ОБЛАСТЬ ТЕХНИКИ, К КОТОРОЙ ОТНОСИТСЯ ИЗОБРЕТЕНИЕ
Настоящее изобретение относится к трициклическому соединению, которое действует как антагонист серотонининового рецептора, и к его фармацевтическому применению при метаболических заболеваниях или других подобных заболеваниях. Более конкретно, настоящее изобретение относится к трициклическому соединению, которое действует как антагонист серотонинового рецептора 2A, и к его фармацевтическому применению при лечении ожирения, жирового гепатоза, стеатогепатита или других подобных заболеваний.
УРОВЕНЬ ТЕХНИКИ
Ожирение относится к состоянию, при котором в организме накапливается избыточное количество жира. Ожирение обусловлено накоплением дополнительной энергии в форме жировой ткани, когда сжигаемых калорий становится меньше, чем вводимых в организм калорий с питательными веществами. Причины ожирения включают привычки нерегулярного приема пищи, избыточного потребления пищи, недостаток физической нагрузки, генетический фактор или психологический фактор. При ожирении обнаруживаются, помимо симптома одышки и артралгии, такие симптомы, как сердечно-сосудистые заболевания, гипертония, апноэ во сне, дислипидемия, гиперинсулинемия и остеоартрит. Целью лечения ожирения является предотвращение и лечение осложнений, связанных с ожирением.
Основным подходом при лечении ожирения является изменение образа жизни, а в случае медикаментозного лечения, в основном используется средство, подавляющее аппетит. Однако такое средство для подавления аппетита действует на центральную нервную систему и, в силу этого, вызывает побочные эффекты, например, психические заболевания, такие как депрессия.
Средство для подавления аппетита регулирует уровень серотонина (5-HT) в центральной нервной системе, а серотонин является нейротрансмиттером, который регулирует настроение, сон или аппетит. Серотонин действует не только на центральную нервную систему, но также и на периферические ткани и, как сообщалось, играет важную роль в регуляции метаболизма в периферических тканях. Серотонин не может проникать через гематоэнцефалический барьер, и, поэтому, считается, что уровни серотонина в центральной нервной системе и серотонина в периферических тканях не зависят друг от друга.
Известно, что при ингибировании синтеза серотонина в периферических тканях, энергия сжигается за счет снижения липогенеза в белых адипоцитах и выработки тепла в коричневых адипоцитах (Oh C et al., Nature Communication 6, 6794, 2015).
Между тем, жировой гепатоз печени относится к заболеванию, вызванному увеличением содержания жира в печени вследствие накопления большого количества жира в гепатоцитах. Жировой гепатоз печени может быть условно подразделен на алкогольный жировой гепатоз печени и неалкогольный жировой гепатоз печени. Чрезмерное употребление алкоголя приводит к накоплению жира в гепатоцитах, а метаболиты алкоголя повреждают гепатоциты. При этом, неалкогольный жировой гепатоз печени относится к заболеванию, при котором жир накапливается в печени, независимо от отказа от употребления алкоголя или от употребления небольшого количества алкоголя.
Жировой гепатоз печени включает различные формы заболеваний печени, от простого жирового гепатоза печени, при котором накапливается только жир, а гепатоциты не повреждаются, до стеатогепатита, при котором постоянно происходит поражение гепатоцитов, и до цирроза печени, сопровождающегося асцитом, желтухой и другими подобными заболеваниями. Жировой гепатоз печени обусловлен накоплением нейтрального жира в гепатоцитах, и размер волдыря накопленного нейтрального жира со временем увеличивается. Такой жировой волдырь усиливает ответную воспалительную реакцию, вызывая гепатит или фиброз печени.
Лечение жирового гепатоза печени включает снижение массы тела путем использования диетотерапии и лечебной физкультуры, а в случае медикаментозного лечения, используют средство для лечения диабета, улучшающее резистентность к инсулину. Однако, это лекарственное средство используется для краткосрочного лечения, и до настоящего времени не сообщалось о его долговременных лечебных эффектах. Более того, доступные в настоящее время улучшающие липидный баланс лекарственные средства или гепатопротекторы имеют смысл использовать только для поддерживающей терапии, но не для лечения.
Согласно недавно проведенным исследованиям, при лечении с помощью антагониста серотонинового рецептора мышей с поврежденной печенью, антагонист серотонинового рецептора ингибировал пролиферацию поврежденных гепатоцитов и повышал скорость апоптоза (Ruddell et al., The American Journal of Pathology, 169(3), 861-876, 2006 September). Более того, при лечении с помощью кетансерина и сарпогрелата, которые являются ингибиторами рецептора серотонина, снижалась жизнеспособность клеток поврежденной печени в клетках LX-2 и индуцировался апоптоз (Kim et al., Liver International, 33(4), 535-543, 2013). Кроме того, у продуцированных мышей с нокаутом печеночноспецифического серотонинового рецептора 2A (HTR2A), было обнаружено улучшение состояния при стеатозе печени и снижение уровня генов, связанных с воспалением и фиброзом (Choi et al., Nature Communications, 9, 4824, 2018).
[Документы, относящиеся к известному уровню техники]
(Непатентный документ 1) Oh C et al., Nature Communications, 6, 6794, 2015
(Непатентный документ 2) Ruddell et al., The American Journal of Pathology, 169(3), 861-876, 2006 September
(Непатентный документ 3) Kim et al., Liver International, 33(4), 535-543, 2013
(Непатентный документ 4) Choi et al., Nature Communications, 9, 4824, 2018
ОПИСАНИЕ РЕШАЕМОЙ В ИЗОБРЕТЕНИИ ТЕХНИЧЕСКОЙ ЗАДАЧИ
При лечении ожирения важно ингибировать синтез серотонина, присутствующего в периферической нервной системе. Соответственно, авторы настоящего изобретения предприняли попытку найти рецепторы серотонина, которые связаны с ожирением в периферических тканях, и в результате было обнаружено, что при состоянии ожирения увеличивается экспрессия рецептора серотонина 2А (5-НТ2А). Более того, было подтверждено, что путем нокаута рецептора серотонина 2А может быть снижена масса тела и могут быть улучшены состояния при жировом гепатозе, стеатогепатите и фиброзе печени.
Поэтому, задачей настоящего изобретения является создание соединения, которое действует как антагонист серотонинового рецептора, и разработка способа его фармацевтического применения при заболеваниях, связанных с активацией серотонина.
РЕШЕНИЕ ЗАДАЧИ
Соответственно, в настоящем изобретении предлагается соединение, которое является трициклическим производным, представленным химической формулой 1, или его фармацевтически приемлемая соль, стереоизомер или пролекарство. Кроме того, в настоящем изобретении предлагается фармацевтическая композиция для предотвращения или лечения заболеваний, связанных с активацией серотонина, где фармацевтическая композиция содержит соединение по настоящему изобретению в качестве активного ингредиента.
ПОЛОЖИТЕЛЬНЫЕ ЭФФЕКТЫ ИЗОБРЕТЕНИЯ
Соединение, которое представляет собой трициклическое производное, или его фармацевтически приемлемая соль, стереоизомер или пролекарство по настоящему изобретению может проявлять исключительный антагонистический эффект в отношении серотонинового рецептора, в частности, рецептора серотонина 2А.
Поэтому, соединение по настоящему изобретению может эффективно применяться для предотвращения или лечения заболеваний, связанных с активацией серотонина, например, метаболических заболеваний, таких как ожирение, жировой гепатоз печени и стеатогепатит.
НАИЛУЧШИЙ ВАРИАНТ ОСУЩЕСТВЛЕНИЯ ИЗОБРЕТЕНИЯ
Далее, настоящее изобретение будет описано более подробно. Термин "галоген" в настоящем изобретении относится к F, Cl, Br или I, если не указано иное. Термин "алкил" относится к линейному или разветвленному насыщенному углеводородному остатку, если не указано иное. Например, "C1-10 алкил" относится к алкилу, имеющему скелет, состоящий из от 1 до 10 углеродных атомов. В частности, C1-10 алкил может представлять собой метил, этил, н-пропил, изопропил, н-бутил, изобутил, третбутил, н-пентил, изопентил, третпентил, вторпентил, неопентил, гексил, гептил, октил, нонил, децил или другие подобные алкилы. Термин "алкокси" относится к линейному или разветвленному алкил-окси остатку, если не указано иное. Например, "C1-6 алкокси" относится к алкил-окси, имеющему скелет, состоящий из от 1 до 6 углеродных атомов. В частности, C1-6 алкокси может включать метокси, этокси, н-пропокси, изопропокси, н-бутокси, изобутокси, третбутокси, н-пентокси, изопентокси, третпентокси, вторпентокси, неопентокси, гексилокси, или другие подобные алкокси. Термин "галогеналкил" или "галогеналкокси" относится к алкилу или алкокси, замещенным с помощью одного или более галогенов. В частности, галогеналкил или галогеналкокси могут представлять собой алкил или алкокси, замещенные с помощью одного или более одинаковых или разных галогенов. Термин "циклоалкил" относится к насыщенному моноциклу или полициклу, содержащему только углеродные атомы в кольце. Например, циклоалкил может представлять собой моноцикл и иметь от 3 до 7 углеродных атомов.
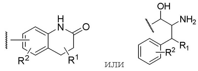
В одном аспекте, в настоящем изобретении предлагается соединение, которое представляет собой трициклическое производное, представленное химической формулой 1, или его фармацевтически приемлемая соль, стереоизомер или пролекарство.
[Химическая формула 1]
В этой формуле, X представляет собой H, галоген, C1-6 алкил или C1-6 алкокси; R представляет собой H, C1-10 алкил, -A, -L1-R1, -L1-A, -L1-L2-A или -L1-L2-L3-A; L1 представляет собой -(CH2)n-, -C(=O)-, -C(=O)-O-, -CH(-OH)-CH2-, -S(=O)2- или -C(=S)-NH-; L2 представляет собой -O-, -C(=O)-, -CH(-OH)-, -CH2-CH(-NH2)-,
или
; L3 представляет собой -C(=O)-, -(CH2)n- или -(CH2)n-O-; каждый из n представляет собой целое число от 1 до 6; A представляет собой 

; и R1 и R2 каждый независимо представляет собой H, галоген, -OH, галоген C1-6 алкил, C1-6 алкокси, галоген C1-6 алкокси, -CN, -COOH, C1-6 алкил, аллил, C3-6 циклоалкил, амино, -NH-C(=O)-C1-6 алкил, -NH-C(=O)-C1-6 алкокси, -C(=O)-C1-6 алкокси или
.
В химической формуле 1, положение для замещения группы X может представлять собой углерод 7, 8, 9, или 10 в 5,6-дигидро-11H-бензо[5,6]циклогепта[1,2-b]пиридин. Примеры различных положений замещения группы X включают химические формулы от 1-1 до 1-4.
В соответствии с одним вариантом осуществления, в химической формуле 1, R представляет собой H, C1-10 алкил или -L1-R1; L1 представляет собой -(CH2)n-, -C(=O)-, -C(=O)-O-, -S(=O)2- или -C(=S)-NH-; n представляет собой целое число от 1 до 6; и R1 представляет собой -OH или C1-3 алкил.
В соответствии с другим вариантом осуществления, в химической формуле 1, R представляет собой -A, -L1-A, -L1-L2-A или -L1-L2-L3-A; L1 представляет собой -(CH2)n- или -C(=O)-; L2 представляет собой -O- или
; L3 представляет собой -C(=O)-; n представляет собой целое число от 1 до 6; A представляет собой
; и R1 и R2 каждый независимо представляет собой H, -Cl или C1-3 алкил.
В соответствии с еще одним вариантом осуществления, в химической формуле 1, R представляет собой -L1-R1, -L1-L2-A или -L1-L2-L3-A; L1 представляет собой -(CH2)n-; L2 представляет собой -CH(-OH)- или
; L3 представляет собой -(CH2)n-; каждый из n представляет собой целое число от 1 до 6; A представляет собой
; и R1 и R2 оба представляют собой H.
В соответствии с еще одним вариантом осуществления, в химической формуле 1, R представляет собой -L1-L2-A или -L1-L2-L3-A; L1 представляет собой -(CH2)n- или -C(=O)-; L2 представляет собой -O-, -CH(-OH)-, или
; L3 представляет собой -C(=O)- или -(CH2)n-O-; каждый из n представляет собой целое число от 1 до 6; A представляет собой
; и R1 и R2 каждый независимо представляет собой H или C1-3 алкил.
В соответствии с еще одним вариантом осуществления, в химической формуле 1, R представляет собой -A, -L1-A, -L1-L2-A или -L1-L2-L3-A; L1 представляет собой -(CH2)n- или -C(=O); L2 представляет собой -O-, -C(=O)-, -CH(-OH)-, -CH2-CH(-NH2)- или
; L3 представляет собой -C(=O)- или -(CH2)n-; каждый из n представляет собой целое число от 1 до 6; A представляет собой 
; и R1 и R2 каждый независимо представляет собой H, -F, -Cl, -Br, -OH, -CF3, -CN, -COOH или C1-3 алкил.
В соответствии с еще одним вариантом осуществления, в химической формуле 1, R представляет собой -L1-L2-A или -L1-L2-L3-A; L1 представляет собой -(CH2)n-; L2 представляет собой -O- или -CH(-OH)-; L3 представляет собой -(CH2)n-O-; A представляет собой 

; и R1 и R2 каждый независимо представляет собой H, F, C1-6 алкил, C1-6 алкокси, -CF3, аллил, -COOH, C3-6 циклоалкил, амино, -C(=O)-C1-6 алкокси или
.
В соответствии с одним конкретным вариантом осуществления, трициклическое производное может быть представлено химической формулой 1a.
