Tyr Ser His Gly Trp Ala

35 40 45

His Cys Gly Gly Val Leu Val His Pro Gln Trp Val Leu Thr Ala Ala

50 55 60

His Cys Leu Lys Lys Asn Ser Gln Val Trp Leu Gly Arg His Asn Leu

65 70 75 80

Phe Glu Pro Glu Asp Thr Gly Gln Arg Val Pro Val Ser His Ser Phe

85 90 95

Pro His Pro Leu Tyr Asn Met Ser Leu Leu Lys His Gln Ser Leu Arg

100 105 110

Pro Asp Glu Asp Ser Ser His Asp Leu Met Leu Leu Arg Leu Ser Glu

115 120 125

Pro Ala Lys Ile Thr Asp Val Val Lys Val Leu Gly Leu Pro Thr Gln

130 135 140

Glu Pro Ala Leu Gly Thr Thr Cys Tyr Ala Ser Gly Trp Gly Ser Ile

145 150 155 160

Glu Pro Glu Glu Phe Leu Arg Pro Arg Ser Leu Gln Cys Val Ser Leu

165 170 175

His Leu Leu Ser Asn Asp Met Cys Ala Arg Ala Tyr Ser Glu Lys Val

180 185 190

Thr Glu Phe Met Leu Cys Ala Gly Leu Trp Thr Gly Gly Lys Asp Thr

195 200 205

Cys Gly Gly Asp Ser Gly Gly Pro Leu Val Cys Asn Gly Val Leu Gln

210 215 220

Gly Ile Thr Ser Trp Gly Pro Glu Pro Cys Ala Leu Pro Glu Lys Pro

225 230 235 240

Ala Val Tyr Thr Lys Val Val His Tyr Arg Lys Trp Ile Lys Asp Thr

245 250 255

Ile Ala Ala Asn Pro

260

<210> 2

<211> 405

<212> PRT

<213> Artificial Sequence

<220>

<223> KLK2 fusion

<400> 2

Met Trp Asp Leu Val Leu Ser Ile Ala Leu Ser Val Gly Cys Thr Gly

1 5 10 15

Ala Val Pro Leu Ile Gln Ser Arg Ile Val Gly Gly Trp Glu Cys Glu

20 25 30

Lys His Ser Gln Pro Trp Gln Val Ala Val Tyr Ser His Gly Trp Ala

35 40 45

His Cys Gly Gly Val Leu Val His Pro Gln Trp Val Leu Thr Ala Ala

50 55 60

His Cys Leu Lys Lys Asn Ser Gln Val Trp Leu Gly Arg His Asn Leu

65 70 75 80

Phe Glu Pro Glu Asp Thr Gly Gln Arg Val Pro Val Ser His Ser Phe

85 90 95

Pro His Pro Leu Tyr Asn Met Ser Leu Leu Lys His Gln Ser Leu Arg

100 105 110

Pro Asp Glu Asp Ser Ser His Asp Leu Met Leu Leu Arg Leu Ser Glu

115 120 125

Pro Ala Lys Ile Thr Asp Val Val Lys Val Leu Gly Leu Pro Thr Gln

130 135 140

Glu Pro Ala Leu Gly Thr Thr Cys Tyr Ala Ser Gly Trp Gly Ser Ile

145 150 155 160

Glu Pro Glu Glu Phe Leu Arg Pro Arg Ser Leu Gln Cys Val Ser Leu

165 170 175

His Leu Leu Ser Asn Asp Met Cys Ala Arg Ala Tyr Ser Glu Lys Val

180 185 190

Thr Glu Phe Met Leu Cys Ala Gly Leu Trp Thr Gly Gly Lys Asp Thr

195 200 205

Cys Gly Gly Asp Ser Gly Gly Pro Leu Val Cys Asn Gly Val Leu Gln

210 215 220

Gly Ile Thr Ser Trp Gly Pro Glu Pro Cys Ala Leu Pro Glu Lys Pro

225 230 235 240

Ala Val Tyr Thr Lys Val Val His Tyr Arg Lys Trp Ile Lys Asp Thr

245 250 255

Ile Ala Ala Asn Pro Gly Gly Ser Gly Gly Gly Gly Ser Gly Gly Lys

260 265 270

Lys Gln Tyr Ile Lys Ala Asn Ser Lys Phe Ile Gly Ile Thr Glu Leu

275 280 285

Lys Lys Leu Gly Gly Gly Lys Arg Gly Gly Gly Lys Lys Met Thr Asn

290 295 300

Ser Val Asp Asp Ala Leu Ile Asn Ser Thr Lys Ile Tyr Ser Tyr Phe

305 310 315 320

Pro Ser Val Ile Ser Lys Val Asn Gln Gly Ala Gln Gly Lys Lys Leu

325 330 335

Gly Ser Ser Gly Gly Gly Gly Ser Pro Gly Gly Gly Ser Ser Ile Val

340 345 350

Gly Ile Val Ala Gly Leu Ala Val Leu Ala Val Val Val Ile Gly Ala

355 360 365

Val Val Ala Thr Val Met Cys Arg Arg Lys Ser Ser Gly Gly Lys Gly

370 375 380

Gly Ser Tyr Ser Gln Ala Ala Ser Ser Asp Ser Ala Gln Gly Ser Asp

385 390 395 400

Val Ser Leu Thr Ala

405

<210> 3

<211> 783

<212> RNA

<213> KLK2 CDS

<400> 3

augugggacc ugguucucuc caucgccuug ucuguggggu gcacuggugc cgugccccuc 60

auccagucuc ggauuguggg aggcugggag ugugagaagc auucccaacc cuggcaggug 120

gcuguguaca gucauggaug ggcacacugu gggggugucc uggugcaccc ccagugggug 180

cucacagcug cccauugccu aaagaagaau agccaggucu ggcugggucg gcacaaccug 240

uuugagccug aagacacagg ccagaggguc ccugucagcc acagcuuccc acacccgcuc 300

uacaauauga gccuucugaa gcaucaaagc cuuagaccag augaagacuc cagccaugac 360

cucaugcugc uccgccuguc agagccugcc aagaucacag auguugugaa gguccugggc 420

cugcccaccc aggagccagc acuggggacc accugcuacg ccucaggcug gggcagcauc 480

gaaccagagg aguucuugcg ccccaggagu cuucagugug ugagccucca ucuccugucc 540

aaugacaugu gugcuagagc uuacucugag aaggugacag aguucauguu gugugcuggg 600

cucuggacag gugguaaaga cacuuguggg ggugauucug gggguccacu ugucuguaau 660

ggugugcuuc aagguaucac aucauggggc ccugagccau gugcccugcc ugaaaagccu 720

gcuguguaca ccaagguggu gcauuaccgg aaguggauca aggacaccau cgcagccaac 780

ccc 783

<210> 4

<211> 1700

<212> RNA

<213> Artificial Sequence

<220>

<223> KLK2 RNA

<400> 4

gggcgaacua guauucuucu gguccccaca gacucagaga gaacccgcca ccauguggga 60

ccugguucuc uccaucgccu ugucuguggg gugcacuggu gccgugcccc ucauccaguc 120

ucggauugug ggaggcuggg agugugagaa gcauucccaa cccuggcagg uggcugugua 180

cagucaugga ugggcacacu gugggggugu ccuggugcac ccccaguggg ugcucacagc 240

ugcccauugc cuaaagaaga auagccaggu cuggcugggu cggcacaacc uguuugagcc 300

ugaagacaca ggccagaggg ucccugucag ccacagcuuc ccacacccgc ucuacaauau 360

gagccuucug aagcaucaaa gccuuagacc agaugaagac uccagccaug accucaugcu 420

gcuccgccug ucagagccug ccaagaucac agauguugug aagguccugg gccugcccac 480

ccaggagcca gcacugggga ccaccugcua cgccucaggc uggggcagca ucgaaccaga 540

ggaguucuug cgccccagga gucuucagug ugugagccuc caucuccugu ccaaugacau 600

gugugcuaga gcuuacucug agaaggugac agaguucaug uugugugcug ggcucuggac 660

aggugguaaa gacacuugug ggggugauuc ugggggucca cuugucugua auggugugcu 720

ucaagguauc acaucauggg gcccugagcc augugcccug ccugaaaagc cugcugugua 780

caccaaggug gugcauuacc ggaaguggau caaggacacc aucgcagcca accccggagg 840

auccgguggu ggcggcagcg gcggcaagaa gcaguacauc aaggccaaca gcaaguucau 900

cggcaucacc gagcugaaga agcugggagg gggcaaacgg ggaggcggca aaaagaugac 960

caacagcgug gacgacgccc ugaucaacag caccaagauc uacagcuacu uccccagcgu 1020

gaucagcaaa gugaaccagg gcgcucaggg caagaaacug ggcucuagcg gagggggagg 1080

cucuccuggc gggggaucua gcaucguggg aauuguggca ggacuggcag ugcuggccgu 1140

gguggugauc ggagccgugg uggcuaccgu gaugugcaga cggaagucca gcggaggcaa 1200

gggcggcagc uacagccagg ccgccagcuc ugauagcgcc cagggcagcg acgugucacu 1260

gacagccuag uaacucgagc ugguacugca ugcacgcaau gcuagcugcc ccuuucccgu 1320

ccuggguacc ccgagucucc cccgaccucg ggucccaggu augcucccac cuccaccugc 1380

cccacucacc accucugcua guuccagaca ccucccaagc acgcagcaau gcagcucaaa 1440

acgcuuagcc uagccacacc cccacgggaa acagcaguga uuaaccuuua gcaauaaacg 1500

aaaguuuaac uaagcuauac uaaccccagg guuggucaau uucgugccag ccacaccgag 1560

accuggucca gagucgcuag ccgcgucgcu aaaaaaaaaa aaaaaaaaaa aaaaaaaaaa 1620

gcauaugacu aaaaaaaaaa aaaaaaaaaa aaaaaaaaaa aaaaaaaaaa aaaaaaaaaa 1680

aaaaaaaaaa aaaaaaaaaa 1700

<210> 5

<211> 261

<212> PRT

<213> Artificial Sequence

<220>

<223> PSA

<400> 5

Met Trp Val Pro Val Val Phe Leu Thr Leu Ser Val Thr Trp Ile Gly

1 5 10 15

Ala Ala Pro Leu Ile Leu Ser Arg Ile Val Gly Gly Trp Glu Cys Glu

20 25 30

Lys His Ser Gln Pro Trp Gln Val Leu Val Ala Ser Arg Gly Arg Ala

35 40 45

Val Cys Gly Gly Val Leu Val His Pro Gln Trp Val Leu Thr Ala Ala

50 55 60

His Cys Ile Arg Asn Lys Ser Val Ile Leu Leu Gly Arg His Ser Leu

65 70 75 80

Phe His Pro Glu Asp Thr Gly Gln Val Phe Gln Val Ser His Ser Phe

85 90 95

Pro His Pro Leu Tyr Asp Met Ser Leu Leu Lys Asn Arg Phe Leu Arg

100 105 110

Pro Gly Asp Asp Ser Ser His Asp Leu Met Leu Leu Arg Leu Ser Glu

115 120 125

Pro Ala Glu Leu Thr Asp Ala Val Lys Val Met Asp Leu Pro Thr Gln

130 135 140

Glu Pro Ala Leu Gly Thr Thr Cys Tyr Ala Ser Gly Trp Gly Ser Ile

145 150 155 160

Glu Pro Glu Glu Phe Leu Thr Pro Lys Lys Leu Gln Cys Val Asp Leu

165 170 175

His Val Ile Ser Asn Asp Val Cys Ala Gln Val His Pro Gln Lys Val

180 185 190

Thr Lys Phe Met Leu Cys Ala Gly Arg Trp Thr Gly Gly Lys Ser Thr

195 200 205

Cys Ser Gly Asp Ser Gly Gly Pro Leu Val Cys Asn Gly Val Leu Gln

210 215 220

Gly Ile Thr Ser Trp Gly Ser Glu Pro Cys Ala Leu Pro Glu Arg Pro

225 230 235 240

Ser Leu Tyr Thr Lys Val Val His Tyr Arg Lys Trp Ile Lys Asp Thr

245 250 255

Ile Val Ala Asn Pro

260

<210> 6

<211> 405

<212> PRT

<213> Artificial Sequence

<220>

<223> PSA fusion

<400> 6

Met Trp Val Pro Val Val Phe Leu Thr Leu Ser Val Thr Trp Ile Gly

1 5 10 15

Ala Ala Pro Leu Ile Leu Ser Arg Ile Val Gly Gly Trp Glu Cys Glu

20 25 30

Lys His Ser Gln Pro Trp Gln Val Leu Val Ala Ser Arg Gly Arg Ala

35 40 45

Val Cys Gly Gly Val Leu Val His Pro Gln Trp Val Leu Thr Ala Ala

50 55 60

His Cys Ile Arg Asn Lys Ser Val Ile Leu Leu Gly Arg His Ser Leu

65 70 75 80

Phe His Pro Glu Asp Thr Gly Gln Val Phe Gln Val Ser His Ser Phe

85 90 95

Pro His Pro Leu Tyr Asp Met Ser Leu Leu Lys Asn Arg Phe Leu Arg

100 105 110

Pro Gly Asp Asp Ser Ser His Asp Leu Met Leu Leu Arg Leu Ser Glu

