СОЕДИНЕНИЕ ПЕНТАЦИКЛИЧЕСКОГО ТРИТЕРПЕНОВОГО ГЛИКОЗИДА, СПОСОБ ЕГО ПОЛУЧЕНИЯ И ПРИМЕНЕНИЯ Российский патент 2025 года по МПК C07J63/00 A61K31/58 A61P1/16 A61P3/00 A61P3/04 A61P31/16 

Описание патента на изобретение RU2833479C1

ОБЛАСТЬ ТЕХНИКИ

Изобретение относится к области фармацевтической химии и медицины, а именно, к классу соединений пентациклических тритерпеновых гликозидов, способу их получения и применения для лечения метаболических заболеваний и в качестве противовирусных средств, в частности, к их использованию при получении лекарственных препаратов для лечения диабета, гриппа, пневмонии, вызванной коронавирусом, а также других заболеваний.

ПРЕДШЕСТВУЮЩИЙ УРОВЕНЬ ТЕХНИКИ

Сахарный диабет (СД) является хроническим системным и метаболическим заболеванием, которое вызвано продолжительным действием сочетания генетических факторов и факторов окружающей среды. Оно характеризуется повышением уровня глюкозы в плазме. Это заболевание, которое влияет на нормальную физиологическую деятельность вследствие нарушения обмена сахаров, жиров и белков, вызванного недостаточностью или дисфункцией секреции инсулина (инсулиновой резистентностью). Осложнения сахарного диабета можно разделить на острые осложнения и хронические осложнения. Среди них к острым осложнениям относятся диабетический кетоацидоз, гиперосмолярная диабетическая кома, разного рода острые инфекции, лактоацидоз и т.д. Кроме того, при лечении сахарного диабета одним из наиболее частых острых осложнений также является гипогликемия. К хроническим осложнениям относятся диабетическая офтальмопатия, диабетическая нефропатия, диабетический психоз, кардиоцеребральный синдром при диабетической макроангиопатии сосудов нижних конечностей, диабетические поражения стопы и кожи и т.д. Основными клиническими проявлениями сахарного диабета являются полидипсия, полиурия, полифагия и уменьшение массы тела.

Диабет подразделяется на инсулинозависимый сахарный диабет (ИЗСД, или диабет I типа) и инсулиннезависимый сахарный диабет, который являются наиболее распространенным и которым страдает более 90 % больных сахарным диабетом. Точная этиология и патогенез сахарного диабета I типа до сих пор остаются до конца невыясненными. Этиология обусловлена совместно генетическими факторами и факторами окружающей среды, в основном вследствие повреждения бета-клеток островков поджелудочной железы в организме, приводящего к неспособности к выработке инсулина в организме. Больным требуются ежедневные инъекции инсулина для контроля уровня инсулина в крови. Диабет II типа является разновидностью метаболического синдрома, возникающего вследствие неспособности организма контролировать уровень глюкозы в крови. Его основными характеристиками являются гипергликемия, резистентность к инсулину и недостаточность секреции инсулина. Основной этиологией диабета II типа является резистентность к инсулину, при которой организм не может эффективно использовать инсулин, либо снижение секреции инсулина, при которой уровня инсулина недостаточно для удовлетворения потребностей организма. Поскольку организм больных диабетом этого типа может выделять инсулин, для них, как правило, не требуется инсулинотерапия. Для контроля уровня глюкозы в крови достаточно соблюдать подобранную диету, либо принимать внутрь гипогликемические препараты.

Пентациклические тритерпеновые соединения являются вторичными метаболитами растений, найденными в разных органах растений, и их содержание у некоторых видов составляет до 30 % от их сухой массы. Хотя молекулярный механизм до сих пор остается не до конца выясненным, тритерпеновые соединения часто рассматриваются как важные компоненты систем защиты растений от патогенов и травоядных. Сообщалось, что некоторые пентациклические соединения тритерпеновых гликозидов обладают такой же или более высокой активностью против вируса гриппа in vitro, что и осельтамивир. В исследованиях механизмов действия было установлено, что эти соединения близко связаны с гемагглютинином (ГА), нарушая тем самым взаимодействие между гемагглютинином и рецептором сиаловой кислоты и предотвращая проникновение вирусов в клетки-хозяева. При таком механизме действия возникновение лекарственной устойчивости представляется маловероятным. В то же время в исследованиях было продемонстрировано, что пентациклические тритерпеновые соединения могут связываться с N-белком коронавируса, препятствовать сборке вируса и достигать антикоронавирусного эффекта. В то же время N-белок коронавируса является крайне консервативным и играет важную роль в иммунитете. Поэтому соединения, нацеленные на N-белок, являются потенциальными противовирусными низкомолекулярными соединениями.

В отношении сахаридных препаратов, O-гликозиды и N-гликозиды легко окисляются и метаболизируются in vivo, тогда как C-гликозиды демонстрируют хорошую метаболическую стабильность как in vivo, так и in vitro, что делает C-гликозиды предметом широкого интереса ученых. Поэтому соединения пентациклических тритерпеновых C-гликозидов имеют многообещающую перспективу в исследованиях и разработках гипогликемических и противовирусных препаратов.

Таким образом, существует острая необходимость в разработке новых пентациклических тритерпеновых С-гликозидов в этой области.

СУЩНОСТЬ ИЗОБРЕТЕНИЯ

Целью настоящего изобретения является предоставление производного соединения пентациклического тритерпенового C-гликозида, представленного общей формулой I, или его фармацевтически приемлемых солей, рацематов, R-изомеров или S-изомеров, либо их смесей.

Первый аспект изобретения относится к производному соединению пентациклического тритерпенового C-гликозида со структурой, показанной в следующей общей формуле I, или к его рацематам, R-изомерам, S-изомерам, их фармацевтически приемлемым солям, либо их смесям:

где,

кольцо А выбирают из группы, состоящей из 6-членного насыщенного карбоциклического кольца или ненасыщенного карбоциклического кольца;

R1, R2 и R3 независимо выбирают из группы, состоящей из водорода и метильной группы; R4 выбирают из группы, состоящей из водорода и изопропенильной группы;

R5 выбирают из группы, состоящей из атома водорода, атома дейтерия, атома трития, атома галогена, цианогруппы, аминогруппы, нитрогруппы, гидроксильной группы, сульфгидрильной группы, альдегидной группы, карбоксильной группы, сульфонильной группы, фосфатной группы, замещенной или незамещенной C1-C6 алкильной группы, замещенной или незамещенной C1-C6 алкоксигруппы, замещенной или незамещенной C6-C10 арильной группы, замещенного или незамещенного 5-7-членного гетероцикла, содержащего 1-3 гетероатома, выбранных из атомов кислорода, серы и азота, замещенной или незамещенной C1-C6 алкилфенильной группы, замещенной или незамещенной C3-C12 циклоалкильной группы, замещенной или незамещенной C2-C10 ацильной группы, замещенной или незамещенной C2-C10 сложноэфирной группы, замещенной или незамещенной C6-C10 арилоксигруппы, замещенной или незамещенной C1-C6 амидогруппы и Y-R7; где,

Y выбирают из группы, состоящей из -(CH2)mCHR9-, карбонильной группы, -CONH- и -COO-;

где m является 0 или 1;

R7 выбирают из группы, состоящей из атома водорода, замещенной или незамещенной C1-C6 алкильной группы, замещенной или незамещенной C2-C6 алкенильной группы, замещенного или незамещенного 5-7-членного гетероцикла, содержащего 1-3 гетероатома, выбранных из атомов кислорода, серы и азота, замещенной или незамещенной C2-C10 сложноэфирной группы, замещенной или незамещенной C5-C9 фуранозильной группы и замещенной или незамещенной C5-C9 пиранозильной группы;

Z выбирают из группы, состоящей из карбонильной группы, -CH(R9)2, C=N-R8, C=N-NH-R8 и -X-R6;

R8 выбирают из группы, состоящей из атома водорода, атома дейтерия, атома трития, атома галогена, цианогруппы, аминогруппы, нитрогруппы, гидроксильной группы, сульфгидрильной группы, альдегидной группы, карбоксильной группы, сульфонильной группы, замещенной или незамещенной C1-C6 алкильной группы, замещенной или незамещенной C1-C6 алкоксигруппы, замещенной или незамещенной C6-C10 арильной группы, замещенного или незамещенного 5-7-членного гетероцикла, содержащего 1-3 гетероатома, выбранных из атомов кислорода, серы и азота, замещенной или незамещенной C1-C6 алкилфенильной группы, замещенной или незамещенной C3-C12 циклоалкильной группы, замещенной или незамещенной C2-C10 ацильной группы, замещенной или незамещенной C2-C10 сложноэфирной группы, замещенной или незамещенной C6-C10 арилоксигруппы, замещенной или незамещенной C1-C6 амидогруппы;

R9 выбирают из группы, состоящей из атома водорода, атома дейтерия, атома трития, атома галогена, цианогруппы, аминогруппы, нитрогруппы, гидроксильной или сульфгидрила;

R6 выбирают из группы, состоящей из атома водорода, замещенной или незамещенной C1-C6 алкильной группы, замещенной или незамещенной C2-C6 алкенильной группы, замещенного или незамещенного 5-7-членного гетероцикла, содержащего 1-3 гетероатома, выбранных из атомов кислорода, серы и азота, замещенной или незамещенной фуранозильной группы C5-C9 и замещенной или незамещенной пиранозильной группы C5-C9; термин «замещенный» означает, что один или несколько атомов водорода или гидроксильных групп в гликозильном кольце замещены заместителями, выбранными из группы, состоящей из атома водорода, атома дейтерия, атома трития, атома галогена, цианогруппы, аминогруппы, нитрогруппы, сульфгидрильной группы, альдегидной группы, карбоксильной группы, бензильной группы, замещенной или незамещенной C1-C12 алкоксикарбонильной группы, замещенной или незамещенной C2-C12 алкаминокарбонильной группы, замещенной или незамещенной C2-C10 ацильной группы, сульфонильной группы, фосфорильной группы, C5-C9 фуранозильной группы и C5-C9 пиранозильной группы;

X выбирают из группы, состоящей из -CHR9-, карбонильной группы, S, -NHC(O)-R8, -NHS(O)2-R8, -NHC(O)NH-R8, - NHC(S)NH-R8, -COO- и -O-S(O)2-R8;

n является 1 или 2;

если не указано иное, термин «замещенный» в приведенных выше формулах означает, что атом водорода в соответствующей группе, либо гидроксильная группа в гликозильном кольце замещены одним или несколькими заместителями, выбранными из группы, состоящей из атома дейтерия, атома трития, атома галогена, гидроксильной группы, карбоксильной группы, сульфгидрильной группы, бензильной группы, C1-C12 алкоксикарбонильной группы, C1-C6 альдегидной группы, аминогруппы, C1-C6 амидной группы, нитрогруппы, цианогруппы, незамещенной или галогенированной C1-C6 алкильной группы, C2-C10 алкенильной группы, C1-C6 алкоксигруппы, C1-C6 алкиламиногруппы, C6-C10 арильной группы, пяти- или шестичленной гетероарильной группы, пяти- или шестичленной неароматической гетероциклильной группы, -O-(C6-C10 арильной группы), -O-(пяти- или шестичленной гетероарильной группы), C1-C12 алкаминокарбонильной группы, замещенной или незамещенной C2-C10 ацильной группы, сульфонильной группы (-SO2-OH), фосфорильной группы (-PO3-OH), C5-C9 фуранозильной группы и C5-C9 пиранозильной группы.

В другом предпочтительном варианте осуществления изобретения соединение формулы I имеет структуру, представленную следующей общей формулой II:

где,

R5 выбирают из группы, состоящей из атома водорода, атома дейтерия, атома трития, атома галогена, цианогруппы, аминогруппы, нитрогруппы, гидроксильной группы, сульфгидрильной группы, альдегидной группы, карбоксильной группы, сульфонильной группы, фосфатной группы, замещенной или незамещенной C1-C6 алкильной группы, замещенной или незамещенной C1-C6 алкоксигруппы, замещенной или незамещенной C6-C10 арильной группы, замещенного или незамещенного 5-7-членного гетероцикла, содержащего 1-3 гетероатома, выбранных из атомов кислорода, серы и азота, замещенной или незамещенной C1-C6 алкилфенильной группы, замещенной или незамещенной C3-C12 циклоалкильной группы, замещенной или незамещенной C2-C10 ацильной группы, замещенной или незамещенной C2-C10 сложноэфирной группы, замещенной или незамещенной C6-C10 арилоксигруппы и замещенной или незамещенной C1-C6 амидогруппы;

X выбирают из группы, состоящей из -CHR9- и карбонильной группы;

R6 выбирают из группы, состоящей из замещенной или незамещенной C5-C9 фуранозильной группы и замещенной или незамещенной C5-C9 пиранозильной группы; термин «замещенный» означает, что один или несколько атомов водорода или гидроксильных групп в гликозильном кольце замещены заместителями, выбранными из группы, состоящей из атома водорода, атома дейтерия, атома трития, атома галогена, цианогруппы, аминогруппы, нитрогруппы, сульфгидрильной группы, альдегидной группы, карбоксильной группы, бензильной группы, замещенной или незамещенной C1-C12 алкоксикарбонильной группы, замещенной или незамещенной C2-C12 алкаминокарбонильной группы, замещенной или незамещенной C2-C10 ацильной группы, сульфонильной группы, фосфорильной группы, C5-C9 фуранозильной группы и C5-C9 пиранозильной группы;

R9 выбирают из группы, состоящей из атома водорода, атома дейтерия, атома трития, атома галогена, цианогруппы, аминогруппы, нитрогруппы, гидроксильной или сульфгидрила;

кольцо А выбирают из группы, состоящей из 6-членного насыщенного карбоциклического кольца или ненасыщенного карбоциклического кольца;

n является 1 или 2.

В другом предпочтительном варианте осуществления изобретения соединение формулы I имеет структуру, представленную следующей общей формулой III:

где,

R1, R2 и R3 независимо выбирают из группы, состоящей из водорода и метильной группы;

R4 выбирают из группы, состоящей из водорода и изопропенильной группы;

R7 выбирают из группы, состоящей из атома водорода, замещенной или незамещенной C5-C9 фуранозильной группы и замещенной или незамещенной C5-C9 пиранозильной группы; термин «замещенный» означает, что один или несколько атомов водорода или гидроксильных групп в гликозильном кольце замещены заместителями, выбранными из группы, состоящей из атома водорода, атома дейтерия, атома трития, атома галогена, цианогруппы, аминогруппы, нитрогруппы, сульфгидрильной группы, альдегидной группы, карбоксильной группы, бензильной группы, замещенной или незамещенной C1-C12 алкоксикарбонильной группы, замещенной или незамещенной C2-C12 алкаминокарбонильной группы, замещенной или незамещенной C2-C10 ацильной группы, сульфонильной группы, фосфорильной группы, C5-C9 фуранозильной группы и C5-C9 пиранозильной группы;

Y выбирают из группы, состоящей из -(CH2)mCHR9- и карбонильной группы;

m является 0 или 1;

R9 выбирают из группы, состоящей из атома водорода, атома дейтерия, атома трития, атома галогена, цианогруппы, аминогруппы, нитрогруппы, гидроксильной или сульфгидрила;

Z выбирают из группы, состоящей из карбонильной группы, -CH(R9)2, =N-R8 и -X-R6;

R9 выбирают из группы, состоящей из атома водорода, атома галогена, цианогруппы, аминогруппы, нитрогруппы, гидроксильной группы или сульфгидрильной группы;

X выбирают из группы, состоящей из -CHR9-, карбонильной группы, S, -NHC(O)-R8, -NHS(O)2-R8, -NHC(O)NH-R8, - NHC(S)NH-R8, -COO- и -O-S(O)2-R8;

R6 выбирают из группы, состоящей из атома водорода, замещенной или незамещенной C1-C6 алкильной группы, замещенной или незамещенной C2-C6 алкенильной группы, замещенного или незамещенного 5-7-членного гетероцикла, содержащего 1-3 гетероатома, выбранных из атомов кислорода, серы и азота, замещенной или незамещенной фуранозильной группы C5-C9 и замещенной или незамещенной пиранозильной группы C5-C9; термин «замещенный» означает, что один или несколько атомов водорода или гидроксильных групп в гликозильном кольце замещены заместителями, выбранными из группы, состоящей из атома водорода, атома дейтерия, атома трития, атома галогена, цианогруппы, аминогруппы, нитрогруппы, сульфгидрильной группы, альдегидной группы, карбоксильной группы, бензильной группы, замещенной или незамещенной C1-C12 алкоксикарбонильной группы, замещенной или незамещенной C2-C12 алкаминокарбонильной группы, замещенной или незамещенной C2-C10 ацильной группы, сульфонильной группы, фосфорильной группы, C5-C9 фуранозильной группы и C5-C9 пиранозильной группы;

кольцо А выбирают из группы, состоящей из 6-членного насыщенного карбоциклического кольца или ненасыщенного карбоциклического кольца;

n является 1 или 2.

В другом предпочтительном варианте осуществления изобретения соединение формулы I имеет структуру, представленную следующими общими формулами IV, V и VI:

В другом предпочтительном варианте осуществления изобретения R5 выбирают из группы, состоящей из атома водорода, атома галогена, гидроксильной группы, карбоксильной группы, замещенной или незамещенной C1-C6 алкильной группы, замещенной или незамещенной C1-C6 алкоксигруппы, замещенной или незамещенной C2-C10 ацильной группы, замещенной или незамещенной C2-C10 сложноэфирной группы и замещенной или незамещенной C1-C6 амидогруппы.

В другом предпочтительном варианте осуществления изобретения R9 выбирают из группы, состоящей из атома водорода, гидроксильной группы, альдегидной группы, сульфгидрильной группы и -X-R6;

X выбирают из группы, состоящей из -CHR9-, карбонильной группы, S, -NHC(O)-R8, -NHS(O)2-R8, -NHC(O)NH-R8, - NHC(S)NH-R8, -COO- и -O-S(O)2-R8;

R6 выбирают из группы, состоящей из замещенной или незамещенной C1-C6 алкильной группы, замещенной или незамещенной C2-C6 алкенильной группы, замещенного или незамещенного 5-7-членного гетероцикла, содержащего 1-3 гетероатома, выбранных из атомов кислорода, серы и азота, замещенной или незамещенной фуранозильной группы C5-C9 и замещенной или незамещенной пиранозильной группы C5-C9; термин «замещенный» означает, что один или несколько атомов водорода или гидроксильных групп в гликозильном кольце замещены заместителями, выбранными из группы, состоящей из атома водорода, атома дейтерия, атома трития, атома галогена, цианогруппы, аминогруппы, нитрогруппы, сульфгидрильной группы, альдегидной группы, карбоксильной группы, бензильной группы, замещенной или незамещенной C1-C12 алкоксикарбонильной группы, замещенной или незамещенной C2-C12 алкаминокарбонильной группы, замещенной или незамещенной C2-C10 ацильной группы, сульфонильной группы, фосфорильной группы, C5-C9 фуранозильной группы и C5-C9 пиранозильной группы.

В другом предпочтительном варианте осуществления изобретения пентациклические тритерпеновые C-гликозиды представляют собой соединения, описанные в примере.

Во втором аспекте изобретения предлагается способ получения соединения согласно первому аспекту изобретения, где способ получения включает следующую схему 1 или схему 2:

схема 1: получение соединения формулы II в процессе, состоящем из стадии а и необязательной стадии b, c или d, с использованием соединения формулы IIa в качестве исходного материала:

где каждая группа определена, как описано в первом аспекте изобретения;

стадия а: реакция соединения VII с соединением IIa с получением продукта;

стадия b: восстановление продукта предыдущей стадии с получением продукта;

стадия c: алкилирование предыдущей продукта стадии с получением продукта;

стадия d: реакция продукта предыдущей стадии с реактивом Десса-Мартина с получением соединения формулы II;

где структура соединения VII имеет следующий вид:

VII.

схема 2: получение соединения формулы III в процессе, состоящем из стадии а и, необязательно, стадий b, c или d, с использованием соединения формулы IIIa в качестве исходного материала:

В третьем аспекте изобретения предлагается фармацевтическая композиция, которая содержит терапевтически эффективное количество одного или нескольких соединений формулы I или их фармацевтических солей, рацематов, R-изомеров и S-изомеров согласно первому аспекту изобретения, а также один или несколько фармацевтических носителей, вспомогательных веществ, добавок, наполнителей и/или разбавителей.

В четвертом аспекте изобретения предлагается применение соединения формулы I и формулы II, их рацематов, R-изомеров, S-изомеров или фармацевтических солей согласно первому аспекту изобретения для получения лекарственного средства для лечения или профилактики метаболических заболеваний, относящихся к сахарному диабету, и вирусных заболеваний; предпочтительно заболевания выбирают из группы, состоящей из диабета, гриппа, ожирения, фиброза печени, метаболических заболеваний и вирусных заболеваний.

Следует понимать, что в пределах объема настоящего изобретения указанные выше технические признаки настоящего изобретения и технические признаки, конкретно описанные в приведенных ниже описаниях (например, в виде примеров), могут быть объединены друг с другом для образования нового или предпочтительного технического решения. С учетом ограничений объема, здесь они не будут приведены повторно.

КРАТКОЕ ОПИСАНИЕ ЧЕРТЕЖЕЙ

На рисунке 1 показаны экспериментальные данные теста на толерантность к глюкозе при приеме внутрь (OGTT) для соединений A2, A4, A6, A10, A25, A43, A44, A47 и A67, полученные на мышах линии ICR.

На рисунке 2 показан хороший гипогликемический эффект in vivo соединений А25 и А43.

На рисунке 3 показаны EC50 и эффект стимуляции секреции GLP in vitro соединения A64 и препарата положительного контроля ANT777.

На рисунке 4 показано, что соединения по изобретению демонстрируют эквивалентную степень ингибирования вируса и более низкую цитотоксичность по сравнению с препаратом положительного контроля рибавирином. Степень ингибирования вируса у этих соединений такая же как у препарата положительного контроля рибавирина, но цитотоксичность при этом ниже.

На рисунке 5 показаны экспериментальные данные по сродству к N-белку вируса SARS Cov-2 для соединений A102, A104, A106, A108, A112, A114, A116, A117, A120, A121, A122, A123, A124, A125, A126 и A127.

На рисунке 6 показаны экспериментальные данные по сродству соединений A102, A114 и A116 к N-белку.

На рисунках 7 и 8 показаны экспериментальные данные ингибирования репликации вируса SARS Cov-2 для соединений A102, A104, A114, A117, A118, A119, A120, A121, A122, A123, A124, A125, A126, A127, A128 и A129.

На рисунках 9 и 10 показаны хорошие фармакокинетические свойства соединения A104 у мышей.

ПОДРОБНОЕ ОПИСАНИЕ ИЗОБРЕТЕНИЯ

После обширных и углубленных исследований изобретателем был случайно обнаружен класс пентациклических тритерпеновых С-гликозидов с новой структурой и высокой гипогликемической активностью или противовирусной активностью при приеме внутрь. На основании этого было совершено изобретение.

Определения

В настоящем изобретении термин «галоген» означает F, Cl, Br или I.

В настоящем изобретении, если не указано иное, используемые термины имеют общепринятые значения, которые известны специалистам в данной области.

В настоящем изобретении термин «C1-C6 алкильная группа» означает линейную или разветвленную алкильную группу с 1–6 атомами углерода, включая, в том числе, метильную, этильную, пропильную, изопропильную, бутильную, изобутильную, втор-бутильную, трет-бутильную, пентильную и гексильную группы; предпочтительно это этильная, пропильная, изопропильная, бутильная, изобутильная, втор-бутильная и трет-бутильная группы.

В настоящем изобретении термин «C1-C6 алкоксигруппа» означает линейную или разветвленную алкоксигруппу с 1–6 атомами углерода, включая, в том числе, метоксигруппу, этоксигруппу, пропоксигруппу, изопропоксигруппу и бутоксигруппу.

В настоящем изобретении термин «C2-C6 алкенильная группа» означает линейную или разветвленную алкенильную группу, содержащую двойную связь с 2–6 атомами углерода, включая без ограничений винильную, пропенильную, бутенильную, изобутенильную, пентенильную, гексенильную и другие группы.

В настоящем изобретении термин «C2-C6 алкинильная группа» означает линейную или разветвленную алкинильную группу, содержащую одну тройную связь с 2–6 атомами углерода, включая без ограничений ацетинильную, пропинильную, бутирильную, изобутирильную, пентинильную, гексинильную и другие группы.

В настоящем изобретении термин «C3-C10 циклоалкильная группа» означает циклоалкильную группу с 3–10 атомами углерода в кольце, включая без ограничений циклопропильную, циклобутильную, циклопентильную, циклогексильную, циклогептильную, циклооктильную, циклодецильную и другие группы. Термины «C3-C8 циклоалкильная группа», «C3-C7 циклоалкильная группа»и «C3-C6 циклоалкильная группа» имеют аналогичные значения.

В настоящем изобретении термин «C3-C10 циклоалкенильная группа» означает циклоалкенильную группу с 3–10 атомами углерода в кольце, включая без ограничений циклопропенильную, циклобутенильную, циклопентенильную, циклогексенильную, циклогексенильную, циклооктенильную, циклодецильную группы. Термин «C3-C7 циклоалкенильная группа» имеет аналогичное значение.

В настоящем изобретении термин «C1-C12 алкоксикарбонильная группа» означает алкоксикарбонильную группу с 1–12 атомами углерода в алкильной цепи, включая без ограничений метоксикарбонильную, этоксикарбонильную, пропоксикарбонильную, изопропоксикарбонильную, трет-бутоксикарбонильную и бензилоксикарбонильную группы.

В настоящем изобретении термин «C1-C12 алкаминокарбонильная группа» означает алкаминокарбонильную группу с 1–12 атомами углерода в алкильной цепи, включая без ограничений метиламинокарбонильную, этиламинокарбонильную, пропиламинокарбонильную, изопропиламинокарбонильную, трет-бутиламинокарбонильную, бензиламинокарбонильную и диметиламинокарбонильную группы.

В настоящем изобретении термин «С5-С9 фуранозильная группа» означает фуранозильную группу с 5–9 атомами углерода, где 1 положение гликозильной группы связано с основной цепью, включая без ограничений рибофуранозильную, дезоксирибофуранозильную и галактофуранозильную группы.

В настоящем изобретении термин «С5-С9 пиранозильная группа» означает пиранозильную группу с 5–9 атомами углерода, где 1 положение гликозильной группы связано с основной цепью, включая без ограничений глюкопиранозильную, глюкопирануронильную, рамнопиранозильную, галактопиранозильную, маннопиранозильную и ксилопиранозильную группы.

В настоящем изобретении термины «ароматическое кольцо» или «арильная группа» имеют аналогичное значение, предпочтительно «арильная группа» означает «C6-C12 арильную группу» или «C6-C10 арильную группу». Термин «C6-C12 арильная группа» означает ароматическую циклическую группу с 6–12 атомами углерода без гетероатомов в кольце, например, фенильную, нафтильную и др. группы. Термин «С6-С10 арильная группа» имеет аналогичное значение.

В настоящем изобретении термины «ароматическое гетероциклическое кольцо» или «гетероарильная группа» имеют аналогичное значение, которое относится к гетероароматической группе, содержащей от одного до нескольких гетероатомов. Указанные здесь гетероатомы включают кислород, серу и азот. Например, сюда можно отнести фуранильную, тиофенильную, пиридинильную, пиразолильную, пирролильную, N-алкилпирролильную, пиримидинильную, пиразинильную, имидазолильную, тетразолильную и др. группы. Гетероарильное кольцо может быть конденсировано с арильным кольцом, гетероциклическим кольцом или циклоалкильным кольцом, где кольцо, связанное с исходной структурой, представляет собой гетероарильное кольцо. Гетероарильная группа может быть дополнительно замещенной или незамещенной.

В настоящем изобретении термин «3-12-членная гетероциклильная группа» означает насыщенную или ненасыщенную 3-12-членную циклическую группу, содержащую 1–3 гетероатома, выбранных из атомов кислорода, серы и азота в кольце, например, диоксоланильную группу и т.д. Аналогичное значение имеет термин «3-7-членная гетероциклильная группа».

В настоящем изобретении термин «замещенный» означает, что один или несколько атомов водорода в определенной группе замещены определенными заместителями. Определенный заместитель являются заместителем, описанным в предыдущем абзаце, или заместители, присутствующие в каждом примере. Если не указано иное, замещенная группа может иметь заместитель, выбранный из определенной группы, в любом замещаемом положении группы, при этом заместитель в каждом положении может быть одинаковым или разным. Циклический заместитель, например гетероциклильная группа, может быть присоединен к другому кольцу, например, к циклоалкильному, образуя спиробициклическую систему, например, когда два кольца имеют один общий атом углерода. Специалистам в данной области должно быть понятно, что комбинации заместителей, предусмотренные изобретением, являются такими, которые являются стабильными или которые можно получить путем химического синтеза. Заместителями являются, например (но не ограничиваясь перечисленным), C1-8 алкильная группа, C2-8 алкенильная группа, C2-8 алкинильная группа, C3-8 циклоалкильная группа, 3-12-членная гетероциклильная группа, арильная группа, гетероарильная группа, атом галогена, гидроксильная группа, карбоксигруппа (-COOH), C1-8 альдегидная группа, C2-10 ацильная группа, C2-10 сложноэфирная группа, C1-C12 алкоксикарбонильная группа, аминогруппа, алкоксигруппа, C1-10 сульфонильная группа и др. группы.

Соединение пентациклического тритерпенового C-гликозида

Изобретение относится к производному соединению пентациклического тритерпенового C-гликозида со структурой, показанной в следующей общей формуле I или общей формуле II, либо к его рацематам, R-изомерам, S-изомерам, их фармацевтически приемлемым солям, либо их смесям:

где,

R1, R2 и R3 независимо выбирают из группы, состоящей из водорода и метильной группы; R4 выбирают из группы, состоящей из водорода и изопропенильной группы;

R5 выбирают из группы, состоящей из атома водорода, атома дейтерия, атома трития, атома галогена, цианогруппы, аминогруппы, нитрогруппы, гидроксильной группы, сульфгидрильной группы, альдегидной группы, карбоксильной группы, сульфонильной группы, фосфатной группы, замещенной или незамещенной C1-C6 алкильной группы, замещенной или незамещенной C1-C6 алкоксигруппы, замещенной или незамещенной C6-C10 арильной группы, замещенного или незамещенного 5-7-членного гетероцикла, содержащего 1-3 гетероатома, выбранных из атомов кислорода, серы и азота, замещенной или незамещенной C1-C6 алкилфенильной группы, замещенной или незамещенной C3-C12 циклоалкильной группы, замещенной или незамещенной C2-C10 ацильной группы, замещенной или незамещенной C2-C10 сложноэфирной группы, замещенной или незамещенной C6-C10 арилоксигруппы, замещенной или незамещенной C1-C6 амидогруппы;

R6 выбирают из группы, состоящей из замещенной или незамещенной C5-C9 фуранозильной группы и замещенной или незамещенной C5-C9 пиранозильной группы; термин «замещенный» означает, что один или несколько атомов водорода или гидроксильных групп в гликозильном кольце замещены заместителями, выбранными из группы, состоящей из атома водорода, атома дейтерия, атома трития, атома галогена, цианогруппы, аминогруппы, нитрогруппы, сульфгидрильной группы, альдегидной группы, карбоксильной группы, бензильной группы, замещенной или незамещенной C1-C12 алкоксикарбонильной группы, замещенной или незамещенной C2-C12 алкаминокарбонильной группы, замещенной или незамещенной C2-C10 ацильной группы, сульфонильной группы, фосфорильной группы, C5-C9 фуранозильной группы и C5-C9 пиранозильной группы;

X выбирают из группы, состоящей из -CHR9- и карбонильной группы;

R9 выбирают из группы, состоящей из атома водорода, атома дейтерия, атома трития, атома галогена, цианогруппы, аминогруппы, нитрогруппы, гидроксильной или сульфгидрила;

кольцо А выбирают из группы, состоящей из 6-членного насыщенного карбоциклического кольца или ненасыщенного карбоциклического кольца;

n является 1 или 2.

где,

R1, R2 и R3 независимо выбирают из группы, состоящей из водорода и метильной группы; R4 выбирают из группы, состоящей из водорода и изопропенильной группы;

R7 выбирают из группы, состоящей из замещенной или незамещенной C5-C9 фуранозильной группы и замещенной или незамещенной C5-C9 пиранозильной группы; термин «замещенный» означает, что один или несколько атомов водорода или гидроксильных групп в гликозильном кольце замещены заместителями, выбранными из группы, состоящей из атома водорода, атома дейтерия, атома трития, атома галогена, цианогруппы, аминогруппы, нитрогруппы, сульфгидрильной группы, альдегидной группы, карбоксильной группы, бензильной группы, замещенной или незамещенной C1-C12 алкоксикарбонильной группы, замещенной или незамещенной C2-C12 алкаминокарбонильной группы, замещенной или незамещенной C2-C10 ацильной группы, сульфонильной группы, фосфорильной группы, C5-C9 фуранозильной группы и C5-C9 пиранозильной группы;

Y выбирают из группы, состоящей из -(CH2)mCHR9- и карбонильной группы;

m является 0 или 1;

R9 выбирают из группы, состоящей из атома водорода, атома дейтерия, атома трития, атома галогена, цианогруппы, аминогруппы, нитрогруппы, гидроксильной или сульфгидрила;

Z выбирают из группы, состоящей из карбонильной группы, -CH(R8)2, =N-R8;

R8 выбирают из группы, состоящей из атома водорода, атома дейтерия, атома трития, атома галогена, цианогруппы, аминогруппы, нитрогруппы, гидроксильной группы, сульфгидрильной группы, альдегидной группы, карбоксильной группы, сульфонильной группы, замещенной или незамещенной C1-C6 алкильной группы, замещенной или незамещенной C1-C6 алкоксигруппы, замещенной или незамещенной C6-C10 арильной группы, замещенного или незамещенного 5-7-членного гетероцикла, содержащего 1-3 гетероатома, выбранных из атомов кислорода, серы и азота, замещенной или незамещенной C1-C6 алкилфенильной группы, замещенной или незамещенной C3-C12 циклоалкильной группы, замещенной или незамещенной C2-C10 ацильной группы, замещенной или незамещенной C2-C10 сложноэфирной группы, замещенной или незамещенной C6-C10 арилоксигруппы, замещенной или незамещенной C1-C6 амидогруппы;

кольцо А выбирают из группы, состоящей из 6-членного насыщенного карбоциклического кольца или ненасыщенного карбоциклического кольца;

n является 1 или 2.

В более предпочтительном варианте осуществления изобретения соединения общей формулы I и общей формулы II по изобретению предпочтительно представляют собой следующие конкретные соединения:

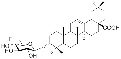
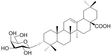
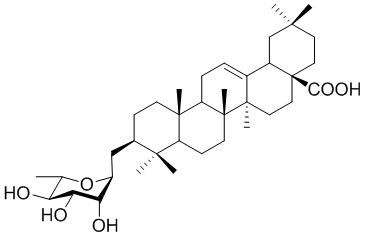
Номер Структура Название A1 (3S,5S,8R,9R,10S,14R,17R,18S)- 28-O-Бензил-олеаноловой кислоты 3-(1'R)-(гидроксил)метил-2'',3'',4'',6''-O-тетрабензил-β-D-глюкопиранозид A2 (3S,5S,8R,9R,10S,14R,17R,18S)- Олеаноловой кислоты 3-(1'R)-(гидроксил)метил-β-D- глюкопиранозид A3 (3R,5S,8R,9R,10S,14R,17R,18S)- 28-O-Бензил-олеаноловой кислоты 3-(1'R)-(гидроксил)метил-2'',3'',4'',6''-O-тетрабензил-β-D-глюкопиранозид A4 (3R,5S,8R,9R,10S,14R,17R,18S)- Олеаноловой кислоты 3-(1'R)-(гидроксил)метил-β-D- глюкопиранозид A5 (3S,5S,8R,9R,10S,14R,17R,18S)- 28-O-Бензил-олеаноловой кислоты 3-метил-2'',3'',4'',6''-O-тетрабензил-β-D-глюкопиранозид A6 (3S,5S,8R,9R,10S,14R,17R,18S)- Олеаноловой кислоты метил-β-D-глюкопиранозид A7 (3R,5S,8R,9R,10S,14R,17R,18S)- 28-O-Бензил-олеаноловой кислоты 3-метил-2'',3'',4'',6''-O-тетрабензил-β-D-глюкопиранозид A8 (3R,5S,8R,9R,10S,14R,17R,18S)- Олеаноловой кислоты 3-метил-β-D-глюкопиранозид A9 (3S,5S,8R,9R,10S,14R,17R,18S)- 28-O-Бензил-олеаноловой кислоты 3-карбонил-2'',3'',4'',6''-O-тетрабензил-β-D-глюкопиранозид A10 (3S,5S,8R,9R,10S,14R,17R,18S)- Олеаноловой кислоты 3-карбонил-β-D-глюкопиранозид A11 (3R,5S,8R,9R,10S,14R,17R,18S)- 28-O-Бензил-олеаноловой кислоты 3-карбонил-2'',3'',4'',6''-O-тетрабензил-β-D-глюкопиранозид A12 (3R,5S,8R,9R,10S,14R,17R,18S)- Олеаноловой кислоты 3-карбонил-β-D-глюкопиранозид A13 (3S,5S,8R,9R,10S,14R,17R,18S)- Олеаноловой кислоты 3-(1'R)-(гидроксил)метил-β-D-галактопиранозид A14 (3R,5S,8R,9R,10S,14R,17R,18S)- Олеаноловой кислоты 3-(1'R)-(гидроксил)метил-β-D-галактопиранозид A15 (3S,5S,8R,9R,10S,14R,17R,18S)- Олеаноловой кислоты 3-метил-β-D-галактопиранозид A16 (3R,5S,8R,9R,10S,14R,17R,18S)- Олеаноловой кислоты 3-метил-β-D-галактопиранозид A17 (3S,5S,8R,9R,10S,14R,17R,18S)- Олеаноловой кислоты 3-карбонил-β-D-галактопиранозид A18 (3R,5S,8R,9R,10S,14R,17R,18S)- Олеаноловой кислоты 3-карбонил-β-D-галактопиранозид A19 (3S,5S,8R,9R,10S,14R,17R,18S)- Олеаноловой кислоты 3-(1'S)-(гидроксил)метил-α-D-маннопиранозид A20 (3R,5S,8R,9R,10S,14R,17R,18S)- Олеаноловой кислоты 3-(1'S)-(гидроксил)метил-α-D-маннопиранозид A21 (3S,5S,8R,9R,10S,14R,17R,18S)- Олеаноловой кислоты 3-метил-α-D-маннопиранозид A22 (3R,5S,8R,9R,10S,14R,17R,18S)- Олеаноловой кислоты 3-метил-α-D-маннопиранозид A23 (3S,5S,8R,9R,10S,14R,17R,18S)- Олеаноловой кислоты 3-карбонил-α-D-маннопиранозид A24 (3R,5S,8R,9R,10S,14R,17R,18S)- Олеаноловой кислоты 3-карбонил-α-D-маннопиранозид A25 (3S,5S,8R,9R,10S,14R,17R,18S)- Олеаноловой кислоты 3-(1'R)-(гидроксил)метил-β-D-глюкуронопиранозид A26 (3R,5S,8R,9R,10S,14R,17R,18S)- Олеаноловой кислоты 3-(1'R)-(гидроксил)метил-β-D-глюкуронопиранозид A27 (3S,5S,8R,9R,10S,14R,17R,18S)- Олеаноловой кислоты 3-метил-β-D-глюкуронопиранозид A28 (3R,5S,8R,9R,10S,14R,17R,18S)- Олеаноловой кислоты 3-метил-β-D-глюкуронопиранозид A29 (3S,5S,8R,9R,10S,14R,17R,18S)- Олеаноловой кислоты 3-карбонил-β-D-глюкуронопиранозид A30 (3R,5S,8R,9R,10S,14R,17R,18S)- Олеаноловой кислоты 3-карбонил-β-D-глюкуронопиранозид A31 (3S,5S,8R,9R,10S,14R,17R,18S)- Олеаноловой кислоты 3-(1'R)-(гидроксил)метил-6''-дезокси-β-D-глюкопиранозид A32 (3R,5S,8R,9R,10S,14R,17R,18S)- Олеаноловой кислоты 3-(1'R)-(гидроксил)метил-6''-дезокси-β-D-глюкопиранозид A33 (3S,5S,8R,9R,10S,14R,17R,18S)- Олеаноловой кислоты 3-метил-6''-дезокси-β-D-глюкопиранозид A34 (3R,5S,8R,9R,10S,14R,17R,18S)- Олеаноловой кислоты 3-метил-6''-дезокси-β-D-глюкопиранозид A35 (3S,5S,8R,9R,10S,14R,17R,18S)- Олеаноловой кислоты 3-карбонил-6''-дезокси-β-D- глюкопиранозид A36 (3R,5S,8R,9R,10S,14R,17R,18S)- Олеаноловой кислоты 3-карбонил-6''-дезокси-β-D- глюкопиранозид A37 (3S,5S,8R,9R,10S,14R,17R,18S)- Олеаноловой кислоты 3-(1'R)-(гидроксил)метил-β-D-ксилопиранозид A38 (3R,5S,8R,9R,10S,14R,17R,18S)- Олеаноловой кислоты 3-(1'R)-(гидроксил)метил-β-D-ксилопиранозид A39 (3S,5S,8R,9R,10S,14R,17R,18S)- Олеаноловой кислоты 3-метил-β-D-ксилопиранозид A40 (3R,5S,8R,9R,10S,14R,17R,18S)- Олеаноловой кислоты 3-метил-β-D-ксилопиранозид A41 (3S,5S,8R,9R,10S,14R,17R,18S)- Олеаноловой кислоты 3-карбонил-β-D-ксилопиранозид A42 (3R,5S,8R,9R,10S,14R,17R,18S)- Олеаноловой кислоты 3-карбонил-β-D-ксилопиранозид A43 (3S,5S,8R,9R,10S,14R,17R,18S)- Олеаноловой кислоты 3-(1'S)-(гидроксил)метил-α-L-рамнопиранозид A44 (3R,5S,8R,9R,10S,14R,17R,18S)- Олеаноловой кислоты 3-(1'S)-(гидроксил)метил-α-L-рамнопиранозид A45 (3S,5S,8R,9R,10S,14R,17R,18S)- Олеаноловой кислоты 3-(1'S)-метил-α-L-рамнопиранозид A46 (3R,5S,8R,9R,10S,14R,17R,18S)- Олеаноловой кислоты 3-(1'S)-метил-α-L-рамнопиранозид A47 (3S,5S,8R,9R,10S,14R,17R,18S)- Олеаноловой кислоты 3-(1'S)-карбонил-α-L-рамнопиранозид A48 (3R,5S,8R,9R,10S,14R,17R,18S)- Олеаноловой кислоты 3-(1'S)-карбонил-α-L-рамнопиранозид A49 (3S,5S,8R,9R,10S,14R,17R,18S)- Олеаноловой кислоты 3-(1'S)-(гидроксил)метил-α-L-фукопиранозид A50 (3R,5S,8R,9R,10S,14R,17R,18S)- Олеаноловой кислоты 3-(1'S)-(гидроксил)метил-α-L-фукопиранозид A51 (3S,5S,8R,9R,10S,14R,17R,18S)- Олеаноловой кислоты 3-(1'S)-метил-α-L-фукопиранозид A52 (3R,5S,8R,9R,10S,14R,17R,18S)- Олеаноловой кислоты 3-(1'S)-метил-α-L-фукопиранозид A53 (3S,5S,8R,9R,10S,14R,17R,18S)- Олеаноловой кислоты 3-(1'S)-карбонил-α-L-фукопиранозид A54 (3R,5S,8R,9R,10S,14R,17R,18S)- Олеаноловой кислоты 3-(1'S)-карбонил-α-L-фукопиранозид A55 (3S,5S,8R,9R,10S,14R,17R,18S)- Олеаноловой кислоты 3-(1'R)-(гидроксил)метил-6''-дезокси-6''-фтор-β-D-глюкопиранозид A56 (3R,5S,8R,9R,10S,14R,17R,18S)- Олеаноловой кислоты 3-(1'R)-(гидроксил)метил-6''-дезокси-6''-фтор-β-D-глюкопиранозид A57 (3S,5S,8R,9R,10S,14R,17R,18S)- Олеаноловой кислоты 3-метил-6''-дезокси-6''-фтор-β-D- глюкопиранозид A58 (3R,5S,8R,9R,10S,14R,17R,18S)- Олеаноловой кислоты 3-метил-6''-дезокси-6''-фтор-β-D- глюкопиранозид A59 (3S,5S,8R,9R,10S,14R,17R,18S)- Олеаноловой кислоты 3-карбонил-6''-дезокси-6''-фтор-β-D-глюкопиранозид A60 (3R,5S,8R,9R,10S,14R,17R,18S)- Олеаноловой кислоты 3-карбонил-6''-дезокси-6''-фтор-β-D-глюкопиранозид A61 (3S,5S,8R,9R,10S,14R,17R,18S)- Олеаноловой кислоты 3-(1'R)-(гидроксил)метил-β-D-ксилопиранозил(1→3)-β-D-глюкуронопиранозид A62 (3R,5S,8R,9R,10S,14R,17R,18S)- Олеаноловой кислоты 3-(1'R)-(гидроксил)метил-β-D-ксилопиранозил(1→3)-β-D-глюкуронопиранозид A63 (3S,5S,8R,9R,10S,14R,17R,18S)- Олеаноловой кислоты 3-метил-β-D-ксилопиранозил(1→3)-β-D-глюкуронопиранозид A64 (3R,5S,8R,9R,10S,14R,17R,18S)- Олеаноловой кислоты 3-метил-β-D-ксилопиранозил(1→3)-β-D-глюкуронопиранозид A65 (3S,5S,8R,9R,10S,14R,17R,18S)- Олеаноловой кислоты 3-карбонил-β-D-ксилопиранозил(1→3)-β-D-глюкуронопиранозид A66 (3R,5S,8R,9R,10S,14R,17R,18S)- Олеаноловой кислоты 3-карбонил-β-D-ксилопиранозил(1→3)-β-D-глюкуронопиранозид A67 (3S,5S,8R,9R,10S,14R,17R,18S,19S,20R)-Урсоловой кислоты 3-(1'R)-(гидроксил)метил-β-D-глюкуронопиранозид A68 (3R,5S,8R,9R,10S,14R,17R,18S,19S,20R)-Урсоловой кислоты 3-(1'R)-(гидроксил)метил-β-D-глюкуронопиранозид A69 (3S,5S,8R,9R,10S,14R,17R,18S,19S,20R)-Урсоловой кислоты 3-метил-β-D-глюкуронопиранозид A70 (3R,5S,8R,9R,10S,14R,17R,18S,19S,20R)-Урсоловой кислоты 3-метил-β-D-глюкуронопиранозид A71 (3S,5S,8R,9R,10S,14R,17R,18S,19S,20R)-Урсоловой кислоты 3-карбонил-β-D-глюкуронопиранозид A72 (3R,5S,8R,9R,10S,14R,17R,18S,19S,20R)-Урсоловой кислоты 3-карбонил-β-D-глюкуронопиранозид A73 (3S,5S,8R,9R,10S,13R,14R,17S,18R,19R)-Бетулиновой кислоты 3-(1'R)-(гидроксил)метил-β-D-глюкуронопиранозид A74 (3S,5S,8R,9R,10S,13R,14R,17S,18R,19R)-Бетулиновой кислоты 3-(1'R)-(гидроксил)метил-β-D-глюкуронопиранозид A75 (3S,5S,8R,9R,10S,13R,14R,17S,18R,19R)-Бетулиновой кислоты 3-метил-β-D-глюкуронопиранозид A76 (3S,5S,8R,9R,10S,13R,14R,17S,18R,19R)-Бетулиновой кислоты 3-метил-β-D-глюкуронопиранозид A77 (3S,5S,8R,9R,10S,13R,14R,17S,18R,19R)-Бетулиновой кислоты 3-карбонил-β-D-глюкуронопиранозид A78 (3S,5S,8R,9R,10S,13R,14R,17S,18R,19R)-Бетулиновой кислоты 3-карбонил-β-D-глюкуронопиранозид A79 (5S,8R,9R,10S,14R,17R,18S)- 3-Карбонил-олеаноловой кислоты 28-β-D-глюкуронопиранозид A80 (5S,8R,9R,10S,14R,17R,18S)- 3-Карбонил-олеаноловой кислоты 17-(1'R)-(гидроксил)метил-β-D-глюкуронопиранозид A81 (5S,8R,9R,10S,14R,17R,18S)- 3-Карбонил-олеаноловой кислоты 17-метил-β-D-глюкуронопиранозид A82 (5S,8R,9R,10S,14R,17R,18S19S,20R)-3-Карбонилурсоловой кислоты 28-β-D-глюкуронопиранозид A83 (5S,8R,9R,10S,14R,17R,18S19S,20R)-3-Карбонилурсоловой кислоты 17-(1'R)-(гидроксил)метил-β-D-глюкуронопиранозид A84 (5S,8R,9R,10S,14R,17R,18S,19S,20R)-3-Карбонилурсоловой кислоты 17-метил-β-D-глюкуронопиранозид A85 (5S,8R,9R,10S,13R,14R,17S,18R,19R)-3-Карбонилбетулиновой кислоты 28-β-D-глюкуронопиранозид A86 (5S,8R,9R,10S,13R,14R,17S,18R,19R)-3-Карбонилбетулиновой кислоты 17-(1'R)-(гидроксил)метил-β-D-глюкуронопиранозид A87 (5S,8R,9R,10S,13R,14R,17S,18R,19R)-3-Карбонилбетулиновой кислоты 17-метил-β-D-глюкуронопиранозид A88 (3S,5S,8R,9R,10S,14R,17R,18S)- 28-O-Этил-олеаноловой кислоты 3-(1'R)-(гидроксил)метил-β-D-глюкуронопиранозид A89 (3S,5S,8R,9R,10S,14R,17R,18S)- 28-O-Аллил-олеаноловой кислоты 3-(1'R)-(гидроксил)метил-β-D-глюкуронопиранозид A90 (3S,5S,8R,9R,10S,14R,17R,18S)- 28-O-(O-Этил)карбоксиметил-олеаноловой кислоты 3-(1'R)-(гидроксил)метил-β-D-глюкуронопиранозид A91 (3S,5S,8R,9R,10S,14R,17R,18S)- 28-O-Ацетоксиолеаноловой кислоты 3-(1'R)-(гидроксил)метил-β-D-глюкуронопиранозид A92 (3S,5S,8R,9R,10S,14R,17R,18S)- 28-O-Гидроксиэтил-олеаноловой кислоты 3-(1'R)-(гидроксил)метил-β-D-глюкуронопиранозид A93 (3S,5S,8R,9R,10S,14R,17R,18S)- 28-O-(N-Метил)аминоэтил-олеаноловой кислоты 3-(1'R)-(гидроксил)метил-β-D-глюкуронопиранозид A94 (3S,5S,8R,9R,10S,14R,17R,18S)- 28-O-(N,N-Диэтил)аминоэтил-олеаноловой кислоты 3-(1'R)-(гидроксил)метил-β-D-глюкуронопиранозид A95 (3S,5S,8R,9R,10S,14R,17R,18S)- 28-O-Гидроксилбут-2'''-инил-олеаноловой кислоты 3-(1'R)-(гидроксил)метил-β-D-глюкуронопиранозид A96 (3S,5S,8R,9R,10S,14R,17R,18S)- 28-O-Циклогексил-олеаноловой кислоты 3-(1'R)-(гидроксил)метил-β-D-глюкуронопиранозид A97 (3S,5S,8R,9R,10S,14R,17R,18S)- 28-(O-Метил)карбоксиметиламиноолеаноловой кислоты 3-(1'R)-(гидроксил)метил-β-D-глюкуронопиранозид A98 (3S,5S,8R,9R,10S,14R,17R,18S)- 28-Карбоксиметиламиноолеаноловой кислоты 3-(1'R)-(гидроксил)метил-β-D-глюкуронопиранозид A99 (3S,5S,8R,9R,10S,14R,17R,18S)- 28-(N,N-Диэтил)аминопропиламиноолеаноловой кислоты 3-(1'R)-(гидроксил)метил-β-D-глюкуронопиранозид A100 (3S,5S,8R,9R,10S,14R,17R,18S)- 28-(N-Ацетил)аминопропиламиноолеаноловой кислоты 3-(1'R)-(гидроксил)метил-β-D-глюкуронопиранозид A101 (3S,5S,8R,9R,10S,14R,17R,18S)- 28-(N,N-Диэтил)аминогексиламиноолеаноловой кислоты 3-(1'R)-(гидроксил)метил-β-D-глюкуронопиранозид A102 (3S,5S,8R,9R,10S,14R,17R,18S)- 28-(N-Ацетил)аминогексиламиноолеаноловой кислоты 3-(1'R)-(гидроксил)метил-β-D-глюкуронопиранозид A103 (3S,5S,8R,9R,10S,14R,17R,18S)- 28-(N-Этил)аминогексиламиноолеаноловой кислоты 3-(1'R)-(гидроксил)метил-β-D-глюкуронопиранозид A104 (3S,5S,8R,9R,10S,14R,17R,18S)- 28-O-(Пиразол-1''-ил)метил-олеаноловой кислоты 3-(1'R)-(гидроксил)метил-β-D-глюкуронопиранозид A105 (3S,5S,8R,9R,10S,14R,17R,18S)- 28-O-(Пиперидин-1''-ил)метил-олеаноловой кислоты 3-(1'R)-(гидроксил)метил-β-D-глюкуронопиранозид A106 (3S,5S,8R,9R,10S,14R,17R,18S)- 28-O-(Морфолин-4''-ил)метил-олеаноловой кислоты 3-(1'R)-(гидроксил)метил-β-D-глюкуронопиранозид A107 (3S,5S,8R,9R,10S,14R,17R,18S)- Олеаноловой кислоты 3-(1'R)-фторметил-β-D-глюкуронопиранозид A108 (3S,5S,8R,9R,10S,14R,17R,18S)- Олеаноловой кислоты 3-(1'R)-(гидроксил)метил-28-(1''R)-(гидроксил)метил-β-D-диглюкуронопиранозид A109 (3S,5S,8R,9R,10S,14R,17R,18S)- Олеаноловой кислоты 3-(1'R)-(гидроксил)метил-6''-O-метил-β-D-глюкуронопиранозид A110 (3S,5S,8R,9R,10S,14R,17R,18S)- Олеаноловой кислоты 3-(1'R)-(гидроксил)метил-6''-O-н-бутил-β-D-глюкуронопиранозид A111 (3S,5S,8R,9R,10S,14R,17R,18S)- Олеаноловой кислоты 3-(1'R)-(гидроксил)метил-6''-O-изобутил-β-D-глюкуронопиранозид A112 (3S,5S,8R,9R,10S,14R,17R,18S)- Олеаноловой кислоты 3-(1'R)-(гидроксил)метил-6''-O-бензил-β-D-глюкуронопиранозид A113 (3S,5S,8R,9R,10S,14R,17R,18S)- Олеаноловой кислоты 3-(1'R)-(гидроксил)метил-6''-O-(1-фторацетил)-β-D-глюкуронопиранозид A114 (3S,5S,8R,9R,10S,14R,17R,18S)- Олеаноловой кислоты 3-(1'R)-(гидроксил)метил-6''-метиламино-β-D-глюкуронопиранозид A115 (3S,5S,8R,9R,10S,14R,17R,18S)- Олеаноловой кислоты 3-(1'R)-(гидроксил)метил-6''-н-бутиламино-β-D-глюкуронопиранозид A116 (3S,5S,8R,9R,10S,14R,17R,18S)- Олеаноловой кислоты 3-(1'R)-(гидроксил)метил-6''-изобутиламино-β-D-глюкуронопиранозид A117 (3S,5S,8R,9R,10S,14R,17R,18S)- Олеаноловой кислоты 3-(1'R)-(гидроксил)метил-6''-бензиламино-β-D-глюкуронопиранозид A118 (3S,5S,8R,9R,10S,14R,17R,18S)- Олеаноловой кислоты 3-(1'R)-(гидроксил)метил-6''-диметиламино-β-D-глюкуронопиранозид A119 (3S,5S,8R,9R,10S,14R,17R,18S)- Олеаноловой кислоты 3-(1'R)-(гидроксил)метил-6''-(1-фторэтиламино)-β-D-глюкуронопиранозид A120 (3S,5S,8R,9R,10S,14R,17R,18S)- Олеаноловой кислоты 3-(1'R)-(гидроксил)метил-5''-циано-β-D-ксилопиранозид A121 (5S,8R,9R,10S,14R,17R,18S)- 3-Карбонил-олеаноловой кислоты 17-(1'S)-(гидроксил)метил-β-D-маннопиранозид A122 (3S,5S,8R,9R,10S,14R,17R,18S)- Олеаноловой кислоты 17-(1'S)-(гидроксил)метил-β-D-маннопиранозид A123 (3S,5S,8R,9R,10S,14R,17R,18S)- 3-Метоксиолеаноловой кислоты 17-(1'S)-(гидроксил)метил-β-D-маннопиранозид A124 (3S,5S,8R,9R,10S,14R,17R,18S)- 3-(4-фторциклогексокси)олеаноловой кислоты 17-(1'S)-(гидроксил)метил-β-D-маннопиранозид A125 (3S,5S,8R,9R,10S,14R,17R,18S)- 3-Ацетоксиолеаноловой кислоты 17-(1'S)-(гидроксил)метил-β-D-маннопиранозид A126 (3S,5S,8R,9R,10S,14R,17R,18S)- 3-Фторацетоксиолеаноловой кислоты 17-(1'S)-(гидроксил)метил-β-D-маннопиранозид A127 (3S,5S,8R,9R,10S,14R,17R,18S)- 3-(4-фторфенилацетокси)олеаноловой кислоты 17-(1'S)-(гидроксил)метил-β-D-маннопиранозид A128 (3S,5S,8R,9R,10S,14R,17R,18S)- 3-(4-Трифторметилфенилсульфонилокси)олеаноловой кислоты 17-(1'S)-(гидроксил)метил-β-D-маннопиранозид A129 (3S,5S,8R,9R,10S,14R,17R,18S)- 3-(2,3,5,6-Тетрафторбензамид)олеаноловой кислоты 17-(1'S)-(гидроксил)метил-β-D-маннопиранозид A130 (3S,5S,8R,9R,10S,14R,17R,18S)- 3-(4-Трифторметилбензолсульфонамидо)олеаноловой кислоты 17-(1'S)-(гидроксил)метил-β-D-маннопиранозид A131 (5S,8R,9R,10S,14R,17R,18S)- 3-Оксимидоолеаноловой кислоты 17-(1'S)-(гидроксил)метил-β-D-маннопиранозид A132 (5S,8R,9R,10S,14R,17R,18S)- 3-Метилгидразинилиденолеаноловой кислоты 17-(1'S)-(гидроксил)метил-β-D-маннопиранозид A133 (5S,8R,9R,10S,14R,17R,18S)- 3-Фенилгидразинилиденолеаноловой кислоты 17-(1'S)-(гидроксил)метил-β-D-маннопиранозид A134 (3S,5S,8R,9R,10S,14R,17R,18S)- 3-(4-Фторфенилуреидо)олеаноловой кислоты 17-(1'S)-(гидроксил)метил-β-D-маннопиранозид A135 (3S,5S,8R,9R,10S,14R,17R,18S)- 3-(4-Фторфенилтиоуреидо)олеаноловой кислоты 17-(1'S)-(гидроксил)метил-β-D-маннопиранозид A136 (3S,5S,8R,9R,10S,14R,17R,18S)- 3-Формил-олеаноловой кислоты 17-(1'S)-(гидроксил)метил-β-D-маннопиранозид A137 (3S,5S,8R,9R,10S,14R,17R,18S)- 3-(3-Фторциклобутилтио)олеаноловой кислоты 17-(1'S)-(гидроксил)метил-β-D-маннопиранозид A138 (3S,5S,8R,9R,10S,14R,17R,18S)- 3-Фенилтиоолеаноловой кислоты 17-(1'S)-(гидроксил)метил-β-D-маннопиранозид A139 (5S,8R,9R,10S,14R,17R,18S)- 3-Карбонил-олеаноловой кислоты 28-β-D-маннопиранозид A140 (5S,8R,9R,10S,14R,17R,18S)- 3-Карбонил-олеаноловой кислоты 17-(1'S)-фторметил-β-D-маннопиранозид A141 (5S,8R,9R,10S,14R,17R,18S)- 3-Карбонил-олеаноловой кислоты 17-метил-β-D-маннопиранозид A142 (5S,8R,9R,10S,14R,17R,18S)- 3-Карбонил-олеаноловой кислоты 17-(1'S)-(гидроксил)метил-2'',3'',4'',6''-O-тетраацетил-β-D-маннопиранозид A143 (3S,5S,8R,9R,10S,14R,17R,18S)- Олеаноловой кислоты 17-(1'S)-(гидроксил)метил-2'',3'',4'',6''-O-тетраацетил-β-D-маннопиранозид A144 (5S,8R,9R,10S,14R,17R,18S)- 3-Карбонил-олеаноловой кислоты 17-метил-2'',3'',4'',6''-O-тетраацетил-β-D-маннопиранозид A145 (5S,8R,9R,10S,14R,17R,18S)- 3-Карбонил-олеаноловой кислоты 17-(2'S)-(гидроксил)этил-β-D-маннопиранозид A146 (5S,8R,9R,10S,14R,17R,18S)- 3-Карбонил-олеаноловой кислоты 17-(2'S)-(гидроксил)этил-2'',3'',4'',6''-O-Тетраацетил-β-D-маннопиранозид A147 (5S,8R,9R,10S,14R,17R,18S)- 3-Карбонилурсоловой кислоты 17-(2'S)-(гидроксил)этил-2'',3'',4'',6''-O-тетраацетил-β-D-маннопиранозид A148 (5S,8R,9R,10S,14R,17R,18S)- 3-Карбонилбетулиновой кислоты 17-(2'S)-(гидроксил)этил-2'',3'',4'',6''-O-тетраацетил-β-D-маннопиранозид A149 (5S,8R,9R,10S,14R,17R,18S)- 3-Карбонил-олеаноловой кислоты 17-(1'R)-(гидроксил)метил-β-D-ксилопиранозид A150 (5S,8R,9R,10S,14R,17R,18S)- 3-Карбонил-олеаноловой кислоты 17метил-β-D-ксилопиранозид A151 (3S,5S,8R,9R,10S,14R,17R,18S)- Олеаноловой кислоты 17-(1'R)-(гидроксил)метил-β-D-ксилопиранозид A152 (5S,8R,9R,10S,14R,17R,18S)- 3-Карбонил-олеаноловой кислоты 17-(1'R)-(гидроксил)метил-2'',3'',4''-O-триацетил-β-D-ксилопиранозид A153 (5S,8R,9R,10S,14R,17R,18S)- 3-Карбонил-олеаноловой кислоты 17-метил-2'',3'',4''-O-триацетил-β-D-ксилопиранозид A154 (5S,8R,9R,10S,14R,17R,18S)- 3-Карбонил-олеаноловой кислоты 17-(2'R)-(гидроксил)этил-2'',3'',4''-O-триацетил-β-D-ксилопиранозид A155 (5S,8R,9R,10S,14R,17R,18S)- 3-Карбонилурсоловой кислоты 17-(2'R)-(гидроксил)этил-2'',3'',4''-O-триацетил-β-D-ксилопиранозид A156 (5S,8R,9R,10S,14R,17R,18S)- 3-Карбонилбетулиновой кислоты 17-(2'R)-(гидроксил)этил-2'',3'',4''-O-триацетил-β-D-ксилопиранозид A157 (5S,8R,9R,10S,14R,17R,18S)- 3-Карбонил-олеаноловой кислоты 17-(1'R)-(гидроксил)метил-β-D-галактопиранозид A158 (5S,8R,9R,10S,14R,17R,18S)- 3-Карбонил-олеаноловой кислоты 17-метил-β-D-галактопиранозид A159 (3S,5S,8R,9R,10S,14R,17R,18S)- Олеаноловой кислоты 17-(1'R)-(гидроксил)метил-β-D-галактопиранозид A160 (5S,8R,9R,10S,14R,17R,18S)- 3-Карбонил-олеаноловой кислоты 17-(1'R)-(гидроксил)метил-2'',3'',4'',6''-O-тетраацетил-β-D-галактопиранозид A161 (5S,8R,9R,10S,14R,17R,18S)- 3-Карбонил-олеаноловой кислоты 17-метил-2'',3'',4'',6''-O-тетраацетил-β-D-галактопиранозид A162 (5S,8R,9R,10S,14R,17R,18S)- 3-Карбонил-олеаноловой кислоты 17-(2'R)-(гидроксил)этил-β-D-галактопиранозид A163 (5S,8R,9R,10S,14R,17R,18S)- 3-Карбонил-олеаноловой кислоты 17-(2'R)-(гидроксил)этил-2'',3'',4'',6''-O-тетраацетил-β-D-галактопиранозид A164 (5S,8R,9R,10S,14R,17R,18S)- 3-Карбонилурсоловой кислоты 17-(2'R)-(гидроксил)этил-2'',3'',4'',6''-O-тетраацетил-β-D-галактопиранозид A165 (5S,8R,9R,10S,14R,17R,18S)- 3-Карбонилбетулиновой кислоты 17-(2'R)-(гидроксил)этил-2'',3'',4'',6''-O-тетраацетил-β-D-галактопиранозид A166 (5S,8R,9R,10S,14R,17R,18S)- 3-Карбонил-олеаноловой кислоты 17-(1'R)-(гидроксил)метил-α-L-рамнопиранозид A167 (5S,8R,9R,10S,14R,17R,18S)- 3-Карбонил-олеаноловой кислоты 17-метил-α-L-рамнопиранозид A168 (3S,5S,8R,9R,10S,14R,17R,18S)- Олеаноловой кислоты 17-(1'R)-(гидроксил)метил-α-L-рамнопиранозид A169 (5S,8R,9R,10S,14R,17R,18S)- 3-Карбонил-олеаноловой кислоты 17-(1'R)-(гидроксил)метил-2'',3'',4''-O-триацетил-α-L-рамнопиранозид A170 (5S,8R,9R,10S,14R,17R,18S)- 3-Карбонил-олеаноловой кислоты 17-метил-2'',3'',4''-O-триацетил-α-L-рамнопиранозид A171 (5S,8R,9R,10S,14R,17R,18S)- 3-Карбонил-олеаноловой кислоты 17-(2'R)-(гидроксил)этил-α-L-рамнопиранозид A172 (5S,8R,9R,10S,14R,17R,18S)- 3-Карбонил-олеаноловой кислоты 17-(2'R)-(гидроксил)этил-2'',3'',4''-O-триацетил-α-L-рамнопиранозид A173 (5S,8R,9R,10S,14R,17R,18S)- 3-Карбонилурсоловой кислоты 17-(2'R)-(гидроксил)этил-2'',3'',4''-O-триацетил-α-L-рамнопиранозид A174 (5S,8R,9R,10S,14R,17R,18S)- 3-Карбонилбетулиновой кислоты 17-(2'R)-(гидроксил)этил-2'',3'',4''-O-триацетил-α-L-рамнопиранозид A175 (3S,5S,8R,9R,10S,14R,17R,18S)- Олеаноловой кислоты 17-(1'R)-(гидроксил)метил-β-D-глюкуронопиранозид A176 (5S,8R,9R,10S,14R,17R,18S)- 3-Карбонил-олеаноловой кислоты 17-карбонил-2'',3'',4''-O-триацетил-β-D-глюкуронопиранозид A177 (5S,8R,9R,10S,14R,17R,18S)- 3-Карбонил-олеаноловой кислоты 17-(1'R)-(гидроксил)метил-2'',3'',4''-O-триацетил-β-D-глюкуронопиранозид A178 (5S,8R,9R,10S,14R,17R,18S)- 3-Карбонил-олеаноловой кислоты 17-метил-2'',3'',4''-O-триацетил-β-D-глюкуронопиранозид A179 (5S,8R,9R,10S,14R,17R,18S)- 3-Карбонил-олеаноловой кислоты 17-(2'R)-(гидроксил)этил-β-D-глюкуронопиранозид A180 (5S,8R,9R,10S,14R,17R,18S)- 3-Карбонил-олеаноловой кислоты 17-(2'R)-(гидроксил)этил-2'',3'',4''-O-триацетил-β-D-глюкуронопиранозид A181 (5S,8R,9R,10S,14R,17R,18S)- 3-Карбонилурсоловой кислоты 17-(2'R)-(гидроксил)этил-2'',3'',4''-O-триацетил-β-D-глюкуронопиранозид A182 (5S,8R,9R,10S,14R,17R,18S)- 3-Карбонилбетулиновой кислоты 17-(2'R)-(гидроксил)этил-2'',3'',4''-O-триацетил-β-D-глюкуронопиранозид A183 (5S,8R,9R,10S,14R,17R,18S)- 3-Карбонил-олеаноловой кислоты 17-(1'R)-(гидроксил)метил-6''-дезокси-6''-фтор-β-D-глюкопиранозид A184 (5S,8R,9R,10S,14R,17R,18S)- 3-Карбонил-олеаноловой кислоты 17метил-6''-дезокси-6''-фтор-β-D- глюкопиранозид A185 (3S,5S,8R,9R,10S,14R,17R,18S)- Олеаноловой кислоты 17-(1'R)-(гидроксил)метил-6''-дезокси-6''-фтор-β-D- глюкопиранозид A186 (5S,8R,9R,10S,14R,17R,18S)- 3-Карбонил-олеаноловой кислоты 17-(1'R)-(гидроксил)метил-2'',3'',4''-O-триацетил-6''-дезокси-6''-фтор-β-D-глюкопиранозид A187 (5S,8R,9R,10S,14R,17R,18S)- 3-Карбонил-олеаноловой кислоты 17-метил-2'',3'',4''-O-триацетил-6''-дезокси-6''-фтор-β-D- глюкопиранозид A188 (5S,8R,9R,10S,14R,17R,18S)- 3-Карбонил-олеаноловой кислоты 17-(2'R)-(гидроксил)этил-6''-дезокси-6''-фтор-β-D-глюкопиранозид A189 (5S,8R,9R,10S,14R,17R,18S)- 3-Карбонил-олеаноловой кислоты 17-(2'R)-(гидроксил)этил-2'',3'',4''-O-триацетил-6''-дезокси-6''-фтор-β-D-глюкопиранозид A190 (5S,8R,9R,10S,14R,17R,18S)- 3-Карбонилурсоловой кислоты 17-(2'R)-(гидроксил)этил-2'',3'',4''-O-триацетил-6''-дезокси-6''-фтор-β-D-глюкопиранозид A191 (5S,8R,9R,10S,14R,17R,18S)- 3-Карбонилбетулиновой кислоты 17-(2'R)-(гидроксил)этил-2'',3'',4''-O-триацетил-6''-дезокси-6''-фтор-β-D-глюкопиранозид A192 (5S,8R,9R,10S,14R,17R,18S)- 3-Карбонил-олеаноловой кислоты 17-(1'R)-(гидроксил)метил-β-D- глюкопиранозид A193 (5S,8R,9R,10S,14R,17R,18S)- 3-Карбонил-олеаноловой кислоты 17метил-β-D-глюкопиранозид A194 (3S,5S,8R,9R,10S,14R,17R,18S)- Олеаноловой кислоты 17-(1'R)-(гидроксил)метил-β-D- глюкопиранозид A195 (5S,8R,9R,10S,14R,17R,18S)- 3-Карбонил-олеаноловой кислоты 17-(1'R)-(гидроксил)метил-2'',3'',4'',6''-O-тетраацетил-β-D-глюкопиранозид A196 (5S,8R,9R,10S,14R,17R,18S)- 3-Карбонил-олеаноловой кислоты 17-метил-2'',3'',4'',6''-O-тетраацетил-β-D-глюкопиранозид A197 (5S,8R,9R,10S,14R,17R,18S)- 3-Карбонил-олеаноловой кислоты 17-(2'R)-(гидроксил)этил-β-D- глюкопиранозид A198 (5S,8R,9R,10S,14R,17R,18S)- 3-Карбонил-олеаноловой кислоты 17-(2'R)-(гидроксил)этил-2'',3'',4'',6''-O-тетраацетил-β-D-глюкопиранозид A199 (5S,8R,9R,10S,14R,17R,18S)- 3-Карбонилурсоловой кислоты 17-(2'R)-(гидроксил)этил-2'',3'',4'',6''-O-тетраацетил-β-D-глюкопиранозид A200 (5S,8R,9R,10S,14R,17R,18S)- 3-Карбонилбетулиновой кислоты 17-(2'R)-(гидроксил)этил-2'',3'',4'',6''-O-тетраацетил-β-D-глюкопиранозид A201 (5S,8R,9R,10S,14R,17R,18S)- 3-Карбонил-олеаноловой кислоты 28-β-D-глюкопиранозид A202 (5S,8R,9R,10S,14R,17R,18S)- 3-Карбонилурсоловой кислоты 28-β-D-глюкопиранозид A203 (5S,8R,9R,10S,14R,17R,18S)- 3-Карбонилурсоловой кислоты 17-(1'R)-(гидроксил)метил-β-D- глюкопиранозид A204 (3S,5S,8R,9R,10S,14R,17R,18S)- Урсоловой кислоты 17-(1'R)-(гидроксил)метил-β-D- глюкопиранозид A205 (3S,5S,8R,9R,10S,14R,17R,18S)- Урсоловой кислоты 28-β-D-глюкопиранозид A206 (3S,5S,8R,9R,10S,14R,17R,18S)- Олеаноловой кислоты 28-β-D-глюкопиранозид A207 (3S,5S,8R,9R,10S,13R,14R,17S,18R,19R)-Бетулиновой кислоты 28-β-D-глюкопиранозид A208 (3S,5S,8R,9R,10S,13R,14R,17S,18R,19R)-Бетулиновой кислоты 17-(1'R)-(гидроксил)метил-β-D- глюкопиранозид A209 (5S,8R,9R,10S,13R,14R,17S,18R,19R)-3-Карбонилбетулиновой кислоты 17-(1'R)-(гидроксил)метил-β-D- глюкопиранозид A210 (5S,8R,9R,10S,13R,14R,17S,18R,19R)-3-Карбонилбетулиновой кислоты 28-β-D-глюкопиранозид A211 (5S,8R,9R,10S,13R,14R,17S,18R,19R)-3-Карбонилбетулиновой кислоты 17-метил-β-D-глюкопиранозид A212 (5S,8R,9R,10S,14R,17R,18S)- 3-Карбонилурсоловой кислоты 17-метил-β-D-глюкопиранозид A213 (3S,5S,8R,9R,10S,14R,17R,18S)- Олеаноловой кислоты 17-метил-β-D-глюкопиранозид A214 (3S,5S,8R,9R,10S,14R,17R,18S)- 3-Карбонилурсоловой кислоты 17-метил-β-D-глюкопиранозид A215 (3S,5S,8R,9R,10S,13R,14R,17S,18R,19R)-Бетулиновой кислоты 17-метил-β-D-глюкопиранозид A216 (3R,5S,8R,9R,10S,14R,17R,18S)- Олеаноловой кислоты 28-β-D-глюкопиранозид A217 (3R,5S,8R,9R,10S,14R,17R,18S)- Олеаноловой кислоты 17-(1'R)-(гидроксил)метил-β-D- глюкопиранозид A218 (3R,5S,8R,9R,10S,14R,17R,18S)- Урсоловой кислоты 17-(1'R)-(гидроксил)метил-β-D- глюкопиранозид A219 (3R,5S,8R,9R,10S,14R,17R,18S)- Урсоловой кислоты 28-β-D-глюкопиранозид A220 (5S,8R,9R,10S,14R,17R,18S)- 3-Карбонил-олеаноловой кислоты 28-6''-O-метил-β-D-глюкуронопиранозид A221 (5S,8R,9R,10S,14R,17R,18S)- 3-Карбонил-олеаноловой кислоты 28-6''-O-этил-β-D-глюкуронопиранозид A222 (5S,8R,9R,10S,14R,17R,18S)- 3-Карбонил-олеаноловой кислоты 28-6''-O-2'''-фторэтил-β-D-глюкуронопиранозид A223 (5S,8R,9R,10S,14R,17R,18S)- 3-Карбонил-олеаноловой кислоты 17-(1'R)-(гидроксил)метил-6''-O-метил-β-D-глюкуронопиранозид A224 (5S,8R,9R,10S,14R,17R,18S)- 3-Карбонилурсоловой кислоты 28-6''-O-метил-β-D-глюкуронопиранозид A225 (3S,5S,8R,9R,10S,13R,14R,17S,18R,19R)-Бетулиновой кислоты 28-6''-O-метил-β-D-глюкуронопиранозид A226 (5S,8R,9R,10S,14R,17R,18S)- 3-Карбонилбетулиновой кислоты 17-(1'R)-(гидроксил)метил-6''-O-метил-β-D-глюкуронопиранозид A227 (5S,8R,9R,10S,14R,17R,18S)- 3-Карбонил-олеаноловой кислоты 28-6''-O-изопропил-β-D-глюкуронопиранозид A228 (5S,8R,9R,10S,14R,17R,18S)- 3-Карбонил-олеаноловой кислоты 28-6''-O-циклопропилметил-β-D-глюкуронопиранозид A229 (5S,8R,9R,10S,14R,17R,18S)- 3-Карбонил-олеаноловой кислоты 28-6''-N-этил-β-D-глюкуронопиранозид A230 (5S,8R,9R,10S,14R,17R,18S)- 3-Карбонил-олеаноловой кислоты 28-6''-N-2'''-фторэтил-β-D-глюкуронопиранозид

.