[Химическая формула 1a]
В этой формуле, X представляет собой H, галоген, C1-6 алкил или C1-6 алкокси; и R1 и R2 каждый независимо представляет собой H, галоген, -OH, C1-6 алкил, галоген C1-6 алкил или C1-6 алкокси.
В соответствии с другим конкретным вариантом осуществления, трициклическое производное может быть представлено химической формулой 1b.
[Химическая формула 1b]
В этой формуле, X представляет собой H, галоген, C1-6 алкил или C1-6 алкокси; и R1 и R2 каждый независимо представляет собой H, галоген, -OH, C1-6 алкил, галоген C1-6 алкил или C1-6 алкокси.
В соответствии с еще одним конкретным вариантом осуществления, трициклическое производное может быть представлено химической формулой 1c.
[Химическая формула 1c]
В этой формуле, X представляет собой H, галоген, C1-6 алкил или C1-6 алкокси; A представляет собой
или
; и R1 и R2 каждый независимо представляет собой H, галоген, -OH, C1-6 алкил, галоген C1-6 алкил или C1-6 алкокси.
Соединение по настоящему изобретению включает фармацевтически приемлемую соль трициклического производного, представленного химической формулой 1. Требуется, чтобы фармацевтически приемлемая соль имела низкую токсичность для людей и не оказывала никакого отрицательного воздействия на биологическую активность и физико-химические свойства исходного соединения. Например, фармацевтически приемлемая соль может представлять собой соль присоединения кислоты, которая образуется при взаимодействии с фармацевтически приемлемой свободной кислотой. В качестве свободной кислоты может быть использована неорганическая кислота или органическая кислота, и, в изобретении, неорганическая кислота может представлять собой хлористоводородную кислоту, серную кислоту, азотную кислоту, фосфорную кислоту, хлорную кислоту, бромноватую кислоту или другие подобные кислоты, и органическая кислота может представлять собой уксусную кислоту, метансульфоновую кислоту, этансульфоновую кислоту, п-толуолсульфоновую кислоту, фумаровую кислоту, малеиновую кислоту, малоновую кислоту, фталевую кислоту, янтарную кислоту, молочную кислоту, лимонную кислоту, глюконовую кислоту, винную кислоту, салициловую кислоту, яблочную кислоту, щавелевую кислоту, бензойную кислоту, эмбоновую кислоту, аспарагиновую кислоту, глутаминовую кислоту и другие подобные кислоты. Соль присоединения кислоты может быть получена традиционным методом, например, путем растворения соединения, представленного химической формулой 1, в избыточном количестве водного раствора кислоты и осаждения соли, используя смешивающийся с водой органический растворитель, например, метанол, этанол, ацетон или ацетонитрил. Кроме того, фармацевтически приемлемая соль может представлять собой соль щелочного металла (натриевую соль или другие подобные соли) или соль щелочно-земельного металла (калиевую соль или другие подобные соли). Соль щелочного металла или соль щелочно-земельного металла может быть получена, например, путем растворения соединения, представленного химической формулой 1, в избыточном количестве раствора гидроксида щелочного металла или раствора гидроксида щелочно-земельного металла, фильтрования нерастворимой соли соединения, и испарения и сушки фильтрата. Кроме того, соединение по настоящему изобретению может иметь хиральный углеродный центр и, вследствие этого, может присутствовать в форме R- или S-изомера, рацемического соединения, индивидуальных энантиомеров или их смесей или индивидуальных диастереомеров или их смесей, и все эти стереоизомеры и их смеси могут входить в объем настоящего изобретения. Кроме того, соединение по настоящему изобретению может включать пролекарство соединения, представленного химической формулой 1. Пролекарство может относиться к функциональному производному соединения и легко превращаться в соединение in vivo. В некоторых ситуациях, может быть легче ввести пролекарство, чем соединение, и поэтому оно может применяться в ряде случаев. Пролекарство является биодоступным, например, при пероральном введении, в отличие от соединения. Пролекарство также может иметь улучшенную растворимость в фармацевтической композиции по сравнению с соединением. Пролекарство также может быть превращено в соответствующее лекарственное средство с использованием различных механизмов, включая ферментативные процессы и метаболический гидролиз. Примером пролекарства является соединение, в котором аминогруппа соединения защищена защитной группой, такой как третбутилоксикарбонил (Boc). Кроме того, соединение по настоящему изобретению может включать гидрат или сольват соединения, представленного химической формулой 1. Гидрат или сольват может быть получен известным методом, и, предпочтительно, когда он является нетоксичным и растворимым в воде. В частности, предпочтительно, когда гидрат или сольват может представлять собой гидрат или сольват, в котором связаны от одной до пяти молекул воды или спиртового растворителя (в частности, этанола или других подобных растворителей).
В соответствии с конкретным вариантом осуществления, конкретными примерами соединения по настоящему изобретению являются следующие:
1) этил 4-(8-хлор-5,6-дигидро-11H-бензо[5,6]циклогепта[1,2-b]пиридин-11-илиден)пиперидин-1-карбоксилат;
2) 8-хлор-11-(пиперидин-4-илиден)-6,11-дигидро-5H-бензо-[5,6]циклогепта[1,2-b]пиридина дигидрохлорид;
3) 8-хлор-11-(1-(метилсульфонил)пиперидин-4-илиден)-6,11-дигидро-5H-бензо-[5,6]циклогепта[1,2-b]пиридин;
4) 4-(8-хлор-5,6-дигидро-11H-бензо[5,6]циклогепта[1,2-b]-пиридин-11-илиден)-N-изопропил-пиперидин-1-карботиоамид;
5) 1-(4-(8-хлор-5,6-дигидро-11H-бензо-[5,6]циклогепта[1,2-b]пиридин-11-илиден)пиперидин-1-ил)этан-1-он;
6) (R)-3-амино-1-(4-(8-хлор-5,6-дигидро-11H-бензо[5,6]-циклогепта[1,2-b]пиридин-11-илиден)пиперидин-1-ил)-4-(2,4,5-трифторфенил)бутан-1-она дигидрохлорид;
7) (S)-2-амино-3-(4-(4-(8-хлор-5,6-дигидро-11H-бензо[5,6]-циклогепта[1,2-b]пиридин-11-илиден)пиперидин-1-карбонил)фенил)-пропионовой кислоты дигидро-хлорид;
8) (S)-1-(2-амино-4-(4-(8-хлор-5,6-дигидро-11H-бензо[5,6]-циклогепта[1,2-b]пиридин-11-илиден)пиперидин-1-ил)-4-оксобутил)-5,5-дифторпиперидин-2-она дигидрохлорид;
9) 3-(2-(4-(8-хлор-5,6-дигидро-11H-бензо[5,6]циклогепта-[1,2-b]пиридин-11-илиден)пиперидин-1-ил)этил)-2-метил-6,7,8,9-тетрагидро-4H-пиридо[1,2-a]пиримидин-4-он;
10) 3-(2-(4-(8-хлор-5,6-дигидро-11H-бензо[5,6]циклогепта-[1,2-b]пиридин-11-илиден)пиперидин-1-ил)этил)-9-гидрокси-2-метил-6,7,8,9-тетрагидро-4H-пиридо[1,2-a]-пиримидин-4-он;
11) 2-(4-(8-хлор-5,6-дигидро-11H-бензо[5,6]-циклогепта[1,2-b]пиридин-11-илиден)пиперидин-1-ил)-1-(6-метил-имидазо[2,1-b]-тиазол-5-ил)этан-1-он;
12) 3-(2-(4-(8-хлор-5,6-дигидро-11H-бензо[5,6]циклогепта-[1,2-b]пиридин-11-илиден)-пиперидин-1-ил)этил)хиназолин-2,4(1H,3H)-дион;
13) 8-хлор-11-(1-метилпиперидин-4-илиден)-6,11-дигидро-5H-бензо[5,6]циклогепта-[1,2-b]пиридин;
14) (S)-2-амино-3-(4-(4-(4-(8-хлор-5,6-дигидро-11H-бензо-[5,6]циклогепта[1,2-b]пиридин-11-илиден)пиперидин-1-ил)бутокси)-фенил)пропионовой кислоты тригидрохлорид;
15) 2-(4-(8-хлор-5,6-дигидро-11H-бензо[5,6]циклогепта[1,2-b]пиридин-11-илиден)пиперидин-1-ил)-1-(6-метилимидазо[2,1-b]-тиазол-5-ил)этан-1-ол;
16) этил (S)-2-((третбутоксикарбонил)амино)-3-(4-(4-(4-(8-хлор-5,6-дигидро-11H-бензо[5,6]циклогепта[1,2-b]пиридин-11-ил-иден)пиперидин-1-ил)бутокси)фенил)пропаноат;
17) (S)-2-((трет-бутоксикарбонил)амино)-3-(4-(4-(4-(8-хлор-5,6-дигидро-11H-бензо[5,6]циклогепта[1,2-b]пиридин-11-илиден)-пиперидин-1-ил)-бутокси)фенил)пропионовая кислота;
18) 7-(4-(4-(8-хлор-5,6-дигидро-11H-бензо[5,6]циклогепта-[1,2-b]пиридин-11-илиден)-пиперидин-1-ил)бутокси)-3,4-дигидро-хинолин-2(1H)-он;
19) 2-(4-(4-(8-хлор-5,6-дигидро-11H-бензо[5,6]циклогепта-[1,2-b]пиридин-11-илиден)пиперидин-1-ил)бутил)гексагидро-1H-изоиндол-1,3(2H)-дион;
20) (S)-2-амино-3-(3-хлор-4-(4-(4-(8-хлор-5,6-дигидро-11H-бензо[5,6]циклогепта[1,2-b]пиридин-11-илиден)пиперидин-1-ил)-бутокси)фенил)пропионовой кислоты тригидрохлорид;
21) (S)-2-амино-3-(3-хлор-4-(3-(4-(8-хлор-5,6-дигидро-11H-бензо[5,6]-циклогепта[1,2-b]пиридин-11-илиден)пиперидин-1-ил)-пропокси)-фенил)пропионовой кислоты тригидрохлорид;
22) (S)-2-амино-3-(4-(3-(4-(8-хлор-5,6-дигидро-11H-бензо-[5,6]циклогепта[1,2-b]-пиридин-11-илиден)пиперидин-1-ил)-пропокси)фенил)пропионовой кислоты тригидрохлорид;
23) (2S,4S)-4-(4-(8-хлор-5,6-дигидро-11H-бензо[5,6]цикло-гепта[1,2-b]пиридин-11-илиден)пиперидин-1-ил)пирролидин-2-карбоновой кислоты тригидрохлорид;
24) 1-(4-бромфенил)-2-(4-(8-хлор-5,6-дигидро-11H-бензо-[5,6]циклогепта-[1,2-b]пиридин-11-илиден)пиперидин-1-ил)этан-1-он;
25) (4R,7S)-2-(((1S,2S)-2-((4-(8-хлор-5,6-дигидро-11H-бензо[5,6]циклогепта-[1,2-b]пиридин-11-илиден)пиперидин-1-ил)метил)циклогексил)-метил)гексагидро-1H-4,7-метаноизоиндол-1,3(2H)-дион;
26) 2-(((1S,2S)-2-((4-(8-хлор-5,6-дигидро-11H-бензо[5,6]-циклогепта-[1,2-b]пиридин-11-илиден)пиперидин-1-ил)метил)-циклогексил)-метил)гексагидро-1H-изоиндол-1,3(2H)-дион;
27) 1-(4-бромфенил)-2-(4-(8-хлор-5,6-дигидро-11H-бензо-[5,6]циклогепта[1,2-b]пиридин-11-илиден)пиперидин-1-ил)этан-1-ол;
28) (2S,4R)-4-(4-(8-хлор-5,6-дигидро-11H-бензо[5,6]цикло-гепта[1,2-b]пиридин-11-илиден)-пиперидин-1-ил)пирролидин-2-карбоновая кислота;
29) (S)-2-амино-3-(4-(4-(8-хлор-5,6-дигидро-11H-бензо[5,6]-циклогепта[1,2-b]-пиридин-11-илиден)пиперидин-1-ил)фенил)-пропионовой кислоты дигидрохлорид;
30) (4R,7S)-2-(4-(4-(8-хлор-5,6-дигидро-11H-бензо[5,6]-циклогепта[1,2-b]пиридин-11-илиден)пиперидин-1-ил)бутил)-гексагидро-1H-4,7-метаноизоиндол-1,3(2H)-дион;
31) этил (S)-2-амино-3-(4-(3-(4-(8-хлор-5,6-дигидро-11H-бензо[5,6]-циклогепта[1,2-b]пиридин-11-илиден)пиперидин-1-ил)-пропокси)фенил)пропаноата тригидрохлорид;
32) 4-(4-(8-хлор-5,6-дигидро-11H-бензо[5,6]циклогепта[1,2-b]пиридин-11-илиден)пиперидин-1-ил)бутан-1-ол;
33) 3-(4-(4-(8-хлор-5,6-дигидро-11H-бензо[5,6]-циклогепта-[1,2-b]пиридин-11-илиден)пиперидин-1-ил)бутил)-1H-индол-5-карбонитрил;