115 120 125

Pro Ala Glu Leu Thr Asp Ala Val Lys Val Met Asp Leu Pro Thr Gln

130 135 140

Glu Pro Ala Leu Gly Thr Thr Cys Tyr Ala Ser Gly Trp Gly Ser Ile

145 150 155 160

Glu Pro Glu Glu Phe Leu Thr Pro Lys Lys Leu Gln Cys Val Asp Leu

165 170 175

His Val Ile Ser Asn Asp Val Cys Ala Gln Val His Pro Gln Lys Val

180 185 190

Thr Lys Phe Met Leu Cys Ala Gly Arg Trp Thr Gly Gly Lys Ser Thr

195 200 205

Cys Ser Gly Asp Ser Gly Gly Pro Leu Val Cys Asn Gly Val Leu Gln

210 215 220

Gly Ile Thr Ser Trp Gly Ser Glu Pro Cys Ala Leu Pro Glu Arg Pro

225 230 235 240

Ser Leu Tyr Thr Lys Val Val His Tyr Arg Lys Trp Ile Lys Asp Thr

245 250 255

Ile Val Ala Asn Pro Gly Gly Ser Gly Gly Gly Gly Ser Gly Gly Lys

260 265 270

Lys Gln Tyr Ile Lys Ala Asn Ser Lys Phe Ile Gly Ile Thr Glu Leu

275 280 285

Lys Lys Leu Gly Gly Gly Lys Arg Gly Gly Gly Lys Lys Met Thr Asn

290 295 300

Ser Val Asp Asp Ala Leu Ile Asn Ser Thr Lys Ile Tyr Ser Tyr Phe

305 310 315 320

Pro Ser Val Ile Ser Lys Val Asn Gln Gly Ala Gln Gly Lys Lys Leu

325 330 335

Gly Ser Ser Gly Gly Gly Gly Ser Pro Gly Gly Gly Ser Ser Ile Val

340 345 350

Gly Ile Val Ala Gly Leu Ala Val Leu Ala Val Val Val Ile Gly Ala

355 360 365

Val Val Ala Thr Val Met Cys Arg Arg Lys Ser Ser Gly Gly Lys Gly

370 375 380

Gly Ser Tyr Ser Gln Ala Ala Ser Ser Asp Ser Ala Gln Gly Ser Asp

385 390 395 400

Val Ser Leu Thr Ala

405

<210> 7

<211> 783

<212> RNA

<213> Artificial Sequence

<220>

<223> PSA CDS

<400> 7

augugggucc cgguugucuu ccucacccug uccgugacgu ggauuggugc ugcaccccuc 60

auccugucuc ggauuguggg aggcugggag ugcgagaagc auucccaacc cuggcaggug 120

cuuguggccu cucguggcag ggcagucugc ggcgguguuc uggugcaccc ccaguggguc 180

cucacagcug cccacugcau caggaacaaa agcgugaucu ugcugggucg gcacagccug 240

uuucauccug aagacacagg ccagguauuu caggucagcc acagcuuccc acacccgcuc 300

uacgauauga gccuccugaa gaaucgauuc cucaggccag gugaugacuc cagccacgac 360

cucaugcugc uccgccuguc agagccugcc gagcucacgg augcugugaa ggucauggac 420

cugcccaccc aggagccagc acuggggacc accugcuacg ccucaggcug gggcagcauu 480

gaaccagagg aguucuugac cccaaagaaa cuucagugug uggaccucca uguuauuucc 540

aaugacgugu gugcgcaagu ucacccucag aaggugacca aguucaugcu gugugcugga 600

cgcuggacag ggggcaaaag caccugcucg ggugauucug ggggcccacu ugucuguaau 660

ggugugcuuc aagguaucac gucauggggc agugaaccau gugcccugcc cgaaaggccu 720

ucccuguaca ccaagguggu gcauuaccgg aaguggauca aggacaccau cguggccaac 780

ccc 783

<210> 8

<211> 1700

<212> RNA

<213> Artificial Sequence

<220>

<223> PSA RNA

<400> 8

gggcgaacua guauucuucu gguccccaca gacucagaga gaacccgcca ccaugugggu 60

cccgguuguc uuccucaccc uguccgugac guggauuggu gcugcacccc ucauccuguc 120

ucggauugug ggaggcuggg agugcgagaa gcauucccaa cccuggcagg ugcuuguggc 180

cucucguggc agggcagucu gcggcggugu ucuggugcac ccccaguggg uccucacagc 240

ugcccacugc aucaggaaca aaagcgugau cuugcugggu cggcacagcc uguuucaucc 300

ugaagacaca ggccagguau uucaggucag ccacagcuuc ccacacccgc ucuacgauau 360

gagccuccug aagaaucgau uccucaggcc aggugaugac uccagccacg accucaugcu 420

gcuccgccug ucagagccug ccgagcucac ggaugcugug aaggucaugg accugcccac 480

ccaggagcca gcacugggga ccaccugcua cgccucaggc uggggcagca uugaaccaga 540

ggaguucuug accccaaaga aacuucagug uguggaccuc cauguuauuu ccaaugacgu 600

gugugcgcaa guucacccuc agaaggugac caaguucaug cugugugcug gacgcuggac 660

agggggcaaa agcaccugcu cgggugauuc ugggggccca cuugucugua auggugugcu 720

ucaagguauc acgucauggg gcagugaacc augugcccug cccgaaaggc cuucccugua 780

caccaaggug gugcauuacc ggaaguggau caaggacacc aucguggcca accccggagg 840

auccgguggu ggcggcagcg gcggcaagaa gcaguacauc aaggccaaca gcaaguucau 900

cggcaucacc gagcugaaga agcugggagg gggcaaacgg ggaggcggca aaaagaugac 960

caacagcgug gacgacgccc ugaucaacag caccaagauc uacagcuacu uccccagcgu 1020

gaucagcaaa gugaaccagg gcgcucaggg caagaaacug ggcucuagcg gagggggagg 1080

cucuccuggc gggggaucua gcaucguggg aauuguggca ggacuggcag ugcuggccgu 1140

gguggugauc ggagccgugg uggcuaccgu gaugugcaga cggaagucca gcggaggcaa 1200

gggcggcagc uacagccagg ccgccagcuc ugauagcgcc cagggcagcg acgugucacu 1260

gacagccuag uaacucgagc ugguacugca ugcacgcaau gcuagcugcc ccuuucccgu 1320

ccuggguacc ccgagucucc cccgaccucg ggucccaggu augcucccac cuccaccugc 1380

cccacucacc accucugcua guuccagaca ccucccaagc acgcagcaau gcagcucaaa 1440

acgcuuagcc uagccacacc cccacgggaa acagcaguga uuaaccuuua gcaauaaacg 1500

aaaguuuaac uaagcuauac uaaccccagg guuggucaau uucgugccag ccacaccgag 1560

accuggucca gagucgcuag ccgcgucgcu aaaaaaaaaa aaaaaaaaaa aaaaaaaaaa 1620

gcauaugacu aaaaaaaaaa aaaaaaaaaa aaaaaaaaaa aaaaaaaaaa aaaaaaaaaa 1680

aaaaaaaaaa aaaaaaaaaa 1700

<210> 9

<211> 418

<212> PRT

<213> Artificial Sequence

<220>

<223> PAP

<400> 9

Met Arg Ala Ala Pro Leu Leu Leu Ala Arg Ala Ala Ser Leu Ser Leu

1 5 10 15

Gly Phe Leu Phe Leu Leu Phe Phe Trp Leu Asp Arg Ser Val Leu Ala

20 25 30

Lys Glu Leu Lys Phe Val Thr Leu Val Phe Arg His Gly Asp Arg Ser

35 40 45

Pro Ile Asp Thr Phe Pro Thr Asp Pro Ile Lys Glu Ser Ser Trp Pro

50 55 60

Gln Gly Phe Gly Gln Leu Thr Gln Leu Gly Met Glu Gln His Tyr Glu

65 70 75 80

Leu Gly Glu Tyr Ile Arg Lys Arg Tyr Arg Lys Phe Leu Asn Glu Ser

85 90 95

Tyr Lys His Glu Gln Val Tyr Ile Arg Ser Thr Asp Val Asp Arg Thr

100 105 110

Leu Met Ser Ala Met Thr Asn Leu Ala Ala Leu Phe Pro Pro Glu Gly

115 120 125

Val Ser Ile Trp Asn Pro Ile Leu Leu Trp Gln Pro Ile Pro Val His

130 135 140

Thr Val Pro Leu Ser Glu Asp Gln Leu Leu Tyr Leu Pro Phe Arg Asn

145 150 155 160

Cys Pro Arg Phe Gln Glu Leu Glu Ser Glu Thr Leu Lys Ser Glu Glu

165 170 175

Phe Gln Lys Arg Leu His Pro Tyr Lys Asp Phe Ile Ala Thr Leu Gly

180 185 190

Lys Leu Ser Gly Leu His Gly Gln Asp Leu Phe Gly Ile Trp Ser Lys

195 200 205

Val Tyr Asp Pro Leu Tyr Cys Glu Ser Val His Asn Phe Thr Leu Pro

210 215 220

Ser Trp Ala Thr Glu Asp Thr Met Thr Lys Leu Arg Glu Leu Ser Glu

225 230 235 240

Leu Ser Leu Leu Ser Leu Tyr Gly Ile His Lys Gln Lys Glu Lys Ser

245 250 255

Arg Leu Gln Gly Gly Val Leu Val Asn Glu Ile Leu Asn His Met Lys

260 265 270

Arg Ala Thr Gln Ile Pro Ser Tyr Lys Lys Leu Ile Met Tyr Ser Ala

275 280 285

His Asp Thr Thr Val Ser Gly Leu Gln Met Ala Leu Asp Val Tyr Asn

290 295 300

Gly Leu Leu Pro Pro Tyr Ala Ser Cys His Leu Thr Glu Leu Tyr Phe

305 310 315 320

Glu Lys Gly Glu Tyr Phe Val Glu Met Tyr Tyr Arg Asn Glu Thr Gln

325 330 335

His Glu Pro Tyr Pro Leu Met Leu Pro Gly Cys Ser Pro Ser Cys Pro

340 345 350

Leu Glu Arg Phe Ala Glu Leu Val Gly Pro Val Ile Pro Gln Asp Trp

355 360 365

Ser Thr Glu Cys Met Thr Thr Asn Ser His Gln Val Leu Lys Val Ile

370 375 380

Phe Ala Val Ala Phe Cys Leu Ile Ser Ala Val Leu Met Val Leu Leu

385 390 395 400

Phe Ile His Ile Arg Arg Gly Leu Cys Trp Gln Arg Glu Ser Tyr Gly

405 410 415

Asn Ile

<210> 10

<211> 562

<212> PRT

<213> Artificial Sequence

<220>

<223> PAP fusion

<400> 10

Met Arg Ala Ala Pro Leu Leu Leu Ala Arg Ala Ala Ser Leu Ser Leu

1 5 10 15

Gly Phe Leu Phe Leu Leu Phe Phe Trp Leu Asp Arg Ser Val Leu Ala

20 25 30

Lys Glu Leu Lys Phe Val Thr Leu Val Phe Arg His Gly Asp Arg Ser

35 40 45

Pro Ile Asp Thr Phe Pro Thr Asp Pro Ile Lys Glu Ser Ser Trp Pro

50 55 60

Gln Gly Phe Gly Gln Leu Thr Gln Leu Gly Met Glu Gln His Tyr Glu

65 70 75 80

Leu Gly Glu Tyr Ile Arg Lys Arg Tyr Arg Lys Phe Leu Asn Glu Ser

85 90 95

Tyr Lys His Glu Gln Val Tyr Ile Arg Ser Thr Asp Val Asp Arg Thr

100 105 110

Leu Met Ser Ala Met Thr Asn Leu Ala Ala Leu Phe Pro Pro Glu Gly

115 120 125

Val Ser Ile Trp Asn Pro Ile Leu Leu Trp Gln Pro Ile Pro Val His

130 135 140

Thr Val Pro Leu Ser Glu Asp Gln Leu Leu Tyr Leu Pro Phe Arg Asn

145 150 155 160

Cys Pro Arg Phe Gln Glu Leu Glu Ser Glu Thr Leu Lys Ser Glu Glu

165 170 175

Phe Gln Lys Arg Leu His Pro Tyr Lys Asp Phe Ile Ala Thr Leu Gly

180 185 190

Lys Leu Ser Gly Leu His Gly Gln Asp Leu Phe Gly Ile Trp Ser Lys

195 200 205

Val Tyr Asp Pro Leu Tyr Cys Glu Ser Val His Asn Phe Thr Leu Pro

210 215 220

Ser Trp Ala Thr Glu Asp Thr Met Thr Lys Leu Arg Glu Leu Ser Glu

225 230 235 240

Leu Ser Leu Leu Ser Leu Tyr Gly Ile His Lys Gln Lys Glu Lys Ser

245 250 255

Arg Leu Gln Gly Gly Val Leu Val Asn Glu Ile Leu Asn His Met Lys

260 265 270

Arg Ala Thr Gln Ile Pro Ser Tyr Lys Lys Leu Ile Met Tyr Ser Ala

275 280 285

His Asp Thr Thr Val Ser Gly Leu Gln Met Ala Leu Asp Val Tyr Asn

290 295 300

Gly Leu Leu Pro Pro Tyr Ala Ser Cys His Leu Thr Glu Leu Tyr Phe

305 310 315 320