Действующее вещество

Соединения по изобретению могут быть производными акриловой кислоты со структурой, показанной в следующей общей формуле I, или их рацематами, R-изомерами, S-изомерами, их фармацевтически приемлемыми солями, либо их смесями:

Общая формула I

Определение каждой группы соответствует приведенному выше.

Соединения по изобретению имеют асимметричный центр, хиральную ось и хиральную плоскость и могут быть в форме рацемата, R-изомера или S-изомера. Специалисты в данной области могут получить R-изомер и/или S-изомер из рацемата обычными техническими средствами.

В настоящем изобретении представлены фармацевтические соли соединений общей формулы I и общей формулы II, в частности, обычные фармацевтические соли, получаемые путем взаимодействия соединений общей формулы I и общей формулы II с неорганическими или органическими кислотами. Например, обычные фармацевтические соли могут быть получены путем реакции соединений общей формулы I и общей формулы II с неорганическими или органическими кислотами. Неорганические кислоты включают хлористоводородную кислоту, бромистоводородную кислоту, серную кислоту, азотную кислоту, сульфаминовую кислоту и фосфорную кислоту и т.д., а органические кислоты включают лимонную кислоту, винную кислоту, молочную кислоту, пировиноградную кислоту, уксусную кислоту, бензолсульфоновую кислоту, п-толуолсульфоновую кислоту, метансульфоновую кислоту, нафталинсульфоновую кислоту, этансульфоновую кислоту, нафталиндисульфоновую кислоту, малеиновую кислоту, яблочную кислоту, малоновую кислоту, фумаровую кислоту, янтарную кислоту, пропионовую кислоту, щавелевую кислоту, трифторуксусную кислоту, стеариновую кислоту, памовую кислоту, гидроксималеиновую кислоту, фенилуксусную кислоту, бензойную кислоту, салициловую кислоту, глутаминовую кислоту, аскорбиновую кислоту, п-аминобензолсульфоновую кислоту, 2-ацетоксибензойную кислоту и гидроксиэтансульфоновую кислоту и т.д.; либо соли натрия, калия, кальция, алюминия или аммония, образованные соединениями общей формулы I и общей формулы II и неорганическими основаниями; или соли метиламина, этиламина или этаноламина, образованные соединениями общей формулы I и общей формулы II и органическими основаниями.

Способ получения

С другой стороны, изобретение предоставляет способ получения соединений, представленных общей формулой I и общей формулой II, при этом их получение происходит по следующей схеме 1 или схеме 2.

Соединение формулы I может быть получено способом, показанным на схеме 1 ниже.

Структурная формула и обозначение группы R, указанные в следующей схеме, используются только в этой части. Соединения формулы (IIa), формулы (VII) и формулы (IIIa) могут быть коммерчески доступными соединениями, либо они могут быть синтезированы с использованием методов, обычно используемых в данной области.

Схема 1:

Определение каждой группы соответствует приведенному выше.

Стадия а: добавление соединения VII и соединения IIa к 0,1 моль/л раствора самария дийодида в бидистиллированном тетрагидрофуране при 0 °C и проведение реакции в течение 1 ч в защитной среде аргона.

Стадия b: растворение продукта, полученного на предыдущей стадии, в смешанном растворителе этилацетат:метанол (1:1), добавление палладиевой черни (Pd/C) и проведение реакции в течение 12 ч в при 50 °C в водородной среде.

Стадия c: растворение продукта, полученного на предыдущей стадии, в CS2 с последующим добавлением NaH (в виде 60 % масляной смеси) и перемешиванием в течение 2 ч при комнатной температуре. Добавление CH3I для проведения реакции в течение ночи, и, после проведения колоночной хроматографии, растворение реакционной смеси в сверхсухом толуоле. Добавление при перемешивании АИБН и трибутилолова гидрида и перемешивание с обратным холодильником в течение 4 ч.

Стадия d: растворение продукта, полученного на предыдущей стадии, в дихлорметане, добавление реактива Десса-Мартина и перемешивание в течение 2 ч.

Где структура соединения VII имеет следующий вид:

VII.

Схема 2:

Определение каждой группы соответствует приведенному выше.

Определения стадий a, b, c и d соответствуют приведенным для схемы 1.

Фармацевтическая композиция и способ введения

Поскольку соединения по настоящему изобретению имеют высокую гипогликемическую активность и противовирусную активность против вируса гриппа, соединение по настоящему изобретению и его различные кристаллические формы, фармацевтически приемлемые неорганические или органические соли, их гидраты или сольваты и фармацевтическая композиция, содержащая соединение по настоящему изобретению в качестве основного действующего вещества, можно использовать для лечения, профилактики и купирования симптомов заболеваний, ассоциированных с высоким содержанием глюкозы в крови и вирусом гриппа.

Фармацевтическая композиция по настоящему изобретению включает соединение по настоящему изобретению или его фармацевтически приемлемые соли в безопасном и эффективном диапазоне дозировок и фармацевтически приемлемые вспомогательные вещества или носители. При этом термин «безопасная и эффективная дозировка» означает, что количество соединения достаточно для значительного улучшения состояния при отсутствии значительных побочных эффектов. Обычно фармацевтическая композиция содержит от 1 до 2000 мг соединений по настоящему изобретению на дозу, предпочтительно 5–200 мг соединений по настоящему изобретению на дозу. «Доза» препарата предпочтительно представляет собой капсулу или таблетку.

«Фармацевтически приемлемый носитель» означает один или несколько совместимых наполнителей в твердой, жидкой или желеобразной форме, которые пригодны для использования в медицине и должны иметь достаточную чистоту и достаточно низкую токсичность. Термин «совместимый» означает, что каждый компонент в компоизции можно смешивать с соединениями по настоящему изобретению и друг с другом без значительного снижения эффективности соединений. Некоторые примеры фармацевтически приемлемых носителей включают в себя целлюлозу и ее производные (например, натрия карбоксиметилцеллюлозу, натрия этилцеллюлозу, целлюлозы ацетат и т.д.), желатин, тальк, твердые смазывающие вещества (например, стеариновую кислоту, стеарат магния), кальция сульфат, растительные масла (например, соевое масло, кунжутное масло, арахисовое масло, оливковое масло и т.д.), полиолы (например, пропиленгликоль, глицерин, маннитол, сорбитол и т.д.), эмульгаторы (например, Tween®), смачивающие вещества (например, натрия додецилсульфат), красители, ароматизаторы, стабилизаторы, антиоксиданты, консерванты, апирогенную воду и т.д.

Особые ограничения в отношении способа введения соединения или фармацевтических композиций по настоящему изобретению отсутствуют, и в качестве примеров способа введения можно указать (помимо прочих): прием внутрь, внутриопухолевое введение, ректальное введение, парентеральное введение (внутривенное, внутримышечное или подкожное) и местное применение.

Твердые лекарственные формы для приема внутрь включают в себя капсулы, таблетки, пилюли, порошки и гранулы. В этих твердых лекарственных формах активный ингредиент смешивают по меньшей мере с одним обычным инертным вспомогательным веществом (или носителем), например, с натрия цитратом или CaHPO4, или смешивают с любым из следующих компонентов: (а) с наполнителями или веществами, улучшающими совместимость, например, с крахмалом, лактозой, сахарозой, глюкозой, маннитолом и кремния диоксидом; (b) со связующими веществами, например, с гидроксиметилцеллюлозой, альгинатом, желатином, поливинилпирролидоном, сахарозой и аравийской камедью; (c) с увлажняющими веществами, например, с глицерином; (d) с разрыхлителями, например, с агаром, кальция карбонатом, картофельным крахмалом или тапиоковым крахмалом, альгиновой кислотой, некоторыми смешанными силикатами и натрия карбонатом; (e) с веществами, замедляющими высвобождение, например, с парафином, (f) с ускорителями впитывания, например, с четвертичным соединением аммония; (g) со смачивающими веществами, например, с цетиловым спиртом и глицерина моностеаратом; (h) с адсорбирующими веществами, например, с каолином; и (i) со смазывающими веществами, например, с тальком, кальция стеаратом, магния стеаратом, твердым полиэтиленгликолем, натрия додецилсульфатом, либо их смесью. Лекарственные формы в виде капсул, таблеток и пилюль могут также содержать буферные вещества.

Твердые лекарственные формы, например, таблетки, сахарные пилюли, капсулы, пилюли и гранулы, могут быть получены с использованием пленкообразующих веществ и оболочек, например, с использованием кишечно-растворимых оболочек и каких-либо других материалов, известных в данной области. Они могут содержать замутнитель. Высвобождение действующих веществ или соединений в таких компоизциях может происходить с задержкой в определенной части пищеварительного тракта. Примеры встраиваемых компонентов включают в себя полимерные материалы и воски. При необходимости действующие вещества и одно или несколько из указанных выше вспомогательных веществ могут образовывать микрокапсулы.

Жидкие лекарственные формы для приема внутрь включают фармацевтически приемлемые эмульсии, растворы, суспензии, сиропы или настойки. Помимо действующих веществ жидкие лекарственные формы могут содержать инертные разбавители, обычно используемые в данной области, например, воду или другие растворители, солюбилизаторы и эмульгаторы, например, этанол, изопропанол, этилкарбонат, этилацетат, пропиленгликоль, 1,3-бутандиол, диметилформамид и масла, в частности, хлопковое масло, арахисовое масло, масло зародышей кукурузы, оливковое масло, касторовое масло и кунжутное масло, либо смеси этих веществ.

Помимо этих инертных разбавителей в композиции также могут быть вспомогательные вещества, например, смачивающие, эмульгирующие и суспендирующие вещества, подсластители, ароматизаторы и вкусовые добавки.

Помимо действующих веществ в суспензии также может быть суспендирующее вещество, например, этоксилированный изооктадеканол, полиоксиэтиленсорбит и дегидратированные сложные эфиры сорбитана, микрокристаллическая целлюлоза, алюминия метилат и агар, либо их смесь и т.д.

В композициях для парентерального введения могут быть физиологически приемлемые стерильные водные или безводные растворы, дисперсии, суспензии или эмульсии, а также стерильные порошки, которые могут быть восстановлены в стерильных растворах или дисперсиях для инъекций. Подходящими водными и неводными носителями, разбавителями, растворителями или вспомогательными веществами являются вода, этанол, полиолы и любые подходящие их смеси.

Лекарственными формами соединений по изобретению для местного применения являются мази, порошки, пластыри, спреи и лекарственные формы для ингаляций. Действующие вещества смешивают в стерильных условиях с физиологически приемлемыми вспомогательными веществами и какими-либо консервантами, буферными растворами или распыляющими веществами, которые могут потребоваться при необходимости.

Соединения по настоящему изобретению можно вводить отдельно или в комбинации с другими фармацевтически приемлемыми соединениями.

При использовании фармацевтических композиций безопасное и эффективное количество соединения по настоящему изобретению вводят млекопитающему (например, человеку), нуждающемуся в лечении, при этом дозировка при введении представляет собой фармацевтически эффективную дозу. Для людей с массой тела 60 кг суточная доза обычно составляет 1–2000 мг, предпочтительно 5–500 мг. Конечно, в конкретных дозах также следует учитывать путь введения, состояние здоровья пациента и другие факторы, находящиеся в компетенции квалифицированного врача.

Настоящее изобретение имеет следующие основные преимущества:

По настоящему изобретению предоставлено производное соединение пентациклического тритерпенового C-гликозида, представленного общей формулой I, или его фармацевтически приемлемых солей, рацематов, R-изомеров или S-изомеров, либо их смесей.

В настоящем изобретении также предоставлен способ получения вышеуказанных соединений.

Изобретение также предусматривает применение указанного выше производного соединения пентациклического тритерпенового C-гликозида или его фармацевтически приемлемых солей, рацематов, R-изомеров или S-изомеров, либо их смесей, в производстве лекарственных препаратов для лечения или профилактики метаболических заболеваний, таких как диабет и гиперлипидемия.

Настоящее изобретение будет дополнительно проиллюстрировано ниже с указанием отдельных примеров. Следует понимать, что эти примеры используются только для иллюстрации настоящего изобретения и не предназначены для ограничения объема изобретения. В экспериментальных методах в следующих примерах, в которых конкретные условия не указаны, данные условия обычно соответствуют общепринятым, либо они соответствуют указанным в инструкциях производителя. Если не указано иное, процентные доли и значения рассчитаны по массе.

Экспериментальные материалы и реактивы, используемые в следующих примерах, являются коммерчески доступными продуктами, если не указано иное.

Изобретение будет далее проиллюстрировано в следующих примерах. Эти примеры используются только для иллюстрации настоящего изобретения и не предназначены для какого-либо ограничения его объема.

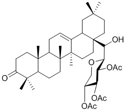
Пример 1. (3S,5S,8R,9R,10S,14R,17R,18S)-28-O-Бензил-олеаноловой кислоты 3-(1'R)-(гидрокси)метил-2'',3'',4'',6''-O-тетрабензил-β-D-глюкопиранозид (A1)

Соединения (3S,5S,8R,9R,10S,14R,17R,18S)-28-O-бензил-3-олеаноловой кислоты альдегид (100,0 мг, 0,18 ммоль) и 2,3,4,6-O-тетрабензил-1-(пиридин-1-ил)сульфонил- β-D-тиоглюкопиранозид (207,7 мг, 0,36 ммоль) растворяли в 15 мл бидистиллированного тетрагидрофурана. В защитной среде аргона добавляли 0,1 моль/л раствора самария дийодида в тетрагидрофуране (15 мл, 1,5 ммоль) при 0 °C и смесь перемешивали в течение 1 ч. Окончание реакции определяли с помощью анализа методом ТСХ. Реакцию в реакционном растворе останавливали насыщенным раствором аммония хлорида, после чего проводили экстракцию дихлорметаном. Органические слои объединяли, промывали насыщенным раствором натрия хлорида, высушивали над безводным натрия сульфатом и концентрировали. Неочищенный продукт очищали колоночной хроматографией с получением целевого продукта A1 (152 мг, 78 %). 1H-ЯМР (600 МГц, CDCl3) δ 7,40–7,08 (мультиплет, 26H), 5,29 (триплет, J = 3,4 Гц, 1H), 5,05 (дублет триплетов, J = 16,2, 11,9 Гц, 3H), 4,95 (дублет, J = 11,0 Гц, 1H), 4,83 (дублет дублетов, J = 19,7, 11,0 Гц, 2H), 4,74 (дублет, J = 11,2 Гц, 1H), 4,65–4,47 (мультиплет, 3H), 4,01 (дублет, J = 5,8 Гц, 1H), 3,78 (триплет, J = 8,9 Гц, 1H), 3,68 (синглет, 1H), 3,66–3,62 (мультиплет, 1H), 3,58 (триплет, J = 9,1 Гц, 1H), 3,39 (дублет триплетов, J = 9,7, 3,0 Гц, 1H), 3,31 (дублет дублетов, J = 9,2, 6,7 Гц, 1H), 2,89 (дублет дублетов, J = 13,6, 4,0 Гц, 1H), 1,98 (триплет дублетов, J = 13,5, 3,9 Гц, 1H), 1,87–1,76 (мультиплет, 2H), 1,26 (синглет, 3H), 1,12 (синглет, 3H), 0,94 (синглет, 3H), 0,91 (дублет, J = 1,5 Гц, 4H), 0,89 (синглет, 3H), 0,85 (синглет, 3H), 0,61 (синглет, 3H). Масс-спектрометрия низкого разрешения (ИЭР): 1083,66 [M+H]+.

Пример 2. (3S,5S,8R,9R,10S,14R,17R,18S)-Олеаноловой кислоты 3-(1'R)-(гидрокси)метил-β-D-глюкопиранозид (A2)

Соединения (3S,5S,8R,9R,10S,14R,17R,18S)-28-O-бензил-3-олеаноловой кислоты альдегид (100,0 мг, 0,18 ммоль) и 2,3,4,6-O-тетрабензил-1-(пиридин-1-ил)сульфонил- β-D-тиоглюкопиранозид (207,7 мг, 0,36 ммоль) растворяли в 15 мл бидистиллированного тетрагидрофурана. В защитной среде аргона добавляли 0,1 моль/л раствора самария дийодида в тетрагидрофуране (15 мл, 1,5 ммоль) при 0 °C и смесь перемешивали в течение 1 ч. Окончание реакции определяли с помощью анализа методом ТСХ. Реакцию в реакционном растворе останавливали насыщенным раствором аммония хлорида, после чего проводили экстракцию дихлорметаном. Органические слои объединяли, промывали насыщенным раствором натрия хлорида, высушивали над безводным натрия сульфатом и концентрировали. Неочищенный продукт очищали колоночной хроматографией с получением 152 мг соединения A1. Затем его растворяли в смешанном растворе этилацетата и метанола (15 мл: 15 мл), добавляли 30 мг Pd/C в водородной среде и проводили реакцию смеси при 50 °C в течение 12 ч. Затем получали целевой продукт A2 (70 мг, 79 %) методом колоночной хроматографии. 1H-ЯМР (500 МГц, MeOD) δ 5,28 (синглет, 1H), 4,16 (синглет, 1H), 3,79 (дублет, J = 2,0 Гц, 2H), 3,46 (дублет дублетов, J = 20,4, 9,3 Гц, 2H), 3,38 (синглет, 1H), 3,35–3,31 (мультиплет, 1H), 3,23 (дублет, J = 9,5 Гц, 1H), 3,11 (дублет, J = 9,5 Гц, 1H), 2,88 (дублет дублетов, J = 13,5, 3,0 Гц, 1H), 2,03 (дублет дублетов, J = 13,5, 10,3 Гц, 1H), 1,93 (дублет, J = 7,1 Гц, 2H), 1,86–1,05 (мультиплет, 21H), 1,06–0,93 (мультиплет, 12H), 0,90–0,82 (мультиплет, 6H), 0,81 (дублет, J = 11,4 Гц, 1H). Масс-спектрометрия низкого разрешения (ИЭР): 631,43 [M-H]-.

Пример 3. (3R,5S,8R,9R,10S,14R,17R,18S)-28-O-Бензил-олеаноловой кислоты 3-(1'R)-(гидрокси)метил-2'',3'',4'',6''-O-тетрабензил-β-D-глюкопиранозид (A3)

Соединение (3S,5S,8R,9R,10S,14R,17R,18S)-28-O-бензил-3-олеаноловой кислоты альдегид было заменено на (3R,5S,8R,9R,10S,14R,17R,18S)-28-O-бензил-3- олеаноловой кислоты альдегид. Для получения соединения A3 использовали тот же способ получения с теми же требуемыми исходными материалами и реактивами, как описано в примере 1 (выход продукта 85 %). 1H-ЯМР (600 МГц, CDCl3) δ 7,40–7,08 (мультиплет, 26H), 5,29 (триплет, J = 3,4 Гц, 1H), 5,05 (дублет триплетов, J = 16,2, 11,9 Гц, 3H), 4,95 (дублет, J = 11,0 Гц, 1H), 4,83 (дублет дублетов, J = 19,7, 11,0 Гц, 2H), 4,74 (дублет, J = 11,2 Гц, 1H), 4,65–4,47 (мультиплет, 3H), 4,01 (дублет, J = 5,8 Гц, 1H), 3,78 (триплет, J = 8,9 Гц, 1H), 3,68 (синглет, 1H), 3,66–3,62 (мультиплет, 1H), 3,58 (триплет, J = 9,1 Гц, 1H), 3,39 (дублет триплетов, J = 9,7, 3,0 Гц, 1H), 3,31 (дублет дублетов, J = 9,2, 6,7 Гц, 1H), 2,89 (дублет дублетов, J = 13,6, 4,0 Гц, 1H), 1,98 (триплет дублетов, J = 13,5, 3,9 Гц, 1H), 1,87–1,76 (мультиплет, 2H), 1,26 (синглет, 3H), 1,12 (синглет, 3H), 0,94 (синглет, 3H), 0,91 (дублет, J = 1,5 Гц, 4H), 0,89 (синглет, 3H), 0,85 (синглет, 3H), 0,61 (синглет, 3H). Масс-спектрометрия низкого разрешения (ИЭР): 1083,66 [M+H]+.

Пример 4. (3R,5S,8R,9R,10S,14R,17R,18S)-Олеаноловой кислоты 3-(1'R)-(гидрокси)метил-β-D-глюкопиранозид (A4)

Соединение (3S,5S,8R,9R,10S,14R,17R,18S)-28-O-бензил-3-олеаноловой кислоты альдегид было заменено на (3R,5S,8R,9R,10S,14R,17R,18S)-3-олеаноловой кислоты альдегид. Для получения соединения A4 использовали тот же способ получения с теми же требуемыми исходными материалами и реактивами, как описано в примере 2 (выход продукта 74 %). 1H-ЯМР (500 МГц, MeOD) δ 5,28 (синглет, 1H), 4,16 (синглет, 1H), 3,79 (дублет, J = 2,0 Гц, 2H), 3,46 (дублет дублетов, J = 20,4, 9,3 Гц, 2H), 3,38 (синглет, 1H), 3,35–3,31 (мультиплет, 1H), 3,23 (дублет, J = 9,5 Гц, 1H), 3,11 (дублет, J = 9,5 Гц, 1H), 2,88 (дублет дублетов, J = 13,5, 3,0 Гц, 1H), 2,03 (дублет дублетов, J = 13,5, 10,3 Гц, 1H), 1,93 (дублет, J = 7,1 Гц, 2H), 1,86–1,05 (мультиплет, 21H), 1,06–0,93 (мультиплет, 12H), 0,90–0,82 (мультиплет, 6H), 0,81 (дублет, J = 11,4 Гц, 1H). Масс-спектрометрия низкого разрешения (ИЭР): 631,43 [M-H]-.

Пример 5. (3S,5S,8R,9R,10S,14R,17R,18S)-28-O-Бензил-олеаноловой кислоты 3-метил-2'',3'',4'',6''-O-тетрабензил-β-D-глюкопиранозид (A5)

Соединения (3S,5S,8R,9R,10S,14R,17R,18S)-28-O-бензил-3-олеаноловой кислоты альдегид (66,7 мг, 0,12 ммоль) и 2,3,4,6-O-тетрабензил-1-(пиридин-1-ил)сульфонил- β-D-тиоглюкопиранозид (138,5 мг, 0,24 ммоль) растворяли в 15 мл бидистиллированного тетрагидрофурана. В защитной среде аргона добавляли 0,1 моль/л раствора самария дийодида в тетрагидрофуране (15 мл, 1,5 ммоль) при 0 °C и смесь перемешивали в течение 1 ч. Окончание реакции определяли с помощью анализа методом ТСХ. Реакцию в реакционном растворе останавливали насыщенным раствором аммония хлорида, после чего проводили экстракцию дихлорметаном. Органические слои объединяли, промывали насыщенным раствором натрия хлорида, высушивали над безводным натрия сульфатом и концентрировали. Неочищенный продукт очищали колоночной хроматографией с получением 152 мг соединения A1. Затем его растворяли в 10 мл CS2, добавляли NaH (15 мг, 0,37 ммоль, 60 % масляная смесь) и смесь перемешивали в течение 2 ч при комнатной температуре. Затем добавляли CH3I (31 мкл, 0,50 ммоль) для проведения реакции в течение ночи. Окончание реакции определяли с помощью анализа методом ТСХ. Реакцию в реакционном растворе останавливали насыщенным раствором аммония хлорида, после чего проводили экстракцию дихлорметаном. Органические слои объединяли, промывали насыщенным раствором натрия хлорида, высушивали над безводным натрия сульфатом и концентрировали. Неочищенный продукт очищали колоночной хроматографией с получением промежуточного продукта A. Промежуточный продукт A и АИБН (23 мг, 0,14 ммоль) растворяли в 20 мл сверхсухого толуола, при перемешивании добавляли трибутилолова гидрид (0,12 мл, 0,45 ммоль), и полученную смесь перемешивали с обратным холодильником в течение 4 ч. Окончание реакции определяли с помощью анализа методом ТСХ. Конечный реакционный раствор концентрировали и очищали колоночной хроматографией с получением целевого продукта A5 (64 мг, 65 %).

1H-ЯМР (600 МГц, CDCl3) δ 7,40–7,08 (мультиплет, 26H), 5,29 (триплет, J = 3,4 Гц, 1H), 5,05 (дублет триплетов, J = 16,2, 11,9 Гц, 3H), 4,95 (дублет, J = 11,0 Гц, 1H), 4,83 (дублет дублетов, J = 19,7, 11,0 Гц, 2H), 4,74 (дублет, J = 11,2 Гц, 1H), 4,65–4,47 (мультиплет, 3H), 4,01 (дублет, J = 5,8 Гц, 1H), 3,78 (триплет, J = 8,9 Гц, 1H), 3,68 (синглет, 1H), 3,66–3,62 (мультиплет, 1H), 3,58 (триплет, J = 9,1 Гц, 1H), 3,39 (дублет триплетов, J = 9,7, 3,0 Гц, 1H), 3,31 (дублет дублетов, J = 9,2, 6,7 Гц, 1H), 2,89 (дублет дублетов, J = 13,6, 4,0 Гц, 1H), 1,98 (триплет дублетов, J = 13,5, 3,9 Гц, 1H), 1,87–1,76 (мультиплет, 2H), 1,26 (синглет, 3H), 1,12 (синглет, 3H), 0,94 (синглет, 3H), 0,91 (дублет, J = 1,5 Гц, 4H), 0,89 (синглет, 3H), 0,85 (синглет, 3H), 0,61 (синглет, 3H). Масс-спектрометрия низкого разрешения (ИЭР): 1067,67 [M+H]+.

Пример 6. (3S,5S,8R,9R,10S,14R,17R,18S)-Олеаноловой кислоты метил-β-D-глюкопиранозид (A6)

Соединения (3S,5S,8R,9R,10S,14R,17R,18S)-28-O-бензил-3-олеаноловой кислоты альдегид (66,7 мг, 0,12 ммоль) и 2,3,4,6-O-тетрабензил-1-(пиридин-1-ил)сульфонил- β-D-тиоглюкопиранозид (138,5 мг, 0,24 ммоль) растворяли в 15 мл бидистиллированного тетрагидрофурана. В защитной среде аргона добавляли 0,1 моль/л раствора самария дийодида в тетрагидрофуране (15 мл, 1,5 ммоль) при 0 °C и смесь перемешивали в течение 1 ч. Окончание реакции определяли с помощью анализа методом ТСХ. Реакцию в реакционном растворе останавливали насыщенным раствором аммония хлорида, после чего проводили экстракцию дихлорметаном. Органические слои объединяли, промывали насыщенным раствором натрия хлорида, высушивали над безводным натрия сульфатом и концентрировали. Неочищенный продукт очищали колоночной хроматографией с получением соединения A1. Затем его растворяли в 10 мл CS2, добавляли NaH (15 мг, 0,37 ммоль, 60 % масляная смесь) и смесь перемешивали в течение 2 ч при комнатной температуре. Затем добавляли CH3I (31 мкл, 0,50 ммоль) для проведения реакции в течение ночи. Окончание реакции определяли с помощью анализа методом ТСХ. Реакцию в реакционном растворе останавливали насыщенным раствором аммония хлорида, после чего проводили экстракцию дихлорметаном. Органические слои объединяли, промывали насыщенным раствором натрия хлорида, высушивали над безводным натрия сульфатом и концентрировали. Неочищенный продукт очищали колоночной хроматографией с получением промежуточного продукта A. Промежуточный продукт A и АИБН (23 мг, 0,14 ммоль) растворяли в 20 мл сверхсухого толуола, при перемешивании добавляли трибутилолова гидрид (0,12 мл, 0,45 ммоль), и полученную смесь перемешивали с обратным холодильником в течение 4 ч. Окончание реакции определяли с помощью анализа методом ТСХ. Конечный реакционный раствор концентрировали и очищали колоночной хроматографией с получением 64 мг соединения A5. Затем его растворяли в смешанном растворе этилацетата и метанола (15 мл: 15 мл), добавляли 13 мг Pd/C в водородной среде и проводили реакцию смеси при 50 °C в течение 12 ч. Затем получали целевой продукт A6 (27 мг, 75 %) методом колоночной хроматографии.

1H-ЯМР (500 МГц, MeOD) δ 5,28 (синглет, 1H), 4,16 (синглет, 1H), 3,79 (дублет, J = 2,0 Гц, 2H), 3,46 (дублет дублетов, J = 20,4, 9,3 Гц, 2H), 3,38 (синглет, 1H), 3,35–3,31 (мультиплет, 1H), 3,23 (дублет, J = 9,5 Гц, 1H), 3,11 (дублет, J = 9,5 Гц, 1H), 2,88 (дублет дублетов, J = 13,5, 3,0 Гц, 1H), 2,03 (дублет дублетов, J = 13,5, 10,3 Гц, 1H), 1,93 (дублет, J = 7,1 Гц, 2H), 1,86–1,05 (мультиплет, 21H), 1,06–0,93 (мультиплет, 12H), 0,90–0,82 (мультиплет, 6H), 0,81 (дублет, J = 11,4 Гц, 1H). Масс-спектрометрия низкого разрешения (ИЭР): 615,43 [M-H]-.

Пример 7. (3R,5S,8R,9R,10S,14R,17R,18S)-28-O-Бензил-олеаноловой кислоты 3-метил-2'',3'',4'',6''-O-тетрабензил-β-D-глюкопиранозид (A7)

Соединение (3S,5S,8R,9R,10S,14R,17R,18S)-28-O-бензил-3-олеаноловой кислоты альдегид было заменено на (3R,5S,8R,9R,10S,14R,17R,18S)-28-O-бензил-3- олеаноловой кислоты альдегид. Для получения соединения A7 использовали тот же способ получения с теми же требуемыми исходными материалами и реактивами, как описано в примере 5 (выход продукта 67 %). 1H-ЯМР (600 МГц, CDCl3) δ 7,40–7,08 (мультиплет, 26H), 5,29 (триплет, J = 3,4 Гц, 1H), 5,05 (дублет триплетов, J = 16,2, 11,9 Гц, 3H), 4,95 (дублет, J = 11,0 Гц, 1H), 4,83 (дублет дублетов, J = 19,7, 11,0 Гц, 2H), 4,74 (дублет, J = 11,2 Гц, 1H), 4,65–4,47 (мультиплет, 3H), 4,01 (дублет, J = 5,8 Гц, 1H), 3,78 (триплет, J = 8,9 Гц, 1H), 3,68 (синглет, 1H), 3,66–3,62 (мультиплет, 1H), 3,58 (триплет, J = 9,1 Гц, 1H), 3,39 (дублет триплетов, J = 9,7, 3,0 Гц, 1H), 3,31 (дублет дублетов, J = 9,2, 6,7 Гц, 1H), 2,89 (дублет дублетов, J = 13,6, 4,0 Гц, 1H), 1,98 (триплет дублетов, J = 13,5, 3,9 Гц, 1H), 1,87–1,76 (мультиплет, 2H), 1,26 (синглет, 3H), 1,12 (синглет, 3H), 0,94 (синглет, 3H), 0,91 (дублет, J = 1,5 Гц, 4H), 0,89 (синглет, 3H), 0,85 (синглет, 3H), 0,61 (синглет, 3H). Масс-спектрометрия низкого разрешения (ИЭР): 1067,67 [M+H]+.

Пример 8. (3R,5S,8R,9R,10S,14R,17R,18S)-Олеаноловой кислоты 3-метил-β-D-глюкопиранозид (A8)

Соединение (3S,5S,8R,9R,10S,14R,17R,18S)-28-O-бензил-3-олеаноловой кислоты альдегид было заменено на (3R,5S,8R,9R,10S,14R,17R,18S)-28-O-бензил-3- олеаноловой кислоты альдегид. Для получения соединения A8 использовали тот же способ получения с теми же требуемыми исходными материалами и реактивами, как описано в примере 6 (выход продукта 71 %). 1H-ЯМР (500 МГц, MeOD) δ 5,28 (синглет, 1H), 4,16 (синглет, 1H), 3,79 (дублет, J = 2,0 Гц, 2H), 3,46 (дублет дублетов, J = 20,4, 9,3 Гц, 2H), 3,38 (синглет, 1H), 3,35–3,31 (мультиплет, 1H), 3,23 (дублет, J = 9,5 Гц, 1H), 3,11 (дублет, J = 9,5 Гц, 1H), 2,88 (дублет дублетов, J = 13,5, 3,0 Гц, 1H), 2,03 (дублет дублетов, J = 13,5, 10,3 Гц, 1H), 1,93 (дублет, J = 7,1 Гц, 2H), 1,86–1,05 (мультиплет, 21H), 1,06–0,93 (мультиплет, 12H), 0,90–0,82 (мультиплет, 6H), 0,81 (дублет, J = 11,4 Гц, 1H). Масс-спектрометрия низкого разрешения (ИЭР): 615,43 [M-H]-.

Пример 9. (3S,5S,8R,9R,10S,14R,17R,18S)-28-O-Бензил-олеаноловой кислоты 3-карбонил-2'',3'',4'',6''-O-тетрабензил-β-D-глюкопиранозид (A9)

Соединения (3S,5S,8R,9R,10S,14R,17R,18S)-28-O-бензил-3-олеаноловой кислоты альдегид (66,7 мг, 0,12 ммоль) и 2,3,4,6-O-тетрабензил-1-(пиридин-1-ил)сульфонил- β-D-тиоглюкопиранозид (138,5 мг, 0,24 ммоль) растворяли в 15 мл бидистиллированного тетрагидрофурана. В защитной среде аргона добавляли 0,1 моль/л раствора самария дийодида в тетрагидрофуране (15 мл, 1,5 ммоль) при 0 °C и смесь перемешивали в течение 1 ч. Окончание реакции определяли с помощью анализа методом ТСХ. Реакцию в реакционном растворе останавливали насыщенным раствором аммония хлорида, после чего проводили экстракцию дихлорметаном. Органические слои объединяли, промывали насыщенным раствором натрия хлорида, высушивали над безводным натрия сульфатом и концентрировали. Неочищенный продукт очищали колоночной хроматографией с получением 152 мг соединения A1. Затем его растворяли в 10 мл дихлорметана, добавляли реактив Десса-Мартина (76 мг, 0,18 ммоль) и смесь перемешивали в течение 2 ч при комнатной температуре. Окончание реакции определяли с помощью анализа методом ТСХ. Реакцию в реакционном растворе останавливали насыщенным раствором натрия тиосульфата, после чего проводили экстракцию дихлорметаном. Органические слои объединяли, промывали насыщенным раствором натрия хлорида, высушивали над безводным натрия сульфатом и концентрировали. Неочищенный продукт очищали колоночной хроматографией с получением целевого продукта A9 (90 мг, 90%). 1H-ЯМР (600 МГц, CDCl3) δ 7,40–7,08 (мультиплет, 26H), 5,29 (триплет, J = 3,4 Гц, 1H), 5,05 (дублет триплетов, J = 16,2, 11,9 Гц, 3H), 4,95 (дублет, J = 11,0 Гц, 1H), 4,83 (дублет дублетов, J = 19,7, 11,0 Гц, 2H), 4,74 (дублет, J = 11,2 Гц, 1H), 4,65–4,47 (мультиплет, 3H), 4,01 (дублет, J = 5,8 Гц, 1H), 3,78 (триплет, J = 8,9 Гц, 1H), 3,68 (синглет, 1H), 3,66–3,62 (мультиплет, 1H), 3,58 (триплет, J = 9,1 Гц, 1H), 3,39 (дублет триплетов, J = 9,7, 3,0 Гц, 1H), 3,31 (дублет дублетов, J = 9,2, 6,7 Гц, 1H), 2,89 (дублет дублетов, J = 13,6, 4,0 Гц, 1H), 1,98 (триплет дублетов, J = 13,5, 3,9 Гц, 1H), 1,87–1,76 (мультиплет, 2H), 1,26 (синглет, 3H), 1,12 (синглет, 3H), 0,94 (синглет, 3H), 0,91 (дублет, J = 1,5 Гц, 4H), 0,89 (синглет, 3H), 0,85 (синглет, 3H), 0,61 (синглет, 3H). Масс-спектрометрия низкого разрешения (ИЭР): 1081,65 [M+H]+.

Пример 10. (3S,5S,8R,9R,10S,14R,17R,18S)-Олеаноловой кислоты 3-карбонил-β-D-глюкопиранозид (A10)

Соединения (3S,5S,8R,9R,10S,14R,17R,18S)-28-O-бензил-3-олеаноловой кислоты альдегид (66,7 мг, 0,12 ммоль) и 2,3,4,6-O-тетрабензил-1-(пиридин-1-ил)сульфонил- β-D-тиоглюкопиранозид (138,5 мг, 0,24 ммоль) растворяли в 15 мл бидистиллированного тетрагидрофурана. В защитной среде аргона добавляли 0,1 моль/л раствора самария дийодида в тетрагидрофуране (15 мл, 1,5 ммоль) при 0 °C и смесь перемешивали в течение 1 ч. Окончание реакции определяли с помощью анализа методом ТСХ. Реакцию в реакционном растворе останавливали насыщенным раствором аммония хлорида, после чего проводили экстракцию дихлорметаном. Органические слои объединяли, промывали насыщенным раствором натрия хлорида, высушивали над безводным натрия сульфатом и концентрировали. Неочищенный продукт очищали колоночной хроматографией с получением соединения A1. Затем его растворяли в 10 мл дихлорметана, добавляли реактив Десса-Мартина (76 мг, 0,18 ммоль) и смесь перемешивали в течение 2 ч при комнатной температуре. Окончание реакции определяли с помощью анализа методом ТСХ. Реакцию в реакционном растворе останавливали насыщенным раствором натрия тиосульфата, после чего проводили экстракцию дихлорметаном. Органические слои объединяли, промывали насыщенным раствором натрия хлорида, высушивали над безводным натрия сульфатом и концентрировали. Неочищенный продукт очищали колоночной хроматографией с получением 90 мг соединения A9. Затем его растворяли в смешанном растворе этилацетата и метанола (15 мл: 15 мл), добавляли 13 мг Pd/C в водородной среде и проводили реакцию смеси при 50 °C в течение 12 ч. Затем получали целевой продукт A10 (38 мг, 73 %) методом колоночной хроматографии.

1H-ЯМР (500 МГц, MeOD) δ 5,28 (синглет, 1H), 4,16 (синглет, 1H), 3,79 (дублет, J = 2,0 Гц, 2H), 3,46 (дублет дублетов, J = 20,4, 9,3 Гц, 2H), 3,38 (синглет, 1H), 3,35–3,31 (мультиплет, 1H), 3,23 (дублет, J = 9,5 Гц, 1H), 3,11 (дублет, J = 9,5 Гц, 1H), 2,88 (дублет дублетов, J = 13,5, 3,0 Гц, 1H), 2,03 (дублет дублетов, J = 13,5, 10,3 Гц, 1H), 1,93 (дублет, J = 7,1 Гц, 2H), 1,86–1,05 (мультиплет, 21H), 1,06–0,93 (мультиплет, 12H), 0,90–0,82 (мультиплет, 6H), 0,81 (дублет, J = 11,4 Гц, 1H). Масс-спектрометрия низкого разрешения (ИЭР): 629,41 [M-H]-.

Пример 11. (3R,5S,8R,9R,10S,14R,17R,18S)-28-O-Бензил-олеаноловой кислоты 3-карбонил-2'',3'',4'',6''-O-тетрабензил-β-D-глюкопиранозид (A11)

Соединение (3S,5S,8R,9R,10S,14R,17R,18S)-28-O-бензил-3-олеаноловой кислоты альдегид было заменено на (3R,5S,8R,9R,10S,14R,17R,18S)-28-O-бензил-3- олеаноловой кислоты альдегид. Для получения соединения A11 использовали тот же способ получения с теми же требуемыми исходными материалами и реактивами, как описано в примере 9 (выход продукта 89 %). 1H-ЯМР (600 МГц, CDCl3) δ 5,28 (синглет, 1H), 4,16 (синглет, 1H), 3,79 (дублет, J = 2,0 Гц, 2H), 3,46 (дублет дублетов, J = 20,4, 9,3 Гц, 2H), 3,38 (синглет, 1H), 3,35–3,31 (мультиплет, 1H), 3,23 (дублет, J = 9,5 Гц, 1H), 3,11 (дублет, J = 9,5 Гц, 1H), 2,88 (дублет дублетов, J = 13,5, 3,0 Гц, 1H), 2,03 (дублет дублетов, J = 13,5, 10,3 Гц, 1H), 1,93 (дублет, J = 7,1 Гц, 2H), 1,86–1,05 (мультиплет, 21H), 1,06–0,93 (мультиплет, 12H), 0,90–0,82 (мультиплет, 6H), 0,81 (дублет, J = 11,4 Гц, 1H). Масс-спектрометрия низкого разрешения (ИЭР): 1081,65 [M+H]+.

Пример 12. (3R,5S,8R,9R,10S,14R,17R,18S)-Олеаноловой кислоты 3-карбонил-β-D- глюкопиранозид (A12)

Соединение (3S,5S,8R,9R,10S,14R,17R,18S)-28-O-бензил-3-олеаноловой кислоты альдегид было заменено на (3R,5S,8R,9R,10S,14R,17R,18S)-28-O-бензил-3- олеаноловой кислоты альдегид. Для получения соединения A12 использовали тот же способ получения с теми же требуемыми исходными материалами и реактивами, как описано в примере 10 (выход продукта 91 %). 1H-ЯМР (500 МГц, MeOD) δ 5,28 (синглет, 1H), 4,16 (синглет, 1H), 3,79 (дублет, J = 2,0 Гц, 2H), 3,46 (дублет дублетов, J = 20,4, 9,3 Гц, 2H), 3,38 (синглет, 1H), 3,35–3,31 (мультиплет, 1H), 3,23 (дублет, J = 9,5 Гц, 1H), 3,11 (дублет, J = 9,5 Гц, 1H), 2,88 (дублет дублетов, J = 13,5, 3,0 Гц, 1H), 2,03 (дублет дублетов, J = 13,5, 10,3 Гц, 1H), 1,93 (дублет, J = 7,1 Гц, 2H), 1,86–1,05 (мультиплет, 21H), 1,06–0,93 (мультиплет, 12H), 0,90–0,82 (мультиплет, 6H), 0,81 (дублет, J = 11,4 Гц, 1H). Масс-спектрометрия низкого разрешения (ИЭР): 629,41 [M-H]-.

Пример 13. (3S,5S,8R,9R,10S,14R,17R,18S)-Олеаноловой кислоты 3-(1'R)- (гидрокси)метил-β-D-галактопиранозид (A13)

Соединение 2,3,4,6-O-тетрабензил-1-(пиридин-1-ил)сульфонил-β-D- тиоглюкопиранозид было заменено на 2,3,4,6-O-тетрабензил-1-(пиридин-1-ил) сульфонил-β-D-тиогалактопиранозид. Для получения соединения A13 использовали тот же способ получения с теми же требуемыми исходными материалами и реактивами, как описано в примере 2 (выход продукта 77 %). 1H-ЯМР (500 МГц, MeOD) δ 5,28 (синглет, 1H), 4,16 (синглет, 1H), 3,79 (дублет, J = 2,0 Гц, 2H), 3,46 (дублет дублетов, J = 20,4, 9,3 Гц, 2H), 3,38 (синглет, 1H), 3,35–3,31 (мультиплет, 1H), 3,23 (дублет, J = 9,5 Гц, 1H), 3,11 (дублет, J = 9,5 Гц, 1H), 2,88 (дублет дублетов, J = 13,5, 3,0 Гц, 1H), 2,03 (дублет дублетов, J = 13,5, 10,3 Гц, 1H), 1,93 (дублет, J = 7,1 Гц, 2H), 1,86–1,05 (мультиплет, 21H), 1,06–0,93 (мультиплет, 12H), 0,90–0,82 (мультиплет, 6H), 0,81 (дублет, J = 11,4 Гц, 1H). Масс-спектрометрия низкого разрешения (ИЭР): 631,43 [M-H]-.

Пример 14. (3R,5S,8R,9R,10S,14R,17R,18S)-Олеаноловой кислоты 3-(1“R)- (гидрокси)метил-β-D-галактопиранозид (A14)

Соединение 2,3,4,6-O-тетрабензил-1-(пиридин-1-ил)сульфонил-β-D-тиоглюкопиранозид было заменено на 2,3,4,6-O-тетрабензил-1-(пиридин-1-ил)сульфонил-β-D- тиогалактопиранозид и соединение (3S,5S,8R,9R,10S,14R,17R,18S)-28-O-бензил-3- олеаноловой кислоты альдегид было заменено на (3R,5S,8R,9R,10S,14R,17R,18S)- 28-O-бензил-3-олеаноловой кислоты альдегид. Для получения соединения A14 использовали тот же способ получения с теми же требуемыми исходными материалами и реактивами, как описано в примере 2 (выход продукта 74 %). 1H-ЯМР (500 МГц, MeOD) δ 5,28 (синглет, 1H), 4,16 (синглет, 1H), 3,79 (дублет, J = 2,0 Гц, 2H), 3,46 (дублет дублетов, J = 20,4, 9,3 Гц, 2H), 3,38 (синглет, 1H), 3,35–3,31 (мультиплет, 1H), 3,23 (дублет, J = 9,5 Гц, 1H), 3,11 (дублет, J = 9,5 Гц, 1H), 2,88 (дублет дублетов, J = 13,5, 3,0 Гц, 1H), 2,03 (дублет дублетов, J = 13,5, 10,3 Гц, 1H), 1,93 (дублет, J = 7,1 Гц, 2H), 1,86–1,05 (мультиплет, 21H), 1,06–0,93 (мультиплет, 12H), 0,90–0,82 (мультиплет, 6H), 0,81 (дублет, J = 11,4 Гц, 1H). Масс-спектрометрия низкого разрешения (ИЭР): 631,43 [M-H]-.

Пример 15. (3S,5S,8R,9R,10S,14R,17R,18S)-Олеаноловой кислоты 3-метил-β-D- галактопиранозид (A15)

Соединение 2,3,4,6-O-тетрабензил-1-(пиридин-1-ил)сульфонил-β-D-тиоглюкопиранозид было заменено на 2,3,4,6-O-тетрабензил-1-(пиридин-1-ил)сульфонил-β-D- тиогалактопиранозид. Для получения соединения A15 использовали тот же способ получения с теми же требуемыми исходными материалами и реактивами, как описано в примере 6 (выход продукта 63 %). 1H-ЯМР (500 МГц, MeOD) δ 5,28 (синглет, 1H), 4,16 (синглет, 1H), 3,79 (дублет, J = 2,0 Гц, 2H), 3,46 (дублет дублетов, J = 20,4, 9,3 Гц, 2H), 3,38 (синглет, 1H), 3,35–3,31 (мультиплет, 1H), 3,23 (дублет, J = 9,5 Гц, 1H), 3,11 (дублет, J = 9,5 Гц, 1H), 2,88 (дублет дублетов, J = 13,5, 3,0 Гц, 1H), 2,03 (дублет дублетов, J = 13,5, 10,3 Гц, 1H), 1,93 (дублет, J = 7,1 Гц, 2H), 1,86–1,05 (мультиплет, 21H), 1,06–0,93 (мультиплет, 12H), 0,90–0,82 (мультиплет, 6H), 0,81 (дублет, J = 11,4 Гц, 1H). Масс-спектрометрия низкого разрешения (ИЭР): 615,43 [M-H]-.

Пример 16. (3R,5S,8R,9R,10S,14R,17R,18S)-Олеаноловой кислоты 3-метил-β-D- галактопиранозид (A16)

Соединение 2,3,4,6-O-тетрабензил-1-(пиридин-1-ил)сульфонил-β-D- тиоглюкопиранозид было заменено на 2,3,4,6-O-тетрабензил-1-(пиридин-1-ил) сульфонил-β-D-тиогалактопиранозид и соединение (3S,5S,8R,9R,10S,14R,17R,18S)- 28-O-бензил-3-олеаноловой кислоты альдегид было заменено на (3R,5S,8R,9R,10S,14R,17R,18S)-28-O-бензил-3-олеаноловой кислоты альдегид. Для получения соединения A16 использовали тот же способ получения с теми же требуемыми исходными материалами и реактивами, как описано в примере 6 (выход продукта 74 %). 1H-ЯМР (500 МГц, MeOD) δ 5,28 (синглет, 1H), 4,16 (синглет, 1H), 3,79 (дублет, J = 2,0 Гц, 2H), 3,46 (дублет дублетов, J = 20,4, 9,3 Гц, 2H), 3,38 (синглет, 1H), 3,35–3,31 (мультиплет, 1H), 3,23 (дублет, J = 9,5 Гц, 1H), 3,11 (дублет, J = 9,5 Гц, 1H), 2,88 (дублет дублетов, J = 13,5, 3,0 Гц, 1H), 2,03 (дублет дублетов, J = 13,5, 10,3 Гц, 1H), 1,93 (дублет, J = 7,1 Гц, 2H), 1,86–1,05 (мультиплет, 21H), 1,06–0,93 (мультиплет, 12H), 0,90–0,82 (мультиплет, 6H), 0,81 (дублет, J = 11,4 Гц, 1H). Масс-спектрометрия низкого разрешения (ИЭР): 615,43 [M-H]-.

Пример 17. (3S,5S,8R,9R,10S,14R,17R,18S)-Олеаноловой кислоты 3-карбонил-β-D- галактопиранозид (A17)

Соединение 2,3,4,6-O-тетрабензил-1-(пиридин-1-ил)сульфонил-β-D-тиоглюкопиранозид было заменено на 2,3,4,6-O-тетрабензил-1-(пиридин-1-ил) сульфонил-β-D-тиогалактопиранозид. Для получения соединения A17 использовали тот же способ получения с теми же требуемыми исходными материалами и реактивами, как описано в примере 10 (выход продукта 81 %). 1H-ЯМР (500 МГц, MeOD) δ 5,28 (синглет, 1H), 4,16 (синглет, 1H), 3,79 (дублет, J = 2,0 Гц, 2H), 3,46 (дублет дублетов, J = 20,4, 9,3 Гц, 2H), 3,38 (синглет, 1H), 3,35–3,31 (мультиплет, 1H), 3,23 (дублет, J = 9,5 Гц, 1H), 3,11 (дублет, J = 9,5 Гц, 1H), 2,88 (дублет дублетов, J = 13,5, 3,0 Гц, 1H), 2,03 (дублет дублетов, J = 13,5, 10,3 Гц, 1H), 1,93 (дублет, J = 7,1 Гц, 2H), 1,86–1,05 (мультиплет, 21H), 1,06–0,93 (мультиплет, 12H), 0,90–0,82 (мультиплет, 6H), 0,81 (дублет, J = 11,4 Гц, 1H). Масс-спектрометрия низкого разрешения (ИЭР): 629,41 [M-H]-.

Пример 18. (3R,5S,8R,9R,10S,14R,17R,18S)-Олеаноловой кислоты 3-карбонил-β-D- галактопиранозид (A18)

Соединение 2,3,4,6-O-тетрабензил-1-(пиридин-1-ил)сульфонил-β-D-тиоглюкопиранозид было заменено на 2,3,4,6-O-тетрабензил-1-(пиридин-1-ил) сульфонил-β-D-тиогалактопиранозид и соединение (3S,5S,8R,9R,10S,14R,17R,18S)- 28-O-бензил-3-олеаноловой кислоты альдегид было заменено на (3R,5S,8R,9R,10S,14R,17R,18S)-28-O-бензил-3-олеаноловой кислоты альдегид. Для получения соединения A18 использовали тот же способ получения с теми же требуемыми исходными материалами и реактивами, как описано в примере 10 (выход продукта 86 %). 1H-ЯМР (500 МГц, MeOD) δ 5,28 (синглет, 1H), 4,16 (синглет, 1H), 3,79 (дублет, J = 2,0 Гц, 2H), 3,46 (дублет дублетов, J = 20,4, 9,3 Гц, 2H), 3,38 (синглет, 1H), 3,35–3,31 (мультиплет, 1H), 3,23 (дублет, J = 9,5 Гц, 1H), 3,11 (дублет, J = 9,5 Гц, 1H), 2,88 (дублет дублетов, J = 13,5, 3,0 Гц, 1H), 2,03 (дублет дублетов, J = 13,5, 10,3 Гц, 1H), 1,93 (дублет, J = 7,1 Гц, 2H), 1,86–1,05 (мультиплет, 21H), 1,06–0,93 (мультиплет, 12H), 0,90–0,82 (мультиплет, 6H), 0,81 (дублет, J = 11,4 Гц, 1H). Масс-спектрометрия низкого разрешения (ИЭР): 629,41 [M-H]-.

Пример 19. (3S,5S,8R,9R,10S,14R,17R,18S)-Олеаноловой кислоты 3-(1'S)-(гидрокси)метил-α-D-маннопиранозид (A19)

Соединение 2,3,4,6-O-тетрабензил-1-(пиридин-1-ил)сульфонил-β-D-тиоглюкопиранозид было заменено на 2,3,4,6-O-тетрабензил-1-(пиридин-1-ил) сульфонил-α-D-тиоманнопиранозид. Для получения соединения A19 использовали тот же способ получения с теми же требуемыми исходными материалами и реактивами, как описано в примере 2 (выход продукта 73 %). 1H-ЯМР (500 МГц, MeOD) δ 5,28 (синглет, 1H), 4,16 (синглет, 1H), 3,79 (дублет, J = 2,0 Гц, 2H), 3,46 (дублет дублетов, J = 20,4, 9,3 Гц, 2H), 3,38 (синглет, 1H), 3,35–3,31 (мультиплет, 1H), 3,23 (дублет, J = 9,5 Гц, 1H), 3,11 (дублет, J = 9,5 Гц, 1H), 2,88 (дублет дублетов, J = 13,5, 3,0 Гц, 1H), 2,03 (дублет дублетов, J = 13,5, 10,3 Гц, 1H), 1,93 (дублет, J = 7,1 Гц, 2H), 1,86–1,05 (мультиплет, 21H), 1,06–0,93 (мультиплет, 12H), 0,90–0,82 (мультиплет, 6H), 0,81 (дублет, J = 11,4 Гц, 1H). Масс-спектрометрия низкого разрешения (ИЭР): 631,43 [M-H]-.

Пример 20. (3R,5S,8R,9R,10S,14R,17R,18S)-Олеаноловой кислоты 3-(1'S)-(гидрокси) метил-α-D-маннопиранозид (A20)

Соединение 2,3,4,6-O-тетрабензил-1-(пиридин-1-ил)сульфонил-β-D-тиоглюкопиранозид было заменено на 2,3,4,6-O-тетрабензил-1-(пиридин-1-ил)сульфонил-α-D- тиоманнопиранозид и соединение (3S,5S,8R,9R,10S,14R,17R,18S)-28-O-бензил-3- олеаноловой кислоты альдегид было заменено на (3R,5S,8R,9R,10S,14R,17R,18S)-28-O-бензил-3-олеаноловой кислоты альдегид. Для получения соединения A20 использовали тот же способ получения с теми же требуемыми исходными материалами и реактивами, как описано в примере 2 (выход продукта 62 %). 1H-ЯМР (500 МГц, MeOD) δ 5,28 (синглет, 1H), 4,16 (синглет, 1H), 3,79 (дублет, J = 2,0 Гц, 2H), 3,46 (дублет дублетов, J = 20,4, 9,3 Гц, 2H), 3,38 (синглет, 1H), 3,35–3,31 (мультиплет, 1H), 3,23 (дублет, J = 9,5 Гц, 1H), 3,11 (дублет, J = 9,5 Гц, 1H), 2,88 (дублет дублетов, J = 13,5, 3,0 Гц, 1H), 2,03 (дублет дублетов, J = 13,5, 10,3 Гц, 1H), 1,93 (дублет, J = 7,1 Гц, 2H), 1,86–1,05 (мультиплет, 21H), 1,06–0,93 (мультиплет, 12H), 0,90–0,82 (мультиплет, 6H), 0,81 (дублет, J = 11,4 Гц, 1H). Масс-спектрометрия низкого разрешения (ИЭР): 631,43 [M-H]-.

Пример 21. (3S,5S,8R,9R,10S,14R,17R,18S)-Олеаноловой кислоты 3-метил- α-D-маннопиранозид (A21)

Соединение 2,3,4,6-O-тетрабензил-1-(пиридин-1-ил)сульфонил-β-D-тиоглюкопиранозид было заменено на 2,3,4,6-O-тетрабензил-1-(пиридин-1-ил)сульфонил-α-D- тиоманнопиранозид. Для получения соединения A21 использовали тот же способ получения с теми же требуемыми исходными материалами и реактивами, как описано в примере 6 (выход продукта 65 %). 1H-ЯМР (500 МГц, MeOD) δ 5,28 (синглет, 1H), 4,16 (синглет, 1H), 3,79 (дублет, J = 2,0 Гц, 2H), 3,46 (дублет дублетов, J = 20,4, 9,3 Гц, 2H), 3,38 (синглет, 1H), 3,35–3,31 (мультиплет, 1H), 3,23 (дублет, J = 9,5 Гц, 1H), 3,11 (дублет, J = 9,5 Гц, 1H), 2,88 (дублет дублетов, J = 13,5, 3,0 Гц, 1H), 2,03 (дублет дублетов, J = 13,5, 10,3 Гц, 1H), 1,93 (дублет, J = 7,1 Гц, 2H), 1,86–1,05 (мультиплет, 21H), 1,06–0,93 (мультиплет, 12H), 0,90–0,82 (мультиплет, 6H), 0,81 (дублет, J = 11,4 Гц, 1H). Масс-спектрометрия низкого разрешения (ИЭР): 615,43 [M-H]-.

Пример 22. (3R,5S,8R,9R,10S,14R,17R,18S)-Олеаноловой кислоты 3-метил- α-D-маннопиранозид (A22)

Соединение 2,3,4,6-O-тетрабензил-1-(пиридин-1-ил)сульфонил-β-D-тиоглюкопиранозид было заменено на 2,3,4,6-O-тетрабензил-1-(пиридин-1-ил) сульфонил-α-D-тиоманнопиранозид и соединение (3S,5S,8R,9R,10S,14R,17R,18S)- 28-O-бензил-3-олеаноловой кислоты альдегид было заменено на (3R,5S,8R,9R,10S,14R,17R,18S)-28-O-бензил-3-олеаноловой кислоты альдегид. Для получения соединения A22 использовали тот же способ получения с теми же требуемыми исходными материалами и реактивами, как описано в примере 6 (выход продукта 64 %). 1H-ЯМР (500 МГц, MeOD) δ 5,28 (синглет, 1H), 4,16 (синглет, 1H), 3,79 (дублет, J = 2,0 Гц, 2H), 3,46 (дублет дублетов, J = 20,4, 9,3 Гц, 2H), 3,38 (синглет, 1H), 3,35–3,31 (мультиплет, 1H), 3,23 (дублет, J = 9,5 Гц, 1H), 3,11 (дублет, J = 9,5 Гц, 1H), 2,88 (дублет дублетов, J = 13,5, 3,0 Гц, 1H), 2,03 (дублет дублетов, J = 13,5, 10,3 Гц, 1H), 1,93 (дублет, J = 7,1 Гц, 2H), 1,86–1,05 (мультиплет, 21H), 1,06–0,93 (мультиплет, 12H), 0,90–0,82 (мультиплет, 6H), 0,81 (дублет, J = 11,4 Гц, 1H). Масс-спектрометрия низкого разрешения (ИЭР): 615,43 [M-H]-.

Пример 23. (3S,5S,8R,9R,10S,14R,17R,18S)-Олеаноловой кислоты 3-карбонил- α-D-маннопиранозид (A23)

Соединение 2,3,4,6-O-тетрабензил-1-(пиридин-1-ил)сульфонил-β-D-тиоглюкопиранозид было заменено на 2,3,4,6-O-тетрабензил-1-(пиридин-1-ил) сульфонил-α-D-тиоманнопиранозид. Для получения соединения A23 использовали тот же способ получения с теми же требуемыми исходными материалами и реактивами, как описано в примере 10 (выход продукта 91 %). 1H-ЯМР (500 МГц, MeOD) δ 5,28 (синглет, 1H), 4,16 (синглет, 1H), 3,79 (дублет, J = 2,0 Гц, 2H), 3,46 (дублет дублетов, J = 20,4, 9,3 Гц, 2H), 3,38 (синглет, 1H), 3,35–3,31 (мультиплет, 1H), 3,23 (дублет, J = 9,5 Гц, 1H), 3,11 (дублет, J = 9,5 Гц, 1H), 2,88 (дублет дублетов, J = 13,5, 3,0 Гц, 1H), 2,03 (дублет дублетов, J = 13,5, 10,3 Гц, 1H), 1,93 (дублет, J = 7,1 Гц, 2H), 1,86–1,05 (мультиплет, 21H), 1,06–0,93 (мультиплет, 12H), 0,90–0,82 (мультиплет, 6H), 0,81 (дублет, J = 11,4 Гц, 1H). Масс-спектрометрия низкого разрешения (ИЭР): 629,41 [M-H]-.

Пример 24. (3R,5S,8R,9R,10S,14R,17R,18S)-Олеаноловой кислоты 3-карбонил- α-D-маннопиранозид (A24)

Соединение 2,3,4,6-O-тетрабензил-1-(пиридин-1-ил)сульфонил-β-D-тиоглюкопиранозид было заменено на 2,3,4,6-O-тетрабензил-1-(пиридин-1-ил) сульфонил-α-D-тиоманнопиранозид и соединение (3S,5S,8R,9R,10S,14R,17R,18S)- 28-O-бензил-3-олеаноловой кислоты альдегид было заменено на (3R,5S,8R,9R,10S,14R,17R,18S)-28-O-бензил-3-олеаноловой кислоты альдегид. Для получения соединения A24 использовали тот же способ получения с теми же требуемыми исходными материалами и реактивами, как описано в примере 10 (выход продукта 86 %). 1H-ЯМР (500 МГц, MeOD) δ 5,28 (синглет, 1H), 4,16 (синглет, 1H), 3,79 (дублет, J = 2,0 Гц, 2H), 3,46 (дублет дублетов, J = 20,4, 9,3 Гц, 2H), 3,38 (синглет, 1H), 3,35–3,31 (мультиплет, 1H), 3,23 (дублет, J = 9,5 Гц, 1H), 3,11 (дублет, J = 9,5 Гц, 1H), 2,88 (дублет дублетов, J = 13,5, 3,0 Гц, 1H), 2,03 (дублет дублетов, J = 13,5, 10,3 Гц, 1H), 1,93 (дублет, J = 7,1 Гц, 2H), 1,86–1,05 (мультиплет, 21H), 1,06–0,93 (мультиплет, 12H), 0,90–0,82 (мультиплет, 6H), 0,81 (дублет, J = 11,4 Гц, 1H). Масс-спектрометрия низкого разрешения (ИЭР): 629,41 [M-H]-.

Пример 25. (3S,5S,8R,9R,10S,14R,17R,18S)-Олеаноловой кислоты 3-(1'R)-(гидрокси) метил-β-D-глюкуронопиранозид (A25)

Соединение 2,3,4,6-O-тетрабензил-1-(пиридин-1-ил)сульфонил-β-D-тиоглюкопиранозид было заменено на 2,3,4,6-O-тетрабензил-1-(пиридин-1-ил) сульфонил-β-D-тиоглюкуронопиранозид. Для получения соединения A25 использовали тот же способ получения с теми же требуемыми исходными материалами и реактивами, как описано в примере 2 (выход продукта 77 %). 1H-ЯМР (500 МГц, MeOD) δ 5,28 (синглет, 1H), 4,16 (синглет, 1H), 3,79 (дублет, J = 2,0 Гц, 2H), 3,46 (дублет дублетов, J = 20,4, 9,3 Гц, 2H), 3,38 (синглет, 1H), 3,35–3,31 (мультиплет, 1H), 3,23 (дублет, J = 9,5 Гц, 1H), 3,11 (дублет, J = 9,5 Гц, 1H), 2,88 (дублет дублетов, J = 13,5, 3,0 Гц, 1H), 2,03 (дублет дублетов, J = 13,5, 10,3 Гц, 1H), 1,93 (дублет, J = 7,1 Гц, 2H), 1,86–1,05 (мультиплет, 21H), 1,06–0,93 (мультиплет, 12H), 0,90–0,82 (мультиплет, 6H), 0,81 (дублет, J = 11,4 Гц, 1H). Масс-спектрометрия низкого разрешения (ИЭР): 645,41 [M-H]-.

Пример 26. (3R,5S,8R,9R,10S,14R,17R,18S)-Олеаноловой кислоты 3-(1'R)-(гидрокси) метил-β-D-глюкуронопиранозид (A26)

Соединение 2,3,4,6-O-тетрабензил-1-(пиридин-1-ил)сульфонил-β-D-тиоглюкопиранозид было заменено на 2,3,4,6-O-тетрабензил-1-(пиридин-1-ил)сульфонил-β-D- тиоглюкуронопиранозид и соединение (3S,5S,8R,9R,10S,14R,17R,18S)-28-O-бензил- 3-олеаноловой кислоты альдегид было заменено на (3R,5S,8R,9R,10S,14R,17R,18S)-28-O-бензил-3-олеаноловой кислоты альдегид. Для получения соединения A26 использовали тот же способ получения с теми же требуемыми исходными материалами и реактивами, как описано в примере 2 (выход продукта 72 %). 1H-ЯМР (500 МГц, MeOD) δ 5,28 (синглет, 1H), 4,16 (синглет, 1H), 3,79 (дублет, J = 2,0 Гц, 2H), 3,46 (дублет дублетов, J = 20,4, 9,3 Гц, 2H), 3,38 (синглет, 1H), 3,35–3,31 (мультиплет, 1H), 3,23 (дублет, J = 9,5 Гц, 1H), 3,11 (дублет, J = 9,5 Гц, 1H), 2,88 (дублет дублетов, J = 13,5, 3,0 Гц, 1H), 2,03 (дублет дублетов, J = 13,5, 10,3 Гц, 1H), 1,93 (дублет, J = 7,1 Гц, 2H), 1,86–1,05 (мультиплет, 21H), 1,06–0,93 (мультиплет, 12H), 0,90–0,82 (мультиплет, 6H), 0,81 (дублет, J = 11,4 Гц, 1H). Масс-спектрометрия низкого разрешения (ИЭР): 645,41 [M-H]-.

Пример 27. (3S,5S,8R,9R,10S,14R,17R,18S)-Олеаноловой кислоты 3-метил- β-D-глюкуронопиранозид (A27)

Соединение 2,3,4,6-O-тетрабензил-1-(пиридин-1-ил)сульфонил-β-D-тиоглюкопиранозид было заменено на 2,3,4,6-O-тетрабензил-1-(пиридин-1-ил)сульфонил-β-D- тиоглюкуронопиранозид. Для получения соединения A27 использовали тот же способ получения с теми же требуемыми исходными материалами и реактивами, как описано в примере 6 (выход продукта 65 %). 1H-ЯМР (500 МГц, MeOD) δ 5,28 (синглет, 1H), 4,16 (синглет, 1H), 3,79 (дублет, J = 2,0 Гц, 2H), 3,46 (дублет дублетов, J = 20,4, 9,3 Гц, 2H), 3,38 (синглет, 1H), 3,35–3,31 (мультиплет, 1H), 3,23 (дублет, J = 9,5 Гц, 1H), 3,11 (дублет, J = 9,5 Гц, 1H), 2,88 (дублет дублетов, J = 13,5, 3,0 Гц, 1H), 2,03 (дублет дублетов, J = 13,5, 10,3 Гц, 1H), 1,93 (дублет, J = 7,1 Гц, 2H), 1,86–1,05 (мультиплет, 21H), 1,06–0,93 (мультиплет, 12H), 0,90–0,82 (мультиплет, 6H), 0,81 (дублет, J = 11,4 Гц, 1H). Масс-спектрометрия низкого разрешения (ИЭР): 629,41 [M-H]-.

Пример 28. (3R,5S,8R,9R,10S,14R,17R,18S)-Олеаноловой кислоты 3-метил- β-D-глюкуронопиранозид (A28)

Соединение 2,3,4,6-O-тетрабензил-1-(пиридин-1-ил)сульфонил-β-D-тиоглюкопиранозид было заменено на 2,3,4,6-O-тетрабензил-1-(пиридин-1-ил) сульфонил-β-D-тиоглюкуронопиранозид и соединение (3S,5S,8R,9R,10S,14R,17R,18S)-28-O-бензил-3-олеаноловой кислоты альдегид было заменено на (3R,5S,8R,9R,10S,14R,17R,18S)-28-O-бензил-3-олеаноловой кислоты альдегид. Для получения соединения A28 использовали тот же способ получения с теми же требуемыми исходными материалами и реактивами, как описано в примере 6 (выход продукта 65 %). 1H-ЯМР (500 МГц, MeOD) δ 5,28 (синглет, 1H), 4,16 (синглет, 1H), 3,79 (дублет, J = 2,0 Гц, 2H), 3,46 (дублет дублетов, J = 20,4, 9,3 Гц, 2H), 3,38 (синглет, 1H), 3,35–3,31 (мультиплет, 1H), 3,23 (дублет, J = 9,5 Гц, 1H), 3,11 (дублет, J = 9,5 Гц, 1H), 2,88 (дублет дублетов, J = 13,5, 3,0 Гц, 1H), 2,03 (дублет дублетов, J = 13,5, 10,3 Гц, 1H), 1,93 (дублет, J = 7,1 Гц, 2H), 1,86–1,05 (мультиплет, 21H), 1,06–0,93 (мультиплет, 12H), 0,90–0,82 (мультиплет, 6H), 0,81 (дублет, J = 11,4 Гц, 1H). Масс-спектрометрия низкого разрешения (ИЭР): 629,41 [M-H]-.

Пример 29. (3S,5S,8R,9R,10S,14R,17R,18S)-Олеаноловой кислоты 3-карбонил- β-D-глюкуронопиранозид (A29)

Соединение 2,3,4,6-O-тетрабензил-1-(пиридин-1-ил)сульфонил-β-D-тиоглюкопиранозид было заменено на 2,3,4,6-O-тетрабензил-1-(пиридин-1-ил) сульфонил-β-D-тиоглюкуронопиранозид. Для получения соединения A29 использовали тот же способ получения с теми же требуемыми исходными материалами и реактивами, как описано в примере 10 (выход продукта 89 %). 1H-ЯМР (500 МГц, MeOD) δ 5,28 (синглет, 1H), 4,16 (синглет, 1H), 3,79 (дублет, J = 2,0 Гц, 2H), 3,46 (дублет дублетов, J = 20,4, 9,3 Гц, 2H), 3,38 (синглет, 1H), 3,35–3,31 (мультиплет, 1H), 3,23 (дублет, J = 9,5 Гц, 1H), 3,11 (дублет, J = 9,5 Гц, 1H), 2,88 (дублет дублетов, J = 13,5, 3,0 Гц, 1H), 2,03 (дублет дублетов, J = 13,5, 10,3 Гц, 1H), 1,93 (дублет, J = 7,1 Гц, 2H), 1,86–1,05 (мультиплет, 21H), 1,06–0,93 (мультиплет, 12H), 0,90–0,82 (мультиплет, 6H), 0,81 (дублет, J = 11,4 Гц, 1H). Масс-спектрометрия низкого разрешения (ИЭР): 643,39 [M-H]-.

Пример 30. (3R,5S,8R,9R,10S,14R,17R,18S)-Олеаноловой кислоты 3-карбонил- β-D-глюкуронопиранозид (A30)

Соединение 2,3,4,6-O-тетрабензил-1-(пиридин-1-ил)сульфонил-β-D-тиоглюкопиранозид было заменено на 2,3,4,6-O-тетрабензил-1-(пиридин-1-ил) сульфонил-β-D-тиоглюкуронопиранозид и соединение (3S,5S,8R,9R,10S,14R,17R,18S)-28-O-бензил-3-олеаноловой кислоты альдегид было заменено на (3R,5S,8R,9R,10S,14R,17R,18S)-28-O-бензил-3-олеаноловой кислоты альдегид. Для получения соединения A30 использовали тот же способ получения с теми же требуемыми исходными материалами и реактивами, как описано в примере 10 (выход продукта 88 %). 1H-ЯМР (500 МГц, MeOD) δ 5,28 (синглет, 1H), 4,16 (синглет, 1H), 3,79 (дублет, J = 2,0 Гц, 2H), 3,46 (дублет дублетов, J = 20,4, 9,3 Гц, 2H), 3,38 (синглет, 1H), 3,35–3,31 (мультиплет, 1H), 3,23 (дублет, J = 9,5 Гц, 1H), 3,11 (дублет, J = 9,5 Гц, 1H), 2,88 (дублет дублетов, J = 13,5, 3,0 Гц, 1H), 2,03 (дублет дублетов, J = 13,5, 10,3 Гц, 1H), 1,93 (дублет, J = 7,1 Гц, 2H), 1,86–1,05 (мультиплет, 21H), 1,06–0,93 (мультиплет, 12H), 0,90–0,82 (мультиплет, 6H), 0,81 (дублет, J = 11,4 Гц, 1H). Масс-спектрометрия низкого разрешения (ИЭР): 643,39 [M-H]-.