34) третбутил ((2S,3R)-4-(4-(8-хлор-5,6-дигидро-11H-бензо[5,6]циклогепта[1,2-b]пиридин-11-илиден)-пиперидин-1-ил)-3-гидрокси-1-фенилбутан-2-ил)карбамат;
35) (2R,3S)-3-амино-1-(4-(8-хлор-5,6-дигидро-11H-бензо-[5,6]циклогепта[1,2-b]пиридин-11-илиден)пиперидин-1-ил)-4-фенилбутан-2-ол;
36) транс-метил 2-(-4-(4-(3-(4-(8-хлор-5,6-дигидро-11H-бензо-[5,6]циклогепта[1,2-b]пиридин-11-илиден)пиперидин-1-ил)-2-гидроксипропокси)фенил)циклогексил)ацетат;
37) 2-(3-(4-(8-хлор-5,6-дигидро-11H-бензо[5,6]циклогепта-[1,2-b]пиридин-11-илиден)-пиперидин-1-ил)-2-гидроксипропил)-гексагидро-1H-изоиндол-1,3(2H)-дион;
38) (4R,7S)-2-(3-(4-(8-хлор-5,6-дигидро-11H-бензо[5,6]-циклогепта[1,2-b]пиридин-11-илиден)пиперидин-1-ил)-2-гидрокси-пропил)гексагидро-1H-4,7-метаноизоиндол-1,3(2H)-дион;
39) 6-хлор-5-(2-(4-(8-хлор-5,6-дигидро-11H-бензо[5,6]цикло-гепта[1,2-b]пиридин-11-илиден)пиперидин-1-ил)этил)индолин-2-он;
40) транс-метил 2-(-4-(4-(4-(4-(8-хлор-5,6-дигидро-11H-бензо[5,6]-цикло-гепта-[1,2-b]пиридин-11-илиден)пиперидин-1-ил)бутокси)фенил)-циклогексил)ацетат;
41) транс-2-(4-(4-(3-(4-(8-хлор-5,6-дигидро-11H-бензо[5,6]-циклогепта[1,2-b]пиридин-11-илиден)пиперидин-1-ил)-2-гидрокси-пропокси)фенил)циклогексил)уксусная кислота;
42) транс-2-(4-(4-(4-(4-(8-хлор-5,6-дигидро-11H-бензо[5,6]-циклогепта[1,2-b]пиридин-11-илиден)пиперидин-1-ил)бутокси)-фенил)циклогексил)уксусная кислота;
43) (S)-2-((третбутоксикарбонил)амино)-3-(4-(((2S,3R)-4-(4-(8-хлор-5,6-дигидро-11H-бензо[5,6]-циклогепта[1,2-b]пиридин-11-илиден)пиперидин-1-ил)-3-гидрокси-1-фенилбутан-2-ил)карбамоил)-фенил)пропионовая кислота;
44) (S)-2-амино-3-(4-(((2S,3R)-4-(4-(8-хлор-5,6-дигидро-11H-бензо[5,6]-циклогепта[1,2-b]пиридин-11-илиден)пиперидин-1-ил)-3-гидрокси-1-фенилбутан-2-ил)карбамоил)фенил)пропионовой кислоты тригидро-хлорид;
45) транс-2-(4-(4-(((2S,3R)-4-(4-(8-хлор-5,6-дигидро-11H-бензо[5,6]циклогепта[1,2-b]пиридин-11-илиден)пиперидин-1-ил)-3-гидрокси-1-фенилбутан-2-ил)карбамоил)фенил)циклогексил)-уксусная кислота;
46) N-((2S,3R)-4-(4-(8-хлор-5,6-дигидро-11H-бензо[5,6]-циклогепта[1,2-b]пиридин-11-илиден)пиперидин-1-ил)-3-гидрокси-1-фенилбутан-2-ил)-2-фенил-5-(трифторметил)оксазол-4-карбоксамид;
47) (4R,7S)-2-(3-(4-(8-хлор-5,6-дигидро-11H-бензо[5,6]-циклогепта[1,2-b]пиридин-11-илиден)пиперидин-1-ил)пропил)-гексагидро-1H-4,7-метаноизоиндол-1,3(2H)-дион;
48) 8-хлор-11-(пиперидин-4-илиден)-6,11-дигидро-5H-бензо-[5,6]циклогепта[1,2-b]пиридин;
49) изопропил (S)-2-амино-3-(4-(3-(4-(8-хлор-5,6-дигидро-11H-бензо[5,6]циклогепта[1,2-b]пиридин-11-илиден)-пиперидин-1-ил)пропокси)фенил)пропаноата тригидрохлорид;
50) неопентил (S)-2-амино-3-(4-(3-(4-(8-хлор-5,6-дигидро-11H-бензо-[5,6]циклогепта[1,2-b]пиридин-11-илиден)пиперидин-1-ил)пропокси)фенил)пропаноата тригидрохлорид;
51) циклопентил (S)-2-амино-3-(4-(3-(4-(8-хлор-5,6-дигидро-11H-бензо[5,6]циклогепта-[1,2-b]пиридин-11-илиден)пиперидин-1-ил)пропокси)фенил)пропаноата тригидрохлорид;
52) 4-((3-(2-(4-(8-хлор-5,6-дигидро-11H-бензо[5,6]цикло-гепта[1,2-b]пиридин-11-илиден)пиперидин-1-ил)этил)-2-метил-4-оксо-6,7,8,9-тетрагидро-4H-пиридо[1,2-a]-пиримидин-9-ил)окси)-4-оксобутановая кислота;
53) 2-((1R,4R)-4-(4-(3-(4-(8-хлор-5,6-дигидро-11H-бензо-[5,6]циклогепта[1,2-b]-пиридин-11-илиден)пиперидин-1-ил)-2-гидроксипропокси)фенил)-циклогексил)уксусная кислота;
54) 4-(3-(4-(8-хлор-5,6-дигидро-11H-бензо[5,6]циклогепта-[1,2-b]пиридин-11-илиден)пиперидин-1-ил)-2-гидроксипропокси)-4’’-(трифторметокси)-[1,1’:3’,1’’-терфенил]-5’-карбоновая кислота;
55) (2S)-2-амино-3-(4-(3-(4-(8-хлор-5,6-дигидро-11H-бензо-[5,6]циклогепта[1,2-b]пиридин-11-ил-иден)пиперидин-1-ил)-2-гидроксипропокси)фенил)пропионовой кислоты тригидрохлорид;
56) 3-(4-(3-(4-(8-хлор-5,6-дигидро-11H-бензо[5,6]цикло-гепта[1,2-b]пиридин-11-илиден)пиперидин-1-ил)-пропокси)бензил)-1-(4-фторбензил)-1-(1-метилпиперидин-4-ил)мочевина;
57) N-(4-(3-(4-(8-хлор-5,6-дигидро-11H-бензо[5,6]-цикло-гепта[1,2-b]пиридин-11-илиден)пиперидин-1-ил)-2-гидрокси-пропокси)фенил)ацетамид;
58) третбутил (4-(3-(4-(8-хлор-5,6-дигидро-11H-бензо[5,6]-циклогепта[1,2-b]пиридин-11-илиден)-пиперидин-1-ил)-2-гидрокси-пропокси)фенил)карбамат;
59) N-(4-(3-(4-(8-хлор-5,6-дигидро-11H-бензо[5,6]цикло-гепта[1,2-b]пиридин-11-илиден)пиперидин-1-ил)-2-гидрокси-пропокси)фенил)-2-(4-фторфенил)ацетамид;
60) 1-(4-(8-хлор-5,6-дигидро-11H-бензо[5,6]-циклогепта[1,2-b]пиридин-11-илиден)пиперидин-1-ил)-3-(2-(3-метоксифенетил)-фенокси)пропан-2-ол;
61) 1-(2-аллилфенокси)-3-(4-(8-хлор-5,6-дигидро-11H-бензо-[5,6]циклогепта[1,2-b]пиридин-11-илиден)пиперидин-1-ил)пропан-2-ол;
62) (E)-1-(4-(8-хлор-5,6-дигидро-11H-бензо[5,6]циклогепта-[1,2-b]пиридин-11-илиден)-пиперидин-1-ил)-3-(2-(3-метокси-стирил)фенокси)пропан-2-ол;
63) 9-гидрокси-3-(2-(4-(8-метокси-5,6-дигидро-11H-бензо-[5,6]цикло-гепта[1,2-b]пиридин-11-илиден)пиперидин-1-ил)этил)-2-метил-6,7,8,9-тетрагидро-4H-пиридо[1,2-a]пиримидин-4-он;
64) 9-гидрокси-2-метил-3-(2-(4-(8-метил-5,6-дигидро-11H-бензо[5,6]-циклогепта[1,2-b]пиридин-11-илиден)пиперидин-1-ил)-этил)-6,7,8,9-тетрагидро-4H-пиридо[1,2-a]пиримидин-4-он;
65) 3-(2-(4-(5,6-дигидро-11H-бензо[5,6]циклогепта[1,2-b]-пиридин-11-илиден)-пиперидин-1-ил)этил)-9-гидрокси-2-метил-6,7,8,9-тетрагидро-4H-пиридо[1,2-a]пиримидин-4-он;
66) (S)-2-амино-3-(4-(4-(4-(8-метокси-5,6-дигидро-11H-бензо[5,6]циклогепта[1,2-b]пиридин-11-илиден)пиперидин-1-ил)-бутокси)фенил)пропионовой кислоты тригидрохлорид;
67) (S)-2-амино-3-(4-(4-(4-(8-метил-5,6-дигидро-11H-бензо-[5,6]циклогепта[1,2-b]пиридин-11-илиден)пиперидин-1-ил)бутокси)-фенил)пропионовой кислоты тригидрохлорид;
68) (S)-2-амино-3-(4-(4-(4-(5,6-дигидро-11H-бензо[5,6]-циклогепта[1,2-b]-пиридин-11-илиден)пиперидин-1-ил)бутокси)-фенил)пропионовой кислоты тригидрохлорид;
69) (4R,7S)-2-((транс-2-((4-(8-метокси-5,6-дигидро-11H-бензо[5,6]циклогепта[1,2-b]пиридин-11-илиден)-пиперидин-1-ил)-метил)циклогексил)метил)гексагидро-1H-4,7-метаноизоиндол-1,3(2H)-дион;
70) (4R,7S)-2-((транс-2-((4-(5,6-дигидро-11H-бензо[5,6]-циклогепта[1,2-b]пиридин-11-илиден)пиперидин-1-ил)метил)-циклогексил)метил)гексагидро-1H-4,7-метаноизоиндол-1,3(2H)-дион;
71) (4R,7S)-2-((транс-2-((4-(8-метил-5,6-дигидро-11H-бензо-[5,6]циклогепта[1,2-b]пиридин-11-илиден)пиперидин-1-ил)метил)-циклогексил)метил)гексагидро-1H-4,7-метаноизоиндол-1,3(2H)-дион;
72) 2-((транс-2-((4-(8-метокси-5,6-дигидро-11H-бензо[5,6]-циклогепта[1,2-b]пиридин-11-илиден)пиперидин-1-ил)метил)цикло-гексил)метил)гексагидро-1H-изоиндол-1,3(2H)-дион;
73) 2-((транс-2-((4-(5,6-дигидро-11H-бензо[5,6]циклогепта-[1,2-b]-пиридин-11-илиден)пиперидин-1-ил)метил)циклогексил)-метил)гексагидро-1H-изоиндол-1,3(2H)-дион и
74) 2-((транс-2-((4-(8-метил-5,6-дигидро-11H-бензо[5,6]-циклогепта[1,2-b]пиридин-11-илиден)пиперидин-1-ил)метил)цикло-гексил)метил)гексагидро-1H-изоиндол-1,3(2H)-дион.
В другом аспекте, в настоящем изобретении предлагается применение соединения, которое представляет собой трициклическое производное, представленное химической формулой 1, или его фармацевтически приемлемой соли, стереоизомера или пролекарства в качестве антагониста серотонинового рецептора (в частности, антагониста рецептора серотонина 2А).
Кроме того, в настоящем изобретении предлагается применение соединения, которое представляет собой трициклическое производное, представленное химической формулой 1, или его фармацевтически приемлемой соли, стереоизомера или пролекарства для предотвращения или лечения заболеваний, связанных с активацией серотонина.
В изобретении, "предотвращение" относится к любому действию, которое подавляет или замедляет возникновение, распространение и повторное проявление метаболических заболеваний или заболеваний с аномальной пролиферацией, путем введения фармацевтической композиции, и "лечение" относится к любому действию, которое облегчает или положительно изменяет симптомы упомянутых выше заболеваний путем введения фармацевтической композиции. Кроме того, в настоящем изобретении предлагается применение соединения, которое представляет собой трициклическое производное, представленное химической формулой 1, или его фармацевтически приемлемой соли, стереоизомера или пролекарства для производства лекарственного препарата для предотвращения или лечения заболеваний, связанных с активацией серотонина.
Кроме того, в настоящем изобретении предлагается применение соединения, которое представляет собой трициклическое производное, представленное химической формулой 1, или его фармацевтически приемлемой соли, стереоизомера или пролекарства для производства лекарственного препарата для ингибирования активности серотонина. Кроме того, в настоящем изобретении предлагается способ предотвращения или лечения заболеваний, связанных с активацией серотонина, где способ включает введение соединения, которое представляет собой трициклическое производное, представленное химической формулой 1, или его фармацевтически приемлемой соли, стереоизомера или пролекарства субъекту, нуждающемуся в этом.
Кроме того, в настоящем изобретении предлагается способ ингибирования активности серотонина, где метод включает введение соединения, которое представляет собой трициклическое производное, представленное химической формулой 1, или его фармацевтически приемлемой соли, стереоизомера или пролекарства, субъекту, нуждающемуся в этом. В изобретение, "субъект, нуждающийся в введении лекарственного средства" относится к любому животному, включая человека, обезьяну, корову, лошадь, овцу, свинью, курицу, индюка, перепелку, кошку, собаку, мышь, крысу и кролика, у которого развиваются или могут развиваться заболевания, связанные с активацией серотонина.
Кроме того, "введение" относится к обеспечению заданным лекарственным средством субъекта, нуждающемуся в этом, любым подходящим способом, и что касается способа введения соединения по настоящему изобретению, то введение может быть осуществлено любым известным способом, при условии, что соединение при использовании этого способа способно достигать ткани-мишени.