Glu Lys Gly Glu Tyr Phe Val Glu Met Tyr Tyr Arg Asn Glu Thr Gln

325 330 335

His Glu Pro Tyr Pro Leu Met Leu Pro Gly Cys Ser Pro Ser Cys Pro

340 345 350

Leu Glu Arg Phe Ala Glu Leu Val Gly Pro Val Ile Pro Gln Asp Trp

355 360 365

Ser Thr Glu Cys Met Thr Thr Asn Ser His Gln Val Leu Lys Val Ile

370 375 380

Phe Ala Val Ala Phe Cys Leu Ile Ser Ala Val Leu Met Val Leu Leu

385 390 395 400

Phe Ile His Ile Arg Arg Gly Leu Cys Trp Gln Arg Glu Ser Tyr Gly

405 410 415

Asn Ile Gly Gly Ser Gly Gly Gly Gly Ser Gly Gly Lys Lys Gln Tyr

420 425 430

Ile Lys Ala Asn Ser Lys Phe Ile Gly Ile Thr Glu Leu Lys Lys Leu

435 440 445

Gly Gly Gly Lys Arg Gly Gly Gly Lys Lys Met Thr Asn Ser Val Asp

450 455 460

Asp Ala Leu Ile Asn Ser Thr Lys Ile Tyr Ser Tyr Phe Pro Ser Val

465 470 475 480

Ile Ser Lys Val Asn Gln Gly Ala Gln Gly Lys Lys Leu Gly Ser Ser

485 490 495

Gly Gly Gly Gly Ser Pro Gly Gly Gly Ser Ser Ile Val Gly Ile Val

500 505 510

Ala Gly Leu Ala Val Leu Ala Val Val Val Ile Gly Ala Val Val Ala

515 520 525

Thr Val Met Cys Arg Arg Lys Ser Ser Gly Gly Lys Gly Gly Ser Tyr

530 535 540

Ser Gln Ala Ala Ser Ser Asp Ser Ala Gln Gly Ser Asp Val Ser Leu

545 550 555 560

Thr Ala

<210> 11

<211> 1254

<212> RNA

<213> Artificial Sequence

<220>

<223> PAP CDS

<400> 11

augagagcug cuccccugcu gcuggcaaga gcugcuucuc ugucucuggg auuucuguuu 60

cugcuguuuu ucuggcugga uagaucugug cuggcaaaag aacugaaauu ugugacccug 120

guguuuagac acggagacag aucucccauu gauaccuuuc ccaccgaucc caucaaagaa 180

ucuucuuggc cacagggauu uggacagcug acccagcugg gaauggagca gcacuacgaa 240

cugggagaau acaucagaaa aagauacaga aaauuucuga augaaucuua caaacacgaa 300

cagguguaca ucagaucuac cgauguggau agaacccuga ugucugcaau gaccaaucug 360

gcugcucugu uucccccaga aggagugagc aucuggaauc ccauccugcu guggcagccc 420

aucccugugc acaccgugcc ucugucugaa gaucagcugc uguaccugcc uuuuagaaau 480

ugcccaagau uucaggaacu ugaaucugaa acccugaaau cugaagaauu ucagaaaaga 540

cugcacccuu acaaagauuu uaucgcaacc cugggaaaac ugucuggacu gcacggacag 600

gaucucuuug gaauuugguc aaaaguguac gauccucugu acugugaauc ugugcacaau 660

uuuacccugc ccucuugggc aaccgaagau accaugacca aacugagaga acugucugaa 720

cugucucugc ugucucugua cggaauccac aaacagaaag aaaaaucaag acugcaggga 780

ggagugcugg ugaaugaaau ccugaaucac augaaaagag caacccagau cccaucuuac 840

aagaagcuga ucauguacuc ugcucacgau accacagugu cuggacugca gauggcucug 900

gauguguaca auggacugcu gccucccuac gcuucuugcc accugaccga acuguacuuu 960

gaaaaaggag aauacuuugu ggaaauguac uacagaaaug aaacccagca cgaaccuuac 1020

ccccugaugc ugccuggaug cucucccucu ugcccucugg aaagauuugc ugaacuggug 1080

ggaccuguga ucccucagga uugguccaca gaaugcauga ccaccaauuc ucaccaggug 1140

cugaaaguga ucuuugcugu ggcuuuuugc cugaucucug cugugcugau ggugcugcug 1200

uuuauccaca ucaggagagg acugugcugg cagagagaau cuuacggaaa uauc 1254

<210> 12

<211> 2171

<212> RNA

<213> Artificial Sequence

<220>

<223> PAP RNA

<400> 12

gggcgaacua guauucuucu gguccccaca gacucagaga gaacccgcca ccaugagagc 60

ugcuccccug cugcuggcaa gagcugcuuc ucugucucug ggauuucugu uucugcuguu 120

uuucuggcug gauagaucug ugcuggcaaa agaacugaaa uuugugaccc ugguguuuag 180

acacggagac agaucuccca uugauaccuu ucccaccgau cccaucaaag aaucuucuug 240

gccacaggga uuuggacagc ugacccagcu gggaauggag cagcacuacg aacugggaga 300

auacaucaga aaaagauaca gaaaauuucu gaaugaaucu uacaaacacg aacaggugua 360

caucagaucu accgaugugg auagaacccu gaugucugca augaccaauc uggcugcucu 420

guuuccccca gaaggaguga gcaucuggaa ucccauccug cuguggcagc ccaucccugu 480

gcacaccgug ccucugucug aagaucagcu gcuguaccug ccuuuuagaa auugcccaag 540

auuucaggaa cuugaaucug aaacccugaa aucugaagaa uuucagaaaa gacugcaccc 600

uuacaaagau uuuaucgcaa cccugggaaa acugucugga cugcacggac aggaucucuu 660

uggaauuugg ucaaaagugu acgauccucu guacugugaa ucugugcaca auuuuacccu 720

gcccucuugg gcaaccgaag auaccaugac caaacugaga gaacugucug aacugucucu 780

gcugucucug uacggaaucc acaaacagaa agaaaaauca agacugcagg gaggagugcu 840

ggugaaugaa auccugaauc acaugaaaag agcaacccag aucccaucuu acaagaagcu 900

gaucauguac ucugcucacg auaccacagu gucuggacug cagauggcuc uggaugugua 960

caauggacug cugccucccu acgcuucuug ccaccugacc gaacuguacu uugaaaaagg 1020

agaauacuuu guggaaaugu acuacagaaa ugaaacccag cacgaaccuu acccccugau 1080

gcugccugga ugcucucccu cuugcccucu ggaaagauuu gcugaacugg ugggaccugu 1140

gaucccucag gauuggucca cagaaugcau gaccaccaau ucucaccagg ugcugaaagu 1200

gaucuuugcu guggcuuuuu gccugaucuc ugcugugcug auggugcugc uguuuaucca 1260

caucaggaga ggacugugcu ggcagagaga aucuuacgga aauaucggag gauccggugg 1320

uggcggcagc ggcggcaaga agcaguacau caaggccaac agcaaguuca ucggcaucac 1380

cgagcugaag aagcugggag ggggcaaacg gggaggcggc aaaaagauga ccaacagcgu 1440

ggacgacgcc cugaucaaca gcaccaagau cuacagcuac uuccccagcg ugaucagcaa 1500

agugaaccag ggcgcucagg gcaagaaacu gggcucuagc ggagggggag gcucuccugg 1560

cgggggaucu agcaucgugg gaauuguggc aggacuggca gugcuggccg ugguggugau 1620

cggagccgug guggcuaccg ugaugugcag acggaagucc agcggaggca agggcggcag 1680

cuacagccag gccgccagcu cugauagcgc ccagggcagc gacgugucac ugacagccua 1740

guaacucgag cugguacugc augcacgcaa ugcuagcugc cccuuucccg uccuggguac 1800

cccgagucuc ccccgaccuc gggucccagg uaugcuccca ccuccaccug ccccacucac 1860

caccucugcu aguuccagac accucccaag cacgcagcaa ugcagcucaa aacgcuuagc 1920

cuagccacac ccccacggga aacagcagug auuaaccuuu agcaauaaac gaaaguuuaa 1980

cuaagcuaua cuaaccccag gguuggucaa uuucgugcca gccacaccga gaccuggucc 2040

agagucgcua gccgcgucgc uaaaaaaaaa aaaaaaaaaa aaaaaaaaaa agcauaugac 2100

uaaaaaaaaa aaaaaaaaaa aaaaaaaaaa aaaaaaaaaa aaaaaaaaaa aaaaaaaaaa 2160

aaaaaaaaaa a 2171

<210> 13

<211> 284

<212> PRT

<213> Artificial Sequence

<220>

<223> HOXB13

<400> 13

Met Glu Pro Gly Asn Tyr Ala Thr Leu Asp Gly Ala Lys Asp Ile Glu

1 5 10 15

Gly Leu Leu Gly Ala Gly Gly Gly Arg Asn Leu Val Ala His Ser Pro

20 25 30

Leu Thr Ser His Pro Ala Ala Pro Thr Leu Met Pro Ala Val Asn Tyr

35 40 45

Ala Pro Leu Asp Leu Pro Gly Ser Ala Glu Pro Pro Lys Gln Cys His

50 55 60

Pro Cys Pro Gly Val Pro Gln Gly Thr Ser Pro Ala Pro Val Pro Tyr

65 70 75 80

Gly Tyr Phe Gly Gly Gly Tyr Tyr Ser Cys Arg Val Ser Arg Ser Ser

85 90 95

Leu Lys Pro Cys Ala Gln Ala Ala Thr Leu Ala Ala Tyr Pro Ala Glu

100 105 110

Thr Pro Thr Ala Gly Glu Glu Tyr Pro Ser Arg Pro Thr Glu Phe Ala

115 120 125

Phe Tyr Pro Gly Tyr Pro Gly Thr Tyr Gln Pro Met Ala Ser Tyr Leu

130 135 140

Asp Val Ser Val Val Gln Thr Leu Gly Ala Pro Gly Glu Pro Arg His

145 150 155 160

Asp Ser Leu Leu Pro Val Asp Ser Tyr Gln Ser Trp Ala Leu Ala Gly

165 170 175

Gly Trp Asn Ser Gln Met Cys Cys Gln Gly Glu Gln Asn Pro Pro Gly

180 185 190

Pro Phe Trp Lys Ala Ala Phe Ala Asp Ser Ser Gly Gln His Pro Pro

195 200 205

Asp Ala Cys Ala Phe Arg Arg Gly Arg Lys Lys Arg Ile Pro Tyr Ser

210 215 220

Lys Gly Gln Leu Arg Glu Leu Glu Arg Glu Tyr Ala Ala Asn Lys Phe

225 230 235 240

Ile Thr Lys Asp Lys Arg Arg Lys Ile Ser Ala Ala Thr Ser Leu Ser

245 250 255

Glu Arg Gln Ile Thr Ile Trp Phe Gln Asn Arg Arg Val Lys Glu Lys

260 265 270

Lys Val Leu Ala Lys Val Lys Asn Ser Ala Thr Pro

275 280

<210> 14

<211> 464

<212> PRT

<213> Artificial Sequence

<220>

<223> HOXB13 fusion

<400> 14

Met Arg Val Met Ala Pro Arg Thr Leu Ile Leu Leu Leu Ser Gly Ala

1 5 10 15

Leu Ala Leu Thr Glu Thr Trp Ala Gly Ser Gly Gly Ser Gly Gly Gly

20 25 30

Gly Ser Gly Gly Met Glu Pro Gly Asn Tyr Ala Thr Leu Asp Gly Ala

35 40 45

Lys Asp Ile Glu Gly Leu Leu Gly Ala Gly Gly Gly Arg Asn Leu Val

50 55 60

Ala His Ser Pro Leu Thr Ser His Pro Ala Ala Pro Thr Leu Met Pro

65 70 75 80

Ala Val Asn Tyr Ala Pro Leu Asp Leu Pro Gly Ser Ala Glu Pro Pro

85 90 95

Lys Gln Cys His Pro Cys Pro Gly Val Pro Gln Gly Thr Ser Pro Ala

100 105 110

Pro Val Pro Tyr Gly Tyr Phe Gly Gly Gly Tyr Tyr Ser Cys Arg Val

115 120 125

Ser Arg Ser Ser Leu Lys Pro Cys Ala Gln Ala Ala Thr Leu Ala Ala

130 135 140

Tyr Pro Ala Glu Thr Pro Thr Ala Gly Glu Glu Tyr Pro Ser Arg Pro

145 150 155 160

Thr Glu Phe Ala Phe Tyr Pro Gly Tyr Pro Gly Thr Tyr Gln Pro Met

165 170 175

Ala Ser Tyr Leu Asp Val Ser Val Val Gln Thr Leu Gly Ala Pro Gly

180 185 190

Glu Pro Arg His Asp Ser Leu Leu Pro Val Asp Ser Tyr Gln Ser Trp

195 200 205

Ala Leu Ala Gly Gly Trp Asn Ser Gln Met Cys Cys Gln Gly Glu Gln

210 215 220

Asn Pro Pro Gly Pro Phe Trp Lys Ala Ala Phe Ala Asp Ser Ser Gly

225 230 235 240

Gln His Pro Pro Asp Ala Cys Ala Phe Arg Arg Gly Arg Lys Lys Arg

245 250 255

Ile Pro Tyr Ser Lys Gly Gln Leu Arg Glu Leu Glu Arg Glu Tyr Ala