Пример 31. (3S,5S,8R,9R,10S,14R,17R,18S)-Олеаноловой кислоты 3-(1'R)-(гидрокси) метил-6''-дезокси-β-D-глюкопиранозид (A31)

Соединение 2,3,4,6-O-тетрабензил-1-(пиридин-1-ил)сульфонил-β-D-тиоглюкопиранозид было заменено на 2,3,4,6-O-тетрабензил-1-(пиридин-1-ил) сульфонил-6-дезокси-β-D-тиоглюкопиранозид. Для получения соединения A31 использовали тот же способ получения с теми же требуемыми исходными материалами и реактивами, как описано в примере 2 (выход продукта 67 %). 1H-ЯМР (500 МГц, MeOD) δ 5,28 (синглет, 1H), 4,16 (синглет, 1H), 3,79 (дублет, J = 2,0 Гц, 2H), 3,46 (дублет дублетов, J = 20,4, 9,3 Гц, 2H), 3,38 (синглет, 1H), 3,35–3,31 (мультиплет, 1H), 3,23 (дублет, J = 9,5 Гц, 1H), 3,11 (дублет, J = 9,5 Гц, 1H), 2,88 (дублет дублетов, J = 13,5, 3,0 Гц, 1H), 2,03 (дублет дублетов, J = 13,5, 10,3 Гц, 1H), 1,93 (дублет, J = 7,1 Гц, 2H), 1,86–1,05 (мультиплет, 21H), 1,06–0,93 (мультиплет, 12H), 0,90–0,82 (мультиплет, 6H), 0,81 (дублет, J = 11,4 Гц, 1H). Масс-спектрометрия низкого разрешения (ИЭР): 615,43 [M-H]-.

Пример 32. (3R,5S,8R,9R,10S,14R,17R,18S)-Олеаноловой кислоты 3-(1'R)-(гидрокси) метил-6''-дезокси-β-D-глюкопиранозид (A32)

Соединение 2,3,4,6-O-тетрабензил-1-(пиридин-1-ил)сульфонил-β-D-тиоглюкопиранозид было заменено на 2,3,4,6-O-тетрабензил-1-(пиридин-1-ил)сульфонил- 6-дезокси-β-D-тиоглюкопиранозид и соединение (3S,5S,8R,9R,10S,14R,17R,18S)- 28-O-бензил-3-олеаноловой кислоты альдегид было заменено на (3R,5S,8R,9R,10S,14R,17R,18S)-28-O-бензил-3-олеаноловой кислоты альдегид. Для получения соединения A32 использовали тот же способ получения с теми же требуемыми исходными материалами и реактивами, как описано в примере 2 (выход продукта 78 %). 1H-ЯМР (500 МГц, MeOD) δ 5,28 (синглет, 1H), 4,16 (синглет, 1H), 3,79 (дублет, J = 2,0 Гц, 2H), 3,46 (дублет дублетов, J = 20,4, 9,3 Гц, 2H), 3,38 (синглет, 1H), 3,35–3,31 (мультиплет, 1H), 3,23 (дублет, J = 9,5 Гц, 1H), 3,11 (дублет, J = 9,5 Гц, 1H), 2,88 (дублет дублетов, J = 13,5, 3,0 Гц, 1H), 2,03 (дублет дублетов, J = 13,5, 10,3 Гц, 1H), 1,93 (дублет, J = 7,1 Гц, 2H), 1,86–1,05 (мультиплет, 21H), 1,06–0,93 (мультиплет, 12H), 0,90–0,82 (мультиплет, 6H), 0,81 (дублет, J = 11,4 Гц, 1H). Масс-спектрометрия низкого разрешения (ИЭР): 615,43 [M-H]-.

Пример 33. (3S,5S,8R,9R,10S,14R,17R,18S)-Олеаноловой кислоты 3-метил- 6''-дезокси-β-D-глюкопиранозид (A33)

Соединение 2,3,4,6-O-тетрабензил-1-(пиридин-1-ил)сульфонил-β-D-тиоглюкопиранозид было заменено на 2,3,4,6-O-тетрабензил-1-(пиридин-1-ил)сульфонил- 6-дезокси-β-D-тиоглюкопиранозид. Для получения соединения A33 использовали тот же способ получения с теми же требуемыми исходными материалами и реактивами, как описано в примере 6 (выход продукта 68 %). 1H-ЯМР (500 МГц, MeOD) δ 5,28 (синглет, 1H), 4,16 (синглет, 1H), 3,79 (дублет, J = 2,0 Гц, 2H), 3,46 (дублет дублетов, J = 20,4, 9,3 Гц, 2H), 3,38 (синглет, 1H), 3,35–3,31 (мультиплет, 1H), 3,23 (дублет, J = 9,5 Гц, 1H), 3,11 (дублет, J = 9,5 Гц, 1H), 2,88 (дублет дублетов, J = 13,5, 3,0 Гц, 1H), 2,03 (дублет дублетов, J = 13,5, 10,3 Гц, 1H), 1,93 (дублет, J = 7,1 Гц, 2H), 1,86–1,05 (мультиплет, 21H), 1,06–0,93 (мультиплет, 12H), 0,90–0,82 (мультиплет, 6H), 0,81 (дублет, J = 11,4 Гц, 1H). Масс-спектрометрия низкого разрешения (ИЭР): 599,44 [M-H]-.

Пример 34. (3R,5S,8R,9R,10S,14R,17R,18S)-Олеаноловой кислоты 3-метил-6''- дезокси-β-D-глюкопиранозид (A34)

Соединение 2,3,4,6-O-тетрабензил-1-(пиридин-1-ил)сульфонил-β-D-тиоглюкопиранозид было заменено на 2,3,4,6-O-тетрабензил-1-(пиридин-1-ил)сульфонил-6- дезокси-β-D-тиоглюкопиранозид и соединение (3S,5S,8R,9R,10S,14R,17R,18S)- 28-O-бензил-3-олеаноловой кислоты альдегид было заменено на (3R,5S,8R,9R,10S,14R,17R,18S)-28-O-бензил-3-олеаноловой кислоты альдегид. Для получения соединения A34 использовали тот же способ получения с теми же требуемыми исходными материалами и реактивами, как описано в примере 6 (выход продукта 65 %). 1H-ЯМР (500 МГц, MeOD) δ 5,28 (синглет, 1H), 4,16 (синглет, 1H), 3,79 (дублет, J = 2,0 Гц, 2H), 3,46 (дублет дублетов, J = 20,4, 9,3 Гц, 2H), 3,38 (синглет, 1H), 3,35–3,31 (мультиплет, 1H), 3,23 (дублет, J = 9,5 Гц, 1H), 3,11 (дублет, J = 9,5 Гц, 1H), 2,88 (дублет дублетов, J = 13,5, 3,0 Гц, 1H), 2,03 (дублет дублетов, J = 13,5, 10,3 Гц, 1H), 1,93 (дублет, J = 7,1 Гц, 2H), 1,86–1,05 (мультиплет, 21H), 1,06–0,93 (мультиплет, 12H), 0,90–0,82 (мультиплет, 6H), 0,81 (дублет, J = 11,4 Гц, 1H). Масс-спектрометрия низкого разрешения (ИЭР): 599,44 [M-H]-.

Пример 35. (3S,5S,8R,9R,10S,14R,17R,18S)-Олеаноловой кислоты 3-карбонил-6''- дезокси-β-D-глюкопиранозид (A35)

Соединение 2,3,4,6-O-тетрабензил-1-(пиридин-1-ил)сульфонил-β-D-тиоглюкопиранозид было заменено на 2,3,4,6-O-тетрабензил-1-(пиридин-1-ил)сульфонил-6- дезокси-β-D-тиоглюкопиранозид. Для получения соединения A35 использовали тот же способ получения с теми же требуемыми исходными материалами и реактивами, как описано в примере 10 (выход продукта 86 %). 1H-ЯМР (500 МГц, MeOD) δ 5,28 (синглет, 1H), 4,16 (синглет, 1H), 3,79 (дублет, J = 2,0 Гц, 2H), 3,46 (дублет дублетов, J = 20,4, 9,3 Гц, 2H), 3,38 (синглет, 1H), 3,35–3,31 (мультиплет, 1H), 3,23 (дублет, J = 9,5 Гц, 1H), 3,11 (дублет, J = 9,5 Гц, 1H), 2,88 (дублет дублетов, J = 13,5, 3,0 Гц, 1H), 2,03 (дублет дублетов, J = 13,5, 10,3 Гц, 1H), 1,93 (дублет, J = 7,1 Гц, 2H), 1,86–1,05 (мультиплет, 21H), 1,06–0,93 (мультиплет, 12H), 0,90–0,82 (мультиплет, 6H), 0,81 (дублет, J = 11,4 Гц, 1H). Масс-спектрометрия низкого разрешения (ИЭР): 613,42 [M-H]-.

Пример 36. (3R,5S,8R,9R,10S,14R,17R,18S)-Олеаноловой кислоты 3-карбонил- 6''-дезокси-β-D-глюкопиранозид (A36)

Соединение 2,3,4,6-O-тетрабензил-1-(пиридин-1-ил)сульфонил-β-D-тиоглюкопиранозид было заменено на 2,3,4,6-O-тетрабензил-1-(пиридин-1-ил)сульфонил- 6-дезокси-β-D-тиоглюкопиранозид и соединение (3S,5S,8R,9R,10S,14R,17R,18S)- 28-O-бензил-3-олеаноловой кислоты альдегид было заменено на (3R,5S,8R,9R,10S,14R,17R,18S)-28-O-бензил-3-олеаноловой кислоты альдегид. Для получения соединения A36 использовали тот же способ получения с теми же требуемыми исходными материалами и реактивами, как описано в примере 10 (выход продукта 85 %). 1H-ЯМР (500 МГц, MeOD) δ 5,28 (синглет, 1H), 4,16 (синглет, 1H), 3,79 (дублет, J = 2,0 Гц, 2H), 3,46 (дублет дублетов, J = 20,4, 9,3 Гц, 2H), 3,38 (синглет, 1H), 3,35–3,31 (мультиплет, 1H), 3,23 (дублет, J = 9,5 Гц, 1H), 3,11 (дублет, J = 9,5 Гц, 1H), 2,88 (дублет дублетов, J = 13,5, 3,0 Гц, 1H), 2,03 (дублет дублетов, J = 13,5, 10,3 Гц, 1H), 1,93 (дублет, J = 7,1 Гц, 2H), 1,86–1,05 (мультиплет, 21H), 1,06–0,93 (мультиплет, 12H), 0,90–0,82 (мультиплет, 6H), 0,81 (дублет, J = 11,4 Гц, 1H). Масс-спектрометрия низкого разрешения (ИЭР): 613,42 [M-H]-.

Пример 37. (3S,5S,8R,9R,10S,14R,17R,18S)-Олеаноловой кислоты 3-(1'R)-(гидрокси) метил-β-D-ксилопиранозид (A37)

Соединение 2,3,4,6-O-тетрабензил-1-(пиридин-1-ил)сульфонил-β-D-тиоглюкопиранозид было заменено на 2,3,4,6-O-тетрабензил-1-(пиридин-1-ил)сульфонил-β-D- тиоксилопиранозид. Для получения соединения A37 использовали тот же способ получения с теми же требуемыми исходными материалами и реактивами, как описано в примере 2 (выход продукта 77 %). 1H-ЯМР (500 МГц, MeOD) δ 5,28 (синглет, 1H), 4,16 (синглет, 1H), 3,79 (дублет, J = 2,0 Гц, 2H), 3,46 (дублет дублетов, J = 20,4, 9,3 Гц, 2H), 3,38 (синглет, 1H), 3,35–3,31 (мультиплет, 1H), 3,23 (дублет, J = 9,5 Гц, 1H), 3,11 (дублет, J = 9,5 Гц, 1H), 2,88 (дублет дублетов, J = 13,5, 3,0 Гц, 1H), 2,03 (дублет дублетов, J = 13,5, 10,3 Гц, 1H), 1,93 (дублет, J = 7,1 Гц, 2H), 1,86–1,05 (мультиплет, 21H), 1,06–0,93 (мультиплет, 12H), 0,90–0,82 (мультиплет, 6H), 0,81 (дублет, J = 11,4 Гц, 1H). Масс-спектрометрия низкого разрешения (ИЭР): 601,42 [M-H]-.

Пример 38. (3R,5S,8R,9R,10S,14R,17R,18S)-Олеаноловой кислоты 3-(1'R)-(гидрокси) метил-β-D-ксилопиранозид (A38)

Соединение 2,3,4,6-O-тетрабензил-1-(пиридин-1-ил)сульфонил-β-D-тиоглюкопиранозид было заменено на 2,3,4,6-O-тетрабензил-1-(пиридин-1-ил)сульфонил- β-D-тиоксилопиранозид и соединение (3S,5S,8R,9R,10S,14R,17R,18S)-28-O-бензил- 3-олеаноловой кислоты альдегид было заменено на (3R,5S,8R,9R,10S,14R,17R,18S)- 28-O-бензил-3-олеаноловой кислоты альдегид. Для получения соединения A38 использовали тот же способ получения с теми же требуемыми исходными материалами и реактивами, как описано в примере 2 (выход продукта 78 %). 1H-ЯМР (500 МГц, MeOD) δ 5,28 (синглет, 1H), 4,16 (синглет, 1H), 3,79 (дублет, J = 2,0 Гц, 2H), 3,46 (дублет дублетов, J = 20,4, 9,3 Гц, 2H), 3,38 (синглет, 1H), 3,35–3,31 (мультиплет, 1H), 3,23 (дублет, J = 9,5 Гц, 1H), 3,11 (дублет, J = 9,5 Гц, 1H), 2,88 (дублет дублетов, J = 13,5, 3,0 Гц, 1H), 2,03 (дублет дублетов, J = 13,5, 10,3 Гц, 1H), 1,93 (дублет, J = 7,1 Гц, 2H), 1,86–1,05 (мультиплет, 21H), 1,06–0,93 (мультиплет, 12H), 0,90–0,82 (мультиплет, 6H), 0,81 (дублет, J = 11,4 Гц, 1H). Масс-спектрометрия низкого разрешения (ИЭР): 601,42 [M-H]-.

Пример 39. (3S,5S,8R,9R,10S,14R,17R,18S)-Олеаноловой кислоты 3-метил- β-D-ксилопиранозид (A39)

Соединение 2,3,4,6-O-тетрабензил-1-(пиридин-1-ил)сульфонил-β-D-тиоглюкопиранозид было заменено на 2,3,4,6-O-тетрабензил-1-(пиридин-1-ил)сульфонил- β-D-тиоксилопиранозид. Для получения соединения A39 использовали тот же способ получения с теми же требуемыми исходными материалами и реактивами, как описано в примере 6 (выход продукта 69 %). 1H-ЯМР (500 МГц, MeOD) δ 5,28 (синглет, 1H), 4,16 (синглет, 1H), 3,79 (дублет, J = 2,0 Гц, 2H), 3,46 (дублет дублетов, J = 20,4, 9,3 Гц, 2H), 3,38 (синглет, 1H), 3,35–3,31 (мультиплет, 1H), 3,23 (дублет, J = 9,5 Гц, 1H), 3,11 (дублет, J = 9,5 Гц, 1H), 2,88 (дублет дублетов, J = 13,5, 3,0 Гц, 1H), 2,03 (дублет дублетов, J = 13,5, 10,3 Гц, 1H), 1,93 (дублет, J = 7,1 Гц, 2H), 1,86–1,05 (мультиплет, 21H), 1,06–0,93 (мультиплет, 12H), 0,90–0,82 (мультиплет, 6H), 0,81 (дублет, J = 11,4 Гц, 1H). Масс-спектрометрия низкого разрешения (ИЭР): 585,42 [M-H]-.

Пример 40. (3R,5S,8R,9R,10S,14R,17R,18S)-Олеаноловой кислоты 3-метил- β-D-ксилопиранозид (A40)

Соединение 2,3,4,6-O-тетрабензил-1-(пиридин-1-ил)сульфонил-β-D-тиоглюкопиранозид было заменено на 2,3,4,6-O-тетрабензил-1-(пиридин-1-ил) сульфонил-β-D-тиоксилопиранозид и соединение (3S,5S,8R,9R,10S,14R,17R,18S)- 28-O-бензил-3-олеаноловой кислоты альдегид было заменено на (3R,5S,8R,9R,10S,14R,17R,18S)-28-O-бензил-3-олеаноловой кислоты альдегид. Для получения соединения A40 использовали тот же способ получения с теми же требуемыми исходными материалами и реактивами, как описано в примере 6 (выход продукта 66 %). 1H-ЯМР (500 МГц, MeOD) δ 5,28 (синглет, 1H), 4,16 (синглет, 1H), 3,79 (дублет, J = 2,0 Гц, 2H), 3,46 (дублет дублетов, J = 20,4, 9,3 Гц, 2H), 3,38 (синглет, 1H), 3,35–3,31 (мультиплет, 1H), 3,23 (дублет, J = 9,5 Гц, 1H), 3,11 (дублет, J = 9,5 Гц, 1H), 2,88 (дублет дублетов, J = 13,5, 3,0 Гц, 1H), 2,03 (дублет дублетов, J = 13,5, 10,3 Гц, 1H), 1,93 (дублет, J = 7,1 Гц, 2H), 1,86–1,05 (мультиплет, 21H), 1,06–0,93 (мультиплет, 12H), 0,90–0,82 (мультиплет, 6H), 0,81 (дублет, J = 11,4 Гц, 1H). Масс-спектрометрия низкого разрешения (ИЭР): 585,42 [M-H]-.

Пример 41. (3S,5S,8R,9R,10S,14R,17R,18S)-Олеаноловой кислоты 3-карбонил- β-D-ксилопиранозид (A41)

Соединение 2,3,4,6-O-тетрабензил-1-(пиридин-1-ил)сульфонил-β-D-тиоглюкопиранозид было заменено на 2,3,4,6-O-тетрабензил-1-(пиридин-1-ил)сульфонил-β-D- тиоксилопиранозид. Для получения соединения A41 использовали тот же способ получения с теми же требуемыми исходными материалами и реактивами, как описано в примере 10 (выход продукта 88 %). 1H-ЯМР (500 МГц, MeOD) δ 5,28 (синглет, 1H), 4,16 (синглет, 1H), 3,79 (дублет, J = 2,0 Гц, 2H), 3,46 (дублет дублетов, J = 20,4, 9,3 Гц, 2H), 3,38 (синглет, 1H), 3,35–3,31 (мультиплет, 1H), 3,23 (дублет, J = 9,5 Гц, 1H), 3,11 (дублет, J = 9,5 Гц, 1H), 2,88 (дублет дублетов, J = 13,5, 3,0 Гц, 1H), 2,03 (дублет дублетов, J = 13,5, 10,3 Гц, 1H), 1,93 (дублет, J = 7,1 Гц, 2H), 1,86–1,05 (мультиплет, 21H), 1,06–0,93 (мультиплет, 12H), 0,90–0,82 (мультиплет, 6H), 0,81 (дублет, J = 11,4 Гц, 1H). Масс-спектрометрия низкого разрешения (ИЭР): 599,40 [M-H]-.

Пример 42. (3R,5S,8R,9R,10S,14R,17R,18S)-Олеаноловой кислоты 3-карбонил- β-D-ксилопиранозид (A42)

Соединение 2,3,4,6-O-тетрабензил-1-(пиридин-1-ил)сульфонил-β-D-тиоглюкопиранозид было заменено на 2,3,4,6-O-тетрабензил-1-(пиридин-1-ил)сульфонил-β-D- тиоксилопиранозид и соединение (3S,5S,8R,9R,10S,14R,17R,18S)-28-O-бензил-3- олеаноловой кислоты альдегид было заменено на (3R,5S,8R,9R,10S,14R,17R,18S)- 28-O-бензил-3-олеаноловой кислоты альдегид. Для получения соединения A42 использовали тот же способ получения с теми же требуемыми исходными материалами и реактивами, как описано в примере 10 (выход продукта 81 %). 1H-ЯМР (500 МГц, MeOD) δ 5,28 (синглет, 1H), 4,16 (синглет, 1H), 3,79 (дублет, J = 2,0 Гц, 2H), 3,46 (дублет дублетов, J = 20,4, 9,3 Гц, 2H), 3,38 (синглет, 1H), 3,35–3,31 (мультиплет, 1H), 3,23 (дублет, J = 9,5 Гц, 1H), 3,11 (дублет, J = 9,5 Гц, 1H), 2,88 (дублет дублетов, J = 13,5, 3,0 Гц, 1H), 2,03 (дублет дублетов, J = 13,5, 10,3 Гц, 1H), 1,93 (дублет, J = 7,1 Гц, 2H), 1,86–1,05 (мультиплет, 21H), 1,06–0,93 (мультиплет, 12H), 0,90–0,82 (мультиплет, 6H), 0,81 (дублет, J = 11,4 Гц, 1H). Масс-спектрометрия низкого разрешения (ИЭР): 599,40 [M-H]-.

Пример 43. (3S,5S,8R,9R,10S,14R,17R,18S)-Олеаноловой кислоты 3-(1'S)-(гидрокси) метил-α-L-рамнопиранозид (A43)

Соединение 2,3,4,6-O-тетрабензил-1-(пиридин-1-ил)сульфонил-β-D-тиоглюкопиранозид было заменено на 2,3,4,6-O-тетрабензил-1-(пиридин-1-ил) сульфонил-α-D-тиорамнопиранозид. Для получения соединения A43 использовали тот же способ получения с теми же требуемыми исходными материалами и реактивами, как описано в примере 2 (выход продукта 75 %). 1H-ЯМР (500 МГц, MeOD) δ 5,28 (синглет, 1H), 4,16 (синглет, 1H), 3,79 (дублет, J = 2,0 Гц, 2H), 3,46 (дублет дублетов, J = 20,4, 9,3 Гц, 2H), 3,38 (синглет, 1H), 3,35–3,31 (мультиплет, 1H), 3,23 (дублет, J = 9,5 Гц, 1H), 3,11 (дублет, J = 9,5 Гц, 1H), 2,88 (дублет дублетов, J = 13,5, 3,0 Гц, 1H), 2,03 (дублет дублетов, J = 13,5, 10,3 Гц, 1H), 1,93 (дублет, J = 7,1 Гц, 2H), 1,86–1,05 (мультиплет, 21H), 1,06–0,93 (мультиплет, 12H), 0,90–0,82 (мультиплет, 6H), 0,81 (дублет, J = 11,4 Гц, 1H). Масс-спектрометрия низкого разрешения (ИЭР): 615,43 [M-H]-.

Пример 44. (3R,5S,8R,9R,10S,14R,17R,18S)-Олеаноловой кислоты 3-(1'S)-(гидрокси) метил-α-L-рамнопиранозид (A44)

Соединение 2,3,4,6-O-тетрабензил-1-(пиридин-1-ил)сульфонил-β-D-тиоглюкопиранозид было заменено на 2,3,4,6-O-тетрабензил-1-(пиридин-1-ил) сульфонил-α-D-тиорамнопиранозид и соединение (3S,5S,8R,9R,10S,14R,17R,18S)- 28-O-бензил-3-олеаноловой кислоты альдегид было заменено на (3R,5S,8R,9R,10S,14R,17R,18S)-28-O-бензил-3-олеаноловой кислоты альдегид. Для получения соединения A44 использовали тот же способ получения с теми же требуемыми исходными материалами и реактивами, как описано в примере 2 (выход продукта 71 %). 1H-ЯМР (500 МГц, MeOD) δ 5,28 (синглет, 1H), 4,16 (синглет, 1H), 3,79 (дублет, J = 2,0 Гц, 2H), 3,46 (дублет дублетов, J = 20,4, 9,3 Гц, 2H), 3,38 (синглет, 1H), 3,35–3,31 (мультиплет, 1H), 3,23 (дублет, J = 9,5 Гц, 1H), 3,11 (дублет, J = 9,5 Гц, 1H), 2,88 (дублет дублетов, J = 13,5, 3,0 Гц, 1H), 2,03 (дублет дублетов, J = 13,5, 10,3 Гц, 1H), 1,93 (дублет, J = 7,1 Гц, 2H), 1,86–1,05 (мультиплет, 21H), 1,06–0,93 (мультиплет, 12H), 0,90–0,82 (мультиплет, 6H), 0,81 (дублет, J = 11,4 Гц, 1H). Масс-спектрометрия низкого разрешения (ИЭР): 615,43 [M-H]-.

Пример 45. (3S,5S,8R,9R,10S,14R,17R,18S)-Олеаноловой кислоты 3-(1'S)-метил- α-L-рамнопиранозид (A45)

Соединение 2,3,4,6-O-тетрабензил-1-(пиридин-1-ил)сульфонил-β-D-тиоглюкопиранозид было заменено на 2,3,4,6-O-тетрабензил-1-(пиридин-1-ил) сульфонил-α-D-тиорамнопиранозид. Для получения соединения A45 использовали тот же способ получения с теми же требуемыми исходными материалами и реактивами, как описано в примере 6 (выход продукта 68 %). 1H-ЯМР (500 МГц, MeOD) δ 5,28 (синглет, 1H), 4,16 (синглет, 1H), 3,79 (дублет, J = 2,0 Гц, 2H), 3,46 (дублет дублетов, J = 20,4, 9,3 Гц, 2H), 3,38 (синглет, 1H), 3,35–3,31 (мультиплет, 1H), 3,23 (дублет, J = 9,5 Гц, 1H), 3,11 (дублет, J = 9,5 Гц, 1H), 2,88 (дублет дублетов, J = 13,5, 3,0 Гц, 1H), 2,03 (дублет дублетов, J = 13,5, 10,3 Гц, 1H), 1,93 (дублет, J = 7,1 Гц, 2H), 1,86–1,05 (мультиплет, 21H), 1,06–0,93 (мультиплет, 12H), 0,90–0,82 (мультиплет, 6H), 0,81 (дублет, J = 11,4 Гц, 1H). Масс-спектрометрия низкого разрешения (ИЭР): 599,44 [M-H]-.

Пример 46. (3R,5S,8R,9R,10S,14R,17R,18S)-Олеаноловой кислоты 3-(1'S)-метил-α-L-рамнопиранозид (A46)

Соединение 2,3,4,6-O-тетрабензил-1-(пиридин-1-ил)сульфонил-β-D-тиоглюкопиранозид было заменено на 2,3,4,6-O-тетрабензил-1-(пиридин-1-ил)сульфонил-α-D- тиорамнопиранозид и соединение (3S,5S,8R,9R,10S,14R,17R,18S)-28-O-бензил-3- олеаноловой кислоты альдегид было заменено на (3R,5S,8R,9R,10S,14R,17R,18S)- 28-O-бензил-3-олеаноловой кислоты альдегид. Для получения соединения A46 использовали тот же способ получения с теми же требуемыми исходными материалами и реактивами, как описано в примере 6 (выход продукта 66 %). 1H-ЯМР (500 МГц, MeOD) δ 5,28 (синглет, 1H), 4,16 (синглет, 1H), 3,79 (дублет, J = 2,0 Гц, 2H), 3,46 (дублет дублетов, J = 20,4, 9,3 Гц, 2H), 3,38 (синглет, 1H), 3,35–3,31 (мультиплет, 1H), 3,23 (дублет, J = 9,5 Гц, 1H), 3,11 (дублет, J = 9,5 Гц, 1H), 2,88 (дублет дублетов, J = 13,5, 3,0 Гц, 1H), 2,03 (дублет дублетов, J = 13,5, 10,3 Гц, 1H), 1,93 (дублет, J = 7,1 Гц, 2H), 1,86–1,05 (мультиплет, 21H), 1,06–0,93 (мультиплет, 12H), 0,90–0,82 (мультиплет, 6H), 0,81 (дублет, J = 11,4 Гц, 1H). Масс-спектрометрия низкого разрешения (ИЭР): 599,44 [M-H]-.

Пример 47. (3S,5S,8R,9R,10S,14R,17R,18S)-Олеаноловой кислоты 3-(1'S)-карбонил- α-L-рамнопиранозид (A47)

Соединение 2,3,4,6-O-тетрабензил-1-(пиридин-1-ил)сульфонил-β-D-тиоглюкопиранозид было заменено на 2,3,4,6-O-тетрабензил-1-(пиридин-1-ил) сульфонил-α-D-тиорамнопиранозид. Для получения соединения A47 использовали тот же способ получения с теми же требуемыми исходными материалами и реактивами, как описано в примере 10 (выход продукта 84 %). 1H-ЯМР (500 МГц, MeOD) δ 5,28 (синглет, 1H), 4,16 (синглет, 1H), 3,79 (дублет, J = 2,0 Гц, 2H), 3,46 (дублет дублетов, J = 20,4, 9,3 Гц, 2H), 3,38 (синглет, 1H), 3,35–3,31 (мультиплет, 1H), 3,23 (дублет, J = 9,5 Гц, 1H), 3,11 (дублет, J = 9,5 Гц, 1H), 2,88 (дублет дублетов, J = 13,5, 3,0 Гц, 1H), 2,03 (дублет дублетов, J = 13,5, 10,3 Гц, 1H), 1,93 (дублет, J = 7,1 Гц, 2H), 1,86–1,05 (мультиплет, 21H), 1,06–0,93 (мультиплет, 12H), 0,90–0,82 (мультиплет, 6H), 0,81 (дублет, J = 11,4 Гц, 1H). Масс-спектрометрия низкого разрешения (ИЭР): 613,42 [M-H]-.

Пример 48. (3R,5S,8R,9R,10S,14R,17R,18S)-Олеаноловой кислоты 3-(1'S)-карбонил- α-L-рамнопиранозид (A48)

Соединение 2,3,4,6-O-тетрабензил-1-(пиридин-1-ил)сульфонил-β-D-тиоглюкопиранозид было заменено на 2,3,4,6-O-тетрабензил-1-(пиридин-1-ил) сульфонил-α-D-тиорамнопиранозид и соединение (3S,5S,8R,9R,10S,14R,17R,18S)- 28-O-бензил-3-олеаноловой кислоты альдегид было заменено на (3R,5S,8R,9R,10S,14R,17R,18S)-28-O-бензил-3-олеаноловой кислоты альдегид. Для получения соединения A48 использовали тот же способ получения с теми же требуемыми исходными материалами и реактивами, как описано в примере 10 (выход продукта 87 %). 1H-ЯМР (500 МГц, MeOD) δ 5,28 (синглет, 1H), 4,16 (синглет, 1H), 3,79 (дублет, J = 2,0 Гц, 2H), 3,46 (дублет дублетов, J = 20,4, 9,3 Гц, 2H), 3,38 (синглет, 1H), 3,35–3,31 (мультиплет, 1H), 3,23 (дублет, J = 9,5 Гц, 1H), 3,11 (дублет, J = 9,5 Гц, 1H), 2,88 (дублет дублетов, J = 13,5, 3,0 Гц, 1H), 2,03 (дублет дублетов, J = 13,5, 10,3 Гц, 1H), 1,93 (дублет, J = 7,1 Гц, 2H), 1,86–1,05 (мультиплет, 21H), 1,06–0,93 (мультиплет, 12H), 0,90–0,82 (мультиплет, 6H), 0,81 (дублет, J = 11,4 Гц, 1H). Масс-спектрометрия низкого разрешения (ИЭР): 613,42 [M-H]-.

Пример 49. (3S,5S,8R,9R,10S,14R,17R,18S)-Олеаноловой кислоты 3-(1'S)-(гидрокси) метил-α-L-фукопиранозид (A49)

Соединение 2,3,4,6-O-тетрабензил-1-(пиридин-1-ил)сульфонил-β-D-тиоглюкопиранозид было заменено на 2,3,4,6-O-тетрабензил-1-(пиридин-1-ил) сульфонил-β-D-тиофукопиранозид. Для получения соединения A49 использовали тот же способ получения с теми же требуемыми исходными материалами и реактивами, как описано в примере 2 (выход продукта 72 %). 1H-ЯМР (500 МГц, MeOD) δ 5,28 (синглет, 1H), 4,16 (синглет, 1H), 3,79 (дублет, J = 2,0 Гц, 2H), 3,46 (дублет дублетов, J = 20,4, 9,3 Гц, 2H), 3,38 (синглет, 1H), 3,35–3,31 (мультиплет, 1H), 3,23 (дублет, J = 9,5 Гц, 1H), 3,11 (дублет, J = 9,5 Гц, 1H), 2,88 (дублет дублетов, J = 13,5, 3,0 Гц, 1H), 2,03 (дублет дублетов, J = 13,5, 10,3 Гц, 1H), 1,93 (дублет, J = 7,1 Гц, 2H), 1,86–1,05 (мультиплет, 21H), 1,06–0,93 (мультиплет, 12H), 0,90–0,82 (мультиплет, 6H), 0,81 (дублет, J = 11,4 Гц, 1H). Масс-спектрометрия низкого разрешения (ИЭР): 615,43 [M-H]-.

Пример 50. (3R,5S,8R,9R,10S,14R,17R,18S)-Олеаноловой кислоты 3-(1'S)-(гидрокси) метил-α-L-фукопиранозид (A50)

Соединение 2,3,4,6-O-тетрабензил-1-(пиридин-1-ил)сульфонил-β-D-тиоглюкопиранозид было заменено на 2,3,4,6-O-тетрабензил-1-(пиридин-1-ил) сульфонил-β-D-тиофукопиранозид и соединение (3S,5S,8R,9R,10S,14R,17R,18S)- 28-O-бензил-3-олеаноловой кислоты альдегид было заменено на (3R,5S,8R,9R,10S,14R,17R,18S)-28-O-бензил-3-олеаноловой кислоты альдегид. Для получения соединения A50 использовали тот же способ получения с теми же требуемыми исходными материалами и реактивами, как описано в примере 2 (выход продукта 71 %). 1H-ЯМР (500 МГц, MeOD) δ 5,28 (синглет, 1H), 4,16 (синглет, 1H), 3,79 (дублет, J = 2,0 Гц, 2H), 3,46 (дублет дублетов, J = 20,4, 9,3 Гц, 2H), 3,38 (синглет, 1H), 3,35–3,31 (мультиплет, 1H), 3,23 (дублет, J = 9,5 Гц, 1H), 3,11 (дублет, J = 9,5 Гц, 1H), 2,88 (дублет дублетов, J = 13,5, 3,0 Гц, 1H), 2,03 (дублет дублетов, J = 13,5, 10,3 Гц, 1H), 1,93 (дублет, J = 7,1 Гц, 2H), 1,86–1,05 (мультиплет, 21H), 1,06–0,93 (мультиплет, 12H), 0,90–0,82 (мультиплет, 6H), 0,81 (дублет, J = 11,4 Гц, 1H). Масс-спектрометрия низкого разрешения (ИЭР): 615,43 [M-H]-.

Пример 51. (3S,5S,8R,9R,10S,14R,17R,18S)-Олеаноловой кислоты 3-(1'S)-метил- α-L-фукопиранозид (A51)

Соединение 2,3,4,6-O-тетрабензил-1-(пиридин-1-ил)сульфонил-β-D-тиоглюкопиранозид было заменено на 2,3,4,6-O-тетрабензил-1-(пиридин-1-ил) сульфонил-β-D-тиофукопиранозид. Для получения соединения A51 использовали тот же способ получения с теми же требуемыми исходными материалами и реактивами, как описано в примере 6 (выход продукта 69 %). 1H-ЯМР (500 МГц, MeOD) δ 5,28 (синглет, 1H), 4,16 (синглет, 1H), 3,79 (дублет, J = 2,0 Гц, 2H), 3,46 (дублет дублетов, J = 20,4, 9,3 Гц, 2H), 3,38 (синглет, 1H), 3,35–3,31 (мультиплет, 1H), 3,23 (дублет, J = 9,5 Гц, 1H), 3,11 (дублет, J = 9,5 Гц, 1H), 2,88 (дублет дублетов, J = 13,5, 3,0 Гц, 1H), 2,03 (дублет дублетов, J = 13,5, 10,3 Гц, 1H), 1,93 (дублет, J = 7,1 Гц, 2H), 1,86–1,05 (мультиплет, 21H), 1,06–0,93 (мультиплет, 12H), 0,90–0,82 (мультиплет, 6H), 0,81 (дублет, J = 11,4 Гц, 1H). Масс-спектрометрия низкого разрешения (ИЭР): 599,44 [M-H]-.

Пример 52. (3R,5S,8R,9R,10S,14R,17R,18S)-Олеаноловой кислоты 3-(1'S)-метил- α-L-фукопиранозид (A52)

Соединение 2,3,4,6-O-тетрабензил-1-(пиридин-1-ил)сульфонил-β-D-тиоглюкопиранозид было заменено на 2,3,4,6-O-тетрабензил-1-(пиридин-1-ил) сульфонил-β-D-тиофукопиранозид и соединение (3S,5S,8R,9R,10S,14R,17R,18S)- 28-O-бензил-3-олеаноловой кислоты альдегид было заменено на (3R,5S,8R,9R,10S,14R,17R,18S)-28-O-бензил-3-олеаноловой кислоты альдегид. Для получения соединения A52 использовали тот же способ получения с теми же требуемыми исходными материалами и реактивами, как описано в примере 6 (выход продукта 61 %). 1H-ЯМР (500 МГц, MeOD) δ 5,28 (синглет, 1H), 4,16 (синглет, 1H), 3,79 (дублет, J = 2,0 Гц, 2H), 3,46 (дублет дублетов, J = 20,4, 9,3 Гц, 2H), 3,38 (синглет, 1H), 3,35–3,31 (мультиплет, 1H), 3,23 (дублет, J = 9,5 Гц, 1H), 3,11 (дублет, J = 9,5 Гц, 1H), 2,88 (дублет дублетов, J = 13,5, 3,0 Гц, 1H), 2,03 (дублет дублетов, J = 13,5, 10,3 Гц, 1H), 1,93 (дублет, J = 7,1 Гц, 2H), 1,86–1,05 (мультиплет, 21H), 1,06–0,93 (мультиплет, 12H), 0,90–0,82 (мультиплет, 6H), 0,81 (дублет, J = 11,4 Гц, 1H). Масс-спектрометрия низкого разрешения (ИЭР): 599,44 [M-H]-.

Пример 53. (3S,5S,8R,9R,10S,14R,17R,18S)-Олеаноловой кислоты 3-(1'S)-карбонил- α-L-фукопиранозид (A53)

Соединение 2,3,4,6-O-тетрабензил-1-(пиридин-1-ил)сульфонил-β-D-тиоглюкопиранозид было заменено на 2,3,4,6-O-тетрабензил-1-(пиридин-1-ил) сульфонил-β-D-тиофукопиранозид. Для получения соединения A53 использовали тот же способ получения с теми же требуемыми исходными материалами и реактивами, как описано в примере 10 (выход продукта 86 %). 1H-ЯМР (500 МГц, MeOD) δ 5,28 (синглет, 1H), 4,16 (синглет, 1H), 3,79 (дублет, J = 2,0 Гц, 2H), 3,46 (дублет дублетов, J = 20,4, 9,3 Гц, 2H), 3,38 (синглет, 1H), 3,35–3,31 (мультиплет, 1H), 3,23 (дублет, J = 9,5 Гц, 1H), 3,11 (дублет, J = 9,5 Гц, 1H), 2,88 (дублет дублетов, J = 13,5, 3,0 Гц, 1H), 2,03 (дублет дублетов, J = 13,5, 10,3 Гц, 1H), 1,93 (дублет, J = 7,1 Гц, 2H), 1,86–1,05 (мультиплет, 21H), 1,06–0,93 (мультиплет, 12H), 0,90–0,82 (мультиплет, 6H), 0,81 (дублет, J = 11,4 Гц, 1H). Масс-спектрометрия низкого разрешения (ИЭР): 613,42 [M-H]-.

Пример 54. (3R,5S,8R,9R,10S,14R,17R,18S)-Олеаноловой кислоты 3-(1'S)-карбонил- α-L-фукопиранозид (A54)

Соединение 2,3,4,6-O-тетрабензил-1-(пиридин-1-ил)сульфонил-β-D-тиоглюкопиранозид было заменено на 2,3,4,6-O-тетрабензил-1-(пиридин-1-ил)сульфонил-β-D- тиофукопиранозид и соединение (3S,5S,8R,9R,10S,14R,17R,18S)-28-O-бензил-3- олеаноловой кислоты альдегид было заменено на (3R,5S,8R,9R,10S,14R,17R,18S)- 28-O-бензил-3-олеаноловой кислоты альдегид. Для получения соединения A54 использовали тот же способ получения с теми же требуемыми исходными материалами и реактивами, как описано в примере 10 (выход продукта 82 %). 1H-ЯМР (500 МГц, MeOD) δ 5,28 (синглет, 1H), 4,16 (синглет, 1H), 3,79 (дублет, J = 2,0 Гц, 2H), 3,46 (дублет дублетов, J = 20,4, 9,3 Гц, 2H), 3,38 (синглет, 1H), 3,35–3,31 (мультиплет, 1H), 3,23 (дублет, J = 9,5 Гц, 1H), 3,11 (дублет, J = 9,5 Гц, 1H), 2,88 (дублет дублетов, J = 13,5, 3,0 Гц, 1H), 2,03 (дублет дублетов, J = 13,5, 10,3 Гц, 1H), 1,93 (дублет, J = 7,1 Гц, 2H), 1,86–1,05 (мультиплет, 21H), 1,06–0,93 (мультиплет, 12H), 0,90–0,82 (мультиплет, 6H), 0,81 (дублет, J = 11,4 Гц, 1H). Масс-спектрометрия низкого разрешения (ИЭР): 613,42 [M-H]-.

Пример 55. (3S,5S,8R,9R,10S,14R,17R,18S)-Олеаноловой кислоты 3-(1'R)-(гидрокси) метил-6''-дезокси-6''-фтор-β-D-глюкопиранозид (A55)

Соединение 2,3,4,6-O-тетрабензил-1-(пиридин-1-ил)сульфонил-β-D-тиоглюкопиранозид было заменено на 2,3,4,6-O-тетрабензил-1-(пиридин-1-ил) сульфонил-6-дезокси-6-фтор-β-D-тиоглюкопиранозид. Для получения соединения A55 использовали тот же способ получения с теми же требуемыми исходными материалами и реактивами, как описано в примере 2 (выход продукта 72 %). 1H-ЯМР (500 МГц, MeOD) δ 5,28 (синглет, 1H), 4,16 (синглет, 1H), 3,79 (дублет, J = 2,0 Гц, 2H), 3,46 (дублет дублетов, J = 20,4, 9,3 Гц, 2H), 3,38 (синглет, 1H), 3,35–3,31 (мультиплет, 1H), 3,23 (дублет, J = 9,5 Гц, 1H), 3,11 (дублет, J = 9,5 Гц, 1H), 2,88 (дублет дублетов, J = 13,5, 3,0 Гц, 1H), 2,03 (дублет дублетов, J = 13,5, 10,3 Гц, 1H), 1,93 (дублет, J = 7,1 Гц, 2H), 1,86–1,05 (мультиплет, 21H), 1,06–0,93 (мультиплет, 12H), 0,90–0,82 (мультиплет, 6H), 0,81 (дублет, J = 11,4 Гц, 1H). Масс-спектрометрия низкого разрешения (ИЭР): 633,42 [M-H]-.

Пример 56. (3R,5S,8R,9R,10S,14R,17R,18S)-Олеаноловой кислоты 3-(1'R)-(гидрокси) метил-6''-дезокси-6''-фтор-β-D-глюкопиранозид (A56)

Соединение 2,3,4,6-O-тетрабензил-1-(пиридин-1-ил)сульфонил-β-D-тиоглюкопиранозид было заменено на 2,3,4,6-O-тетрабензил-1-(пиридин-1-ил)сульфонил-6- дезокси-6-фтор-β-D-тиоглюкопиранозид и соединение (3S,5S,8R,9R,10S,14R,17R,18S)- 28-O-бензил-3-олеаноловой кислоты альдегид было заменено на (3R,5S,8R,9R,10S,14R,17R,18S)-28-O-бензил-3-олеаноловой кислоты альдегид. Для получения соединения A56 использовали тот же способ получения с теми же требуемыми исходными материалами и реактивами, как описано в примере 2 (выход продукта 68 %). 1H-ЯМР (500 МГц, MeOD) δ 5,28 (синглет, 1H), 4,16 (синглет, 1H), 3,79 (дублет, J = 2,0 Гц, 2H), 3,46 (дублет дублетов, J = 20,4, 9,3 Гц, 2H), 3,38 (синглет, 1H), 3,35–3,31 (мультиплет, 1H), 3,23 (дублет, J = 9,5 Гц, 1H), 3,11 (дублет, J = 9,5 Гц, 1H), 2,88 (дублет дублетов, J = 13,5, 3,0 Гц, 1H), 2,03 (дублет дублетов, J = 13,5, 10,3 Гц, 1H), 1,93 (дублет, J = 7,1 Гц, 2H), 1,86–1,05 (мультиплет, 21H), 1,06–0,93 (мультиплет, 12H), 0,90–0,82 (мультиплет, 6H), 0,81 (дублет, J = 11,4 Гц, 1H). Масс-спектрометрия низкого разрешения (ИЭР): 633,42 [M-H]-.

Пример 57. (3S,5S,8R,9R,10S,14R,17R,18S)-Олеаноловой кислоты 3-метил-6''- дезокси-6''-фтор-β-D-глюкопиранозид (A57)

Соединение 2,3,4,6-O-тетрабензил-1-(пиридин-1-ил)сульфонил-β-D-тиоглюкопиранозид было заменено на 2,3,4,6-O-тетрабензил-1-(пиридин-1-ил) сульфонил-6-дезокси-6-фтор-β-D-тиоглюкопиранозид. Для получения соединения A57 использовали тот же способ получения с теми же требуемыми исходными материалами и реактивами, как описано в примере 6 (выход продукта 65 %). 1H-ЯМР (500 МГц, MeOD) δ 5,28 (синглет, 1H), 4,16 (синглет, 1H), 3,79 (дублет, J = 2,0 Гц, 2H), 3,46 (дублет дублетов, J = 20,4, 9,3 Гц, 2H), 3,38 (синглет, 1H), 3,35–3,31 (мультиплет, 1H), 3,23 (дублет, J = 9,5 Гц, 1H), 3,11 (дублет, J = 9,5 Гц, 1H), 2,88 (дублет дублетов, J = 13,5, 3,0 Гц, 1H), 2,03 (дублет дублетов, J = 13,5, 10,3 Гц, 1H), 1,93 (дублет, J = 7,1 Гц, 2H), 1,86–1,05 (мультиплет, 21H), 1,06–0,93 (мультиплет, 12H), 0,90–0,82 (мультиплет, 6H), 0,81 (дублет, J = 11,4 Гц, 1H). Масс-спектрометрия низкого разрешения (ИЭР): 617,43 [M-H]-.

Пример 58. 3R,5S,8R,9R,10S,14R,17R,18S)-Олеаноловой кислоты 3-метил-6''- дезокси-6''-фтор-β-D-глюкопиранозид (A58)

Соединение 2,3,4,6-O-тетрабензил-1-(пиридин-1-ил)сульфонил-β-D-тиоглюкопиранозид было заменено на 2,3,4,6-O-тетрабензил-1-(пиридин-1-ил) сульфонил-6-дезокси-6-фтор-β-D-тиоглюкопиранозид и соединение (3S,5S,8R,9R,10S,14R,17R,18S)-28-O-бензил-3-олеаноловой кислоты альдегид было заменено на (3R,5S,8R,9R,10S,14R,17R,18S)-28-O-бензил-3-олеаноловой кислоты альдегид. Для получения соединения A58 использовали тот же способ получения с теми же требуемыми исходными материалами и реактивами, как описано в примере 6 (выход продукта 66 %). 1H-ЯМР (500 МГц, MeOD) δ 5,28 (синглет, 1H), 4,16 (синглет, 1H), 3,79 (дублет, J = 2,0 Гц, 2H), 3,46 (дублет дублетов, J = 20,4, 9,3 Гц, 2H), 3,38 (синглет, 1H), 3,35–3,31 (мультиплет, 1H), 3,23 (дублет, J = 9,5 Гц, 1H), 3,11 (дублет, J = 9,5 Гц, 1H), 2,88 (дублет дублетов, J = 13,5, 3,0 Гц, 1H), 2,03 (дублет дублетов, J = 13,5, 10,3 Гц, 1H), 1,93 (дублет, J = 7,1 Гц, 2H), 1,86–1,05 (мультиплет, 21H), 1,06–0,93 (мультиплет, 12H), 0,90–0,82 (мультиплет, 6H), 0,81 (дублет, J = 11,4 Гц, 1H). Масс-спектрометрия низкого разрешения (ИЭР): 617,43 [M-H]-.

Пример 59. (3S,5S,8R,9R,10S,14R,17R,18S)-Олеаноловой кислоты 3-карбонил-6''- дезокси-6''-фтор-β-D-глюкопиранозид (A59)

Соединение 2,3,4,6-O-тетрабензил-1-(пиридин-1-ил)сульфонил-β-D-тиоглюкопиранозид было заменено на 2,3,4,6-O-тетрабензил-1-(пиридин-1-ил)сульфонил- 6-дезокси-6-фтор-β-D-тиоглюкопиранозид. Для получения соединения A59 использовали тот же способ получения с теми же требуемыми исходными материалами и реактивами, как описано в примере 10 (выход продукта 86 %). 1H-ЯМР (500 МГц, MeOD) δ 5,28 (синглет, 1H), 4,16 (синглет, 1H), 3,79 (дублет, J = 2,0 Гц, 2H), 3,46 (дублет дублетов, J = 20,4, 9,3 Гц, 2H), 3,38 (синглет, 1H), 3,35–3,31 (мультиплет, 1H), 3,23 (дублет, J = 9,5 Гц, 1H), 3,11 (дублет, J = 9,5 Гц, 1H), 2,88 (дублет дублетов, J = 13,5, 3,0 Гц, 1H), 2,03 (дублет дублетов, J = 13,5, 10,3 Гц, 1H), 1,93 (дублет, J = 7,1 Гц, 2H), 1,86–1,05 (мультиплет, 21H), 1,06–0,93 (мультиплет, 12H), 0,90–0,82 (мультиплет, 6H), 0,81 (дублет, J = 11,4 Гц, 1H). Масс-спектрометрия низкого разрешения (ИЭР): 631,41 [M-H]-.

Пример 60. (3R,5S,8R,9R,10S,14R,17R,18S)-Олеаноловой кислоты 3-карбонил-6''- дезокси-6''-фтор-β-D-глюкопиранозид (A60)

Соединение 2,3,4,6-O-тетрабензил-1-(пиридин-1-ил)сульфонил-β-D-тиоглюкопиранозид было заменено на 2,3,4,6-O-тетрабензил-1-(пиридин-1-ил) сульфонил-6-дезокси-6-фтор-β-D-тиоглюкопиранозид и соединение (3S,5S,8R,9R,10S,14R,17R,18S)-28-O-бензил-3-олеаноловой кислоты альдегид было заменено на (3R,5S,8R,9R,10S,14R,17R,18S)-28-O-бензил-3-олеаноловой кислоты альдегид. Для получения соединения A60 использовали тот же способ получения с теми же требуемыми исходными материалами и реактивами, как описано в примере 10 (выход продукта 89 %). 1H-ЯМР (500 МГц, MeOD) δ 5,28 (синглет, 1H), 4,16 (синглет, 1H), 3,79 (дублет, J = 2,0 Гц, 2H), 3,46 (дублет дублетов, J = 20,4, 9,3 Гц, 2H), 3,38 (синглет, 1H), 3,35–3,31 (мультиплет, 1H), 3,23 (дублет, J = 9,5 Гц, 1H), 3,11 (дублет, J = 9,5 Гц, 1H), 2,88 (дублет дублетов, J = 13,5, 3,0 Гц, 1H), 2,03 (дублет дублетов, J = 13,5, 10,3 Гц, 1H), 1,93 (дублет, J = 7,1 Гц, 2H), 1,86–1,05 (мультиплет, 21H), 1,06–0,93 (мультиплет, 12H), 0,90–0,82 (мультиплет, 6H), 0,81 (дублет, J = 11,4 Гц, 1H). Масс-спектрометрия низкого разрешения (ИЭР): 631,41 [M-H]-.

Пример 61. (3S,5S,8R,9R,10S,14R,17R,18S)-Олеаноловой кислоты 3-(1'R)-(гидрокси) метил-β-D-ксилопиранозил(1→3)-β-D-глюкуронопиранозид (A61)

Соединение 2,3,4,6-O-тетрабензил-1-(пиридин-1-ил)сульфонил-β-D-тиоглюкопиранозид было заменено на 2,3,4,6-O-тетрабензил-1-(пиридин-1-ил)сульфонил- β-D-ксилопиранозил(1→3)-β-D-тиоглюкуронопиранозид. Для получения соединения A61 использовали тот же способ получения с теми же требуемыми исходными материалами и реактивами, как описано в примере 2 (выход продукта 70 %). 1H-ЯМР (500 МГц, MeOD) δ 5,28 (синглет, 1H), 4,16 (синглет, 1H), 3,79 (дублет, J = 2,0 Гц, 2H), 3,46 (дублет дублетов, J = 20,4, 9,3 Гц, 2H), 3,38 (синглет, 1H), 3,35–3,31 (мультиплет, 1H), 3,23 (дублет, J = 9,5 Гц, 1H), 3,11 (дублет, J = 9,5 Гц, 1H), 2,88 (дублет дублетов, J = 13,5, 3,0 Гц, 1H), 2,03 (дублет дублетов, J = 13,5, 10,3 Гц, 1H), 1,93 (дублет, J = 7,1 Гц, 2H), 1,86–1,05 (мультиплет, 21H), 1,06–0,93 (мультиплет, 12H), 0,90–0,82 (мультиплет, 6H), 0,81 (дублет, J = 11,4 Гц, 1H). Масс-спектрометрия низкого разрешения (ИЭР): 777,45[M-H]-.

Пример 62. (3R,5S,8R,9R,10S,14R,17R,18S)-Олеаноловой кислоты 3-(1'R)-(гидрокси) метил-β-D-ксилопиранозил(1→3)-β-D-глюкуронопиранозид (A62)

Соединение 2,3,4,6-O-тетрабензил-1-(пиридин-1-ил)сульфонил-β-D-тиоглюкопиранозид было заменено на 2,3,4,6-O-тетрабензил-1-(пиридин-1-ил) сульфонил-β-D-ксилопиранозил(1→3)-β-D-тиоглюкуронопиранозид и соединение (3S,5S,8R,9R,10S,14R,17R,18S)-28-O-бензил-3-олеаноловой кислоты альдегид было заменено на (3R,5S,8R,9R,10S,14R,17R,18S)-28-O-бензил-3-олеаноловой кислоты альдегид. Для получения соединения A62 использовали тот же способ получения с теми же требуемыми исходными материалами и реактивами, как описано в примере 2 (выход продукта 68 %). 1H-ЯМР (500 МГц, MeOD) δ 5,28 (синглет, 1H), 4,16 (синглет, 1H), 3,79 (дублет, J = 2,0 Гц, 2H), 3,46 (дублет дублетов, J = 20,4, 9,3 Гц, 2H), 3,38 (синглет, 1H), 3,35–3,31 (мультиплет, 1H), 3,23 (дублет, J = 9,5 Гц, 1H), 3,11 (дублет, J = 9,5 Гц, 1H), 2,88 (дублет дублетов, J = 13,5, 3,0 Гц, 1H), 2,03 (дублет дублетов, J = 13,5, 10,3 Гц, 1H), 1,93 (дублет, J = 7,1 Гц, 2H), 1,86–1,05 (мультиплет, 21H), 1,06–0,93 (мультиплет, 12H), 0,90–0,82 (мультиплет, 6H), 0,81 (дублет, J = 11,4 Гц, 1H). Масс-спектрометрия низкого разрешения (ИЭР): 777,45 [M-H]-.

Пример 63. (3S,5S,8R,9R,10S,14R,17R,18S)-Олеаноловой кислоты 3-метил-β-D- ксилопиранозил(1→3)-β-D-глюкуронопиранозид (A63)

Соединение 2,3,4,6-O-тетрабензил-1-(пиридин-1-ил)сульфонил-β-D-тиоглюкопиранозид было заменено на 2,3,4,6-O-тетрабензил-1-(пиридин-1-ил) сульфонил-β-D-ксилопиранозил(1→3)-β-D-тиоглюкуронопиранозид. Для получения соединения A63 использовали тот же способ получения с теми же требуемыми исходными материалами и реактивами, как описано в примере 6 (выход продукта 69 %). 1H-ЯМР (500 МГц, MeOD) δ 5,28 (синглет, 1H), 4,16 (синглет, 1H), 3,79 (дублет, J = 2,0 Гц, 2H), 3,46 (дублет дублетов, J = 20,4, 9,3 Гц, 2H), 3,38 (синглет, 1H), 3,35–3,31 (мультиплет, 1H), 3,23 (дублет, J = 9,5 Гц, 1H), 3,11 (дублет, J = 9,5 Гц, 1H), 2,88 (дублет дублетов, J = 13,5, 3,0 Гц, 1H), 2,03 (дублет дублетов, J = 13,5, 10,3 Гц, 1H), 1,93 (дублет, J = 7,1 Гц, 2H), 1,86–1,05 (мультиплет, 21H), 1,06–0,93 (мультиплет, 12H), 0,90–0,82 (мультиплет, 6H), 0,81 (дублет, J = 11,4 Гц, 1H). Масс-спектрометрия низкого разрешения (ИЭР): 761,46 [M-H].

Пример 64. (3R,5S,8R,9R,10S,14R,17R,18S)-Олеаноловой кислоты 3-метил-β-D- ксилопиранозил(1→3)-β-D-глюкуронопиранозид (A64)

Соединение 2,3,4,6-O-тетрабензил-1-(пиридин-1-ил)сульфонил-β-D-тиоглюкопиранозид было заменено на 2,3,4,6-O-тетрабензил-1-(пиридин-1-ил)сульфонил-β-D- ксилопиранозил(1→3)-β-D-тиоглюкуронопиранозид и соединение (3S,5S,8R,9R,10S,14R,17R,18S)-28-O-бензил-3-олеаноловой кислоты альдегид было заменено на (3R,5S,8R,9R,10S,14R,17R,18S)-28-O-бензил-3-олеаноловой кислоты альдегид. Для получения соединения A64 использовали тот же способ получения с теми же требуемыми исходными материалами и реактивами, как описано в примере 6 (выход продукта 70 %). 1H-ЯМР (500 МГц, MeOD) δ 5,28 (синглет, 1H), 4,16 (синглет, 1H), 3,79 (дублет, J = 2,0 Гц, 2H), 3,46 (дублет дублетов, J = 20,4, 9,3 Гц, 2H), 3,38 (синглет, 1H), 3,35–3,31 (мультиплет, 1H), 3,23 (дублет, J = 9,5 Гц, 1H), 3,11 (дублет, J = 9,5 Гц, 1H), 2,88 (дублет дублетов, J = 13,5, 3,0 Гц, 1H), 2,03 (дублет дублетов, J = 13,5, 10,3 Гц, 1H), 1,93 (дублет, J = 7,1 Гц, 2H), 1,86–1,05 (мультиплет, 21H), 1,06–0,93 (мультиплет, 12H), 0,90–0,82 (мультиплет, 6H), 0,81 (дублет, J = 11,4 Гц, 1H). Масс-спектрометрия низкого разрешения (ИЭР): 761,46 [M-H]-.

Пример 65. (3S,5S,8R,9R,10S,14R,17R,18S)-Олеаноловой кислоты 3-карбонил-β-D- ксилопиранозил(1→3)-β-D-глюкуронопиранозид (A65)

Соединение 2,3,4,6-O-тетрабензил-1-(пиридин-1-ил)сульфонил-β-D-тиоглюкопиранозид было заменено на 2,3,4,6-O-тетрабензил-1-(пиридин-1-ил)сульфонил- β-D-ксилопиранозил(1→3)-β-D-тиоглюкуронопиранозид. Для получения соединения A65 использовали тот же способ получения с теми же требуемыми исходными материалами и реактивами, как описано в примере 10 (выход продукта 86 %). 1H-ЯМР (500 МГц, MeOD) δ 5,28 (синглет, 1H), 4,16 (синглет, 1H), 3,79 (дублет, J = 2,0 Гц, 2H), 3,46 (дублет дублетов, J = 20,4, 9,3 Гц, 2H), 3,38 (синглет, 1H), 3,35–3,31 (мультиплет, 1H), 3,23 (дублет, J = 9,5 Гц, 1H), 3,11 (дублет, J = 9,5 Гц, 1H), 2,88 (дублет дублетов, J = 13,5, 3,0 Гц, 1H), 2,03 (дублет дублетов, J = 13,5, 10,3 Гц, 1H), 1,93 (дублет, J = 7,1 Гц, 2H), 1,86–1,05 (мультиплет, 21H), 1,06–0,93 (мультиплет, 12H), 0,90–0,82 (мультиплет, 6H), 0,81 (дублет, J = 11,4 Гц, 1H). Масс-спектрометрия низкого разрешения (ИЭР): 775,43 [M-H]-.

Пример 66. (3R,5S,8R,9R,10S,14R,17R,18S)-Олеаноловой кислоты 3-карбонил-β-D- ксилопиранозил(1→3)-β-D-глюкуронопиранозид (A66)

Соединение 2,3,4,6-O-тетрабензил-1-(пиридин-1-ил)сульфонил-β-D-тиоглюкопиранозид было заменено на 2,3,4,6-O-тетрабензил-1-(пиридин-1-ил)сульфонил- β-D-ксилопиранозил(1→3)-β-D-тиоглюкуронопиранозид и соединение (3S,5S,8R,9R,10S,14R,17R,18S)-28-O-бензил-3-олеаноловой кислоты альдегид было заменено на (3R,5S,8R,9R,10S,14R,17R,18S)-28-O-бензил-3-олеаноловой кислоты альдегид. Для получения соединения A66 использовали тот же способ получения с теми же требуемыми исходными материалами и реактивами, как описано в примере 10 (выход продукта 89 %). 1H-ЯМР (500 МГц, MeOD) δ 5,28 (синглет, 1H), 4,16 (синглет, 1H), 3,79 (дублет, J = 2,0 Гц, 2H), 3,46 (дублет дублетов, J = 20,4, 9,3 Гц, 2H), 3,38 (синглет, 1H), 3,35–3,31 (мультиплет, 1H), 3,23 (дублет, J = 9,5 Гц, 1H), 3,11 (дублет, J = 9,5 Гц, 1H), 2,88 (дублет дублетов, J = 13,5, 3,0 Гц, 1H), 2,03 (дублет дублетов, J = 13,5, 10,3 Гц, 1H), 1,93 (дублет, J = 7,1 Гц, 2H), 1,86–1,05 (мультиплет, 21H), 1,06–0,93 (мультиплет, 12H), 0,90–0,82 (мультиплет, 6H), 0,81 (дублет, J = 11,4 Гц, 1H). Масс-спектрометрия низкого разрешения (ИЭР): 775,43 [M-H]-.

Пример 67. (3S,5S,8R,9R,10S,14R,17R,18S,19S,20R)-Урсоловой кислоты 3-(1'R)- (гидрокси)метил-β-D-глюкуронопиранозид (A67)

Соединение 2,3,4,6-O-тетрабензил-1-(пиридин-1-ил)сульфонил-β-D-тиоглюкопиранозид было заменено на 2,3,4,6-O-тетрабензил-1-(пиридин-1-ил) сульфонил-β-D-тиоглюкуронопиранозид и соединение (3S,5S,8R,9R,10S,14R,17R,18S)-28-O-бензил-3-олеаноловой кислоты альдегид было заменено на (3S,5S,8R,9R,10S,14R,17R,18S,19S,20R)-28-O-бензил-3-урсоловой кислоты альдегид. Для получения соединения A67 использовали тот же способ получения с теми же требуемыми исходными материалами и реактивами, как описано в примере 2 (выход продукта 72 %). 1H-ЯМР (500 МГц, MeOD) δ 5,28 (синглет, 1H), 4,16 (синглет, 1H), 3,79 (дублет, J = 2,0 Гц, 2H), 3,46 (дублет дублетов, J = 20,4, 9,3 Гц, 2H), 3,38 (синглет, 1H), 3,35–3,31 (мультиплет, 1H), 3,23 (дублет, J = 9,5 Гц, 1H), 3,11 (дублет, J = 9,5 Гц, 1H), 2,88 (дублет дублетов, J = 13,5, 3,0 Гц, 1H), 2,03 (дублет дублетов, J = 13,5, 10,3 Гц, 1H), 1,93 (дублет, J = 7,1 Гц, 2H), 1,86–1,05 (мультиплет, 21H), 1,06–0,93 (мультиплет, 12H), 0,90–0,82 (мультиплет, 6H), 0,81 (дублет, J = 11,4 Гц, 1H). Масс-спектрометрия низкого разрешения (ИЭР): 645,41 [M-H]-.

Пример 68. (3R,5S,8R,9R,10S,14R,17R,18S,19S,20R)-Урсоловой кислоты 3-(1'R)-(гидрокси) метил-β-D-глюкуронопиранозид (A68)

Соединение 2,3,4,6-O-тетрабензил-1-(пиридин-1-ил)сульфонил-β-D-тиоглюкопиранозид было заменено на 2,3,4,6-O-тетрабензил-1-(пиридин-1-ил) сульфонил- β-D-тиоглюкуронопиранозид и соединение (3S,5S,8R,9R,10S,14R,17R,18S)-28-O- бензил-3-олеаноловой кислоты альдегид было заменено на (3R,5S,8R,9R,10S,14R,17R,18S,19S,20R)-28-O-бензил-3-урсоловой кислоты альдегид. Для получения соединения A68 использовали тот же способ получения с теми же требуемыми исходными материалами и реактивами, как описано в примере 2 (выход продукта 68 %). 1H-ЯМР (500 МГц, MeOD) δ 5,28 (синглет, 1H), 4,16 (синглет, 1H), 3,79 (дублет, J = 2,0 Гц, 2H), 3,46 (дублет дублетов, J = 20,4, 9,3 Гц, 2H), 3,38 (синглет, 1H), 3,35–3,31 (мультиплет, 1H), 3,23 (дублет, J = 9,5 Гц, 1H), 3,11 (дублет, J = 9,5 Гц, 1H), 2,88 (дублет дублетов, J = 13,5, 3,0 Гц, 1H), 2,03 (дублет дублетов, J = 13,5, 10,3 Гц, 1H), 1,93 (дублет, J = 7,1 Гц, 2H), 1,86–1,05 (мультиплет, 21H), 1,06–0,93 (мультиплет, 12H), 0,90–0,82 (мультиплет, 6H), 0,81 (дублет, J = 11,4 Гц, 1H). Масс-спектрометрия низкого разрешения (ИЭР): 645,41 [M-H]-.

Пример 69. (3S,5S,8R,9R,10S,14R,17R,18S,19S,20R)-Урсоловой кислоты 3-метил- β-D-глюкуронопиранозид (A69)

Соединение 2,3,4,6-O-тетрабензил-1-(пиридин-1-ил)сульфонил-β-D-тиоглюкопиранозид было заменено на 2,3,4,6-O-тетрабензил-1-(пиридин-1-ил)сульфонил- β-D-тиоглюкуронопиранозид и соединение (3S,5S,8R,9R,10S,14R,17R,18S)-28-O- бензил-3-олеаноловой кислоты альдегид было заменено на (3S,5S,8R,9R,10S,14R,17R,18S,19S,20R)-28-O-бензил-3-урсоловой кислоты альдегид. Для получения соединения A69 использовали тот же способ получения с теми же требуемыми исходными материалами и реактивами, как описано в примере 6 (выход продукта 68 %). 1H-ЯМР (500 МГц, MeOD) δ 5,28 (синглет, 1H), 4,16 (синглет, 1H), 3,79 (дублет, J = 2,0 Гц, 2H), 3,46 (дублет дублетов, J = 20,4, 9,3 Гц, 2H), 3,38 (синглет, 1H), 3,35–3,31 (мультиплет, 1H), 3,23 (дублет, J = 9,5 Гц, 1H), 3,11 (дублет, J = 9,5 Гц, 1H), 2,88 (дублет дублетов, J = 13,5, 3,0 Гц, 1H), 2,03 (дублет дублетов, J = 13,5, 10,3 Гц, 1H), 1,93 (дублет, J = 7,1 Гц, 2H), 1,86–1,05 (мультиплет, 21H), 1,06–0,93 (мультиплет, 12H), 0,90–0,82 (мультиплет, 6H), 0,81 (дублет, J = 11,4 Гц, 1H). Масс-спектрометрия низкого разрешения (ИЭР): 613,42 [M-H]-.

Пример 70. (3R,5S,8R,9R,10S,14R,17R,18S,19S,20R)-Урсоловой кислоты 3-метил- β-D-глюкуронопиранозид (A70)

Соединение 2,3,4,6-O-тетрабензил-1-(пиридин-1-ил)сульфонил-β-D-тиоглюкопиранозид было заменено на 2,3,4,6-O-тетрабензил-1-(пиридин-1-ил)сульфонил- β-D-тиоглюкуронопиранозид и соединение (3S,5S,8R,9R,10S,14R,17R,18S)-28-O- бензил-3-олеаноловой кислоты альдегид было заменено на (3R,5S,8R,9R,10S,14R,17R,18S,19S,20R)-28-O-бензил-3-урсоловой кислоты альдегид. Для получения соединения A70 использовали тот же способ получения с теми же требуемыми исходными материалами и реактивами, как описано в примере 6 (выход продукта 63 %). 1H-ЯМР (500 МГц, MeOD) δ 5,28 (синглет, 1H), 4,16 (синглет, 1H), 3,79 (дублет, J = 2,0 Гц, 2H), 3,46 (дублет дублетов, J = 20,4, 9,3 Гц, 2H), 3,38 (синглет, 1H), 3,35–3,31 (мультиплет, 1H), 3,23 (дублет, J = 9,5 Гц, 1H), 3,11 (дублет, J = 9,5 Гц, 1H), 2,88 (дублет дублетов, J = 13,5, 3,0 Гц, 1H), 2,03 (дублет дублетов, J = 13,5, 10,3 Гц, 1H), 1,93 (дублет, J = 7,1 Гц, 2H), 1,86–1,05 (мультиплет, 21H), 1,06–0,93 (мультиплет, 12H), 0,90–0,82 (мультиплет, 6H), 0,81 (дублет, J = 11,4 Гц, 1H). Масс-спектрометрия низкого разрешения (ИЭР): 613,42 [M-H]-.

Пример 71. (3S,5S,8R,9R,10S,14R,17R,18S,19S,20R)-Урсоловой кислоты 3-карбонил- β-D-глюкуронопиранозид (A71)

Соединение 2,3,4,6-O-тетрабензил-1-(пиридин-1-ил)сульфонил-β-D-тиоглюкопиранозид было заменено на 2,3,4,6-O-тетрабензил-1-(пиридин-1-ил)сульфонил- β-D-тиоглюкуронопиранозид и соединение (3S,5S,8R,9R,10S,14R,17R,18S)-28-O- бензил-3-олеаноловой кислоты альдегид было заменено на (3S,5S,8R,9R,10S,14R,17R,18S,19S,20R)-28-O-бензил-3-урсоловой кислоты альдегид. Для получения соединения A71 использовали тот же способ получения с теми же требуемыми исходными материалами и реактивами, как описано в примере 10 (выход продукта 85 %). 1H-ЯМР (500 МГц, MeOD) δ 5,28 (синглет, 1H), 4,16 (синглет, 1H), 3,79 (дублет, J = 2,0 Гц, 2H), 3,46 (дублет дублетов, J = 20,4, 9,3 Гц, 2H), 3,38 (синглет, 1H), 3,35–3,31 (мультиплет, 1H), 3,23 (дублет, J = 9,5 Гц, 1H), 3,11 (дублет, J = 9,5 Гц, 1H), 2,88 (дублет дублетов, J = 13,5, 3,0 Гц, 1H), 2,03 (дублет дублетов, J = 13,5, 10,3 Гц, 1H), 1,93 (дублет, J = 7,1 Гц, 2H), 1,86–1,05 (мультиплет, 21H), 1,06–0,93 (мультиплет, 12H), 0,90–0,82 (мультиплет, 6H), 0,81 (дублет, J = 11,4 Гц, 1H). Масс-спектрометрия низкого разрешения (ИЭР): 627,40 [M-H]-.

Пример 72. (3R,5S,8R,9R,10S,14R,17R,18S,19S,20R)-Урсоловой кислоты 3-карбонил- β-D-глюкуронопиранозид (A72)

Соединение 2,3,4,6-O-тетрабензил-1-(пиридин-1-ил)сульфонил-β-D-тиоглюкопиранозид было заменено на 2,3,4,6-O-тетрабензил-1-(пиридин-1-ил)сульфонил- β-D-тиоглюкуронопиранозид и соединение (3S,5S,8R,9R,10S,14R,17R,18S)-28-O- бензил-3-олеаноловой кислоты альдегид было заменено на (3R,5S,8R,9R,10S,14R,17R,18S,19S,20R)-28-O-бензил-3-урсоловой кислоты альдегид. Для получения соединения A72 использовали тот же способ получения с теми же требуемыми исходными материалами и реактивами, как описано в примере 10 (выход продукта 89 %). 1H-ЯМР (500 МГц, MeOD) δ 5,28 (синглет, 1H), 4,16 (синглет, 1H), 3,79 (дублет, J = 2,0 Гц, 2H), 3,46 (дублет дублетов, J = 20,4, 9,3 Гц, 2H), 3,38 (синглет, 1H), 3,35–3,31 (мультиплет, 1H), 3,23 (дублет, J = 9,5 Гц, 1H), 3,11 (дублет, J = 9,5 Гц, 1H), 2,88 (дублет дублетов, J = 13,5, 3,0 Гц, 1H), 2,03 (дублет дублетов, J = 13,5, 10,3 Гц, 1H), 1,93 (дублет, J = 7,1 Гц, 2H), 1,86–1,05 (мультиплет, 21H), 1,06–0,93 (мультиплет, 12H), 0,90–0,82 (мультиплет, 6H), 0,81 (дублет, J = 11,4 Гц, 1H). Масс-спектрометрия низкого разрешения (ИЭР): 627,40 [M-H]-.