В еще одном аспекте, в настоящем изобретении предлагается фармацевтическая композиция для ингибирования активности серотонина, где фармацевтическая композиция содержит, в качестве активного ингредиента, соединение, которое представляет собой трициклическое производное, представленное химической формулой 1, или его фармацевтически приемлемую соль, стереоизомер или пролекарство.
В еще одном аспекте, в настоящем изобретении предлагается фармацевтическая композиция для предотвращения или лечения заболеваний, связанных с активацией серотонина, где фармацевтическая композиция содержит, в качестве активного ингредиента, соединение, которое представляет собой трициклическое производное, представленное химической формулой 1, или его фармацевтически приемлемую соль, стереоизомер или пролекарство.
Серотониновый рецептор, подвергаемый ингибированию с помощью соединения или его фармацевтической композиции по настоящему изобретению, может представлять собой, в частности, рецептор серотонина 2A (5-HT2A). Кроме того, заболевания, которые связаны с активацией серотонина, и в отношении которых проводят предотвращение или лечение в настоящем изобретении, могут представлять собой метаболическое заболевание или рак. Метаболические заболевания могут представлять собой любое одно заболевание, выбранное из группы, состоящей из ожирения, диабета, гиперлипидемии, артериосклероза, жирового гепатоза печени, стеатогепатита, фиброза и гипертензии. В изобретении, жировой гепатоз печени и стеатогепатит включают, помимо алкогольного жирового гепатоза печени, неалкогольный жировой гепатоз печени (NAFLD) и неалкогольный стеатогепатит (NASH). Кроме того, рак может представлять собой любой один тип рака, выбранный из группы, состоящей из рака толстой кишки, рака молочной железы и рака яичников. Фармацевтическая композиция по настоящему изобретению может содержать соединение, которое представляет собой трициклическое производное, представленное химической формулой 1, или его фармацевтически приемлемую соль, стереоизомер или пролекарство, в качестве активного ингредиента в количестве от 0,1 до 90 масс.%, в частности, от 0,1 до 75 масс.%, и более конкретно, от 1 до 50 масс.% относительно суммарной массы композиции. Фармацевтическая композиция по настоящему изобретению может дополнительно содержать, помимо соединения по настоящему изобретению в качестве активного ингредиента, типичную и нетоксичную фармацевтически приемлемую добавку, вводимую в состав традиционным методом. Например, фармацевтическая композиция может дополнительно содержать фармацевтически приемлемый носитель, разбавитель или вспомогательное вещество.
Примеры добавки, используемой в композиции по настоящему изобретению, включают подсластитель, связующее вещество, растворитель, солюбилизирующее вещество, увлажняющее средство, эмульгатор, изотоническое средство, абсорбент, разрыхлитель, антиоксидант, консервант, смазывающее средство, наполнитель и ароматизатор. Например, добавка может включать лактозу, декстрозу, сахарозу, маннит, сорбит, целлюлозу, глицин, силикагель, тальк, стеариновую кислоту, стеарин, стеарат магния, алюмосиликат магния, крахмал, желатин, трагакантовую камедь, альгиновую кислоту, альгинат натрия, агар, воду, этанол, полиэтиленгликоль, поливинилпирролидон, хлорид натрия, хлорид кальция, апельсиновую эссенцию, земляничную эссенцию, ванильную эссенции и другие подобные добавки. Композиция по настоящему изобретению может быть приготовлена в различных лекарственных формах для перорального введения (например, в форме таблетки, a пилюли, порошкообразного лекарственного средства, капсулы, сиропа или эмульсии) или парентерального введения (например, в форме внутримышечного, внутривенного или подкожного инъекционного раствора). Предпочтительно, когда композиция по настоящему изобретению может быть приготовлена в лекарственной форме для перорального введения, и добавка, используемая в данном случае, включает целлюлозу, силикат кальция, кукурузный крахмал, лактозу, сахарозу, декстрозу, фосфат калия, стеариновую кислоту, стеарат магния, стеарат кальция, желатин, тальк, поверхностно-активное вещество, суспендирующее средство, эмульгатор, разбавитель и другие подобные добавки. В частности, твердая лекарственная форма для перорального введения включает таблетку, пилюлю, порошкообразное лекарственное средство, гранулу, капсулу и другие подобные формы, и такая твердая лекарственная форма может быть приготовлена путем смешения упомянутой выше композиции, по меньшей мере, с одним вспомогательным веществом, например, крахмалом, карбонатом кальция, сахарозой, лактозой, желатином и другими подобными вспомогательными веществами. Кроме того, помимо простых вспомогательных веществ, могут быть использованы смазывающие средства, такие как стеарат магния и тальк. Кроме того, примеры жидкой лекарственной формы для перорального введения включают суспендирующее средство, жидкость для перорального применения, эмульсию и сироп, и, помимо воды и жидкого парафина, которые являются обычно используемыми простыми разбавителями, могут быть добавлены различные вспомогательные вещества, например, смачивающее средство, подсластитель, ароматизатор, консервант, и другие подобные вещества. Кроме того, лекарственная форма для парентерального введения включает стерилизованный водный раствор лекарственного средства, неводный растворитель, суспендирующее средство, эмульсию, лиофилизированный препарат и суппозиторий. В качестве неводного растворителя и суспендирующего средства могут быть использованы пропиленгликоль, полиэтиленгликоль, растительное масло, такое как оливковое масло, и инъекционный эфир, такой как этилолеат. В качестве основы суппозитория могут быть использованы витепсол, макрогол, твин 61, масло какао, лавровое масло, глицеринизированный желатин и другие подобные вещества. При этом, инъекционный препарат может включать добавки, используемые в других лекарственных формах, такие как солюбилизатор, изотоническое средство, суспендирующее средство, эмульгатор, стабилизатор и антисептическое средство.
Соединение или композиция по настоящему изобретению могут быть введены пациенту в терапевтически эффективном количестве или в фармацевтически эффективном количестве. В изобретении, "терапевтически эффективное количество" или "фармацевтически эффективное количество" представляет собой количество соединения или композиции, которое является эффективным для предотвращения или лечения указанного заболевания, и относится к количеству, которое является достаточным для лечения заболевания при обоснованном соотношении выгода/риск, применяемом при медицинском лечении, и не вызывает побочных эффектов. Величина эффективного количества может быть определена с учетом факторов, включающих состояние здоровья пациента, тип и тяжесть заболевания, активность лекарственного средства, восприимчивость к лекарственному средству, способ введения, время введения, путь введения, скорость экскреции, длительность лечения и используемое в комбинации или параллельно используемое лекарственное средство, и других факторов, хорошо известных в медицине. Соединение или композиция по настоящему изобретению могут быть введены в форме монотерапевтического средства или могут быть введены в комбинации с другими терапевтическими средствами, могут быть введены последовательно или одновременно с терапевтическим средством, относящемся к родственной группе препаратов, и могут быть введены одной дозой или в множестве доз. Важно вводить количество, которое позволяет достигать максимального эффекта при минимальном количестве лекарственного средства без проявления побочных эффектов, с учетом всех упомянутых выше факторов, и это количество может быть легко определено обычным специалистом в данной области. В частности, эффективное количество соединения в композиции по настоящему изобретению может изменяться в зависимости от возраста, пола и массы тела пациента, и, обычно, оно составляет от 0,1 до 1000 мг и, предпочтительно, от 5 до 200 мг на кг массы тела, и это количество может вводиться ежедневно или через день или может быть разделено на порции для введения от одного до трех раз в сутки. Однако, это количество может быть увеличено или уменьшено в зависимости от способа введения, тяжести заболевания, пола, массы тела, возраста, и других подобных факторов, и из этого следует, что объем настоящего изобретения не ограничивается указанными в изобретении количествами. Предпочтительно, когда соединение или композиция по настоящему изобретению могут быть введены с целью противоопухолевой терапии в комбинации с химиотерапией, лучевой терапией, иммунотерапией, гормональным лечением, трансплантацией костного мозга, заместительной терапией стволовыми клетками, другим биологическим лечением, хирургическим вмешательством или их комбинацией. Например, соединение или композиция по настоящему изобретению могут быть использованы в качестве вспомогательной терапии вместе с другими долговременными прогрессивными стратегиями лечения или могут быть использованы для поддержания состояния тяжелобольного пациента, подвергаемого терапии для регресса опухоли или хемопревентивной терапии. Предпочтительно, когда фармацевтическая композиция по настоящему изобретению может дополнительно содержать один или более активных ингредиентов, и дополнительный активный ингредиент может представлять собой соединение с антипролиферативным действием, такое как ингибитор ароматазы, антиэстроген, ингибитор топоизомеразы I, ингибитор топоизомеразы II, активное соединение в отношении микротрубочек, алкилирующее соединение, ингибитор гистондеацетилазы, соединение, которое индуцирует процессы дифференцировки клеток, ингибитор циклооксигеназы, ингибитор MMP, ингибитор mTOR, противоопухолевый антиметаболит, соединение платины, соединение, которое целенаправленно воздействует или снижает активность протеинкиназы или липидкиназы, анти-ангиогенное соединение, соединение, которое целенаправленно воздействует, снижает или ингибирует активность протеинфосфатазы или липидфосфатазы, агонист гонадорелина, антиандроген, ингибитор метионинаминопептидазы, бисфосфонат, модификатор биологического отклика, антипролиферативное антитело, ингибиторa гепараназы, ингибитор онкогенного изотипа Ras, ингибитор теломеразы, ингибитор протеасомы, соединение, используемое при лечении гематологических злокачественных опухолей, соединение, которое целенаправленно воздействует, снижает или ингибирует Flt-3 активность, ингибитор Hsp90, ингибитор белка кинезина веретена деления, ингибитор MEK, лейковорин, EDG связывающее средство, противолейкозное соединение, ингибитор рибонуклеотидредуктазы, ингибитор S-аденозилметиониндекарбоксилазы, гемостатический стероид, кортикостероид, другие химиотерапевтические соединения или фотосенсибилизирующее соединение, но эти примеры не ограничивают изобретение.
СПОСОБ ОСУЩЕСТВЛЕНИЯ ИЗОБРЕТЕНИЯ.
Далее настоящее изобретение будет описано более подробно со ссылкой на приведенные ниже примеры. Однако следующие примеры приведены только для лучшего понимания настоящего изобретения, и они не ограничивают объем настоящего изобретения.
Пример 2. Получение 8-хлор-11-(пиперидин-4-илиден)-6,11-дигидро-5H-бензо[5,6]циклогепта[1,2-b]пиридина дигидрохлорида
Лоратадин (10 г, 26,117 ммоль) добавляли в 100 мл раствора концентрированной хлористоводородной кислоты, и полученную смесь кипятили с обратным холодильником при перемешивании в течение 12 часов. Затем испаряли избыточное количество раствора хлористоводородной кислоты с получением названного соединения (9,5 г, выход 95%). 1H ЯМР (300 МГц, DMSO-d6): δ 9,43 (уш.с, 3H), 8,67 (д, J =5,49 Гц, 1H), 8,39 (д, J =7,63 Гц, 1H), 7,93-7,81 (м, 1H), 7,47-7,39 (м, 1H), 7,34 (д, J =8,24 Гц, 1H), 7,20 (д, J =7,93 Гц, 1H), 3,20-2,30 (м, 12H).
Пример 9. Получение 3-(2-(4-(8-хлор-5,6-дигидро-11H-бензо-[5,6]циклогепта[1,2-b]пиридин-11-илиден)пиперидин-1-ил)этил)-2-метил-6,7,8,9-тетрагидро-4H-пиридо[1,2-a]пиримидин-4-она
Стадия 1. Получение 8-хлор-11-(пиперидин-4-илиден)-6,11-дигидро-5H-бензо[5,6]циклогепта[1,2-b]пиридина.
Лоратадин (2 г, 5,2 ммоль) растворяли в 10 мл раствора концентрированной хлористоводородной кислоты, и затем кипятили с обратным холодильником в течение 12 часов. Затем раствор хлористоводородной кислоты испаряли, к перемешенному раствору добавляли воду. Величину рН доводили до 8 используя гидроксид аммония, и смешанный раствор экстрагировали дихлорметаном и затем промывали водой и солевым раствором. Собранный органический слой сушили над безводным сульфатом натрия и затем концентрировали с получением названного соединения в виде белого твердого вещества (1,5 г, выход 92%). 1H ЯМР (400 МГц, DMSO-d6): δ 8,32 (д, J =4,58 Гц, 1H), 7,56 (д, J =7,63 Гц, 1H), 7,28 (с, 1H), 7,23-7,15 (м, 2H), 7,06 (дд, J =8,24, 1,53 Гц, 1H), 3,46-3,21 (м, 3H), 2,93-2,75 (м, 4H), 2,65-2,53 (м, 1H), 2,34-2,04 (м, 4H); LCMS [M+H] 311,1
Стадия 2. Получение 3-(2-(4-(8-хлор-5,6-дигидро-11H-бензо[5,6]циклогепта[1,2-b]пиридин-11-илиден)пиперидин-1-ил)-этил)-2-метил-6,7,8,9-тетрагидро-4H-пиридо[1,2-a]пиримидин-4-она.