260 265 270

Ala Asn Lys Phe Ile Thr Lys Asp Lys Arg Arg Lys Ile Ser Ala Ala

275 280 285

Thr Ser Leu Ser Glu Arg Gln Ile Thr Ile Trp Phe Gln Asn Arg Arg

290 295 300

Val Lys Glu Lys Lys Val Leu Ala Lys Val Lys Asn Ser Ala Thr Pro

305 310 315 320

Gly Gly Ser Gly Gly Gly Gly Ser Gly Gly Lys Lys Gln Tyr Ile Lys

325 330 335

Ala Asn Ser Lys Phe Ile Gly Ile Thr Glu Leu Lys Lys Leu Gly Gly

340 345 350

Gly Lys Arg Gly Gly Gly Lys Lys Met Thr Asn Ser Val Asp Asp Ala

355 360 365

Leu Ile Asn Ser Thr Lys Ile Tyr Ser Tyr Phe Pro Ser Val Ile Ser

370 375 380

Lys Val Asn Gln Gly Ala Gln Gly Lys Lys Leu Gly Ser Ser Gly Gly

385 390 395 400

Gly Gly Ser Pro Gly Gly Gly Ser Ser Ile Val Gly Ile Val Ala Gly

405 410 415

Leu Ala Val Leu Ala Val Val Val Ile Gly Ala Val Val Ala Thr Val

420 425 430

Met Cys Arg Arg Lys Ser Ser Gly Gly Lys Gly Gly Ser Tyr Ser Gln

435 440 445

Ala Ala Ser Ser Asp Ser Ala Gln Gly Ser Asp Val Ser Leu Thr Ala

450 455 460

<210> 15

<211> 852

<212> RNA

<213> Artificial Sequence

<220>

<223> HOXB13 CDS

<400> 15

auggagcccg gcaauuaugc caccuuggau ggagccaagg auaucgaagg cuugcuggga 60

gcgggagggg ggcggaaucu ggucgcccac uccccucuga ccagccaccc agcggcgccu 120

acgcugaugc cugcugucaa cuaugccccc uuggaucugc caggcucggc ggagccgcca 180

aagcaaugcc acccaugccc uggggugccc caggggacgu ccccagcucc cgugccuuau 240

gguuacuuug gaggcgggua cuacuccugc cgaguguccc ggaguucgcu gaaacccugu 300

gcccaggcag ccacccuggc cgcguacccc gcggagacuc ccacggccgg ggaggaguac 360

cccagccgcc ccacugaguu ugccuucuau ccgggauauc cgggaaccua ccagccuaug 420

gccaguuacc uggacguguc uguggugcag acucugggug cuccuggaga accgcgacau 480

gacucccugu ugccugugga caguuaccag ucuugggcuc ucgcuggugg cuggaacagc 540

cagauguguu gccagggaga acagaaccca ccaggucccu uuuggaaggc agcauuugca 600

gacuccagcg ggcagcaccc uccugacgcc ugcgccuuuc gucgcggccg caagaaacgc 660

auuccguaca gcaaggggca guugcgggag cuggagcggg aguaugcggc uaacaaguuc 720

aucaccaagg acaagaggcg caagaucucg gcagccacca gccucucgga gcgccagauu 780

accaucuggu uucagaaccg ccgggucaaa gagaagaagg uucucgccaa ggugaagaac 840

agcgcuaccc cu 852

<210> 16

<211> 1877

<212> RNA

<213> Artificial Sequence

<220>

<223> HOXB13 RNA

<400> 16

gggcgaacua guauucuucu gguccccaca gacucagaga gaacccgcca ccaugagagu 60

gauggccccc agaacccuga uccugcugcu gucuggcgcc cuggcccuga cagagacaug 120

ggccggaagc ggcggcucug gaggaggcgg cuccggaggc auggagcccg gcaauuaugc 180

caccuuggau ggagccaagg auaucgaagg cuugcuggga gcgggagggg ggcggaaucu 240

ggucgcccac uccccucuga ccagccaccc agcggcgccu acgcugaugc cugcugucaa 300

cuaugccccc uuggaucugc caggcucggc ggagccgcca aagcaaugcc acccaugccc 360

uggggugccc caggggacgu ccccagcucc cgugccuuau gguuacuuug gaggcgggua 420

cuacuccugc cgaguguccc ggaguucgcu gaaacccugu gcccaggcag ccacccuggc 480

cgcguacccc gcggagacuc ccacggccgg ggaggaguac cccagccgcc ccacugaguu 540

ugccuucuau ccgggauauc cgggaaccua ccagccuaug gccaguuacc uggacguguc 600

uguggugcag acucugggug cuccuggaga accgcgacau gacucccugu ugccugugga 660

caguuaccag ucuugggcuc ucgcuggugg cuggaacagc cagauguguu gccagggaga 720

acagaaccca ccaggucccu uuuggaaggc agcauuugca gacuccagcg ggcagcaccc 780

uccugacgcc ugcgccuuuc gucgcggccg caagaaacgc auuccguaca gcaaggggca 840

guugcgggag cuggagcggg aguaugcggc uaacaaguuc aucaccaagg acaagaggcg 900

caagaucucg gcagccacca gccucucgga gcgccagauu accaucuggu uucagaaccg 960

ccgggucaaa gagaagaagg uucucgccaa ggugaagaac agcgcuaccc cuggaggauc 1020

cggugguggc ggcagcggcg gcaagaagca guacaucaag gccaacagca aguucaucgg 1080

caucaccgag cugaagaagc ugggaggggg caaacgggga ggcggcaaaa agaugaccaa 1140

cagcguggac gacgcccuga ucaacagcac caagaucuac agcuacuucc ccagcgugau 1200

cagcaaagug aaccagggcg cucagggcaa gaaacugggc ucuagcggag ggggaggcuc 1260

uccuggcggg ggaucuagca ucgugggaau uguggcagga cuggcagugc uggccguggu 1320

ggugaucgga gccguggugg cuaccgugau gugcagacgg aaguccagcg gaggcaaggg 1380

cggcagcuac agccaggccg ccagcucuga uagcgcccag ggcagcgacg ugucacugac 1440

agccuaguaa cucgagcugg uacugcaugc acgcaaugcu agcugccccu uucccguccu 1500

ggguaccccg agucuccccc gaccucgggu cccagguaug cucccaccuc caccugcccc 1560

acucaccacc ucugcuaguu ccagacaccu cccaagcacg cagcaaugca gcucaaaacg 1620

cuuagccuag ccacaccccc acgggaaaca gcagugauua accuuuagca auaaacgaaa 1680

guuuaacuaa gcuauacuaa ccccaggguu ggucaauuuc gugccagcca caccgagacc 1740

ugguccagag ucgcuagccg cgucgcuaaa aaaaaaaaaa aaaaaaaaaa aaaaaaagca 1800

uaugacuaaa aaaaaaaaaa aaaaaaaaaa aaaaaaaaaa aaaaaaaaaa aaaaaaaaaa 1860

aaaaaaaaaa aaaaaaa 1877

<210> 17

<211> 234

<212> PRT

<213> Artificial Sequence

<220>

<223> NKX3-1

<400> 17

Met Leu Arg Val Pro Glu Pro Arg Pro Gly Glu Ala Lys Ala Glu Gly

1 5 10 15

Ala Ala Pro Pro Thr Pro Ser Lys Pro Leu Thr Ser Phe Leu Ile Gln

20 25 30

Asp Ile Leu Arg Asp Gly Ala Gln Arg Gln Gly Gly Arg Thr Ser Ser

35 40 45

Gln Arg Gln Arg Asp Pro Glu Pro Glu Pro Glu Pro Glu Pro Glu Gly

50 55 60

Gly Arg Ser Arg Ala Gly Ala Gln Asn Asp Gln Leu Ser Thr Gly Pro

65 70 75 80

Arg Ala Ala Pro Glu Glu Ala Glu Thr Leu Ala Glu Thr Glu Pro Glu

85 90 95

Arg His Leu Gly Ser Tyr Leu Leu Asp Ser Glu Asn Thr Ser Gly Ala

100 105 110

Leu Pro Arg Leu Pro Gln Thr Pro Lys Gln Pro Gln Lys Arg Ser Arg

115 120 125

Ala Ala Phe Ser His Thr Gln Val Ile Glu Leu Glu Arg Lys Phe Ser

130 135 140

His Gln Lys Tyr Leu Ser Ala Pro Glu Arg Ala His Leu Ala Lys Asn

145 150 155 160

Leu Lys Leu Thr Glu Thr Gln Val Lys Ile Trp Phe Gln Asn Arg Arg

165 170 175

Tyr Lys Thr Lys Arg Lys Gln Leu Ser Ser Glu Leu Gly Asp Leu Glu

180 185 190

Lys His Ser Ser Leu Pro Ala Leu Lys Glu Glu Ala Phe Ser Arg Ala

195 200 205

Ser Leu Val Ser Val Tyr Asn Ser Tyr Pro Tyr Tyr Pro Tyr Leu Tyr

210 215 220

Cys Val Gly Ser Trp Ser Pro Ala Phe Trp

225 230

<210> 18

<211> 414

<212> PRT

<213> Artificial Sequence

<220>

<223> NKX3-1 fusion

<400> 18

Met Arg Val Met Ala Pro Arg Thr Leu Ile Leu Leu Leu Ser Gly Ala

1 5 10 15

Leu Ala Leu Thr Glu Thr Trp Ala Gly Ser Gly Gly Ser Gly Gly Gly

20 25 30

Gly Ser Gly Gly Met Leu Arg Val Pro Glu Pro Arg Pro Gly Glu Ala

35 40 45

Lys Ala Glu Gly Ala Ala Pro Pro Thr Pro Ser Lys Pro Leu Thr Ser

50 55 60

Phe Leu Ile Gln Asp Ile Leu Arg Asp Gly Ala Gln Arg Gln Gly Gly

65 70 75 80

Arg Thr Ser Ser Gln Arg Gln Arg Asp Pro Glu Pro Glu Pro Glu Pro

85 90 95

Glu Pro Glu Gly Gly Arg Ser Arg Ala Gly Ala Gln Asn Asp Gln Leu

100 105 110

Ser Thr Gly Pro Arg Ala Ala Pro Glu Glu Ala Glu Thr Leu Ala Glu

115 120 125

Thr Glu Pro Glu Arg His Leu Gly Ser Tyr Leu Leu Asp Ser Glu Asn

130 135 140

Thr Ser Gly Ala Leu Pro Arg Leu Pro Gln Thr Pro Lys Gln Pro Gln

145 150 155 160

Lys Arg Ser Arg Ala Ala Phe Ser His Thr Gln Val Ile Glu Leu Glu

165 170 175

Arg Lys Phe Ser His Gln Lys Tyr Leu Ser Ala Pro Glu Arg Ala His

180 185 190

Leu Ala Lys Asn Leu Lys Leu Thr Glu Thr Gln Val Lys Ile Trp Phe

195 200 205

Gln Asn Arg Arg Tyr Lys Thr Lys Arg Lys Gln Leu Ser Ser Glu Leu

210 215 220

Gly Asp Leu Glu Lys His Ser Ser Leu Pro Ala Leu Lys Glu Glu Ala

225 230 235 240

Phe Ser Arg Ala Ser Leu Val Ser Val Tyr Asn Ser Tyr Pro Tyr Tyr

245 250 255

Pro Tyr Leu Tyr Cys Val Gly Ser Trp Ser Pro Ala Phe Trp Gly Gly

260 265 270

Ser Gly Gly Gly Gly Ser Gly Gly Lys Lys Gln Tyr Ile Lys Ala Asn

275 280 285

Ser Lys Phe Ile Gly Ile Thr Glu Leu Lys Lys Leu Gly Gly Gly Lys

290 295 300

Arg Gly Gly Gly Lys Lys Met Thr Asn Ser Val Asp Asp Ala Leu Ile

305 310 315 320

Asn Ser Thr Lys Ile Tyr Ser Tyr Phe Pro Ser Val Ile Ser Lys Val

325 330 335

Asn Gln Gly Ala Gln Gly Lys Lys Leu Gly Ser Ser Gly Gly Gly Gly

340 345 350

Ser Pro Gly Gly Gly Ser Ser Ile Val Gly Ile Val Ala Gly Leu Ala

355 360 365

Val Leu Ala Val Val Val Ile Gly Ala Val Val Ala Thr Val Met Cys

370 375 380

Arg Arg Lys Ser Ser Gly Gly Lys Gly Gly Ser Tyr Ser Gln Ala Ala

385 390 395 400

Ser Ser Asp Ser Ala Gln Gly Ser Asp Val Ser Leu Thr Ala

405 410

<210> 19

<211> 702

<212> RNA

<213> Artificial Sequence

<220>

<223> NKX3-1 CDS

<400> 19

augcugagag ugcccgaacc uagaccuggc gaggcuaaag cugaaggcgc ugcuccuccu 60

acaccuagca agccucugac cagcuuccug auccaagaca uccugagaga uggcgcccag 120

agacaaggcg gcagaacaag cucucagaga cagagagauc ccgagccuga gccugaacca 180

gaaccugaag gcggaagauc uagagccggc gcucagaacg aucagcugag cacaggaccu 240

agagccgcuc cugaggaagc cgaaacacug gccgaaaccg agccagagag acaccugggc 300

agcuaccugc uggacagcga gaauacuucu ggcgcccugc cuagacugcc ccagacaccu 360