Пример 73. (3S,5S,8R,9R,10S,13R,14R,17S,18R,19R)-Бетулиновой кислоты 3-(1'R)- (гидрокси)метил-β-D-глюкуронопиранозид (A73)

Соединение 2,3,4,6-O-тетрабензил-1-(пиридин-1-ил)сульфонил-β-D-тиоглюкопиранозид было заменено на 2,3,4,6-O-тетрабензил-1-(пиридин-1-ил)сульфонил- β-D-тиоглюкуронопиранозид и соединение (3S,5S,8R,9R,10S,14R,17R,18S)-28-O- бензил-3-олеаноловой кислоты альдегид было заменено на (3S,5S,8R,9R,10S,13R,14R,17S,18R,19R)-28-O-бензил-3-бетулиновой кислоты альдегид. Для получения соединения A73 использовали тот же способ получения с теми же требуемыми исходными материалами и реактивами, как описано в примере 2 (выход продукта 71 %). 1H-ЯМР (500 МГц, MeOD) δ 5,28 (синглет, 1H), 4,16 (синглет, 1H), 3,79 (дублет, J = 2,0 Гц, 2H), 3,46 (дублет дублетов, J = 20,4, 9,3 Гц, 2H), 3,38 (синглет, 1H), 3,35–3,31 (мультиплет, 1H), 3,23 (дублет, J = 9,5 Гц, 1H), 3,11 (дублет, J = 9,5 Гц, 1H), 2,88 (дублет дублетов, J = 13,5, 3,0 Гц, 1H), 2,03 (дублет дублетов, J = 13,5, 10,3 Гц, 1H), 1,93 (дублет, J = 7,1 Гц, 2H), 1,86–1,05 (мультиплет, 21H), 1,06–0,93 (мультиплет, 12H), 0,90–0,82 (мультиплет, 6H), 0,81 (дублет, J = 11,4 Гц, 1H). Масс-спектрометрия низкого разрешения (ИЭР): 645,41 [M-H]-.

Пример 74. (3S,5S,8R,9R,10S,13R,14R,17S,18R,19R)-Бетулиновой кислоты 3-(1'R)- (гидрокси)метил-β-D-глюкуронопиранозид (A74)

Соединение 2,3,4,6-O-тетрабензил-1-(пиридин-1-ил)сульфонил-β-D-тиоглюкопиранозид было заменено на 2,3,4,6-O-тетрабензил-1-(пиридин-1-ил)сульфонил- β-D-тиоглюкуронопиранозид и соединение (3S,5S,8R,9R,10S,14R,17R,18S)-28-O- бензил-3-олеаноловой кислоты альдегид было заменено на (3R,5S,8R,9R,10S,13R,14R,17S,18R,19R)-28-O-бензил-3-бетулиновой кислоты альдегид. Для получения соединения A74 использовали тот же способ получения с теми же требуемыми исходными материалами и реактивами, как описано в примере 2 (выход продукта 69 %). 1H-ЯМР (500 МГц, MeOD) δ 5,28 (синглет, 1H), 4,16 (синглет, 1H), 3,79 (дублет, J = 2,0 Гц, 2H), 3,46 (дублет дублетов, J = 20,4, 9,3 Гц, 2H), 3,38 (синглет, 1H), 3,35–3,31 (мультиплет, 1H), 3,23 (дублет, J = 9,5 Гц, 1H), 3,11 (дублет, J = 9,5 Гц, 1H), 2,88 (дублет дублетов, J = 13,5, 3,0 Гц, 1H), 2,03 (дублет дублетов, J = 13,5, 10,3 Гц, 1H), 1,93 (дублет, J = 7,1 Гц, 2H), 1,86–1,05 (мультиплет, 21H), 1,06–0,93 (мультиплет, 12H), 0,90–0,82 (мультиплет, 6H), 0,81 (дублет, J = 11,4 Гц, 1H). Масс-спектрометрия низкого разрешения (ИЭР): 645,41 [M-H]-.

Пример 75. (3S,5S,8R,9R,10S,13R,14R,17S,18R,19R)-Бетулиновой кислоты 3-метил- β-D-глюкуронопиранозид (A75)

Соединение 2,3,4,6-O-тетрабензил-1-(пиридин-1-ил)сульфонил-β-D-тиоглюкопиранозид было заменено на 2,3,4,6-O-тетрабензил-1-(пиридин-1-ил)сульфонил- β-D-тиоглюкуронопиранозид и соединение (3S,5S,8R,9R,10S,14R,17R,18S)-28-O- бензил-3-олеаноловой кислоты альдегид было заменено на (3S,5S,8R,9R,10S,13R,14R,17S,18R,19R)-28-O-бензил-3-бетулиновой кислоты альдегид. Для получения соединения A75 использовали тот же способ получения с теми же требуемыми исходными материалами и реактивами, как описано в примере 6 (выход продукта 70 %). 1H-ЯМР (500 МГц, MeOD) δ 5,28 (синглет, 1H), 4,16 (синглет, 1H), 3,79 (дублет, J = 2,0 Гц, 2H), 3,46 (дублет дублетов, J = 20,4, 9,3 Гц, 2H), 3,38 (синглет, 1H), 3,35–3,31 (мультиплет, 1H), 3,23 (дублет, J = 9,5 Гц, 1H), 3,11 (дублет, J = 9,5 Гц, 1H), 2,88 (дублет дублетов, J = 13,5, 3,0 Гц, 1H), 2,03 (дублет дублетов, J = 13,5, 10,3 Гц, 1H), 1,93 (дублет, J = 7,1 Гц, 2H), 1,86–1,05 (мультиплет, 21H), 1,06–0,93 (мультиплет, 12H), 0,90–0,82 (мультиплет, 6H), 0,81 (дублет, J = 11,4 Гц, 1H). Масс-спектрометрия низкого разрешения (ИЭР): 613,42 [M-H]-.

Пример 76. (3S,5S,8R,9R,10S,13R,14R,17S,18R,19R)-Бетулиновой кислоты 3-метил- β-D-глюкуронопиранозид (A76)

Соединение 2,3,4,6-O-тетрабензил-1-(пиридин-1-ил)сульфонил-β-D-тиоглюкопиранозид было заменено на 2,3,4,6-O-тетрабензил-1-(пиридин-1-ил)сульфонил- β-D-тиоглюкуронопиранозид и соединение (3S,5S,8R,9R,10S,14R,17R,18S)-28-O- бензил-3-олеаноловой кислоты альдегид было заменено на (3R,5S,8R,9R,10S,13R,14R,17S,18R,19R)-28-O-бензил-3-бетулиновой кислоты альдегид. Для получения соединения A76 использовали тот же способ получения с теми же требуемыми исходными материалами и реактивами, как описано в примере 6 (выход продукта 65 %). 1H-ЯМР (500 МГц, MeOD) δ 5,28 (синглет, 1H), 4,16 (синглет, 1H), 3,79 (дублет, J = 2,0 Гц, 2H), 3,46 (дублет дублетов, J = 20,4, 9,3 Гц, 2H), 3,38 (синглет, 1H), 3,35–3,31 (мультиплет, 1H), 3,23 (дублет, J = 9,5 Гц, 1H), 3,11 (дублет, J = 9,5 Гц, 1H), 2,88 (дублет дублетов, J = 13,5, 3,0 Гц, 1H), 2,03 (дублет дублетов, J = 13,5, 10,3 Гц, 1H), 1,93 (дублет, J = 7,1 Гц, 2H), 1,86–1,05 (мультиплет, 21H), 1,06–0,93 (мультиплет, 12H), 0,90–0,82 (мультиплет, 6H), 0,81 (дублет, J = 11,4 Гц, 1H). Масс-спектрометрия низкого разрешения (ИЭР): 613,42 [M-H]-.

Пример 77. (3S,5S,8R,9R,10S,13R,14R,17S,18R,19R)-Бетулиновой кислоты 3-карбонил- β-D-глюкуронопиранозид (A77)

Соединение 2,3,4,6-O-тетрабензил-1-(пиридин-1-ил)сульфонил-β-D-тиоглюкопиранозид было заменено на 2,3,4,6-O-тетрабензил-1-(пиридин-1-ил)сульфонил- β-D-тиоглюкуронопиранозид и соединение (3S,5S,8R,9R,10S,14R,17R,18S)-28-O- бензил-3-олеаноловой кислоты альдегид было заменено на (3S,5S,8R,9R,10S,13R,14R,17S,18R,19R)-28-O-бензил-3-бетулиновой кислоты альдегид. Для получения соединения A77 использовали тот же способ получения с теми же требуемыми исходными материалами и реактивами, как описано в примере 10 (выход продукта 88 %). 1H-ЯМР (500 МГц, MeOD) δ 5,28 (синглет, 1H), 4,16 (синглет, 1H), 3,79 (дублет, J = 2,0 Гц, 2H), 3,46 (дублет дублетов, J = 20,4, 9,3 Гц, 2H), 3,38 (синглет, 1H), 3,35–3,31 (мультиплет, 1H), 3,23 (дублет, J = 9,5 Гц, 1H), 3,11 (дублет, J = 9,5 Гц, 1H), 2,88 (дублет дублетов, J = 13,5, 3,0 Гц, 1H), 2,03 (дублет дублетов, J = 13,5, 10,3 Гц, 1H), 1,93 (дублет, J = 7,1 Гц, 2H), 1,86–1,05 (мультиплет, 21H), 1,06–0,93 (мультиплет, 12H), 0,90–0,82 (мультиплет, 6H), 0,81 (дублет, J = 11,4 Гц, 1H). Масс-спектрометрия низкого разрешения (ИЭР): 627,40 [M-H]-.

Пример 78. (3S,5S,8R,9R,10S,13R,14R,17S,18R,19R)-Бетулиновой кислоты 3-карбонил-β-D-глюкуронопиранозид (A78)

Соединение 2,3,4,6-O-тетрабензил-1-(пиридин-1-ил)сульфонил-β-D-тиоглюкопиранозид было заменено на 2,3,4,6-O-тетрабензил-1-(пиридин-1-ил)сульфонил- β-D-тиоглюкуронопиранозид и соединение (3S,5S,8R,9R,10S,14R,17R,18S)-28-O- бензил-3-олеаноловой кислоты альдегид было заменено на (3R,5S,8R,9R,10S,13R,14R,17S,18R,19R)-28-O-бензил-3-бетулиновой кислоты альдегид. Для получения соединения A78 использовали тот же способ получения с теми же требуемыми исходными материалами и реактивами, как описано в примере 10 (выход продукта 89 %). 1H-ЯМР (500 МГц, MeOD) δ 5,28 (синглет, 1H), 4,16 (синглет, 1H), 3,79 (дублет, J = 2,0 Гц, 2H), 3,46 (дублет дублетов, J = 20,4, 9,3 Гц, 2H), 3,38 (синглет, 1H), 3,35–3,31 (мультиплет, 1H), 3,23 (дублет, J = 9,5 Гц, 1H), 3,11 (дублет, J = 9,5 Гц, 1H), 2,88 (дублет дублетов, J = 13,5, 3,0 Гц, 1H), 2,03 (дублет дублетов, J = 13,5, 10,3 Гц, 1H), 1,93 (дублет, J = 7,1 Гц, 2H), 1,86–1,05 (мультиплет, 21H), 1,06–0,93 (мультиплет, 12H), 0,90–0,82 (мультиплет, 6H), 0,81 (дублет, J = 11,4 Гц, 1H). Масс-спектрометрия низкого разрешения (ИЭР): 627,40 [M-H]-.

Пример 79. (5S,8R,9R,10S,14R,17R,18S)-3-Карбонил-олеаноловой кислоты 28-β-D- глюкуронопиранозид (A79)

Соединение 2,3,4,6-O-тетрабензил-1-(пиридин-1-ил)сульфонил-β-D-тиоглюкопиранозид было заменено на 2,3,4,6-O-тетрабензил-1-(пиридин-1-ил)сульфонил- β-D-тиоглюкуронопиранозид и соединение (3S,5S,8R,9R,10S,14R,17R,18S)-28-O- бензил-3-олеаноловой кислоты альдегид было заменено на (5S,8R,9R,10S,14R,17R,18S)-3-карбонил-17-олеаноловой кислоты альдегид. Для получения соединения A79 использовали тот же способ получения с теми же требуемыми исходными материалами и реактивами, как описано в примере 2 (выход продукта 71 %). 1H-ЯМР (500 МГц, MeOD) δ 5,28 (синглет, 1H), 4,16 (синглет, 1H), 3,79 (дублет, J = 2,0 Гц, 2H), 3,46 (дублет дублетов, J = 20,4, 9,3 Гц, 2H), 3,38 (синглет, 1H), 3,35–3,31 (мультиплет, 1H), 3,23 (дублет, J = 9,5 Гц, 1H), 3,11 (дублет, J = 9,5 Гц, 1H), 2,88 (дублет дублетов, J = 13,5, 3,0 Гц, 1H), 2,03 (дублет дублетов, J = 13,5, 10,3 Гц, 1H), 1,93 (дублет, J = 7,1 Гц, 2H), 1,86–1,05 (мультиплет, 21H), 1,06–0,93 (мультиплет, 12H), 0,90–0,82 (мультиплет, 6H), 0,81 (дублет, J = 11,4 Гц, 1H). Масс-спектрометрия низкого разрешения (ИЭР): 613,38 [M-H]-.

Пример 80. (5S,8R,9R,10S,14R,17R,18S)-3-Карбонил-олеаноловой кислоты 17-(1'R)- (гидрокси)метил-β-D-глюкуронопиранозид (A80)

Соединение 2,3,4,6-O-тетрабензил-1-(пиридин-1-ил)сульфонил-β-D-тиоглюкопиранозид было заменено на 2,3,4,6-O-тетрабензил-1-(пиридин-1-ил)сульфонил- β-D-тиоглюкуронопиранозид и соединение (3S,5S,8R,9R,10S,14R,17R,18S)-28-O- бензил-3-олеаноловой кислоты альдегид было заменено на (5S,8R,9R,10S,14R,17R,18S)-3-карбонил-17-олеаноловой кислоты альдегид. Для получения соединения A80 использовали тот же способ получения с теми же требуемыми исходными материалами и реактивами, как описано в примере 6 (выход продукта 69 %). 1H-ЯМР (500 МГц, MeOD) δ 5,28 (синглет, 1H), 4,16 (синглет, 1H), 3,79 (дублет, J = 2,0 Гц, 2H), 3,46 (дублет дублетов, J = 20,4, 9,3 Гц, 2H), 3,38 (синглет, 1H), 3,35–3,31 (мультиплет, 1H), 3,23 (дублет, J = 9,5 Гц, 1H), 3,11 (дублет, J = 9,5 Гц, 1H), 2,88 (дублет дублетов, J = 13,5, 3,0 Гц, 1H), 2,03 (дублет дублетов, J = 13,5, 10,3 Гц, 1H), 1,93 (дублет, J = 7,1 Гц, 2H), 1,86–1,05 (мультиплет, 21H), 1,06–0,93 (мультиплет, 12H), 0,90–0,82 (мультиплет, 6H), 0,81 (дублет, J = 11,4 Гц, 1H). Масс-спектрометрия низкого разрешения (ИЭР): 615,40 [M-H]-.

Пример 81. (5S,8R,9R,10S,14R,17R,18S)-3-Карбонил-олеаноловой кислоты 17-метил- β-D-глюкуронопиранозид (A81)

Соединение 2,3,4,6-O-тетрабензил-1-(пиридин-1-ил)сульфонил-β-D-тиоглюкопиранозид было заменено на 2,3,4,6-O-тетрабензил-1-(пиридин-1-ил)сульфонил-β-D- тиоглюкуронопиранозид и соединение (3S,5S,8R,9R,10S,14R,17R,18S)-28-O-бензил- 3-олеаноловой кислоты альдегид было заменено на (5S,8R,9R,10S,14R,17R,18S)- 3-карбонил-17-олеаноловой кислоты альдегид. Для получения соединения A81 использовали тот же способ получения с теми же требуемыми исходными материалами и реактивами, как описано в примере 10 (выход продукта 90 %). 1H-ЯМР (500 МГц, MeOD) δ 5,28 (синглет, 1H), 4,16 (синглет, 1H), 3,79 (дублет, J = 2,0 Гц, 2H), 3,46 (дублет дублетов, J = 20,4, 9,3 Гц, 2H), 3,38 (синглет, 1H), 3,35–3,31 (мультиплет, 1H), 3,23 (дублет, J = 9,5 Гц, 1H), 3,11 (дублет, J = 9,5 Гц, 1H), 2,88 (дублет дублетов, J = 13,5, 3,0 Гц, 1H), 2,03 (дублет дублетов, J = 13,5, 10,3 Гц, 1H), 1,93 (дублет, J = 7,1 Гц, 2H), 1,86–1,05 (мультиплет, 21H), 1,06–0,93 (мультиплет, 12H), 0,90–0,82 (мультиплет, 6H), 0,81 (дублет, J = 11,4 Гц, 1H). Масс-спектрометрия низкого разрешения (ИЭР): 599,40 [M-H]-.

Пример 82. (5S,8R,9R,10S,14R,17R,18S19S,20R)-3-Карбонил-урсоловой кислоты 28-β-D-глюкуронопиранозид (A82)

Соединение 2,3,4,6-O-тетрабензил-1-(пиридин-1-ил)сульфонил-β-D-тиоглюкопиранозид было заменено на 2,3,4,6-O-тетрабензил-1-(пиридин-1-ил)сульфонил- β-D-тиоглюкуронопиранозид и соединение (3S,5S,8R,9R,10S,14R,17R,18S)-28-O- бензил-3-олеаноловой кислоты альдегид было заменено на (5S,8R,9R,10S,14R,17R,18S19S,20R)-3-карбонил-17-урсоловой кислоты альдегид. Для получения соединения A82 использовали тот же способ получения с теми же требуемыми исходными материалами и реактивами, как описано в примере 2 (выход продукта 72 %). 1H-ЯМР (500 МГц, MeOD) δ 5,28 (синглет, 1H), 4,16 (синглет, 1H), 3,79 (дублет, J = 2,0 Гц, 2H), 3,46 (дублет дублетов, J = 20,4, 9,3 Гц, 2H), 3,38 (синглет, 1H), 3,35–3,31 (мультиплет, 1H), 3,23 (дублет, J = 9,5 Гц, 1H), 3,11 (дублет, J = 9,5 Гц, 1H), 2,88 (дублет дублетов, J = 13,5, 3,0 Гц, 1H), 2,03 (дублет дублетов, J = 13,5, 10,3 Гц, 1H), 1,93 (дублет, J = 7,1 Гц, 2H), 1,86–1,05 (мультиплет, 21H), 1,06–0,93 (мультиплет, 12H), 0,90–0,82 (мультиплет, 6H), 0,81 (дублет, J = 11,4 Гц, 1H). Масс-спектрометрия низкого разрешения (ИЭР): 613,38 [M-H]-.

Пример 83. (5S,8R,9R,10S,14R,17R,18S19S,20R)-3-Карбонил-урсоловой кислоты 17-(1'R)-(гидрокси)метил-β-D-глюкуронопиранозид (A83)

Соединение 2,3,4,6-O-тетрабензил-1-(пиридин-1-ил)сульфонил-β-D-тиоглюкопиранозид было заменено на 2,3,4,6-O-тетрабензил-1-(пиридин-1-ил)сульфонил- β-D-тиоглюкуронопиранозид и соединение (3S,5S,8R,9R,10S,14R,17R,18S)-28-O- бензил-3-олеаноловой кислоты альдегид было заменено на (5S,8R,9R,10S,14R,17R,18S19S,20R)-3-карбонил-17-урсоловой кислоты альдегид. Для получения соединения A83 использовали тот же способ получения с теми же требуемыми исходными материалами и реактивами, как описано в примере 6 (выход продукта 69 %). 1H-ЯМР (500 МГц, MeOD) δ 5,28 (синглет, 1H), 4,16 (синглет, 1H), 3,79 (дублет, J = 2,0 Гц, 2H), 3,46 (дублет дублетов, J = 20,4, 9,3 Гц, 2H), 3,38 (синглет, 1H), 3,35–3,31 (мультиплет, 1H), 3,23 (дублет, J = 9,5 Гц, 1H), 3,11 (дублет, J = 9,5 Гц, 1H), 2,88 (дублет дублетов, J = 13,5, 3,0 Гц, 1H), 2,03 (дублет дублетов, J = 13,5, 10,3 Гц, 1H), 1,93 (дублет, J = 7,1 Гц, 2H), 1,86–1,05 (мультиплет, 21H), 1,06–0,93 (мультиплет, 12H), 0,90–0,82 (мультиплет, 6H), 0,81 (дублет, J = 11,4 Гц, 1H). Масс-спектрометрия низкого разрешения (ИЭР): 615,40 [M-H]-.

Пример 84. (5S,8R,9R,10S,14R,17R,18S,19S,20R)-3-Карбонил-урсоловой кислоты 17-метил-β-D-глюкуронопиранозид (A84)

Соединение 2,3,4,6-O-тетрабензил-1-(пиридин-1-ил)сульфонил-β-D-тиоглюкопиранозид было заменено на 2,3,4,6-O-тетрабензил-1-(пиридин-1-ил)сульфонил- β-D-тиоглюкуронопиранозид и соединение (3S,5S,8R,9R,10S,14R,17R,18S)-28-O- бензил-3-олеаноловой кислоты альдегид было заменено на (5S,8R,9R,10S,14R,17R,18S19S,20R)-3-карбонил-17-урсоловой кислоты альдегид. Для получения соединения A84 использовали тот же способ получения с теми же требуемыми исходными материалами и реактивами, как описано в примере 10 (выход продукта 86 %). 1H-ЯМР (500 МГц, MeOD) δ 5,28 (синглет, 1H), 4,16 (синглет, 1H), 3,79 (дублет, J = 2,0 Гц, 2H), 3,46 (дублет дублетов, J = 20,4, 9,3 Гц, 2H), 3,38 (синглет, 1H), 3,35–3,31 (мультиплет, 1H), 3,23 (дублет, J = 9,5 Гц, 1H), 3,11 (дублет, J = 9,5 Гц, 1H), 2,88 (дублет дублетов, J = 13,5, 3,0 Гц, 1H), 2,03 (дублет дублетов, J = 13,5, 10,3 Гц, 1H), 1,93 (дублет, J = 7,1 Гц, 2H), 1,86–1,05 (мультиплет, 21H), 1,06–0,93 (мультиплет, 12H), 0,90–0,82 (мультиплет, 6H), 0,81 (дублет, J = 11,4 Гц, 1H). Масс-спектрометрия низкого разрешения (ИЭР): 599,40 [M-H]-.

Пример 85. (5S,8R,9R,10S,13R,14R,17S,18R,19R)-3-Карбонил-бетулиновой кислоты 28-β-D-глюкуронопиранозид (A85)

Соединение 2,3,4,6-O-тетрабензил-1-(пиридин-1-ил)сульфонил-β-D-тиоглюкопиранозид было заменено на 2,3,4,6-O-тетрабензил-1-(пиридин-1-ил)сульфонил- β-D-тиоглюкуронопиранозид и соединение (3S,5S,8R,9R,10S,14R,17R,18S)-28-O- бензил-3-олеаноловой кислоты альдегид было заменено на (5S,8R,9R,10S,13R,14R,17S,18R,19R)-3-карбонил-17-бетулиновой кислоты альдегид. Для получения соединения A85 использовали тот же способ получения с теми же требуемыми исходными материалами и реактивами, как описано в примере 2 (выход продукта 74 %). 1H-ЯМР (500 МГц, MeOD) δ 5,28 (синглет, 1H), 4,16 (синглет, 1H), 3,79 (дублет, J = 2,0 Гц, 2H), 3,46 (дублет дублетов, J = 20,4, 9,3 Гц, 2H), 3,38 (синглет, 1H), 3,35–3,31 (мультиплет, 1H), 3,23 (дублет, J = 9,5 Гц, 1H), 3,11 (дублет, J = 9,5 Гц, 1H), 2,88 (дублет дублетов, J = 13,5, 3,0 Гц, 1H), 2,03 (дублет дублетов, J = 13,5, 10,3 Гц, 1H), 1,93 (дублет, J = 7,1 Гц, 2H), 1,86–1,05 (мультиплет, 21H), 1,06–0,93 (мультиплет, 12H), 0,90–0,82 (мультиплет, 6H), 0,81 (дублет, J = 11,4 Гц, 1H). Масс-спектрометрия низкого разрешения (ИЭР): 613,38 [M-H]-.

Пример 86. (5S,8R,9R,10S,13R,14R,17S,18R,19R)-3-Карбонил-бетулиновой кислоты 17-(1'R)-(гидрокси)метил-β-D-глюкуронопиранозид (A86)

Соединение 2,3,4,6-O-тетрабензил-1-(пиридин-1-ил)сульфонил-β-D-тиоглюкопиранозид было заменено на 2,3,4,6-O-тетрабензил-1-(пиридин-1-ил)сульфонил-β-D- тиоглюкуронопиранозид и соединение (3S,5S,8R,9R,10S,14R,17R,18S)-28-O- бензил-3-олеаноловой кислоты альдегид было заменено на (5S,8R,9R,10S,13R,14R,17S,18R,19R)-3-карбонил-17-бетулиновой кислоты альдегид. Для получения соединения A86 использовали тот же способ получения с теми же требуемыми исходными материалами и реактивами, как описано в примере 6 (выход продукта 71 %). 1H-ЯМР (500 МГц, MeOD) δ 5,28 (синглет, 1H), 4,16 (синглет, 1H), 3,79 (дублет, J = 2,0 Гц, 2H), 3,46 (дублет дублетов, J = 20,4, 9,3 Гц, 2H), 3,38 (синглет, 1H), 3,35–3,31 (мультиплет, 1H), 3,23 (дублет, J = 9,5 Гц, 1H), 3,11 (дублет, J = 9,5 Гц, 1H), 2,88 (дублет дублетов, J = 13,5, 3,0 Гц, 1H), 2,03 (дублет дублетов, J = 13,5, 10,3 Гц, 1H), 1,93 (дублет, J = 7,1 Гц, 2H), 1,86–1,05 (мультиплет, 21H), 1,06–0,93 (мультиплет, 12H), 0,90–0,82 (мультиплет, 6H), 0,81 (дублет, J = 11,4 Гц, 1H). Масс-спектрометрия низкого разрешения (ИЭР): 615,40 [M-H]-.

Пример 87. (5S,8R,9R,10S,13R,14R,17S,18R,19R)-3-Карбонил-бетулиновой кислоты 17-метил-β-D-глюкуронопиранозид (A87)

Соединение 2,3,4,6-O-тетрабензил-1-(пиридин-1-ил)сульфонил-β-D-тиоглюкопиранозид было заменено на 2,3,4,6-O-тетрабензил-1-(пиридин-1-ил)сульфонил-β-D- тиоглюкуронопиранозид и соединение (3S,5S,8R,9R,10S,14R,17R,18S)-28-O- бензил-3-олеаноловой кислоты альдегид было заменено на (5S,8R,9R,10S,13R,14R,17S,18R,19R)-3-карбонил-17-бетулиновой кислоты альдегид. Для получения соединения A87 использовали тот же способ получения с теми же требуемыми исходными материалами и реактивами, как описано в примере 10 (выход продукта 85 %). 1H-ЯМР (500 МГц, MeOD) δ 5,28 (синглет, 1H), 4,16 (синглет, 1H), 3,79 (дублет, J = 2,0 Гц, 2H), 3,46 (дублет дублетов, J = 20,4, 9,3 Гц, 2H), 3,38 (синглет, 1H), 3,35–3,31 (мультиплет, 1H), 3,23 (дублет, J = 9,5 Гц, 1H), 3,11 (дублет, J = 9,5 Гц, 1H), 2,88 (дублет дублетов, J = 13,5, 3,0 Гц, 1H), 2,03 (дублет дублетов, J = 13,5, 10,3 Гц, 1H), 1,93 (дублет, J = 7,1 Гц, 2H), 1,86–1,05 (мультиплет, 21H), 1,06–0,93 (мультиплет, 12H), 0,90–0,82 (мультиплет, 6H), 0,81 (дублет, J = 11,4 Гц, 1H). Масс-спектрометрия низкого разрешения (ИЭР): 599,40 [M-H]-.

Пример 88. (3S,5S,8R,9R,10S,14R,17R,18S)-28-O-Этил-олеаноловой кислоты 3-(1'R)- (гидрокси)метил-β-D-глюкуронопиранозид (A88)

Соединение 2,3,4,6-O-тетрабензил-1-(пиридин-1-ил)сульфонил-β-D-тиоглюкопиранозид было заменено на 2,3,4,6-O-тетрабензил-1-(пиридин-1-ил)сульфонил-β-D- тиоглюкуронопиранозид и соединение (3S,5S,8R,9R,10S,14R,17R,18S)-28-O- бензил-3-олеаноловой кислоты альдегид было заменено на (3S,5S,8R,9R,10S,14R,17R,18S)-28-O-этил-3-олеаноловой кислоты альдегид. Для получения соединения A88 использовали тот же способ получения с теми же требуемыми исходными материалами и реактивами, как описано в примере 2 (выход продукта 71 %). 1H-ЯМР (500 МГц, MeOD) δ 5,28 (синглет, 1H), 4,16 (синглет, 1H), 3,79 (дублет, J = 2,0 Гц, 2H), 3,46 (дублет дублетов, J = 20,4, 9,3 Гц, 2H), 3,38 (синглет, 1H), 3,35–3,31 (мультиплет, 1H), 3,23 (дублет, J = 9,5 Гц, 1H), 3,11 (дублет, J = 9,5 Гц, 1H), 2,88 (дублет дублетов, J = 13,5, 3,0 Гц, 1H), 2,03 (дублет дублетов, J = 13,5, 10,3 Гц, 1H), 1,93 (дублет, J = 7,1 Гц, 2H), 1,86–1,05 (мультиплет, 21H), 1,06–0,93 (мультиплет, 12H), 0,90–0,82 (мультиплет, 6H), 0,81 (дублет, J = 11,4 Гц, 1H). Масс-спектрометрия низкого разрешения (ИЭР): 673,44 [M-H]-.

Пример 89. (3S,5S,8R,9R,10S,14R,17R,18S)-28-O-Аллил-олеаноловой кислоты 3-(1'R)-(гидрокси)метил-β-D-глюкуронопиранозид (A89)

Соединение 2,3,4,6-O-тетрабензил-1-(пиридин-1-ил)сульфонил-β-D-тиоглюкопиранозид было заменено на 2,3,4,6-O-тетрабензил-1-(пиридин-1-ил)сульфонил-β-D- тиоглюкуронопиранозид и соединение (3S,5S,8R,9R,10S,14R,17R,18S)-28-O- бензил-3-олеаноловой кислоты альдегид было заменено на (3S,5S,8R,9R,10S,14R,17R,18S)-28-O-аллил-3-олеаноловой кислоты альдегид. Для получения соединения A89 использовали тот же способ получения с теми же требуемыми исходными материалами и реактивами, как описано в примере 2 (выход продукта 70 %). 1H-ЯМР (500 МГц, MeOD) δ 5,28 (синглет, 1H), 4,16 (синглет, 1H), 3,79 (дублет, J = 2,0 Гц, 2H), 3,46 (дублет дублетов, J = 20,4, 9,3 Гц, 2H), 3,38 (синглет, 1H), 3,35–3,31 (мультиплет, 1H), 3,23 (дублет, J = 9,5 Гц, 1H), 3,11 (дублет, J = 9,5 Гц, 1H), 2,88 (дублет дублетов, J = 13,5, 3,0 Гц, 1H), 2,03 (дублет дублетов, J = 13,5, 10,3 Гц, 1H), 1,93 (дублет, J = 7,1 Гц, 2H), 1,86–1,05 (мультиплет, 21H), 1,06–0,93 (мультиплет, 12H), 0,90–0,82 (мультиплет, 6H), 0,81 (дублет, J = 11,4 Гц, 1H). Масс-спектрометрия низкого разрешения (ИЭР): 685,44 [M-H]-.

Пример 90. (3S,5S,8R,9R,10S,14R,17R,18S)-28-O-(O-Этил)карбоксиметил- олеаноловой кислоты 3-(1'R)-(гидрокси)метил-β-D-глюкуронопиранозид (A90)

Соединение 2,3,4,6-O-тетрабензил-1-(пиридин-1-ил)сульфонил-β-D-тиоглюкопиранозид было заменено на 2,3,4,6-O-тетрабензил-1-(пиридин-1-ил)сульфонил-β-D- тиоглюкуронопиранозид и соединение (3S,5S,8R,9R,10S,14R,17R,18S)-28-O- бензил-3-олеаноловой кислоты альдегид было заменено на (3S,5S,8R,9R,10S,14R,17R,18S)-28-O-(O-этил)карбоксиметил-3-олеаноловой кислоты альдегид. Для получения соединения A90 использовали тот же способ получения с теми же требуемыми исходными материалами и реактивами, как описано в примере 2 (выход продукта 71 %). 1H-ЯМР (500 МГц, MeOD) δ 5,28 (синглет, 1H), 4,16 (синглет, 1H), 3,79 (дублет, J = 2,0 Гц, 2H), 3,46 (дублет дублетов, J = 20,4, 9,3 Гц, 2H), 3,38 (синглет, 1H), 3,35–3,31 (мультиплет, 1H), 3,23 (дублет, J = 9,5 Гц, 1H), 3,11 (дублет, J = 9,5 Гц, 1H), 2,88 (дублет дублетов, J = 13,5, 3,0 Гц, 1H), 2,03 (дублет дублетов, J = 13,5, 10,3 Гц, 1H), 1,93 (дублет, J = 7,1 Гц, 2H), 1,86–1,05 (мультиплет, 21H), 1,06–0,93 (мультиплет, 12H), 0,90–0,82 (мультиплет, 6H), 0,81 (дублет, J = 11,4 Гц, 1H). Масс-спектрометрия низкого разрешения (ИЭР): 731,44 [M-H]-.

Пример 91. (3S,5S,8R,9R,10S,14R,17R,18S)-28-O-Ацетокси-олеаноловой кислоты 3-(1'R)-(гидрокси)метил-β-D-глюкуронопиранозид (A91)

Соединение 2,3,4,6-O-тетрабензил-1-(пиридин-1-ил)сульфонил-β-D-тиоглюкопиранозид было заменено на 2,3,4,6-O-тетрабензил-1-(пиридин-1-ил)сульфонил-β-D- тиоглюкуронопиранозид и соединение (3S,5S,8R,9R,10S,14R,17R,18S)-28-O- бензил-3-олеаноловой кислоты альдегид было заменено на (3S,5S,8R,9R,10S,14R,17R,18S)-28-O-ацетокси-3-олеаноловой кислоты альдегид. Для получения соединения A91 использовали тот же способ получения с теми же требуемыми исходными материалами и реактивами, как описано в примере 2 (выход продукта 69 %). 1H-ЯМР (500 МГц, MeOD) δ 5,28 (синглет, 1H), 4,16 (синглет, 1H), 3,79 (дублет, J = 2,0 Гц, 2H), 3,46 (дублет дублетов, J = 20,4, 9,3 Гц, 2H), 3,38 (синглет, 1H), 3,35–3,31 (мультиплет, 1H), 3,23 (дублет, J = 9,5 Гц, 1H), 3,11 (дублет, J = 9,5 Гц, 1H), 2,88 (дублет дублетов, J = 13,5, 3,0 Гц, 1H), 2,03 (дублет дублетов, J = 13,5, 10,3 Гц, 1H), 1,93 (дублет, J = 7,1 Гц, 2H), 1,86–1,05 (мультиплет, 21H), 1,06–0,93 (мультиплет, 12H), 0,90–0,82 (мультиплет, 6H), 0,81 (дублет, J = 11,4 Гц, 1H). Масс-спектрометрия низкого разрешения (ИЭР): 703,41 [M-H]-.

Пример 92. (3S,5S,8R,9R,10S,14R,17R,18S)-28-O-Гидроксиэтил-олеаноловой кислоты 3-(1'R)-(гидрокси)метил-β-D-глюкуронопиранозид (A92)

Соединение 2,3,4,6-O-тетрабензил-1-(пиридин-1-ил)сульфонил-β-D-тиоглюкопиранозид было заменено на 2,3,4,6-O-тетрабензил-1-(пиридин-1-ил)сульфонил-β-D- тиоглюкуронопиранозид и соединение (3S,5S,8R,9R,10S,14R,17R,18S)-28-O- бензил-3-олеаноловой кислоты альдегид было заменено на (3S,5S,8R,9R,10S,14R,17R,18S)-28-O-гидроксиэтил-3-олеаноловой кислоты альдегид. Для получения соединения A92 использовали тот же способ получения с теми же требуемыми исходными материалами и реактивами, как описано в примере 2 (выход продукта 71 %). 1H-ЯМР (500 МГц, MeOD) δ 5,28 (синглет, 1H), 4,16 (синглет, 1H), 3,79 (дублет, J = 2,0 Гц, 2H), 3,46 (дублет дублетов, J = 20,4, 9,3 Гц, 2H), 3,38 (синглет, 1H), 3,35–3,31 (мультиплет, 1H), 3,23 (дублет, J = 9,5 Гц, 1H), 3,11 (дублет, J = 9,5 Гц, 1H), 2,88 (дублет дублетов, J = 13,5, 3,0 Гц, 1H), 2,03 (дублет дублетов, J = 13,5, 10,3 Гц, 1H), 1,93 (дублет, J = 7,1 Гц, 2H), 1,86–1,05 (мультиплет, 21H), 1,06–0,93 (мультиплет, 12H), 0,90–0,82 (мультиплет, 6H), 0,81 (дублет, J = 11,4 Гц, 1H). Масс-спектрометрия низкого разрешения (ИЭР): 689,43 [M-H]-.

Пример 93. (3S,5S,8R,9R,10S,14R,17R,18S)-28-O-(N-Метил)аминоэтил-олеаноловой кислоты 3-(1'R)-(гидрокси)метил-β-D-глюкуронопиранозид (A93)

Соединение 2,3,4,6-O-тетрабензил-1-(пиридин-1-ил)сульфонил-β-D-тиоглюкопиранозид было заменено на 2,3,4,6-O-тетрабензил-1-(пиридин-1-ил)сульфонил-β-D- тиоглюкуронопиранозид и соединение (3S,5S,8R,9R,10S,14R,17R,18S)-28-O- бензил-3-олеаноловой кислоты альдегид было заменено на (3S,5S,8R,9R,10S,14R,17R,18S)-28-O-(N-метил)аминоэтил-3-олеаноловой кислоты альдегид. Для получения соединения A93 использовали тот же способ получения с теми же требуемыми исходными материалами и реактивами, как описано в примере 2 (выход продукта 69 %). 1H-ЯМР (500 МГц, MeOD) δ 5,28 (синглет, 1H), 4,16 (синглет, 1H), 3,79 (дублет, J = 2,0 Гц, 2H), 3,46 (дублет дублетов, J = 20,4, 9,3 Гц, 2H), 3,38 (синглет, 1H), 3,35–3,31 (мультиплет, 1H), 3,23 (дублет, J = 9,5 Гц, 1H), 3,11 (дублет, J = 9,5 Гц, 1H), 2,88 (дублет дублетов, J = 13,5, 3,0 Гц, 1H), 2,03 (дублет дублетов, J = 13,5, 10,3 Гц, 1H), 1,93 (дублет, J = 7,1 Гц, 2H), 1,86–1,05 (мультиплет, 21H), 1,06–0,93 (мультиплет, 12H), 0,90–0,82 (мультиплет, 6H), 0,81 (дублет, J = 11,4 Гц, 1H). Масс-спектрометрия низкого разрешения (ИЭР): 702,47 [M-H]-.

Пример 94. (3S,5S,8R,9R,10S,14R,17R,18S)-28-O-(N,N-Диэтил)аминоэтил- олеаноловой кислоты 3-(1'R)-(гидрокси)метил-β-D-глюкуронопиранозид (A94)

Соединение 2,3,4,6-O-тетрабензил-1-(пиридин-1-ил)сульфонил-β-D-тиоглюкопиранозид было заменено на 2,3,4,6-O-тетрабензил-1-(пиридин-1-ил)сульфонил-β-D- тиоглюкуронопиранозид и соединение (3S,5S,8R,9R,10S,14R,17R,18S)-28-O- бензил-3-олеаноловой кислоты альдегид было заменено на (3S,5S,8R,9R,10S,14R,17R,18S)-28-O-(N,N-диэтил)аминоэтил-3-олеаноловой кислоты альдегид. Для получения соединения A94 использовали тот же способ получения с теми же требуемыми исходными материалами и реактивами, как описано в примере 2 (выход продукта 68 %). 1H-ЯМР (500 МГц, MeOD) δ 5,28 (синглет, 1H), 4,16 (синглет, 1H), 3,79 (дублет, J = 2,0 Гц, 2H), 3,46 (дублет дублетов, J = 20,4, 9,3 Гц, 2H), 3,38 (синглет, 1H), 3,35–3,31 (мультиплет, 1H), 3,23 (дублет, J = 9,5 Гц, 1H), 3,11 (дублет, J = 9,5 Гц, 1H), 2,88 (дублет дублетов, J = 13,5, 3,0 Гц, 1H), 2,03 (дублет дублетов, J = 13,5, 10,3 Гц, 1H), 1,93 (дублет, J = 7,1 Гц, 2H), 1,86–1,05 (мультиплет, 21H), 1,06–0,93 (мультиплет, 12H), 0,90–0,82 (мультиплет, 6H), 0,81 (дублет, J = 11,4 Гц, 1H). Масс-спектрометрия низкого разрешения (ИЭР): 744,51 [M-H]-.

Пример 95. (3S,5S,8R,9R,10S,14R,17R,18S)-28-O-Гидроксилбут-2'''-инил-олеаноловой кислоты 3-(1'R)-(гидрокси)метил-β-D-глюкуронопиранозид (A95)

Соединение 2,3,4,6-O-тетрабензил-1-(пиридин-1-ил)сульфонил-β-D-тиоглюкопиранозид было заменено на 2,3,4,6-O-тетрабензил-1-(пиридин-1-ил)сульфонил-β-D- тиоглюкуронопиранозид и соединение (3S,5S,8R,9R,10S,14R,17R,18S)-28-O- бензил-3-олеаноловой кислоты альдегид было заменено на (3S,5S,8R,9R,10S,14R,17R,18S)-28-O-гидроксилбут-2'''-инил-3-олеаноловой кислоты альдегид. Для получения соединения A95 использовали тот же способ получения с теми же требуемыми исходными материалами и реактивами, как описано в примере 2 (выход продукта 62 %). 1H-ЯМР (500 МГц, MeOD) δ 5,28 (синглет, 1H), 4,16 (синглет, 1H), 3,79 (дублет, J = 2,0 Гц, 2H), 3,46 (дублет дублетов, J = 20,4, 9,3 Гц, 2H), 3,38 (синглет, 1H), 3,35–3,31 (мультиплет, 1H), 3,23 (дублет, J = 9,5 Гц, 1H), 3,11 (дублет, J = 9,5 Гц, 1H), 2,88 (дублет дублетов, J = 13,5, 3,0 Гц, 1H), 2,03 (дублет дублетов, J = 13,5, 10,3 Гц, 1H), 1,93 (дублет, J = 7,1 Гц, 2H), 1,86–1,05 (мультиплет, 21H), 1,06–0,93 (мультиплет, 12H), 0,90–0,82 (мультиплет, 6H), 0,81 (дублет, J = 11,4 Гц, 1H). Масс-спектрометрия низкого разрешения (ИЭР): 713,43 [M-H]-.

Пример 96. (3S,5S,8R,9R,10S,14R,17R,18S)-28-O-циклогексил-олеаноловой кислоты 3-(1'R)-(гидрокси)метил-β-D-глюкуронопиранозид (A96)

Соединение 2,3,4,6-O-тетрабензил-1-(пиридин-1-ил)сульфонил-β-D-тиоглюкопиранозид было заменено на 2,3,4,6-O-тетрабензил-1-(пиридин-1-ил)сульфонил-β-D- тиоглюкуронопиранозид и соединение (3S,5S,8R,9R,10S,14R,17R,18S)-28-O- бензил-3-олеаноловой кислоты альдегид было заменено на (3S,5S,8R,9R,10S,14R,17R,18S)-28-O-циклогексил-3-олеаноловой кислоты альдегид. Для получения соединения A96 использовали тот же способ получения с теми же требуемыми исходными материалами и реактивами, как описано в примере 2 (выход продукта 69 %). 1H-ЯМР (500 МГц, MeOD) δ 5,28 (синглет, 1H), 4,16 (синглет, 1H), 3,79 (дублет, J = 2,0 Гц, 2H), 3,46 (дублет дублетов, J = 20,4, 9,3 Гц, 2H), 3,38 (синглет, 1H), 3,35–3,31 (мультиплет, 1H), 3,23 (дублет, J = 9,5 Гц, 1H), 3,11 (дублет, J = 9,5 Гц, 1H), 2,88 (дублет дублетов, J = 13,5, 3,0 Гц, 1H), 2,03 (дублет дублетов, J = 13,5, 10,3 Гц, 1H), 1,93 (дублет, J = 7,1 Гц, 2H), 1,86–1,05 (мультиплет, 21H), 1,06–0,93 (мультиплет, 12H), 0,90–0,82 (мультиплет, 6H), 0,81 (дублет, J = 11,4 Гц, 1H). Масс-спектрометрия низкого разрешения (ИЭР): 727,49 [M-H]-.

Пример 97. (3S,5S,8R,9R,10S,14R,17R,18S)-28-(O-Метил)карбоксиметиламино- олеаноловой кислоты 3-(1'R)-(гидрокси)метил-β-D-глюкуронопиранозид (A97)

Соединение 2,3,4,6-O-тетрабензил-1-(пиридин-1-ил)сульфонил-β-D-тиоглюкопиранозид было заменено на 2,3,4,6-O-тетрабензил-1-(пиридин-1-ил)сульфонил-β-D- тиоглюкуронопиранозид и соединение (3S,5S,8R,9R,10S,14R,17R,18S)-28-O- бензил-3-олеаноловой кислоты альдегид было заменено на (3S,5S,8R,9R,10S,14R,17R,18S)-28-O-(O-метил)карбоксиметиламино-3-олеаноловой кислоты альдегид. Для получения соединения A97 использовали тот же способ получения с теми же требуемыми исходными материалами и реактивами, как описано в примере 2 (выход продукта 73 %). 1H-ЯМР (500 МГц, MeOD) δ 5,28 (синглет, 1H), 4,16 (синглет, 1H), 3,79 (дублет, J = 2,0 Гц, 2H), 3,46 (дублет дублетов, J = 20,4, 9,3 Гц, 2H), 3,38 (синглет, 1H), 3,35–3,31 (мультиплет, 1H), 3,23 (дублет, J = 9,5 Гц, 1H), 3,11 (дублет, J = 9,5 Гц, 1H), 2,88 (дублет дублетов, J = 13,5, 3,0 Гц, 1H), 2,03 (дублет дублетов, J = 13,5, 10,3 Гц, 1H), 1,93 (дублет, J = 7,1 Гц, 2H), 1,86–1,05 (мультиплет, 21H), 1,06–0,93 (мультиплет, 12H), 0,90–0,82 (мультиплет, 6H), 0,81 (дублет, J = 11,4 Гц, 1H). Масс-спектрометрия низкого разрешения (ИЭР): 716,45 [M-H]-.

Пример 98. (3S,5S,8R,9R,10S,14R,17R,18S)-28-Карбоксиметиламино-олеаноловой кислоты 3-(1'R)-(гидрокси)метил-β-D-глюкуронопиранозид (A98)

Соединение 2,3,4,6-O-тетрабензил-1-(пиридин-1-ил)сульфонил-β-D-тиоглюкопиранозид было заменено на 2,3,4,6-O-тетрабензил-1-(пиридин-1-ил)сульфонил-β-D- тиоглюкуронопиранозид и соединение (3S,5S,8R,9R,10S,14R,17R,18S)-28-O- бензил-3-олеаноловой кислоты альдегид было заменено на (3S,5S,8R,9R,10S,14R,17R,18S)-28-O-карбоксиметиламино-3-олеаноловой кислоты альдегид. Для получения соединения A98 использовали тот же способ получения с теми же требуемыми исходными материалами и реактивами, как описано в примере 2 (выход продукта 62 %). 1H-ЯМР (500 МГц, MeOD) δ 5,28 (синглет, 1H), 4,16 (синглет, 1H), 3,79 (дублет, J = 2,0 Гц, 2H), 3,46 (дублет дублетов, J = 20,4, 9,3 Гц, 2H), 3,38 (синглет, 1H), 3,35–3,31 (мультиплет, 1H), 3,23 (дублет, J = 9,5 Гц, 1H), 3,11 (дублет, J = 9,5 Гц, 1H), 2,88 (дублет дублетов, J = 13,5, 3,0 Гц, 1H), 2,03 (дублет дублетов, J = 13,5, 10,3 Гц, 1H), 1,93 (дублет, J = 7,1 Гц, 2H), 1,86–1,05 (мультиплет, 21H), 1,06–0,93 (мультиплет, 12H), 0,90–0,82 (мультиплет, 6H), 0,81 (дублет, J = 11,4 Гц, 1H). Масс-спектрометрия низкого разрешения (ИЭР): 702,43 [M-H]-.

Пример 99. (3S,5S,8R,9R,10S,14R,17R,18S)-28-(N,N-Диэтил)аминопропиламино- олеаноловой кислоты 3-(1'R)-(гидрокси)метил-β-D-глюкуронопиранозид (A99)

Соединение 2,3,4,6-O-тетрабензил-1-(пиридин-1-ил)сульфонил-β-D-тиоглюкопиранозид было заменено на 2,3,4,6-O-тетрабензил-1-(пиридин-1-ил)сульфонил-β-D- тиоглюкуронопиранозид и соединение (3S,5S,8R,9R,10S,14R,17R,18S)-28-O- бензил-3-олеаноловой кислоты альдегид было заменено на (3S,5S,8R,9R,10S,14R,17R,18S)-28-O-(N,N-диэтил)аминопропиламино-3-олеаноловой кислоты альдегид. Для получения соединения A99 использовали тот же способ получения с теми же требуемыми исходными материалами и реактивами, как описано в примере 2 (выход продукта 66 %). 1H-ЯМР (500 МГц, MeOD) δ 5,28 (синглет, 1H), 4,16 (синглет, 1H), 3,79 (дублет, J = 2,0 Гц, 2H), 3,46 (дублет дублетов, J = 20,4, 9,3 Гц, 2H), 3,38 (синглет, 1H), 3,35–3,31 (мультиплет, 1H), 3,23 (дублет, J = 9,5 Гц, 1H), 3,11 (дублет, J = 9,5 Гц, 1H), 2,88 (дублет дублетов, J = 13,5, 3,0 Гц, 1H), 2,03 (дублет дублетов, J = 13,5, 10,3 Гц, 1H), 1,93 (дублет, J = 7,1 Гц, 2H), 1,86–1,05 (мультиплет, 21H), 1,06–0,93 (мультиплет, 12H), 0,90–0,82 (мультиплет, 6H), 0,81 (дублет, J = 11,4 Гц, 1H). Масс-спектрометрия низкого разрешения (ИЭР): 757,54 [M-H]-.

Пример 100. (3S,5S,8R,9R,10S,14R,17R,18S)-28-(N-Ацетил)аминопропиламино- олеаноловой кислоты 3-(1'R)-(гидрокси)метил-β-D-глюкуронопиранозид (A100)

Соединение 2,3,4,6-O-тетрабензил-1-(пиридин-1-ил)сульфонил-β-D-тиоглюкопиранозид было заменено на 2,3,4,6-O-тетрабензил-1-(пиридин-1-ил)сульфонил-β-D- тиоглюкуронопиранозид и соединение (3S,5S,8R,9R,10S,14R,17R,18S)-28-O- бензил-3-олеаноловой кислоты альдегид было заменено на (3S,5S,8R,9R,10S,14R,17R,18S)-28-O-(N-ацетил)аминопропиламино-3-олеаноловой кислоты альдегид. Для получения соединения A100 использовали тот же способ получения с теми же требуемыми исходными материалами и реактивами, как описано в примере 2 (выход продукта 65 %). 1H-ЯМР (500 МГц, MeOD) δ 5,28 (синглет, 1H), 4,16 (синглет, 1H), 3,79 (дублет, J = 2,0 Гц, 2H), 3,46 (дублет дублетов, J = 20,4, 9,3 Гц, 2H), 3,38 (синглет, 1H), 3,35–3,31 (мультиплет, 1H), 3,23 (дублет, J = 9,5 Гц, 1H), 3,11 (дублет, J = 9,5 Гц, 1H), 2,88 (дублет дублетов, J = 13,5, 3,0 Гц, 1H), 2,03 (дублет дублетов, J = 13,5, 10,3 Гц, 1H), 1,93 (дублет, J = 7,1 Гц, 2H), 1,86–1,05 (мультиплет, 21H), 1,06–0,93 (мультиплет, 12H), 0,90–0,82 (мультиплет, 6H), 0,81 (дублет, J = 11,4 Гц, 1H). Масс-спектрометрия низкого разрешения (ИЭР): 743,49 [M-H]-.

Пример 101. (3S,5S,8R,9R,10S,14R,17R,18S)-28-(N,N-Диэтил)аминогексиламино- олеаноловой кислоты 3-(1'R)-(гидрокси)метил-β-D-глюкуронопиранозид (A101)

Соединение 2,3,4,6-O-тетрабензил-1-(пиридин-1-ил)сульфонил-β-D-тиоглюкопиранозид было заменено на 2,3,4,6-O-тетрабензил-1-(пиридин-1-ил)сульфонил-β-D- тиоглюкуронопиранозид и соединение (3S,5S,8R,9R,10S,14R,17R,18S)-28-O- бензил-3-олеаноловой кислоты альдегид было заменено на (3S,5S,8R,9R,10S,14R,17R,18S)-28-O-(N,N-диэтил)аминогексиламино-3-олеаноловой кислоты альдегид. Для получения соединения A101 использовали тот же способ получения с теми же требуемыми исходными материалами и реактивами, как описано в примере 2 (выход продукта 71 %). 1H-ЯМР (500 МГц, MeOD) δ 5,28 (синглет, 1H), 4,16 (синглет, 1H), 3,79 (дублет, J = 2,0 Гц, 2H), 3,46 (дублет дублетов, J = 20,4, 9,3 Гц, 2H), 3,38 (синглет, 1H), 3,35–3,31 (мультиплет, 1H), 3,23 (дублет, J = 9,5 Гц, 1H), 3,11 (дублет, J = 9,5 Гц, 1H), 2,88 (дублет дублетов, J = 13,5, 3,0 Гц, 1H), 2,03 (дублет дублетов, J = 13,5, 10,3 Гц, 1H), 1,93 (дублет, J = 7,1 Гц, 2H), 1,86–1,05 (мультиплет, 21H), 1,06–0,93 (мультиплет, 12H), 0,90–0,82 (мультиплет, 6H), 0,81 (дублет, J = 11,4 Гц, 1H). Масс-спектрометрия низкого разрешения (ИЭР): 799,59 [M-H]-.

Пример 102. (3S,5S,8R,9R,10S,14R,17R,18S)-28-(N-Ацетил)аминогексиламино- олеаноловой кислоты 3-(1'R)-(гидрокси)метил-β-D-глюкуронопиранозид (A102)

Соединение 2,3,4,6-O-тетрабензил-1-(пиридин-1-ил)сульфонил-β-D-тиоглюкопиранозид было заменено на 2,3,4,6-O-тетрабензил-1-(пиридин-1-ил)сульфонил-β-D- тиоглюкуронопиранозид и соединение (3S,5S,8R,9R,10S,14R,17R,18S)-28-O- бензил-3-олеаноловой кислоты альдегид было заменено на (3S,5S,8R,9R,10S,14R,17R,18S)-28-O-(N-ацетил)аминогексиламино-3-олеаноловой кислоты альдегид. Для получения соединения A102 использовали тот же способ получения с теми же требуемыми исходными материалами и реактивами, как описано в примере 2 (выход продукта 68 %). 1H-ЯМР (500 МГц, MeOD) δ 5,28 (синглет, 1H), 4,16 (синглет, 1H), 3,79 (дублет, J = 2,0 Гц, 2H), 3,46 (дублет дублетов, J = 20,4, 9,3 Гц, 2H), 3,38 (синглет, 1H), 3,35–3,31 (мультиплет, 1H), 3,23 (дублет, J = 9,5 Гц, 1H), 3,11 (дублет, J = 9,5 Гц, 1H), 2,88 (дублет дублетов, J = 13,5, 3,0 Гц, 1H), 2,03 (дублет дублетов, J = 13,5, 10,3 Гц, 1H), 1,93 (дублет, J = 7,1 Гц, 2H), 1,86–1,05 (мультиплет, 21H), 1,06–0,93 (мультиплет, 12H), 0,90–0,82 (мультиплет, 6H), 0,81 (дублет, J = 11,4 Гц, 1H). Масс-спектрометрия низкого разрешения (ИЭР): 785,54 [M-H]-.

Пример 103. (3S,5S,8R,9R,10S,14R,17R,18S)-28-(N-Этил)аминогексиламино- олеаноловой кислоты 3-(1'R)-(гидрокси)метил-β-D-глюкуронопиранозид (A103)

Соединение 2,3,4,6-O-тетрабензил-1-(пиридин-1-ил)сульфонил-β-D-тиоглюкопиранозид было заменено на 2,3,4,6-O-тетрабензил-1-(пиридин-1-ил)сульфонил-β-D- тиоглюкуронопиранозид и соединение (3S,5S,8R,9R,10S,14R,17R,18S)-28-O- бензил-3-олеаноловой кислоты альдегид было заменено на (3S,5S,8R,9R,10S,14R,17R,18S)-28-O-(N-этил)аминогексиламино-3-олеаноловой кислоты альдегид. Для получения соединения A103 использовали тот же способ получения с теми же требуемыми исходными материалами и реактивами, как описано в примере 2 (выход продукта 69 %). 1H-ЯМР (500 МГц, MeOD) δ 5,28 (синглет, 1H), 4,16 (синглет, 1H), 3,79 (дублет, J = 2,0 Гц, 2H), 3,46 (дублет дублетов, J = 20,4, 9,3 Гц, 2H), 3,38 (синглет, 1H), 3,35–3,31 (мультиплет, 1H), 3,23 (дублет, J = 9,5 Гц, 1H), 3,11 (дублет, J = 9,5 Гц, 1H), 2,88 (дублет дублетов, J = 13,5, 3,0 Гц, 1H), 2,03 (дублет дублетов, J = 13,5, 10,3 Гц, 1H), 1,93 (дублет, J = 7,1 Гц, 2H), 1,86–1,05 (мультиплет, 21H), 1,06–0,93 (мультиплет, 12H), 0,90–0,82 (мультиплет, 6H), 0,81 (дублет, J = 11,4 Гц, 1H). Масс-спектрометрия низкого разрешения (ИЭР): 771,56 [M-H]-.

Пример 104. (3S,5S,8R,9R,10S,14R,17R,18S)-28-O-(Пиразол-1''-ил)метил- олеаноловой кислоты 3-(1'R)-(гидрокси)метил-β-D-глюкуронопиранозид (A104)

Соединение 2,3,4,6-O-тетрабензил-1-(пиридин-1-ил)сульфонил-β-D-тиоглюкопиранозид было заменено на 2,3,4,6-O-тетрабензил-1-(пиридин-1-ил)сульфонил-β-D- тиоглюкуронопиранозид и соединение (3S,5S,8R,9R,10S,14R,17R,18S)-28-O- бензил-3-олеаноловой кислоты альдегид было заменено на (3S,5S,8R,9R,10S,14R,17R,18S)-28-O-(пиразол-1-ил)метил-3-олеаноловой кислоты альдегид. Для получения соединения A104 использовали тот же способ получения с теми же требуемыми исходными материалами и реактивами, как описано в примере 2 (выход продукта 65 %). 1H-ЯМР (500 МГц, MeOD) δ 5,28 (синглет, 1H), 4,16 (синглет, 1H), 3,79 (дублет, J = 2,0 Гц, 2H), 3,46 (дублет дублетов, J = 20,4, 9,3 Гц, 2H), 3,38 (синглет, 1H), 3,35–3,31 (мультиплет, 1H), 3,23 (дублет, J = 9,5 Гц, 1H), 3,11 (дублет, J = 9,5 Гц, 1H), 2,88 (дублет дублетов, J = 13,5, 3,0 Гц, 1H), 2,03 (дублет дублетов, J = 13,5, 10,3 Гц, 1H), 1,93 (дублет, J = 7,1 Гц, 2H), 1,86–1,05 (мультиплет, 21H), 1,06–0,93 (мультиплет, 12H), 0,90–0,82 (мультиплет, 6H), 0,81 (дублет, J = 11,4 Гц, 1H). Масс-спектрометрия низкого разрешения (ИЭР): 725,45 [M-H]-.

Пример 105. (3S,5S,8R,9R,10S,14R,17R,18S)-28-O-(Пиперидин-1''-ил)метил- олеаноловой кислоты 3-(1'R)-(гидрокси)метил-β-D-глюкуронопиранозид (A105)

Соединение 2,3,4,6-O-тетрабензил-1-(пиридин-1-ил)сульфонил-β-D-тиоглюкопиранозид было заменено на 2,3,4,6-O-тетрабензил-1-(пиридин-1-ил)сульфонил-β-D- тиоглюкуронопиранозид и соединение (3S,5S,8R,9R,10S,14R,17R,18S)-28-O- бензил-3-олеаноловой кислоты альдегид было заменено на (3S,5S,8R,9R,10S,14R,17R,18S)-28-O-(пиперидин-1-ил)метил-3-олеаноловой кислоты альдегид. Для получения соединения A105 использовали тот же способ получения с теми же требуемыми исходными материалами и реактивами, как описано в примере 2 (выход продукта 70 %). 1H-ЯМР (500 МГц, MeOD) δ 5,28 (синглет, 1H), 4,16 (синглет, 1H), 3,79 (дублет, J = 2,0 Гц, 2H), 3,46 (дублет дублетов, J = 20,4, 9,3 Гц, 2H), 3,38 (синглет, 1H), 3,35–3,31 (мультиплет, 1H), 3,23 (дублет, J = 9,5 Гц, 1H), 3,11 (дублет, J = 9,5 Гц, 1H), 2,88 (дублет дублетов, J = 13,5, 3,0 Гц, 1H), 2,03 (дублет дублетов, J = 13,5, 10,3 Гц, 1H), 1,93 (дублет, J = 7,1 Гц, 2H), 1,86–1,05 (мультиплет, 21H), 1,06–0,93 (мультиплет, 12H), 0,90–0,82 (мультиплет, 6H), 0,81 (дублет, J = 11,4 Гц, 1H). Масс-спектрометрия низкого разрешения (ИЭР): 756,51 [M-H]-.

Пример 106. (3S,5S,8R,9R,10S,14R,17R,18S)-28-O-(Морфолин-4''-ил)метил- олеаноловой кислоты 3-(1'R)-(гидрокси)метил-β-D-глюкуронопиранозид (A106)

Соединение 2,3,4,6-O-тетрабензил-1-(пиридин-1-ил)сульфонил-β-D-тиоглюкопиранозид было заменено на 2,3,4,6-O-тетрабензил-1-(пиридин-1-ил)сульфонил-β-D- тиоглюкуронопиранозид и соединение (3S,5S,8R,9R,10S,14R,17R,18S)-28-O- бензил-3-олеаноловой кислоты альдегид было заменено на (3S,5S,8R,9R,10S,14R,17R,18S)-28-O-(морфолин-4-ил)метил-3-олеаноловой кислоты альдегид. Для получения соединения A106 использовали тот же способ получения с теми же требуемыми исходными материалами и реактивами, как описано в примере 2 (выход продукта 67 %). 1H-ЯМР (500 МГц, MeOD) δ 5,28 (синглет, 1H), 4,16 (синглет, 1H), 3,79 (дублет, J = 2,0 Гц, 2H), 3,46 (дублет дублетов, J = 20,4, 9,3 Гц, 2H), 3,38 (синглет, 1H), 3,35–3,31 (мультиплет, 1H), 3,23 (дублет, J = 9,5 Гц, 1H), 3,11 (дублет, J = 9,5 Гц, 1H), 2,88 (дублет дублетов, J = 13,5, 3,0 Гц, 1H), 2,03 (дублет дублетов, J = 13,5, 10,3 Гц, 1H), 1,93 (дублет, J = 7,1 Гц, 2H), 1,86–1,05 (мультиплет, 21H), 1,06–0,93 (мультиплет, 12H), 0,90–0,82 (мультиплет, 6H), 0,81 (дублет, J = 11,4 Гц, 1H). Масс-спектрометрия низкого разрешения (ИЭР): 758,49 [M-H]-.

Пример 107. (3S,5S,8R,9R,10S,14R,17R,18S)-Олеаноловой кислоты 3-(1'R)-фторметил-β-D-глюкуронопиранозид (A107)

Соединение 2,3,4,6-O-Тетрабензил-1-(пиридин-1-ил)сульфонил-β-D-тиоглюкопиранозид было заменено на 2,3,4,6-O-тетрабензил-1-(пиридин-1-ил)сульфонил-β-D- тиоглюкуронопиранозид и реактив Десса-Мартина был заменен на DAST. Для получения соединения A107 использовали тот же способ получения с теми же требуемыми исходными материалами и реактивами, как описано в примере 10 (выход продукта 65 %). 1H-ЯМР (500 МГц, MeOD) δ 5,28 (синглет, 1H), 4,16 (синглет, 1H), 3,79 (дублет, J = 2,0 Гц, 2H), 3,46 (дублет дублетов, J = 20,4, 9,3 Гц, 2H), 3,38 (синглет, 1H), 3,35–3,31 (мультиплет, 1H), 3,23 (дублет, J = 9,5 Гц, 1H), 3,11 (дублет, J = 9,5 Гц, 1H), 2,88 (дублет дублетов, J = 13,5, 3,0 Гц, 1H), 2,03 (дублет дублетов, J = 13,5, 10,3 Гц, 1H), 1,93 (дублет, J = 7,1 Гц, 2H), 1,86–1,05 (мультиплет, 21H), 1,06–0,93 (мультиплет, 12H), 0,90–0,82 (мультиплет, 6H), 0,81 (дублет, J = 11,4 Гц, 1H). Масс-спектрометрия низкого разрешения (ИЭР): 647,40 [M-H]-.

Пример 108. (3S,5S,8R,9R,10S,14R,17R,18S)-Олеаноловой кислоты 3-(1'R)-(гидрокси)метил-28-(1''R)-(гидрокси)метил-β-D-диглюкуропиранозид (A108)

Соединение 2,3,4,6-O-тетрабензил-1-(пиридин-1-ил)сульфонил-β-D-тиоглюкопиранозид было заменено на 2,3,4,6-O-тетрабензил-1-(пиридин-1-ил)сульфонил-β-D- тиоглюкуронопиранозид и соединение (3S,5S,8R,9R,10S,14R,17R,18S)-28-O- бензил-3-олеаноловой кислоты альдегид было заменено на (3S,5S,8R,9R,10S,14R,17R,18S)-3,17-диолеаноловой кислоты альдегид. Для получения соединения A108 использовали тот же способ получения с теми же требуемыми исходными материалами и реактивами, как описано в примере 2 (выход продукта 62 %). 1H-ЯМР (500 МГц, MeOD) δ 5,28 (синглет, 1H), 4,16 (синглет, 1H), 3,79 (дублет, J = 2,0 Гц, 4H), 3,46 (дублет дублетов, J = 20,4, 9,3 Гц, 4H), 3,38 (синглет, 2H), 3,35–3,31 (мультиплет, 2H), 3,23 (дублет, J = 9,5 Гц, 2H), 3,11 (дублет, J = 9,5 Гц, 2H), 2,88 (дублет дублетов, J = 13,5, 3,0 Гц, 1H), 2,03 (дублет дублетов, J = 13,5, 10,3 Гц, 1H), 1,93 (дублет, J = 7,1 Гц, 2H), 1,86–1,05 (мультиплет, 21H), 1,06–0,93 (мультиплет, 12H), 0,90–0,82 (мультиплет, 6H), 0,81 (дублет, J = 11,4 Гц, 1H). Масс-спектрометрия низкого разрешения (ИЭР): 807,46 [M-H]-.

Пример 109. (3S,5S,8R,9R,10S,14R,17R,18S)-Олеаноловой кислоты 3-(1'R)-(гидрокси)метил-6''-O-метил-β-D-глюкуронопиранозид (A109)

Соединение 2,3,4,6-O-тетрабензил-1-(пиридин-1-ил)сульфонил-β-D-тиоглюкопиранозид было заменено на 2,3,4,6-O-тетрабензил-1-(пиридин-1-ил)сульфонил- 6-O-метил-β-D-тиоглюкуронопиранозид. Для получения соединения A109 использовали тот же способ получения с теми же требуемыми исходными материалами и реактивами, как описано в примере 2 (выход продукта 71 %). 1H-ЯМР (500 МГц, MeOD) δ 5,28 (синглет, 1H), 4,16 (синглет, 1H), 3,79 (дублет, J = 2,0 Гц, 2H), 3,46 (дублет дублетов, J = 20,4, 9,3 Гц, 2H), 3,38 (синглет, 1H), 3,35–3,31 (мультиплет, 1H), 3,23 (дублет, J = 9,5 Гц, 1H), 3,11 (дублет, J = 9,5 Гц, 1H), 2,88 (дублет дублетов, J = 13,5, 3,0 Гц, 1H), 2,03 (дублет дублетов, J = 13,5, 10,3 Гц, 1H), 1,93 (дублет, J = 7,1 Гц, 2H), 1,86–1,05 (мультиплет, 21H), 1,06–0,93 (мультиплет, 12H), 0,90–0,82 (мультиплет, 6H), 0,81 (дублет, J = 11,4 Гц, 1H). Масс-спектрометрия низкого разрешения (ИЭР): 659,42 [M-H]-.

Пример 110. (3S,5S,8R,9R,10S,14R,17R,18S)-Олеаноловой кислоты 3-(1'R)-(гидрокси)метил-6''-O-н-бутил-β-D-глюкуронопиранозид (A110)

Соединение 2,3,4,6-O-тетрабензил-1-(пиридин-1-ил)сульфонил-β-D-тиоглюкопиранозид было заменено на 2,3,4,6-O-тетрабензил-1-(пиридин-1-ил)сульфонил-6-O- н-бутил-β-D-тиоглюкуронопиранозид. Для получения соединения A110 использовали тот же способ получения с теми же требуемыми исходными материалами и реактивами, как описано в примере 2 (выход продукта 71 %). 1H-ЯМР (500 МГц, MeOD) δ 5,28 (синглет, 1H), 4,16 (синглет, 1H), 3,79 (дублет, J = 2,0 Гц, 2H), 3,46 (дублет дублетов, J = 20,4, 9,3 Гц, 2H), 3,38 (синглет, 1H), 3,35–3,31 (мультиплет, 1H), 3,23 (дублет, J = 9,5 Гц, 1H), 3,11 (дублет, J = 9,5 Гц, 1H), 2,88 (дублет дублетов, J = 13,5, 3,0 Гц, 1H), 2,03 (дублет дублетов, J = 13,5, 10,3 Гц, 1H), 1,93 (дублет, J = 7,1 Гц, 2H), 1,86–1,05 (мультиплет, 21H), 1,06–0,93 (мультиплет, 12H), 0,90–0,82 (мультиплет, 6H), 0,81 (дублет, J = 11,4 Гц, 1H). Масс-спектрометрия низкого разрешения (ИЭР): 701,47 [M-H]-.

Пример 111. (3S,5S,8R,9R,10S,14R,17R,18S)-Олеаноловой кислоты 3-(1'R)-(гидрокси) метил-6''-O-изобутил-β-D-глюкуронопиранозид (A111)

Соединение 2,3,4,6-O-тетрабензил-1-(пиридин-1-ил)сульфонил-β-D-тиоглюкопиранозид было заменено на 2,3,4,6-O-тетрабензил-1-(пиридин-1-ил)сульфонил- 6-O-изобутил-β-D-тиоглюкуронопиранозид. Для получения соединения A111 использовали тот же способ получения с теми же требуемыми исходными материалами и реактивами, как описано в примере 2 (выход продукта 61 %). 1H-ЯМР (500 МГц, MeOD) δ 5,28 (синглет, 1H), 4,16 (синглет, 1H), 3,79 (дублет, J = 2,0 Гц, 2H), 3,46 (дублет дублетов, J = 20,4, 9,3 Гц, 2H), 3,38 (синглет, 1H), 3,35–3,31 (мультиплет, 1H), 3,23 (дублет, J = 9,5 Гц, 1H), 3,11 (дублет, J = 9,5 Гц, 1H), 2,88 (дублет дублетов, J = 13,5, 3,0 Гц, 1H), 2,03 (дублет дублетов, J = 13,5, 10,3 Гц, 1H), 1,93 (дублет, J = 7,1 Гц, 2H), 1,86–1,05 (мультиплет, 21H), 1,06–0,93 (мультиплет, 12H), 0,90–0,82 (мультиплет, 6H), 0,81 (дублет, J = 11,4 Гц, 1H). Масс-спектрометрия низкого разрешения (ИЭР): 701,47 [M-H]-.

Пример 112. (3S,5S,8R,9R,10S,14R,17R,18S)-Олеаноловой кислоты 3-(1'R)-(гидрокси) метил-6''-O-бензил-β-D-глюкуронопиранозид (A112)

Соединение 2,3,4,6-O-тетрабензил-1-(пиридин-1-ил)сульфонил-β-D-тиоглюкопиранозид было заменено на 2,3,4,6-O-тетрабензил-1-(пиридин-1-ил)сульфонил- 6-O-бензил-β-D-тиоглюкуронопиранозид. Для получения соединения A112 использовали тот же способ получения с теми же требуемыми исходными материалами и реактивами, как описано в примере 2 (выход продукта 68 %). 1H-ЯМР (500 МГц, MeOD) δ 7,32 (мультиплет, 5H), 5,28 (синглет, 1H), 4,16 (синглет, 1H), 3,79 (дублет, J = 2,0 Гц, 2H), 3,46 (дублет дублетов, J = 20,4, 9,3 Гц, 2H), 3,38 (синглет, 1H), 3,35–3,31 (мультиплет, 1H), 3,23 (дублет, J = 9,5 Гц, 1H), 3,11 (дублет, J = 9,5 Гц, 1H), 2,88 (дублет дублетов, J = 13,5, 3,0 Гц, 1H), 2,03 (дублет дублетов, J = 13,5, 10,3 Гц, 1H), 1,93 (дублет, J = 7,1 Гц, 2H), 1,86–1,05 (мультиплет, 21H), 1,06–0,93 (мультиплет, 12H), 0,90–0,82 (мультиплет, 6H), 0,81 (дублет, J = 11,4 Гц, 1H). Масс-спектрометрия низкого разрешения (ИЭР): 735,46 [M-H]-.

Пример 113. (3S,5S,8R,9R,10S,14R,17R,18S)-Олеаноловой кислоты 3-(1'R)-(гидрокси) метил-6''-O-(1-фторацетил)-β-D-глюкуронопиранозид (A113)

Соединение 2,3,4,6-O-тетрабензил-1-(пиридин-1-ил)сульфонил-β-D-тиоглюкопиранозид было заменено на 2,3,4,6-O-тетрабензил-1-(пиридин-1-ил)сульфонил- 6''-O-(1-фторацетил)-β-D-тиоглюкуронопиранозид. Для получения соединения A113 использовали тот же способ получения с теми же требуемыми исходными материалами и реактивами, как описано в примере 2 (выход продукта 72 %). 1H-ЯМР (500 МГц, MeOD) δ 5,28 (синглет, 1H), 4,16 (синглет, 1H), 3,79 (дублет, J = 2,0 Гц, 2H), 3,46 (дублет дублетов, J = 20,4, 9,3 Гц, 2H), 3,38 (синглет, 1H), 3,35–3,31 (мультиплет, 1H), 3,23 (дублет, J = 9,5 Гц, 1H), 3,11 (дублет, J = 9,5 Гц, 1H), 2,88 (дублет дублетов, J = 13,5, 3,0 Гц, 1H), 2,03 (дублет дублетов, J = 13,5, 10,3 Гц, 1H), 1,93 (дублет, J = 7,1 Гц, 2H), 1,86–1,05 (мультиплет, 21H), 1,06–0,93 (мультиплет, 12H), 0,90–0,82 (мультиплет, 6H), 0,81 (дублет, J = 11,4 Гц, 1H). Масс-спектрометрия низкого разрешения (ИЭР): 658,44 [M-H]-.