Затем соединение (120 мг, 0,313 ммоль), полученное на стадии 1 примера 9, растворяли в 2 мл N, N-диметилформамида, последовательно добавляли карбонат натрия (99,43 мг, 0,938 ммоль), йодид калия (51,91 мг, 0,313 ммоль), 3-(2-хлорэтил)-2-метил-6,7,8,9-тетрагидро-4H-пиридо[1,2-a]пиримидин-4-он (77,74 мг, 0,344 ммоль), и полученную смесь затем нагревали до 80°C. После завершения реакции, два раза проводили экстракцию солевым раствором и этилацетатом. Собранный органический слой сушили над безводным сульфатом натрия и затем концентрировали. Остаток очищали колоночной хроматографией на силикагеле с получением названного соединения (140 мг, выход 89%). 1H ЯМР (300 МГц, MeOD): δ 8,49 (дд, J =4,88, 1,22 Гц, 1H), 7,87 (д, J =7,63 Гц, 1H), 7,50-7,44 (м, 1H), 7,38 (д, J =2,14 Гц, 1H), 7,35-7,23 (м, 2H), 4,92-4,78 (м, 2H), 3,65-3,28 (м, 9H), 2,96-2,43 (м, 16H)
Пример 10. Получение 3-(2-(4-(8-хлор-5,6-дигидро-11H-бензо[5,6]циклогепта[1,2-b]пиридин-11-илиден)пиперидин-1-ил)-этил)-9-гидрокси-2-метил-6,7,8,9-тетрагидро-4H-пиридо[1,2-a]-пиримидин-4-она
Стадия 1. Получение 3-(2-хлорэтил)-9-гидрокси-2-метил-6,7,8,9-тетрагидро-4H-пиридо[1,2-a]пиримидин-4-она.
В реакционном сосуде объемом 10 л, соединенном с устройством для продувки газом и термопарой, растворяли 3-(2-хлорэтил)-9-гидрокси-2-метил-4H-пиридо[1,2-a]пиримидин-4-она гидрохлорид (400 г, 1,45 моль) в метаноле (4800 мл), и полученную смесь затем перемешивали. После заполнения реакционного сосуда газообразным азотом, добавляли 10% Pd/C/RD-854 (80 г). Полученный раствор нагревали до 55°C, и затем перемешивали в течение 2 часов при медленном введении газообразного водорода. После завершения реакции, смешанный раствор охлаждали до комнатной температуры, и Pd/C затем удаляли фильтрацией через целит в атмосфере азота. Остаток промывали метанолом (2×400 мл) и затем концентрировали. К полученному соединению добавляли воду (1480 мл), и полученную смесь затем нагревали до температуры от 80°C до 85°C в течение 15 минут. Смешанный раствор охлаждали до комнатной температуры, и затем медленно добавляли в течение 1 часа ацетат калия (285,4 г, 2,9077 моль), растворенный в 300 мл воды. Раствор перемешивали при комнатной температуре в течение 1 часа, охлаждали до температуры от 8°C до 12°C в течение 2 часов, и затем перемешивали. Образовавшиеся кристаллы фильтровали, затем промывали дигидратом динатриевой соли этилендиаминтетрауксусной кислоты кислота (2 г), растворенным в 400 мл воды, и промывали водой (400 мл) и изопропиловым спиртом (200 мл) с получением твердого вещества. Твердое вещество сушили под вакуумом с получением названного соединения в виде белого твердого вещества (266 г, выход 75%). 1H ЯМР (400 МГц, DMSO-d6): δ 5,71 (с, 1H), 4,48-4,41 (м, 1H), 3,96-3,84 (м, 1H), 3,78-3,62 (м, 3H), 2,95-2,85 (м, 2H), 2,28 (с, 3H), 2,06-1,74 (м, 4H); LCMS [M+H] 243,1
Стадия 2. Получение 8-хлор-11-(пиперидин-4-илиден)-6,11-дигидро-5H-бензо[5,6]циклогепта[1,2-b]пиридина.
Лоратадин (2 г, 5,2 ммоль) растворяли в 10 мл раствора концентрированной хлористоводородной кислоты, и полученную смесь затем кипятили с обратным холодильником в течение 12 часов. Затем раствор хлористоводородной кислоты испаряли, к перемешенному раствору добавляли воду. Величину рН доводили до 8, используя гидроксид аммония, и смешанный раствор экстрагировали дихлорметаном и затем промывали водой и солевым раствором. Собранный органический слой сушили над безводным сульфатом натрия и затем концентрировали с получением названного соединения в виде белого твердого вещества (1,5 г, выход 92%). 1H ЯМР (400 МГц, DMSO-d6): δ 8,32 (д, J =4,58 Гц, 1H), 7,56 (д, J =7,63 Гц, 1H), 7,28 (с, 1H), 7,23-7,15 (м, 2H), 7,06 (дд, J =8,24, 1,53 Гц, 1H), 3,46-3,21 (м, 3H), 2,93-2,75 (м, 4H), 2,65-2,53 (м, 1H), 2,34-2,04 (м, 4H); LCMS [M+H] 311,1
Стадия 3. Получение 3-(2-(4-(8-хлор-5,6-дигидро-11H-бензо[5,6]циклогепта[1,2-b]пиридин-11-илиден)пиперидин-1-ил)-этил)-9-гидрокси-2-метил-6,7,8,9-тетрагидро-4H-пиридо[1,2-a]-пиримидин-4-она.
Затем соединение (500 мг, 1,609 ммоль), полученное на стадии 2 примера 10, растворяли в 4 мл N, N-диметилформамида, последовательно добавляли карбонат натрия (511,49 мг, 4,826 ммоль), йодид калия (267,04 мг, 1,0609 ммоль) и соединение (390,41 мг, 1,609 ммоль), полученное на стадии 1 примера 10, и смешанный раствор нагревали до 80°C. После завершения реакции, два раза проводили экстракцию этилацетатом и солевым раствором. Собранный органический слой сушили над безводным сульфатом натрия и концентрировали. Остаток очищали колоночной хроматографией на силикагеле с получением названного соединения (745 мг, выход 90%). 1H ЯМР (400 МГц, DMSO-d6): δ 8,30 (д, J =4,58 Гц, 1H), 7,53 (д, J =7,63 Гц, 1H), 7,26 (с, 1H), 7,21-7,12 (м, 2H), 7,04 (д, J =7,93 Гц, 1H), 5,63 (д, J =4,27 Гц, 1H), 4,43-4,34 (м, 1H), 3,89-3,78 (м, 1H), 3,67-3,55 (м, 1H), 3,29 (с, 3H), 3,35-3,20 (м, 2H), 2,86-2,42 (м, 6H), 2,40-2,04 (м, 10H), 1,98-1,68 (м, 2H); LCMS [M+H] 517,2
Пример 22. Получение (S)-2-амино-3-(4-(3-(4-(8-хлор-5,6-дигидро-11H-бензо[5,6]циклогепта[1,2-b]пиридин-11-илиден)-пиперидин-1-ил)пропокси)фенил)пропионовой кислоты тригидро-хлорида
Стадия 1. Получение этил (третбутоксикарбонил)-L-тирозина
Затем L-тирозин (100 г, 0,552 моль) растворяли в 800 мл этанола, полученную смесь перемешивали при медленном добавлении тионилхлорида (100,1 мл, 1,38 моль). Смешанный раствор перемешивали при 0°C в течение 1 часа и затем кипятили с обратным холодильником в течение ночи. После завершения реакции, смешанный раствор концентрировали с удалением летучего вещества, получая в результате этил L-тирозината гидрохлорид. Этил L-тирозината гидрохлорид добавляли в 100 мл метанола и 800 мл дихлорметана, и полученную смесь перемешивали при комнатной температуре. Затем, к реакционному раствору при 0°C последовательно добавляли триэтиламин (154 мл, 1,1 моль) и ди-третбутилдикарбонат (120,5 г, 0,552 моль), растворенный в 200 мл дихлорметана. Смешанный раствор перемешивали при комнатной температуре в течение ночи, и твердое вещество затем удаляли фильтрацией. К перемешенному раствору добавляли воду для проведения экстракции, и органический слой обрабатывали сульфатом натрия и затем концентрировали с получением названного соединения (136 г, выход 80%) в виде белого твердого вещества.
Стадия 2. Получение этил (S)-3-(4-(3-бромпропокси)фенил)-2-((третбутоксикарбонил)амино)пропаноата
Этил (третбутоксикарбонил)-L-тирозинат (2 г, 6,645 ммоль), карбонат кальция (902,39 мг, 6,53 ммоль), 1,3-дибромпропан (3,92 г, 19,39 ммоль) растворяли в 20 мл N, N-диметилформамида, и полученную смесь затем перемешивали при 100°C в течение 7 часов. Затем смешанный раствор охлаждали до комнатной температуры, добавляли 200 мл воды для проведения экстракции этилацетатом, и проводили промывку солевым раствором. Органический слой обрабатывали сульфатом натрия, и фильтрат концентрировали и затем очищали колоночной хроматографией на силикагеле с получением названного соединения (1,1 г, выход 40%).
Стадия 3. Получение этил (S)-2-((третбутоксикарбонил)-амино)-3-(4-(3-(4-(8-хлор-5,6-дигидро-11H-бензо[5,6]циклогепта-[1,2-b]пиридин-11-илиден)пиперидин-1-ил)пропокси)фенил)-пропаноата
8-Хлор-11-(пиперидин-4-илиден)-6,11-дигидро-5H-бензо[5,6]-циклогепта[1,2-b]пиридин (200 мг, 0,521 ммоль) растворяли в 4 мл N, N-диметилформамида, и полученную смесь перемешивали. К реакционному раствору последовательно добавляли карбонат натрия (209,91 мг, 1,98 ммоль) и этил (S)-3-(4-(3-бромпропокси)фенил)-2-((третбутоксикарбонил)амино)пропаноат (246,69 мг, 0,573 ммоль). Затем смешанный раствор нагревали до 80°C и перемешивали в течение 3 часов. После завершения реакции, к смешанному раствору добавляли солевой раствор и этилацетат для проведения экстракции. Органический слой обрабатывали сульфатом натрия, и фильтрат концентрировали и затем очищали колоночной хроматографией на силикагеле с получением названного соединения (310 мг, выход 90%).
Стадия 4. Получение (S)-2-((третбутоксикарбонил)амино)-3-(4-(3-(4-(8-хлор-5,6-дигидро-11H-бензо[5,6]циклогепта[1,2-b]-пиридин-11-илиден)пиперидин-1-ил)пропокси)фенил)пропионовой кислоты
Соединение (310 мг, 0,469 ммоль), полученное на стадии 3 примера 22, растворяли в 80 мл раствора тетрагидрофуран/вода (3:1), и затем добавляли гидроксид натрия (93,9 мг, 2,34 ммоль). После этого, смешанный раствор перемешивали при комнатной температуре в течение 24 часов. После завершения реакции, тетрагидрофуран испаряли, и величину рН доводили до 4, используя 1 N раствор хлористоводородной кислоты. После добавления 50 мл воды, проводили экстракцию этилацетатом (3×100 мл). Органический слой промывали солевым раствором и затем обрабатывали сульфатом натрия, и концентрировали фильтрат. Концентрированную смесь очищали колоночной хроматографией на силикагеле с получением названного соединения (260 мг, выход 87%).
Стадия 5. Получение (S)-2-амино-3-(4-(3-(4-(8-хлор-5,6-дигидро-11H-бензо[5,6]циклогепта[1,2-b]пиридин-11-илиден)-пиперидин-1-ил)пропокси)фенил)пропионовой кислоты тригидро-хлорида
После этого, ((S)-2-((третбутоксикарбонил)амино)-3-(4-(3-(4-(8-хлор-5,6-дигидро-11H-бензо[5,6]циклогепта[1,2-b]пиридин-11-илиден)пиперидин-1-ил)пропокси)фенил)пропионовую кислоту растворяли в 10 мл этилацетата, добавляли 10 мл раствора 4,0 M хлористоводородной кислоты в 1,4-диоксане. Затем, смешанный раствор перемешивали в течение 12 часов. Смешанный раствор концентрировали и затем фильтровали с получением названного соединения (180 мг, выход 77%) в виде белого твердого вещества. 1H ЯМР (300 МГц, DMSO-d6): δ 11,40 (с, 1H), 8,63-8,55 (м, 1H), 8,45 (уш.с, 3H), 8,24-8,11 (м, 1H), 7,79-7,63 (м, 1H), 7,42 (дд, J =9,00, 2,14 Гц, 1H), 7,32 (д, J =8,24 Гц, 1H), 7,29-7,11 (м, 3H), 6,90 (дд, J =18,92, 8,54 Гц, 2H), 4,12-3,98 (м, 3H), 3,53-3,41 (м, 2H), 3,36-2,76 (м, 8H), 2,67-2,35 (м, 6H), 2,31-2,11 (м, 2H).
Пример 25. Получение (4R,7S)-2-(((1S,2S)-2-((4-(8-хлор-5,6-дигидро-11H-бензо[5,6]циклогепта[1,2-b]пиридин-11-илиден)-пиперидин-1-ил)метил)циклогексил)метил)гексагидро-1H-4,7-метаноизоиндол-1,3(2H)-диона
Стадия 1. Получение ((1R,2R)-циклогексан-1,2-диил)-бис(метилен)диметансульфоната
Этансульфонилхлорид (1,2 мл, 15,257 ммоль) и триэтиламин (2,5 мл, 17,337 ммоль) последовательно добавляли при температуре от 0°C до 5°C к ((1R,2R)-циклогексан-1,2-диил)диметанолу (1 г, 6,935 ммоль), растворенному в 50 мл дихлорметана. Затем температуру медленно повышали до комнатной температуры, реакционный раствор перемешивали в течение 2 часов. К полученной смеси добавляли 50 мл дихлорметана, и проводили экстракцию водой. Собранный органический слой сушили над безводным сульфатом натрия и концентрировали. Остаток очищали колоночной хроматографией на силикагеле с получением названного соединения (1,8 г, выход 86%).
Стадия 2. Получение ((1R,2R)-2-(((4R,7S)-1,3-диоксо-октагидро-2H-4,7-метанолизоиндол-2-ил)метил)циклогексил)метил-метансульфоната
Соединение (545 мг, 1,816 ммоль), полученное на стадии 1 примера 25, и (4R,7S)-гексагидро-1H-4,7-метаноизоиндол-1,3(2H)-дион (300 мг, 1,816 ммоль) растворяли in 20 мл ацетона, затем добавляли карбонат калия (376,45 мг, 2,724 ммоль), и полученную смесь кипятили с обратным холодильником в течение 12 часов. После этого, полученную смесь концентрировали, остаток очищали колоночной хроматографией на силикагеле с получением названного соединения (520 мг, выход 78%).