aaacagccuc agaagcggag cagagccgcc uuuagccaca cacaagugau cgagcuggaa 420

cggaaguuca gccaccagaa guaccugagc gccccugaaa gagcccaccu ggccaagaau 480

cugaagcuga ccgagacuca agugaagauc ugguuccaga accggcggua caagaccaag 540

cggaagcagc ugucaagcga gcugggcgac cuggaaaagc acagcucucu gcccgcucug 600

aaagaggaag ccuucuccag agccagccug guguccgugu acaacagcua cccuuacuac 660

cccuaccugu acugcgucgg cucuuggagc ccugccuuuu gg 702

<210> 20

<211> 1727

<212> RNA

<213> Artificial Sequence

<220>

<223> NKX3-1 RNA

<400> 20

gggcgaacua guauucuucu gguccccaca gacucagaga gaacccgcca ccaugagagu 60

gauggccccc agaacccuga uccugcugcu gucuggcgcc cuggcccuga cagagacaug 120

ggccggaagc ggcggcucug gaggaggcgg cuccggaggc augcugagag ugcccgaacc 180

uagaccuggc gaggcuaaag cugaaggcgc ugcuccuccu acaccuagca agccucugac 240

cagcuuccug auccaagaca uccugagaga uggcgcccag agacaaggcg gcagaacaag 300

cucucagaga cagagagauc ccgagccuga gccugaacca gaaccugaag gcggaagauc 360

uagagccggc gcucagaacg aucagcugag cacaggaccu agagccgcuc cugaggaagc 420

cgaaacacug gccgaaaccg agccagagag acaccugggc agcuaccugc uggacagcga 480

gaauacuucu ggcgcccugc cuagacugcc ccagacaccu aaacagccuc agaagcggag 540

cagagccgcc uuuagccaca cacaagugau cgagcuggaa cggaaguuca gccaccagaa 600

guaccugagc gccccugaaa gagcccaccu ggccaagaau cugaagcuga ccgagacuca 660

agugaagauc ugguuccaga accggcggua caagaccaag cggaagcagc ugucaagcga 720

gcugggcgac cuggaaaagc acagcucucu gcccgcucug aaagaggaag ccuucuccag 780

agccagccug guguccgugu acaacagcua cccuuacuac cccuaccugu acugcgucgg 840

cucuuggagc ccugccuuuu ggggaggauc cggugguggc ggcagcggcg gcaagaagca 900

guacaucaag gccaacagca aguucaucgg caucaccgag cugaagaagc ugggaggggg 960

caaacgggga ggcggcaaaa agaugaccaa cagcguggac gacgcccuga ucaacagcac 1020

caagaucuac agcuacuucc ccagcgugau cagcaaagug aaccagggcg cucagggcaa 1080

gaaacugggc ucuagcggag ggggaggcuc uccuggcggg ggaucuagca ucgugggaau 1140

uguggcagga cuggcagugc uggccguggu ggugaucgga gccguggugg cuaccgugau 1200

gugcagacgg aaguccagcg gaggcaaggg cggcagcuac agccaggccg ccagcucuga 1260

uagcgcccag ggcagcgacg ugucacugac agccuaguaa cucgagcugg uacugcaugc 1320

acgcaaugcu agcugccccu uucccguccu ggguaccccg agucuccccc gaccucgggu 1380

cccagguaug cucccaccuc caccugcccc acucaccacc ucugcuaguu ccagacaccu 1440

cccaagcacg cagcaaugca gcucaaaacg cuuagccuag ccacaccccc acgggaaaca 1500

gcagugauua accuuuagca auaaacgaaa guuuaacuaa gcuauacuaa ccccaggguu 1560

ggucaauuuc gugccagcca caccgagacc ugguccagag ucgcuagccg cgucgcuaaa 1620

aaaaaaaaaa aaaaaaaaaa aaaaaaagca uaugacuaaa aaaaaaaaaa aaaaaaaaaa 1680

aaaaaaaaaa aaaaaaaaaa aaaaaaaaaa aaaaaaaaaa aaaaaaa 1727

<210> 21

<211> 52

<212> RNA

<213> Artificial Sequence

<220>

<223> 5' UTR

<400> 21

gggcgaacua guauucuucu gguccccaca gacucagaga gaacccgcca cc 52

<210> 22

<211> 26

<212> PRT

<213> Artificial Sequence

<220>

<223> Secretory signal

<400> 22

Met Arg Val Met Ala Pro Arg Thr Leu Ile Leu Leu Leu Ser Gly Ala

1 5 10 15

Leu Ala Leu Thr Glu Thr Trp Ala Gly Ser

20 25

<210> 23

<211> 78

<212> RNA

<213> Artificial Sequence

<220>

<223> Secretory signal

<400> 23

augagaguga uggcccccag aacccugauc cugcugcugu cuggcgcccu ggcccugaca 60

gagacauggg ccggaagc 78

<210> 24

<211> 55

<212> PRT

<213> Artificial Sequence

<220>

<223> MITD

<400> 24

Ile Val Gly Ile Val Ala Gly Leu Ala Val Leu Ala Val Val Val Ile

1 5 10 15

Gly Ala Val Val Ala Thr Val Met Cys Arg Arg Lys Ser Ser Gly Gly

20 25 30

Lys Gly Gly Ser Tyr Ser Gln Ala Ala Ser Ser Asp Ser Ala Gln Gly

35 40 45

Ser Asp Val Ser Leu Thr Ala

50 55

<210> 25

<211> 171

<212> RNA

<213> Artificial Sequence

<220>

<223> MITD

<400> 25

aucgugggaa uuguggcagg acuggcagug cuggccgugg uggugaucgg agccguggug 60

gcuaccguga ugugcagacg gaaguccagc ggaggcaagg gcggcagcua cagccaggcc 120

gccagcucug auagcgccca gggcagcgac gugucacuga cagccuagua a 171

<210> 26

<211> 65

<212> PRT

<213> Artificial Sequence

<220>

<223> P2P16

<400> 26

Lys Lys Gln Tyr Ile Lys Ala Asn Ser Lys Phe Ile Gly Ile Thr Glu

1 5 10 15

Leu Lys Lys Leu Gly Gly Gly Lys Arg Gly Gly Gly Lys Lys Met Thr

20 25 30

Asn Ser Val Asp Asp Ala Leu Ile Asn Ser Thr Lys Ile Tyr Ser Tyr

35 40 45

Phe Pro Ser Val Ile Ser Lys Val Asn Gln Gly Ala Gln Gly Lys Lys

50 55 60

Leu

65

<210> 27

<211> 195

<212> RNA

<213> Artificial Sequence

<220>

<223> P2P16

<400> 27

aagaagcagu acaucaaggc caacagcaag uucaucggca ucaccgagcu gaagaagcug 60

ggagggggca aacggggagg cggcaaaaag augaccaaca gcguggacga cgcccugauc 120

aacagcacca agaucuacag cuacuucccc agcgugauca gcaaagugaa ccagggcgcu 180

cagggcaaga aacug 195

<210> 28

<211> 317

<212> RNA

<213> Artificial Sequence

<220>

<223> 3' UTR

<400> 28

cucgagcugg uacugcaugc acgcaaugcu agcugccccu uucccguccu ggguaccccg 60

agucuccccc gaccucgggu cccagguaug cucccaccuc caccugcccc acucaccacc 120

ucugcuaguu ccagacaccu cccaagcacg cagcaaugca gcucaaaacg cuuagccuag 180

ccacaccccc acgggaaaca gcagugauua accuuuagca auaaacgaaa guuuaacuaa 240

gcuauacuaa ccccaggguu ggucaauuuc gugccagcca caccgagacc ugguccagag 300

ucgcuagccg cgucgcu 317

<210> 29

<211> 110

<212> RNA

<213> Artificial Sequence

<220>

<223> A30L70

<400> 29

aaaaaaaaaa aaaaaaaaaa aaaaaaaaaa gcauaugacu aaaaaaaaaa aaaaaaaaaa 60

aaaaaaaaaa aaaaaaaaaa aaaaaaaaaa aaaaaaaaaa aaaaaaaaaa 110

<210> 30

<211> 15

<212> PRT

<213> Artificial Sequence

<220>

<223> P2

<400> 30

Gln Tyr Ile Lys Ala Asn Ser Lys Phe Ile Gly Ile Thr Glu Leu

1 5 10 15

<210> 31

<211> 32

<212> PRT

<213> Artificial Sequence

<220>

<223> P16

<400> 31

Met Thr Asn Ser Val Asp Asp Ala Leu Ile Asn Ser Thr Lys Ile Tyr

1 5 10 15

Ser Tyr Phe Pro Ser Val Ile Ser Lys Val Asn Gln Gly Ala Gln Gly

20 25 30

<---

Похожие патенты RU2838161C2

название год авторы номер документа
ТЕРАПЕВТИЧЕСКАЯ РНК ДЛЯ РАКА ЯИЧНИКА 2020
  • Сахин, Угур
  • Вебер, Давид
  • Вальтер, Карина
  • Бареа Ролдан, Диана
  • Кунер, Рупрехт
  • Вагнер, Майке
  • Зухан, Мартин
  • Ганги Мауричи, Стефания
  • Хубих-Рау, Стефание
  • Бекер, Рене
RU2832172C2
Модифицированные клетки с химерным антигеновым рецептором для лечения рака, экспрессирующего CLDN6 2020
  • Сахин, Угур
  • Эм, Петра
  • Ренгстль, Беньямин
  • Райнхард, Катарина
  • Михель, Кристина
RU2826058C2
СПОСОБЫ И КОМПОЗИЦИИ ДЛЯ ПРОГНОЗИРОВАНИЯ ТЕРАПЕВТИЧЕСКОЙ ЭФФЕКТИВНОСТИ ЛЕЧЕНИЯ ОНКОЛОГИЧЕСКИХ ЗАБОЛЕВАНИЙ И ПРОГНОЗА ОНКОЛОГИЧЕСКИХ ЗАБОЛЕВАНИЙ 2016
  • Сахин Угур
  • Тюречи Озлем
  • Маурус Даниэль
RU2785291C2
КОМБИНИРОВАННАЯ ТЕРАПИЯ С ИСПОЛЬЗОВАНИЕМ АНТИТЕЛ ПРОТИВ КЛАУДИНА 18.2 ДЛЯ ЛЕЧЕНИЯ РАКА 2014
  • Сахин, Угур
  • Тюречи, Озлем
  • Митнахт-Краус, Рита
  • Вёль, Штефан
  • Якобс, Штефан
  • Хайнц, Корнелиа
RU2792932C2
АНТИТЕЛА К C10ORF54 И ИХ ПРИМЕНЕНИЯ 2015
  • Липпинкотт, Джон
  • Ван Дер Хорст, Эдвард Тейн, Хтун
  • Ким, Сунь, Юн
  • Преста, Леонард, Г.
  • Тёниссен, Ян-Виллем
RU2714232C2
АНТИТЕЛА К C10ORF54 И ИХ ПРИМЕНЕНИЯ 2015
  • Липпинкотт, Джон
  • Ван Дер Хорст, Эдвард Тейн, Хтун
  • Ким, Сунь, Юн
  • Преста, Леонард, Г.
  • Тёниссен, Ян-Виллем
RU2819627C1
ГЛИКАНЗАВИСИМЫЕ ИММУНОТЕРАПЕВТИЧЕСКИЕ МОЛЕКУЛЫ 2016
  • Деметриоу Майкл
  • Чжоу Рэймонд Вэньхоу
RU2754661C2
КОНЪЮГАТЫ ЛЕКАРСТВЕННЫХ СРЕДСТВ, СОДЕРЖАЩИЕ АНТИТЕЛА ПРОТИВ КЛАУДИНА 18.2 2016
  • Сахин, Угур
  • Тюречи, Озлем
  • Вальтер, Корден
  • Кройцберг, Мария
  • Митнахт-Краус, Рита
  • Ле Гол, Фабрис
  • Якобс, Штефан
RU2841168C2
Иммунногенный слитый белок 2016
  • Педерсен Фишер Пер Бо
RU2757426C2
Векторы для экспрессии простатоассоциированных антигенов 2014
  • Байндер Джозеф Джон
  • Чо Хелен Ким
RU2650860C2

Иллюстрации к изобретению RU 2 838 161 C2

Реферат патента 2025 года ТЕРАПЕВТИЧЕСКАЯ РНК ДЛЯ РАКА ПРЕДСТАТЕЛЬНОЙ ЖЕЛЕЗЫ

Группа изобретений относится к области фармацевтики и медицины. 1 и 2 объекты представляют собой фармацевтическую композицию и набор для лечения или профилактики рака предстательной железы, содержащие РНК, кодирующие аминокислотные последовательности, содержащие калликреин-2 (KLK2), простатоспецифический антиген (PSA), простатическую кислую фосфатазу (PAP), Homeobox B13 (HOXB13), NK3 Homeobox 1 (NKX3-1), их иммуногенные варианты или иммуногенные фрагменты или их иммуногенные варианты. 3 и 4 объекты – применение фармацевтической композиции или набора в качестве лекарственного средства для лечения или профилактики рака предстательной железы. 5 объект – способ лечения рака предстательной железы у субъекта, включающий введение субъекту по меньшей мере одной РНК, кодирующей аминокислотные последовательности, содержащие калликреин-2 (KLK2), простатоспецифический антиген (PSA), простатическую кислую фосфатазу (PAP), Homeobox B13 (HOXB13), NK3 Homeobox 1 (NKX3-1), их иммуногенные варианты или иммуногенные фрагменты или их иммуногенные варианты. Технический результат заключается в стимуляции размножения/примирования Т-клеток и индукция антигенспецифического Т-клеточного ответа у субъекта против клеток рака предстательной железы, экспрессирующих один или более указанных опухолевых антигенов. 5 н. и 78 з.п. ф-лы, 20 ил., 18 табл., 3 пр.