Пример 114. (3S,5S,8R,9R,10S,14R,17R,18S)-Олеаноловой кислоты 3-(1'R)-(гидрокси) метил-6''-метиламино-β-D-глюкуронопиранозид (A114)

Соединение 2,3,4,6-O-тетрабензил-1-(пиридин-1-ил)сульфонил-β-D-тиоглюкопиранозид было заменено на 2,3,4,6-O-тетрабензил-1-(пиридин-1-ил)сульфонил- 6-метиламино-β-D-тиоглюкуронопиранозид. Для получения соединения A114 использовали тот же способ получения с теми же требуемыми исходными материалами и реактивами, как описано в примере 2 (выход продукта 72 %). 1H-ЯМР (500 МГц, MeOD) δ 5,28 (синглет, 1H), 4,16 (синглет, 1H), 3,79 (дублет, J = 2,0 Гц, 2H), 3,46 (дублет дублетов, J = 20,4, 9,3 Гц, 2H), 3,38 (синглет, 1H), 3,35–3,31 (мультиплет, 1H), 3,23 (дублет, J = 9,5 Гц, 1H), 3,11 (дублет, J = 9,5 Гц, 1H), 2,88 (дублет дублетов, J = 13,5, 3,0 Гц, 1H), 2,03 (дублет дублетов, J = 13,5, 10,3 Гц, 1H), 1,93 (дублет, J = 7,1 Гц, 2H), 1,86–1,05 (мультиплет, 21H), 1,06–0,93 (мультиплет, 12H), 0,90–0,82 (мультиплет, 6H), 0,81 (дублет, J = 11,4 Гц, 1H). Масс-спектрометрия низкого разрешения (ИЭР): 658,44 [M-H]-.

Пример 115. (3S,5S,8R,9R,10S,14R,17R,18S)-Олеаноловой кислоты 3-(1'R)-(гидрокси) метил-6''-бутиламино-β-D-глюкуронопиранозид (A115)

Соединение 2,3,4,6-O-тетрабензил-1-(пиридин-1-ил)сульфонил-β-D-тиоглюкопиранозид было заменено на 2,3,4,6-O-тетрабензил-1-(пиридин-1-ил)сульфонил- 6-бутиламино-β-D-тиоглюкуронопиранозид. Для получения соединения A115 использовали тот же способ получения с теми же требуемыми исходными материалами и реактивами, как описано в примере 2 (выход продукта 70 %). 1H-ЯМР (500 МГц, MeOD) δ 5,28 (синглет, 1H), 4,16 (синглет, 1H), 3,79 (дублет, J = 2,0 Гц, 2H), 3,46 (дублет дублетов, J = 20,4, 9,3 Гц, 2H), 3,38 (синглет, 1H), 3,35–3,31 (мультиплет, 1H), 3,23 (дублет, J = 9,5 Гц, 1H), 3,11 (дублет, J = 9,5 Гц, 1H), 2,88 (дублет дублетов, J = 13,5, 3,0 Гц, 1H), 2,03 (дублет дублетов, J = 13,5, 10,3 Гц, 1H), 1,93 (дублет, J = 7,1 Гц, 2H), 1,86–1,05 (мультиплет, 21H), 1,06–0,93 (мультиплет, 12H), 0,90–0,82 (мультиплет, 6H), 0,81 (дублет, J = 11,4 Гц, 1H). Масс-спектрометрия низкого разрешения (ИЭР): 600,49 [M-H]-.

Пример 116. (3S,5S,8R,9R,10S,14R,17R,18S)-Олеаноловой кислоты 3-(1'R)-(гидрокси) метил-6''-изобутиламино-β-D-глюкуронопиранозид (A116)

Соединение 2,3,4,6-O-тетрабензил-1-(пиридин-1-ил)сульфонил-β-D-тиоглюкопиранозид было заменено на 2,3,4,6-O-тетрабензил-1-(пиридин-1-ил)сульфонил- 6-изобутиламино-β-D-тиоглюкуронопиранозид. Для получения соединения A116 использовали тот же способ получения с теми же требуемыми исходными материалами и реактивами, как описано в примере 2 (выход продукта 80 %). 1H-ЯМР (500 МГц, MeOD) δ 5,28 (синглет, 1H), 4,16 (синглет, 1H), 3,79 (дублет, J = 2,0 Гц, 2H), 3,46 (дублет дублетов, J = 20,4, 9,3 Гц, 2H), 3,38 (синглет, 1H), 3,35–3,31 (мультиплет, 1H), 3,23 (дублет, J = 9,5 Гц, 1H), 3,11 (дублет, J = 9,5 Гц, 1H), 2,88 (дублет дублетов, J = 13,5, 3,0 Гц, 1H), 2,03 (дублет дублетов, J = 13,5, 10,3 Гц, 1H), 1,93 (дублет, J = 7,1 Гц, 2H), 1,86–1,05 (мультиплет, 21H), 1,06–0,93 (мультиплет, 12H), 0,90–0,82 (мультиплет, 6H), 0,81 (дублет, J = 11,4 Гц, 1H). Масс-спектрометрия низкого разрешения (ИЭР): 700,49 [M-H]-.

Пример 117. (3S,5S,8R,9R,10S,14R,17R,18S)-Олеаноловой кислоты 3-(1'R)-(гидрокси) метил-6''-бензиламино-β-D-глюкуронопиранозид (A117)

Соединение 2,3,4,6-O-тетрабензил-1-(пиридин-1-ил)сульфонил-β-D-тиоглюкопиранозид было заменено на 2,3,4,6-O-тетрабензил-1-(пиридин-1-ил)сульфонил- 6-бензиламино-β-D-тиоглюкуронопиранозид. Для получения соединения A117 использовали тот же способ получения с теми же требуемыми исходными материалами и реактивами, как описано в примере 2 (выход продукта 82 %). 1H-ЯМР (500 МГц, MeOD) δ 7,33(мультиплет, 5H), 5,28 (синглет, 1H), 4,16 (синглет, 1H), 3,79 (дублет, J = 2,0 Гц, 2H), 3,46 (дублет дублетов, J = 20,4, 9,3 Гц, 2H), 3,38 (синглет, 1H), 3,35–3,31 (мультиплет, 1H), 3,23 (дублет, J = 9,5 Гц, 1H), 3,11 (дублет, J = 9,5 Гц, 1H), 2,88 (дублет дублетов, J = 13,5, 3,0 Гц, 1H), 2,03 (дублет дублетов, J = 13,5, 10,3 Гц, 1H), 1,93 (дублет, J = 7,1 Гц, 2H), 1,86–1,05 (мультиплет, 21H), 1,06–0,93 (мультиплет, 12H), 0,90–0,82 (мультиплет, 6H), 0,81 (дублет, J = 11,4 Гц, 1H). Масс-спектрометрия низкого разрешения (ИЭР): 734,47 [M-H]-.

Пример 118. (3S,5S,8R,9R,10S,14R,17R,18S)-Олеаноловой кислоты 3-(1'R)-(гидрокси) метил-6''-диметиламино-β-D-глюкуронопиранозид (A118)

Соединение 2,3,4,6-O-тетрабензил-1-(пиридин-1-ил)сульфонил-β-D-тиоглюкопиранозид было заменено на 2,3,4,6-O-тетрабензил-1-(пиридин-1-ил)сульфонил- 6-диметиламино-β-D-тиоглюкуронопиранозид. Для получения соединения A118 использовали тот же способ получения с теми же требуемыми исходными материалами и реактивами, как описано в примере 2 (выход продукта 72 %). 1H-ЯМР (500 МГц, MeOD) δ 5,28 (синглет, 1H), 4,16 (синглет, 1H), 3,79 (дублет, J = 2,0 Гц, 2H), 3,46 (дублет дублетов, J = 20,4, 9,3 Гц, 2H), 3,38 (синглет, 1H), 3,35–3,31 (мультиплет, 1H), 3,23 (дублет, J = 9,5 Гц, 1H), 3,11 (дублет, J = 9,5 Гц, 1H), 2,88 (дублет дублетов, J = 13,5, 3,0 Гц, 1H), 2,03 (дублет дублетов, J = 13,5, 10,3 Гц, 1H), 1,93 (дублет, J = 7,1 Гц, 2H), 1,86–1,05 (мультиплет, 21H), 1,06–0,93 (мультиплет, 12H), 0,90–0,82 (мультиплет, 6H), 0,81 (дублет, J = 11,4 Гц, 1H). Масс-спектрометрия низкого разрешения (ИЭР): 672,46 [M-H]-.

Пример 119. (3S,5S,8R,9R,10S,14R,17R,18S)-Олеаноловой кислоты 3-(1'R)-(гидрокси) метил-6''-(1-фторэтиламино)-β-D-глюкуронопиранозид (A119)

Соединение 2,3,4,6-O-тетрабензил-1-(пиридин-1-ил)сульфонил-β-D-тиоглюкопиранозид было заменено на 2,3,4,6-O-тетрабензил-1-(пиридин-1-ил)сульфонил- 6-(1-фторэтиламино)-β-D-тиоглюкуронопиранозид. Для получения соединения A119 использовали тот же способ получения с теми же требуемыми исходными материалами и реактивами, как описано в примере 2 (выход продукта 72 %). 1H-ЯМР (500 МГц, MeOD) δ 5,28 (синглет, 1H), 4,16 (синглет, 1H), 3,79 (дублет, J = 2,0 Гц, 2H), 3,46 (дублет дублетов, J = 20,4, 9,3 Гц, 2H), 3,38 (синглет, 1H), 3,35–3,31 (мультиплет, 1H), 3,23 (дублет, J = 9,5 Гц, 1H), 3,11 (дублет, J = 9,5 Гц, 1H), 2,88 (дублет дублетов, J = 13,5, 3,0 Гц, 1H), 2,03 (дублет дублетов, J = 13,5, 10,3 Гц, 1H), 1,93 (дублет, J = 7,1 Гц, 2H), 1,86–1,05 (мультиплет, 21H), 1,06–0,93 (мультиплет, 12H), 0,90–0,82 (мультиплет, 6H), 0,81 (дублет, J = 11,4 Гц, 1H). Масс-спектрометрия низкого разрешения (ИЭР): 672,46 [M-H]-.

Пример 120. (3S,5S,8R,9R,10S,14R,17R,18S)-Олеаноловой кислоты 3-(1'R)-(гидрокси) метил-5''-циано-β-D-ксилопиранозид (A120)

Соединение 2,3,4,6-O-тетрабензил-1-(пиридин-1-ил)сульфонил-β-D-тиоглюкопиранозид было заменено на 2,3,4,6-O-тетрабензил-1-(пиридин-1-ил)сульфонил- 5-циано-β-D-тиоксилопиранозид. Для получения соединения A120 использовали тот же способ получения с теми же требуемыми исходными материалами и реактивами, как описано в примере 2 (выход продукта 78 %). 1H-ЯМР (500 МГц, MeOD) δ 5,28 (синглет, 1H), 4,16 (синглет, 1H), 3,79 (дублет, J = 2,0 Гц, 2H), 3,46 (дублет дублетов, J = 20,4, 9,3 Гц, 2H), 3,38 (синглет, 1H), 3,35–3,31 (мультиплет, 1H), 3,23 (дублет, J = 9,5 Гц, 1H), 3,11 (дублет, J = 9,5 Гц, 1H), 2,88 (дублет дублетов, J = 13,5, 3,0 Гц, 1H), 2,03 (дублет дублетов, J = 13,5, 10,3 Гц, 1H), 1,93 (дублет, J = 7,1 Гц, 2H), 1,86–1,05 (мультиплет, 21H), 1,06–0,93 (мультиплет, 12H), 0,90–0,82 (мультиплет, 6H), 0,81 (дублет, J = 11,4 Гц, 1H). Масс-спектрометрия низкого разрешения (ИЭР): 626,41 [M-H]-.

Пример 121. (5S,8R,9R,10S,14R,17R,18S)-3-Карбонил-олеаноловой кислоты 17-(1'S)-(гидрокси)метил-β-D-маннопиранозид (A121)

Соединение 2,3,4,6-O-Тетрабензил-1-(пиридин-1-ил)сульфонил-β-D-тиоглюкопиранозид было заменено на 2,3,4,6-O-тетрабензил-1-(пиридин-1-ил)сульфонил- β-D-тиоманнопиранозид и соединение (3S,5S,8R,9R,10S,14R,17R,18S)-28-O- бензил-3-олеаноловой кислоты альдегид было заменено на (5S,8R,9R,10S,14R,17R,18S)-3-карбонил-17-олеаноловой кислоты альдегид. Для получения соединения A121 использовали тот же способ получения с теми же требуемыми исходными материалами и реактивами, как описано в примере 6 (выход продукта 69 %). 1H-ЯМР (500 МГц, MeOD) δ 5,28 (синглет, 1H), 4,16 (синглет, 1H), 3,79 (дублет, J = 2,0 Гц, 2H), 3,46 (дублет дублетов, J = 20,4, 9,3 Гц, 2H), 3,38 (синглет, 1H), 3,35–3,31 (мультиплет, 1H), 3,23 (дублет, J = 9,5 Гц, 1H), 3,11 (дублет, J = 9,5 Гц, 1H), 2,88 (дублет дублетов, J = 13,5, 3,0 Гц, 1H), 2,03 (дублет дублетов, J = 13,5, 10,3 Гц, 1H), 1,93 (дублет, J = 7,1 Гц, 2H), 1,86–1,05 (мультиплет, 21H), 1,06–0,93 (мультиплет, 12H), 0,90–0,82 (мультиплет, 6H), 0,81 (дублет, J = 11,4 Гц, 1H). Масс-спектрометрия низкого разрешения (ИЭР): 603,42 [M+H]+.

Пример 122. (3S,5S,8R,9R,10S,14R,17R,18S)-Олеаноловой кислоты 17-(1'S)-(гидрокси) метил-β-D-маннопиранозид (A122)

Соединение 2,3,4,6-O-тетрабензил-1-(пиридин-1-ил)сульфонил-β-D-тиоглюкопиранозид было заменено на 2,3,4,6-O-тетрабензил-1-(пиридин-1-ил)сульфонил- β-D-тиоманнопиранозид и соединение (3S,5S,8R,9R,10S,14R,17R,18S)-28-O- бензил-3-олеаноловой кислоты альдегид было заменено на (5S,8R,9R,10S,14R,17R,18S)-3-гидрокси-17-олеаноловой кислоты альдегид. Для получения соединения A122 использовали тот же способ получения с теми же требуемыми исходными материалами и реактивами, как описано в примере 6 (выход продукта 73 %). 1H-ЯМР (500 МГц, MeOD) δ 5,28 (синглет, 1H), 4,16 (синглет, 1H), 3,79 (дублет, J = 2,0 Гц, 2H), 3,46 (дублет дублетов, J = 20,4, 9,3 Гц, 2H), 3,38 (синглет, 1H), 3,35–3,31 (мультиплет, 1H), 3,23 (дублет, J = 9,5 Гц, 1H), 3,11 (дублет, J = 9,5 Гц, 1H), 2,88 (дублет дублетов, J = 13,5, 3,0 Гц, 1H), 2,03 (дублет дублетов, J = 13,5, 10,3 Гц, 1H), 1,93 (дублет, J = 7,1 Гц, 2H), 1,86–1,05 (мультиплет, 21H), 1,06–0,93 (мультиплет, 12H), 0,90–0,82 (мультиплет, 6H), 0,81 (дублет, J = 11,4 Гц, 1H). Масс-спектрометрия низкого разрешения (ИЭР): 605,43 [M+H]+.

Пример 123. (3S,5S,8R,9R,10S,14R,17R,18S)-3-Метокси-олеаноловой кислоты 17-(1'S)-(гидрокси)метил-β-D-маннопиранозид (A123)

Соединение 2,3,4,6-O-тетрабензил-1-(пиридин-1-ил)сульфонил-β-D-тиоглюкопиранозид было заменено на 2,3,4,6-O-тетрабензил-1-(пиридин-1-ил)сульфонил-β-D- тиоманнопиранозид и соединение (3S,5S,8R,9R,10S,14R,17R,18S)-28-O- бензил-3-олеаноловой кислоты альдегид было заменено на (5S,8R,9R,10S,14R,17R,18S)-3-метокси-17-олеаноловой кислоты альдегид. Для получения соединения A123 использовали тот же способ получения с теми же требуемыми исходными материалами и реактивами, как описано в примере 6 (выход продукта 70 %). 1H-ЯМР (500 МГц, MeOD) δ 5,28 (синглет, 1H), 4,16 (синглет, 1H), 3,79 (дублет, J = 2,0 Гц, 2H), 3,46 (дублет дублетов, J = 20,4, 9,3 Гц, 2H), 3,38 (синглет, 1H), 3,35–3,31 (мультиплет, 1H), 3,23 (дублет, J = 9,5 Гц, 1H), 3,11 (дублет, J = 9,5 Гц, 1H), 2,88 (дублет дублетов, J = 13,5, 3,0 Гц, 1H), 2,03 (дублет дублетов, J = 13,5, 10,3 Гц, 1H), 1,93 (дублет, J = 7,1 Гц, 2H), 1,86–1,05 (мультиплет, 21H), 1,06–0,93 (мультиплет, 12H), 0,90–0,82 (мультиплет, 6H), 0,81 (дублет, J = 11,4 Гц, 1H). Масс-спектрометрия низкого разрешения (ИЭР): 619,45 [M+H]+.

Пример 124. (3S,5S,8R,9R,10S,14R,17R,18S)-3-(4-Фторциклогексокси)-олеаноловой кислоты 17-(1'S)-(гидрокси)метил-β-D-маннопиранозид (A124)

Соединение 2,3,4,6-O-тетрабензил-1-(пиридин-1-ил)сульфонил-β-D-тиоглюкопиранозид было заменено на 2,3,4,6-O-тетрабензил-1-(пиридин-1-ил)сульфонил-β-D- тиоманнопиранозид и соединение (3S,5S,8R,9R,10S,14R,17R,18S)-28-O- бензил-3-олеаноловой кислоты альдегид было заменено на (5S,8R,9R,10S,14R,17R,18S)-3-(4-фторциклогексокси)-17-олеаноловой кислоты альдегид. Для получения соединения A124 использовали тот же способ получения с теми же требуемыми исходными материалами и реактивами, как описано в примере 6 (выход продукта 72 %). 1H-ЯМР (500 МГц, MeOD) δ 5,28 (синглет, 1H), 4,16 (синглет, 1H), 3,79 (дублет, J = 2,0 Гц, 2H), 3,46 (дублет дублетов, J = 20,4, 9,3 Гц, 2H), 3,38 (синглет, 1H), 3,35–3,31 (мультиплет, 1H), 3,23 (дублет, J = 9,5 Гц, 1H), 3,11 (дублет, J = 9,5 Гц, 1H), 2,88 (дублет дублетов, J = 13,5, 3,0 Гц, 1H), 2,03 (дублет дублетов, J = 13,5, 10,3 Гц, 1H), 1,93 (дублет, J = 7,1 Гц, 2H), 1,86–1,05 (мультиплет, 21H), 1,06–0,93 (мультиплет, 12H), 0,90–0,82 (мультиплет, 6H), 0,81 (дублет, J = 11,4 Гц, 1H). Масс-спектрометрия низкого разрешения (ИЭР): 705,50 [M+H]+.

Пример 125. (3S,5S,8R,9R,10S,14R,17R,18S)-3-Ацетокси-олеаноловой кислоты 17-(1'S)-(гидрокси)метил-β-D-маннопиранозид (A125)

Соединение 2,3,4,6-O-тетрабензил-1-(пиридин-1-ил)сульфонил-β-D-тиоглюкопиранозид было заменено на 2,3,4,6-O-тетрабензил-1-(пиридин-1-ил)сульфонил-β-D- тиоманнопиранозид и соединение (3S,5S,8R,9R,10S,14R,17R,18S)-28-O- бензил-3-олеаноловой кислоты альдегид было заменено на (5S,8R,9R,10S,14R,17R,18S)-3-ацетокси-17-олеаноловой кислоты альдегид. Для получения соединения A125 использовали тот же способ получения с теми же требуемыми исходными материалами и реактивами, как описано в примере 6 (выход продукта 77 %). 1H-ЯМР (500 МГц, MeOD) δ 5,28 (синглет, 1H), 4,16 (синглет, 1H), 3,79 (дублет, J = 2,0 Гц, 2H), 3,46 (дублет дублетов, J = 20,4, 9,3 Гц, 2H), 3,38 (синглет, 1H), 3,35–3,31 (мультиплет, 1H), 3,23 (дублет, J = 9,5 Гц, 1H), 3,11 (дублет, J = 9,5 Гц, 1H), 2,88 (дублет дублетов, J = 13,5, 3,0 Гц, 1H), 2,03 (дублет дублетов, J = 13,5, 10,3 Гц, 1H), 1,93 (дублет, J = 7,1 Гц, 2H), 1,86–1,05 (мультиплет, 21H), 1,06–0,93 (мультиплет, 12H), 0,90–0,82 (мультиплет, 6H), 0,81 (дублет, J = 11,4 Гц, 1H). Масс-спектрометрия низкого разрешения (ИЭР): 647,44 [M+H]+.

Пример 126. (3S,5S,8R,9R,10S,14R,17R,18S)-3-Фторацетокси-олеаноловой кислоты 17-(1'S)-(гидрокси)метил-β-D-маннопиранозид (A126)

Соединение 2,3,4,6-O-тетрабензил-1-(пиридин-1-ил)сульфонил-β-D-тиоглюкопиранозид было заменено на 2,3,4,6-O-тетрабензил-1-(пиридин-1-ил)сульфонил-β-D- тиоманнопиранозид и соединение (3S,5S,8R,9R,10S,14R,17R,18S)-28-O- бензил-3-олеаноловой кислоты альдегид было заменено на (5S,8R,9R,10S,14R,17R,18S)-3-фторацетокси-17-олеаноловой кислоты альдегид. Для получения соединения A126 использовали тот же способ получения с теми же требуемыми исходными материалами и реактивами, как описано в примере 6 (выход продукта 72 %). 1H-ЯМР (500 МГц, MeOD) δ 5,28 (синглет, 1H), 4,16 (синглет, 1H), 3,79 (дублет, J = 2,0 Гц, 2H), 3,46 (дублет дублетов, J = 20,4, 9,3 Гц, 2H), 3,38 (синглет, 1H), 3,35–3,31 (мультиплет, 1H), 3,23 (дублет, J = 9,5 Гц, 1H), 3,11 (дублет, J = 9,5 Гц, 1H), 2,88 (дублет дублетов, J = 13,5, 3,0 Гц, 1H), 2,03 (дублет дублетов, J = 13,5, 10,3 Гц, 1H), 1,93 (дублет, J = 7,1 Гц, 2H), 1,86–1,05 (мультиплет, 21H), 1,06–0,93 (мультиплет, 12H), 0,90–0,82 (мультиплет, 6H), 0,81 (дублет, J = 11,4 Гц, 1H). Масс-спектрометрия низкого разрешения (ИЭР): 665,44 [M+H]+.

Пример 127. (3S,5S,8R,9R,10S,14R,17R,18S)-3-(4-Фторфенилацетокси)-олеаноловой кислоты 17-(1'S)-(гидрокси)метил-β-D-маннопиранозид (A127)

Соединение 2,3,4,6-O-тетрабензил-1-(пиридин-1-ил)сульфонил-β-D-тиоглюкопиранозид было заменено на 2,3,4,6-O-тетрабензил-1-(пиридин-1-ил)сульфонил-β-D- тиоманнопиранозид и соединение (3S,5S,8R,9R,10S,14R,17R,18S)-28-O- бензил-3-олеаноловой кислоты альдегид было заменено на (5S,8R,9R,10S,14R,17R,18S)-3-(4-фторфенилацетокси)-17-олеаноловой кислоты альдегид. Для получения соединения A127 использовали тот же способ получения с теми же требуемыми исходными материалами и реактивами, как описано в примере 6 (выход продукта 71 %). 1H-ЯМР (500 МГц, MeOD) δ 5,28 (синглет, 1H), 4,16 (синглет, 1H), 3,79 (дублет, J = 2,0 Гц, 2H), 3,46 (дублет дублетов, J = 20,4, 9,3 Гц, 2H), 3,38 (синглет, 1H), 3,35–3,31 (мультиплет, 1H), 3,23 (дублет, J = 9,5 Гц, 1H), 3,11 (дублет, J = 9,5 Гц, 1H), 2,88 (дублет дублетов, J = 13,5, 3,0 Гц, 1H), 2,03 (дублет дублетов, J = 13,5, 10,3 Гц, 1H), 1,93 (дублет, J = 7,1 Гц, 2H), 1,86–1,05 (мультиплет, 21H), 1,06–0,93 (мультиплет, 12H), 0,90–0,82 (мультиплет, 6H), 0,81 (дублет, J = 11,4 Гц, 1H). Масс-спектрометрия низкого разрешения (ИЭР): 727,45 [M+H]+.

Пример 128. (3S,5S,8R,9R,10S,14R,17R,18S)-3-(4-Трифторметилфенилсульфонил- окси)-олеаноловой кислоты 17-(1'S)-(гидрокси)метил-β-D-маннопиранозид (A128)

Соединение 2,3,4,6-O-тетрабензил-1-(пиридин-1-ил)сульфонил-β-D-тиоглюкопиранозид было заменено на 2,3,4,6-O-тетрабензил-1-(пиридин-1-ил)сульфонил- β-D-тиоманнопиранозид и соединение (3S,5S,8R,9R,10S,14R,17R,18S)-28-O- бензил-3-олеаноловой кислоты альдегид было заменено на (5S,8R,9R,10S,14R,17R,18S)-3-(4-трифторметилфенилсульфонилокси)-17- олеаноловой кислоты альдегид. Для получения соединения A128 использовали тот же способ получения с теми же требуемыми исходными материалами и реактивами, как описано в примере 6 (выход продукта 69 %). 1H-ЯМР (500 МГц, MeOD) δ 5,28 (синглет, 1H), 4,16 (синглет, 1H), 3,79 (дублет, J = 2,0 Гц, 2H), 3,46 (дублет дублетов, J = 20,4, 9,3 Гц, 2H), 3,38 (синглет, 1H), 3,35–3,31 (мультиплет, 1H), 3,23 (дублет, J = 9,5 Гц, 1H), 3,11 (дублет, J = 9,5 Гц, 1H), 2,88 (дублет дублетов, J = 13,5, 3,0 Гц, 1H), 2,03 (дублет дублетов, J = 13,5, 10,3 Гц, 1H), 1,93 (дублет, J = 7,1 Гц, 2H), 1,86–1,05 (мультиплет, 21H), 1,06–0,93 (мультиплет, 12H), 0,90–0,82 (мультиплет, 6H), 0,81 (дублет, J = 11,4 Гц, 1H). Масс-спектрометрия низкого разрешения (ИЭР): 813,41 [M+H]+.

Пример 129. (3S,5S,8R,9R,10S,14R,17R,18S)-3-(2,3,5,6-Тетрафторбензамид)- олеаноловой кислоты 17-(1'S)-(гидрокси)метил-β-D-маннопиранозид (A129)

Соединение 2,3,4,6-O-тетрабензил-1-(пиридин-1-ил)сульфонил-β-D-тиоглюкопиранозид было заменено на 2,3,4,6-O-тетрабензил-1-(пиридин-1-ил)сульфонил- β-D-тиоманнопиранозид и соединение (3S,5S,8R,9R,10S,14R,17R,18S)-28-O- бензил-3-олеаноловой кислоты альдегид было заменено на (5S,8R,9R,10S,14R,17R,18S)-3-(2,3,5,6-тетрафторбензамид)-17- олеаноловой кислоты альдегид. Для получения соединения A129 использовали тот же способ получения с теми же требуемыми исходными материалами и реактивами, как описано в примере 6 (выход продукта 76 %). 1H-ЯМР (500 МГц, MeOD) δ 5,28 (синглет, 1H), 4,16 (синглет, 1H), 3,79 (дублет, J = 2,0 Гц, 2H), 3,46 (дублет дублетов, J = 20,4, 9,3 Гц, 2H), 3,38 (синглет, 1H), 3,35–3,31 (мультиплет, 1H), 3,23 (дублет, J = 9,5 Гц, 1H), 3,11 (дублет, J = 9,5 Гц, 1H), 2,88 (дублет дублетов, J = 13,5, 3,0 Гц, 1H), 2,03 (дублет дублетов, J = 13,5, 10,3 Гц, 1H), 1,93 (дублет, J = 7,1 Гц, 2H), 1,86–1,05 (мультиплет, 21H), 1,06–0,93 (мультиплет, 12H), 0,90–0,82 (мультиплет, 6H), 0,81 (дублет, J = 11,4 Гц, 1H). Масс-спектрометрия низкого разрешения (ИЭР): 780,44 [M+H]+.

Пример 130. (3S,5S,8R,9R,10S,14R,17R,18S)-3-(4-Трифторметилбензол-сульфон- амидо)-олеаноловой кислоты 17-(1'S)-(гидрокси)метил-β-D-маннопиранозид (A130)

Соединение 2,3,4,6-O-тетрабензил-1-(пиридин-1-ил)сульфонил-β-D-тиоглюкопиранозид было заменено на 2,3,4,6-O-тетрабензил-1-(пиридин-1-ил)сульфонил- β-D-тиоманнопиранозид и соединение (3S,5S,8R,9R,10S,14R,17R,18S)-28-O- бензил-3-олеаноловой кислоты альдегид было заменено на (5S,8R,9R,10S,14R,17R,18S)-3-(4-трифторметилбензолсульфонамидо)-17- олеаноловой кислоты альдегид. Для получения соединения A130 использовали тот же способ получения с теми же требуемыми исходными материалами и реактивами, как описано в примере 6 (выход продукта 68 %). 1H-ЯМР (500 МГц, MeOD) δ 5,28 (синглет, 1H), 4,16 (синглет, 1H), 3,79 (дублет, J = 2,0 Гц, 2H), 3,46 (дублет дублетов, J = 20,4, 9,3 Гц, 2H), 3,38 (синглет, 1H), 3,35–3,31 (мультиплет, 1H), 3,23 (дублет, J = 9,5 Гц, 1H), 3,11 (дублет, J = 9,5 Гц, 1H), 2,88 (дублет дублетов, J = 13,5, 3,0 Гц, 1H), 2,03 (дублет дублетов, J = 13,5, 10,3 Гц, 1H), 1,93 (дублет, J = 7,1 Гц, 2H), 1,86–1,05 (мультиплет, 21H), 1,06–0,93 (мультиплет, 12H), 0,90–0,82 (мультиплет, 6H), 0,81 (дублет, J = 11,4 Гц, 1H). Масс-спектрометрия низкого разрешения (ИЭР): 812,43 [M+H]+.

Пример 131. (5S,8R,9R,10S,14R,17R,18S)-3-Оксимидо-олеаноловой кислоты 17-(1'S)-(гидрокси)метил-β-D-маннопиранозид (A131)

Соединение 2,3,4,6-O-тетрабензил-1-(пиридин-1-ил)сульфонил-β-D-тиоглюкопиранозид было заменено на 2,3,4,6-O-тетрабензил-1-(пиридин-1-ил)сульфонил- β-D-тиоманнопиранозид и соединение (3S,5S,8R,9R,10S,14R,17R,18S)-28-O- бензил-3-олеаноловой кислоты альдегид было заменено на (5S,8R,9R,10S,14R,17R,18S)-3-оксимидо-17-олеаноловой кислоты альдегид. Для получения соединения A131 использовали тот же способ получения с теми же требуемыми исходными материалами и реактивами, как описано в примере 6 (выход продукта 69 %). 1H-ЯМР (500 МГц, MeOD) δ 5,28 (синглет, 1H), 4,16 (синглет, 1H), 3,79 (дублет, J = 2,0 Гц, 2H), 3,46 (дублет дублетов, J = 20,4, 9,3 Гц, 2H), 3,38 (синглет, 1H), 3,35–3,31 (мультиплет, 1H), 3,23 (дублет, J = 9,5 Гц, 1H), 3,11 (дублет, J = 9,5 Гц, 1H), 2,88 (дублет дублетов, J = 13,5, 3,0 Гц, 1H), 2,03 (дублет дублетов, J = 13,5, 10,3 Гц, 1H), 1,93 (дублет, J = 7,1 Гц, 2H), 1,86–1,05 (мультиплет, 21H), 1,06–0,93 (мультиплет, 12H), 0,90–0,82 (мультиплет, 6H), 0,81 (дублет, J = 11,4 Гц, 1H). Масс-спектрометрия низкого разрешения (ИЭР): 618,43 [M+H]+.

Пример 132. (5S,8R,9R,10S,14R,17R,18S)-3-Метилгидразинилиден-олеаноловой кислоты 17-(1'S)-(гидрокси)метил-β-D-маннопиранозид (A132)

Соединение 2,3,4,6-O-тетрабензил-1-(пиридин-1-ил)сульфонил-β-D-тиоглюкопиранозид было заменено на 2,3,4,6-O-тетрабензил-1-(пиридин-1-ил)сульфонил- β-D-тиоманнопиранозид и соединение (3S,5S,8R,9R,10S,14R,17R,18S)-28-O- бензил-3-олеаноловой кислоты альдегид было заменено на (5S,8R,9R,10S,14R,17R,18S)-3-метилгидразинилиден-17-олеаноловой кислоты альдегид. Для получения соединения A132 использовали тот же способ получения с теми же требуемыми исходными материалами и реактивами, как описано в примере 6 (выход продукта 79 %). 1H-ЯМР (500 МГц, MeOD) δ 5,28 (синглет, 1H), 4,16 (синглет, 1H), 3,79 (дублет, J = 2,0 Гц, 2H), 3,46 (дублет дублетов, J = 20,4, 9,3 Гц, 2H), 3,38 (синглет, 1H), 3,35–3,31 (мультиплет, 1H), 3,23 (дублет, J = 9,5 Гц, 1H), 3,11 (дублет, J = 9,5 Гц, 1H), 2,88 (дублет дублетов, J = 13,5, 3,0 Гц, 1H), 2,03 (дублет дублетов, J = 13,5, 10,3 Гц, 1H), 1,93 (дублет, J = 7,1 Гц, 2H), 1,86–1,05 (мультиплет, 21H), 1,06–0,93 (мультиплет, 12H), 0,90–0,82 (мультиплет, 6H), 0,81 (дублет, J = 11,4 Гц, 1H). Масс-спектрометрия низкого разрешения (ИЭР): 631,46 [M+H]+.

Пример 133. (5S,8R,9R,10S,14R,17R,18S)-3-Фенилгидразинилиден-олеаноловой кислоты 17-(1'S)-(гидрокси)метил-β-D-маннопиранозид (A133)

Соединение 2,3,4,6-O-тетрабензил-1-(пиридин-1-ил)сульфонил-β-D-тиоглюкопиранозид было заменено на 2,3,4,6-O-тетрабензил-1-(пиридин-1-ил)сульфонил- β-D-тиоманнопиранозид и соединение (3S,5S,8R,9R,10S,14R,17R,18S)-28-O- бензил-3-олеаноловой кислоты альдегид было заменено на (5S,8R,9R,10S,14R,17R,18S)-3-фенилгидразинилиден-17-олеаноловой кислоты альдегид. Для получения соединения A133 использовали тот же способ получения с теми же требуемыми исходными материалами и реактивами, как описано в примере 6 (выход продукта 76 %). 1H-ЯМР (500 МГц, MeOD) δ 5,28 (синглет, 1H), 4,16 (синглет, 1H), 3,79 (дублет, J = 2,0 Гц, 2H), 3,46 (дублет дублетов, J = 20,4, 9,3 Гц, 2H), 3,38 (синглет, 1H), 3,35–3,31 (мультиплет, 1H), 3,23 (дублет, J = 9,5 Гц, 1H), 3,11 (дублет, J = 9,5 Гц, 1H), 2,88 (дублет дублетов, J = 13,5, 3,0 Гц, 1H), 2,03 (дублет дублетов, J = 13,5, 10,3 Гц, 1H), 1,93 (дублет, J = 7,1 Гц, 2H), 1,86–1,05 (мультиплет, 21H), 1,06–0,93 (мультиплет, 12H), 0,90–0,82 (мультиплет, 6H), 0,81 (дублет, J = 11,4 Гц, 1H). Масс-спектрометрия низкого разрешения (ИЭР): 693,48 [M+H]+.

Пример 134. (3S,5S,8R,9R,10S,14R,17R,18S)-3-(4-Фторфенилуреидо)-олеаноловой кислоты 17-(1'S)-(гидрокси)метил-β-D-маннопиранозид (A134)

Соединение 2,3,4,6-O-тетрабензил-1-(пиридин-1-ил)сульфонил-β-D-тиоглюкопиранозид было заменено на 2,3,4,6-O-тетрабензил-1-(пиридин-1-ил)сульфонил- β-D-тиоманнопиранозид и соединение (3S,5S,8R,9R,10S,14R,17R,18S)-28-O- бензил-3-олеаноловой кислоты альдегид было заменено на (5S,8R,9R,10S,14R,17R,18S)-3-(4-фторфенилуреидо)-17-олеаноловой кислоты альдегид. Для получения соединения A134 использовали тот же способ получения с теми же требуемыми исходными материалами и реактивами, как описано в примере 6 (выход продукта 68 %). 1H-ЯМР (500 МГц, MeOD) δ 5,28 (синглет, 1H), 4,16 (синглет, 1H), 3,79 (дублет, J = 2,0 Гц, 2H), 3,46 (дублет дублетов, J = 20,4, 9,3 Гц, 2H), 3,38 (синглет, 1H), 3,35–3,31 (мультиплет, 1H), 3,23 (дублет, J = 9,5 Гц, 1H), 3,11 (дублет, J = 9,5 Гц, 1H), 2,88 (дублет дублетов, J = 13,5, 3,0 Гц, 1H), 2,03 (дублет дублетов, J = 13,5, 10,3 Гц, 1H), 1,93 (дублет, J = 7,1 Гц, 2H), 1,86–1,05 (мультиплет, 21H), 1,06–0,93 (мультиплет, 12H), 0,90–0,82 (мультиплет, 6H), 0,81 (дублет, J = 11,4 Гц, 1H). Масс-спектрометрия низкого разрешения (ИЭР): 741,48 [M+H]+.

Пример 135. (3S,5S,8R,9R,10S,14R,17R,18S)-3-(4-Фторфенилтиоуреидо)-олеаноловой кислоты 17-(1'S)-(гидрокси)метил-β-D-маннопиранозид (A135)

Соединение 2,3,4,6-O-тетрабензил-1-(пиридин-1-ил)сульфонил-β-D-тиоглюкопиранозид было заменено на 2,3,4,6-O-тетрабензил-1-(пиридин-1-ил)сульфонил- β-D-тиоманнопиранозид и соединение (3S,5S,8R,9R,10S,14R,17R,18S)-28-O- бензил-3-олеаноловой кислоты альдегид было заменено на (5S,8R,9R,10S,14R,17R,18S)-3-(4-фторфенилтиоуреидо)-17-олеаноловой кислоты альдегид. Для получения соединения A135 использовали тот же способ получения с теми же требуемыми исходными материалами и реактивами, как описано в примере 6 (выход продукта 71 %). 1H-ЯМР (500 МГц, MeOD) δ 5,28 (синглет, 1H), 4,16 (синглет, 1H), 3,79 (дублет, J = 2,0 Гц, 2H), 3,46 (дублет дублетов, J = 20,4, 9,3 Гц, 2H), 3,38 (синглет, 1H), 3,35–3,31 (мультиплет, 1H), 3,23 (дублет, J = 9,5 Гц, 1H), 3,11 (дублет, J = 9,5 Гц, 1H), 2,88 (дублет дублетов, J = 13,5, 3,0 Гц, 1H), 2,03 (дублет дублетов, J = 13,5, 10,3 Гц, 1H), 1,93 (дублет, J = 7,1 Гц, 2H), 1,86–1,05 (мультиплет, 21H), 1,06–0,93 (мультиплет, 12H), 0,90–0,82 (мультиплет, 6H), 0,81 (дублет, J = 11,4 Гц, 1H). Масс-спектрометрия низкого разрешения (ИЭР): 757,45 [M+H]+.

Пример 136. (3S,5S,8R,9R,10S,14R,17R,18S)-3-Формил-олеаноловой кислоты 17-(1'S)-(гидрокси)метил-β-D-маннопиранозид (A136)

Соединение 2,3,4,6-O-тетрабензил-1-(пиридин-1-ил)сульфонил-β-D-тиоглюкопиранозид было заменено на 2,3,4,6-O-тетрабензил-1-(пиридин-1-ил)сульфонил- β-D-тиоманнопиранозид и соединение (3S,5S,8R,9R,10S,14R,17R,18S)-28-O- бензил-3-олеаноловой кислоты альдегид было заменено на (5S,8R,9R,10S,14R,17R,18S)-3-формил-17-олеаноловой кислоты альдегид. Для получения соединения A136 использовали тот же способ получения с теми же требуемыми исходными материалами и реактивами, как описано в примере 6 (выход продукта 72 %). 1H-ЯМР (500 МГц, MeOD) δ 5,28 (синглет, 1H), 4,16 (синглет, 1H), 3,79 (дублет, J = 2,0 Гц, 2H), 3,46 (дублет дублетов, J = 20,4, 9,3 Гц, 2H), 3,38 (синглет, 1H), 3,35–3,31 (мультиплет, 1H), 3,23 (дублет, J = 9,5 Гц, 1H), 3,11 (дублет, J = 9,5 Гц, 1H), 2,88 (дублет дублетов, J = 13,5, 3,0 Гц, 1H), 2,03 (дублет дублетов, J = 13,5, 10,3 Гц, 1H), 1,93 (дублет, J = 7,1 Гц, 2H), 1,86–1,05 (мультиплет, 21H), 1,06–0,93 (мультиплет, 12H), 0,90–0,82 (мультиплет, 6H), 0,81 (дублет, J = 11,4 Гц, 1H). Масс-спектрометрия низкого разрешения (ИЭР): 617,43 [M+H]+.

Пример 137. (3S,5S,8R,9R,10S,14R,17R,18S)-3-(3-Фторциклобутилтио)-олеаноловой кислоты 17-(1'S)-(гидрокси)метил-β-D-маннопиранозид (A137)

Соединение 2,3,4,6-O-тетрабензил-1-(пиридин-1-ил)сульфонил-β-D-тиоглюкопиранозид было заменено на 2,3,4,6-O-тетрабензил-1-(пиридин-1-ил)сульфонил- β-D-тиоманнопиранозид и соединение (3S,5S,8R,9R,10S,14R,17R,18S)-28-O- бензил-3-олеаноловой кислоты альдегид было заменено на (5S,8R,9R,10S,14R,17R,18S)-3-(3-фторциклобутилтио)-17-олеаноловой кислоты альдегид. Для получения соединения A137 использовали тот же способ получения с теми же требуемыми исходными материалами и реактивами, как описано в примере 6 (выход продукта 73 %). 1H-ЯМР (500 МГц, MeOD) δ 5,28 (синглет, 1H), 4,16 (синглет, 1H), 3,79 (дублет, J = 2,0 Гц, 2H), 3,46 (дублет дублетов, J = 20,4, 9,3 Гц, 2H), 3,38 (синглет, 1H), 3,35–3,31 (мультиплет, 1H), 3,23 (дублет, J = 9,5 Гц, 1H), 3,11 (дублет, J = 9,5 Гц, 1H), 2,88 (дублет дублетов, J = 13,5, 3,0 Гц, 1H), 2,03 (дублет дублетов, J = 13,5, 10,3 Гц, 1H), 1,93 (дублет, J = 7,1 Гц, 2H), 1,86–1,05 (мультиплет, 21H), 1,06–0,93 (мультиплет, 12H), 0,90–0,82 (мультиплет, 6H), 0,81 (дублет, J = 11,4 Гц, 1H). Масс-спектрометрия низкого разрешения (ИЭР): 693,45 [M+H]+.

Пример 138. (3S,5S,8R,9R,10S,14R,17R,18S)-3-Фенилтио-олеаноловой кислоты 17-(1'S)-(гидрокси)метил-β-D-маннопиранозид (A138)

Соединение 2,3,4,6-O-тетрабензил-1-(пиридин-1-ил)сульфонил-β-D-тиоглюкопиранозид было заменено на 2,3,4,6-O-тетрабензил-1-(пиридин-1-ил)сульфонил- β-D-тиоманнопиранозид и соединение (3S,5S,8R,9R,10S,14R,17R,18S)-28-O- бензил-3-олеаноловой кислоты альдегид было заменено на (5S,8R,9R,10S,14R,17R,18S)-3-фенилтио-17-олеаноловой кислоты альдегид. Для получения соединения A138 использовали тот же способ получения с теми же требуемыми исходными материалами и реактивами, как описано в примере 6 (выход продукта 69 %). 1H-ЯМР (500 МГц, MeOD) δ 5,28 (синглет, 1H), 4,16 (синглет, 1H), 3,79 (дублет, J = 2,0 Гц, 2H), 3,46 (дублет дублетов, J = 20,4, 9,3 Гц, 2H), 3,38 (синглет, 1H), 3,35–3,31 (мультиплет, 1H), 3,23 (дублет, J = 9,5 Гц, 1H), 3,11 (дублет, J = 9,5 Гц, 1H), 2,88 (дублет дублетов, J = 13,5, 3,0 Гц, 1H), 2,03 (дублет дублетов, J = 13,5, 10,3 Гц, 1H), 1,93 (дублет, J = 7,1 Гц, 2H), 1,86–1,05 (мультиплет, 21H), 1,06–0,93 (мультиплет, 12H), 0,90–0,82 (мультиплет, 6H), 0,81 (дублет, J = 11,4 Гц, 1H). Масс-спектрометрия низкого разрешения (ИЭР): 697,44 [M+H]+.

Пример 139. (5S,8R,9R,10S,14R,17R,18S)-3-Карбонил-олеаноловой кислоты 28-β-D-маннопиранозид (A139)

Соединение 2,3,4,6-O-Тетрабензил-1-(пиридин-1-ил)сульфонил-β-D-тиоглюкопиранозид было заменено на 2,3,4,6-O-тетрабензил-1-(пиридин-1-ил)сульфонил- β-D-тиоманнопиранозид и соединение (3S,5S,8R,9R,10S,14R,17R,18S)-28-O- бензил-3-олеаноловой кислоты альдегид было заменено на (5S,8R,9R,10S,14R,17R,18S)-3-карбонил-17-олеаноловой кислоты альдегид. Для получения соединения A139 использовали тот же способ получения с теми же требуемыми исходными материалами и реактивами, как описано в примере 2 (выход продукта 71 %). 1H-ЯМР (500 МГц, MeOD) δ 5,28 (синглет, 1H), 4,16 (синглет, 1H), 3,79 (дублет, J = 2,0 Гц, 2H), 3,46 (дублет дублетов, J = 20,4, 9,3 Гц, 2H), 3,38 (синглет, 1H), 3,35–3,31 (мультиплет, 1H), 3,23 (дублет, J = 9,5 Гц, 1H), 3,11 (дублет, J = 9,5 Гц, 1H), 2,88 (дублет дублетов, J = 13,5, 3,0 Гц, 1H), 2,03 (дублет дублетов, J = 13,5, 10,3 Гц, 1H), 1,93 (дублет, J = 7,1 Гц, 2H), 1,86–1,05 (мультиплет, 21H), 1,06–0,93 (мультиплет, 12H), 0,90–0,82 (мультиплет, 6H), 0,81 (дублет, J = 11,4 Гц, 1H). Масс-спектрометрия низкого разрешения (ИЭР): 601,40 [M+H]+.

Пример 140. (5S,8R,9R,10S,14R,17R,18S)-3-Карбонил-олеаноловой кислоты 17-(1'S)-фторметил-β-D-маннопиранозид (A140)

Соединение 2,3,4,6-O-тетрабензил-1-(пиридин-1-ил)сульфонил-β-D-тиоглюкопиранозид было заменено на 2,3,4,6-O-тетрабензил-1-(пиридин-1-ил)сульфонил- β-D-тиоманнопиранозид и соединение (3S,5S,8R,9R,10S,14R,17R,18S)-28-O- бензил-3-олеаноловой кислоты альдегид было заменено на (5S,8R,9R,10S,14R,17R,18S)-3-фторметил-17-олеаноловой кислоты альдегид и реактив Десса-Мартина был заменен на DAST. Для получения соединения A140 использовали тот же способ получения с теми же требуемыми исходными материалами и реактивами, как описано в примере 10 (выход продукта 67 %). 1H-ЯМР (500 МГц, MeOD) δ 5,28 (синглет, 1H), 4,16 (синглет, 1H), 3,79 (дублет, J = 2,0 Гц, 2H), 3,46 (дублет дублетов, J = 20,4, 9,3 Гц, 2H), 3,38 (синглет, 1H), 3,35–3,31 (мультиплет, 1H), 3,23 (дублет, J = 9,5 Гц, 1H), 3,11 (дублет, J = 9,5 Гц, 1H), 2,88 (дублет дублетов, J = 13,5, 3,0 Гц, 1H), 2,03 (дублет дублетов, J = 13,5, 10,3 Гц, 1H), 1,93 (дублет, J = 7,1 Гц, 2H), 1,86–1,05 (мультиплет, 21H), 1,06–0,93 (мультиплет, 12H), 0,90–0,82 (мультиплет, 6H), 0,81 (дублет, J = 11,4 Гц, 1H). Масс-спектрометрия низкого разрешения (ИЭР): 645,41 [M+H]+.

Пример 141. (5S,8R,9R,10S,14R,17R,18S)-3-Карбонил-олеаноловой кислоты 17-метил-β-D-маннопиранозид (A141)

Соединение 2,3,4,6-O-Тетрабензил-1-(пиридин-1-ил)сульфонил-β-D-тиоглюкопиранозид было заменено на 2,3,4,6-O-тетрабензил-1-(пиридин-1-ил)сульфонил- β-D-тиоманнопиранозид и соединение (3S,5S,8R,9R,10S,14R,17R,18S)-28-O- бензил-3-олеаноловой кислоты альдегид было заменено на (5S,8R,9R,10S,14R,17R,18S)-3-карбонил-17-олеаноловой кислоты альдегид. Для получения соединения A141 использовали тот же способ получения с теми же требуемыми исходными материалами и реактивами, как описано в примере 10 (выход продукта 80 %). 1H-ЯМР (500 МГц, MeOD) δ 5,28 (синглет, 1H), 4,16 (синглет, 1H), 3,79 (дублет, J = 2,0 Гц, 2H), 3,46 (дублет дублетов, J = 20,4, 9,3 Гц, 2H), 3,38 (синглет, 1H), 3,35–3,31 (мультиплет, 1H), 3,23 (дублет, J = 9,5 Гц, 1H), 3,11 (дублет, J = 9,5 Гц, 1H), 2,88 (дублет дублетов, J = 13,5, 3,0 Гц, 1H), 2,03 (дублет дублетов, J = 13,5, 10,3 Гц, 1H), 1,93 (дублет, J = 7,1 Гц, 2H), 1,86–1,05 (мультиплет, 21H), 1,06–0,93 (мультиплет, 12H), 0,90–0,82 (мультиплет, 6H), 0,81 (дублет, J = 11,4 Гц, 1H). Масс-спектрометрия низкого разрешения (ИЭР): 587,42 [M+H]+.

Пример 142. (5S,8R,9R,10S,14R,17R,18S)-3-Карбонил-олеаноловой кислоты 17-(1'S)-(гидрокси)метил-2'',3'',4'',6''-O-тетраацетил-β-D-маннопиранозид (A142)

Соединение 2,3,4,6-O-тетрабензил-1-(пиридин-1-ил)сульфонил-β-D-тиоглюкопиранозид было заменено на 2,3,4,6-O-тетраацетил-1-(пиридин-1-ил)сульфонил β-D-тиоманнопиранозид и соединение (3S,5S,8R,9R,10S,14R,17R,18S)-28-O-бензил- 3-олеаноловой кислоты альдегид было заменено на (5S,8R,9R,10S,14R,17R,18S)- 3-карбонил-17-олеаноловой кислоты альдегид. Для получения соединения A142 использовали тот же способ получения с теми же требуемыми исходными материалами и реактивами, как описано в примере 6 (выход продукта 67 %). 1H-ЯМР (500 МГц, MeOD) δ 5,28 (синглет, 1H), 4,16 (синглет, 1H), 3,79 (дублет, J = 2,0 Гц, 2H), 3,46 (дублет дублетов, J = 20,4, 9,3 Гц, 2H), 3,38 (синглет, 1H), 3,35–3,31 (мультиплет, 1H), 3,23 (дублет, J = 9,5 Гц, 1H), 3,11 (дублет, J = 9,5 Гц, 1H), 2,88 (дублет дублетов, J = 13,5, 3,0 Гц, 1H), 2,03 (дублет дублетов, J = 13,5, 10,3 Гц, 1H), 1,93 (дублет, J = 7,1 Гц, 2H), 1,86–1,05 (мультиплет, 21H), 1,06–0,93 (мультиплет, 12H), 0,90–0,82 (мультиплет, 6H), 0,81 (дублет, J = 11,4 Гц, 1H). Масс-спектрометрия низкого разрешения (ИЭР): 771,46 [M+H]+.

Пример 143. (3S,5S,8R,9R,10S,14R,17R,18S)-Олеаноловой кислоты 17-(1'S)-(гидрокси) метил-2'',3'',4'',6''-O-тетраацетил-β-D-маннопиранозид (A143)

Соединение 2,3,4,6-O-тетрабензил-1-(пиридин-1-ил)сульфонил-β-D-тиоглюкопиранозид было заменено на 2,3,4,6-O-тетраацетил-1-(пиридин-1-ил)сульфонил- β-D-тиоманнопиранозид и соединение (3S,5S,8R,9R,10S,14R,17R,18S)-28-O-бензил- 3-олеаноловой кислоты альдегид было заменено на (5S,8R,9R,10S,14R,17R,18S)- 3-гидрокси-17-олеаноловой кислоты альдегид. Для получения соединения A143 использовали тот же способ получения с теми же требуемыми исходными материалами и реактивами, как описано в примере 6 (выход продукта 66 %). 1H-ЯМР (500 МГц, MeOD) δ 5,28 (синглет, 1H), 4,16 (синглет, 1H), 3,79 (дублет, J = 2,0 Гц, 2H), 3,46 (дублет дублетов, J = 20,4, 9,3 Гц, 2H), 3,38 (синглет, 1H), 3,35–3,31 (мультиплет, 1H), 3,23 (дублет, J = 9,5 Гц, 1H), 3,11 (дублет, J = 9,5 Гц, 1H), 2,88 (дублет дублетов, J = 13,5, 3,0 Гц, 1H), 2,03 (дублет дублетов, J = 13,5, 10,3 Гц, 1H), 1,93 (дублет, J = 7,1 Гц, 2H), 1,86–1,05 (мультиплет, 21H), 1,06–0,93 (мультиплет, 12H), 0,90–0,82 (мультиплет, 6H), 0,81 (дублет, J = 11,4 Гц, 1H). Масс-спектрометрия низкого разрешения (ИЭР): 773,48 [M+H]+.

Пример 144. (5S,8R,9R,10S,14R,17R,18S)-3-Карбонил-олеаноловой кислоты 17-метил-2'',3'',4'',6''-O-тетраацетил-β-D-маннопиранозид (A144)

Соединение 2,3,4,6-O-тетрабензил-1-(пиридин-1-ил)сульфонил-β-D-тиоглюкопиранозид было заменено на 2,3,4,6-O-тетраацетил-1-(пиридин-1-ил)сульфонил- β-D-тиоманнопиранозид и соединение (3S,5S,8R,9R,10S,14R,17R,18S)-28-O-бензил- 3-олеаноловой кислоты альдегид было заменено на (5S,8R,9R,10S,14R,17R,18S)- 3-карбонил-17-олеаноловой кислоты альдегид. Для получения соединения A144 использовали тот же способ получения с теми же требуемыми исходными материалами и реактивами, как описано в примере 10 (выход продукта 70 %). 1H-ЯМР (500 МГц, MeOD) δ 5,28 (синглет, 1H), 4,16 (синглет, 1H), 3,79 (дублет, J = 2,0 Гц, 2H), 3,46 (дублет дублетов, J = 20,4, 9,3 Гц, 2H), 3,38 (синглет, 1H), 3,35–3,31 (мультиплет, 1H), 3,23 (дублет, J = 9,5 Гц, 1H), 3,11 (дублет, J = 9,5 Гц, 1H), 2,88 (дублет дублетов, J = 13,5, 3,0 Гц, 1H), 2,03 (дублет дублетов, J = 13,5, 10,3 Гц, 1H), 1,93 (дублет, J = 7,1 Гц, 2H), 1,86–1,05 (мультиплет, 21H), 1,06–0,93 (мультиплет, 12H), 0,90–0,82 (мультиплет, 6H), 0,81 (дублет, J = 11,4 Гц, 1H). Масс-спектрометрия низкого разрешения (ИЭР): 755,47 [M+H]+.

Пример 145. (5S,8R,9R,10S,14R,17R,18S)-3-Карбонил-олеаноловой кислоты 17-(2'S)-(гидрокси)этил-β-D-маннопиранозид (A145)

Соединение 2,3,4,6-O-тетрабензил-1-(пиридин-1-ил)сульфонил-β-D-тиоглюкопиранозид было заменено на 2,3,4,6-O-тетрабензил-1-(пиридин-1-ил)сульфонил- β-D-тиоманнопиранозид и соединение (3S,5S,8R,9R,10S,14R,17R,18S)-28-O-бензил- 3-олеаноловой кислоты альдегид было заменено на (5S,8R,9R,10S,14R,17R,18S)- 3-карбонил-17-формилметил-олеаноловую кислоту. Для получения соединения A145 использовали тот же способ получения с теми же требуемыми исходными материалами и реактивами, как описано в примере 6 (выход продукта 68 %). 1H-ЯМР (500 МГц, MeOD) δ 5,28 (синглет, 1H), 4,16 (синглет, 1H), 3,79 (дублет, J = 2,0 Гц, 2H), 3,46 (дублет дублетов, J = 20,4, 9,3 Гц, 2H), 3,38 (синглет, 1H), 3,35–3,31 (мультиплет, 1H), 3,23 (дублет, J = 9,5 Гц, 1H), 3,11 (дублет, J = 9,5 Гц, 1H), 2,88 (дублет дублетов, J = 13,5, 3,0 Гц, 1H), 2,03 (дублет дублетов, J = 13,5, 10,3 Гц, 1H), 1,93 (дублет, J = 7,1 Гц, 2H), 1,86–1,05 (мультиплет, 21H), 1,06–0,93 (мультиплет, 12H), 0,90–0,82 (мультиплет, 6H), 0,81 (дублет, J = 11,4 Гц, 1H). Масс-спектрометрия низкого разрешения (ИЭР): 617,43 [M+H]+.

Пример 146. (5S,8R,9R,10S,14R,17R,18S)-3-Карбонил-олеаноловой кислоты 17-(2'S)-(гидрокси)этил-2'',3'',4'',6''-O-тетраацетил-β-D-маннопиранозид (A146)

Соединение 2,3,4,6-O-тетрабензил-1-(пиридин-1-ил)сульфонил-β-D-тиоглюкопиранозид было заменено на 2,3,4,6-O-тетраацетил-1-(пиридин-1-ил)сульфонил- β-D-тиоманнопиранозид и соединение (3S,5S,8R,9R,10S,14R,17R,18S)-28-O-бензил- 3-олеаноловой кислоты альдегид было заменено на (5S,8R,9R,10S,14R,17R,18S)- 3-карбонил-17-формилметил-олеаноловую кислоту. Для получения соединения A146 использовали тот же способ получения с теми же требуемыми исходными материалами и реактивами, как описано в примере 6 (выход продукта 68 %). 1H-ЯМР (500 МГц, MeOD) δ 5,28 (синглет, 1H), 4,16 (синглет, 1H), 3,79 (дублет, J = 2,0 Гц, 2H), 3,46 (дублет дублетов, J = 20,4, 9,3 Гц, 2H), 3,38 (синглет, 1H), 3,35–3,31 (мультиплет, 1H), 3,23 (дублет, J = 9,5 Гц, 1H), 3,11 (дублет, J = 9,5 Гц, 1H), 2,88 (дублет дублетов, J = 13,5, 3,0 Гц, 1H), 2,03 (дублет дублетов, J = 13,5, 10,3 Гц, 1H), 1,93 (дублет, J = 7,1 Гц, 2H), 1,86–1,05 (мультиплет, 21H), 1,06–0,93 (мультиплет, 12H), 0,90–0,82 (мультиплет, 6H), 0,81 (дублет, J = 11,4 Гц, 1H). Масс-спектрометрия низкого разрешения (ИЭР): 685,48 [M+H]+.

Пример 147. (5S,8R,9R,10S,14R,17R,18S)-3-Карбонил-урсоловой кислоты 17-(2'S)-(гидрокси)этил-2'',3'',4'',6''-O-тетраацетил-β-D-маннопиранозид (A147)

Соединение 2,3,4,6-O-тетрабензил-1-(пиридин-1-ил)сульфонил-β-D-тиоглюкопиранозид было заменено на 2,3,4,6-O-тетраацетил-1-(пиридин-1-ил)сульфонил- β-D-тиоманнопиранозид и соединение (3S,5S,8R,9R,10S,14R,17R,18S)-28-O-бензил- 3-олеаноловой кислоты альдегид было заменено на (5S,8R,9R,10S,14R,17R,18S)- 3-карбонил-17-формилметил-урсоловую кислоту. Для получения соединения A147 использовали тот же способ получения с теми же требуемыми исходными материалами и реактивами, как описано в примере 6 (выход продукта 69 %). 1H-ЯМР (500 МГц, MeOD) δ 5,28 (синглет, 1H), 4,16 (синглет, 1H), 3,79 (дублет, J = 2,0 Гц, 2H), 3,46 (дублет дублетов, J = 20,4, 9,3 Гц, 2H), 3,38 (синглет, 1H), 3,35–3,31 (мультиплет, 1H), 3,23 (дублет, J = 9,5 Гц, 1H), 3,11 (дублет, J = 9,5 Гц, 1H), 2,88 (дублет дублетов, J = 13,5, 3,0 Гц, 1H), 2,03 (дублет дублетов, J = 13,5, 10,3 Гц, 1H), 1,93 (дублет, J = 7,1 Гц, 2H), 1,86–1,05 (мультиплет, 21H), 1,06–0,93 (мультиплет, 12H), 0,90–0,82 (мультиплет, 6H), 0,81 (дублет, J = 11,4 Гц, 1H). Масс-спектрометрия низкого разрешения (ИЭР): 685,48 [M+H]+.

Пример 148. (5S,8R,9R,10S,14R,17R,18S)-3-Карбонил-бетулиновой кислоты 17-(2'S)-(гидрокси)этил-2'',3'',4'',6''-O-тетраацетил-β-D-маннопиранозид (A148)

Соединение 2,3,4,6-O-тетрабензил-1-(пиридин-1-ил)сульфонил-β-D-тиоглюкопиранозид было заменено на 2,3,4,6-O-тетраацетил-1-(пиридин-1-ил)сульфонил- β-D-тиоманнопиранозид и соединение (3S,5S,8R,9R,10S,14R,17R,18S)-28-O-бензил- 3-олеаноловой кислоты альдегид было заменено на (5S,8R,9R,10S,14R,17R,18S)- 3-карбонил-17-формилметил-бетулиновую кислоту. Для получения соединения A148 использовали тот же способ получения с теми же требуемыми исходными материалами и реактивами, как описано в примере 6 (выход продукта 71 %). 1H-ЯМР (500 МГц, MeOD) δ 5,28 (синглет, 1H), 4,16 (синглет, 1H), 3,79 (дублет, J = 2,0 Гц, 2H), 3,46 (дублет дублетов, J = 20,4, 9,3 Гц, 2H), 3,38 (синглет, 1H), 3,35–3,31 (мультиплет, 1H), 3,23 (дублет, J = 9,5 Гц, 1H), 3,11 (дублет, J = 9,5 Гц, 1H), 2,88 (дублет дублетов, J = 13,5, 3,0 Гц, 1H), 2,03 (дублет дублетов, J = 13,5, 10,3 Гц, 1H), 1,93 (дублет, J = 7,1 Гц, 2H), 1,86–1,05 (мультиплет, 21H), 1,06–0,93 (мультиплет, 12H), 0,90–0,82 (мультиплет, 6H), 0,81 (дублет, J = 11,4 Гц, 1H). Масс-спектрометрия низкого разрешения (ИЭР): 685,48 [M+H]+.

Пример 149. (5S,8R,9R,10S,14R,17R,18S)-3-Карбонил-олеаноловой кислоты 17-(1'R)-(гидрокси)метил-β-D-ксилопиранозид (A149)

Соединение 2,3,4,6-O-тетрабензил-1-(пиридин-1-ил)сульфонил-β-D-тиоглюкопиранозид было заменено на 2,3,4-O-трибензил-1-(пиридин-1-ил)сульфонил- β-D-тиоксилопиранозид и соединение (3S,5S,8R,9R,10S,14R,17R,18S)-28-O-бензил- 3-олеаноловой кислоты альдегид было заменено на (5S,8R,9R,10S,14R,17R,18S)- 3-карбонил-17-олеаноловой кислоты альдегид. Для получения соединения A149 использовали тот же способ получения с теми же требуемыми исходными материалами и реактивами, как описано в примере 6 (выход продукта 71 %). 1H-ЯМР (500 МГц, MeOD) δ 5,28 (синглет, 1H), 4,16 (синглет, 1H), 3,79 (дублет, J = 2,0 Гц, 2H), 3,46 (дублет дублетов, J = 20,4, 9,3 Гц, 2H), 3,38 (синглет, 1H), 3,35–3,31 (мультиплет, 1H), 3,23 (дублет, J = 9,5 Гц, 1H), 3,11 (дублет, J = 9,5 Гц, 1H), 2,88 (дублет дублетов, J = 13,5, 3,0 Гц, 1H), 2,03 (дублет дублетов, J = 13,5, 10,3 Гц, 1H), 1,93 (дублет, J = 7,1 Гц, 2H), 1,86–1,05 (мультиплет, 21H), 1,06–0,93 (мультиплет, 12H), 0,90–0,82 (мультиплет, 6H), 0,81 (дублет, J = 11,4 Гц, 1H). Масс-спектрометрия низкого разрешения (ИЭР): 573,41 [M+H]+.

Пример 150. (5S,8R,9R,10S,14R,17R,18S)-3-Карбонил-олеаноловой кислоты 17метил-β-D-ксилопиранозид (A150)

Соединение 2,3,4,6-O-тетрабензил-1-(пиридин-1-ил)сульфонил-β-D-тиоглюкопиранозид было заменено на 2,3,4-O-трибензил-1-(пиридин-1-ил)сульфонил- β-D-тиоксилопиранозид и соединение (3S,5S,8R,9R,10S,14R,17R,18S)-28-O-бензил- 3-олеаноловой кислоты альдегид было заменено на (5S,8R,9R,10S,14R,17R,18S)- 3-карбонил-17-олеаноловой кислоты альдегид. Для получения соединения A150 использовали тот же способ получения с теми же требуемыми исходными материалами и реактивами, как описано в примере 10 (выход продукта 77 %). 1H-ЯМР (500 МГц, MeOD) δ 5,28 (синглет, 1H), 4,16 (синглет, 1H), 3,79 (дублет, J = 2,0 Гц, 2H), 3,46 (дублет дублетов, J = 20,4, 9,3 Гц, 2H), 3,38 (синглет, 1H), 3,35–3,31 (мультиплет, 1H), 3,23 (дублет, J = 9,5 Гц, 1H), 3,11 (дублет, J = 9,5 Гц, 1H), 2,88 (дублет дублетов, J = 13,5, 3,0 Гц, 1H), 2,03 (дублет дублетов, J = 13,5, 10,3 Гц, 1H), 1,93 (дублет, J = 7,1 Гц, 2H), 1,86–1,05 (мультиплет, 21H), 1,06–0,93 (мультиплет, 12H), 0,90–0,82 (мультиплет, 6H), 0,81 (дублет, J = 11,4 Гц, 1H). Масс-спектрометрия низкого разрешения (ИЭР): 557,41 [M+H]+.

Пример 151. (3S,5S,8R,9R,10S,14R,17R,18S)-Олеаноловой кислоты 17-(1'R)-(гидрокси)метил-β-D-ксилопиранозид (A151)

Соединение 2,3,4,6-O-тетрабензил-1-(пиридин-1-ил)сульфонил-β-D-тиоглюкопиранозид было заменено на 2,3,4-O-трибензил-1-(пиридин-1-ил)сульфонил- β-D-тиоксилопиранозид и соединение (3S,5S,8R,9R,10S,14R,17R,18S)-28-O-бензил- 3-олеаноловой кислоты альдегид было заменено на (5S,8R,9R,10S,14R,17R,18S)- 3-гидрокси-17-олеаноловой кислоты альдегид. Для получения соединения A151 использовали тот же способ получения с теми же требуемыми исходными материалами и реактивами, как описано в примере 6 (выход продукта 73 %). 1H-ЯМР (500 МГц, MeOD) δ 5,28 (синглет, 1H), 4,16 (синглет, 1H), 3,79 (дублет, J = 2,0 Гц, 2H), 3,46 (дублет дублетов, J = 20,4, 9,3 Гц, 2H), 3,38 (синглет, 1H), 3,35–3,31 (мультиплет, 1H), 3,23 (дублет, J = 9,5 Гц, 1H), 3,11 (дублет, J = 9,5 Гц, 1H), 2,88 (дублет дублетов, J = 13,5, 3,0 Гц, 1H), 2,03 (дублет дублетов, J = 13,5, 10,3 Гц, 1H), 1,93 (дублет, J = 7,1 Гц, 2H), 1,86–1,05 (мультиплет, 21H), 1,06–0,93 (мультиплет, 12H), 0,90–0,82 (мультиплет, 6H), 0,81 (дублет, J = 11,4 Гц, 1H). Масс-спектрометрия низкого разрешения (ИЭР): 575,42 [M+H]+.

Пример 152. (5S,8R,9R,10S,14R,17R,18S)-3-Карбонил-олеаноловой кислоты 17-(1'R)-(гидрокси)метил-2'',3'',4''-O-триацетил-β-D-ксилопиранозид (A152)

Соединение 2,3,4,6-O-тетрабензил-1-(пиридин-1-ил)сульфонил-β-D-тиоглюкопиранозид было заменено на 2,3,4-O-триацетил-1-(пиридин-1-ил)сульфонил- β-D-тиоксилопиранозид и соединение (3S,5S,8R,9R,10S,14R,17R,18S)-28-O-бензил- 3-олеаноловой кислоты альдегид было заменено на (5S,8R,9R,10S,14R,17R,18S)- 3-карбонил-17-олеаноловой кислоты альдегид. Для получения соединения A152 использовали тот же способ получения с теми же требуемыми исходными материалами и реактивами, как описано в примере 6 (выход продукта 69 %). 1H-ЯМР (500 МГц, MeOD) δ 5,28 (синглет, 1H), 4,16 (синглет, 1H), 3,79 (дублет, J = 2,0 Гц, 2H), 3,46 (дублет дублетов, J = 20,4, 9,3 Гц, 2H), 3,38 (синглет, 1H), 3,35–3,31 (мультиплет, 1H), 3,23 (дублет, J = 9,5 Гц, 1H), 3,11 (дублет, J = 9,5 Гц, 1H), 2,88 (дублет дублетов, J = 13,5, 3,0 Гц, 1H), 2,03 (дублет дублетов, J = 13,5, 10,3 Гц, 1H), 1,93 (дублет, J = 7,1 Гц, 2H), 1,86–1,05 (мультиплет, 21H), 1,06–0,93 (мультиплет, 12H), 0,90–0,82 (мультиплет, 6H), 0,81 (дублет, J = 11,4 Гц, 1H). Масс-спектрометрия низкого разрешения (ИЭР): 698,44 [M+H]+.

Пример 153. (5S,8R,9R,10S,14R,17R,18S)-3-Карбонил-олеаноловой кислоты 17-метил-2'',3'',4''-O-триацетил-β-D-ксилопиранозид (A153)

Соединение 2,3,4,6-O-тетрабензил-1-(пиридин-1-ил)сульфонил-β-D-тиоглюкопиранозид было заменено на 2,3,4-O-триацетил-1-(пиридин-1-ил)сульфонил- β-D-тиоксилопиранозид и соединение (3S,5S,8R,9R,10S,14R,17R,18S)-28-O-бензил- 3-олеаноловой кислоты альдегид было заменено на (5S,8R,9R,10S,14R,17R,18S)- 3-карбонил-17-олеаноловой кислоты альдегид. Для получения соединения A153 использовали тот же способ получения с теми же требуемыми исходными материалами и реактивами, как описано в примере 10 (выход продукта 74 %). 1H-ЯМР (500 МГц, MeOD) δ 5,28 (синглет, 1H), 4,16 (синглет, 1H), 3,79 (дублет, J = 2,0 Гц, 2H), 3,46 (дублет дублетов, J = 20,4, 9,3 Гц, 2H), 3,38 (синглет, 1H), 3,35–3,31 (мультиплет, 1H), 3,23 (дублет, J = 9,5 Гц, 1H), 3,11 (дублет, J = 9,5 Гц, 1H), 2,88 (дублет дублетов, J = 13,5, 3,0 Гц, 1H), 2,03 (дублет дублетов, J = 13,5, 10,3 Гц, 1H), 1,93 (дублет, J = 7,1 Гц, 2H), 1,86–1,05 (мультиплет, 21H), 1,06–0,93 (мультиплет, 12H), 0,90–0,82 (мультиплет, 6H), 0,81 (дублет, J = 11,4 Гц, 1H). Масс-спектрометрия низкого разрешения (ИЭР): 683,44 [M+H]+.

Пример 154. (5S,8R,9R,10S,14R,17R,18S)-3-Карбонил-олеаноловой кислоты 17-(2'R)-(гидрокси)этил-2'',3'',4''-O-триацетил-β-D-ксилопиранозид (A154)

Соединение 2,3,4,6-O-тетрабензил-1-(пиридин-1-ил)сульфонил-β-D-тиоглюкопиранозид было заменено на 2,3,4-O-триацетил-1-(пиридин-1-ил)сульфонил- β-D-тиоксилопиранозид и соединение (3S,5S,8R,9R,10S,14R,17R,18S)-28-O-бензил- 3-олеаноловой кислоты альдегид было заменено на (5S,8R,9R,10S,14R,17R,18S)- 3-карбонил-17-формилметил-олеаноловую кислоту. Для получения соединения A154 использовали тот же способ получения с теми же требуемыми исходными материалами и реактивами, как описано в примере 6 (выход продукта 70 %). 1H-ЯМР (500 МГц, MeOD) δ 5,28 (синглет, 1H), 4,16 (синглет, 1H), 3,79 (дублет, J = 2,0 Гц, 2H), 3,46 (дублет дублетов, J = 20,4, 9,3 Гц, 2H), 3,38 (синглет, 1H), 3,35–3,31 (мультиплет, 1H), 3,23 (дублет, J = 9,5 Гц, 1H), 3,11 (дублет, J = 9,5 Гц, 1H), 2,88 (дублет дублетов, J = 13,5, 3,0 Гц, 1H), 2,03 (дублет дублетов, J = 13,5, 10,3 Гц, 1H), 1,93 (дублет, J = 7,1 Гц, 2H), 1,86–1,05 (мультиплет, 21H), 1,06–0,93 (мультиплет, 12H), 0,90–0,82 (мультиплет, 6H), 0,81 (дублет, J = 11,4 Гц, 1H). Масс-спектрометрия низкого разрешения (ИЭР): 713,46 [M+H]+.