Стадия 3. Получение (4R,7S)-2-(((1S,2S)-2-((4-(8-хлор-5,6-дигидро-11H-бензо[5,6]циклогепта[1,2-b]пиридин-11-илиден)-пиперидин-1-ил)метил)циклогексил)метил)гексагидро-1H-4,7-метаноизоиндол-1,3(2H)-диона
Затем соединение (200 мг, 0,521 ммоль), полученное на стадии 2 примера 10, растворяли в 2 мл N, N-диметилформамида, последовательно добавляли карбонат натрия (165,72 мг, 1,564 ммоль) и соединение (211,84 мг, 0,573 ммоль), полученное на стадии 2 примера 25, и полученную смесь перемешивали при 80°C в течение 3 часов. После завершения реакции, проводили экстракцию два раза солевым раствором и этилацетатом. Собранный органический слой сушили над безводным сульфатом натрия и затем концентрировали. Остаток очищали колоночной хроматографией на силикагеле с получением названного соединения (250 мг, выход 82%). 1H ЯМР (300 МГц, CDCl3): δ 8,47-8,32 (м, 1H), 7,42 (д, J =7,93 Гц, 1H), 7,24-7,02 (м, 4H), 4,01-3,11 (м, 4H), 2,93-0,93 (м, 32H)
Пример 26. Получение 2-(((1S,2S)-2-((4-(8-хлор-5,6-дигидро-11H-бензо[5,6]циклогепта[1,2-b]пиридин-11-илиден)-пиперидин-1-ил)метил)циклогексил)метил)гексагидро-1H-изоиндол-1,3(2H)-диона
Стадия 1. Получение ((1R,2R)-2-((1,3-диоксооктагидро-2H-изоиндол-2-ил)метил)циклогексил)метилметансульфоната
Соединение (588,25 мг, 1,958 ммоль), полученное на стадии 1 примера 25, и гексагидро-1H-изоиндол-1,3(2H)-дион (300 мг, 1,958 ммоль) растворяли в 20 мл ацетона, затем добавляли карбонат калия (405,94 мг, 2,937 ммоль), и полученную смесь кипятили с обратным холодильником в течение 12 часов. Полученную смесь концентрировали, и остаток очищали колоночной хроматографией на силикагеле с получением названного соединения (550 мг, выход 79%).
Стадия 2. Получение 2-(((1S,2S)-2-((4-(8-хлор-5,6-дигидро-11H-бензо[5,6]циклогепта[1,2-b]пиридин-11-илиден)пиперидин-1-ил)метил)циклогексил)метил)гексагидро-1H-изоиндол-1,3(2H)-диона
После этого, соединение (200 мг, 0,521 ммоль), полученное на стадии 2 примера 10, растворяли в 2 мл N, N-диметилформамида, последовательно добавляли карбонат натрия (165,72 мг, 1,564 ммоль) и соединение (204,96 мг, 0,573 ммоль), полученное на стадии 1 примера 26, и полученную смесь нагревали до 80°C в течение 3 часов. После завершения реакции, два раза проводили экстракцию солевым раствором и этилацетатом. Собранный органический слой сушили над безводным сульфатом натрия и концентрировали. Остаток очищали колоночной хроматографией на силикагеле с получением названного соединения (260 мг, выход 87%). 1H ЯМР (300 МГц, CDCl3): δ 8,44-8,34 (м, 1H), 7,41 (д, J =7,93 Гц, 1H), 7,23-7,03 (м, 4H), 3,48-3,12 (м, 2H), 2,92-0,94 (м, 34H).
Пример 31. Получение этил (S)-2-амино-3-(4-(3-(4-(8-хлор-5,6-дигидро-11H-бензо[5,6]циклогепта[1,2-b]пиридин-11-илиден)-пиперидин-1-ил)пропокси)фенил)пропаноата тригидрохлорида
Затем соединение (900 мг, 1,36 ммоль), полученное на стадии 3 примера 22, растворяли в 20 мл этилацетата, добавляли 15 мл раствора 4,0 M хлористоводородной кислоты в 1,4-диоксане, и полученную смесь перемешивали в течение 12 часов. Затем, смешанный раствор концентрировали и фильтровали с получением названного соединения (810 мг, выход 88%) в виде белого твердого вещества. 1H ЯМР (300 МГц, DMSO-d6): δ 8,66-8,47 (м, 4H), 8,24-8,08 (м, 1H), 7,78-7,60 (м, 1H), 7,39 (д, J =11,29 Гц, 1H), 7,29 (д, J =8,24 Гц, 1H), 7,17-7,07 (м, 3H), 6,93-6,79 (м, 2H), 4,21-3,94 (м, 5H), 3,49-3,37 (м, 2H), 3,30-2,08 (м, 18H), 1,13 (т, J =7,02 Гц, 3H).
Пример 48. Получение 8-хлор-11-(пиперидин-4-илиден)-6,11-дигидро-5H-бензо[5,6]циклогепта[1,2-b]пиридина
Затем соединение (5 г), полученное в примере 2, растворяли в воде, добавляли водный раствор аммиака для доведения величины рН до 8. Затем смешанный раствор экстрагировали этилацетатом (3×100 мл). Органический слой промывали солевым раствором и обрабатывали сульфатом натрия, и фильтрат затем концентрировали с получением названного соединения. LC-MS (m/z): 311,1270 (M+H)
Пример 51. Получение циклопентил (S)-2-амино-3-(4-(3-(4-(8-хлор-5,6-дигидро-11H-бензо[5,6]циклогепта[1,2-b]пиридин-11-илиден)пиперидин-1-ил)пропокси)фенил)пропаноата тригидрохлорида
Стадия 1. Получение циклопентил (S)-3-(4-(3-бромпропокси)-фенил)-2-((третбутоксикарбонил)амино)пропаноата
Трифенилфосфин (563 г, 2,146 ммоль) и 3-бромпропан-1-ол (298 мг, 2,146 ммоль) добавляли к циклопентил (третбутоксикарбонил)-L-тирозинату (500 мг, 1,431 ммоль), растворенному в 100 мл тетрагидрофурана. Смешанный раствор охлаждали до 0°C, и медленно добавляли диизопропил азодикарбоксилат (DIAD, 0,4 мл, 2,146 ммоль). Температуру смешанного раствора медленно повышали до комнатной температуры, и смешанный раствор перемешивали в течение 24 часов. Полученную смесь испаряли, и затем проводили экстракцию водой и этилацетатом. Собранный органический слой сушили над безводным сульфатом натрия и концентрировали. Остаток очищали колоночной хроматографией на силикагеле с получением названного соединения (560 мг, выход 83%).
Стадия 2. Получение циклопентил (S)-2-((третбутокси-карбонил)амино)-3-(4-(3-(4-(8-хлор-5,6-дигидро-11H-бензо[5,6]-циклогепта[1,2-b]пиридин-11-илиден)пиперидин-1-ил)пропокси)-фенил)пропаноата
Затем соединение (170 мг, 0,443 ммоль), полученное на стадии 2 примера 10, растворяли в 2 мл N, N-диметилформамида, последовательно добавляли карбонат натрия (141 мг, 1,329 ммоль) и соединение (219 мг, 0,465 ммоль), полученное на стадии 1 примера 51, и полученную смесь нагревали до 80°C в течение 3 часов. После завершения реакции, два раза проводили экстракцию солевым раствором и этилацетатом. Собранный органический слой сушили над безводным сульфатом натрия и концентрировали. Остаток очищали колоночной хроматографией на силикагеле с получением названного соединения (270 мг, выход 87%).
Стадия 3. Получение циклопентил (S)-2-амино-3-(4-(3-(4-(8-хлор-5,6-дигидро-11H-бензо[5,6]циклогепта[1,2-b]пиридин-11-илиден)пиперидин-1-ил)пропокси)фенил)пропаноата тригидрохлорид
Затем соединение (270 мг, 0,386 ммоль), полученное на стадии 2 примера 51, растворяли в этилацетате (20 мл), добавляли раствор 4 M хлористоводородной кислоты в 1,4-диоксане, и полученную смесь перемешивали. Смешанный раствор испаряли и затем фильтровали с получением названного соединения (220 мг, выход 80%). 1H ЯМР (300 МГц, DMSO-d6): δ 8,66-8,52 (м, 4H), 8,22 (с, 1H), 7,76 (с, 1H), 7,43 (дд, J =11,14, 2,14 Гц, 1H), 7,33 (дд, J =8,24, 2,14 Гц, 1H), 7,29-7,09 (м, 3H), 6,90 (дд, J =18,62, 8,54 Гц, 2H), 5,11-5,0 (м, 1H), 4,18-3,95 (м, 3H), 3,54-3,37 (м, 2H), 3,33-2,71 (м, 8H), 2,68-2,32 (м, 6H), 2,31-2,08 (м, 2H), 1,83-1,65 (м, 2H), 1,63-1,31 (м, 6H)
Пример 63. Получение 9-гидрокси-3-(2-(4-(8-метокси-5,6-дигидро-11H-бензо[5,6]циклогепта[1,2-b]пиридин-11-илиден)-пиперидин-1-ил)этил)-2-метил-6,7,8,9-тетрагидро-4H-пиридо[1,2-a]пиримидин-4-она
Стадия 1. Получение 8-метокси-11-(пиперидин-4-илиден)-6,11-дигидро-5H-бензо[5,6]циклогепта[1,2-b]пиридина
Этил 4-(8-метокси-5,6-дигидро-11H-бензо[5,6]циклогепта-[1,2-b]пиридин-11-илиден)пиперидин-1-карбоксилат (150 мг, 0,396 ммоль) растворяли в 1 мл раствора концентрированной хлористоводородной кислоты, и полученную смесь затем кипятили с обратным холодильником в течение 12 часов. Затем испаряли раствор хлористоводородной кислоты, добавляли воду. Величину рН доводили до 8, используя гидроксид аммония, и затем проводили экстракцию дихлорметаном. Собранный органический слой промывали водой и солевым раствором, сушили над безводным сульфатом натрия и затем концентрировали с получением названного соединения (110 г, выход 90%).
Стадия 2. Получение 9-гидрокси-3-(2-(4-(8-метокси-5,6-дигидро-11H-бензо[5,6]циклогепта[1,2-b]пиридин-11-илиден)-пиперидин-1-ил)этил)-2-метил-6,7,8,9-тетрагидро-4H-пиридо[1,2-a]пиримидин-4-она
Затем соединение (100 мг, 0,326 ммоль), полученное на стадии 1 примера 63, растворяли в 2 мл N, N-диметилформамида, последовательно добавляли карбонат натрия (103,77 мг, 0,979 ммоль), йодид калия (54,18 мг, 0,326 ммоль) и соединение (79,21 мг, 0,326 ммоль), полученное на стадии 1 примера 10, и полученную смесь нагревали до 80°C. После завершения реакции, два раза проводили экстракцию солевым раствором и этилацетатом. Собранный органический слой сушили над безводным сульфатом натрия и концентрировали. Остаток очищали колоночной хроматографией на силикагеле с получением названного соединения (140 мг, выход 84%). LCMS [M+H] 513,2
Примеры соединений, приведенных в таблице 1 ниже, получали упомянутыми выше методами синтеза и методами, аналогичными этим методам синтеза.
[Таблица 1]
Пример испытания биологической активности.
Измерение ингибирующей активности в отношении рецептора серотонина 2A.
Измеряли (in vitro) ингибирующую активность соединений, синтезированных в примерах, в отношении рецептора серотонина 2A (5-HT2A), и полученные результаты приведены в таблице 2 ниже.