Формула изобретения RU 2 838 161 C2

1. Фармацевтическая композиция для лечения или профилактики рака предстательной железы, содержащая по меньшей мере одну РНК, где по меньшей мере одна РНК кодирует следующие аминокислотные последовательности:

(i) аминокислотную последовательность, содержащую калликреин-2 (KLK2), его иммуногенный вариант или иммуногенный фрагмент KLK2 или его иммуногенный вариант;

(ii) аминокислотную последовательность, содержащую простатоспецифический антиген (PSA), его иммуногенный вариант или иммуногенный фрагмент PSA или его иммуногенный вариант;

(iii) аминокислотную последовательность, содержащую простатическую кислую фосфатазу (PAP), ее иммуногенный вариант или иммуногенный фрагмент PAP или его иммуногенный вариант;

(iv) аминокислотную последовательность, содержащую Homeobox B13 (HOXB13), его иммуногенный вариант или иммуногенный фрагмент HOXB13 или его иммуногенный вариант; и

(v) аминокислотную последовательность, содержащую NK3 Homeobox 1 (NKX3-1), его иммуногенный вариант или иммуногенный фрагмент NKX3-1 или его иммуногенный вариант, причем

а) аминокислотная последовательность по (i) содержит аминокислотную последовательность SEQ ID NO: 1 или 2 или аминокислотную последовательность, по меньшей мере на 80% идентичную аминокислотной последовательности SEQ ID NO: 1 или 2;

b) аминокислотная последовательность по (ii) содержит аминокислотную последовательность SEQ ID NO: 5 или 6 или аминокислотную последовательность, по меньшей мере на 80% идентичную аминокислотной последовательности SEQ ID NO: 5 или 6;

c) аминокислотная последовательность по (iii) содержит аминокислотную последовательность SEQ ID NO: 9 или 10 или аминокислотную последовательность, по меньшей мере на 80% идентичную аминокислотной последовательности SEQ ID NO: 9 или 10;

d) аминокислотная последовательность по (iv) содержит аминокислотную последовательность SEQ ID NO: 13 или 14 или аминокислотную последовательность, по меньшей мере на 80% идентичную аминокислотной последовательности SEQ ID NO: 13 или 14;

e) аминокислотная последовательность по (v) содержит аминокислотную последовательность SEQ ID NO: 17 или 18 или аминокислотную последовательность, по меньшей мере на 80% идентичную аминокислотной последовательности SEQ ID NO: 17 или 18, и

иммуногенный фрагмент или иммуногенный вариант представляет собой иммунологический эквивалент KLK2, PSA, PAP, HOXB13 или NKX3-1, соответственно, причем фармацевтическая композиция также содержит один или более фармацевтически приемлемых носителей, разбавителей и/или эксципиентов.

2. Набор для лечения или профилактики рака предстательной железы, содержащий эффективное количество РНК, где РНК кодируют следующие аминокислотные последовательности и находятся в отдельных флаконах:

(i) аминокислотную последовательность, содержащую калликреин-2 (KLK2), его иммуногенный вариант или иммуногенный фрагмент KLK2 или его иммуногенный вариант;

(ii) аминокислотную последовательность, содержащую простатоспецифический антиген (PSA), его иммуногенный вариант или иммуногенный фрагмент PSA или его иммуногенный вариант;

(iii) аминокислотную последовательность, содержащую простатическую кислую фосфатазу (PAP), ее иммуногенный вариант или иммуногенный фрагмент PAP или его иммуногенный вариант;

(iv) аминокислотную последовательность, содержащую Homeobox B13 (HOXB13), его иммуногенный вариант или иммуногенный фрагмент HOXB13 или его иммуногенный вариант; и

(v) аминокислотную последовательность, содержащую NK3 Homeobox 1 (NKX3-1), его иммуногенный вариант или иммуногенный фрагмент NKX3-1 или его иммуногенный вариант, причем

а) аминокислотная последовательность по (i) содержит аминокислотную последовательность SEQ ID NO: 1 или 2 или аминокислотную последовательность, по меньшей мере на 80% идентичную аминокислотной последовательности SEQ ID NO: 1 или 2;

b) аминокислотная последовательность по (ii) содержит аминокислотную последовательность SEQ ID NO: 5 или 6 или аминокислотную последовательность, по меньшей мере на 80% идентичную аминокислотной последовательности SEQ ID NO: 5 или 6;

c) аминокислотная последовательность по (iii) содержит аминокислотную последовательность SEQ ID NO: 9 или 10 или аминокислотную последовательность, по меньшей мере на 80% идентичную аминокислотной последовательности SEQ ID NO: 9 или 10;

d) аминокислотная последовательность по (iv) содержит аминокислотную последовательность SEQ ID NO: 13 или 14 или аминокислотную последовательность, по меньшей мере на 80% идентичную аминокислотной последовательности SEQ ID NO: 13 или 14;

e) аминокислотная последовательность по (v) содержит аминокислотную последовательность SEQ ID NO: 17 или 18 или аминокислотную последовательность, по меньшей мере на 80% идентичную аминокислотной последовательности SEQ ID NO: 17 или 18, и

иммуногенный фрагмент или иммуногенный вариант представляет собой иммунологический эквивалент KLK2, PSA, PAP, HOXB13 или NKX3-1, соответственно.

3. Фармацевтическая композиция по п. 1 или набор по п. 2, отличающиеся тем, что каждая из аминокислотных последовательностей по (i), (ii), (iii), (iv) или (v) кодируется отдельной РНК.

4. Фармацевтическая композиция по п. 1 или 3 или набор по п. 2 или 3, где РНК, кодирующая аминокислотную последовательность по (i), содержит нуклеотидную последовательность SEQ ID NO: 3 или 4 или нуклеотидную последовательность, идентичную, по меньшей мере, на 99%, 98%, 97%, 96%, 95%, 90%, 85% или 80% нуклеотидной последовательности SEQ ID NO: 3 или 4; и/или

аминокислотная последовательность по (i) содержит аминокислотную последовательность SEQ ID NO: 1 или 2 или аминокислотную последовательность, идентичную, по меньшей мере, на 99%, 98%, 97%, 96%, 95%, 90% или 85% аминокислотной последовательности SEQ ID NO: 1 или 2.

5. Фармацевтическая композиция по любому из пп. 1, 3 или 4 или набор по любому из пп. 2-4, где

РНК, кодирующая аминокислотную последовательность по (ii), содержит нуклеотидную последовательность SEQ ID NO: 7 или 8 или нуклеотидную последовательность, идентичную, по меньшей мере, на 99%, 98%, 97%, 96%, 95%, 90%, 85% или 80% нуклеотидной последовательности SEQ ID NO: 7 или 8; и/или

аминокислотная последовательность по (ii) содержит аминокислотную последовательность SEQ ID NO: 5 или 6 или аминокислотную последовательность, идентичную, по меньшей мере, на 99%, 98%, 97%, 96%, 95%, 90% или 85% аминокислотной последовательности SEQ ID NO: 5 или 6.

6. Фармацевтическая композиция по любому из пп. 1 или 3-5 или набор по любому из пп. 2-5, где

РНК, кодирующая аминокислотную последовательность по (iii), содержит нуклеотидную последовательность SEQ ID NO: 11 или 12 или нуклеотидную последовательность, идентичную, по меньшей мере, на 99%, 98%, 97%, 96%, 95%, 90%, 85% или 80% нуклеотидной последовательности SEQ ID NO: 11 или 12; и/или

аминокислотная последовательность по (iii) содержит аминокислотную последовательность SEQ ID NO: 9 или 10 или аминокислотную последовательность, идентичную, по меньшей мере, на 99%, 98%, 97%, 96%, 95%, 90% или 85% аминокислотной последовательности SEQ ID NO: 9 или 10.

7. Фармацевтическая композиция по любому из пп. 1 или 3-6 или набор по любому из пп. 2-6, где

РНК, кодирующая аминокислотную последовательность по (iv), содержит нуклеотидную последовательность SEQ ID NO: 15 или 16 или нуклеотидную последовательность, идентичную, по меньшей мере, на 99%, 98%, 97%, 96%, 95%, 90%, 85% или 80% нуклеотидной последовательности SEQ ID NO: 15 или 16; и/или

аминокислотная последовательность по пункту (iv) содержит аминокислотную последовательность SEQ ID NO: 13 или 14 или аминокислотную последовательность, идентичную, по меньшей мере, на 99%, 98%, 97%, 96%, 95%, 90% или 85% аминокислотной последовательности SEQ ID NO: 13 или 14.