Пример 155. (5S,8R,9R,10S,14R,17R,18S)-3-Карбонил-урсоловой кислоты 17-(2'R)-(гидрокси)этил-2'',3'',4''-O-триацетил-β-D-ксилопиранозид (A155)

Соединение 2,3,4,6-O-тетрабензил-1-(пиридин-1-ил)сульфонил-β-D-тиоглюкопиранозид было заменено на 2,3,4-O-триацетил-1-(пиридин-1-ил)сульфонил- β-D-тиоксилопиранозид и соединение (3S,5S,8R,9R,10S,14R,17R,18S)-28-O-бензил- 3-олеаноловой кислоты альдегид было заменено на (5S,8R,9R,10S,14R,17R,18S)- 3-карбонил-17-формилметил-урсоловую кислоту. Для получения соединения A155 использовали тот же способ получения с теми же требуемыми исходными материалами и реактивами, как описано в примере 6 (выход продукта 69 %). 1H-ЯМР (500 МГц, MeOD) δ 5,28 (синглет, 1H), 4,16 (синглет, 1H), 3,79 (дублет, J = 2,0 Гц, 2H), 3,46 (дублет дублетов, J = 20,4, 9,3 Гц, 2H), 3,38 (синглет, 1H), 3,35–3,31 (мультиплет, 1H), 3,23 (дублет, J = 9,5 Гц, 1H), 3,11 (дублет, J = 9,5 Гц, 1H), 2,88 (дублет дублетов, J = 13,5, 3,0 Гц, 1H), 2,03 (дублет дублетов, J = 13,5, 10,3 Гц, 1H), 1,93 (дублет, J = 7,1 Гц, 2H), 1,86–1,05 (мультиплет, 21H), 1,06–0,93 (мультиплет, 12H), 0,90–0,82 (мультиплет, 6H), 0,81 (дублет, J = 11,4 Гц, 1H). Масс-спектрометрия низкого разрешения (ИЭР): 713,46 [M+H]+.

Пример 156. (5S,8R,9R,10S,14R,17R,18S)-3-Карбонил-бетулиновой кислоты 17-(2'R)-(гидрокси)этил-2'',3'',4''-O-триацетил-β-D-ксилопиранозид (A156)

Соединение 2,3,4,6-O-тетрабензил-1-(пиридин-1-ил)сульфонил-β-D-тиоглюкопиранозид было заменено на 2,3,4-O-триацетил-1-(пиридин-1-ил)сульфонил- β-D-тиоксилопиранозид и соединение (3S,5S,8R,9R,10S,14R,17R,18S)-28-O-бензил- 3-олеаноловой кислоты альдегид было заменено на (5S,8R,9R,10S,14R,17R,18S)- 3-карбонил-17-формилметил-бетулиновую кислоту. Для получения соединения A156 использовали тот же способ получения с теми же требуемыми исходными материалами и реактивами, как описано в примере 6 (выход продукта 71 %). 1H-ЯМР (500 МГц, MeOD) δ 5,28 (синглет, 1H), 4,16 (синглет, 1H), 3,79 (дублет, J = 2,0 Гц, 2H), 3,46 (дублет дублетов, J = 20,4, 9,3 Гц, 2H), 3,38 (синглет, 1H), 3,35–3,31 (мультиплет, 1H), 3,23 (дублет, J = 9,5 Гц, 1H), 3,11 (дублет, J = 9,5 Гц, 1H), 2,88 (дублет дублетов, J = 13,5, 3,0 Гц, 1H), 2,03 (дублет дублетов, J = 13,5, 10,3 Гц, 1H), 1,93 (дублет, J = 7,1 Гц, 2H), 1,86–1,05 (мультиплет, 21H), 1,06–0,93 (мультиплет, 12H), 0,90–0,82 (мультиплет, 6H), 0,81 (дублет, J = 11,4 Гц, 1H). Масс-спектрометрия низкого разрешения (ИЭР): 713,46 [M+H]+.

Пример 157. (5S,8R,9R,10S,14R,17R,18S)-3-Карбонил-олеаноловой кислоты 17-(1'R)-(гидрокси)метил-β-D-галактопиранозид (A157)

Соединение 2,3,4,6-O-тетрабензил-1-(пиридин-1-ил)сульфонил-β-D-тиоглюкопиранозид было заменено на 2,3,4,6-O-тетрабензил-1-(пиридин-1-ил)сульфонил- β-D-тиогалактопиранозид и соединение (3S,5S,8R,9R,10S,14R,17R,18S)-28-O-бензил- 3-олеаноловой кислоты альдегид было заменено на (5S,8R,9R,10S,14R,17R,18S)- 3-карбонил-17-олеаноловой кислоты альдегид. Для получения соединения A157 использовали тот же способ получения с теми же требуемыми исходными материалами и реактивами, как описано в примере 6 (выход продукта 70 %). 1H-ЯМР (500 МГц, MeOD) δ 5,28 (синглет, 1H), 4,16 (синглет, 1H), 3,79 (дублет, J = 2,0 Гц, 2H), 3,46 (дублет дублетов, J = 20,4, 9,3 Гц, 2H), 3,38 (синглет, 1H), 3,35–3,31 (мультиплет, 1H), 3,23 (дублет, J = 9,5 Гц, 1H), 3,11 (дублет, J = 9,5 Гц, 1H), 2,88 (дублет дублетов, J = 13,5, 3,0 Гц, 1H), 2,03 (дублет дублетов, J = 13,5, 10,3 Гц, 1H), 1,93 (дублет, J = 7,1 Гц, 2H), 1,86–1,05 (мультиплет, 21H), 1,06–0,93 (мультиплет, 12H), 0,90–0,82 (мультиплет, 6H), 0,81 (дублет, J = 11,4 Гц, 1H). Масс-спектрометрия низкого разрешения (ИЭР): 603,42 [M+H]+.

Пример 158. (5S,8R,9R,10S,14R,17R,18S)-3-Карбонил-олеаноловой кислоты 17-метил-β-D-галактопиранозид (A158)

Соединение 2,3,4,6-O-тетрабензил-1-(пиридин-1-ил)сульфонил-β-D-тиоглюкопиранозид было заменено на 2,3,4,6-O-тетрабензил-1-(пиридин-1-ил)сульфонил -β-D-тиогалактопиранозид и соединение (3S,5S,8R,9R,10S,14R,17R,18S)-28-O-бензил- 3-олеаноловой кислоты альдегид было заменено на (5S,8R,9R,10S,14R,17R,18S)- 3-карбонил-17-олеаноловой кислоты альдегид. Для получения соединения A158 использовали тот же способ получения с теми же требуемыми исходными материалами и реактивами, как описано в примере 10 (выход продукта 76 %). 1H-ЯМР (500 МГц, MeOD) δ 5,28 (синглет, 1H), 4,16 (синглет, 1H), 3,79 (дублет, J = 2,0 Гц, 2H), 3,46 (дублет дублетов, J = 20,4, 9,3 Гц, 2H), 3,38 (синглет, 1H), 3,35–3,31 (мультиплет, 1H), 3,23 (дублет, J = 9,5 Гц, 1H), 3,11 (дублет, J = 9,5 Гц, 1H), 2,88 (дублет дублетов, J = 13,5, 3,0 Гц, 1H), 2,03 (дублет дублетов, J = 13,5, 10,3 Гц, 1H), 1,93 (дублет, J = 7,1 Гц, 2H), 1,86–1,05 (мультиплет, 21H), 1,06–0,93 (мультиплет, 12H), 0,90–0,82 (мультиплет, 6H), 0,81 (дублет, J = 11,4 Гц, 1H). Масс-спектрометрия низкого разрешения (ИЭР): 587,42 [M+H]+.

Пример 159. (3S,5S,8R,9R,10S,14R,17R,18S)-Олеаноловой кислоты 17-(1'R)-(гидрокси)метил-β-D-галактопиранозид (A159)

Соединение 2,3,4,6-O-тетрабензил-1-(пиридин-1-ил)сульфонил-β-D-тиоглюкопиранозид было заменено на 2,3,4,6-O-тетрабензил-1-(пиридин-1-ил)сульфонил- β-D-тиогалактопиранозид и соединение (3S,5S,8R,9R,10S,14R,17R,18S)-28-O-бензил- 3-олеаноловой кислоты альдегид было заменено на (5S,8R,9R,10S,14R,17R,18S)- 3-гидрокси-17-олеаноловой кислоты альдегид. Для получения соединения A159 использовали тот же способ получения с теми же требуемыми исходными материалами и реактивами, как описано в примере 6 (выход продукта 74 %). 1H-ЯМР (500 МГц, MeOD) δ 5,28 (синглет, 1H), 4,16 (синглет, 1H), 3,79 (дублет, J = 2,0 Гц, 2H), 3,46 (дублет дублетов, J = 20,4, 9,3 Гц, 2H), 3,38 (синглет, 1H), 3,35–3,31 (мультиплет, 1H), 3,23 (дублет, J = 9,5 Гц, 1H), 3,11 (дублет, J = 9,5 Гц, 1H), 2,88 (дублет дублетов, J = 13,5, 3,0 Гц, 1H), 2,03 (дублет дублетов, J = 13,5, 10,3 Гц, 1H), 1,93 (дублет, J = 7,1 Гц, 2H), 1,86–1,05 (мультиплет, 21H), 1,06–0,93 (мультиплет, 1H), 0,90–0,82 (мультиплет, 6H), 0,81 (дублет, J = 11,4 Гц, 1H). Масс-спектрометрия низкого разрешения (ИЭР): 605,43 [M+H]+.

Пример 160. (5S,8R,9R,10S,14R,17R,18S)-3-Карбонил-олеаноловой кислоты 17-(1'R)-(гидрокси)метил-2'',3'',4'',6''-O-тетраацетил-β-D-галактопиранозид (A160)

Соединение 2,3,4,6-O-тетрабензил-1-(пиридин-1-ил)сульфонил-β-D-тиоглюкопиранозид было заменено на 2,3,4,6-O-тетраацетил-1-(пиридин-1-ил)сульфонил- β-D-тиогалактопиранозид и соединение (3S,5S,8R,9R,10S,14R,17R,18S)-28-O-бензил- 3-олеаноловой кислоты альдегид было заменено на (5S,8R,9R,10S,14R,17R,18S)- 3-карбонил-17-олеаноловой кислоты альдегид. Для получения соединения A160 использовали тот же способ получения с теми же требуемыми исходными материалами и реактивами, как описано в примере 6 (выход продукта 70 %). 1H-ЯМР (500 МГц, MeOD) δ 5,28 (синглет, 1H), 4,16 (синглет, 1H), 3,79 (дублет, J = 2,0 Гц, 2H), 3,46 (дублет дублетов, J = 20,4, 9,3 Гц, 2H), 3,38 (синглет, 1H), 3,35–3,31 (мультиплет, 1H), 3,23 (дублет, J = 9,5 Гц, 1H), 3,11 (дублет, J = 9,5 Гц, 1H), 2,88 (дублет дублетов, J = 13,5, 3,0 Гц, 1H), 2,03 (дублет дублетов, J = 13,5, 10,3 Гц, 1H), 1,93 (дублет, J = 7,1 Гц, 2H), 1,86–1,05 (мультиплет, 21H), 1,06–0,93 (мультиплет, 12H), 0,90–0,82 (мультиплет, 6H), 0,81 (дублет, J = 11,4 Гц, 1H). Масс-спектрометрия низкого разрешения (ИЭР): 771,46 [M+H]+.

Пример 161. (5S,8R,9R,10S,14R,17R,18S)-3-Карбонил-олеаноловой кислоты 17-метил-2'',3'',4'',6''-O-тетраацетил-β-D-галактопиранозид (A161)

Соединение 2,3,4,6-O-тетрабензил-1-(пиридин-1-ил)сульфонил-β-D-тиоглюкопиранозид было заменено на 2,3,4,6-O-тетраацетил-1-(пиридин-1-ил)сульфонил- β-D-тиогалактопиранозид и соединение (3S,5S,8R,9R,10S,14R,17R,18S)-28-O-бензил- 3-олеаноловой кислоты альдегид было заменено на (5S,8R,9R,10S,14R,17R,18S)- 3-карбонил-17-олеаноловой кислоты альдегид. Для получения соединения A161 использовали тот же способ получения с теми же требуемыми исходными материалами и реактивами, как описано в примере 10 (выход продукта 74 %). 1H-ЯМР (500 МГц, MeOD) δ 5,28 (синглет, 1H), 4,16 (синглет, 1H), 3,79 (дублет, J = 2,0 Гц, 2H), 3,46 (дублет дублетов, J = 20,4, 9,3 Гц, 2H), 3,38 (синглет, 1H), 3,35–3,31 (мультиплет, 1H), 3,23 (дублет, J = 9,5 Гц, 1H), 3,11 (дублет, J = 9,5 Гц, 1H), 2,88 (дублет дублетов, J = 13,5, 3,0 Гц, 1H), 2,03 (дублет дублетов, J = 13,5, 10,3 Гц, 1H), 1,93 (дублет, J = 7,1 Гц, 2H), 1,86–1,05 (мультиплет, 21H), 1,06–0,93 (мультиплет, 12H), 0,90–0,82 (мультиплет, 6H), 0,81 (дублет, J = 11,4 Гц, 1H). Масс-спектрометрия низкого разрешения (ИЭР): 755,47 [M+H]+.

Пример 162. (5S,8R,9R,10S,14R,17R,18S)-3-Карбонил-олеаноловой кислоты 17-(2'R)-(гидрокси)этил-β-D-галактопиранозид (A162)

Соединение 2,3,4,6-O-тетрабензил-1-(пиридин-1-ил)сульфонил-β-D-тиоглюкопиранозид было заменено на 2,3,4,6-O-тетрабензил-1-(пиридин-1-ил)сульфонил- β-D-тиогалактопиранозид и соединение (3S,5S,8R,9R,10S,14R,17R,18S)-28-O-бензил- 3-олеаноловой кислоты альдегид было заменено на (5S,8R,9R,10S,14R,17R,18S)- 3-карбонил-17-формилметил-олеаноловую кислоту. Для получения соединения A162 использовали тот же способ получения с теми же требуемыми исходными материалами и реактивами, как описано в примере 6 (выход продукта 68 %). 1H-ЯМР (500 МГц, MeOD) δ 5,28 (синглет, 1H), 4,16 (синглет, 1H), 3,79 (дублет, J = 2,0 Гц, 2H), 3,46 (дублет дублетов, J = 20,4, 9,3 Гц, 2H), 3,38 (синглет, 1H), 3,35–3,31 (мультиплет, 1H), 3,23 (дублет, J = 9,5 Гц, 1H), 3,11 (дублет, J = 9,5 Гц, 1H), 2,88 (дублет дублетов, J = 13,5, 3,0 Гц, 1H), 2,03 (дублет дублетов, J = 13,5, 10,3 Гц, 1H), 1,93 (дублет, J = 7,1 Гц, 2H), 1,86–1,05 (мультиплет, 21H), 1,06–0,93 (мультиплет, 12H), 0,90–0,82 (мультиплет, 6H), 0,81 (дублет, J = 11,4 Гц, 1H). Масс-спектрометрия низкого разрешения (ИЭР): 617,43 [M+H]+.

Пример 163. (5S,8R,9R,10S,14R,17R,18S)-3-Карбонил-олеаноловой кислоты 17-(2'R)-(гидрокси)этил-2'',3'',4'',6''-O-тетраацетил-β-D-галактопиранозид (A163)

Соединение 2,3,4,6-O-тетрабензил-1-(пиридин-1-ил)сульфонил-β-D-тиоглюкопиранозид было заменено на 2,3,4,6-O-тетраацетил-1-(пиридин-1-ил)сульфонил- β-D-тиогалактопиранозид и соединение (3S,5S,8R,9R,10S,14R,17R,18S)-28-O-бензил- 3-олеаноловой кислоты альдегид было заменено на (5S,8R,9R,10S,14R,17R,18S)- 3-карбонил-17-формилметил-олеаноловую кислоту. Для получения соединения A163 использовали тот же способ получения с теми же требуемыми исходными материалами и реактивами, как описано в примере 6 (выход продукта 72 %). 1H-ЯМР (500 МГц, MeOD) δ 5,28 (синглет, 1H), 4,16 (синглет, 1H), 3,79 (дублет, J = 2,0 Гц, 2H), 3,46 (дублет дублетов, J = 20,4, 9,3 Гц, 2H), 3,38 (синглет, 1H), 3,35–3,31 (мультиплет, 1H), 3,23 (дублет, J = 9,5 Гц, 1H), 3,11 (дублет, J = 9,5 Гц, 1H), 2,88 (дублет дублетов, J = 13,5, 3,0 Гц, 1H), 2,03 (дублет дублетов, J = 13,5, 10,3 Гц, 1H), 1,93 (дублет, J = 7,1 Гц, 2H), 1,86–1,05 (мультиплет, 21H), 1,06–0,93 (мультиплет, 12H), 0,90–0,82 (мультиплет, 6H), 0,81 (дублет, J = 11,4 Гц, 1H). Масс-спектрометрия низкого разрешения (ИЭР): 785,48 [M+H]+.

Пример 164. (5S,8R,9R,10S,14R,17R,18S)-3-Карбонил-урсоловой кислоты 17-(2'R)-(гидрокси)этил-2'',3'',4'',6''-O-тетраацетил-β-D-галактопиранозид (A164)

Соединение 2,3,4,6-O-тетрабензил-1-(пиридин-1-ил)сульфонил-β-D-тиоглюкопиранозид было заменено на 2,3,4,6-O-тетраацетил-1-(пиридин-1-ил)сульфонил- β-D-тиогалактопиранозид и соединение (3S,5S,8R,9R,10S,14R,17R,18S)-28-O-бензил- 3-олеаноловой кислоты альдегид было заменено на (5S,8R,9R,10S,14R,17R,18S)- 3-карбонил-17-формилметил-урсоловую кислоту. Для получения соединения A164 использовали тот же способ получения с теми же требуемыми исходными материалами и реактивами, как описано в примере 6 (выход продукта 68 %). 1H-ЯМР (500 МГц, MeOD) δ 5,28 (синглет, 1H), 4,16 (синглет, 1H), 3,79 (дублет, J = 2,0 Гц, 2H), 3,46 (дублет дублетов, J = 20,4, 9,3 Гц, 2H), 3,38 (синглет, 1H), 3,35–3,31 (мультиплет, 1H), 3,23 (дублет, J = 9,5 Гц, 1H), 3,11 (дублет, J = 9,5 Гц, 1H), 2,88 (дублет дублетов, J = 13,5, 3,0 Гц, 1H), 2,03 (дублет дублетов, J = 13,5, 10,3 Гц, 1H), 1,93 (дублет, J = 7,1 Гц, 2H), 1,86–1,05 (мультиплет, 21H), 1,06–0,93 (мультиплет, 12H), 0,90–0,82 (мультиплет, 6H), 0,81 (дублет, J = 11,4 Гц, 1H). Масс-спектрометрия низкого разрешения (ИЭР): 785,48 [M+H]+.

Пример 165. (5S,8R,9R,10S,14R,17R,18S)-3-Карбонил-бетулиновой кислоты 17-(2'R)-(гидрокси)этил-2'',3'',4'',6''-O-тетраацетил-β-D-галактопиранозид (A165)

Соединение 2,3,4,6-O-тетрабензил-1-(пиридин-1-ил)сульфонил-β-D-тиоглюкопиранозид было заменено на 2,3,4,6-O-тетраацетил-1-(пиридин-1-ил)сульфонил- β-D-тиогалактопиранозид и соединение (3S,5S,8R,9R,10S,14R,17R,18S)-28-O-бензил- 3-олеаноловой кислоты альдегид было заменено на (5S,8R,9R,10S,14R,17R,18S)- 3-карбонил-17-формилметил-бетулиновую кислоту. Для получения соединения A165 использовали тот же способ получения с теми же требуемыми исходными материалами и реактивами, как описано в примере 6 (выход продукта 74 %). 1H-ЯМР (500 МГц, MeOD) δ 5,28 (синглет, 1H), 4,16 (синглет, 1H), 3,79 (дублет, J = 2,0 Гц, 2H), 3,46 (дублет дублетов, J = 20,4, 9,3 Гц, 2H), 3,38 (синглет, 1H), 3,35–3,31 (мультиплет, 1H), 3,23 (дублет, J = 9,5 Гц, 1H), 3,11 (дублет, J = 9,5 Гц, 1H), 2,88 (дублет дублетов, J = 13,5, 3,0 Гц, 1H), 2,03 (дублет дублетов, J = 13,5, 10,3 Гц, 1H), 1,93 (дублет, J = 7,1 Гц, 2H), 1,86–1,05 (мультиплет, 21H), 1,06–0,93 (мультиплет, 12H), 0,90–0,82 (мультиплет, 6H), 0,81 (дублет, J = 11,4 Гц, 1H). Масс-спектрометрия низкого разрешения (ИЭР): 785,48 [M+H]+.

Пример 166. (5S,8R,9R,10S,14R,17R,18S)-3-Карбонил-олеаноловой кислоты 17-(1'R)-(гидрокси)метил-α-L-рамнопиранозид (A166)

Соединение 2,3,4,6-O-тетрабензил-1-(пиридин-1-ил)сульфонил-β-D-тиоглюкопиранозид было заменено на 2,3,4-O-трибензил-1-(пиридин-1-ил)сульфонил- β-D-тиорамнопиранозид и соединение (3S,5S,8R,9R,10S,14R,17R,18S)-28-O-бензил- 3-олеаноловой кислоты альдегид было заменено на (5S,8R,9R,10S,14R,17R,18S)- 3-карбонил-17-олеаноловой кислоты альдегид. Для получения соединения A166 использовали тот же способ получения с теми же требуемыми исходными материалами и реактивами, как описано в примере 6 (выход продукта 74 %). 1H-ЯМР (500 МГц, MeOD) δ 5,28 (синглет, 1H), 4,16 (синглет, 1H), 3,79 (дублет, J = 2,0 Гц, 2H), 3,46 (дублет дублетов, J = 20,4, 9,3 Гц, 2H), 3,38 (синглет, 1H), 3,35–3,31 (мультиплет, 1H), 3,23 (дублет, J = 9,5 Гц, 1H), 3,11 (дублет, J = 9,5 Гц, 1H), 2,88 (дублет дублетов, J = 13,5, 3,0 Гц, 1H), 2,03 (дублет дублетов, J = 13,5, 10,3 Гц, 1H), 1,93 (дублет, J = 7,1 Гц, 2H), 1,86–1,05 (мультиплет, 21H), 1,06–0,93 (мультиплет, 12H), 0,90–0,82 (мультиплет, 6H), 0,81 (дублет, J = 11,4 Гц, 1H). Масс-спектрометрия низкого разрешения (ИЭР): 587,42 [M+H]+.

Пример 167. (5S,8R,9R,10S,14R,17R,18S)-3-Карбонил-олеаноловой кислоты 17-метил-α-L-рамнопиранозид (A167)

Соединение 2,3,4,6-O-тетрабензил-1-(пиридин-1-ил)сульфонил-β-D-тиоглюкопиранозид было заменено на 2,3,4-O-трибензил-1-(пиридин-1-ил)сульфонил- β-D-тиорамнопиранозид и соединение (3S,5S,8R,9R,10S,14R,17R,18S)-28-O-бензил- 3-олеаноловой кислоты альдегид было заменено на (5S,8R,9R,10S,14R,17R,18S)- 3-карбонил-17-олеаноловой кислоты альдегид. Для получения соединения A167 использовали тот же способ получения с теми же требуемыми исходными материалами и реактивами, как описано в примере 10 (выход продукта 74 %). 1H-ЯМР (500 МГц, MeOD) δ 5,28 (синглет, 1H), 4,16 (синглет, 1H), 3,79 (дублет, J = 2,0 Гц, 2H), 3,46 (дублет дублетов, J = 20,4, 9,3 Гц, 2H), 3,38 (синглет, 1H), 3,35–3,31 (мультиплет, 1H), 3,23 (дублет, J = 9,5 Гц, 1H), 3,11 (дублет, J = 9,5 Гц, 1H), 2,88 (дублет дублетов, J = 13,5, 3,0 Гц, 1H), 2,03 (дублет дублетов, J = 13,5, 10,3 Гц, 1H), 1,93 (дублет, J = 7,1 Гц, 2H), 1,86–1,05 (мультиплет, 21H), 1,06–0,93 (мультиплет, 12H), 0,90–0,82 (мультиплет, 6H), 0,81 (дублет, J = 11,4 Гц, 1H). Масс-спектрометрия низкого разрешения (ИЭР): 571,43 [M+H]+.

Пример 168. (3S,5S,8R,9R,10S,14R,17R,18S)-Олеаноловой кислоты 17-(1'R)-(гидрокси)метил-α-L-рамнопиранозид (A168)

Соединение 2,3,4,6-O-тетрабензил-1-(пиридин-1-ил)сульфонил-β-D-тиоглюкопиранозид было заменено на 2,3,4-O-трибензил-1-(пиридин-1-ил)сульфонил- β-D-тиорамнопиранозид и соединение (3S,5S,8R,9R,10S,14R,17R,18S)-28-O-бензил- 3-олеаноловой кислоты альдегид было заменено на (5S,8R,9R,10S,14R,17R,18S)- 3-гидрокси-17-олеаноловой кислоты альдегид. Для получения соединения A168 использовали тот же способ получения с теми же требуемыми исходными материалами и реактивами, как описано в примере 6 (выход продукта 75 %). 1H-ЯМР (500 МГц, MeOD) δ 5,28 (синглет, 1H), 4,16 (синглет, 1H), 3,79 (дублет, J = 2,0 Гц, 2H), 3,46 (дублет дублетов, J = 20,4, 9,3 Гц, 2H), 3,38 (синглет, 1H), 3,35–3,31 (мультиплет, 1H), 3,23 (дублет, J = 9,5 Гц, 1H), 3,11 (дублет, J = 9,5 Гц, 1H), 2,88 (дублет дублетов, J = 13,5, 3,0 Гц, 1H), 2,03 (дублет дублетов, J = 13,5, 10,3 Гц, 1H), 1,93 (дублет, J = 7,1 Гц, 2H), 1,86–1,05 (мультиплет, 21H), 1,06–0,93 (мультиплет, 1H), 0,90–0,82 (мультиплет, 6H), 0,81 (дублет, J = 11,4 Гц, 1H). Масс-спектрометрия низкого разрешения (ИЭР): 589,44 [M+H]+.

Пример 169. (5S,8R,9R,10S,14R,17R,18S)-3-Карбонил-олеаноловой кислоты 17-(1'R)-(гидрокси)метил-2'',3'',4''-O-триацетил-α-L-рамнопиранозид (A169)

Соединение 2,3,4,6-O-тетрабензил-1-(пиридин-1-ил)сульфонил-β-D-тиоглюкопиранозид было заменено на 2,3,4-O-триацетил-1-(пиридин-1-ил)сульфонил- β-D-тиорамнопиранозид и соединение (3S,5S,8R,9R,10S,14R,17R,18S)-28-O-бензил- 3-олеаноловой кислоты альдегид было заменено на (5S,8R,9R,10S,14R,17R,18S)- 3-карбонил-17-олеаноловой кислоты альдегид. Для получения соединения A169 использовали тот же способ получения с теми же требуемыми исходными материалами и реактивами, как описано в примере 6 (выход продукта 73 %). 1H-ЯМР (500 МГц, MeOD) δ 5,28 (синглет, 1H), 4,16 (синглет, 1H), 3,79 (дублет, J = 2,0 Гц, 2H), 3,46 (дублет дублетов, J = 20,4, 9,3 Гц, 2H), 3,38 (синглет, 1H), 3,35–3,31 (мультиплет, 1H), 3,23 (дублет, J = 9,5 Гц, 1H), 3,11 (дублет, J = 9,5 Гц, 1H), 2,88 (дублет дублетов, J = 13,5, 3,0 Гц, 1H), 2,03 (дублет дублетов, J = 13,5, 10,3 Гц, 1H), 1,93 (дублет, J = 7,1 Гц, 2H), 1,86–1,05 (мультиплет, 21H), 1,06–0,93 (мультиплет, 12H), 0,90–0,82 (мультиплет, 6H), 0,81 (дублет, J = 11,4 Гц, 1H). Масс-спектрометрия низкого разрешения (ИЭР): 713,46 [M+H]+.

Пример 170. (5S,8R,9R,10S,14R,17R,18S)-3-Карбонил-олеаноловой кислоты 17-метил-2'',3'',4''-O-триацетил-α-L-рамнопиранозид (A170)

Соединение 2,3,4,6-O-тетрабензил-1-(пиридин-1-ил)сульфонил-β-D-тиоглюкопиранозид было заменено на 2,3,4-O-триацетил-1-(пиридин-1-ил)сульфонил- β-D-тиорамнопиранозид и соединение (3S,5S,8R,9R,10S,14R,17R,18S)-28-O-бензил- 3-олеаноловой кислоты альдегид было заменено на (5S,8R,9R,10S,14R,17R,18S)- 3-карбонил-17-олеаноловой кислоты альдегид. Для получения соединения A170 использовали тот же способ получения с теми же требуемыми исходными материалами и реактивами, как описано в примере 10 (выход продукта 74 %). 1H-ЯМР (500 МГц, MeOD) δ 5,28 (синглет, 1H), 4,16 (синглет, 1H), 3,79 (дублет, J = 2,0 Гц, 2H), 3,46 (дублет дублетов, J = 20,4, 9,3 Гц, 2H), 3,38 (синглет, 1H), 3,35–3,31 (мультиплет, 1H), 3,23 (дублет, J = 9,5 Гц, 1H), 3,11 (дублет, J = 9,5 Гц, 1H), 2,88 (дублет дублетов, J = 13,5, 3,0 Гц, 1H), 2,03 (дублет дублетов, J = 13,5, 10,3 Гц, 1H), 1,93 (дублет, J = 7,1 Гц, 2H), 1,86–1,05 (мультиплет, 21H), 1,06–0,93 (мультиплет, 12H), 0,90–0,82 (мультиплет, 6H), 0,81 (дублет, J = 11,4 Гц, 1H). Масс-спектрометрия низкого разрешения (ИЭР): 697,46 [M+H]+.

Пример 171. (5S,8R,9R,10S,14R,17R,18S)-3-Карбонил-олеаноловой кислоты 17-(2'R)-(гидрокси)этил-α-L-рамнопиранозид (A171)

Соединение 2,3,4,6-O-тетрабензил-1-(пиридин-1-ил)сульфонил-β-D-тиоглюкопиранозид было заменено на 2,3,4-O-трибензил-1-(пиридин-1-ил)сульфонил- β-D-тиорамнопиранозид и соединение (3S,5S,8R,9R,10S,14R,17R,18S)-28-O-бензил- 3-олеаноловой кислоты альдегид было заменено на (5S,8R,9R,10S,14R,17R,18S)- 3-карбонил-17-формилметил-олеаноловую кислоту. Для получения соединения A171 использовали тот же способ получения с теми же требуемыми исходными материалами и реактивами, как описано в примере 6 (выход продукта 70 %). 1H-ЯМР (500 МГц, MeOD) δ 5,28 (синглет, 1H), 4,16 (синглет, 1H), 3,79 (дублет, J = 2,0 Гц, 2H), 3,46 (дублет дублетов, J = 20,4, 9,3 Гц, 2H), 3,38 (синглет, 1H), 3,35–3,31 (мультиплет, 1H), 3,23 (дублет, J = 9,5 Гц, 1H), 3,11 (дублет, J = 9,5 Гц, 1H), 2,88 (дублет дублетов, J = 13,5, 3,0 Гц, 1H), 2,03 (дублет дублетов, J = 13,5, 10,3 Гц, 1H), 1,93 (дублет, J = 7,1 Гц, 2H), 1,86–1,05 (мультиплет, 21H), 1,06–0,93 (мультиплет, 12H), 0,90–0,82 (мультиплет, 6H), 0,81 (дублет, J = 11,4 Гц, 1H). Масс-спектрометрия низкого разрешения (ИЭР): 601,44 [M+H]+.

Пример 172. (5S,8R,9R,10S,14R,17R,18S)-3-Карбонил-олеаноловой кислоты 17-(2'R)-(гидрокси)этил-2'',3'',4''-O-триацетил-α-L-рамнопиранозид (A172)

Соединение 2,3,4,6-O-тетрабензил-1-(пиридин-1-ил)сульфонил-β-D-тиоглюкопиранозид было заменено на 2,3,4-O-триацетил-1-(пиридин-1-ил)сульфонил- β-D-тиорамнопиранозид и соединение (3S,5S,8R,9R,10S,14R,17R,18S)-28-O-бензил- 3-олеаноловой кислоты альдегид было заменено на (5S,8R,9R,10S,14R,17R,18S)- 3-карбонил-17-формилметил-олеаноловую кислоту. Для получения соединения A172 использовали тот же способ получения с теми же требуемыми исходными материалами и реактивами, как описано в примере 6 (выход продукта 72 %). 1H-ЯМР (500 МГц, MeOD) δ 5,28 (синглет, 1H), 4,16 (синглет, 1H), 3,79 (дублет, J = 2,0 Гц, 2H), 3,46 (дублет дублетов, J = 20,4, 9,3 Гц, 2H), 3,38 (синглет, 1H), 3,35–3,31 (мультиплет, 1H), 3,23 (дублет, J = 9,5 Гц, 1H), 3,11 (дублет, J = 9,5 Гц, 1H), 2,88 (дублет дублетов, J = 13,5, 3,0 Гц, 1H), 2,03 (дублет дублетов, J = 13,5, 10,3 Гц, 1H), 1,93 (дублет, J = 7,1 Гц, 2H), 1,86–1,05 (мультиплет, 21H), 1,06–0,93 (мультиплет, 12H), 0,90–0,82 (мультиплет, 6H), 0,81 (дублет, J = 11,4 Гц, 1H). Масс-спектрометрия низкого разрешения (ИЭР): 727,47 [M+H]+.

Пример 173. (5S,8R,9R,10S,14R,17R,18S)-3-Карбонил-урсоловой кислоты 17-(2'R)-(гидрокси)этил-2'',3'',4''-O-триацетил-α-L-рамнопиранозид (A173)

Соединение 2,3,4,6-O-тетрабензил-1-(пиридин-1-ил)сульфонил-β-D-тиоглюкопиранозид было заменено на 2,3,4-O-триацетил-1-(пиридин-1-ил)сульфонил- β-D-тиорамнопиранозид и соединение (3S,5S,8R,9R,10S,14R,17R,18S)-28-O-бензил- 3-олеаноловой кислоты альдегид было заменено на (5S,8R,9R,10S,14R,17R,18S)- 3-карбонил-17-формилметил-урсоловую кислоту. Для получения соединения A173 использовали тот же способ получения с теми же требуемыми исходными материалами и реактивами, как описано в примере 6 (выход продукта 69 %). 1H-ЯМР (500 МГц, MeOD) δ 5,28 (синглет, 1H), 4,16 (синглет, 1H), 3,79 (дублет, J = 2,0 Гц, 2H), 3,46 (дублет дублетов, J = 20,4, 9,3 Гц, 2H), 3,38 (синглет, 1H), 3,35–3,31 (мультиплет, 1H), 3,23 (дублет, J = 9,5 Гц, 1H), 3,11 (дублет, J = 9,5 Гц, 1H), 2,88 (дублет дублетов, J = 13,5, 3,0 Гц, 1H), 2,03 (дублет дублетов, J = 13,5, 10,3 Гц, 1H), 1,93 (дублет, J = 7,1 Гц, 2H), 1,86–1,05 (мультиплет, 21H), 1,06–0,93 (мультиплет, 12H), 0,90–0,82 (мультиплет, 6H), 0,81 (дублет, J = 11,4 Гц, 1H). Масс-спектрометрия низкого разрешения (ИЭР): 727,47 [M+H]+.

Пример 174. (5S,8R,9R,10S,14R,17R,18S)-3-Карбонил-бетулиновой кислоты 17-(2'R)-(гидрокси)этил-2'',3'',4''-O-триацетил-α-L-рамнопиранозид (A174)

Соединение 2,3,4,6-O-тетрабензил-1-(пиридин-1-ил)сульфонил-β-D-тиоглюкопиранозид было заменено на 2,3,4-O-триацетил-1-(пиридин-1-ил)сульфонил- β-D-тиорамнопиранозид и соединение (3S,5S,8R,9R,10S,14R,17R,18S)-28-O-бензил- 3-олеаноловой кислоты альдегид было заменено на (5S,8R,9R,10S,14R,17R,18S)- 3-карбонил-17-формилметил-бетулиновую кислоту. Для получения соединения A174 использовали тот же способ получения с теми же требуемыми исходными материалами и реактивами, как описано в примере 6 (выход продукта 71 %). 1H-ЯМР (500 МГц, MeOD) δ 5,28 (синглет, 1H), 4,16 (синглет, 1H), 3,79 (дублет, J = 2,0 Гц, 2H), 3,46 (дублет дублетов, J = 20,4, 9,3 Гц, 2H), 3,38 (синглет, 1H), 3,35–3,31 (мультиплет, 1H), 3,23 (дублет, J = 9,5 Гц, 1H), 3,11 (дублет, J = 9,5 Гц, 1H), 2,88 (дублет дублетов, J = 13,5, 3,0 Гц, 1H), 2,03 (дублет дублетов, J = 13,5, 10,3 Гц, 1H), 1,93 (дублет, J = 7,1 Гц, 2H), 1,86–1,05 (мультиплет, 21H), 1,06–0,93 (мультиплет, 12H), 0,90–0,82 (мультиплет, 6H), 0,81 (дублет, J = 11,4 Гц, 1H). Масс-спектрометрия низкого разрешения (ИЭР): 727,47 [M+H]+.

Пример 175. (3S,5S,8R,9R,10S,14R,17R,18S)-Олеаноловой кислоты 17-(1'R)-(гидрокси)метил-β-D-глюкуронопиранозид (A175)

Соединение 2,3,4,6-O-тетрабензил-1-(пиридин-1-ил)сульфонил-β-D-тиоглюкопиранозид было заменено на 2,3,4-O-трибензил-1-(пиридин-1-ил)сульфонил- β-D-тиоглюкуронопиранозид и соединение (3S,5S,8R,9R,10S,14R,17R,18S)-28-O- бензил-3-олеаноловой кислоты альдегид было заменено на (5S,8R,9R,10S,14R,17R,18S)-3-гидрокси-17-олеаноловой кислоты альдегид. Для получения соединения A175 использовали тот же способ получения с теми же требуемыми исходными материалами и реактивами, как описано в примере 6 (выход продукта 70 %). 1H-ЯМР (500 МГц, MeOD) δ 5,28 (синглет, 1H), 4,16 (синглет, 1H), 3,79 (дублет, J = 2,0 Гц, 2H), 3,46 (дублет дублетов, J = 20,4, 9,3 Гц, 2H), 3,38 (синглет, 1H), 3,35–3,31 (мультиплет, 1H), 3,23 (дублет, J = 9,5 Гц, 1H), 3,11 (дублет, J = 9,5 Гц, 1H), 2,88 (дублет дублетов, J = 13,5, 3,0 Гц, 1H), 2,03 (дублет дублетов, J = 13,5, 10,3 Гц, 1H), 1,93 (дублет, J = 7,1 Гц, 2H), 1,86–1,05 (мультиплет, 21H), 1,06–0,93 (мультиплет, 1H), 0,90–0,82 (мультиплет, 6H), 0,81 (дублет, J = 11,4 Гц, 1H). Масс-спектрометрия низкого разрешения (ИЭР): 619,41 [M+H]+.

Пример 176. (5S,8R,9R,10S,14R,17R,18S)-3-Карбонил-олеаноловой кислоты 17-карбонил-2'',3'',4''-O-триацетил-β-D-глюкуронопиранозид (A176)

Соединение 2,3,4,6-O-тетрабензил-1-(пиридин-1-ил)сульфонил-β-D-тиоглюкопиранозид было заменено на 2,3,4-O-триацетил-1-(пиридин-1-ил)сульфонил- β-D-тиоглюкуронопиранозид и соединение (3S,5S,8R,9R,10S,14R,17R,18S)-28-O- бензил-3-олеаноловой кислоты альдегид было заменено на (5S,8R,9R,10S,14R,17R,18S)-3-карбонил-17-олеаноловой кислоты альдегид. Для получения соединения A176 использовали тот же способ получения с теми же требуемыми исходными материалами и реактивами, как описано в примере 10 (выход продукта 70 %). 1H-ЯМР (500 МГц, MeOD) δ 5,28 (синглет, 1H), 4,16 (синглет, 1H), 3,79 (дублет, J = 2,0 Гц, 2H), 3,46 (дублет дублетов, J = 20,4, 9,3 Гц, 2H), 3,38 (синглет, 1H), 3,35–3,31 (мультиплет, 1H), 3,23 (дублет, J = 9,5 Гц, 1H), 3,11 (дублет, J = 9,5 Гц, 1H), 2,88 (дублет дублетов, J = 13,5, 3,0 Гц, 1H), 2,03 (дублет дублетов, J = 13,5, 10,3 Гц, 1H), 1,93 (дублет, J = 7,1 Гц, 2H), 1,86–1,05 (мультиплет, 21H), 1,06–0,93 (мультиплет, 1H), 0,90–0,82 (мультиплет, 6H), 0,81 (дублет, J = 11,4 Гц, 1H). Масс-спектрометрия низкого разрешения (ИЭР): 741,41 [M+H]+.

Пример 177. (5S,8R,9R,10S,14R,17R,18S)-3-Карбонил-олеаноловой кислоты 17-(1'R)-(гидрокси)метил-2'',3'',4''-O-триацетил-β-D-глюкуронопиранозид (A177)

Соединение 2,3,4,6-O-тетрабензил-1-(пиридин-1-ил)сульфонил-β-D-тиоглюкопиранозид было заменено на 2,3,4-O-триацетил-1-(пиридин-1-ил)сульфонил-β-D- тиоглюкуронопиранозид и соединение (3S,5S,8R,9R,10S,14R,17R,18S)-28-O-бензил- 3-олеаноловой кислоты альдегид было заменено на (5S,8R,9R,10S,14R,17R,18S)- 3-карбонил-17-олеаноловой кислоты альдегид. Для получения соединения A177 использовали тот же способ получения с теми же требуемыми исходными материалами и реактивами, как описано в примере 6 (выход продукта 71 %). 1H-ЯМР (500 МГц, MeOD) δ 5,28 (синглет, 1H), 4,16 (синглет, 1H), 3,79 (дублет, J = 2,0 Гц, 2H), 3,46 (дублет дублетов, J = 20,4, 9,3 Гц, 2H), 3,38 (синглет, 1H), 3,35–3,31 (мультиплет, 1H), 3,23 (дублет, J = 9,5 Гц, 1H), 3,11 (дублет, J = 9,5 Гц, 1H), 2,88 (дублет дублетов, J = 13,5, 3,0 Гц, 1H), 2,03 (дублет дублетов, J = 13,5, 10,3 Гц, 1H), 1,93 (дублет, J = 7,1 Гц, 2H), 1,86–1,05 (мультиплет, 21H), 1,06–0,93 (мультиплет, 12H), 0,90–0,82 (мультиплет, 6H), 0,81 (дублет, J = 11,4 Гц, 1H). Масс-спектрометрия низкого разрешения (ИЭР): 743,43 [M+H]+.

Пример 178. (5S,8R,9R,10S,14R,17R,18S)-3-Карбонил-олеаноловой кислоты 17-метил-2'',3'',4''-O-триацетил-β-D-глюкуронопиранозид (A178)

Соединение 2,3,4,6-O-тетрабензил-1-(пиридин-1-ил)сульфонил-β-D-тиоглюкопиранозид было заменено на 2,3,4-O-триацетил-1-(пиридин-1-ил)сульфонил-β-D- тиоглюкуронопиранозид и соединение (3S,5S,8R,9R,10S,14R,17R,18S)-28-O-бензил- 3-олеаноловой кислоты альдегид было заменено на (5S,8R,9R,10S,14R,17R,18S)- 3-карбонил-17-олеаноловой кислоты альдегид. Для получения соединения A178 использовали тот же способ получения с теми же требуемыми исходными материалами и реактивами, как описано в примере 10 (выход продукта 69 %). 1H-ЯМР (500 МГц, MeOD) δ 5,28 (синглет, 1H), 4,16 (синглет, 1H), 3,79 (дублет, J = 2,0 Гц, 2H), 3,46 (дублет дублетов, J = 20,4, 9,3 Гц, 2H), 3,38 (синглет, 1H), 3,35–3,31 (мультиплет, 1H), 3,23 (дублет, J = 9,5 Гц, 1H), 3,11 (дублет, J = 9,5 Гц, 1H), 2,88 (дублет дублетов, J = 13,5, 3,0 Гц, 1H), 2,03 (дублет дублетов, J = 13,5, 10,3 Гц, 1H), 1,93 (дублет, J = 7,1 Гц, 2H), 1,86–1,05 (мультиплет, 21H), 1,06–0,93 (мультиплет, 12H), 0,90–0,82 (мультиплет, 6H), 0,81 (дублет, J = 11,4 Гц, 1H). Масс-спектрометрия низкого разрешения (ИЭР): 727,43 [M+H]+.

Пример 179. (5S,8R,9R,10S,14R,17R,18S)-3-Карбонил-олеаноловой кислоты 17-(2'R)-(гидрокси)этил-β-D-глюкуронопиранозид (A179)

Соединение 2,3,4,6-O-тетрабензил-1-(пиридин-1-ил)сульфонил-β-D-тиоглюкопиранозид было заменено на 2,3,4-O-трибензил-1-(пиридин-1-ил)сульфонил-β-D- тиоглюкуронопиранозид и соединение (3S,5S,8R,9R,10S,14R,17R,18S)-28-O-бензил- 3-олеаноловой кислоты альдегид было заменено на (5S,8R,9R,10S,14R,17R,18S)- 3-карбонил-17-формилметил-олеаноловую кислоту. Для получения соединения A179 использовали тот же способ получения с теми же требуемыми исходными материалами и реактивами, как описано в примере 6 (выход продукта 70 %). 1H-ЯМР (500 МГц, MeOD) δ 5,28 (синглет, 1H), 4,16 (синглет, 1H), 3,79 (дублет, J = 2,0 Гц, 2H), 3,46 (дублет дублетов, J = 20,4, 9,3 Гц, 2H), 3,38 (синглет, 1H), 3,35–3,31 (мультиплет, 1H), 3,23 (дублет, J = 9,5 Гц, 1H), 3,11 (дублет, J = 9,5 Гц, 1H), 2,88 (дублет дублетов, J = 13,5, 3,0 Гц, 1H), 2,03 (дублет дублетов, J = 13,5, 10,3 Гц, 1H), 1,93 (дублет, J = 7,1 Гц, 2H), 1,86–1,05 (мультиплет, 21H), 1,06–0,93 (мультиплет, 12H), 0,90–0,82 (мультиплет, 6H), 0,81 (дублет, J = 11,4 Гц, 1H). Масс-спектрометрия низкого разрешения (ИЭР): 631,41 [M+H]+.

Пример 180. (5S,8R,9R,10S,14R,17R,18S)-3-Карбонил-олеаноловой кислоты 17-(2'R)-(гидрокси)этил-2'',3'',4''-O-триацетил-β-D-глюкуронопиранозид (A180)

Соединение 2,3,4,6-O-тетрабензил-1-(пиридин-1-ил)сульфонил-β-D-тиоглюкопиранозид было заменено на 2,3,4-O-триацетил-1-(пиридин-1-ил)сульфонил-β-D- тиоглюкуронопиранозид и соединение (3S,5S,8R,9R,10S,14R,17R,18S)-28-O-бензил- 3-олеаноловой кислоты альдегид было заменено на (5S,8R,9R,10S,14R,17R,18S)- 3-карбонил-17-формилметил-олеаноловую кислоту. Для получения соединения A180 использовали тот же способ получения с теми же требуемыми исходными материалами и реактивами, как описано в примере 6 (выход продукта 69 %). 1H-ЯМР (500 МГц, MeOD) δ 5,28 (синглет, 1H), 4,16 (синглет, 1H), 3,79 (дублет, J = 2,0 Гц, 2H), 3,46 (дублет дублетов, J = 20,4, 9,3 Гц, 2H), 3,38 (синглет, 1H), 3,35–3,31 (мультиплет, 1H), 3,23 (дублет, J = 9,5 Гц, 1H), 3,11 (дублет, J = 9,5 Гц, 1H), 2,88 (дублет дублетов, J = 13,5, 3,0 Гц, 1H), 2,03 (дублет дублетов, J = 13,5, 10,3 Гц, 1H), 1,93 (дублет, J = 7,1 Гц, 2H), 1,86–1,05 (мультиплет, 21H), 1,06–0,93 (мультиплет, 12H), 0,90–0,82 (мультиплет, 6H), 0,81 (дублет, J = 11,4 Гц, 1H). Масс-спектрометрия низкого разрешения (ИЭР): 757,44 [M+H]+.

Пример 181. (5S,8R,9R,10S,14R,17R,18S)-3-Карбонил-урсоловой кислоты 17-(2'R)-(гидрокси)этил-2'',3'',4''-O-триацетил-β-D-глюкуронопиранозид (A181)

Соединение 2,3,4,6-O-тетрабензил-1-(пиридин-1-ил)сульфонил-β-D-тиоглюкопиранозид было заменено на 2,3,4-O-триацетил-1-(пиридин-1-ил)сульфонил-β-D- тиоглюкуронопиранозид и соединение (3S,5S,8R,9R,10S,14R,17R,18S)-28-O-бензил- 3-олеаноловой кислоты альдегид было заменено на (5S,8R,9R,10S,14R,17R,18S)- 3-карбонил-17-формилметил-урсоловую кислоту. Для получения соединения A181 использовали тот же способ получения с теми же требуемыми исходными материалами и реактивами, как описано в примере 6 (выход продукта 77 %). 1H-ЯМР (500 МГц, MeOD) δ 5,28 (синглет, 1H), 4,16 (синглет, 1H), 3,79 (дублет, J = 2,0 Гц, 2H), 3,46 (дублет дублетов, J = 20,4, 9,3 Гц, 2H), 3,38 (синглет, 1H), 3,35–3,31 (мультиплет, 1H), 3,23 (дублет, J = 9,5 Гц, 1H), 3,11 (дублет, J = 9,5 Гц, 1H), 2,88 (дублет дублетов, J = 13,5, 3,0 Гц, 1H), 2,03 (дублет дублетов, J = 13,5, 10,3 Гц, 1H), 1,93 (дублет, J = 7,1 Гц, 2H), 1,86–1,05 (мультиплет, 21H), 1,06–0,93 (мультиплет, 12H), 0,90–0,82 (мультиплет, 6H), 0,81 (дублет, J = 11,4 Гц, 1H). Масс-спектрометрия низкого разрешения (ИЭР): 757,44 [M+H]+.

Пример 182. (5S,8R,9R,10S,14R,17R,18S)-3-Карбонил-бетулиновой кислоты 17-(2'R)-(гидрокси)этил-2'',3'',4''-O-триацетил-β-D-глюкуронопиранозид (A182)

Соединение 2,3,4,6-O-тетрабензил-1-(пиридин-1-ил)сульфонил-β-D-тиоглюкопиранозид было заменено на 2,3,4-O-триацетил-1-(пиридин-1-ил)сульфонил-β-D- тиоглюкуронопиранозид и соединение (3S,5S,8R,9R,10S,14R,17R,18S)-28-O-бензил- 3-олеаноловой кислоты альдегид было заменено на (5S,8R,9R,10S,14R,17R,18S)- 3-карбонил-17-формилметил-бетулиновую кислоту. Для получения соединения A182 использовали тот же способ получения с теми же требуемыми исходными материалами и реактивами, как описано в примере 6 (выход продукта 72 %). 1H-ЯМР (500 МГц, MeOD) δ 5,28 (синглет, 1H), 4,16 (синглет, 1H), 3,79 (дублет, J = 2,0 Гц, 2H), 3,46 (дублет дублетов, J = 20,4, 9,3 Гц, 2H), 3,38 (синглет, 1H), 3,35–3,31 (мультиплет, 1H), 3,23 (дублет, J = 9,5 Гц, 1H), 3,11 (дублет, J = 9,5 Гц, 1H), 2,88 (дублет дублетов, J = 13,5, 3,0 Гц, 1H), 2,03 (дублет дублетов, J = 13,5, 10,3 Гц, 1H), 1,93 (дублет, J = 7,1 Гц, 2H), 1,86–1,05 (мультиплет, 21H), 1,06–0,93 (мультиплет, 12H), 0,90–0,82 (мультиплет, 6H), 0,81 (дублет, J = 11,4 Гц, 1H). Масс-спектрометрия низкого разрешения (ИЭР): 757,44 [M+H]+.

Пример 183. (5S,8R,9R,10S,14R,17R,18S)-3-Карбонил-олеаноловой кислоты 17-(1'R)-(гидрокси)метил-6''-дезокси-6''-фтор-β-D-глюкопиранозид (A183)

Соединение 2,3,4,6-O-тетрабензил-1-(пиридин-1-ил)сульфонил-β-D-тиоглюкопиранозид было заменено на 2,3,4-O-трибензил-1-(пиридин-1-ил)сульфонил-6- дезокси-6-фтор-β-D-тиоглюкопиранозид и соединение (3S,5S,8R,9R,10S,14R,17R,18S)-28-O-бензил- 3-олеаноловой кислоты альдегид было заменено на (5S,8R,9R,10S,14R,17R,18S)-3-карбонил-17-олеаноловой кислоты альдегид. Для получения соединения A183 использовали тот же способ получения с теми же требуемыми исходными материалами и реактивами, как описано в примере 6 (выход продукта 70 %). 1H-ЯМР (500 МГц, MeOD) δ 5,28 (синглет, 1H), 4,16 (синглет, 1H), 3,79 (дублет, J = 2,0 Гц, 2H), 3,46 (дублет дублетов, J = 20,4, 9,3 Гц, 2H), 3,38 (синглет, 1H), 3,35–3,31 (мультиплет, 1H), 3,23 (дублет, J = 9,5 Гц, 1H), 3,11 (дублет, J = 9,5 Гц, 1H), 2,88 (дублет дублетов, J = 13,5, 3,0 Гц, 1H), 2,03 (дублет дублетов, J = 13,5, 10,3 Гц, 1H), 1,93 (дублет, J = 7,1 Гц, 2H), 1,86–1,05 (мультиплет, 21H), 1,06–0,93 (мультиплет, 12H), 0,90–0,82 (мультиплет, 6H), 0,81 (дублет, J = 11,4 Гц, 1H). Масс-спектрометрия низкого разрешения (ИЭР): 605,41 [M+H]+.

Пример 184. (5S,8R,9R,10S,14R,17R,18S)-3-Карбонил-олеаноловой кислоты 17метил-6''-дезокси-6''-фтор-β-D-глюкопиранозид (A184)

Соединение 2,3,4,6-O-тетрабензил-1-(пиридин-1-ил)сульфонил-β-D-тиоглюкопиранозид было заменено на 2,3,4-O-трибензил-1-(пиридин-1-ил)сульфонил-6- дезокси-6-фтор-β-D-тиоглюкопиранозид и соединение (3S,5S,8R,9R,10S,14R,17R,18S)-28-O-бензил- 3-олеаноловой кислоты альдегид было заменено на (5S,8R,9R,10S,14R,17R,18S)-3-карбонил-17-олеаноловой кислоты альдегид. Для получения соединения A184 использовали тот же способ получения с теми же требуемыми исходными материалами и реактивами, как описано в примере 10 (выход продукта 71 %). 1H-ЯМР (500 МГц, MeOD) δ 5,28 (синглет, 1H), 4,16 (синглет, 1H), 3,79 (дублет, J = 2,0 Гц, 2H), 3,46 (дублет дублетов, J = 20,4, 9,3 Гц, 2H), 3,38 (синглет, 1H), 3,35–3,31 (мультиплет, 1H), 3,23 (дублет, J = 9,5 Гц, 1H), 3,11 (дублет, J = 9,5 Гц, 1H), 2,88 (дублет дублетов, J = 13,5, 3,0 Гц, 1H), 2,03 (дублет дублетов, J = 13,5, 10,3 Гц, 1H), 1,93 (дублет, J = 7,1 Гц, 2H), 1,86–1,05 (мультиплет, 21H), 1,06–0,93 (мультиплет, 12H), 0,90–0,82 (мультиплет, 6H), 0,81 (дублет, J = 11,4 Гц, 1H). Масс-спектрометрия низкого разрешения (ИЭР): 589,42 [M+H]+.

Пример 185. (3S,5S,8R,9R,10S,14R,17R,18S)-Олеаноловой кислоты 17-(1'R)-(гидрокси)метил-6''-дезокси-6''-фтор-β-D-глюкопиранозид (A185)

Соединение 2,3,4,6-O-тетрабензил-1-(пиридин-1-ил)сульфонил-β-D-тиоглюкопиранозид было заменено на 2,3,4-O-трибензил-1-(пиридин-1-ил)сульфонил-6- дезокси-6-фтор-β-D-тиоглюкопиранозид и соединение (3S,5S,8R,9R,10S,14R,17R,18S)-28-O-бензил-3-олеаноловой кислоты альдегид было заменено на (5S,8R,9R,10S,14R,17R,18S)-3-гидрокси-17-олеаноловой кислоты альдегид. Для получения соединения A185 использовали тот же способ получения с теми же требуемыми исходными материалами и реактивами, как описано в примере 6 (выход продукта 75 %). 1H-ЯМР (500 МГц, MeOD) δ 5,28 (синглет, 1H), 4,16 (синглет, 1H), 3,79 (дублет, J = 2,0 Гц, 2H), 3,46 (дублет дублетов, J = 20,4, 9,3 Гц, 2H), 3,38 (синглет, 1H), 3,35–3,31 (мультиплет, 1H), 3,23 (дублет, J = 9,5 Гц, 1H), 3,11 (дублет, J = 9,5 Гц, 1H), 2,88 (дублет дублетов, J = 13,5, 3,0 Гц, 1H), 2,03 (дублет дублетов, J = 13,5, 10,3 Гц, 1H), 1,93 (дублет, J = 7,1 Гц, 2H), 1,86–1,05 (мультиплет, 21H), 1,06–0,93 (мультиплет, 1H), 0,90–0,82 (мультиплет, 6H), 0,81 (дублет, J = 11,4 Гц, 1H). Масс-спектрометрия низкого разрешения (ИЭР): 607,43 [M+H]+.

Пример 186. (5S,8R,9R,10S,14R,17R,18S)-3-Карбонил-олеаноловой кислоты 17-(1'R)-(гидрокси)метил-2'',3'',4''-O-триацетил-6''-дезокси-6''-фтор-β-D-глюкопиранозид (A186)

Соединение 2,3,4,6-O-тетрабензил-1-(пиридин-1-ил)сульфонил-β-D-тиоглюкопиранозид было заменено на 2,3,4-O-триацетил-1-(пиридин-1-ил)сульфонил-6- дезокси-6-фтор-β-D-тиоглюкопиранозид и соединение (3S,5S,8R,9R,10S,14R,17R,18S)-28-O-бензил- 3-олеаноловой кислоты альдегид было заменено на (5S,8R,9R,10S,14R,17R,18S)-3-карбонил-17-олеаноловой кислоты альдегид. Для получения соединения A186 использовали тот же способ получения с теми же требуемыми исходными материалами и реактивами, как описано в примере 6 (выход продукта 70 %). 1H-ЯМР (500 МГц, MeOD) δ 5,28 (синглет, 1H), 4,16 (синглет, 1H), 3,79 (дублет, J = 2,0 Гц, 2H), 3,46 (дублет дублетов, J = 20,4, 9,3 Гц, 2H), 3,38 (синглет, 1H), 3,35–3,31 (мультиплет, 1H), 3,23 (дублет, J = 9,5 Гц, 1H), 3,11 (дублет, J = 9,5 Гц, 1H), 2,88 (дублет дублетов, J = 13,5, 3,0 Гц, 1H), 2,03 (дублет дублетов, J = 13,5, 10,3 Гц, 1H), 1,93 (дублет, J = 7,1 Гц, 2H), 1,86–1,05 (мультиплет, 21H), 1,06–0,93 (мультиплет, 12H), 0,90–0,82 (мультиплет, 6H), 0,81 (дублет, J = 11,4 Гц, 1H). Масс-спектрометрия низкого разрешения (ИЭР): 731,45 [M+H]+.

Пример 187. (5S,8R,9R,10S,14R,17R,18S)-3-Карбонил-олеаноловой кислоты 17-метил-2'',3'',4''-O-триацетил-6''-дезокси-6''-фтор-β-D-глюкопиранозид (A187)

Соединение 2,3,4,6-O-тетрабензил-1-(пиридин-1-ил)сульфонил-β-D-тиоглюкопиранозид было заменено на 2,3,4-O-триацетил-1-(пиридин-1-ил)сульфонил-6- дезокси-6-фтор-β-D-тиоглюкопиранозид и соединение (3S,5S,8R,9R,10S,14R,17R,18S)-28-O-бензил- 3-олеаноловой кислоты альдегид было заменено на (5S,8R,9R,10S,14R,17R,18S)-3-карбонил-17-олеаноловой кислоты альдегид. Для получения соединения A187 использовали тот же способ получения с теми же требуемыми исходными материалами и реактивами, как описано в примере 10 (выход продукта 75 %). 1H-ЯМР (500 МГц, MeOD) δ 5,28 (синглет, 1H), 4,16 (синглет, 1H), 3,79 (дублет, J = 2,0 Гц, 2H), 3,46 (дублет дублетов, J = 20,4, 9,3 Гц, 2H), 3,38 (синглет, 1H), 3,35–3,31 (мультиплет, 1H), 3,23 (дублет, J = 9,5 Гц, 1H), 3,11 (дублет, J = 9,5 Гц, 1H), 2,88 (дублет дублетов, J = 13,5, 3,0 Гц, 1H), 2,03 (дублет дублетов, J = 13,5, 10,3 Гц, 1H), 1,93 (дублет, J = 7,1 Гц, 2H), 1,86–1,05 (мультиплет, 21H), 1,06–0,93 (мультиплет, 12H), 0,90–0,82 (мультиплет, 6H), 0,81 (дублет, J = 11,4 Гц, 1H). Масс-спектрометрия низкого разрешения (ИЭР): 715,45 [M+H]+.

Пример 188. (5S,8R,9R,10S,14R,17R,18S)-3-Карбонил-олеаноловой кислоты 17-(2'R)-(гидрокси)этил-6''-дезокси-6''-фтор-β-D-глюкопиранозид (A188)

Соединение 2,3,4,6-O-тетрабензил-1-(пиридин-1-ил)сульфонил-β-D-тиоглюкопиранозид было заменено на 2,3,4-O-трибензил-1-(пиридин-1-ил)сульфонил-6- дезокси-6-фтор-β-D-тиоглюкопиранозид и соединение (3S,5S,8R,9R,10S,14R,17R,18S)-28-O-бензил-3-олеаноловой кислоты альдегид было заменено на (5S,8R,9R,10S,14R,17R,18S)-3-карбонил-17-формилметил-олеаноловую кислоту. Для получения соединения A188 использовали тот же способ получения с теми же требуемыми исходными материалами и реактивами, как описано в примере 6 (выход продукта 76 %). 1H-ЯМР (500 МГц, MeOD) δ 5,28 (синглет, 1H), 4,16 (синглет, 1H), 3,79 (дублет, J = 2,0 Гц, 2H), 3,46 (дублет дублетов, J = 20,4, 9,3 Гц, 2H), 3,38 (синглет, 1H), 3,35–3,31 (мультиплет, 1H), 3,23 (дублет, J = 9,5 Гц, 1H), 3,11 (дублет, J = 9,5 Гц, 1H), 2,88 (дублет дублетов, J = 13,5, 3,0 Гц, 1H), 2,03 (дублет дублетов, J = 13,5, 10,3 Гц, 1H), 1,93 (дублет, J = 7,1 Гц, 2H), 1,86–1,05 (мультиплет, 21H), 1,06–0,93 (мультиплет, 12H), 0,90–0,82 (мультиплет, 6H), 0,81 (дублет, J = 11,4 Гц, 1H). Масс-спектрометрия низкого разрешения (ИЭР): 619,43 [M+H]+.

Пример 189. (5S,8R,9R,10S,14R,17R,18S)-3-Карбонил-олеаноловой кислоты 17-(2'R)-(гидрокси)этил-2'',3'',4''-O-триацетил-6''-дезокси-6''-фтор-β-D-глюкопиранозид (A189)

Соединение 2,3,4,6-O-тетрабензил-1-(пиридин-1-ил)сульфонил-β-D-тиоглюкопиранозид было заменено на 2,3,4-O-триацетил-1-(пиридин-1-ил)сульфонил- 6-дезокси-6-фтор-β-D-тиоглюкопиранозид и соединение (3S,5S,8R,9R,10S,14R,17R,18S)-28-O-бензил-3-олеаноловой кислоты альдегид было заменено на (5S,8R,9R,10S,14R,17R,18S)-3-карбонил-17-формилметил-олеаноловую кислоту. Для получения соединения A189 использовали тот же способ получения с теми же требуемыми исходными материалами и реактивами, как описано в примере 6 (выход продукта 69 %). 1H-ЯМР (500 МГц, MeOD) δ 5,28 (синглет, 1H), 4,16 (синглет, 1H), 3,79 (дублет, J = 2,0 Гц, 2H), 3,46 (дублет дублетов, J = 20,4, 9,3 Гц, 2H), 3,38 (синглет, 1H), 3,35–3,31 (мультиплет, 1H), 3,23 (дублет, J = 9,5 Гц, 1H), 3,11 (дублет, J = 9,5 Гц, 1H), 2,88 (дублет дублетов, J = 13,5, 3,0 Гц, 1H), 2,03 (дублет дублетов, J = 13,5, 10,3 Гц, 1H), 1,93 (дублет, J = 7,1 Гц, 2H), 1,86–1,05 (мультиплет, 21H), 1,06–0,93 (мультиплет, 12H), 0,90–0,82 (мультиплет, 6H), 0,81 (дублет, J = 11,4 Гц, 1H). Масс-спектрометрия низкого разрешения (ИЭР): 745,46 [M+H]+.

Пример 190. (5S,8R,9R,10S,14R,17R,18S)-3-Карбонил-урсоловой кислоты 17-(2'R)-(гидрокси)этил-2'',3'',4''-O-триацетил-6''-дезокси-6''-фтор-β-D-глюкопиранозид (A190)

Соединение 2,3,4,6-O-тетрабензил-1-(пиридин-1-ил)сульфонил-β-D-тиоглюкопиранозид было заменено на 2,3,4-O-триацетил-1-(пиридин-1-ил)сульфонил- 6-дезокси-6-фтор-β-D-тиоглюкопиранозид и соединение (3S,5S,8R,9R,10S,14R,17R,18S)-28-O-бензил- 3-олеаноловой кислоты альдегид было заменено на (5S,8R,9R,10S,14R,17R,18S)-3-карбонил-17-формилметил-урсоловую кислоту. Для получения соединения A190 использовали тот же способ получения с теми же требуемыми исходными материалами и реактивами, как описано в примере 6 (выход продукта 67 %). 1H-ЯМР (500 МГц, MeOD) δ 5,28 (синглет, 1H), 4,16 (синглет, 1H), 3,79 (дублет, J = 2,0 Гц, 2H), 3,46 (дублет дублетов, J = 20,4, 9,3 Гц, 2H), 3,38 (синглет, 1H), 3,35–3,31 (мультиплет, 1H), 3,23 (дублет, J = 9,5 Гц, 1H), 3,11 (дублет, J = 9,5 Гц, 1H), 2,88 (дублет дублетов, J = 13,5, 3,0 Гц, 1H), 2,03 (дублет дублетов, J = 13,5, 10,3 Гц, 1H), 1,93 (дублет, J = 7,1 Гц, 2H), 1,86–1,05 (мультиплет, 21H), 1,06–0,93 (мультиплет, 12H), 0,90–0,82 (мультиплет, 6H), 0,81 (дублет, J = 11,4 Гц, 1H). Масс-спектрометрия низкого разрешения (ИЭР): 745,46 [M+H]+.

Пример 191. (5S,8R,9R,10S,14R,17R,18S)-3-Карбонил-бетулиновой кислоты 17-(2'R)-(гидрокси)этил-2'',3'',4''-O-триацетил-6''-дезокси-6''-фтор-β-D-глюкопиранозид (A191)

Соединение 2,3,4,6-O-тетрабензил-1-(пиридин-1-ил)сульфонил-β-D-тиоглюкопиранозид было заменено на 2,3,4-O-триацетил-1-(пиридин-1-ил)сульфонил-6- дезокси-6-фтор-β-D-тиоглюкопиранозид и соединение (3S,5S,8R,9R,10S,14R,17R,18S)-28-O-бензил- 3-олеаноловой кислоты альдегид было заменено на (5S,8R,9R,10S,14R,17R,18S)-3-карбонил-17-формилметил-бетулиновую кислоту. Для получения соединения A191 использовали тот же способ получения с теми же требуемыми исходными материалами и реактивами, как описано в примере 6 (выход продукта 71 %). 1H-ЯМР (500 МГц, MeOD) δ 5,28 (синглет, 1H), 4,16 (синглет, 1H), 3,79 (дублет, J = 2,0 Гц, 2H), 3,46 (дублет дублетов, J = 20,4, 9,3 Гц, 2H), 3,38 (синглет, 1H), 3,35–3,31 (мультиплет, 1H), 3,23 (дублет, J = 9,5 Гц, 1H), 3,11 (дублет, J = 9,5 Гц, 1H), 2,88 (дублет дублетов, J = 13,5, 3,0 Гц, 1H), 2,03 (дублет дублетов, J = 13,5, 10,3 Гц, 1H), 1,93 (дублет, J = 7,1 Гц, 2H), 1,86–1,05 (мультиплет, 21H), 1,06–0,93 (мультиплет, 12H), 0,90–0,82 (мультиплет, 6H), 0,81 (дублет, J = 11,4 Гц, 1H). Масс-спектрометрия низкого разрешения (ИЭР): 745,46 [M+H]+.

Пример 192. (5S,8R,9R,10S,14R,17R,18S)-3-Карбонил-олеаноловой кислоты 17-(1'R)-(гидрокси)метил-β-D-глюкопиранозид (A192)

Соединение 2,3,4,6-O-тетрабензил-1-(пиридин-1-ил)сульфонил-β-D-тиоглюкопиранозид было заменено на 2,3,4,6-O-тетрабензил-1-(пиридин-1-ил)сульфонил-β-D- тиоглюкопиранозид и соединение (3S,5S,8R,9R,10S,14R,17R,18S)-28-O-бензил-3- олеаноловой кислоты альдегид было заменено на (5S,8R,9R,10S,14R,17R,18S)- 3-карбонил-17-олеаноловой кислоты альдегид. Для получения соединения A192 использовали тот же способ получения с теми же требуемыми исходными материалами и реактивами, как описано в примере 6 (выход продукта 70 %). 1H-ЯМР (500 МГц, MeOD) δ 5,28 (синглет, 1H), 4,16 (синглет, 1H), 3,79 (дублет, J = 2,0 Гц, 2H), 3,46 (дублет дублетов, J = 20,4, 9,3 Гц, 2H), 3,38 (синглет, 1H), 3,35–3,31 (мультиплет, 1H), 3,23 (дублет, J = 9,5 Гц, 1H), 3,11 (дублет, J = 9,5 Гц, 1H), 2,88 (дублет дублетов, J = 13,5, 3,0 Гц, 1H), 2,03 (дублет дублетов, J = 13,5, 10,3 Гц, 1H), 1,93 (дублет, J = 7,1 Гц, 2H), 1,86–1,05 (мультиплет, 21H), 1,06–0,93 (мультиплет, 12H), 0,90–0,82 (мультиплет, 6H), 0,81 (дублет, J = 11,4 Гц, 1H). Масс-спектрометрия низкого разрешения (ИЭР): 603,42 [M+H]+.

Пример 193. (5S,8R,9R,10S,14R,17R,18S)-3-Карбонил-олеаноловой кислоты 17метил-β-D-глюкопиранозид (A193)

Соединение 2,3,4,6-O-тетрабензил-1-(пиридин-1-ил)сульфонил-β-D-тиоглюкопиранозид было заменено на 2,3,4,6-O-тетрабензил-1-(пиридин-1-ил)сульфонил- β-D-тиоглюкопиранозид и соединение (3S,5S,8R,9R,10S,14R,17R,18S)-28-O-бензил- 3-олеаноловой кислоты альдегид было заменено на (5S,8R,9R,10S,14R,17R,18S)- 3-карбонил-17-олеаноловой кислоты альдегид. Для получения соединения A193 использовали тот же способ получения с теми же требуемыми исходными материалами и реактивами, как описано в примере 10 (выход продукта 84 %). 1H-ЯМР (500 МГц, MeOD) δ 5,28 (синглет, 1H), 4,16 (синглет, 1H), 3,79 (дублет, J = 2,0 Гц, 2H), 3,46 (дублет дублетов, J = 20,4, 9,3 Гц, 2H), 3,38 (синглет, 1H), 3,35–3,31 (мультиплет, 1H), 3,23 (дублет, J = 9,5 Гц, 1H), 3,11 (дублет, J = 9,5 Гц, 1H), 2,88 (дублет дублетов, J = 13,5, 3,0 Гц, 1H), 2,03 (дублет дублетов, J = 13,5, 10,3 Гц, 1H), 1,93 (дублет, J = 7,1 Гц, 2H), 1,86–1,05 (мультиплет, 21H), 1,06–0,93 (мультиплет, 12H), 0,90–0,82 (мультиплет, 6H), 0,81 (дублет, J = 11,4 Гц, 1H). Масс-спектрометрия низкого разрешения (ИЭР): 587,42 [M+H]+.