[Таблица 2]
Приведенные в таблице 2 результаты подтверждают наличие ингибирующей активности у соединений, полученных в примерах синтезов, в отношении рецептора серотонина 2A. Поэтому, соединение по настоящему изобретению может эффективно применяться для предотвращения или лечения заболеваний, связанных с активацией серотонина, например, метаболических заболеваний, таких как ожирение, жировой гепатоз печени и стеатогепатит.
| название | год | авторы | номер документа |
|---|---|---|---|
| СОЕДИНЕНИЕ ДЛЯ РАЗРУШЕНИЯ АНДРОГЕНОВОГО РЕЦЕПТОРА И ЕГО ФАРМАЦЕВТИЧЕСКОЕ ПРИМЕНЕНИЕ | 2021 |
|
RU2817356C1 |
| ПРОИЗВОДНЫЕ ИМИДАЗОПИРИДИНА ИЛИ ИХ ФАРМАЦЕВТИЧЕСКИ ПРИЕМЛЕМЫЕ СОЛИ, СПОСОБ ИХ ПОЛУЧЕНИЯ И ФАРМАЦЕВТИЧЕСКАЯ КОМПОЗИЦИЯ, ПРОЯВЛЯЮЩАЯ АНТАГОНИСТИЧЕСКУЮ АКТИВНОСТЬ В ОТНОШЕНИИ ГИСТАМИНА (H) | 1992 |
|
RU2114845C1 |
| НОВОЕ ГЕТЕРОЦИКЛИЧЕСКОЕ СОЕДИНЕНИЕ, СПОСОБ ЕГО ПОЛУЧЕНИЯ И СОДЕРЖАЩАЯ ЕГО ФАРМАЦЕВТИЧЕСКАЯ КОМПОЗИЦИЯ | 2018 |
|
RU2733384C1 |
| ГЕТЕРОЦИКЛИЧЕСКИЕ ПРОИЗВОДНЫЕ И ИХ ПРИМЕНЕНИЕ | 2015 |
|
RU2734390C2 |
| ГЕТЕРОЦИКЛИЧЕСКИЕ ПРОИЗВОДНЫЕ И ИХ ПРИМЕНЕНИЕ | 2015 |
|
RU2711502C2 |
| ПРОТИВОИНФЕКЦИОННЫЕ СОЕДИНЕНИЯ | 2011 |
|
RU2576662C2 |
| СОЕДИНЕНИЯ, ОБЛАДАЮЩИЕ ИНГИБИРУЮЩЕЙ АКТИВНОСТЬЮ ПО ОТНОШЕНИЮ К PDE9A, И ИХ ФАРМАЦЕВТИЧЕСКОЕ ПРИМЕНЕНИЕ | 2019 |
|
RU2788147C2 |
| НОВЫЕ СОЕДИНЕНИЯ КОНДЕНСИРОВАННЫХ ГЕТЕРОЦИКЛИЛ-КАРБОНОГИДРАЗОНОИЛДИЦИАНИДОВ И ИХ ПРИМЕНЕНИЕ | 2021 |
|
RU2826002C1 |
| НОВЫЕ СОЕДИНЕНИЯ В КАЧЕСТВЕ ИНГИБИТОРА ГИСТОНДЕАЦЕТИЛАЗЫ 6 И ФАРМАЦЕВТИЧЕСКАЯ КОМПОЗИЦИЯ, СОДЕРЖАЩАЯ ИХ | 2021 |
|
RU2817736C1 |
| ПРОИЗВОДНЫЕ 1,3,4-ОКСАДИАЗОЛСУЛЬФОНАМИДА В КАЧЕСТВЕ ИНГИБИТОРОВ ДЕАЦЕТИЛАЗЫ ГИСТОНОВ 6 И ФАРМАЦЕВТИЧЕСКАЯ КОМПОЗИЦИЯ, СОДЕРЖАЩАЯ ИХ | 2016 |
|
RU2697665C1 |
Изобретение относится к соединению трициклического производного, представленному химической формулой 1, или его фармацевтически приемлемой соли, или стереоизомеру, которые обладают высоким ингибирующим действием в отношении активности серотонина. Значения X и R в химической формуле 1 приведены в формуле изобретения. Изобретение относится также к конкретному соединению, представляющему собой трициклическое производное, фармацевтической композиции для предотвращения или лечения заболеваний, связанных с активацией серотонина, содержащей указанные соединения, вариантам их применения, способам предотвращения или лечения заболеваний, связанных с активацией серотонина, и ингибирования активности серотонина с их использованием. 9 н. и 5 з.п. ф-лы, 2 табл., 74 пр.
1. Соединение трициклического производного, представленное химической формулой 1, или его фармацевтически приемлемая соль, или стереоизомер
[Химическая формула 1]
,
где в этой формуле X представляет собой H, галоген, C1-6 алкил или C1-6 алкокси;
R представляет собой -A, -L1-A, -L1-L2-A или -L1-L2-L3-A;
L1 представляет собой -(CH2)n- или -C(=O)-;
L2 представляет собой -O- или
;
L3 представляет собой -C(=O)-;
n представляет собой целое число от 1 до 6;
A представляет собой
или
; и
R1 и R2 каждый независимо представляет собой H, -Cl, C1-6 алкил или C(=O)-C1-6 алкокси;
или в этой формуле X представляет собой H, галоген, C1-6 алкил или C1-6 алкокси;
R представляет собой -L1-А, -L1-L2-A или -L1-L2-L3-A;
L1 представляет собой -(CH2)n-;
L2 представляет собой -CH(-OH)- или
;
L3 представляет собой -(CH2)n-;
каждый из n представляет собой целое число от 1 до 6;
A представляет собой
или
; и
R1 и R2 оба представляют собой H;
или в этой формуле X представляет собой H, галоген, C1-6 алкил или C1-6 алкокси;
R представляет собой -L1-L2-A или -L1-L2-L3-A;
L1 представляет собой -(CH2)n- или -C(=O)-;
L2 представляет собой -O-, -CH(-OH)- или
;
L3 представляет собой -C(=O)- или -(CH2)n-O-;
каждый из n представляет собой целое число от 1 до 6;
A представляет собой
; и
R1 и R2 каждый независимо представляет собой H или C1-3 алкил;
или в этой формуле X представляет собой H, галоген, C1-6 алкил или C1-6 алкокси;
R представляет собой -A, -L1-A, -L1-L2-A или -L1-L2-L3-A;
L1 представляет собой -(CH2)n-;
L2 представляет собой -O-, -C(=O)-, -CH(-OH)-, -CH2-CH(-NH2)- или
;
L3 представляет собой -C(=O)- или -(CH2)n-;
каждый из n представляет собой целое число от 1 до 6;
A представляет собой
R1 и R2 каждый независимо представляет собой H, -F, -Cl, -Br, -OH, -CF3, -CN, -COOH, C1-3 алкил или -C(=O)-C1-6 алкокси;
или в этой формуле X представляет собой H, галоген, C1-6 алкил или C1-6 алкокси;
R представляет собой -L1-L2-A или -L1-L2-L3-A;
L1 представляет собой -(CH2)n-;
L2 представляет собой -O- или -CH(-OH)-;
L3 представляет собой -(CH2)n-O-;
n представляет собой целое число от 1 до 6; и
A представляет собой
или
; и
R1 и R2 каждый независимо представляет собой H, F, C1-6 алкил, C1-6 алкокси, -CF3, -ОCF3, аллил, -COOH, C3-6 циклоалкил, амино, -C(=O)-C1-6 алкокси, -NH-C(=O)-C1-6 алкил, -NH-C(=O)-C1-6 алкокси или
.
2. Соединение по п. 1, где трициклическое производное представлено химической формулой 1a
[Химическая формула 1a]
,
в этой формуле X представляет собой H, галоген, C1-6 алкил или C1-6 алкокси; и
R1 и R2 каждый независимо представляет собой H, -F, -Cl, -Br, -OH, -CF3, -CN, -COOH или C1-3 алкил.
3. Соединение по п. 1, где трициклическое производное представлено химической формулой 1b
[Химическая формула 1b]
,
в этой формуле X представляет собой H, галоген, C1-6 алкил или C1-6 алкокси; и
R1 и R2 каждый независимо представляет собой H, -Cl или C1-3 алкил.
4. Соединение по п. 1, где трициклическое производное представлено химической формулой 1c
[Химическая формула 1c]
,
в этой формуле X представляет собой H, галоген, C1-6 алкил или C1-6 алкокси;
A представляет собой
или
; и
R1 и R2 оба представляют собой H.
5. Соединение, представляющее собой трициклическое производное или его фармацевтически приемлемую соль, или стереоизомер, где трициклическое производное выбирают из группы, состоящей из следующих соединений:
4) 4-(8-хлор-5,6-дигидро-11H-бензо[5,6]циклогепта[1,2-b]пиридин-11-илиден)-N-изопропилпиперидин-1-карботиоамид;
6) (R)-3-амино-1-(4-(8-хлор-5,6-дигидро-11H-бензо[5,6]циклогепта[1,2-b]пиридин-11-илиден)пиперидин-1-ил)-4-(2,4,5-трифторфенил)бутан-1-она дигидрохлорид;
7) (S)-2-амино-3-(4-(4-(8-хлор-5,6-дигидро-11H-бензо[5,6]циклогепта[1,2-b]пиридин-11-илиден)пиперидин-1-карбонил)фенил)пропионовой кислоты дигидрохлорид;
8) (S)-1-(2-амино-4-(4-(8-хлор-5,6-дигидро-11H-бензо[5,6]циклогепта[1,2-b]пиридин-11-илиден)пиперидин-1-ил)-4-оксобутил)-5,5-дифторпиперидин-2-она дигидрохлорид;
9) 3-(2-(4-(8-хлор-5,6-дигидро-11H-бензо[5,6]циклогепта[1,2-b]пиридин-11-илиден)пиперидин-1-ил)этил)-2-метил-6,7,8,9-тетрагидро-4H-пиридо[1,2-a]пиримидин-4-он;
10) 3-(2-(4-(8-хлор-5,6-дигидро-11H-бензо[5,6]циклогепта[1,2-b]пиридин-11-илиден)пиперидин-1-ил)этил)-9-гидрокси-2-метил-6,7,8,9-тетрагидро-4H-пиридо[1,2-a]пиримидин-4-он;
11) 2-(4-(8-хлор-5,6-дигидро-11H-бензо[5,6]циклогепта[1,2-b]пиридин-11-илиден)пиперидин-1-ил)-1-(6-метилимидазо[2,1-b]тиазол-5-ил)этан-1-он;
12) 3-(2-(4-(8-хлор-5,6-дигидро-11H-бензо[5,6]циклогепта[1,2-b]пиридин-11-илиден)пиперидин-1-ил)этил)хиназолин-2,4(1H,3H)-дион;
14) (S)-2-амино-3-(4-(4-(4-(8-хлор-5,6-дигидро-11H-бензо[5,6]циклогепта[1,2-b]пиридин-11-илиден)пиперидин-1-ил)бутокси)фенил)пропионовой кислоты тригидрохлорид;
15) 2-(4-(8-хлор-5,6-дигидро-11H-бензо[5,6]циклогепта[1,2-b]пиридин-11-илиден)пиперидин-1-ил)-1-(6-метилимидазо[2,1-b]тиазол-5-ил)этан-1-ол;
16) этил (S)-2-((третбутоксикарбонил)амино)-3-(4-(4-(4-(8-хлор-5,6-дигидро-11H-бензо[5,6]циклогепта[1,2-b]пиридин-11-ил-иден)пиперидин-1-ил)бутокси)фенил)пропаноат;
17) (S)-2-((третбутоксикарбонил)амино)-3-(4-(4-(4-(8-хлор-5,6-дигидро-11H-бензо[5,6]циклогепта[1,2-b]пиридин-11-илиден)пиперидин-1-ил)бутокси)фенил)пропионовая кислота;
18) 7-(4-(4-(8-хлор-5,6-дигидро-11H-бензо[5,6]циклогепта[1,2-b]пиридин-11-илиден)пиперидин-1-ил)бутокси)-3,4-дигидрохинолин-2(1H)-он;
19) 2-(4-(4-(8-хлор-5,6-дигидро-11H-бензо[5,6]циклогепта[1,2-b]пиридин-11-илиден)пиперидин-1-ил)бутил)гексагидро-1H-изоиндол-1,3(2H)-дион;
20) (S)-2-амино-3-(3-хлор-4-(4-(4-(8-хлор-5,6-дигидро-11H-бензо[5,6]циклогепта[1,2-b]пиридин-11-илиден)пиперидин-1-ил)бутокси)фенил)пропионовой кислоты тригидрохлорид;
21) (S)-2-амино-3-(3-хлор-4-(3-(4-(8-хлор-5,6-дигидро-11H-бензо[5,6]циклогепта[1,2-b]пиридин-11-илиден)пиперидин-1-ил)пропокси)фенил)пропионовой кислоты тригидрохлорид;
22) (S)-2-амино-3-(4-(3-(4-(8-хлор-5,6-дигидро-11H-бензо[5,6]циклогепта[1,2-b]пиридин-11-илиден)пиперидин-1-ил)пропокси)фенил)пропионовой кислоты тригидрохлорид;
23) (2S,4S)-4-(4-(8-хлор-5,6-дигидро-11H-бензо[5,6]циклогепта[1,2-b]пиридин-11-илиден)пиперидин-1-ил)пирролидин-2-карбоновой кислоты тригидрохлорид;
24) 1-(4-бромфенил)-2-(4-(8-хлор-5,6-дигидро-11H-бензо[5,6]циклогепта[1,2-b]пиридин-11-илиден)пиперидин-1-ил)этан-1-он;
25) (4R,7S)-2-(((1S,2S)-2-((4-(8-хлор-5,6-дигидро-11H-бензо[5,6]циклогепта[1,2-b]пиридин-11-илиден)пиперидин-1-ил)метил)циклогексил)метил)гексагидро-1H-4,7-метаноизоиндол-1,3(2H)-дион;
26) 2-(((1S,2S)-2-((4-(8-хлор-5,6-дигидро-11H-бензо[5,6]циклогепта[1,2-b]пиридин-11-илиден)пиперидин-1-ил)метил)циклогексил)метил)гексагидро-1H-изоиндол-1,3(2H)-дион;
27) 1-(4-бромфенил)-2-(4-(8-хлор-5,6-дигидро-11H-бензо[5,6]циклогепта[1,2-b]пиридин-11-илиден)пиперидин-1-ил)этан-1-ол;
28) (2S,4R)-4-(4-(8-хлор-5,6-дигидро-11H-бензо[5,6]циклогепта[1,2-b]пиридин-11-илиден)пиперидин-1-ил)пирролидин-2-карбоновая кислота;
29) (S)-2-амино-3-(4-(4-(8-хлор-5,6-дигидро-11H-бензо[5,6]циклогепта[1,2-b]пиридин-11-илиден)пиперидин-1-ил)фенил)пропионовой кислоты дигидрохлорид;