8. Фармацевтическая композиция по любому из пп. 1 или 3-7 или набор по любому из пп. 2-7, где

РНК, кодирующая аминокислотную последовательность по (v), содержит нуклеотидную последовательность SEQ ID NO: 19 или 20 или нуклеотидную последовательность, идентичную, по меньшей мере, на 99%, 98%, 97%, 96%, 95%, 90%, 85% или 80% нуклеотидной последовательности SEQ ID NO: 19 или 20; и/или

аминокислотная последовательность по (v) содержит аминокислотную последовательность SEQ ID NO: 17 или 18 или аминокислотную последовательность, идентичную, по меньшей мере, на 99%, 98%, 97%, 96%, 95%, 90% или 85% аминокислотной последовательности SEQ ID NO: 17 или 18.

9. Фармацевтическая композиция по любому из пп. 1 или 3-8 или набор по любому из пп. 2-8, где по меньшей мере одна из аминокислотных последовательностей по (i), (ii), (iii), (iv) или (v) кодируется последовательностью, которая оптимизирована по кодонам и/или содержание G/C в которой увеличено по сравнению с кодирующей последовательностью дикого типа, где оптимизация по кодонам и/или увеличение содержания G/C предпочтительно не изменяет последовательность кодируемой аминокислотной последовательности.

10. Фармацевтическая композиция по любому из пп. 1 или 3-9 или набор по любому из пп. 2-9, где каждая из аминокислотных последовательностей по (i), (ii), (iii), (iv) или (v) кодируется последовательностью, которая оптимизирована по кодонам и/или содержание G/C в которой увеличено по сравнению с кодирующей последовательностью дикого типа, где оптимизация по кодонам и/или увеличение содержания G/C предпочтительно не изменяет последовательность кодируемой аминокислотной последовательности.

11. Фармацевтическая композиция по любому из пп. 1 или 3-10 или набор по любому из пп. 2-10, где по меньшей мере одна РНК содержит 5’-кэп m27,2’-OGppsp(5')G.

12. Фармацевтическая композиция по любому из пп. 1 или 3-11 или набор по любому из пп. 2-11, где каждая РНК содержит 5’-кэп m27,2’-OGppsp(5')G.

13. Фармацевтическая композиция по любому из пп. 1 или 3-12 или набор по любому из пп. 2-12, где меньшей мере одна РНК содержит 5'-UTR, содержащую нуклеотидную последовательность SEQ ID NO: 21 или нуклеотидную последовательность, идентичную, по меньшей мере, на 99%, 98%, 97% 96%, 95%, 90%, 85% или 80% нуклеотидной последовательности с SEQ ID NO: 21.

14. Фармацевтическая композиция по любому из пп. 1 или 3-13 или набор по любому из пп. 2-13, где каждая РНК содержит 5'-UTR, содержащую нуклеотидную последовательность SEQ ID NO: 21 или нуклеотидную последовательность, идентичную, по меньшей мере, на 99%, 98%, 97%, 96%, 95%, 90%, 85% или 80% нуклеотидной последовательности SEQ ID NO: 21.

15. Фармацевтическая композиция по любому из пп. 1 или 3-14 или набор по любому из пп. 2-14, где по меньшей мере одна аминокислотная последовательность по (i), (ii), (iii), (iv) или (v) содержит аминокислотную последовательность, усиливающую процессинг и/или презентацию антигена.

16. Фармацевтическая композиция по любому из пп. 1 или 3-15 или набор по любому из пп. 2-15, где каждая аминокислотная последовательность по (i), (ii), (iii), (iv) или (v) содержит аминокислотную последовательность, усиливающую процессинг и/или презентацию антигена.

17. Фармацевтическая композиция или набор по п. 15 или 16, где аминокислотная последовательность, усиливающая процессинг и/или презентацию антигена, содержит аминокислотную последовательность, соответствующую трансмембранному и цитоплазматическому домену молекулы MHC, предпочтительно молекулы MHC класса I.

18. Фармацевтическая композиция или набор по любому из пп. 15-17, отличающиеся тем, что

РНК, кодирующая аминокислотную последовательность, усиливающую процессинг и/или презентацию антигена, содержит нуклеотидную последовательность SEQ ID NO: 25 или нуклеотидную последовательность, идентичную, по меньшей мере, на 99%, 98%, 97%, 96%, 95%, 90%, 85% или 80% нуклеотидной последовательности SEQ ID NO: 25; и/или

аминокислотная последовательность, усиливающая процессинг и/или презентацию антигена, содержит аминокислотную последовательность SEQ ID NO: 24 или аминокислотную последовательность, идентичную, по меньшей мере, на 99%, 98%, 97%, 96%, 95%, 90%, 85% или 80% аминокислотной последовательности SEQ ID NO: 24.

19. Фармацевтическая композиция по любому из пп. 1 или 3-18 или набор по любому из пп. 2-18, где по меньшей мере одна аминокислотная последовательность по (i), (ii), (iii), (iv) или (v) содержит аминокислотную последовательность, которая нарушает иммунологическую толерантность.

20. Фармацевтическая композиция по любому из пп. 1 или 3-19 или набор по любому из пп. 2-19, где каждая аминокислотная последовательность по (i), (ii), (iii), (iv) или (v) содержит аминокислотную последовательность, которая нарушает иммунологическую толерантность.

21. Фармацевтическая композиция или набор по п. 19 или 20, где аминокислотная последовательность, которая нарушает иммунологическую толерантность, содержит хелперные эпитопы, предпочтительно хелперные эпитопы, полученные из столбнячного анатоксина.

22. Фармацевтическая композиция или набор по любому из пп. 19-21, где

РНК, кодирующая аминокислотную последовательность, которая нарушает иммунологическую толерантность, содержит нуклеотидную последовательность SEQ ID NO: 27 или нуклеотидную последовательность, идентичную, по меньшей мере, на 99%, 98%, 97%, 96%, 95%, 90%, 85% или 80% нуклеотидной последовательности SEQ ID NO: 27; и/или

аминокислотная последовательность, которая нарушает иммунологическую толерантность, содержит аминокислотную последовательность SEQ ID NO: 26 или аминокислотную последовательность, идентичную, по меньшей мере, на 99%, 98%, 97%, 96%, 95%, 90%, 85% или 80% нуклеотидной последовательности SEQ ID NO: 26.

23. Фармацевтическая композиция по любому из пп. 1 или 3-22 или набор по любому из пп. 2-22, где по меньшей мере одна РНК содержит 3'-UTR, содержащую нуклеотидную последовательность SEQ ID NO: 28 или нуклеотидную последовательность, идентичную, по меньшей мере, на 99%, 98%, 97%, 96%, 95%, 90%, 85% или 80% нуклеотидной последовательности SEQ ID NO: 28.

24. Фармацевтическая композиция по любому из пп. 1 или 3-23 или набор по любому из пп. 2-23, где каждая РНК содержит 3'-UTR, содержащую нуклеотидную последовательность SEQ ID NO: 28 или нуклеотидную последовательность, идентичную, по меньшей мере, на 99%, 98%, 97%, 96%, 95%, 90%, 85% или 80% нуклеотидной последовательности SEQ ID NO: 28.

25. Фармацевтическая композиция по любому из пп. 1 или 3-24 или набор по любому из пп. 2-24, где по меньшей мере одна РНК содержит последовательность поли-А.

26. Фармацевтическая композиция по любому из пп. 1 или 3-25 или набор по любому из пп. 1-25, где каждая РНК содержит последовательность поли-А.

27. Фармацевтическая композиция или набор по п. 25 или 26, где последовательность поли-А содержит по меньшей мере 100 нуклеотидов.

28. Фармацевтическая композиция или набор по любому из пп. 25-27, где последовательность поли-А содержит или состоит из нуклеотидной последовательности SEQ ID NO: 29.

29. Фармацевтическая композиция по любому из пп. 1 или 3-28 или набор по любому из пп. 1-28, где РНК включена в композицию или в состав, имеющие форму жидкости, твердого вещества или их комбинацию.

30. Фармацевтическая композиция по любому из пп. 1 или 3-29 или набор по любому из пп. 2-29, где РНК включена в композицию или состав для инъекции.

31. Фармацевтическая композиция по любому из пп. 1 или 3-30 или набор по любому из пп. 2-30, где РНК включена в композицию или состав для внутривенного введения.

32. Фармацевтическая композиция по любому из пп. 1 или 3-31 или набор по любому из пп. 2-31, где РНК составлена в виде липоплексных частиц.

33. Фармацевтическая композиция или набор по п. 32, где липоплексные частицы РНК могут быть получены путем смешивания РНК с липосомами.

34. Набор по п. 33, где РНК и липосомы находятся в отдельных флаконах.

35. Набор по п. 34, дополнительно содержащий инструкции по применению РНК и, необязательно, липосом для лечения или профилактики рака предстательной железы.

36. Применение фармацевтической композиции по любому из пп. 1 или 3-33 в качестве лекарственного средства для лечения или профилактики рака предстательной железы.

37. Применение набора по любому из пп. 2-35 в качестве лекарственного средства для лечения или профилактики рака предстательной железы.

38. Фармацевтическая композиция по любому из пп. 1 или 3-33 или набор по любому из пп. 2-35, предназначенные для введения человеку.

39. Применение по любому из п. 36 или 37, где лекарственное средство предназначено для введения человеку.

40. Применение по любому из п. 38 или 39, где терапевтическое или профилактическое лечение также включает проведение дополнительной терапии.

41. Применение по п. 40, где дополнительная терапия включает одно или несколько средств, выбранных из группы, состоящей из: (a) хирургического вмешательства по иссечению, резекции или удалению опухоли, (b) лучевой терапии и (c) химиотерапии.

42. Применение по п. 40 или 41, где дополнительная терапия включает введение терапевтического агента.

43. Применение по п. 42, где дополнительный терапевтический агент представляет собой противораковый терапевтический агент.

44. Применение по п. 42 или 43, где дополнительный терапевтический агент представляет собой модулятор контрольной точки.

45. Применение по п. 44, где модулятор контрольной точки представляет собой анти-PD1 антитело, анти-CTLA-4 антитело или комбинацию анти-PD1 антитела и анти-CTLA-4 антитела.

46. Способ лечения рака предстательной железы у субъекта, включающий введение субъекту по меньшей мере одной РНК, при этом по меньшей мере одна РНК кодирует следующие аминокислотные последовательности:

(i) аминокислотную последовательность, содержащую калликреин-2 (KLK2), его иммуногенный вариант или иммуногенный фрагмент KLK2 или его иммуногенный вариант;

(ii) аминокислотную последовательность, содержащую простатоспецифический антиген (PSA), его иммуногенный вариант или иммуногенный фрагмент PSA или его иммуногенный вариант;

(iii) аминокислотную последовательность, содержащую простатическую кислую фосфатазу (PAP), ее иммуногенный вариант или иммуногенный фрагмент PAP или его иммуногенный вариант;

(iv) аминокислотную последовательность, содержащую Homeobox B13 (HOXB13), его иммуногенный вариант или иммуногенный фрагмент HOXB13 или его иммуногенный вариант; и

(v) аминокислотную последовательность, содержащую NK3 Homeobox 1 (NKX3-1), его иммуногенный вариант или иммуногенный фрагмент NKX3-1 или его иммуногенный вариант, причем

а) аминокислотная последовательность по (i) содержит аминокислотную последовательность SEQ ID NO: 1 или 2 или аминокислотную последовательность, по меньшей мере на 80% идентичную аминокислотной последовательности SEQ ID NO: 1 или 2;

b) аминокислотная последовательность по (ii) содержит аминокислотную последовательность SEQ ID NO: 5 или 6 или аминокислотную последовательность, по меньшей мере на 80% идентичную аминокислотной последовательности SEQ ID NO: 5 или 6;

c) аминокислотная последовательность по (iii) содержит аминокислотную последовательность SEQ ID NO: 9 или 10 или аминокислотную последовательность, по меньшей мере на 80% идентичную аминокислотной последовательности SEQ ID NO: 9 или 10;

d) аминокислотная последовательность по (iv) содержит аминокислотную последовательность SEQ ID NO: 13 или 14 или аминокислотную последовательность, по меньшей мере на 80% идентичную аминокислотной последовательности SEQ ID NO: 13 или 14;

e) аминокислотная последовательность по (v) содержит аминокислотную последовательность SEQ ID NO: 17 или 18 или аминокислотную последовательность, по меньшей мере на 80% идентичную аминокислотной последовательности SEQ ID NO: 17 или 18, и

иммуногенный фрагмент или иммуногенный вариант представляет собой иммунологический эквивалент KLK2, PSA, PAP, HOXB13 или NKX3-1, соответственно.