Пример 194. (3S,5S,8R,9R,10S,14R,17R,18S)-Олеаноловой кислоты 17-(1'R)-(гидрокси)метил-β-D-глюкопиранозид (A194)

Соединение 2,3,4,6-O-тетрабензил-1-(пиридин-1-ил)сульфонил-β-D-тиоглюкопиранозид было заменено на 2,3,4,6-O-тетрабензил-1-(пиридин-1-ил)сульфонил- β-D-тиоглюкопиранозид и соединение (3S,5S,8R,9R,10S,14R,17R,18S)-28-O-бензил- 3-олеаноловой кислоты альдегид было заменено на (5S,8R,9R,10S,14R,17R,18S)- 3-гидрокси-17-олеаноловой кислоты альдегид. Для получения соединения A194 использовали тот же способ получения с теми же требуемыми исходными материалами и реактивами, как описано в примере 6 (выход продукта 79 %). 1H-ЯМР (500 МГц, MeOD) δ 5,28 (синглет, 1H), 4,16 (синглет, 1H), 3,79 (дублет, J = 2,0 Гц, 2H), 3,46 (дублет дублетов, J = 20,4, 9,3 Гц, 2H), 3,38 (синглет, 1H), 3,35–3,31 (мультиплет, 1H), 3,23 (дублет, J = 9,5 Гц, 1H), 3,11 (дублет, J = 9,5 Гц, 1H), 2,88 (дублет дублетов, J = 13,5, 3,0 Гц, 1H), 2,03 (дублет дублетов, J = 13,5, 10,3 Гц, 1H), 1,93 (дублет, J = 7,1 Гц, 2H), 1,86–1,05 (мультиплет, 21H), 1,06–0,93 (мультиплет, 1H), 0,90–0,82 (мультиплет, 6H), 0,81 (дублет, J = 11,4 Гц, 1H). Масс-спектрометрия низкого разрешения (ИЭР): 605,43 [M+H]+.

Пример 195. (5S,8R,9R,10S,14R,17R,18S)-3-Карбонил-олеаноловой кислоты 17-(1'R)-(гидрокси)метил-2'',3'',4'',6''-O-тетраацетил-β-D-глюкопиранозид (A195)

Соединение 2,3,4,6-O-тетрабензил-1-(пиридин-1-ил)сульфонил-β-D-тиоглюкопиранозид было заменено на 2,3,4,6-O-тетраацетил-1-(пиридин-1-ил)сульфонил- β-D-тиоглюкопиранозид и соединение (3S,5S,8R,9R,10S,14R,17R,18S)-28-O-бензил- 3-олеаноловой кислоты альдегид было заменено на (5S,8R,9R,10S,14R,17R,18S)- 3-карбонил-17-олеаноловой кислоты альдегид. Для получения соединения A195 использовали тот же способ получения с теми же требуемыми исходными материалами и реактивами, как описано в примере 6 (выход продукта 79 %). 1H-ЯМР (500 МГц, MeOD) δ 5,28 (синглет, 1H), 4,16 (синглет, 1H), 3,79 (дублет, J = 2,0 Гц, 2H), 3,46 (дублет дублетов, J = 20,4, 9,3 Гц, 2H), 3,38 (синглет, 1H), 3,35–3,31 (мультиплет, 1H), 3,23 (дублет, J = 9,5 Гц, 1H), 3,11 (дублет, J = 9,5 Гц, 1H), 2,88 (дублет дублетов, J = 13,5, 3,0 Гц, 1H), 2,03 (дублет дублетов, J = 13,5, 10,3 Гц, 1H), 1,93 (дублет, J = 7,1 Гц, 2H), 1,86–1,05 (мультиплет, 21H), 1,06–0,93 (мультиплет, 12H), 0,90–0,82 (мультиплет, 6H), 0,81 (дублет, J = 11,4 Гц, 1H). Масс-спектрометрия низкого разрешения (ИЭР): 771,46 [M+H]+.

Пример 196. (5S,8R,9R,10S,14R,17R,18S)-3-Карбонил-олеаноловой кислоты 17-метил-2'',3'',4'',6''-O-тетраацетил-β-D-глюкопиранозид (A196)

Соединение 2,3,4,6-O-тетрабензил-1-(пиридин-1-ил)сульфонил-β-D-тиоглюкопиранозид было заменено на 2,3,4,6-O-тетраацетил-1-(пиридин-1-ил)сульфонил-β-D- тиоглюкопиранозид и соединение (3S,5S,8R,9R,10S,14R,17R,18S)-28-O-бензил- 3-олеаноловой кислоты альдегид было заменено на (5S,8R,9R,10S,14R,17R,18S)- 3-карбонил-17-олеаноловой кислоты альдегид. Для получения соединения A196 использовали тот же способ получения с теми же требуемыми исходными материалами и реактивами, как описано в примере 10 (выход продукта 78 %). 1H-ЯМР (500 МГц, MeOD) δ 5,28 (синглет, 1H), 4,16 (синглет, 1H), 3,79 (дублет, J = 2,0 Гц, 2H), 3,46 (дублет дублетов, J = 20,4, 9,3 Гц, 2H), 3,38 (синглет, 1H), 3,35–3,31 (мультиплет, 1H), 3,23 (дублет, J = 9,5 Гц, 1H), 3,11 (дублет, J = 9,5 Гц, 1H), 2,88 (дублет дублетов, J = 13,5, 3,0 Гц, 1H), 2,03 (дублет дублетов, J = 13,5, 10,3 Гц, 1H), 1,93 (дублет, J = 7,1 Гц, 2H), 1,86–1,05 (мультиплет, 21H), 1,06–0,93 (мультиплет, 12H), 0,90–0,82 (мультиплет, 6H), 0,81 (дублет, J = 11,4 Гц, 1H). Масс-спектрометрия низкого разрешения (ИЭР): 755,47 [M+H]+.

Пример 197. (5S,8R,9R,10S,14R,17R,18S)-3-Карбонил-олеаноловой кислоты 17-(2'R)-(гидрокси)этил-β-D-глюкопиранозид (A197)

Соединение 2,3,4,6-O-тетрабензил-1-(пиридин-1-ил)сульфонил-β-D-тиоглюкопиранозид было заменено на 2,3,4,6-O-тетрабензил-1-(пиридин-1-ил)сульфонил-β-D- тиоглюкопиранозид и соединение (3S,5S,8R,9R,10S,14R,17R,18S)-28-O-бензил- 3-олеаноловой кислоты альдегид было заменено на (5S,8R,9R,10S,14R,17R,18S)- 3-карбонил-17-формилметил-олеаноловую кислоту. Для получения соединения A197 использовали тот же способ получения с теми же требуемыми исходными материалами и реактивами, как описано в примере 6 (выход продукта 75 %). 1H-ЯМР (500 МГц, MeOD) δ 5,28 (синглет, 1H), 4,16 (синглет, 1H), 3,79 (дублет, J = 2,0 Гц, 2H), 3,46 (дублет дублетов, J = 20,4, 9,3 Гц, 2H), 3,38 (синглет, 1H), 3,35–3,31 (мультиплет, 1H), 3,23 (дублет, J = 9,5 Гц, 1H), 3,11 (дублет, J = 9,5 Гц, 1H), 2,88 (дублет дублетов, J = 13,5, 3,0 Гц, 1H), 2,03 (дублет дублетов, J = 13,5, 10,3 Гц, 1H), 1,93 (дублет, J = 7,1 Гц, 2H), 1,86–1,05 (мультиплет, 21H), 1,06–0,93 (мультиплет, 12H), 0,90–0,82 (мультиплет, 6H), 0,81 (дублет, J = 11,4 Гц, 1H). Масс-спектрометрия низкого разрешения (ИЭР): 617,43[M+H]+.

Пример 198. (5S,8R,9R,10S,14R,17R,18S)-3-Карбонил-олеаноловой кислоты 17-(2'R)-(гидрокси)этил-2'',3'',4'',6''-O-тетраацетил-β-D-глюкопиранозид (A198)

Соединение 2,3,4,6-O-тетрабензил-1-(пиридин-1-ил)сульфонил-β-D-тиоглюкопиранозид было заменено на 2,3,4,6-O-тетраацетил-1-(пиридин-1-ил)сульфонил-β-D- тиоглюкопиранозид и соединение (3S,5S,8R,9R,10S,14R,17R,18S)-28-O-бензил- 3-олеаноловой кислоты альдегид было заменено на (5S,8R,9R,10S,14R,17R,18S)- 3-карбонил-17-формилметил-олеаноловую кислоту. Для получения соединения A198 использовали тот же способ получения с теми же требуемыми исходными материалами и реактивами, как описано в примере 6 (выход продукта 72 %). 1H-ЯМР (500 МГц, MeOD) δ 5,28 (синглет, 1H), 4,16 (синглет, 1H), 3,79 (дублет, J = 2,0 Гц, 2H), 3,46 (дублет дублетов, J = 20,4, 9,3 Гц, 2H), 3,38 (синглет, 1H), 3,35–3,31 (мультиплет, 1H), 3,23 (дублет, J = 9,5 Гц, 1H), 3,11 (дублет, J = 9,5 Гц, 1H), 2,88 (дублет дублетов, J = 13,5, 3,0 Гц, 1H), 2,03 (дублет дублетов, J = 13,5, 10,3 Гц, 1H), 1,93 (дублет, J = 7,1 Гц, 2H), 1,86–1,05 (мультиплет, 21H), 1,06–0,93 (мультиплет, 12H), 0,90–0,82 (мультиплет, 6H), 0,81 (дублет, J = 11,4 Гц, 1H). Масс-спектрометрия низкого разрешения (ИЭР): 785,48 [M+H]+.

Пример 199. (5S,8R,9R,10S,14R,17R,18S)-3-Карбонил-урсоловой кислоты 17-(2'R)-(гидрокси)этил-2'',3'',4'',6''-O-тетраацетил-β-D-глюкопиранозид (A199)

Соединение 2,3,4,6-O-тетрабензил-1-(пиридин-1-ил)сульфонил-β-D-тиоглюкопиранозид было заменено на 2,3,4,6-O-тетраацетил-1-(пиридин-1-ил)сульфонил-β-D- тиорамнопиранозид и соединение (3S,5S,8R,9R,10S,14R,17R,18S)-28-O-бензил- 3-олеаноловой кислоты альдегид было заменено на (5S,8R,9R,10S,14R,17R,18S)- 3-карбонил-17-формилметил-урсоловую кислоту. Для получения соединения A199 использовали тот же способ получения с теми же требуемыми исходными материалами и реактивами, как описано в примере 6 (выход продукта 79 %). 1H-ЯМР (500 МГц, MeOD) δ 5,28 (синглет, 1H), 4,16 (синглет, 1H), 3,79 (дублет, J = 2,0 Гц, 2H), 3,46 (дублет дублетов, J = 20,4, 9,3 Гц, 2H), 3,38 (синглет, 1H), 3,35–3,31 (мультиплет, 1H), 3,23 (дублет, J = 9,5 Гц, 1H), 3,11 (дублет, J = 9,5 Гц, 1H), 2,88 (дублет дублетов, J = 13,5, 3,0 Гц, 1H), 2,03 (дублет дублетов, J = 13,5, 10,3 Гц, 1H), 1,93 (дублет, J = 7,1 Гц, 2H), 1,86–1,05 (мультиплет, 21H), 1,06–0,93 (мультиплет, 12H), 0,90–0,82 (мультиплет, 6H), 0,81 (дублет, J = 11,4 Гц, 1H). Масс-спектрометрия низкого разрешения (ИЭР): 785,48 [M+H]+.

Пример 200. (5S,8R,9R,10S,14R,17R,18S)-3-Карбонил-бетулиновой кислоты 17-(2'R)-(гидрокси)этил-2'',3'',4'',6''-O-тетраацетил-β-D-глюкопиранозид (A200)

Соединение 2,3,4,6-O-тетрабензил-1-(пиридин-1-ил)сульфонил-β-D-тиоглюкопиранозид было заменено на 2,3,4,6-O-тетраацетил-1-(пиридин-1-ил)сульфонил-β-D- тиорамнопиранозид и соединение (3S,5S,8R,9R,10S,14R,17R,18S)-28-O-бензил- 3-олеаноловой кислоты альдегид было заменено на (5S,8R,9R,10S,14R,17R,18S)- 3-карбонил-17-формилметил-бетулиновую кислоту. Для получения соединения A200 использовали тот же способ получения с теми же требуемыми исходными материалами и реактивами, как описано в примере 6 (выход продукта 77 %). 1H-ЯМР (500 МГц, MeOD) δ 5,28 (синглет, 1H), 4,16 (синглет, 1H), 3,79 (дублет, J = 2,0 Гц, 2H), 3,46 (дублет дублетов, J = 20,4, 9,3 Гц, 2H), 3,38 (синглет, 1H), 3,35–3,31 (мультиплет, 1H), 3,23 (дублет, J = 9,5 Гц, 1H), 3,11 (дублет, J = 9,5 Гц, 1H), 2,88 (дублет дублетов, J = 13,5, 3,0 Гц, 1H), 2,03 (дублет дублетов, J = 13,5, 10,3 Гц, 1H), 1,93 (дублет, J = 7,1 Гц, 2H), 1,86–1,05 (мультиплет, 21H), 1,06–0,93 (мультиплет, 12H), 0,90–0,82 (мультиплет, 6H), 0,81 (дублет, J = 11,4 Гц, 1H). Масс-спектрометрия низкого разрешения (ИЭР): 785,48 [M+H]+.

Пример 201. (5S,8R,9R,10S,14R,17R,18S)-3-Карбонил-олеаноловой кислоты 28-β-D-глюкопиранозид (A201)

Соединение (3S,5S,8R,9R,10S,14R,17R,18S)-28-O-бензил-3-олеаноловой кислоты альдегид было заменено на (5S,8R,9R,10S,14R,17R,18S)-3-карбонил-17-формил- олеаноловую кислоту. Для получения соединения A201 использовали тот же способ получения с теми же требуемыми исходными материалами и реактивами, как описано в примере 10 (выход продукта 72 %). 1H-ЯМР (500 МГц, CDCl3) δ 5,48 (дублет, J = 5,9 Гц, 1H), 5,33 (триплет дублетов дублетов, J = 5,1, 1,8, 1,1 Гц, 1H), 5,07 (дублет, J = 5,7 Гц, 1H), 4,57 (дублет, J = 6,3 Гц, 1H), 4,44 (дублет дублетов, J = 8,8, 2,6 Гц, 1H), 4,19 (триплет, J = 4,5 Гц, 1H), 3,71–3,58 (мультиплет, 3H), 3,58 (дублет триплетов, J = 7,7, 3,5 Гц, 1H), 3,58–3,49 (мультиплет, 1H), 3,31 (дублет дублетов дублетов дублетов, J = 8,5, 7,8, 5,8, 1,8 Гц, 1H), 2,48 (дублет дублетов дублетов, J = 12,5, 6,5, 4,0 Гц, 1H), 2,40 (дублет дублетов дублетов, J = 12,5, 6,6, 4,0 Гц, 1H), 2,17 (триплет квартетов, J = 5,1, 1,0 Гц, 1H), 2,04 (дублет дублетов дублетов дублетов, J = 12,6, 6,4, 5,1, 1,0 Гц, 1H), 1,95–1,87 (мультиплет, 1H), 1,91–1,84 (мультиплет, 1H), 1,86–1,81 (мультиплет, 1H), 1,84–1,78 (мультиплет, 2H), 1,72–1,59 (мультиплет, 6H), 1,62–1,48 (мультиплет, 3H), 1,51–1,41 (мультиплет, 1H), 1,44–1,36 (мультиплет, 2H), 1,40–1,33 (мультиплет, 1H), 1,36–1,29 (мультиплет, 1H), 1,15 (синглет, 2H), 1,08 (триплет, J = 1,6 Гц, 5H), 0,99–0,92 (мультиплет, 6H), 0,93 (дублет, J = 6,6 Гц, 5H). Масс-спектрометрия низкого разрешения (ИЭР): 601,4 [M+H]+.

Пример 202. (5S,8R,9R,10S,14R,17R,18S)-3-Карбонил-урсоловой кислоты 28-β-D-глюкопиранозид (A202)

Соединение (3S,5S,8R,9R,10S,14R,17R,18S)-28-O-бензил-3-олеаноловой кислоты альдегид было заменено на (5S,8R,9R,10S,14R,17R,18S)-3-карбонил-17-формил- урсоловую кислоту. Для получения соединения A202 использовали тот же способ получения с теми же требуемыми исходными материалами и реактивами, как описано в примере 10 (выход продукта 72 %). 1H-ЯМР (500 МГц, CDCl3) δ 5,53–5,46 (мультиплет, 2H), 5,07 (дублет, J = 5,7 Гц, 1H), 4,57 (дублет, J = 6,3 Гц, 1H), 4,51 (дублет дублетов, J = 8,8, 2,6 Гц, 1H), 4,19 (триплет, J = 4,5 Гц, 1H), 3,71–3,58 (мультиплет, 3H), 3,58 (дублет триплетов, J = 7,7, 3,5 Гц, 1H), 3,58–3,49 (мультиплет, 1H), 3,31 (дублет дублетов дублетов дублетов, J = 8,4, 7,8, 5,8, 1,8 Гц, 1H), 2,48 (дублет дублетов дублетов, J = 12,5, 6,5, 4,0 Гц, 1H), 2,40 (дублет дублетов дублетов, J = 12,5, 6,6, 4,0 Гц, 1H), 2,28–2,22 (мультиплет, 1H), 2,06–1,91 (мультиплет, 2H), 1,89–1,78 (мультиплет, 4H), 1,77 (дублет дублетов дублетов, J = 12,5, 7,7, 5,2 Гц, 1H), 1,73–1,57 (мультиплет, 5H), 1,60–1,54 (мультиплет, 1H), 1,57–1,51 (мультиплет, 1H), 1,48–1,41 (мультиплет, 1H), 1,44–1,38 (мультиплет, 2H), 1,41–1,35 (мультиплет, 1H), 1,35 (дублет триплетов дублетов, J = 6,5, 3,2, 1,6 Гц, 1H), 1,34–1,25 (мультиплет, 1H), 1,20 (синглет, 2H), 1,08 (триплет, J = 1,6 Гц, 5H), 0,99–0,90 (мультиплет, 9H), 0,91 (дублет, J = 2,0 Гц, 2H). Масс-спектрометрия низкого разрешения (ИЭР): 601,4 [M+H]+.

Пример 203. (5S,8R,9R,10S,14R,17R,18S)-3-Карбонил-урсоловой кислоты 17-(1'R)-(гидрокси)метил-β-D-глюкопиранозид (A203)

Соединение (3S,5S,8R,9R,10S,14R,17R,18S)-28-O-бензил-3-олеаноловой кислоты альдегид было заменено на (5S,8R,9R,10S,14R,17R,18S)-3-карбонил-17-формил- урсоловую кислоту. Для получения соединения A203 использовали тот же способ получения с теми же требуемыми исходными материалами и реактивами, как описано в примере 2 (выход продукта 64 %). 1H-ЯМР (500 МГц,CDCl3) δ 5,47 (триплет дублетов дублетов, J = 4,9, 1,7, 1,0 Гц, 1H), 4,95 (дублет, J = 5,3 Гц, 1H), 4,81 (дублет дублетов, J = 11,0, 5,7 Гц, 2H), 4,61 (дублет, J = 6,2 Гц, 1H), 4,20 (триплет, J = 4,5 Гц, 1H), 4,00–3,88 (мультиплет, 2H), 3,72 (дублет дублетов дублетов дублетов, J = 8,8, 7,9, 6,1, 2,8 Гц, 1H), 3,70–3,65 (мультиплет, 1H), 3,68–3,55 (мультиплет, 4H), 2,48 (дублет дублетов дублетов, J = 12,5, 6,5, 4,0 Гц, 1H), 2,40 (дублет дублетов дублетов, J = 12,5, 6,6, 4,0 Гц, 1H), 2,06–1,86 (мультиплет, 4H), 1,84 (дублет дублетов дублетов, J = 6,6, 2,9, 1,5 Гц, 1H), 1,84–1,78 (мультиплет, 1H), 1,71–1,64 (мультиплет, 1H), 1,65 (дублет дублетов, J = 3,9, 1,6 Гц, 1H), 1,66–1,54 (мультиплет, 4H), 1,57–1,51 (мультиплет, 1H), 1,54–1,44 (мультиплет, 1H), 1,47–1,39 (мультиплет, 2H), 1,42–1,35 (мультиплет, 3H), 1,37–1,32 (мультиплет, 1H), 1,35–1,25 (мультиплет, 1H), 1,11–1,05 (мультиплет, 8H), 0,99–0,88 (мультиплет, 11H). Масс-спектрометрия низкого разрешения (ИЭР): 603,4 [M+H]+.

Пример 204. (3S,5S,8R,9R,10S,14R,17R,18S)-Урсоловой кислоты 17-(1'R)-(гидрокси) метил-β-D-глюкопиранозид (A204)

Соединение (3S,5S,8R,9R,10S,14R,17R,18S)-28-O-бензил-3-олеаноловой кислоты альдегид было заменено на (3S,5S,8R,9R,10S,14R,17R,18S)-17-формил-урсоловую кислоту. Для получения соединения A204 использовали тот же способ получения с теми же требуемыми исходными материалами и реактивами, как описано в примере 2 (выход продукта 50 %). 1H-ЯМР (500 МГц, CDCl3) δ 5,47 (триплет дублетов дублетов, J = 4,9, 1,7, 1,0 Гц, 1H), 4,95 (дублет, J = 5,3 Гц, 1H), 4,81 (дублет дублетов, J = 11,0, 5,7 Гц, 2H), 4,61 (дублет, J = 6,2 Гц, 1H), 4,20 (триплет, J = 4,5 Гц, 1H), 4,00–3,88 (мультиплет, 2H), 3,76–3,55 (мультиплет, 6H), 3,31–3,23 (мультиплет, 1H), 3,00 (дублет, J = 10,8 Гц, 1H), 2,01–1,86 (мультиплет, 4H), 1,74–1,25 (мультиплет, 19H), 1,09 (синглет, 2H), 0,97 (дублет, J = 1,5 Гц, 3H), 0,95–0,90 (мультиплет, 9H), 0,93–0,87 (мультиплет, 6H). Масс-спектрометрия низкого разрешения (ИЭР): 605,4 [M+H]+.

Пример 205. (3S,5S,8R,9R,10S,14R,17R,18S)-Урсоловой кислоты 28-β-D-глюкопиранозид (A205)

Соединение (3S,5S,8R,9R,10S,14R,17R,18S)-28-O-бензил-3-олеаноловой кислоты альдегид было заменено на (3S,5S,8R,9R,10S,14R,17R,18S)-17-формил-урсоловую кислоту. Для получения соединения A205 использовали тот же способ получения с теми же требуемыми исходными материалами и реактивами, как описано в примере 10 (выход продукта 50 %). 1H-ЯМР (500 МГц, CDCl3) δ 5,53–5,46 (мультиплет, 2H), 5,07 (дублет, J = 5,7 Гц, 1H), 4,57 (дублет, J = 6,3 Гц, 1H), 4,51 (дублет дублетов, J = 8,8, 2,6 Гц, 1H), 4,19 (триплет, J = 4,5 Гц, 1H), 3,71–3,49 (мультиплет, 5H), 3,36–3,23 (мультиплет, 2H), 3,00 (дублет, J = 10,8 Гц, 1H), 2,28–2,22 (мультиплет, 1H), 2,01–1,93 (мультиплет, 1H), 1,89–1,24 (мультиплет, 20H), 1,20 (синглет, 2H), 0,99–0,87 (мультиплет, 16H). Масс-спектрометрия низкого разрешения (ИЭР): 603,4 [M+H]+.

Пример 206. (3S,5S,8R,9R,10S,14R,17R,18S)-Олеаноловой кислоты 28-β-D-глюкопиранозид (A206)

Соединение (3S,5S,8R,9R,10S,14R,17R,18S)-28-O-бензил-3-олеаноловой кислоты альдегид было заменено на (3S,5S,8R,9R,10S,14R,17R,18S)-17-формил-олеаноловую кислоту. Для получения соединения A206 использовали тот же способ получения с теми же требуемыми исходными материалами и реактивами, как описано в примере 10 (выход продукта 50 %). 1H-ЯМР (500 МГц, CDCl3) δ 5,48 (дублет, J = 5,9 Гц, 1H), 5,33 (триплет дублетов дублетов, J = 5,1, 1,8, 1,1 Гц, 1H), 5,07 (дублет, J = 5,7 Гц, 1H), 4,57 (дублет, J = 6,3 Гц, 1H), 4,44 (дублет дублетов, J = 8,8, 2,6 Гц, 1H), 4,19 (триплет, J = 4,5 Гц, 1H), 3,71–3,58 (мультиплет, 3H), 3,58 (дублет триплетов, J = 7,7, 3,5 Гц, 1H), 3,58–3,49 (мультиплет, 1H), 3,36–3,23 (мультиплет, 2H), 3,00 (дублет, J = 10,8 Гц, 1H), 2,17 (триплет квартетов, J = 5,1, 1,0 Гц, 1H), 2,05 (дублет дублетов дублетов дублетов, J = 12,5, 6,2, 5,1, 1,0 Гц, 1H), 1,96–1,78 (мультиплет, 3H), 1,74–1,39 (мультиплет, 15H), 1,42–1,27 (мультиплет, 4H), 1,15 (синглет, 2H), 0,99–0,87 (мультиплет, 17H). Масс-спектрометрия низкого разрешения (ИЭР): 603,4 [M+H]+.

Пример 207. (3S,5S,8R,9R,10S,13R,14R,17S,18R,19R)-Бетулиновой кислоты 28-β-D-глюкопиранозид (A207)

Соединение (3S,5S,8R,9R,10S,14R,17R,18S)-28-O-бензил-3-олеаноловой кислоты альдегид было заменено на (3S,5S,8R,9R,10S,14R,17R,18S)-17-формил-бетулиновую кислоту. Для получения соединения A207 использовали тот же способ получения с теми же требуемыми исходными материалами и реактивами, как описано в примере 10 (выход продукта 55 %). 1H-ЯМР (500 МГц, CDCl3) δ 5,48 (дублет, J = 5,9 Гц, 1H), 5,07 (дублет, J = 5,7 Гц, 1H), 4,83 (гексаплет, J = 1,6 Гц, 1H), 4,67 (гексаплет, J = 1,5 Гц, 1H), 4,57 (дублет, J = 6,3 Гц, 1H), 4,47 (дублет дублетов, J = 8,8, 2,5 Гц, 1H), 4,19 (триплет, J = 4,5 Гц, 1H), 3,72–3,49 (мультиплет, 5H), 3,36–3,23 (мультиплет, 2H), 3,04–2,96 (мультиплет, 2H), 1,82–1,48 (мультиплет, 22H), 1,51–1,47 (мультиплет, 1H), 1,50–1,43 (мультиплет, 1H), 1,45–1,35 (мультиплет, 1H), 1,31 (дублет дублетов квартетов, J = 6,8, 4,0, 1,5 Гц, 1H), 1,18 (дублет дублетов пентетов, J = 7,4, 4,4, 1,5 Гц, 1H), 0,99–0,91 (мультиплет, 11H), 0,82 (триплет, J = 1,5 Гц, 3H). Масс-спектрометрия низкого разрешения (ИЭР): 603,4 [M+H]+.

Пример 208. (3S,5S,8R,9R,10S,13R,14R,17S,18R,19R)-Бетулиновой кислоты 17-(1'R)-(гидрокси)метил-β-D-глюкопиранозид (A208)

Соединение (3S,5S,8R,9R,10S,14R,17R,18S)-28-O-бензил-3-олеаноловой кислоты альдегид было заменено на (3S,5S,8R,9R,10S,14R,17R,18S)-17-формил-бетулиновую кислоту. Для получения соединения A208 использовали тот же способ получения с теми же требуемыми исходными материалами и реактивами, как описано в примере 2 (выход продукта 56 %). 1H-ЯМР (500 МГц, CDCl3) δ 4,95 (дублет, J = 5,1 Гц, 1H), 4,84–4,79 (мультиплет, 2H), 4,69 (дублет, J = 5,3 Гц, 1H), 4,65 (гексаплет, J = 1,6 Гц, 1H), 4,61 (дублет, J = 6,2 Гц, 1H), 4,20 (триплет, J = 4,5 Гц, 1H), 3,93 (дублет дублетов дублетов дублетов, J = 8,6, 7,6, 5,9, 1,8 Гц, 1H), 3,85 (дублет дублетов дублетов, J = 7,7, 5,1, 2,8 Гц, 1H), 3,72 (дублет дублетов дублетов дублетов, J = 8,8, 7,5, 6,0, 2,9 Гц, 1H), 3,71–3,64 (мультиплет, 1H), 3,68–3,61 (мультиплет, 2H), 3,64–3,58 (мультиплет, 1H), 3,57 (дублет дублетов дублетов, J = 12,3, 4,6, 3,3 Гц, 1H), 3,31–3,23 (мультиплет, 1H), 2,18–2,09 (мультиплет, 1H), 1,76–1,27 (мультиплет, 25H), 1,18 (дублет дублетов пентетов, J = 7,4, 4,4, 1,5 Гц, 1H), 0,99–0,90 (мультиплет, 11H), 0,82 (триплет, J = 1,5 Гц, 3H). Масс-спектрометрия низкого разрешения (ИЭР): 605,4 [M+H]+.

Пример 209. (5S,8R,9R,10S,13R,14R,17S,18R,19R)-3-Карбонил-бетулиновой кислоты 17-(1'R)-(гидрокси)метил-β-D-глюкопиранозид (A209)

Соединение (3S,5S,8R,9R,10S,14R,17R,18S)-28-O-бензил-3-олеаноловой кислоты альдегид было заменено на (5S,8R,9R,10S,14R,17R,18S)-3-карбонил-17-формил- бетулиновую кислоту. Для получения соединения A209 использовали тот же способ получения с теми же требуемыми исходными материалами и реактивами, как описано в примере 2 (выход продукта 60 %). 1H-ЯМР (500 МГц, CDCl3) δ 4,84–4,79 (мультиплет, 1H), 4,71–4,59 (мультиплет, 1H), 3,76–3,53 (мультиплет, 2H), 2,53–2,41 (мультиплет, 1H), 1,86–1,76 (мультиплет, 1H), 1,73 (квартет, J = 1,4 Гц, 1H), 1,63–1,28 (мультиплет, 7H), 1,13–1,05 (мультиплет, 2H), 0,97 (дублет, J = 1,5 Гц, 1H), 0,92 (дублет, J = 1,5 Гц, 1H), 0,85 (триплет, J = 1,4 Гц, 1H). Масс-спектрометрия низкого разрешения (ИЭР): 603,4 [M+H]+.

Пример 210. (5S,8R,9R,10S,13R,14R,17S,18R,19R)-3-Карбонил-бетулиновой кислоты 28-β-D-глюкопиранозид (A210)

Соединение (3S,5S,8R,9R,10S,14R,17R,18S)-28-O-бензил-3-олеаноловой кислоты альдегид было заменено на (5S,8R,9R,10S,14R,17R,18S)-3-карбонил-17-формил- бетулиновую кислоту. Для получения соединения A210 использовали тот же способ получения с теми же требуемыми исходными материалами и реактивами, как описано в примере 10 (выход продукта 51 %). 1H-ЯМР (500 МГц, CDCl3) δ 5,48 (дублет, J = 5,9 Гц, 1H), 5,07 (дублет, J = 5,7 Гц, 1H), 4,83 (гексаплет, J = 1,6 Гц, 1H), 4,67 (гексаплет, J = 1,5 Гц, 1H), 4,57 (дублет, J = 6,3 Гц, 1H), 4,47 (дублет дублетов, J = 8,8, 2,5 Гц, 1H), 4,19 (триплет, J = 4,5 Гц, 1H), 3,72–3,49 (мультиплет, 5H), 3,31 (дублет дублетов дублетов дублетов, J = 8,4, 7,7, 5,8, 1,8 Гц, 1H), 3,00 (дублет дублетов дублетов триплетов, J = 10,3, 5,0, 3,3, 1,6 Гц, 1H), 2,53–2,41 (мультиплет, 2H), 1,86–1,59 (мультиплет, 11H), 1,62–1,57 (мультиплет, 1H), 1,59–1,53 (мультиплет, 2H), 1,51 (дублет дублетов дублетов дублетов дублетов, J = 12,4, 7,7, 6,5, 2,6, 1,4 Гц, 7H), 1,50–1,40 (мультиплет, 3H), 1,44–1,34 (мультиплет, 2H), 1,13–1,05 (мультиплет, 7H), 0,96 (дублет дублетов, J = 12,7, 1,5 Гц, 6H), 0,85 (триплет, J = 1,4 Гц, 3H). Масс-спектрометрия низкого разрешения (ИЭР): 601,4 [M+H]+.

Пример 211. (5S,8R,9R,10S,13R,14R,17S,18R,19R)-3-Карбонил-бетулиновой кислоты 17-метил-β-D-глюкопиранозид (A211)

Соединение (3S,5S,8R,9R,10S,14R,17R,18S)-28-O-бензил-3-олеаноловой кислоты альдегид было заменено на (5S,8R,9R,10S,14R,17R,18S)-3-карбонил-17-формил- бетулиновую кислоту. Для получения соединения A211 использовали тот же способ получения с теми же требуемыми исходными материалами и реактивами, как описано в примере 6 (выход продукта 61 %). 1H-ЯМР (500 МГц, CDCl3) δ 4,85 (дублет, J = 5,9 Гц, 1H), 4,83–4,78 (мультиплет, 2H), 4,65 (гексаплет, J = 1,5 Гц, 1H), 4,61 (дублет, J = 6,4 Гц, 1H), 4,23–4,16 (мультиплет, 1H), 3,88 (дублет дублетов триплетов дублетов, J = 32,6, 9,0, 7,5, 2,1 Гц, 2H), 3,73 (дублет дублетов дублетов дублетов, J = 8,8, 7,7, 6,2, 2,2 Гц, 1H), 3,70–3,63 (мультиплет, 2H), 3,60–3,51 (мультиплет, 2H), 2,53–2,41 (мультиплет, 2H), 2,23 (дублет триплетов квартетов, J = 7,0, 5,3, 1,7 Гц, 1H), 1,96 (дублет дублетов, J = 13,8, 7,2 Гц, 1H), 1,83 (дублет дублетов дублетов, J = 5,7, 2,8, 1,4 Гц, 1H), 1,83–1,76 (мультиплет, 1H), 1,73 (квартет, J = 1,5 Гц, 3H), 1,70–1,60 (мультиплет, 1H), 1,63–1,57 (мультиплет, 1H), 1,59–1,54 (мультиплет, 1H), 1,57–1,44 (мультиплет, 10H), 1,47–1,42 (мультиплет, 1H), 1,44–1,37 (мультиплет, 3H), 1,40–1,33 (мультиплет, 1H), 1,21 (дублет дублетов, J = 6,9, 5,6 Гц, 1H), 1,13–1,05 (мультиплет, 7H), 0,97 (дублет, J = 1,5 Гц, 3H), 0,92 (дублет, J = 1,3 Гц, 3H), 0,85 (триплет, J = 1,5 Гц, 3H). Масс-спектрометрия низкого разрешения (ИЭР): 587,4 [M+H]+.

Пример 212. (5S,8R,9R,10S,14R,17R,18S)-3-Карбонил-урсоловой кислоты 17-метил-β-D-глюкопиранозид (A212)

Соединение (3S,5S,8R,9R,10S,14R,17R,18S)-28-O-бензил-3-олеаноловой кислоты альдегид было заменено на (5S,8R,9R,10S,14R,17R,18S)-3-карбонил-17-формил- урсоловую кислоту. Для получения соединения A212 использовали тот же способ получения с теми же требуемыми исходными материалами и реактивами, как описано в примере 6 (выход продукта 57 %). 1H-ЯМР (500 МГц, CDCl3) δ 5,45 (триплет дублетов дублетов, J = 4,9, 1,8, 1,1 Гц, 1H), 4,85 (дублет, J = 5,9 Гц, 1H), 4,80 (дублет, J = 5,7 Гц, 1H), 4,61 (дублет, J = 6,4 Гц, 1H), 4,23–4,17 (мультиплет, 1H), 3,96–3,88 (мультиплет, 1H), 3,84 (дублет триплетов дублетов, J = 9,3, 7,0, 2,3 Гц, 1H), 3,73 (дублет дублетов дублетов дублетов, J = 8,9, 7,9, 6,3, 2,3 Гц, 1H), 3,70–3,62 (мультиплет, 2H), 3,62–3,51 (мультиплет, 2H), 2,48 (дублет дублетов дублетов, J = 12,5, 6,5, 4,0 Гц, 1H), 2,40 (дублет дублетов дублетов, J = 12,5, 6,6, 4,0 Гц, 1H), 2,07–2,01 (мультиплет, 1H), 2,04–1,98 (мультиплет, 1H), 1,96 (дублет дублетов дублетов дублетов, J = 12,5, 6,3, 4,9, 1,0 Гц, 1H), 1,84 (дублет дублетов дублетов, J = 6,6, 2,9, 1,5 Гц, 1H), 1,84–1,78 (мультиплет, 1H), 1,80–1,70 (мультиплет, 3H), 1,70–1,20 (мультиплет, 15H), 1,11–1,05 (мультиплет, 9H), 0,97 (дублет, J = 1,5 Гц, 3H), 0,95–0,86 (мультиплет, 9H). Масс-спектрометрия низкого разрешения (ИЭР): 587,4 [M+H]+.

Пример 213. (3S,5S,8R,9R,10S,14R,17R,18S)-Олеаноловой кислоты 17-метил-β-D-глюкопиранозид (A213)

Соединение (3S,5S,8R,9R,10S,14R,17R,18S)-28-O-бензил-3-олеаноловой кислоты альдегид было заменено на (3S,5S,8R,9R,10S,14R,17R,18S)-17-формил-олеаноловую кислоту. Для получения соединения A213 использовали тот же способ получения с теми же требуемыми исходными материалами и реактивами, как описано в примере 6 (выход продукта 56 %). 1H-ЯМР (500 МГц, CDCl3) δ 5,26 (триплет дублетов дублетов, J = 5,3, 1,8, 1,0 Гц, 1H), 4,85 (дублет, J = 5,9 Гц, 1H), 4,80 (дублет, J = 5,7 Гц, 1H), 4,61 (дублет, J = 6,4 Гц, 1H), 4,23–4,17 (мультиплет, 1H), 3,96–3,87 (мультиплет, 1H), 3,84–3,70 (мультиплет, 2H), 3,70–3,62 (мультиплет, 2H), 3,62–3,51 (мультиплет, 2H), 3,31–3,23 (мультиплет, 1H), 3,00 (дублет, J = 10,8 Гц, 1H), 2,68 (триплет квартетов, J = 4,8, 1,0 Гц, 1H), 2,03 (дублет дублетов, J = 14,0, 6,7 Гц, 1H), 1,85 (дублет дублетов дублетов дублетов, J = 12,7, 6,4, 5,2, 1,0 Гц, 1H), 1,76 (дублет дублетов дублетов дублетов, J = 12,5, 6,4, 5,1, 1,0 Гц, 1H), 1,74–1,20 (мультиплет, 22H), 1,09 (синглет, 2H), 0,99–0,87 (мультиплет, 17H). Масс-спектрометрия низкого разрешения (ИЭР): 589,4 [M+H]+.

Пример 214. (3S,5S,8R,9R,10S,14R,17R,18S)-3-Карбонил-урсоловой кислоты 17-метил-β-D-глюкопиранозид (A214)

Соединение (3S,5S,8R,9R,10S,14R,17R,18S)-28-O-бензил-3-олеаноловой кислоты альдегид было заменено на (3S,5S,8R,9R,10S,14R,17R,18S)-17-формил-урсоловую кислоту. Для получения соединения A214 использовали тот же способ получения с теми же требуемыми исходными материалами и реактивами, как описано в примере 6 (выход продукта 56 %). 1H-ЯМР (500 МГц, CDCl3) δ 5,45 (триплет дублетов дублетов, J = 5,0, 1,8, 1,1 Гц, 1H), 4,85 (дублет, J = 5,9 Гц, 1H), 4,80 (дублет, J = 5,7 Гц, 1H), 4,61 (дублет, J = 6,4 Гц, 1H), 4,23–4,17 (мультиплет, 1H), 3,96–3,88 (мультиплет, 1H), 3,84 (дублет триплетов дублетов, J = 9,3, 7,0, 2,3 Гц, 1H), 3,73 (дублет дублетов дублетов дублетов, J = 8,9, 7,9, 6,3, 2,3 Гц, 1H), 3,70–3,62 (мультиплет, 2H), 3,62–3,51 (мультиплет, 2H), 3,31–3,23 (мультиплет, 1H), 3,00 (дублет, J = 10,8 Гц, 1H), 2,03 (дублет дублетов, J = 13,9, 7,0 Гц, 1H), 2,00–1,91 (мультиплет, 2H), 1,80–1,20 (мультиплет, 23H), 1,09 (синглет, 2H), 0,97 (дублет, J = 1,5 Гц, 3H), 0,95–0,86 (мультиплет, 14H). Масс-спектрометрия низкого разрешения (ИЭР): 589,4 [M+H]+.

Пример 215. (3S,5S,8R,9R,10S,13R,14R,17S,18R,19R)-Бетулиновой кислоты 17-метил-β-D-глюкопиранозид (A215)

Соединение (3S,5S,8R,9R,10S,14R,17R,18S)-28-O-бензил-3-олеаноловой кислоты альдегид было заменено на (3S,5S,8R,9R,10S,14R,17R,18S)-17-формил-бетулиновую кислоту. Для получения соединения A215 использовали тот же способ получения с теми же требуемыми исходными материалами и реактивами, как описано в примере 6 (выход продукта 48 %). 1H-ЯМР (500 МГц, CDCl3) δ 4,85 (дублет, J = 5,9 Гц, 1H), 4,83–4,78 (мультиплет, 2H), 4,65 (гексаплет, J = 1,5 Гц, 1H), 4,61 (дублет, J = 6,4 Гц, 1H), 4,23–4,16 (мультиплет, 1H), 3,88 (дублет дублетов триплетов дублетов, J = 32,6, 9,0, 7,5, 2,1 Гц, 2H), 3,73 (дублет дублетов дублетов дублетов, J = 8,8, 7,7, 6,2, 2,2 Гц, 1H), 3,70–3,63 (мультиплет, 2H), 3,60–3,51 (мультиплет, 2H), 3,31–3,23 (мультиплет, 1H), 3,00 (дублет, J = 10,8 Гц, 1H), 2,23 (дублет триплетов квартетов, J = 7,0, 5,3, 1,7 Гц, 1H), 1,96 (дублет дублетов, J = 13,8, 7,2 Гц, 1H), 1,76–1,33 (мультиплет, 24H), 1,31 (дублет дублетов квартетов, J = 6,8, 4,1, 1,5 Гц, 1H), 1,24–1,15 (мультиплет, 2H), 0,99–0,91 (мультиплет, 11H), 0,82 (триплет, J = 1,5 Гц, 3H). Масс-спектрометрия низкого разрешения (ИЭР): 589,4 [M+H]+.

Пример 216. (3R,5S,8R,9R,10S,14R,17R,18S)-Олеаноловой кислоты 28-β-D-глюкопиранозид (A216)

Соединение (3S,5S,8R,9R,10S,14R,17R,18S)-28-O-бензил-3-олеаноловой кислоты альдегид было заменено на (3R,5S,8R,9R,10S,14R,17R,18S)-17-формил-олеаноловую кислоту. Для получения соединения A216 использовали тот же способ получения с теми же требуемыми исходными материалами и реактивами, как описано в примере 10 (выход продукта 55 %). 1H-ЯМР (500 МГц, CDCl3) δ 5,48 (дублет, J = 5,9 Гц, 1H), 5,33 (триплет дублетов дублетов, J = 5,1, 1,8, 1,1 Гц, 1H), 5,07 (дублет, J = 5,7 Гц, 1H), 4,57 (дублет, J = 6,2 Гц, 1H), 4,44 (дублет дублетов, J = 8,8, 2,6 Гц, 1H), 4,19 (триплет, J = 4,5 Гц, 1H), 3,67 (дублет дублетов дублетов, J = 10,9, 3,9, 2,8 Гц, 1H), 3,67–3,61 (мультиплет, 1H), 3,64–3,49 (мультиплет, 3H), 3,36–3,25 (мультиплет, 2H), 3,00 (дублет, J = 10,8 Гц, 1H), 2,17 (триплет квартетов, J = 5,1, 1,0 Гц, 1H), 2,05 (дублет дублетов дублетов дублетов, J = 12,5, 6,2, 5,1, 1,0 Гц, 1H), 1,96–1,79 (мультиплет, 3H), 1,79–1,40 (мультиплет, 15H), 1,43–1,27 (мультиплет, 4H), 1,15 (синглет, 2H), 0,99–0,88 (мультиплет, 17H). Масс-спектрометрия низкого разрешения (ИЭР): 603,4 [M+H]+.

Пример 217. (3R,5S,8R,9R,10S,14R,17R,18S)-Олеаноловой кислоты 17-(1'R)-(гидрокси)метил-β-D-глюкопиранозид (A217)

Соединение (3S,5S,8R,9R,10S,14R,17R,18S)-28-O-бензил-3-олеаноловой кислоты альдегид было заменено на (3R,5S,8R,9R,10S,14R,17R,18S)-17-формил-олеаноловую кислоту. Для получения соединения A217 использовали тот же способ получения с теми же требуемыми исходными материалами и реактивами, как описано в примере 2 (выход продукта 55 %). 1H-ЯМР (500 МГц, CDCl3) δ 5,24 (триплет дублетов дублетов, J = 5,1, 1,8, 1,0 Гц, 1H), 4,95 (дублет, J = 5,2 Гц, 1H), 4,82 (дублет, J = 5,9 Гц, 1H), 4,71 (дублет, J = 5,7 Гц, 1H), 4,61 (дублет, J = 6,2 Гц, 1H), 4,20 (триплет, J = 4,5 Гц, 1H), 3,98–3,88 (мультиплет, 2H), 3,76–3,55 (мультиплет, 6H), 3,29 (дублет дублетов дублетов, J = 10,8, 7,4, 4,7 Гц, 1H), 3,00 (дублет, J = 10,8 Гц, 1H), 2,23 (триплет квартетов, J = 4,6, 1,1 Гц, 1H), 1,95–1,81 (мультиплет, 2H), 1,80–1,74 (мультиплет, 1H), 1,77–1,72 (мультиплет, 1H), 1,74–1,67 (мультиплет, 2H), 1,70–1,61 (мультиплет, 1H), 1,63–1,55 (мультиплет, 1H), 1,58–1,52 (мультиплет, 2H), 1,55–1,49 (мультиплет, 2H), 1,50 (дублет дублетов, J = 5,3, 1,6 Гц, 2H), 1,49–1,44 (мультиплет, 3H), 1,47–1,40 (мультиплет, 1H), 1,44–1,26 (мультиплет, 4H), 1,10 (синглет, 2H), 0,99–0,88 (мультиплет, 17H). Масс-спектрометрия низкого разрешения (ИЭР): 605,4 [M+H]+

Пример 218. (3R,5S,8R,9R,10S,14R,17R,18S)-Урсоловой кислоты 17-(1'R)-(гидрокси)метил-β-D-глюкопиранозид (A218)

Соединение (3S,5S,8R,9R,10S,14R,17R,18S)-28-O-бензил-3-олеаноловой кислоты альдегид было заменено на (3R,5S,8R,9R,10S,14R,17R,18S)-17-формил-олеаноловую кислоту. Для получения соединения A218 использовали тот же способ получения с теми же требуемыми исходными материалами и реактивами, как описано в примере 2 (выход продукта 56 %). 1H-ЯМР (500 МГц, CDCl3) δ 5,47 (триплет дублетов дублетов, J = 4,9, 1,7, 1,0 Гц, 1H), 4,95 (дублет, J = 5,3 Гц, 1H), 4,81 (дублет дублетов, J = 11,0, 5,7 Гц, 2H), 4,61 (дублет, J = 6,2 Гц, 1H), 4,20 (триплет, J = 4,5 Гц, 1H), 3,96 (дублет дублетов дублетов, J = 10,2, 5,1, 2,3 Гц, 1H), 3,94–3,87 (мультиплет, 1H), 3,76–3,50 (мультиплет, 7H), 3,29 (дублет дублетов дублетов, J = 10,8, 7,4, 4,7 Гц, 1H), 3,00 (дублет, J = 10,8 Гц, 1H), 2,06–1,24 (мультиплет, 25H), 1,09 (синглет, 2H), 0,97 (дублет, J = 1,5 Гц, 3H), 0,95 (дублет, J = 1,5 Гц, 3H), 0,93 (дублет, J = 1,5 Гц, 3H), 0,93–0,89 (мультиплет, 10H). Масс-спектрометрия низкого разрешения (ИЭР): 605,4 [M+H]+

Пример 219. (3R,5S,8R,9R,10S,14R,17R,18S)-Урсоловой кислоты 28-β-D-глюкопиранозид (A219)

Соединение (3S,5S,8R,9R,10S,14R,17R,18S)-28-O-бензил-3-олеаноловой кислоты альдегид было заменено на (3R,5S,8R,9R,10S,14R,17R,18S)-17-формил-урсоловую кислоту. Для получения соединения A219 использовали тот же способ получения с теми же требуемыми исходными материалами и реактивами, как описано в примере 10 (выход продукта 56 %). 1H-ЯМР (500 МГц, CDCl3) δ 5,53–5,46 (мультиплет, 2H), 5,07 (дублет, J = 5,7 Гц, 1H), 4,57 (дублет, J = 6,3 Гц, 1H), 4,51 (дублет дублетов, J = 8,8, 2,6 Гц, 1H), 4,19 (триплет, J = 4,5 Гц, 1H), 3,71–3,58 (мультиплет, 3H), 3,58 (дублет триплетов, J = 7,7, 3,5 Гц, 1H), 3,58–3,49 (мультиплет, 1H), 3,36–3,25 (мультиплет, 2H), 3,00 (дублет, J = 10,8 Гц, 1H), 2,28–2,22 (мультиплет, 1H), 2,01–1,93 (мультиплет, 1H), 1,89–1,24 (мультиплет, 21H), 1,20 (синглет, 2H), 0,99–0,93 (мультиплет, 4H), 0,96–0,90 (мультиплет, 8H), 0,91 (синглет, 2H), 0,91 (дублет, J = 5,7 Гц, 1H), 0,90 (дублет, J = 1,5 Гц, 2H). Масс-спектрометрия низкого разрешения (ИЭР): 603,4 [M+H]+

Пример 220. (5S,8R,9R,10S,14R,17R,18S)-3-Карбонил-олеаноловой кислоты 28-6''-O-метил-β-D-глюкуронопиранозид

Соединение 2,3,4,6-O-тетрабензил-1-(пиридин-1-ил)сульфонил-β-D-тиоглюкопиранозид было заменено на 2,3,4-O-трибензил-1-(пиридин-1-ил)сульфонил- 6-метокси-β-D-тиоглюкуронопиранозид. Соединение (3S,5S,8R,9R,10S,14R,17R,18S)- 28-O-бензил-3-олеаноловой кислоты альдегид было заменено на (5S,8R,9R,10S,14R,17R,18S)-3-карбонил-17-формил-олеаноловую кислоту. Для получения соединения A220 использовали тот же способ получения с теми же требуемыми исходными материалами и реактивами, как описано в примере 10 (выход продукта 58 %). 1H-ЯМР (500 МГц, CDCl3) δ 5,42 (дублет, J = 5,8 Гц, 1H), 5,33 (триплет дублетов дублетов, J = 5,1, 1,8, 1,1 Гц, 1H), 4,89 (дублет, J = 6,4 Гц, 1H), 4,77 (дублет, J = 6,3 Гц, 1H), 4,50 (дублет дублетов, J = 8,7, 2,7 Гц, 1H), 4,39 (дублет, J = 7,9 Гц, 1H), 3,89–3,80 (мультиплет, 1H), 3,73 (синглет, 2H), 3,71–3,57 (мультиплет, 2H), 2,48 (дублет дублетов дублетов, J = 12,4, 6,5, 4,0 Гц, 1H), 2,40 (дублет дублетов дублетов, J = 12,5, 6,6, 4,0 Гц, 1H), 2,17 (триплет квартетов, J = 5,1, 1,0 Гц, 1H), 2,04 (дублет дублетов дублетов дублетов, J = 12,7, 6,4, 5,1, 1,0 Гц, 1H), 1,95–1,87 (мультиплет, 1H), 1,91–1,83 (мультиплет, 1H), 1,83 (дублет триплетов триплетов, J = 7,1, 2,7, 1,5 Гц, 2H), 1,83–1,78 (мультиплет, 1H), 1,72–1,65 (мультиплет, 2H), 1,65 (дублет, J = 1,6 Гц, 1H), 1,66–1,62 (мультиплет, 1H), 1,65–1,61 (мультиплет, 1H), 1,64–1,52 (мультиплет, 3H), 1,55–1,48 (мультиплет, 1H), 1,51–1,29 (мультиплет, 5H), 1,15 (синглет, 2H), 1,08 (триплет, J = 1,6 Гц, 5H), 0,97 (дублет, J = 1,5 Гц, 3H), 0,95–0,90 (мультиплет, 8H). Масс-спектрометрия низкого разрешения (ИЭР): 629,4 [M+H]+.

Пример 221. (5S,8R,9R,10S,14R,17R,18S)-3-Карбонил-олеаноловой кислоты 28-6''-O-этил-β-D-глюкуронопиранозид (A221)

Соединение 2,3,4,6-O-тетрабензил-1-(пиридин-1-ил)сульфонил-β-D-тиоглюкопиранозид было заменено на 2,3,4-O-трибензил-1-(пиридин-1-ил)сульфонил-6-этокси- β-D-тиоглюкуронопиранозид. Соединение (3S,5S,8R,9R,10S,14R,17R,18S)-28-O- бензил-3-олеаноловой кислоты альдегид было заменено на (5S,8R,9R,10S,14R,17R,18S)-3-карбонил-17-формил-олеаноловую кислоту. Для получения соединения A221 использовали тот же способ получения с теми же требуемыми исходными материалами и реактивами, как описано в примере 10 (выход продукта 53 %). 1H-ЯМР (500 МГц, CDCl3) δ 5,42 (дублет, J = 5,8 Гц, 1H), 5,33 (триплет дублетов дублетов, J = 5,1, 1,8, 1,1 Гц, 1H), 4,95 (дублет, J = 6,4 Гц, 1H), 4,77 (дублет, J = 6,3 Гц, 1H), 4,51 (дублет дублетов, J = 8,7, 2,7 Гц, 1H), 4,45 (дублет, J = 8,2 Гц, 1H), 4,21 (квартет дублетов, J = 6,3, 2,5 Гц, 2H), 3,85 (триплет дублетов дублетов, J = 8,3, 6,4, 1,9 Гц, 1H), 3,71–3,57 (мультиплет, 2H), 2,48 (дублет дублетов дублетов, J = 12,5, 6,5, 4,0 Гц, 1H), 2,40 (дублет дублетов дублетов, J = 12,5, 6,6, 4,0 Гц, 1H), 2,17 (триплет квартетов, J = 5,1, 1,0 Гц, 1H), 2,04 (дублет дублетов дублетов дублетов, J = 12,6, 6,4, 5,1, 1,0 Гц, 1H), 1,95–1,87 (мультиплет, 1H), 1,91–1,83 (мультиплет, 1H), 1,86–1,80 (мультиплет, 2H), 1,83–1,78 (мультиплет, 1H), 1,72–1,29 (мультиплет, 14H), 1,22–1,13 (мультиплет, 5H), 1,08 (триплет, J = 1,6 Гц, 5H), 0,99–0,92 (мультиплет, 6H), 0,93 (дублет, J = 6,6 Гц, 5H). Масс-спектрометрия низкого разрешения (ИЭР): 643,4 [M+H]+.

Пример 222. (5S,8R,9R,10S,14R,17R,18S)-3-Карбонил-олеаноловой кислоты 28-6''-O-2'''-фторэтил-β-D-глюкуронопиранозид (A222)

Соединение 2,3,4,6-O-тетрабензил-1-(пиридин-1-ил)сульфонил-β-D-тиоглюкопиранозид было заменено на 2,3,4-O-трибензил-1-(пиридин-1-ил)сульфонил-6-2- фторэтил-β-D-тиоглюкуронопиранозид. Соединение (3S,5S,8R,9R,10S,14R,17R,18S)- 28-O-бензил-3-олеаноловой кислоты альдегид было заменено на (5S,8R,9R,10S,14R,17R,18S)-3-карбонил-17-формил-олеаноловую кислоту. Для получения соединения A222 использовали тот же способ получения с теми же требуемыми исходными материалами и реактивами, как описано в примере 10 (выход продукта 53 %). 1H-ЯМР (500 МГц, CDCl3) δ 6,11 (синглет, 1H), 6,02 (синглет, 1H), 5,42 (дублет, J = 5,8 Гц, 1H), 5,33 (триплет дублетов дублетов, J = 5,1, 1,8, 1,1 Гц, 1H), 4,95 (дублет, J = 6,3 Гц, 1H), 4,77 (дублет, J = 6,2 Гц, 1H), 4,51 (дублет дублетов, J = 8,7, 2,7 Гц, 1H), 3,93 (дублет, J = 8,2 Гц, 1H), 3,85 (триплет дублетов дублетов, J = 8,3, 6,3, 1,9 Гц, 1H), 3,71–3,57 (мультиплет, 2H), 2,48 (дублет дублетов дублетов, J = 12,5, 6,5, 4,0 Гц, 1H), 2,40 (дублет дублетов дублетов, J = 12,5, 6,6, 4,0 Гц, 1H), 2,17 (триплет квартетов, J = 5,1, 1,0 Гц, 1H), 2,04 (дублет дублетов дублетов дублетов, J = 12,6, 6,4, 5,1, 1,0 Гц, 1H), 1,95–1,87 (мультиплет, 1H), 1,91–1,84 (мультиплет, 1H), 1,86–1,81 (мультиплет, 1H), 1,84–1,78 (мультиплет, 2H), 1,72–1,66 (мультиплет, 1H), 1,69–1,63 (мультиплет, 2H), 1,66–1,62 (мультиплет, 1H), 1,65–1,58 (мультиплет, 2H), 1,62–1,51 (мультиплет, 2H), 1,54–1,47 (мультиплет, 1H), 1,50–1,41 (мультиплет, 1H), 1,44–1,36 (мультиплет, 2H), 1,36 (дублет дублетов дублетов, J = 6,4, 3,4, 1,6 Гц, 1H), 1,36–1,29 (мультиплет, 1H), 1,15 (синглет, 2H), 1,08 (триплет, J = 1,6 Гц, 5H), 0,97 (дублет, J = 1,5 Гц, 3H), 0,95–0,90 (мультиплет, 8H). Масс-спектрометрия низкого разрешения (ИЭР): 647,4 [M+H]+.

Пример 223. (5S,8R,9R,10S,14R,17R,18S)-3-Карбонил-олеаноловой кислоты 17-(1'R)-(гидрокси)метил-6''-O-метил-β-D-глюкуронопиранозид (A223)

Соединение 2,3,4,6-O-тетрабензил-1-(пиридин-1-ил)сульфонил-β-D-тиоглюкопиранозид было заменено на 2,3,4-O-трибензил-1-(пиридин-1-ил)сульфонил-6- метокси-β-D-тиоглюкуронопиранозид. Соединение (3S,5S,8R,9R,10S,14R,17R,18S)- 28-O-бензил-3-олеаноловой кислоты альдегид было заменено на (5S,8R,9R,10S,14R,17R,18S)-3-карбонил-17-формил-олеаноловую кислоту. Для получения соединения A223 использовали тот же способ получения с теми же требуемыми исходными материалами и реактивами, как описано в примере 2 (выход продукта 58 %). 1H-ЯМР (500 МГц, CDCl3) δ 5,24 (триплет дублетов дублетов, J = 5,1, 1,8, 1,0 Гц, 1H), 4,99 (дублет, J = 5,3 Гц, 1H), 4,87 (дублет, J = 6,4 Гц, 1H), 4,75 (дублет, J = 5,7 Гц, 1H), 4,62 (дублет, J = 6,1 Гц, 1H), 4,09 (дублет, J = 7,5 Гц, 1H), 3,93 (дублет дублетов дублетов, J = 7,3, 5,7, 2,5 Гц, 1H), 3,84 (дублет дублетов дублетов дублетов, J = 8,3, 7,5, 6,4, 1,8 Гц, 1H), 3,77–3,69 (мультиплет, 1H), 3,73 (синглет, 3H), 3,68–3,60 (мультиплет, 1H), 3,56 (триплет дублетов дублетов, J = 8,3, 6,1, 2,6 Гц, 1H), 2,48 (дублет дублетов дублетов, J = 12,4, 6,5, 4,0 Гц, 1H), 2,40 (дублет дублетов дублетов, J = 12,5, 6,6, 4,0 Гц, 1H), 2,23 (триплет квартетов, J = 4,6, 1,1 Гц, 1H), 1,99 (дублет дублетов дублетов дублетов, J = 12,6, 6,4, 5,2, 1,0 Гц, 1H), 1,95–1,86 (мультиплет, 1H), 1,89–1,78 (мультиплет, 3H), 1,78–1,59 (мультиплет, 4H), 1,59–1,26 (мультиплет, 11H), 1,11–1,05 (мультиплет, 8H), 0,99–0,92 (мультиплет, 8H), 0,90 (синглет, 2H). Масс-спектрометрия низкого разрешения (ИЭР): 631,4 [M+H]+.

Пример 224. (5S,8R,9R,10S,14R,17R,18S)-3-Карбонил-урсоловой кислоты 28-6''-O-метил-β-D-глюкуронопиранозид (A224)

Соединение 2,3,4,6-O-тетрабензил-1-(пиридин-1-ил)сульфонил-β-D-тиоглюкопиранозид было заменено на 2,3,4-O-трибензил-1-(пиридин-1-ил)сульфонил-6- метокси-β-D-тиоглюкуронопиранозид. Соединение (3S,5S,8R,9R,10S,14R,17R,18S)- 28-O-бензил-3-олеаноловой кислоты альдегид было заменено на (5S,8R,9R,10S,14R,17R,18S)-3-карбонил-17-формил-урсоловую кислоту. Для получения соединения A224 использовали тот же способ получения с теми же требуемыми исходными материалами и реактивами, как описано в примере 10 (выход продукта 62 %). 1H-ЯМР (500 МГц, CDCl3) δ 5,50 (триплет дублетов дублетов, J = 4,9, 1,8, 0,9 Гц, 1H), 5,42 (дублет, J = 5,8 Гц, 1H), 4,89 (дублет, J = 6,4 Гц, 1H), 4,77 (дублет, J = 6,3 Гц, 1H), 4,55 (дублет дублетов, J = 8,7, 2,6 Гц, 1H), 4,39 (дублет, J = 7,9 Гц, 1H), 3,89–3,80 (мультиплет, 1H), 3,73 (синглет, 2H), 3,71–3,57 (мультиплет, 2H), 2,48 (дублет дублетов дублетов, J = 12,5, 6,5, 4,0 Гц, 1H), 2,40 (дублет дублетов дублетов, J = 12,5, 6,6, 4,0 Гц, 1H), 2,28–2,22 (мультиплет, 1H), 2,06–1,91 (мультиплет, 2H), 1,89–1,78 (мультиплет, 4H), 1,77 (дублет дублетов дублетов, J = 12,5, 7,7, 5,2 Гц, 1H), 1,73–1,57 (мультиплет, 5H), 1,60–1,55 (мультиплет, 1H), 1,57–1,51 (мультиплет, 1H), 1,47–1,39 (мультиплет, 2H), 1,40 (триплет дублетов, J = 2,1, 1,1 Гц, 1H), 1,41–1,31 (мультиплет, 2H), 1,34–1,25 (мультиплет, 1H), 1,20 (синглет, 2H), 1,08 (триплет, J = 1,6 Гц, 5H), 0,99–0,90 (мультиплет, 9H), 0,91 (дублет, J = 2,0 Гц, 2H). Масс-спектрометрия низкого разрешения (ИЭР): 629,4 [M+H]+.

Пример 225. (3S,5S,8R,9R,10S,13R,14R,17S,18R,19R)-Бетулиновой кислоты 28-6''-O-метил-β-D-глюкуронопиранозид (A225)

Соединение 2,3,4,6-O-тетрабензил-1-(пиридин-1-ил)сульфонил-β-D-тиоглюкопиранозид было заменено на 2,3,4-O-трибензил-1-(пиридин-1-ил)сульфонил- 6-метокси-β-D-тиоглюкуронопиранозид. Соединение (3S,5S,8R,9R,10S,14R,17R,18S)- 28-O-бензил-3-олеаноловой кислоты альдегид было заменено на (5S,8R,9R,10S,14R,17R,18S)-3-карбонил-17-формил-бетулиновую кислоту. Для получения соединения A225 использовали тот же способ получения с теми же требуемыми исходными материалами и реактивами, как описано в примере 10 (выход продукта 50 %). 1H-ЯМР (500 МГц, CDCl3) δ 5,42 (дублет, J = 5,9 Гц, 1H), 4,89 (дублет, J = 6,4 Гц, 1H), 4,83 (гексаплет, J = 1,4 Гц, 1H), 4,77 (дублет, J = 6,3 Гц, 1H), 4,67 (гексаплет, J = 1,6 Гц, 1H), 4,51 (дублет дублетов, J = 8,8, 2,6 Гц, 1H), 3,89–3,80 (мультиплет, 1H), 3,73 (синглет, 2H), 3,71–3,57 (мультиплет, 2H), 3,00 (дублет дублетов дублетов триплетов, J = 10,3, 5,0, 3,3, 1,6 Гц, 1H), 2,53–2,41 (мультиплет, 2H), 1,86–1,34 (мультиплет, 26H), 1,13–1,05 (мультиплет, 7H), 0,96 (дублет дублетов, J = 12,7, 1,5 Гц, 6H), 0,85 (триплет, J = 1,4 Гц, 3H). Масс-спектрометрия низкого разрешения (ИЭР): 629,4 [M+H]+.

Пример 226. (5S,8R,9R,10S,14R,17R,18S)-3-Карбонил-бетулиновой кислоты 17-(1'R)-(гидрокси)метил-6''-O-метил-β-D-глюкуронопиранозид (A226)

Соединение 2,3,4,6-O-тетрабензил-1-(пиридин-1-ил)сульфонил-β-D-тиоглюкопиранозид было заменено на 2,3,4-O-трибензил-1-(пиридин-1-ил)сульфонил- 6-метокси-β-D-тиоглюкуронопиранозид. Соединение (3S,5S,8R,9R,10S,14R,17R,18S)- 28-O-бензил-3-олеаноловой кислоты альдегид было заменено на (5S,8R,9R,10S,14R,17R,18S)-3-карбонил-17-формил-бетулиновую кислоту. Для получения соединения A226 использовали тот же способ получения с теми же требуемыми исходными материалами и реактивами, как описано в примере 2 (выход продукта 53 %). 1H-ЯМР (500 МГц, CDCl3) δ 4,99 (дублет, J = 5,3 Гц, 1H), 4,87 (дублет, J = 6,4 Гц, 1H), 4,81 (гексаплет, J = 1,4 Гц, 1H), 4,69 (дублет, J = 5,3 Гц, 1H), 4,67–4,60 (мультиплет, 2H), 4,09 (дублет, J = 7,5 Гц, 1H), 3,91–3,80 (мультиплет, 2H), 3,75–3,66 (мультиплет, 3H), 3,66–3,52 (мультиплет, 2H), 2,53–2,41 (мультиплет, 2H), 2,13 (дублет дублетов дублетов дублетов, J = 10,4, 5,5, 3,5, 1,7 Гц, 1H), 1,83 (дублет дублетов дублетов, J = 5,7, 2,8, 1,4 Гц, 1H), 1,83–1,76 (мультиплет, 1H), 1,73 (квартет, J = 1,4 Гц, 3H), 1,63–1,28 (мультиплет, 20H), 1,13–1,05 (мультиплет, 7H), 0,97 (дублет, J = 1,5 Гц, 3H), 0,92 (дублет, J = 1,5 Гц, 3H), 0,85 (триплет, J = 1,4 Гц, 3H). Масс-спектрометрия низкого разрешения (ИЭР): 631,4 [M+H]+.

Пример 227. (5S,8R,9R,10S,14R,17R,18S)-3-Карбонил-бетулиновой кислоты 17-(1'R)-(гидрокси)метил-6''-O-метил-β-D-глюкуронопиранозид (A227)

Соединение 2,3,4,6-O-тетрабензил-1-(пиридин-1-ил)сульфонил-β-D-тиоглюкопиранозид было заменено на 2,3,4-O-трибензил-1-(пиридин-1-ил)сульфонил-6- изопропокси-β-D-тиоглюкуронопиранозид. Соединение (3S,5S,8R,9R,10S,14R,17R,18S)-28-O-бензил-3-олеаноловой кислоты альдегид было заменено на (5S,8R,9R,10S,14R,17R,18S)-3-карбонил-17-формил-олеаноловую кислоту. Для получения соединения A227 использовали тот же способ получения с теми же требуемыми исходными материалами и реактивами, как описано в примере 10 (выход продукта 53 %). 1H-ЯМР (500 МГц, CDCl3) δ 5,42 (дублет, J = 5,9 Гц, 1H), 5,33 (триплет дублетов дублетов, J = 5,1, 1,8, 1,1 Гц, 1H), 5,03 (гептуплет, J = 5,8 Гц, 1H), 4,95 (дублет, J = 6,4 Гц, 1H), 4,77 (дублет, J = 6,3 Гц, 1H), 4,51 (дублет дублетов, J = 8,7, 2,6 Гц, 1H), 4,07 (дублет, J = 7,9 Гц, 1H), 3,86 (триплет дублетов дублетов, J = 8,3, 6,4, 1,8 Гц, 1H), 3,72–3,57 (мультиплет, 2H), 2,48 (дублет дублетов дублетов, J = 12,4, 6,5, 4,0 Гц, 1H), 2,40 (дублет дублетов дублетов, J = 12,5, 6,6, 4,0 Гц, 1H), 2,17 (триплет квартетов, J = 5,1, 1,0 Гц, 1H), 2,04 (дублет дублетов дублетов дублетов, J = 12,7, 6,4, 5,1, 1,0 Гц, 1H), 1,95–1,87 (мультиплет, 1H), 1,91–1,83 (мультиплет, 1H), 1,83 (дублет дублетов дублетов дублетов, J = 7,0, 2,7, 1,9, 1,1 Гц, 2H), 1,83–1,78 (мультиплет, 1H), 1,72–1,29 (мультиплет, 14H), 1,25 (дублет, J = 5,7 Гц, 3H), 1,20 (дублет, J = 5,9 Гц, 3H), 1,15 (синглет, 2H), 1,08 (триплет, J = 1,6 Гц, 5H), 0,97 (дублет, J = 1,5 Гц, 3H), 0,95–0,90 (мультиплет, 8H). Масс-спектрометрия низкого разрешения (ИЭР): 631,4 [M+H]+.

Пример 228. (5S,8R,9R,10S,14R,17R,18S)-3-Карбонил-олеаноловой кислоты 28-6''-O-циклопропилметил-β-D-глюкуронопиранозид (A228)

Соединение 2,3,4,6-O-тетрабензил-1-(пиридин-1-ил)сульфонил-β-D-тиоглюкопиранозид было заменено на 2,3,4-O-трибензил-1-(пиридин-1-ил)сульфонил- 6-циклопропилметокси-β-D-тиоглюкуронопиранозид. Соединение (3S,5S,8R,9R,10S,14R,17R,18S)-28-O-бензил-3-олеаноловой кислоты альдегид было заменено на (5S,8R,9R,10S,14R,17R,18S)-3-карбонил-17-формил-олеаноловую кислоту. Для получения соединения A228 использовали тот же способ получения с теми же требуемыми исходными материалами и реактивами, как описано в примере 10 (выход продукта 54 %). 1H-ЯМР (500 МГц, CDCl3) δ 5,42 (дублет, J = 5,8 Гц, 1H), 5,33 (триплет дублетов дублетов, J = 5,1, 1,8, 1,1 Гц, 1H), 4,95 (дублет, J = 6,4 Гц, 1H), 4,77 (дублет, J = 6,3 Гц, 1H), 4,51 (дублет дублетов, J = 8,7, 2,7 Гц, 1H), 4,12–4,05 (мультиплет, 3H), 3,85 (триплет дублетов дублетов, J = 8,2, 6,3, 1,8 Гц, 1H), 3,71–3,57 (мультиплет, 2H), 2,48 (дублет дублетов дублетов, J = 12,5, 6,5, 4,0 Гц, 1H), 2,40 (дублет дублетов дублетов, J = 12,5, 6,6, 4,0 Гц, 1H), 2,17 (триплет квартетов, J = 5,1, 1,0 Гц, 1H), 2,04 (дублет дублетов дублетов дублетов, J = 12,6, 6,4, 5,1, 1,0 Гц, 1H), 1,95–1,83 (мультиплет, 2H), 1,86–1,78 (мультиплет, 3H), 1,72–1,66 (мультиплет, 1H), 1,69–1,63 (мультиплет, 2H), 1,66–1,62 (мультиплет, 1H), 1,65–1,47 (мультиплет, 6H), 1,50–1,41 (мультиплет, 1H), 1,44–1,36 (мультиплет, 2H), 1,36 (дублет дублетов дублетов, J = 6,4, 3,4, 1,6 Гц, 1H), 1,36–1,29 (мультиплет, 1H), 1,15 (синглет, 2H), 1,08 (триплет, J = 1,6 Гц, 5H), 0,97 (дублет, J = 1,5 Гц, 3H), 0,95–0,90 (мультиплет, 8H), 0,58–0,44 (мультиплет, 4H). Масс-спектрометрия низкого разрешения (ИЭР): 669,4 [M+H]+.

Пример 229. (5S,8R,9R,10S,14R,17R,18S)-3-Карбонил-олеаноловой кислоты 28-6''-N-этил-β-D-глюкуронопиранозид (A229)

Соединение 2,3,4,6-O-тетрабензил-1-(пиридин-1-ил)сульфонил-β-D-тиоглюкопиранозид было заменено на 2,3,4-O-трибензил-1-(пиридин-1-ил)сульфонил- 6-этиламино-β-D-тиоглюкуронопиранозид. Соединение (3S,5S,8R,9R,10S,14R,17R,18S)-28-O-бензил-3-олеаноловой кислоты альдегид было заменено на (5S,8R,9R,10S,14R,17R,18S)-3-карбонил-17-формил-олеаноловую кислоту. Для получения соединения A229 использовали тот же способ получения с теми же требуемыми исходными материалами и реактивами, как описано в примере 10 (выход продукта 58 %). 1H-ЯМР (500 МГц, CDCl3) δ 7,28 (триплет, J = 3,9 Гц, 1H), 5,46–5,39 (мультиплет, 1H), 5,33 (триплет дублетов дублетов, J = 5,1, 1,8, 1,1 Гц, 1H), 4,89 (дублет, J = 6,1 Гц, 1H), 4,78–4,71 (мультиплет, 1H), 4,50–4,43 (мультиплет, 1H), 4,09 (дублет, J = 7,5 Гц, 1H), 3,81–3,72 (мультиплет, 1H), 3,68–3,57 (мультиплет, 2H), 3,23 (квартет дублетов, J = 6,2, 3,9 Гц, 2H), 2,48 (дублет дублетов дублетов, J = 12,5, 6,5, 4,0 Гц, 1H), 2,40 (дублет дублетов дублетов, J = 12,5, 6,6, 4,0 Гц, 1H), 2,17 (триплет квартетов, J = 5,1, 1,0 Гц, 1H), 2,04 (дублет дублетов дублетов дублетов, J = 12,6, 6,4, 5,1, 1,0 Гц, 1H), 1,95–1,84 (мультиплет, 2H), 1,86–1,81 (мультиплет, 1H), 1,84–1,78 (мультиплет, 2H), 1,72–1,29 (мультиплет, 14H), 1,21–1,13 (мультиплет, 5H), 1,08 (триплет, J = 1,6 Гц, 6H), 0,99–0,92 (мультиплет, 6H), 0,93 (дублет, J = 6,6 Гц, 5H). Масс-спектрометрия низкого разрешения (ИЭР): 642,4 [M+H]+.