30) (4R,7S)-2-(4-(4-(8-хлор-5,6-дигидро-11H-бензо[5,6]циклогепта[1,2-b]пиридин-11-илиден)пиперидин-1-ил)бутил)гексагидро-1H-4,7-метаноизоиндол-1,3(2H)-дион;
31) этил (S)-2-амино-3-(4-(3-(4-(8-хлор-5,6-дигидро-11H-бензо[5,6]циклогепта[1,2-b]пиридин-11-илиден)пиперидин-1-ил)пропокси)фенил)пропаноата тригидрохлорид;
33) 3-(4-(4-(8-хлор-5,6-дигидро-11H-бензо[5,6]циклогепта[1,2-b]пиридин-11-илиден)пиперидин-1-ил)бутил)-1H-индол-5-карбонитрил;
34) третбутил ((2S,3R)-4-(4-(8-хлор-5,6-дигидро-11H-бензо[5,6]циклогепта[1,2-b]пиридин-11-илиден)пиперидин-1-ил)-3-гидрокси-1-фенилбутан-2-ил)карбамат;
35) (2R,3S)-3-амино-1-(4-(8-хлор-5,6-дигидро-11H-бензо[5,6]циклогепта[1,2-b]пиридин-11-илиден)пиперидин-1-ил)-4-фенилбутан-2-ол;
36) транс-метил 2-(4-(4-(3-(4-(8-хлор-5,6-дигидро-11H-бензо[5,6]циклогепта[1,2-b]пиридин-11-илиден)пиперидин-1-ил)-2-гидроксипропокси)фенил)циклогексил)ацетат;
37) 2-(3-(4-(8-хлор-5,6-дигидро-11H-бензо[5,6]циклогепта[1,2-b]пиридин-11-илиден)пиперидин-1-ил)-2-гидроксипропил)гексагидро-1H-изоиндол-1,3(2H)-дион;
38) (4R,7S)-2-(3-(4-(8-хлор-5,6-дигидро-11H-бензо[5,6]циклогепта[1,2-b]пиридин-11-илиден)пиперидин-1-ил)-2-гидроксипропил)гексагидро-1H-4,7-метаноизоиндол-1,3(2H)-дион;
39) 6-хлор-5-(2-(4-(8-хлор-5,6-дигидро-11H-бензо[5,6]циклогепта[1,2-b]пиридин-11-илиден)пиперидин-1-ил)этил)индолин-2-он;
40) транс-метил 2-(4-(4-(4-(4-(8-хлор-5,6-дигидро-11H-бензо[5,6]циклогепта[1,2-b]пиридин-11-илиден)пиперидин-1-ил)бутокси)фенил)циклогексил)ацетат;
41) транс-2-(4-(4-(3-(4-(8-хлор-5,6-дигидро-11H-бензо[5,6]циклогепта[1,2-b]пиридин-11-илиден)пиперидин-1-ил)-2-гидроксипропокси)фенил)циклогексил)уксусная кислота;
42) транс-2-(4-(4-(4-(4-(8-хлор-5,6-дигидро-11H-бензо[5,6]циклогепта[1,2-b]пиридин-11-илиден)пиперидин-1-ил)бутокси)фенил)циклогексил)уксусная кислота;
43) (S)-2-((третбутоксикарбонил)амино)-3-(4-(((2S,3R)-4-(4-(8-хлор-5,6-дигидро-11H-бензо[5,6]циклогепта[1,2-b]пиридин-11-илиден)пиперидин-1-ил)-3-гидрокси-1-фенилбутан-2-ил)карбамоил)фенил)пропионовая кислота;
44) (S)-2-амино-3-(4-(((2S,3R)-4-(4-(8-хлор-5,6-дигидро-11H-бензо[5,6]циклогепта[1,2-b]пиридин-11-илиден)пиперидин-1-ил)-3-гидрокси-1-фенилбутан-2-ил)карбамоил)фенил)пропионовой кислоты тригидрохлорид;
45) транс-2-(4-(4-(((2S,3R)-4-(4-(8-хлор-5,6-дигидро-11H-бензо[5,6]циклогепта[1,2-b]пиридин-11-илиден)пиперидин-1-ил)-3-гидрокси-1-фенилбутан-2-ил)карбамоил)фенил)циклогексил)уксусная кислота;
46) N-((2S,3R)-4-(4-(8-хлор-5,6-дигидро-11H-бензо[5,6]циклогепта[1,2-b]пиридин-11-илиден)пиперидин-1-ил)-3-гидрокси-1-фенилбутан-2-ил)-2-фенил-5-(трифторметил)оксазол-4-карбоксамид;
47) (4R,7S)-2-(3-(4-(8-хлор-5,6-дигидро-11H-бензо[5,6]циклогепта[1,2-b]пиридин-11-илиден)пиперидин-1-ил)пропил)гексагидро-1H-4,7-метаноизоиндол-1,3(2H)-дион;
49) изопропил (S)-2-амино-3-(4-(3-(4-(8-хлор-5,6-дигидро-11H-бензо[5,6]циклогепта[1,2-b]пиридин-11-илиден)пиперидин-1-ил)пропокси)фенил)пропаноата тригидрохлорид;
50) неопентил (S)-2-амино-3-(4-(3-(4-(8-хлор-5,6-дигидро-11H-бензо[5,6]циклогепта[1,2-b]пиридин-11-илиден)пиперидин-1-ил)пропокси)фенил)пропаноата тригидрохлорид;
51) циклопентил (S)-2-амино-3-(4-(3-(4-(8-хлор-5,6-дигидро-11H-бензо[5,6]циклогепта[1,2-b]пиридин-11-илиден)пиперидин-1-ил)пропокси)фенил)пропаноата тригидрохлорид;
52) 4-((3-(2-(4-(8-хлор-5,6-дигидро-11H-бензо[5,6]циклогепта[1,2-b]пиридин-11-илиден)пиперидин-1-ил)этил)-2-метил-4-оксо-6,7,8,9-тетрагидро-4H-пиридо[1,2-a]пиримидин-9-ил)окси)-4-оксобутановая кислота;
53) 2-((1R,4R)-4-(4-(3-(4-(8-хлор-5,6-дигидро-11H-бензо[5,6]циклогепта[1,2-b]пиридин-11-илиден)пиперидин-1-ил)-2-гидроксипропокси)фенил)циклогексил)уксусная кислота;
54) 4-(3-(4-(8-хлор-5,6-дигидро-11H-бензо[5,6]циклогепта[1,2-b]пиридин-11-илиден)пиперидин-1-ил)-2-гидроксипропокси)-4’’-(трифторметокси)-[1,1’:3’,1’’-терфенил]-5’-карбоновая кислота;
55) (2S)-2-амино-3-(4-(3-(4-(8-хлор-5,6-дигидро-11H-бензо[5,6]циклогепта[1,2-b]пиридин-11-илиден)пиперидин-1-ил)-2-гидроксипропокси)фенил)пропионовой кислоты тригидрохлорид;
56) 3-(4-(3-(4-(8-хлор-5,6-дигидро-11H-бензо[5,6]циклогепта[1,2-b]пиридин-11-илиден)пиперидин-1-ил)пропокси)бензил)-1-(4-фторбензил)-1-(1-метилпиперидин-4-ил)мочевина;
57) N-(4-(3-(4-(8-хлор-5,6-дигидро-11H-бензо[5,6]циклогепта[1,2-b]пиридин-11-илиден)пиперидин-1-ил)-2-гидроксипропокси)фенил)ацетамид;
58) третбутил (4-(3-(4-(8-хлор-5,6-дигидро-11H-бензо[5,6]циклогепта[1,2-b]пиридин-11-илиден)пиперидин-1-ил)-2-гидроксипропокси)фенил)карбамат;
59) N-(4-(3-(4-(8-хлор-5,6-дигидро-11H-бензо[5,6]циклогепта[1,2-b]пиридин-11-илиден)пиперидин-1-ил)-2-гидроксипропокси)фенил)-2-(4-фторфенил)ацетамид;
60) 1-(4-(8-хлор-5,6-дигидро-11H-бензо[5,6]циклогепта[1,2-b]пиридин-11-илиден)пиперидин-1-ил)-3-(2-(3-метоксифенетил)фенокси)пропан-2-ол;
61) 1-(2-аллилфенокси)-3-(4-(8-хлор-5,6-дигидро-11H-бензо[5,6]циклогепта[1,2-b]пиридин-11-илиден)пиперидин-1-ил)пропан-2-ол;
62) (E)-1-(4-(8-хлор-5,6-дигидро-11H-бензо[5,6]циклогепта[1,2-b]пиридин-11-илиден)пиперидин-1-ил)-3-(2-(3-метоксистирил)фенокси)пропан-2-ол;
63) 9-гидрокси-3-(2-(4-(8-метокси-5,6-дигидро-11H-бензо[5,6]циклогепта[1,2-b]пиридин-11-илиден)пиперидин-1-ил)этил)-2-метил-6,7,8,9-тетрагидро-4H-пиридо[1,2-a]пиримидин-4-он;
64) 9-гидрокси-2-метил-3-(2-(4-(8-метил-5,6-дигидро-11H-бензо[5,6]циклогепта[1,2-b]пиридин-11-илиден)пиперидин-1-ил)этил)-6,7,8,9-тетрагидро-4H-пиридо[1,2-a]пиримидин-4-он;
65) 3-(2-(4-(5,6-дигидро-11H-бензо[5,6]циклогепта[1,2-b]пиридин-11-илиден)пиперидин-1-ил)этил)-9-гидрокси-2-метил-6,7,8,9-тетрагидро-4H-пиридо[1,2-a]пиримидин-4-он;
66) (S)-2-амино-3-(4-(4-(4-(8-метокси-5,6-дигидро-11H-бензо[5,6]циклогепта[1,2-b]пиридин-11-илиден)пиперидин-1-ил)бутокси)фенил)пропионовой кислоты тригидрохлорид;
67) (S)-2-амино-3-(4-(4-(4-(8-метил-5,6-дигидро-11H-бензо[5,6]циклогепта[1,2-b]пиридин-11-илиден)пиперидин-1-ил)бутокси)фенил)пропионовой кислоты тригидрохлорид;
68) (S)-2-амино-3-(4-(4-(4-(5,6-дигидро-11H-бензо[5,6]циклогепта[1,2-b]пиридин-11-илиден)пиперидин-1-ил)бутокси)фенил)пропионовой кислоты тригидрохлорид;
69) (4R,7S)-2-((транс-2-((4-(8-метокси-5,6-дигидро-11H-бензо[5,6]циклогепта[1,2-b]пиридин-11-илиден)пиперидин-1-ил)метил)циклогексил)метил)гексагидро-1H-4,7-метаноизоиндол-1,3(2H)-дион;
70) (4R,7S)-2-((транс-2-((4-(5,6-дигидро-11H-бензо[5,6]циклогепта[1,2-b]пиридин-11-илиден)пиперидин-1-ил)метил)циклогексил)метил)гексагидро-1H-4,7-метаноизоиндол-1,3(2H)-дион;
71) (4R,7S)-2-((транс-2-((4-(8-метил-5,6-дигидро-11H-бензо[5,6]циклогепта[1,2-b]пиридин-11-илиден)пиперидин-1-ил)метил)циклогексил)метил)гексагидро-1H-4,7-метаноизоиндол-1,3(2H)-дион;
72) 2-((транс-2-((4-(8-метокси-5,6-дигидро-11H-бензо[5,6]циклогепта[1,2-b]пиридин-11-илиден)пиперидин-1-ил)метил)циклогексил)метил)гексагидро-1H-изоиндол-1,3(2H)-дион;
73) 2-((транс-2-((4-(5,6-дигидро-11H-бензо[5,6]циклогепта[1,2-b]пиридин-11-илиден)пиперидин-1-ил)метил)циклогексил)метил)гексагидро-1H-изоиндол-1,3(2H)-дион и
74) 2-((транс-2-((4-(8-метил-5,6-дигидро-11H-бензо[5,6]циклогепта[1,2-b]пиридин-11-илиден)пиперидин-1-ил)метил)циклогексил)метил)гексагидро-1H-изоиндол-1,3(2H)-дион.
6. Фармацевтическая композиция для предотвращения или лечения заболеваний, связанных с активацией серотонина, содержащая соединение по любому одному из пп. 1-5 в качестве активного ингредиента.
7. Фармацевтическая композиция по п. 6, где заболевания, связанные с активацией серотонина, представляют собой метаболическое заболевание или рак.
8. Фармацевтическая композиция по п. 7, где метаболическое заболевание выбирают из группы, состоящей из ожирения, диабета, гиперлипидемии, артериосклероза, жирового гепатоза печени, стеатогепатита, фиброза и гипертензии, и рак выбирают из группы, состоящей из рака толстой кишки, рака молочной железы и рака яичников.
9. Применение соединения по любому одному из пп. 1-5 для предотвращения или лечения заболеваний, связанных с активацией серотонина, где заболевания, связанные с активацией серотонина, представляют собой метаболическое заболевание или рак.
10. Применение соединения по любому одному из пп. 1-5 для производства лекарственного препарата для предотвращения или лечения заболеваний, связанных с активацией серотонина, где заболевания, связанные с активацией серотонина, представляют собой метаболическое заболевание или рак.
11. Применение соединения по любому одному из пп. 1-5 в качестве антагониста серотонинового рецептора.
12. Применение соединения по любому одному из пп. 1-5 для производства лекарственного препарата для ингибирования активности серотонина.
13. Способ предотвращения или лечения заболеваний, связанных с активацией серотонина, включающий введение соединения по любому одному из пп. 1-5 субъекту, нуждающемуся в этом, где заболевание, связанное с активацией серотонина, представляет собой метаболическое заболевание или рак.
14. Способ ингибирования активности серотонина, включающий введение соединения по любому одному из пп. 1-5 субъекту, нуждающемуся в этом.
| CN 102924430 B, 15.10.2014 | |||
| US 6242458 B1, 05.06.2001 | |||
| Прибор для очистки паром от сажи дымогарных трубок в паровозных котлах | 1913 |
|
SU95A1 |
| УСТРОЙСТВО с РЕГУЛИРУЕМЫМ КОЭФФИЦИЕНТОМПЕРЕДАЧИ | 0 |
|
SU270818A1 |
| J | |||
| J | |||
| PIWINSKI ET AL, Dual antagonists of platelet activating factor and histamine | |||
| Очаг для массовой варки пищи, выпечки хлеба и кипячения воды | 1921 |
|
SU4A1 |
Авторы
Даты
2025-01-20—Публикация
2020-10-30—Подача