47. Способ по п. 46, где каждая из аминокислотных последовательностей по (i), (ii), (iii), (iv) или (v) кодируется отдельной РНК.

48. Способ по п. 46 или 47, где

РНК, кодирующая аминокислотную последовательность по (i), содержит нуклеотидную последовательность SEQ ID NO: 3 или 4 или нуклеотидную последовательность, идентичную, по меньшей мере, на 99%, 98%, 97%, 96%, 95%, 90%, 85% или 80% нуклеотидной последовательности SEQ ID NO: 3 или 4; и/или

аминокислотная последовательность по (i) содержит аминокислотную последовательность SEQ ID NO: 1 или 2 или аминокислотную последовательность, идентичную, по меньшей мере, на 99%, 98%, 97%, 96%, 95%, 90% или 85% аминокислотной последовательности SEQ ID NO: 1 или 2.

49. Способ по любому из пп. 46-48, где

РНК, кодирующая аминокислотную последовательность по (ii), содержит нуклеотидную последовательность SEQ ID NO: 7 или 8 или нуклеотидную последовательность, идентичную, по меньшей мере, на 99%, 98%, 97%, 96%, 95%, 90%, 85% или 80% нуклеотидной последовательности SEQ ID NO: 7 или 8; и/или

аминокислотная последовательность по (ii) содержит аминокислотную последовательность SEQ ID NO: 5 или 6 или аминокислотную последовательность, идентичную, по меньшей мере, на 99%, 98%, 97%, 96%, 95%, 90% или 85% аминокислотной последовательности SEQ ID NO: 5 или 6.

50. Способ по любому из пп. 46-49, где

РНК, кодирующая аминокислотную последовательность по (iii), содержит нуклеотидную последовательность SEQ ID NO: 11 или 12 или нуклеотидную последовательность, идентичную, по меньшей мере, на 99%, 98%, 97%, 96%, 95%, 90%, 85% или 80% нуклеотидной последовательности SEQ ID NO: 11 или 12; и/или

аминокислотная последовательность по (iii) содержит аминокислотную последовательность SEQ ID NO: 9 или 10 или аминокислотную последовательность, идентичную, по меньшей мере, на 99%, 98%, 97%, 96%, 95%, 90% или 85% аминокислотной последовательности SEQ ID NO: 9 или 10.

51. Способ по любому из пп. 46-50, где

РНК, кодирующая аминокислотную последовательность по (iv), содержит нуклеотидную последовательность SEQ ID NO: 15 или 16 или нуклеотидную последовательность, идентичную, по меньшей мере, на 99%, 98%, 97%, 96%, 95%, 90%, 85% или 80% нуклеотидной последовательности SEQ ID NO: 15 или 16; и/или

аминокислотная последовательность по (iv) содержит аминокислотную последовательность SEQ ID NO: 13 или 14 или аминокислотную последовательность, идентичную, по меньшей мере, на 99%, 98%, 97%, 96%, 95%, 90% или 85% аминокислотной последовательности SEQ ID NO: 13 или 14.

52. Способ по любому из пп. 46-51, где

РНК, кодирующая аминокислотную последовательность по (v), содержит нуклеотидную последовательность SEQ ID NO: 19 или 20 или нуклеотидную последовательность, идентичную, по меньшей мере, на 99%, 98%, 97%, 96%, 95%, 90%, 85% или 80% нуклеотидной последовательности SEQ ID NO: 19 или 20; и/или

аминокислотная последовательность по (v) содержит аминокислотную последовательность SEQ ID NO: 17 или 18 или аминокислотную последовательность, идентичную, по меньшей мере, на 99%, 98%, 97%, 96%, 95%, 90% или 85% аминокислотной последовательности SEQ ID NO: 17 или 18.

53. Способ по любому из пп. 46-52, где по меньшей мере одна из аминокислотных последовательностей по (i), (ii), (iii), (iv) или (v) кодируется последовательностью, которая оптимизирована по кодонам и/или содержание G/C в которой увеличено по сравнению с кодирующей последовательностью дикого типа, где оптимизация по кодонам и/или увеличение содержания G/C предпочтительно не изменяют последовательность кодируемой аминокислотной последовательности.

54. Способ по любому из пп. 46-53, где каждая из аминокислотных последовательностей по (i), (ii), (iii), (iv) или (v) кодируется последовательностью, которая оптимизирована по кодонам и/или содержание G/C в которой увеличено по сравнению с кодирующей последовательностью дикого типа, где оптимизация по кодонам и/или увеличение содержания G/C предпочтительно не изменяют последовательность кодируемой аминокислотной последовательности.

55. Способ по любому из пп. 46-54, где по меньшей мере одна РНК содержит 5’-кэп m27,2’-OGppsp(5')G.

56. Способ по любому из пп. 46-55, где каждая РНК содержит 5’-кэп m27,2’-OGppsp(5')G.

57. Способ по любому из пп. 46-56, где по меньшей мере одна РНК содержит 5'-UTR, содержащую нуклеотидную последовательность SEQ ID NO: 21 или нуклеотидную последовательность, идентичную, по меньшей мере, на 99%, 98%, 97%, 96%, 95%, 90%, 85% или 80% нуклеотидной последовательности SEQ ID NO: 21.

58. Способ по любому из пп. 46-57, где каждая РНК содержит 5'-UTR, содержащую нуклеотидную последовательность SEQ ID NO: 21 или нуклеотидную последовательность, идентичную, по меньшей мере, на 99%, 98%, 97%, 96%, 95%, 90%, 85% или 80% нуклеотидной последовательности SEQ ID NO: 21.

59. Способ по любому из пп. 56-58, где по меньшей мере одна аминокислотная последовательность по (i), (ii), (iii), (iv) или (v) содержит аминокислотную последовательность, усиливающую процессинг и/или презентацию антигена.

60. Способ по любому из пп. 46-59, где каждая аминокислотная последовательность по (i), (ii), (iii), (iv) или (v) содержит аминокислотную последовательность, усиливающую процессинг и/или презентацию антигена.

61. Способ по п. 59 или 60, где аминокислотная последовательность, усиливающая процессинг и/или презентацию антигена, содержит аминокислотную последовательность, соответствующую трансмембранному и цитоплазматическому домену молекулы MHC, предпочтительно молекулы MHC класса I.

62. Способ по любому из пп. 59-61, где

РНК, кодирующая аминокислотную последовательность, усиливающую процессинг и/или презентацию антигена, содержит нуклеотидную последовательность SEQ ID NO: 25 или нуклеотидную последовательность, идентичную, по меньшей мере, на 99%, 98%, 97%, 96%, 95%, 90%, 85% или 80% нуклеотидной последовательности SEQ ID NO: 25; и/или

аминокислотная последовательность, усиливающая процессинг и/или презентацию антигена, содержит аминокислотную последовательность SEQ ID NO: 24 или аминокислотную последовательность, идентичную, по меньшей мере, на 99%, 98%, 97%, 96%, 95%, 90%, 85% или 80% аминокислотной последовательности SEQ ID NO: 24.

63. Способ по любому из пп. 46-62, где по меньшей мере одна аминокислотная последовательность по (i), (ii), (iii), (iv) или (v) содержит аминокислотную последовательность, которая нарушает иммунологическую толерантность.

64. Способ по любому из пп. 46-63, где каждая аминокислотная последовательность по (i), (ii), (iii), (iv) или (v) содержит аминокислотную последовательность, которая нарушает иммунологическую толерантность.

65. Способ по п. 63 или 64, где аминокислотная последовательность, которая нарушает иммунологическую толерантность, содержит хелперные эпитопы, предпочтительно хелперные эпитопы, полученные из столбнячного анатоксина.

66. Способ по любому из пп. 63-65, где

РНК, кодирующая аминокислотную последовательность, которая нарушает иммунологическую толерантность, содержит нуклеотидную последовательность SEQ ID NO: 27 или нуклеотидную последовательность, идентичную, по меньшей мере, на 99%, 98%, 97%, 96%, 95%, 90%, 85% или 80% нуклеотидной последовательности SEQ ID NO: 27; и/или

аминокислотная последовательность, которая нарушает иммунологическую толерантность, содержит аминокислотную последовательность SEQ ID NO: 26 или аминокислотную последовательность, идентичную, по меньшей мере, на 99%, 98%, 97%, 96%, 95%, 90%, 85% или 80% нуклеотидной последовательности SEQ ID NO: 26.

67. Способ по любому из пп. 46-66, где по меньшей мере одна РНК содержит 3'-UTR, содержащую нуклеотидную последовательность SEQ ID NO: 28 или нуклеотидную последовательность, идентичную, по меньшей мере, на 99%, 98%, 97%, 96%, 95%, 90%, 85% или 80% нуклеотидной последовательности SEQ ID NO: 28.

68. Способ по любому из пп. 46-67, где каждая РНК содержит 3'-UTR, содержащую нуклеотидную последовательность SEQ ID NO: 28 или нуклеотидную последовательность, идентичную, по меньшей мере, на 99%, 98%, 97%, 96%, 95%, 90%, 85% или 80% нуклеотидной последовательности SEQ ID NO: 28.

69. Способ по любому из пп. 46-68, где по меньшей мере одна РНК содержит последовательность поли-А.

70. Способ по любому из пп. 46-69, где каждая РНК содержит последовательность поли-А.

71. Способ по п. 69 или 70, где последовательность поли-А содержит по меньшей мере 100 нуклеотидов.

72. Способ по любому из пп. 69-71, где последовательность поли-А включает или состоит из нуклеотидной последовательности SEQ ID NO: 29.

73. Способ по любому из пп. 46-72, где РНК вводят путем инъекции.

74. Способ по любому из пп. 46-73, где РНК вводят внутривенно.

75. Способ по любому из пп. 46-74, где РНК составлена в виде липоплексных частиц.

76. Способ по любому из пп. 46-75, где липоплексные частицы РНК могут быть получены путем смешивания РНК с липосомами.

77. Способ по любому из пп. 46-76, где субъектом является человек.

78. Способ по любому из пп. 46-77, который также включает проведение дополнительной терапии.

79. Способ по п. 78, где дополнительная терапия включает одно или несколько средств, выбранных из группы, состоящей из: (a) хирургического вмешательства по иссечению, резекции или удалению опухоли, (b) лучевой терапии и (c) химиотерапии.

80. Способ по п. 78 или 79, где дополнительная терапия включает введение терапевтического агента.

81. Способ по п. 80, где дополнительный терапевтический агент представляет собой противораковый терапевтический агент.

82. Способ по п. 80 или 81, где дополнительный терапевтический агент представляет собой модулятор контрольной точки.

83. Способ по п. 82, где модулятор контрольной точки представляет собой анти-PD1 антитело, анти-CTLA-4 антитело или комбинацию анти-PD1 антитела и анти-CTLA-4 антитела.

Документы, цитированные в отчете о поиске Патент 2025 года RU2838161C2

WO 2017191274 A2, 09.11.2017
US 2016324945 A1, 10.11.2016
МИКРОМЕТР ТИПА ПАЛЬМЕРА ДЛЯ ИЗМЕРЕНИЯ ТОЛЩИНЫ СТЕНОК СОСУДОВ, ТРУБ И Т. П. 1929
  • Керд Э.И.
SU17740A1
WO 2018160540 A1, 07.09.2018
US 2010111993 A1, 06.05.2010
EP 0708656 B1, 31.07.2002
MELIEF C
J
M
et al
Therapeutic cancer vaccines // The Journal of clinical investigation
Устройство для закрепления лыж на раме мотоциклов и велосипедов взамен переднего колеса 1924
  • Шапошников Н.П.
SU2015A1
- Vol
Плуг с фрезерным барабаном для рыхления пласта 1922
  • Громов И.С.
SU125A1
- No
Разборный с внутренней печью кипятильник 1922
  • Петухов Г.Г.
SU9A1
- P
Станок для комбинированного (вращательного и ударного) бурения скважин 1924
  • Шлык В.В.
SU3401A1

RU 2 838 161 C2

Авторы

Вебер, Давид

Вальтер, Карина

Бареа Ролдан, Диана

Кунер, Рупрехт

Дикен, Элиф

Зухан, Мартин

Ганги Маурици, Стефания

Сахин, Угур

Даты

2025-04-11Публикация

2020-03-11Подача