Пример 230. (5S,8R,9R,10S,14R,17R,18S)-3-Карбонил-олеаноловой кислоты 28-6''-N-2'''-фторэтил-β-D-глюкуронопиранозид (A230)

Соединение 2,3,4,6-O-тетрабензил-1-(пиридин-1-ил)сульфонил-β-D-тиоглюкопиранозид было заменено на 2,3,4-O-трибензил-1-(пиридин-1-ил)сульфонил-6-2- фторэтиламино-β-D-тиоглюкуронопиранозид. Соединение (3S,5S,8R,9R,10S,14R,17R,18S)-28-O-бензил-3-олеаноловой кислоты альдегид было заменено на (5S,8R,9R,10S,14R,17R,18S)-3-карбонил-17-формил-олеаноловую кислоту. Для получения соединения A230 использовали тот же способ получения с теми же требуемыми исходными материалами и реактивами, как описано в примере 10 (выход продукта 51 %). 1H-ЯМР (500 МГц, CDCl3) δ 7,80 (триплет, J = 4,9 Гц, 1H), 5,46–5,39 (мультиплет, 1H), 5,33 (триплет дублетов дублетов, J = 5,1, 1,8, 1,1 Гц, 1H), 4,89 (дублет, J = 6,1 Гц, 1H), 4,78–4,71 (мультиплет, 1H), 4,58 (триплет дублетов, J = 3,4, 2,3 Гц, 1H), 4,53–4,43 (мультиплет, 2H), 4,05 (дублет, J = 7,4 Гц, 1H), 3,81–3,72 (мультиплет, 1H), 3,68–3,57 (мультиплет, 2H), 3,44 (дублет триплетов дублетов, J = 4,6, 3,4, 1,2 Гц, 1H), 3,39 (дублет триплетов дублетов, J = 4,8, 3,4, 1,1 Гц, 1H), 2,48 (дублет дублетов дублетов, J = 12,5, 6,5, 4,0 Гц, 1H), 2,40 (дублет дублетов дублетов, J = 12,5, 6,6, 4,0 Гц, 1H), 2,17 (триплет квартетов, J = 5,1, 1,0 Гц, 1H), 2,04 (дублет дублетов дублетов дублетов, J = 12,6, 6,4, 5,1, 1,0 Гц, 1H), 1,95–1,87 (мультиплет, 1H), 1,91–1,84 (мультиплет, 1H), 1,86–1,81 (мультиплет, 1H), 1,84–1,78 (мультиплет, 2H), 1,72–1,29 (мультиплет, 14H), 1,15 (синглет, 2H), 1,08 (триплет, J = 1,6 Гц, 6H), 0,99–0,92 (мультиплет, 6H), 0,93 (дублет, J = 6,6 Гц, 5H). Масс-спектрометрия низкого разрешения (ИЭР): 650,4 [M+H]+.

Примеры анализа фармакологической активности

Пример 1. Определение гипогликемической фармакодинамической активности in vivo соединений по изобретению

1. Анализ фармакодинамики соединений при приеме внутрь у мышей линии ICR в тесте на толерантность к глюкозе

i. Материалы для эксперимента

Таблица 2: Использование животных

Линия Мыши линии ICR Статус SPF (свободные от специфической патогенной микрофлоры) Масса животных 20~25 г Пол Самцы Поставщик Shanghai Slake Метод идентификации животных Содержание животных в отдельных клетках, идентификация по маркировке на клетке Количество животных 114

После поступления животных на площадку WuXi AppTec, их содержали в помещении для кормления животных в строго контролируемых условиях окружающей среды. В помещении для кормления температуру поддерживали на уровне 20–24 °С, а влажность – на уровне 30–70 %. Температуру и влажность в помещении для кормления контролировали в реальном времени с использованием датчиков температуры и влажности, при этом температуру и влажность регистрировали два раза в день (утром и днем). Освещение в помещении для кормления животных контролировали с помощью электронного таймера включения освещения, которое каждый день было включено в течение 12 ч и выключено в течение 12 ч (включение в 7:00 и выключение в 19:00). В ходе эксперимента животные содержались в отдельных клетках, в каждой клетке для мышей были предусмотрены игрушки. В ходе эксперимента животные имели свободный доступ к корму (корм для содержания и разведения крыс и мышей) и воде.

После поступления животных они могли адаптироваться к условиям окружающей среды в течение 1–2 недели до проведения эксперимента.

ii. Подготовка и введение лекарственного препарата

Таблица 3: Справочная информация о растворителе

Название: 0,5 % раствор метиленхлорида Поставщик: готовят перед использованием Физические свойства: прозрачный раствор Условия хранения: 4 °C

1) Приготовление жидкого лекарственного препарата: каждое соединение готовили в первый день эксперимента, после чего хранили в холодильнике при 4 °C для использования на следующий день.

2) Прием препарата: после разделения на группы животным в каждой группе вводили препарат за 0,5 ч до введения сахара.

3) Эксперимент на толерантность к глюкозе при приеме внутрь: сахар вводили животным через желудочный зонд через 0,5 ч после окончания введения препарата животным, при этом время введения сахара регистрировали как 0 мин. Доза глюкозы при введении внутрь составляла 5 г/кг, 10 мл/кг. Уровень глюкозы в крови животных определяли перед введением препарата, перед введением сахара и через 15, 30, 60, 90 и 120 мин после введения сахара. Уровень глюкозы в крови определяли с помощью глюкометра и соответствующей тест-полоски для определения уровня глюкозы в крови.

iii. Экспериментальные результаты

Результаты показали, что введение внутрь пентациклических тритерпеновых C-гликозидов может приводить к эффективному снижению постпрандиального уровня глюкозы в крови у мышей линии ICR (рисунок 1), при этом соединения A25 и A43 среди них обладают наилучшей гипогликемической активностью с выраженным гипогликемическим эффектом при дозе 25 мг/кг, который становится более выраженным при дозе 50 мг/кг (рисунок 2).

Пример 2. Определение активности соединений по настоящему изобретению в отношении секреции ГПП-1 in vitro

1. Материалы для эксперимента

Клеточная линия: линия эндокринных клеток кишечника STC-1

Отрицательный контроль: ДМСО

Положительный контроль: INT777 (агонист рецептора TGR5)

Аналитический набор: набор для анализа HTRF

Другие материалы: буферный раствор KRBH, БСА, ингибитор ДПП4

2. Методика эксперимента

Клетки STC-1 высевали с определенной плотностью. После прилипания клеток к стенкам в течение ночи, их помещали в условия недостаточного питания буферного раствора KRBH, при этом БСА использовали для поддержки питания, а деградацию ГПП-1 снижали с помощью ингибиторов ДПП4. Через 1 ч их помещали в буферный раствор KRBH, не содержащий или содержащий глюкозу, для стимуляции секреции ГПП-1. В это же время добавляли соединения в определенных концентрациях. Через 1 ч обработки собирали супернатант и определяли концентрацию ГПП-1 с использованием набора для анализа HTRF. Также определяли секрецию ЛДГ, обнаружение которой указывало на токсичность соединений.

3. Экспериментальные результаты

Экспериментальные результаты показали, что соединение A64 обладало хорошим эффектом стимуляции секреции ГПП-1 in vitro, при этом значение EC50 соединения in vitro составляло 7,231 мкМ, по которому оно явно превосходило соединение положительного контроля INT777 (EC50=22,82 мкМ) (рисунок 3).

Пример 3. Определение фармакодинамической активности соединения по изобретению против вируса гриппа in vitro

1. Материалы для эксперимента

Линии клеток: клетки линии MDCK

Отрицательный контроль: ДМСО

Положительный контроль: Занамивир/Осельтамивир (50 мкМ)

Набор для люминесцентного анализа жизнеспособности клеток CellTiter-Glo®

Приготовление маточного раствора соединений: разведение соединений 1–7 до 10 мМ/л; Концентрация для скрининга: 50 мкМ

2. Методика эксперимента

Клетки MDCK помещали в 96-луночные планшеты (1×104/лунка) и инкубировали в инкубаторах при 37 °С и 5 % СО2 в течение 24 ч, после чего добавляли лекарственный препарат.

После дозирования 96-луночный планшет помещали в инкубатор при 37 °С и 5 % CO2 на 36 ч и проводили обнаружение с помощью микропланшетного фотометра.

3. Экспериментальные результаты

Формула для расчета степени ингибирования: I(степень ингибирования) = [1-(Xi-Xj)/(Yi-Yj)]×100 %

Xi: количество жизнеспособных клеток без вируса в испытуемой группе; Xj: количество жизнеспособных клеток с вирусом в испытуемой группе

Yi: количество жизнеспособных клеток без вируса в группе ДМСО; Yj: количество жизнеспособных клеток с вирусом в группе ДМСО.

Результаты показали, что пентациклические тритерпеновые C-гликозиды могут проявлять эффективную фармакологическую активность против вируса гриппа, при этом соединение А2 имеет такую же степень ингибирования вируса и такую же низкую цитотоксичность, как у препарата положительного контроля занамивира, степень ингибирования вируса такая же, как у препарата положительного контроля рибавирина, но цитотоксичность при этом более низкая, чем у рибавирина (рисунок 4).

Пример 4. Определение сродства между соединением по изобретению и N-белком коронавируса in vitro

1. Материалы для эксперимента

Разбавитель для N-белка: 20 мкг/мл

Буферный раствор: 10 мМ ГЭПЭС, рН 7,4, 150 мМ NaCl, 3,0 мМ ЭДТА и 0,005 % (о/о) поверхностно-активного вещества P20, 5 % ДМСО.

Прибор: Biacore 8K (GE Healthcare)

2. Методика анализа

Прибор Biacore 8K (GE Healthcare) использовали для проверки сродства соединения к N-белку методом поверхностного плазмонного резонанса (SPR). Сначала N-белки разбавляли до 20 мкг/мл, для связывания полноразмерных N-белков с сенсорным чипом CM5 использовали стандартный метод аминосвязывания при 25 °C, соответственно, со значением сигнала 10000 резонансных единиц (RU). В качестве рабочего буферного раствора использовали 10 мМ ГЭПЭС, рН 7,4, 150 мМ NaCl, 3,0 мМ ЭДТА и 0,005 % (о/о) поверхностно-активного вещества P20, 5 % ДМСО. 10 мМ исходный раствор соединения в ДМСО разбавляли до 7 градиентных концентраций (1,56 мкМ–100 мкМ) рабочим буферным раствором. Во время анализа прибор трижды калибровали с использованием рабочего буферного раствора, затем вводили испытуемые соединения и пропускали через чип по очереди, при этом время связывания и диссоциации устанавливали равным 100 с. После каждого цикла использовали 50 % раствор ДМСО для промывки соединений, оставшихся на чипе, и приступали к следующему циклу. По окончании выполняли поправку на растворитель с рабочим буферным раствором, содержащим 4,5 %–5,8 %. Согласно полученному спектру вычитали значение контрольной группы и выполняли поправку на растворитель. Данные были получены с использованием программного обеспечения для обработки данных Biacore 8K, а значения KD были рассчитаны с помощью статической модели сродства согласно заданному значению Rmax.

3. Заключение по эксперименту

Результаты демонстрируют, что пентациклические тритерпеновые C-гликозиды обладают повышенным сродством к N-белку, при этом Ki некоторых соединений составляет менее 10 мкМ. (Рисунки 5 и 6)

Пример 5: Определение фармакодинамической активности соединения по изобретению против вируса SARS Cov-2 in vitro

1. Материалы для эксперимента

Клетки линии Vero E6 (ATCC-1586)

48-луночный планшет (50000 клеток на лунку); 96-луночный планшет (20000 клеток на лунку)

Штамм 2019-nCoV (nCoV-2019BetaCoV/Wuhan/WIV04/2019)

2. Методика эксперимента

Клетки линии Vero E6 (ATCC-1586) помещали в 48-луночный планшет (50000 клеток на лунку) и добавляли 100 мкл/лунку питательной среды, содержащей соединения с градиентной концентрацией, затем добавляли штамм 2019-nCoV (nCoV-2019BetaCoV/Wuhan/WIV04/2019), множественность инфицирования (MOI) которого составляла 0,05. После инкубации смеси в течение 1 ч супернатант отсасывали, клетки промывали и повторно добавляли 200 мкл/лунку питательной среды, содержащей соединение с градиентной концентрацией, и смесь инкубировали при 37 ºC в течение 24 ч. Через 24 ч клеточный супернатант собирали, выделяли вирусную РНК из супернатанта и определяли число копий вируса в супернатанте методом количественной флуоресцентной ПЦР в реальном времени. Степень ингибирования соединения рассчитывали по числу копий вируса, а EC50 соединения рассчитывали с использованием программного обеспечения Prism 6.0.

Клетки линии Vero E6 (ATCC-1586) помещали в 96-луночный планшет (20000 клеток на лунку) и добавляли 100 мкл/лунку питательной среды, содержащей соединения с градиентной концентрацией. Через 24 ч использовали набор для обнаружения CCK8 для определения влияния соединений на активность клеток, а CC50 соединения рассчитывали с использованием программного обеспечения Prism 6.0.

3. Заключение по эксперименту

Результаты демонстрируют, что пентациклические тритерпеновые C-гликозиды могут эффективно ингибировать репликацию вируса SARS Cov-2, среди которых EC50 для соединений A104 и A114 составила 3,6 мкМ и 4,6 мкМ, а степень ингибирования некоторых соединений на уровне 10 мкМ составила 100 % (рисунки 7 и 8).

Пример 6: Определение фармакокинетических параметров соединения по изобретению на мышах

1. Материалы для эксперимента

Характеристики животных:

Вид/линия: мыши линии ICR (CD-1)

Пол/количество мышей: самцы (n=6)

Масса (г): самцы (20–24 г)

Состав рациона: стандартный рацион для грызунов

свободный доступ к питью

Голодание в течение 12 ч до введения препарата и в течение 2 ч после введения.

Контроль условий окружающей среды в помещении для кормления животных (целевые условия: температура от 18 до 29 ºC, относительная влажность от 30 до 70 %). Ежедневный мониторинг температуры и относительной влажности. Использовали электронную систему включения освещения для обеспечения цикла 12 ч светлого времени и 12 ч темного времени суток.

2. Методика анализа

Вводимые дозы приведены в таблице ниже:

Путь введения Доза
(мг/кг)
Объем дозирования (мл/кг) Носитель
Введение внутрь 25 10 ДМСО/0,5 % ГПМЦ (5/95 (о/о)) IV 3 5 ДМСО/ этанол/ ПЭГ-300/ 0,9 % раствор NaCl (5/5/40/50, по объему)

3. Заключение по эксперименту

Результаты демонстрируют, что пентациклические тритерпеновые C-гликозиды по настоящему изобретению обладают хорошими фармакокинетическими свойствами, конкретные результаты представлены на рисунках 9 и 10. На рисунке 9 показано, что соединение по изобретению может достигать требуемой экспозиции лекарственного препарата в течение времени эксперимента после введения внутрь и после кишечного введения. На рисунке 10 показано, что соединение по изобретению быстро выводится из организма в течение 8 ч после введения и полностью выводится в течение 24 ч.

Все документы, упомянутые здесь, включены в настоящее изобретение посредством ссылки, как если бы каждый документ был включен отдельно посредством ссылки. Кроме того, следует понимать, что после изучения вышеприведенного описания настоящего изобретения специалистами в данной области могут быть внесены различные изменения и модификации, и такого рода эквивалентные формы также попадают в объем, определяемый прилагаемой формулой изобретения в настоящей заявке.

Похожие патенты RU2833479C1

название год авторы номер документа
СОЕДИНЕНИЯ И СПОСОБЫ ЛЕЧЕНИЯ ПАРАЗИТАРНЫХ ЗАБОЛЕВАНИЙ 2018
  • Комер, Имон
  • Като, Нобутака
  • Морнингстар, Маршалл
  • Мелилло, Бруно
RU2793122C2
ПОЛИЦИКЛИЧЕСКОЕ СОЕДИНЕНИЕ, ДЕЙСТВУЮЩЕЕ КАК ИНГИБИТОР КИНАЗЫ 2021
  • Чзан, Ханьчэн
  • Чэн, Синь
  • Цзя, Вэй
  • Цай, Цунцун
RU2826488C1
ФАРМАЦЕВТИЧЕСКОЕ ПРИМЕНЕНИЕ СОЕДИНЕНИЯ НА ОСНОВЕ КЕТОАМИДА 2021
  • Лю, Хун
  • Ли, Цзянь
  • Пэн, Цзинцзин
  • Се, Сюн
  • Дай, Вэньхао
  • Ху, Шулэй
  • Ли, Чуньпу
  • Чжан, Лэйкэ
  • Цзинь, Чжэньмин
  • Сюй, Ечунь
  • Сяо, Гэнфу
  • Ян, Хайтао
  • Бай, Фан
  • Чэн, Си
  • Цзян, Хуалян
  • Чэнь, Кайсянь
RU2819346C1
ГЕТЕРОЦИКЛИЧЕСКОЕ АМИДНОЕ СОЕДИНЕНИЕ, ЕГО ФАРМАЦЕВТИЧЕСКИ ПРИЕМЛЕМАЯ СОЛЬ, СПОСОБ ЕГО ПОЛУЧЕНИЯ И ПРИМЕНЕНИЕ 2020
  • Дуань, Вэньху
  • Гэн, Мэйюй
  • Чзан, Хуэйбинь
  • Се, Цзоцюань
  • Чжоу, Цзиньпэй
  • Ян, Ифэй
  • Ван, Сиюань
  • Ян, Сяоцзюнь
  • Чзан, Янь
  • Ху, Чжаосюэ
  • Дин, Цзянь
RU2823875C1
НЕЙРОАКТИВНЫЕ СТЕРОИДЫ И СПОСОБЫ ИХ ПРИМЕНЕНИЯ 2019
  • Бланко-Пилладо, Мария, Хесус
  • Салитуро, Франческо, Г.
  • Морнингстар, Маршалл, Ли
RU2830163C2
РЕГУЛЯТОРЫ-ПРОИЗВОДНЫЕ СТЕРОИДОВ, СПОСОБЫ ИХ ПОЛУЧЕНИЯ И ИХ ПРИМЕНЕНИЕ 2019
  • Су Идун
  • Дэн Хайнин
  • Чэнь Сяобо
  • Бао Жуди
  • Чжан Фуцзюнь
RU2797408C2
8-ФТОРАНТРАЦИКЛИНГЛИКОЗИДЫ ИЛИ ИХ ФАРМАЦЕВТИЧЕСКИ ПРИЕМЛЕМЫЕ СОЛИ ПРИСОЕДИНЕНИЯ КИСЛОТ, СПОСОБ ИХ ПОЛУЧЕНИЯ, ФАРМАЦЕВТИЧЕСКАЯ КОМПОЗИЦИЯ, ПРОМЕЖУТОЧНЫЕ СОЕДИНЕНИЯ И СПОСОБ ИХ ПОЛУЧЕНИЯ 1991
  • Фабио Анимати[It]
  • Паоло Ломбарди[It]
  • Федерико Аркамоне[It]
RU2095365C1
ПРОИЗВОДНЫЕ ПИПЕРИДИНА, СПОСОБ ИХ ПОЛУЧЕНИЯ И ФАРМАЦЕВТИЧЕСКАЯ КОМПОЗИЦИЯ НА ИХ ОСНОВЕ 2002
  • Баттэрс Тэренс Д.
  • Дуэк Реймонд А.
  • Флит Джордж
  • Орчард Майкл Глен
  • Плэтт Фрэнсис Мэри
RU2279425C2
ГИДРИРОВАННЫЕ АЗОТСОДЕРЖАЩИЕ ГЕТЕРОЦИКЛИЧЕСКИЕ СОЕДИНЕНИЯ, ПРОИЗВОДНЫЕ ПИПЕРИДИНА, ФАРМАЦЕВТИЧЕСКАЯ КОМПОЗИЦИЯ И СПОСОБ ПОДАВЛЕНИЯ АКТИВНОСТИ ВЕЩЕСТВА Р В ОРГАНИЗМЕ 1991
  • Манодж С.Десай[In]
  • Терри Дж.Росен[Us]
RU2105758C1
СПОСОБ ПОЛУЧЕНИЯ ДИСКОДЕРМОЛИДА И ЕГО АНАЛОГОВ И ПРОМЕЖУТОЧНЫЕ СОЕДИНЕНИЯ 2001
  • Фредерик Рей Киндер
RU2283309C2

Иллюстрации к изобретению RU 2 833 479 C1

Реферат патента 2025 года СОЕДИНЕНИЕ ПЕНТАЦИКЛИЧЕСКОГО ТРИТЕРПЕНОВОГО ГЛИКОЗИДА, СПОСОБ ЕГО ПОЛУЧЕНИЯ И ПРИМЕНЕНИЯ

Настоящее изобретение относится к производному соединению пентациклического тритерпенового С-гликозида, способам его получения и его применению. В частности, настоящее изобретение относится к соединению общей формулы II или III, или его фармацевтически приемлемой соли: . В формулах II и III кольцо А выбирают из группы, состоящей из 6-членного насыщенного карбоциклического кольца или ненасыщенного карбоциклического кольца; R1, R2 и R3 каждый независимо выбирают из группы, состоящей из водорода и метильной группы; R4 выбирают из группы, состоящей из водорода и изопропенильной группы; R5 выбирают из группы, состоящей из карбоксильной группы, замещенной или незамещенной C2-C10 сложноэфирной группы, замещенной или незамещенной C1-C6 амидогруппы и Y-R7; где, Y выбирают из группы, состоящей из -(CH2)mCHR9-, карбонильной группы, и -COO-; m является 0 или 1; Z выбирают из группы, состоящей из карбонильной группы, -C(R9)2, C=N-R8, C=N-NH-R8; X выбирают из группы, состоящей из -CHR9-, карбонильной группы, S, -NHC(O)-R8, -NHS(O)2-R8, -NHC(O)NH-R8, - NHC(S)NH-R8, и -O-S(O)2-R8; n является 1 или 2. Значения R6-R9 такие, как указаны в формуле изобретения. Технический результат - разработка новых пентациклических тритерпеновых С-гликозидов, которые используются для получения лекарственного средства для лечения или профилактики метаболического или вирусного заболевания. 8 н. и 5 з.п. ф-лы, 10 ил., 3 табл., 236 пр.

Формула изобретения RU 2 833 479 C1

1. Производное соединение пентациклического тритерпенового C-гликозида со структурой, показанной в следующей общей формуле II или III, или его фармацевтически приемлемая соль:

где

кольцо А выбирают из группы, состоящей из 6-членного насыщенного карбоциклического кольца или ненасыщенного карбоциклического кольца;

R1, R2 и R3 каждый независимо выбирают из группы, состоящей из водорода и метильной группы; R4 выбирают из группы, состоящей из водорода и изопропенильной группы;

R5 выбирают из группы, состоящей из карбоксильной группы, замещенной или незамещенной C2-C10 сложноэфирной группы, замещенной или незамещенной C1-C6 амидогруппы и Y-R7; где,

Y выбирают из группы, состоящей из -(CH2)mCHR9-, карбонильной группы, и -COO-;

где m является 0 или 1;

R7 выбирают из группы, состоящей из водорода, замещенной или незамещенной C1-C6 алкильной группы, замещенной или незамещенной C2-C6 алкенильной группы, замещенного или незамещенного 5-7-членного гетероцикла, содержащего 1-3 гетероатома, выбранных из кислорода, серы и азота, и замещенной или незамещенной C5-C9 пиранозильной группы;

Z выбирают из группы, состоящей из карбонильной группы, -C(R9)2, C=N-R8, C=N-NH-R8;

R8 выбирают из группы, состоящей из водорода, замещенной или незамещенной C1-C6 алкильной группы, замещенной или незамещенной C6-C10 арильной группы;

R9 выбирают из группы, состоящей из водорода, галогена, гидроксильной группы;

R6 выбирают из группы, состоящей из водорода, замещенной или незамещенной C1-C6 алкильной группы, замещенного или незамещенного 5-7-членного гетероцикла, содержащего 1-3 гетероатома, выбранных из кислорода, серы и азота, и замещенной или незамещенной пиранозильной группы C5-C9; термин «замещенный» означает, что один или несколько водородов или гидроксильных групп в гликозильном кольце замещены заместителями, выбранными из группы, состоящей из водорода, галогена, цианогруппы, карбоксильной группы, бензильной группы, замещенной или незамещенной C1-C12 алкоксикарбонильной группы, замещенной или незамещенной C2-C12 алкаминокарбонильной группы, и C5-C9 пиранозильной группы;

X выбирают из группы, состоящей из -CHR9-, карбонильной группы, S, -NHC(O)-R8, -NHS(O)2-R8, -NHC(O)NH-R8, - NHC(S)NH-R8, и -O-S(O)2-R8;

n является 1 или 2;

если не указано иное, термин «замещенный» в приведенных выше формулах означает, что атом водорода в соответствующей группе, либо гидроксильная группа в гликозильном кольце замещены одним или несколькими заместителями, которые выбирают из группы, состоящей из галогена, гидроксильной группы, карбоксильной группы, C1-C12 алкоксикарбонильной группы, C1-C6 амидной группы, галогенированной C1-C6 алкильной группы, C2-C10 алкенильной группы, C1-C6 алкоксигруппы, C1-C6 алкиламиногруппы, C6-C10 арильной группы, пяти или шестичленной гетероарильной группы, содержащей 2 гетероатома, выбранных из азота, шестичленной неароматической гетероциклильной группы, содержащей один гетероатом, выбранный из азота или два гетероатома, выбранных из азота и кислорода, замещенной или незамещенной C2-C10 ацильной группы и C5-C9 пиранозильной группы.

2. Соединение или его фармацевтически приемлемая соль по п. 1, где соединение имеет структуру, представленную в следующей общей формуле II:

где

R5 выбирают из группы, состоящей из карбоксильной группы, замещенной или незамещенной C2-C10 сложноэфирной группы, и замещенной или незамещенной C1-C6 амидогруппы;

X выбирают из группы, состоящей из -CHR9- и карбонильной группы;

R6 представляет собой замещенную или незамещенную C5-C9 пиранозильную группу; термин «замещенный» означает, что один или несколько атомов водорода или гидроксильных групп в гликозильном кольце замещены заместителями, выбранными из группы, состоящей из водорода, галогена, цианогруппы, карбоксильной группы, бензильной группы, замещенной или незамещенной C1-C12 алкоксикарбонильной группы, замещенной или незамещенной C2-C12 алкаминокарбонильной группы, и C5-C9 пиранозильной группы;

R9 выбирают из группы, состоящей из водорода, галогена, гидроксильной группы;

кольцо А выбирают из группы, состоящей из 6-членного насыщенного карбоциклического кольца или ненасыщенного карбоциклического кольца;

n является 1 или 2.

3. Соединение или его фармацевтически приемлемая соль по п. 1, где соединение имеет структуру, представленную в следующей общей формуле III:

где

R1, R2 и R3 каждый независимо выбирают из группы, состоящей из водорода и метильной группы;

R4 выбирают из группы, состоящей из водорода и изопропенильной группы;

R7 выбирают из группы, состоящей из водорода, и замещенной или незамещенной C5-C9 пиранозильной группы; термин «замещенный» означает, что один или несколько водородов или гидроксильных групп в гликозильном кольце замещены заместителями, выбранными из группы, состоящей из галогена, карбоксильной группы, C1-C12 алкоксикарбонильной группы, замещенной или незамещенной C2-C10 ацильной группы и C5-C9 пиранозильной группы;

Y выбирают из группы, состоящей из -(CH2)mCHR9- и карбонильной группы;

m является 0 или 1;

R9 выбирают из группы, состоящей из водорода, галогена, и гидроксильной группы;

Z выбирают из группы, состоящей из карбонильной группы, -C(R9)2, С=N-R8;

кольцо А выбирают из группы, состоящей из 6-членного насыщенного карбоциклического кольца или ненасыщенного карбоциклического кольца;

n является 1 или 2.

4. Соединение или его фармацевтически приемлемая соль по п. 1, где соединение имеет структуру, представленную в следующих общих формулах IV, V и VI:

5. Соединение или его фармацевтически приемлемая соль по п. 2, где R5 выбирают из группы, состоящей из карбоксильной группы, замещенной или незамещенной C2-C10 сложноэфирной группы и замещенной или незамещенной C1-C6 амидогруппы.

6. Соединение или его фармацевтически приемлемая соль по п. 3, где R9 выбирают из группы, состоящей из водорода, гидроксильной группы.

7. Соединение или его фармацевтически приемлемая соль, выбранное из группы, состоящей из:

Номер Структура Название A1 (3S,5S,8R,9R,10S,14R,17R,18S)- 28-O-Бензил-олеаноловой кислоты 3-(1'R)-(гидроксил)метил-2'',3'',4'',6''-O-тетрабензил-β-D-глюкопиранозид A2 (3S,5S,8R,9R,10S,14R,17R,18S)- Олеаноловой кислоты 3-(1'R)-(гидроксил)метил-β-D- глюкопиранозид A3 (3R,5S,8R,9R,10S,14R,17R,18S)- 28-O-Бензил-олеаноловой кислоты 3-(1'R)-(гидроксил)метил-2'',3'',4'',6''-O-тетрабензил-β-D-глюкопиранозид A4 (3R,5S,8R,9R,10S,14R,17R,18S)- Олеаноловой кислоты 3-(1'R)-(гидроксил)метил-β-D- глюкопиранозид A5 (3S,5S,8R,9R,10S,14R,17R,18S)- 28-O-Бензил-олеаноловой кислоты 3-метил-2'',3'',4'',6''-O-тетрабензил-β-D-глюкопиранозид A6 (3S,5S,8R,9R,10S,14R,17R,18S)- Олеаноловой кислоты метил-β-D-глюкопиранозид A7 (3R,5S,8R,9R,10S,14R,17R,18S)- 28-O-Бензил-олеаноловой кислоты 3-метил-2'',3'',4'',6''-O-тетрабензил-β-D-глюкопиранозид A8 (3R,5S,8R,9R,10S,14R,17R,18S)- Олеаноловой кислоты 3-метил-β-D-глюкопиранозид A9 (3S,5S,8R,9R,10S,14R,17R,18S)- 28-O-Бензил-олеаноловой кислоты 3-карбонил-2'',3'',4'',6''-O-тетрабензил-β-D-глюкопиранозид A10 (3S,5S,8R,9R,10S,14R,17R,18S)- Олеаноловой кислоты 3-карбонил-β-D-глюкопиранозид A11 (3R,5S,8R,9R,10S,14R,17R,18S)- 28-O-Бензил-олеаноловой кислоты 3-карбонил-2'',3'',4'',6''-O-тетрабензил-β-D-глюкопиранозид A12 (3R,5S,8R,9R,10S,14R,17R,18S)- Олеаноловой кислоты 3-карбонил-β-D-глюкопиранозид A13 (3S,5S,8R,9R,10S,14R,17R,18S)- Олеаноловой кислоты 3-(1'R)-(гидроксил)метил-β-D-галактопиранозид A14 (3R,5S,8R,9R,10S,14R,17R,18S)- Олеаноловой кислоты 3-(1'R)-(гидроксил)метил-β-D-галактопиранозид A15 (3S,5S,8R,9R,10S,14R,17R,18S)- Олеаноловой кислоты 3-метил-β-D-галактопиранозид A16 (3R,5S,8R,9R,10S,14R,17R,18S)- Олеаноловой кислоты 3-метил-β-D-галактопиранозид A17 (3S,5S,8R,9R,10S,14R,17R,18S)- Олеаноловой кислоты 3-карбонил-β-D-галактопиранозид A18 (3R,5S,8R,9R,10S,14R,17R,18S)- Олеаноловой кислоты 3-карбонил-β-D-галактопиранозид A19 (3S,5S,8R,9R,10S,14R,17R,18S)- Олеаноловой кислоты 3-(1'S)-(гидроксил)метил-α-D-маннопиранозид A20 (3R,5S,8R,9R,10S,14R,17R,18S)- Олеаноловой кислоты 3-(1'S)-(гидроксил)метил-α-D-маннопиранозид A21 (3S,5S,8R,9R,10S,14R,17R,18S)- Олеаноловой кислоты 3-метил-α-D-маннопиранозид A22 (3R,5S,8R,9R,10S,14R,17R,18S)- Олеаноловой кислоты 3-метил-α-D-маннопиранозид A23 (3S,5S,8R,9R,10S,14R,17R,18S)- Олеаноловой кислоты 3-карбонил-α-D-маннопиранозид A24 (3R,5S,8R,9R,10S,14R,17R,18S)- Олеаноловой кислоты 3-карбонил-α-D-маннопиранозид A25 (3S,5S,8R,9R,10S,14R,17R,18S)- Олеаноловой кислоты 3-(1'R)-(гидроксил)метил-β-D-глюкуронопиранозид A26 (3R,5S,8R,9R,10S,14R,17R,18S)- Олеаноловой кислоты 3-(1'R)-(гидроксил)метил-β-D-глюкуронопиранозид A27 (3S,5S,8R,9R,10S,14R,17R,18S)- Олеаноловой кислоты 3-метил-β-D-глюкуронопиранозид A28 (3R,5S,8R,9R,10S,14R,17R,18S)- Олеаноловой кислоты 3-метил-β-D-глюкуронопиранозид A29 (3S,5S,8R,9R,10S,14R,17R,18S)- Олеаноловой кислоты 3-карбонил-β-D-глюкуронопиранозид A30 (3R,5S,8R,9R,10S,14R,17R,18S)- Олеаноловой кислоты 3-карбонил-β-D-глюкуронопиранозид A31 (3S,5S,8R,9R,10S,14R,17R,18S)- Олеаноловой кислоты 3-(1'R)-(гидроксил)метил-6''-дезокси-β-D-глюкопиранозид A32 (3R,5S,8R,9R,10S,14R,17R,18S)- Олеаноловой кислоты 3-(1'R)-(гидроксил)метил-6''-дезокси-β-D-глюкопиранозид A33 (3S,5S,8R,9R,10S,14R,17R,18S)- Олеаноловой кислоты 3-метил-6''-дезокси-β-D-глюкопиранозид A34 (3R,5S,8R,9R,10S,14R,17R,18S)- Олеаноловой кислоты 3-метил-6''-дезокси-β-D-глюкопиранозид A35 (3S,5S,8R,9R,10S,14R,17R,18S)- Олеаноловой кислоты 3-карбонил-6''-дезокси-β-D- глюкопиранозид A36 (3R,5S,8R,9R,10S,14R,17R,18S)- Олеаноловой кислоты 3-карбонил-6''-дезокси-β-D- глюкопиранозид A37 (3S,5S,8R,9R,10S,14R,17R,18S)- Олеаноловой кислоты 3-(1'R)-(гидроксил)метил-β-D-ксилопиранозид A38 (3R,5S,8R,9R,10S,14R,17R,18S)- Олеаноловой кислоты 3-(1'R)-(гидроксил)метил-β-D-ксилопиранозид A39 (3S,5S,8R,9R,10S,14R,17R,18S)- Олеаноловой кислоты 3-метил-β-D-ксилопиранозид A40 (3R,5S,8R,9R,10S,14R,17R,18S)- Олеаноловой кислоты 3-метил-β-D-ксилопиранозид A41 (3S,5S,8R,9R,10S,14R,17R,18S)- Олеаноловой кислоты 3-карбонил-β-D-ксилопиранозид A42 (3R,5S,8R,9R,10S,14R,17R,18S)- Олеаноловой кислоты 3-карбонил-β-D-ксилопиранозид A43 (3S,5S,8R,9R,10S,14R,17R,18S)- Олеаноловой кислоты 3-(1'S)-(гидроксил)метил-α-L-рамнопиранозид A44 (3R,5S,8R,9R,10S,14R,17R,18S)- Олеаноловой кислоты 3-(1'S)-(гидроксил)метил-α-L-рамнопиранозид A45 (3S,5S,8R,9R,10S,14R,17R,18S)- Олеаноловой кислоты 3-(1'S)-метил-α-L-рамнопиранозид A46 (3R,5S,8R,9R,10S,14R,17R,18S)- Олеаноловой кислоты 3-(1'S)-метил-α-L-рамнопиранозид A47 (3S,5S,8R,9R,10S,14R,17R,18S)- Олеаноловой кислоты 3-(1'S)-карбонил-α-L-рамнопиранозид A48 (3R,5S,8R,9R,10S,14R,17R,18S)- Олеаноловой кислоты 3-(1'S)-карбонил-α-L-рамнопиранозид A49 (3S,5S,8R,9R,10S,14R,17R,18S)- Олеаноловой кислоты 3-(1'S)-(гидроксил)метил-α-L-фукопиранозид A50 (3R,5S,8R,9R,10S,14R,17R,18S)- Олеаноловой кислоты 3-(1'S)-(гидроксил)метил-α-L-фукопиранозид A51 (3S,5S,8R,9R,10S,14R,17R,18S)- Олеаноловой кислоты 3-(1'S)-метил-α-L-фукопиранозид A52 (3R,5S,8R,9R,10S,14R,17R,18S)- Олеаноловой кислоты 3-(1'S)-метил-α-L-фукопиранозид A53 (3S,5S,8R,9R,10S,14R,17R,18S)- Олеаноловой кислоты 3-(1'S)-карбонил-α-L-фукопиранозид A54 (3R,5S,8R,9R,10S,14R,17R,18S)- Олеаноловой кислоты 3-(1'S)-карбонил-α-L-фукопиранозид A55 (3S,5S,8R,9R,10S,14R,17R,18S)- Олеаноловой кислоты 3-(1'R)-(гидроксил)метил-6''-дезокси-6''-фтор-β-D-глюкопиранозид A56 (3R,5S,8R,9R,10S,14R,17R,18S)- Олеаноловой кислоты 3-(1'R)-(гидроксил)метил-6''-дезокси-6''-фтор-β-D-глюкопиранозид A57 (3S,5S,8R,9R,10S,14R,17R,18S)- Олеаноловой кислоты 3-метил-6''-дезокси-6''-фтор-β-D- глюкопиранозид A58 (3R,5S,8R,9R,10S,14R,17R,18S)- Олеаноловой кислоты 3-метил-6''-дезокси-6''-фтор-β-D- глюкопиранозид A59 (3S,5S,8R,9R,10S,14R,17R,18S)- Олеаноловой кислоты 3-карбонил-6''-дезокси-6''-фтор-β-D-глюкопиранозид A60 (3R,5S,8R,9R,10S,14R,17R,18S)- Олеаноловой кислоты 3-карбонил-6''-дезокси-6''-фтор-β-D-глюкопиранозид A61 (3S,5S,8R,9R,10S,14R,17R,18S)- Олеаноловой кислоты 3-(1'R)-(гидроксил)метил-β-D-ксилопиранозил(1→3)-β-D-глюкуронопиранозид A62 (3R,5S,8R,9R,10S,14R,17R,18S)- Олеаноловой кислоты 3-(1'R)-(гидроксил)метил-β-D-ксилопиранозил(1→3)-β-D-глюкуронопиранозид A63 (3S,5S,8R,9R,10S,14R,17R,18S)- Олеаноловой кислоты 3-метил-β-D-ксилопиранозил(1→3)-β-D-глюкуронопиранозид A64 (3R,5S,8R,9R,10S,14R,17R,18S)- Олеаноловой кислоты 3-метил-β-D-ксилопиранозил(1→3)-β-D-глюкуронопиранозид A65 (3S,5S,8R,9R,10S,14R,17R,18S)- Олеаноловой кислоты 3-карбонил-β-D-ксилопиранозил(1→3)-β-D-глюкуронопиранозид A66 (3R,5S,8R,9R,10S,14R,17R,18S)- Олеаноловой кислоты 3-карбонил-β-D-ксилопиранозил(1→3)-β-D-глюкуронопиранозид A67 (3S,5S,8R,9R,10S,14R,17R,18S,19S,20R)-Урсоловой кислоты 3-(1'R)-(гидроксил)метил-β-D-глюкуронопиранозид A68 (3R,5S,8R,9R,10S,14R,17R,18S,19S,20R)-Урсоловой кислоты 3-(1'R)-(гидроксил)метил-β-D-глюкуронопиранозид A69 (3S,5S,8R,9R,10S,14R,17R,18S,19S,20R)-Урсоловой кислоты 3-метил-β-D-глюкуронопиранозид A70 (3R,5S,8R,9R,10S,14R,17R,18S,19S,20R)-Урсоловой кислоты 3-метил-β-D-глюкуронопиранозид A71 (3S,5S,8R,9R,10S,14R,17R,18S,19S,20R)-Урсоловой кислоты 3-карбонил-β-D-глюкуронопиранозид A72 (3R,5S,8R,9R,10S,14R,17R,18S,19S,20R)-Урсоловой кислоты 3-карбонил-β-D-глюкуронопиранозид A73 (3S,5S,8R,9R,10S,13R,14R,17S,18R,19R)-Бетулиновой кислоты 3-(1'R)-(гидроксил)метил-β-D-глюкуронопиранозид A74 (3S,5S,8R,9R,10S,13R,14R,17S,18R,19R)-Бетулиновой кислоты 3-(1'R)-(гидроксил)метил-β-D-глюкуронопиранозид A75 (3S,5S,8R,9R,10S,13R,14R,17S,18R,19R)-Бетулиновой кислоты 3-метил-β-D-глюкуронопиранозид A76 (3S,5S,8R,9R,10S,13R,14R,17S,18R,19R)-Бетулиновой кислоты 3-метил-β-D-глюкуронопиранозид A77 (3S,5S,8R,9R,10S,13R,14R,17S,18R,19R)-Бетулиновой кислоты 3-карбонил-β-D-глюкуронопиранозид A78 (3S,5S,8R,9R,10S,13R,14R,17S,18R,19R)-Бетулиновой кислоты 3-карбонил-β-D-глюкуронопиранозид A79 (5S,8R,9R,10S,14R,17R,18S)- 3-Карбонил-олеаноловой кислоты 28-β-D-глюкуронопиранозид A80 (5S,8R,9R,10S,14R,17R,18S)- 3-Карбонил-олеаноловой кислоты 17-(1'R)-(гидроксил)метил-β-D-глюкуронопиранозид A81 (5S,8R,9R,10S,14R,17R,18S)- 3-Карбонил-олеаноловой кислоты 17-метил-β-D-глюкуронопиранозид A82 (5S,8R,9R,10S,14R,17R,18S19S,20R)-3-Карбонилурсоловой кислоты 28-β-D-глюкуронопиранозид A83 (5S,8R,9R,10S,14R,17R,18S19S,20R)-3-Карбонилурсоловой кислоты 17-(1'R)-(гидроксил)метил-β-D-глюкуронопиранозид A84 (5S,8R,9R,10S,14R,17R,18S,19S,20R)-3-Карбонилурсоловой кислоты 17-метил-β-D-глюкуронопиранозид A85 (5S,8R,9R,10S,13R,14R,17S,18R,19R)-3-Карбонилбетулиновой кислоты 28-β-D-глюкуронопиранозид A86 (5S,8R,9R,10S,13R,14R,17S,18R,19R)-3-Карбонилбетулиновой кислоты 17-(1'R)-(гидроксил)метил-β-D-глюкуронопиранозид A87 (5S,8R,9R,10S,13R,14R,17S,18R,19R)-3-Карбонилбетулиновой кислоты 17-метил-β-D-глюкуронопиранозид A88 (3S,5S,8R,9R,10S,14R,17R,18S)- 28-O-Этил-олеаноловой кислоты 3-(1'R)-(гидроксил)метил-β-D-глюкуронопиранозид A89 (3S,5S,8R,9R,10S,14R,17R,18S)- 28-O-Аллил-олеаноловой кислоты 3-(1'R)-(гидроксил)метил-β-D-глюкуронопиранозид A90 (3S,5S,8R,9R,10S,14R,17R,18S)- 28-O-(O-Этил)карбоксиметил-олеаноловой кислоты 3-(1'R)-(гидроксил)метил-β-D-глюкуронопиранозид A91 (3S,5S,8R,9R,10S,14R,17R,18S)- 28-O-Ацетоксиолеаноловой кислоты 3-(1'R)-(гидроксил)метил-β-D-глюкуронопиранозид A92 (3S,5S,8R,9R,10S,14R,17R,18S)- 28-O-Гидроксиэтил-олеаноловой кислоты 3-(1'R)-(гидроксил)метил-β-D-глюкуронопиранозид A93 (3S,5S,8R,9R,10S,14R,17R,18S)- 28-O-(N-Метил)аминоэтил-олеаноловой кислоты 3-(1'R)-(гидроксил)метил-β-D-глюкуронопиранозид A94 (3S,5S,8R,9R,10S,14R,17R,18S)- 28-O-(N,N-Диэтил)аминоэтил-олеаноловой кислоты 3-(1'R)-(гидроксил)метил-β-D-глюкуронопиранозид A95 (3S,5S,8R,9R,10S,14R,17R,18S)- 28-O-Гидроксилбут-2'''-инил-олеаноловой кислоты 3-(1'R)-(гидроксил)метил-β-D-глюкуронопиранозид A96 (3S,5S,8R,9R,10S,14R,17R,18S)- 28-O-Циклогексил-олеаноловой кислоты 3-(1'R)-(гидроксил)метил-β-D-глюкуронопиранозид A97 (3S,5S,8R,9R,10S,14R,17R,18S)- 28-(O-Метил)карбоксиметиламиноолеаноловой кислоты 3-(1'R)-(гидроксил)метил-β-D-глюкуронопиранозид A98 (3S,5S,8R,9R,10S,14R,17R,18S)- 28-Карбоксиметиламиноолеаноловой кислоты 3-(1'R)-(гидроксил)метил-β-D-глюкуронопиранозид A99 (3S,5S,8R,9R,10S,14R,17R,18S)- 28-(N,N-Диэтил)аминопропиламиноолеаноловой кислоты 3-(1'R)-(гидроксил)метил-β-D-глюкуронопиранозид A100 (3S,5S,8R,9R,10S,14R,17R,18S)- 28-(N-Ацетил)аминопропиламиноолеаноловой кислоты 3-(1'R)-(гидроксил)метил-β-D-глюкуронопиранозид A101 (3S,5S,8R,9R,10S,14R,17R,18S)- 28-(N,N-Диэтил)аминогексиламиноолеаноловой кислоты 3-(1'R)-(гидроксил)метил-β-D-глюкуронопиранозид A102 (3S,5S,8R,9R,10S,14R,17R,18S)- 28-(N-Ацетил)аминогексиламиноолеаноловой кислоты 3-(1'R)-(гидроксил)метил-β-D-глюкуронопиранозид A103 (3S,5S,8R,9R,10S,14R,17R,18S)- 28-(N-Этил)аминогексиламиноолеаноловой кислоты 3-(1'R)-(гидроксил)метил-β-D-глюкуронопиранозид A104 (3S,5S,8R,9R,10S,14R,17R,18S)- 28-O-(Пиразол-1''-ил)метил-олеаноловой кислоты 3-(1'R)-(гидроксил)метил-β-D-глюкуронопиранозид A105 (3S,5S,8R,9R,10S,14R,17R,18S)- 28-O-(Пиперидин-1''-ил)метил-олеаноловой кислоты 3-(1'R)-(гидроксил)метил-β-D-глюкуронопиранозид A106 (3S,5S,8R,9R,10S,14R,17R,18S)- 28-O-(Морфолин-4''-ил)метил-олеаноловой кислоты 3-(1'R)-(гидроксил)метил-β-D-глюкуронопиранозид A107 (3S,5S,8R,9R,10S,14R,17R,18S)- Олеаноловой кислоты 3-(1'R)-фторметил-β-D-глюкуронопиранозид A108 (3S,5S,8R,9R,10S,14R,17R,18S)- Олеаноловой кислоты 3-(1'R)-(гидроксил)метил-28-(1''R)-(гидроксил)метил-β-D-диглюкуронопиранозид A109 (3S,5S,8R,9R,10S,14R,17R,18S)- Олеаноловой кислоты 3-(1'R)-(гидроксил)метил-6''-O-метил-β-D-глюкуронопиранозид A110 (3S,5S,8R,9R,10S,14R,17R,18S)- Олеаноловой кислоты 3-(1'R)-(гидроксил)метил-6''-O-н-бутил-β-D-глюкуронопиранозид A111 (3S,5S,8R,9R,10S,14R,17R,18S)- Олеаноловой кислоты 3-(1'R)-(гидроксил)метил-6''-O-изобутил-β-D-глюкуронопиранозид A112 (3S,5S,8R,9R,10S,14R,17R,18S)- Олеаноловой кислоты 3-(1'R)-(гидроксил)метил-6''-O-бензил-β-D-глюкуронопиранозид A113 (3S,5S,8R,9R,10S,14R,17R,18S)- Олеаноловой кислоты 3-(1'R)-(гидроксил)метил-6''-O-(1-фторацетил)-β-D-глюкуронопиранозид A114 (3S,5S,8R,9R,10S,14R,17R,18S)- Олеаноловой кислоты 3-(1'R)-(гидроксил)метил-6''-метиламино-β-D-глюкуронопиранозид A115 (3S,5S,8R,9R,10S,14R,17R,18S)- Олеаноловой кислоты 3-(1'R)-(гидроксил)метил-6''-н-бутиламино-β-D-глюкуронопиранозид A116 (3S,5S,8R,9R,10S,14R,17R,18S)- Олеаноловой кислоты 3-(1'R)-(гидроксил)метил-6''-изобутиламино-β-D-глюкуронопиранозид A117 (3S,5S,8R,9R,10S,14R,17R,18S)- Олеаноловой кислоты 3-(1'R)-(гидроксил)метил-6''-бензиламино-β-D-глюкуронопиранозид A118 (3S,5S,8R,9R,10S,14R,17R,18S)- Олеаноловой кислоты 3-(1'R)-(гидроксил)метил-6''-диметиламино-β-D-глюкуронопиранозид A119 (3S,5S,8R,9R,10S,14R,17R,18S)- Олеаноловой кислоты 3-(1'R)-(гидроксил)метил-6''-(1-фторэтиламино)-β-D-глюкуронопиранозид A120 (3S,5S,8R,9R,10S,14R,17R,18S)- Олеаноловой кислоты 3-(1'R)-(гидроксил)метил-5''-циано-β-D-ксилопиранозид A121 (5S,8R,9R,10S,14R,17R,18S)- 3-Карбонил-олеаноловой кислоты 17-(1'S)-(гидроксил)метил-β-D-маннопиранозид A122 (3S,5S,8R,9R,10S,14R,17R,18S)- Олеаноловой кислоты 17-(1'S)-(гидроксил)метил-β-D-маннопиранозид A123 (3S,5S,8R,9R,10S,14R,17R,18S)- 3-Метоксиолеаноловой кислоты 17-(1'S)-(гидроксил)метил-β-D-маннопиранозид A124 (3S,5S,8R,9R,10S,14R,17R,18S)- 3-(4-фторциклогексокси)олеаноловой кислоты 17-(1'S)-(гидроксил)метил-β-D-маннопиранозид A125 (3S,5S,8R,9R,10S,14R,17R,18S)- 3-Ацетоксиолеаноловой кислоты 17-(1'S)-(гидроксил)метил-β-D-маннопиранозид A126 (3S,5S,8R,9R,10S,14R,17R,18S)- 3-Фторацетоксиолеаноловой кислоты 17-(1'S)-(гидроксил)метил-β-D-маннопиранозид A127 (3S,5S,8R,9R,10S,14R,17R,18S)- 3-(4-фторфенилацетокси)олеаноловой кислоты 17-(1'S)-(гидроксил)метил-β-D-маннопиранозид A128 (3S,5S,8R,9R,10S,14R,17R,18S)- 3-(4-Трифторметилфенилсульфонилокси)олеаноловой кислоты 17-(1'S)-(гидроксил)метил-β-D-маннопиранозид A129 (3S,5S,8R,9R,10S,14R,17R,18S)- 3-(2,3,5,6-Тетрафторбензамид)олеаноловой кислоты 17-(1'S)-(гидроксил)метил-β-D-маннопиранозид A130 (3S,5S,8R,9R,10S,14R,17R,18S)- 3-(4-Трифторметилбензолсульфонамидо)олеаноловой кислоты 17-(1'S)-(гидроксил)метил-β-D-маннопиранозид A131 (5S,8R,9R,10S,14R,17R,18S)- 3-Оксимидоолеаноловой кислоты 17-(1'S)-(гидроксил)метил-β-D-маннопиранозид A132 (5S,8R,9R,10S,14R,17R,18S)- 3-Метилгидразинилиденолеаноловой кислоты 17-(1'S)-(гидроксил)метил-β-D-маннопиранозид A133 (5S,8R,9R,10S,14R,17R,18S)- 3-Фенилгидразинилиденолеаноловой кислоты 17-(1'S)-(гидроксил)метил-β-D-маннопиранозид A134 (3S,5S,8R,9R,10S,14R,17R,18S)- 3-(4-Фторфенилуреидо)олеаноловой кислоты 17-(1'S)-(гидроксил)метил-β-D-маннопиранозид A135 (3S,5S,8R,9R,10S,14R,17R,18S)- 3-(4-Фторфенилтиоуреидо)олеаноловой кислоты 17-(1'S)-(гидроксил)метил-β-D-маннопиранозид A136 (3S,5S,8R,9R,10S,14R,17R,18S)- 3-Формил-олеаноловой кислоты 17-(1'S)-(гидроксил)метил-β-D-маннопиранозид A137 (3S,5S,8R,9R,10S,14R,17R,18S)- 3-(3-Фторциклобутилтио)олеаноловой кислоты 17-(1'S)-(гидроксил)метил-β-D-маннопиранозид A138 (3S,5S,8R,9R,10S,14R,17R,18S)- 3-Фенилтиоолеаноловой кислоты 17-(1'S)-(гидроксил)метил-β-D-маннопиранозид A139 (5S,8R,9R,10S,14R,17R,18S)- 3-Карбонил-олеаноловой кислоты 28-β-D-маннопиранозид A140 (5S,8R,9R,10S,14R,17R,18S)- 3-Карбонил-олеаноловой кислоты 17-(1'S)-фторметил-β-D-маннопиранозид A141 (5S,8R,9R,10S,14R,17R,18S)- 3-Карбонил-олеаноловой кислоты 17-метил-β-D-маннопиранозид A142 (5S,8R,9R,10S,14R,17R,18S)- 3-Карбонил-олеаноловой кислоты 17-(1'S)-(гидроксил)метил-2'',3'',4'',6''-O-тетраацетил-β-D-маннопиранозид A143 (3S,5S,8R,9R,10S,14R,17R,18S)- Олеаноловой кислоты 17-(1'S)-(гидроксил)метил-2'',3'',4'',6''-O-тетраацетил-β-D-маннопиранозид A144 (5S,8R,9R,10S,14R,17R,18S)- 3-Карбонил-олеаноловой кислоты 17-метил-2'',3'',4'',6''-O-тетраацетил-β-D-маннопиранозид A145 (5S,8R,9R,10S,14R,17R,18S)- 3-Карбонил-олеаноловой кислоты 17-(2'S)-(гидроксил)этил-β-D-маннопиранозид A146 (5S,8R,9R,10S,14R,17R,18S)- 3-Карбонил-олеаноловой кислоты 17-(2'S)-(гидроксил)этил-2'',3'',4'',6''-O-Тетраацетил-β-D-маннопиранозид A147 (5S,8R,9R,10S,14R,17R,18S)- 3-Карбонилурсоловой кислоты 17-(2'S)-(гидроксил)этил-2'',3'',4'',6''-O-тетраацетил-β-D-маннопиранозид A148 (5S,8R,9R,10S,14R,17R,18S)- 3-Карбонилбетулиновой кислоты 17-(2'S)-(гидроксил)этил-2'',3'',4'',6''-O-тетраацетил-β-D-маннопиранозид A149 (5S,8R,9R,10S,14R,17R,18S)- 3-Карбонил-олеаноловой кислоты 17-(1'R)-(гидроксил)метил-β-D-ксилопиранозид A150 (5S,8R,9R,10S,14R,17R,18S)- 3-Карбонил-олеаноловой кислоты 17метил-β-D-ксилопиранозид A151 (3S,5S,8R,9R,10S,14R,17R,18S)- Олеаноловой кислоты 17-(1'R)-(гидроксил)метил-β-D-ксилопиранозид A152 (5S,8R,9R,10S,14R,17R,18S)- 3-Карбонил-олеаноловой кислоты 17-(1'R)-(гидроксил)метил-2'',3'',4''-O-триацетил-β-D-ксилопиранозид A153 (5S,8R,9R,10S,14R,17R,18S)- 3-Карбонил-олеаноловой кислоты 17-метил-2'',3'',4''-O-триацетил-β-D-ксилопиранозид A154 (5S,8R,9R,10S,14R,17R,18S)- 3-Карбонил-олеаноловой кислоты 17-(2'R)-(гидроксил)этил-2'',3'',4''-O-триацетил-β-D-ксилопиранозид A155 (5S,8R,9R,10S,14R,17R,18S)- 3-Карбонилурсоловой кислоты 17-(2'R)-(гидроксил)этил-2'',3'',4''-O-триацетил-β-D-ксилопиранозид A156 (5S,8R,9R,10S,14R,17R,18S)- 3-Карбонилбетулиновой кислоты 17-(2'R)-(гидроксил)этил-2'',3'',4''-O-триацетил-β-D-ксилопиранозид A157 (5S,8R,9R,10S,14R,17R,18S)- 3-Карбонил-олеаноловой кислоты 17-(1'R)-(гидроксил)метил-β-D-галактопиранозид A158 (5S,8R,9R,10S,14R,17R,18S)- 3-Карбонил-олеаноловой кислоты 17-метил-β-D-галактопиранозид A159 (3S,5S,8R,9R,10S,14R,17R,18S)- Олеаноловой кислоты 17-(1'R)-(гидроксил)метил-β-D-галактопиранозид A160 (5S,8R,9R,10S,14R,17R,18S)- 3-Карбонил-олеаноловой кислоты 17-(1'R)-(гидроксил)метил-2'',3'',4'',6''-O-тетраацетил-β-D-галактопиранозид A161 (5S,8R,9R,10S,14R,17R,18S)- 3-Карбонил-олеаноловой кислоты 17-метил-2'',3'',4'',6''-O-тетраацетил-β-D-галактопиранозид A162 (5S,8R,9R,10S,14R,17R,18S)- 3-Карбонил-олеаноловой кислоты 17-(2'R)-(гидроксил)этил-β-D-галактопиранозид A163 (5S,8R,9R,10S,14R,17R,18S)- 3-Карбонил-олеаноловой кислоты 17-(2'R)-(гидроксил)этил-2'',3'',4'',6''-O-тетраацетил-β-D-галактопиранозид A164 (5S,8R,9R,10S,14R,17R,18S)- 3-Карбонилурсоловой кислоты 17-(2'R)-(гидроксил)этил-2'',3'',4'',6''-O-тетраацетил-β-D-галактопиранозид A165 (5S,8R,9R,10S,14R,17R,18S)- 3-Карбонилбетулиновой кислоты 17-(2'R)-(гидроксил)этил-2'',3'',4'',6''-O-тетраацетил-β-D-галактопиранозид A166 (5S,8R,9R,10S,14R,17R,18S)- 3-Карбонил-олеаноловой кислоты 17-(1'R)-(гидроксил)метил-α-L-рамнопиранозид A167 (5S,8R,9R,10S,14R,17R,18S)- 3-Карбонил-олеаноловой кислоты 17-метил-α-L-рамнопиранозид A168 (3S,5S,8R,9R,10S,14R,17R,18S)- Олеаноловой кислоты 17-(1'R)-(гидроксил)метил-α-L-рамнопиранозид A169 (5S,8R,9R,10S,14R,17R,18S)- 3-Карбонил-олеаноловой кислоты 17-(1'R)-(гидроксил)метил-2'',3'',4''-O-триацетил-α-L-рамнопиранозид A170 (5S,8R,9R,10S,14R,17R,18S)- 3-Карбонил-олеаноловой кислоты 17-метил-2'',3'',4''-O-триацетил-α-L-рамнопиранозид A171 (5S,8R,9R,10S,14R,17R,18S)- 3-Карбонил-олеаноловой кислоты 17-(2'R)-(гидроксил)этил-α-L-рамнопиранозид A172 (5S,8R,9R,10S,14R,17R,18S)- 3-Карбонил-олеаноловой кислоты 17-(2'R)-(гидроксил)этил-2'',3'',4''-O-триацетил-α-L-рамнопиранозид A173 (5S,8R,9R,10S,14R,17R,18S)- 3-Карбонилурсоловой кислоты 17-(2'R)-(гидроксил)этил-2'',3'',4''-O-триацетил-α-L-рамнопиранозид A174 (5S,8R,9R,10S,14R,17R,18S)- 3-Карбонилбетулиновой кислоты 17-(2'R)-(гидроксил)этил-2'',3'',4''-O-триацетил-α-L-рамнопиранозид A175 (3S,5S,8R,9R,10S,14R,17R,18S)- Олеаноловой кислоты 17-(1'R)-(гидроксил)метил-β-D-глюкуронопиранозид A176 (5S,8R,9R,10S,14R,17R,18S)- 3-Карбонил-олеаноловой кислоты 17-карбонил-2'',3'',4''-O-триацетил-β-D-глюкуронопиранозид A177 (5S,8R,9R,10S,14R,17R,18S)- 3-Карбонил-олеаноловой кислоты 17-(1'R)-(гидроксил)метил-2'',3'',4''-O-триацетил-β-D-глюкуронопиранозид A178 (5S,8R,9R,10S,14R,17R,18S)- 3-Карбонил-олеаноловой кислоты 17-метил-2'',3'',4''-O-триацетил-β-D-глюкуронопиранозид A179 (5S,8R,9R,10S,14R,17R,18S)- 3-Карбонил-олеаноловой кислоты 17-(2'R)-(гидроксил)этил-β-D-глюкуронопиранозид A180 (5S,8R,9R,10S,14R,17R,18S)- 3-Карбонил-олеаноловой кислоты 17-(2'R)-(гидроксил)этил-2'',3'',4''-O-триацетил-β-D-глюкуронопиранозид A181 (5S,8R,9R,10S,14R,17R,18S)- 3-Карбонилурсоловой кислоты 17-(2'R)-(гидроксил)этил-2'',3'',4''-O-триацетил-β-D-глюкуронопиранозид A182 (5S,8R,9R,10S,14R,17R,18S)- 3-Карбонилбетулиновой кислоты 17-(2'R)-(гидроксил)этил-2'',3'',4''-O-триацетил-β-D-глюкуронопиранозид A183 (5S,8R,9R,10S,14R,17R,18S)- 3-Карбонил-олеаноловой кислоты 17-(1'R)-(гидроксил)метил-6''-дезокси-6''-фтор-β-D-глюкопиранозид A184 (5S,8R,9R,10S,14R,17R,18S)- 3-Карбонил-олеаноловой кислоты 17метил-6''-дезокси-6''-фтор-β-D- глюкопиранозид A185 (3S,5S,8R,9R,10S,14R,17R,18S)- Олеаноловой кислоты 17-(1'R)-(гидроксил)метил-6''-дезокси-6''-фтор-β-D- глюкопиранозид A186 (5S,8R,9R,10S,14R,17R,18S)- 3-Карбонил-олеаноловой кислоты 17-(1'R)-(гидроксил)метил-2'',3'',4''-O-триацетил-6''-дезокси-6''-фтор-β-D-глюкопиранозид A187 (5S,8R,9R,10S,14R,17R,18S)- 3-Карбонил-олеаноловой кислоты 17-метил-2'',3'',4''-O-триацетил-6''-дезокси-6''-фтор-β-D- глюкопиранозид A188 (5S,8R,9R,10S,14R,17R,18S)- 3-Карбонил-олеаноловой кислоты 17-(2'R)-(гидроксил)этил-6''-дезокси-6''-фтор-β-D-глюкопиранозид A189 (5S,8R,9R,10S,14R,17R,18S)- 3-Карбонил-олеаноловой кислоты 17-(2'R)-(гидроксил)этил-2'',3'',4''-O-триацетил-6''-дезокси-6''-фтор-β-D-глюкопиранозид A190 (5S,8R,9R,10S,14R,17R,18S)- 3-Карбонилурсоловой кислоты 17-(2'R)-(гидроксил)этил-2'',3'',4''-O-триацетил-6''-дезокси-6''-фтор-β-D-глюкопиранозид A191 (5S,8R,9R,10S,14R,17R,18S)- 3-Карбонилбетулиновой кислоты 17-(2'R)-(гидроксил)этил-2'',3'',4''-O-триацетил-6''-дезокси-6''-фтор-β-D-глюкопиранозид A192 (5S,8R,9R,10S,14R,17R,18S)- 3-Карбонил-олеаноловой кислоты 17-(1'R)-(гидроксил)метил-β-D- глюкопиранозид A193 (5S,8R,9R,10S,14R,17R,18S)- 3-Карбонил-олеаноловой кислоты 17метил-β-D-глюкопиранозид A194 (3S,5S,8R,9R,10S,14R,17R,18S)- Олеаноловой кислоты 17-(1'R)-(гидроксил)метил-β-D- глюкопиранозид A195 (5S,8R,9R,10S,14R,17R,18S)- 3-Карбонил-олеаноловой кислоты 17-(1'R)-(гидроксил)метил-2'',3'',4'',6''-O-тетраацетил-β-D-глюкопиранозид A196 (5S,8R,9R,10S,14R,17R,18S)- 3-Карбонил-олеаноловой кислоты 17-метил-2'',3'',4'',6''-O-тетраацетил-β-D-глюкопиранозид A197 (5S,8R,9R,10S,14R,17R,18S)- 3-Карбонил-олеаноловой кислоты 17-(2'R)-(гидроксил)этил-β-D- глюкопиранозид A198 (5S,8R,9R,10S,14R,17R,18S)- 3-Карбонил-олеаноловой кислоты 17-(2'R)-(гидроксил)этил-2'',3'',4'',6''-O-тетраацетил-β-D-глюкопиранозид A199 (5S,8R,9R,10S,14R,17R,18S)- 3-Карбонилурсоловой кислоты 17-(2'R)-(гидроксил)этил-2'',3'',4'',6''-O-тетраацетил-β-D-глюкопиранозид A200 (5S,8R,9R,10S,14R,17R,18S)- 3-Карбонилбетулиновой кислоты 17-(2'R)-(гидроксил)этил-2'',3'',4'',6''-O-тетраацетил-β-D-глюкопиранозид A201 (5S,8R,9R,10S,14R,17R,18S)- 3-Карбонил-олеаноловой кислоты 28-β-D-глюкопиранозид A202 (5S,8R,9R,10S,14R,17R,18S)- 3-Карбонилурсоловой кислоты 28-β-D-глюкопиранозид A203 (5S,8R,9R,10S,14R,17R,18S)- 3-Карбонилурсоловой кислоты 17-(1'R)-(гидроксил)метил-β-D- глюкопиранозид A204 (3S,5S,8R,9R,10S,14R,17R,18S)- Урсоловой кислоты 17-(1'R)-(гидроксил)метил-β-D- глюкопиранозид A205 (3S,5S,8R,9R,10S,14R,17R,18S)- Урсоловой кислоты 28-β-D-глюкопиранозид A206 (3S,5S,8R,9R,10S,14R,17R,18S)- Олеаноловой кислоты 28-β-D-глюкопиранозид A207 (3S,5S,8R,9R,10S,13R,14R,17S,18R,19R)-Бетулиновой кислоты 28-β-D-глюкопиранозид A208 (3S,5S,8R,9R,10S,13R,14R,17S,18R,19R)-Бетулиновой кислоты 17-(1'R)-(гидроксил)метил-β-D- глюкопиранозид A209 (5S,8R,9R,10S,13R,14R,17S,18R,19R)-3-Карбонилбетулиновой кислоты 17-(1'R)-(гидроксил)метил-β-D- глюкопиранозид A210 (5S,8R,9R,10S,13R,14R,17S,18R,19R)-3-Карбонилбетулиновой кислоты 28-β-D-глюкопиранозид A211 (5S,8R,9R,10S,13R,14R,17S,18R,19R)-3-Карбонилбетулиновой кислоты 17-метил-β-D-глюкопиранозид A212 (5S,8R,9R,10S,14R,17R,18S)- 3-Карбонилурсоловой кислоты 17-метил-β-D-глюкопиранозид A213 (3S,5S,8R,9R,10S,14R,17R,18S)- Олеаноловой кислоты 17-метил-β-D-глюкопиранозид A214 (3S,5S,8R,9R,10S,14R,17R,18S)- 3-Карбонилурсоловой кислоты 17-метил-β-D-глюкопиранозид A215 (3S,5S,8R,9R,10S,13R,14R,17S,18R,19R)-Бетулиновой кислоты 17-метил-β-D-глюкопиранозид A216 (3R,5S,8R,9R,10S,14R,17R,18S)- Олеаноловой кислоты 28-β-D-глюкопиранозид A217 (3R,5S,8R,9R,10S,14R,17R,18S)- Олеаноловой кислоты 17-(1'R)-(гидроксил)метил-β-D- глюкопиранозид A218 (3R,5S,8R,9R,10S,14R,17R,18S)- Урсоловой кислоты 17-(1'R)-(гидроксил)метил-β-D- глюкопиранозид A219 (3R,5S,8R,9R,10S,14R,17R,18S)- Урсоловой кислоты 28-β-D-глюкопиранозид A220 (5S,8R,9R,10S,14R,17R,18S)- 3-Карбонил-олеаноловой кислоты 28-6''-O-метил-β-D-глюкуронопиранозид A221 (5S,8R,9R,10S,14R,17R,18S)- 3-Карбонил-олеаноловой кислоты 28-6''-O-этил-β-D-глюкуронопиранозид A222 (5S,8R,9R,10S,14R,17R,18S)- 3-Карбонил-олеаноловой кислоты 28-6''-O-2'''-фторэтил-β-D-глюкуронопиранозид A223 (5S,8R,9R,10S,14R,17R,18S)- 3-Карбонил-олеаноловой кислоты 17-(1'R)-(гидроксил)метил-6''-O-метил-β-D-глюкуронопиранозид A224 (5S,8R,9R,10S,14R,17R,18S)- 3-Карбонилурсоловой кислоты 28-6''-O-метил-β-D-глюкуронопиранозид A225 (3S,5S,8R,9R,10S,13R,14R,17S,18R,19R)-Бетулиновой кислоты 28-6''-O-метил-β-D-глюкуронопиранозид A226 (5S,8R,9R,10S,14R,17R,18S)- 3-Карбонилбетулиновой кислоты 17-(1'R)-(гидроксил)метил-6''-O-метил-β-D-глюкуронопиранозид A227 (5S,8R,9R,10S,14R,17R,18S)- 3-Карбонил-олеаноловой кислоты 28-6''-O-изопропил-β-D-глюкуронопиранозид A228 (5S,8R,9R,10S,14R,17R,18S)- 3-Карбонил-олеаноловой кислоты 28-6''-O-циклопропилметил-β-D-глюкуронопиранозид A229 (5S,8R,9R,10S,14R,17R,18S)- 3-Карбонил-олеаноловой кислоты 28-6''-N-этил-β-D-глюкуронопиранозид A230 (5S,8R,9R,10S,14R,17R,18S)- 3-Карбонил-олеаноловой кислоты 28-6''-N-2'''-фторэтил-β-D-глюкуронопиранозид

8. Способ получения соединения по п. 1, где способ получения включает следующую схему 1:

схема 1: получение соединения формулы II с использованием соединения формулы IIa в качестве исходного материала по любой из схем (1)-(6):

(1) стадия a;

(2) стадии a и b;

(3) стадии a и c;

(4) стадии a, c и b;

(5) стадии a и d; и

(6) стадии a, d и b;

где каждая группа определена, как описано в п. 1;

стадия а: реакция соединения VII с соединением IIa с получением продукта;

стадия b: восстановление продукта предыдущей стадии с получением продукта;

стадия c: алкилирование продукта предыдущей стадии с получением продукта;

стадия d: реакция продукта предыдущей стадии с реактивом Десса-Мартина с получением соединения формулы II;

где структура соединения VII имеет следующий вид:

9. Способ получения соединения по п. 1, где способ получения включает следующую схему 2:

схема 2: получение соединения формулы III с использованием соединения формулы IIIa в качестве исходного материала по любой из схем (1)-(6):

(1) стадия a;

(2) стадии a и b;

(3) стадии a и c;

(4) стадии a, c и b;

(5) стадии a и d; и

(6) стадии a, d и b;

где каждая группа определена, как описано в п. 1;

стадия а: реакция соединения VII с соединением IIIa с получением продукта;

стадия b: восстановление продукта предыдущей стадии с получением продукта;

стадия c: алкилирование продукта предыдущей стадии с получением продукта;

стадия d: реакция продукта предыдущей стадии с реактивом Десса-Мартина с получением соединения формулы III;

где структура соединения VII имеет следующий вид:

10. Фармацевтическая композиция, содержащая терапевтически эффективное количество одного или нескольких соединений формулы II и формулы III или их фармацевтически приемлемых солей по п. 1, а также один или несколько фармацевтических носителей, вспомогательных веществ, добавок, наполнителей и/или разбавителей; и фармацевтическая композиция предназначена для применения при лечении или профилактике метаболического заболевания, выбранного из диабета, ожирения, фиброза печени.

11. Фармацевтическая композиция, содержащая терапевтически эффективное количество одного или нескольких соединений формулы II и формулы III или их фармацевтически приемлемых солей по п. 1, а также один или несколько фармацевтических носителей, вспомогательных веществ, добавок, наполнителей и/или разбавителей; и фармацевтическая композиция предназначена для применения при лечении или профилактике вирусного заболевания выбранного из гриппа и коронавируса.

12. Применение соединения формулы II и формулы III или их фармацевтически приемлемых солей по п. 1 для получения лекарственного средства для лечения или профилактики метаболического заболевания, относящегося к диабету, ожирению, фиброзу печени.

13. Применение соединения формулы II и формулы III или их фармацевтически приемлемых солей по п. 1 для получения лекарственного средства для лечения или профилактики вирусного заболевания выбранного из гриппа и коронавируса.

Документы, цитированные в отчете о поиске Патент 2025 года RU2833479C1

CN 105566435 B, 19.12.2017
CN 104910239 B, 07.12.2018
CN 1853637 B, 12.05.2010
CN 101817862 A, 01.09.2010
CN 108530508 B, 03.01.2020
CN 109481684 A, 19.03.2019
WO 2017106836 A1, 22.06.2017
Miquel, N., et al
Аппарат для очищения воды при помощи химических реактивов 1917
  • Гордон И.Д.
SU2A1

RU 2 833 479 C1

Авторы

Лю, Хун

Ван, Цзян

Лю, Ичу

Юй, Чанюэ

Ван, Ибин

Цзян, Хуалян

Чэнь, Кайсянь

Даты

2025-01-22Публикация

2021-07-05Подача