ГИБРИДНЫЕ БЕЛКИ ФРАГМЕНТОВ БЕЛКОВ ЧЕЛОВЕКА ДЛЯ СОЗДАНИЯ УПОРЯДОЧЕННО МУЛЬТИМЕРИЗОВАННЫХ КОМПОЗИЦИЙ ОБЛАСТЕЙ FC ИММУНОГЛОБУЛИНОВ С УСИЛЕННЫМ СВЯЗЫВАНИЕМ С СИСТЕМОЙ КОМПЛЕМЕНТА Российский патент 2025 года по МПК C07K16/00 C07K16/46 A61K39/395 A61K47/68 A61P19/02 

Описание патента на изобретение RU2837284C2

ПЕРЕКРЕСТНАЯ ССЫЛКА НА РОДСТВЕННЫЕ ЗАЯВКИ

[0001] Настоящая заявка испрашивает приоритет согласно предварительной заявке на патент США №62/196478, поданной 24 июля 2015 г., содержание которой полностью включено в настоящую заявку посредством ссылки.

ОПИСАНИЕ ТЕКСТОВОГО ФАЙЛА, ПРЕДОСТАВЛЕННОГО В ЭЛЕКТРОННОМ ВИДЕ

[0002] Содержимое текстового файла, предоставленного в электронном виде, полностью включено в настоящий документ посредством ссылки: копия перечня последовательностей в машиночитаемом формате (название файла: GLIK_015_01WO_SeqList_ST25.txt, дата регистрации: 22 июля 2016 года, размер файла 193 килобайта).

ОБЛАСТЬ ТЕХНИКИ

[0003] Настоящее изобретение в целом относится к областям иммунологии, аутоиммунитета, воспаления и иммунологии опухолей. Более конкретно, настоящее изобретение относится к биологически активным молекулам биомиметиков, содержащим домены Fc иммуноглобулинов, которые проявляют измененное связывание с рецептором Fc и сохраненное или усиленное связывание с элементами системы комплемента, к композициям, содержащим указанные биомиметики, а также к способам получения и применения указанных биомиметиков. Настоящее изобретение также относится к лечению или предотвращению патологических состояний, таких как опосредованные комплементом заболевания, аутоиммунные заболевания, воспалительные заболевания, заболевания крови и различные виды рака.

УРОВЕНЬ ТЕХНИКИ

[0004] Система комплемента является частью иммунной системы, которая вовлечена в лизис клеток-мишеней и фагоцитоз антигенов. В настоящее время известны три основных пути комплемента: классический путь, альтернативный путь и путь связывания лектина. Классический путь системы комплемента активируется при связывании белка C1q с одной или несколькими молекулами интактного иммуноглобулина IgM или по меньшей мере двумя молекулами интактного иммуноглобулина IgG1, IgG2 или IgG3 (Janeway’s Immunobiology, 8th Ed., Murphy ed., Garland Science, 2012, Chapter 10). Активация системы комплемента приводит к комплемент-зависимой цитотоксичности (CDC). Было показано, что изменения в области Fc моноклональных антител повышают или снижают аффинность связывания комплемента (Moore et al., MAbs. 2(2): 181-9 (2010). Однако указанная работа была выполнена применительно к моноклональному антителу и поэтому зависела, по крайней мере, частично, от специфичности Fab в отношении мишени, также в ней не была рассмотрена авидность связывания.

[0005] Чрезмерная активация и/или осаждение комплемента могут оказывать вредное влияние и могут быть связаны со многими заболеваниями, включая миастению гравис, гемолитический уремический синдром (HUS) и пароксизмальную ночную гемоглобинурию (PNH). В мозге субъектов пожилого возраста были обнаружены существенно повышенные концентрации компонента системы комплемента C1q (Stephan et al., J. Neuroscience, 14 August 2013, 33(33): 13460-13474). Система комплемента существенно вовлечена в патофизиологию миастении гравис, обусловленной выработкой антител к рецептору ацетилхолина (Tűzűn and Christadoss, Autoimmun Rev. 2013 Jul; 12(9):904-11. doi: 10.1016/j.autrev.2013.03.003). Ряд результатов иммунологических, генетических исследований и биохимических исследований белков указывают на то, что система комплемента играет важную роль в этиологии возрастной дегенерации желтого пятна (Weber et al., Dtsch Arztebl Int., 2014 Feb; 111(8): 133-138. doi:10.3238/arztebl.2014.0133). Существуют убедительные доказательства того, что классический и альтернативный пути системы комплемента патологически активируются при ревматоидном артрите, а также в животных моделях ревматоидного артрита (Okroj et al., Ann Med. 2007;39(7):517-30).

[0006] Классический, альтернативный и лектиновый пути активируются последовательно, и все три пути вовлечены в системное заболевание. Активация системы комплемента связана с патофизиологией системных аутоиммунных заболеваний. Давно было установлено, что активация посредством классического пути вовлечена в патофизиологию заболеваний, обусловленных иммунными комплексами, таких как криоглобулинемический васкулит и системная красная волчанка (Chen et al., Journal of Autoimmunity, 2009; doi:10.1016/j.jaut.2009.11.014). Активация системы комплемента посредством альтернативного и лектинового путей обнаруживается у пациентов с нефритом, вызванным пурпурой Шенлейна-Геноха, и обусловленной IgA нефропатией (Hisano et al., Am J Kidney Dis 2005;45:295e302). Важность системы комплемента при мембранозной нефропатии, одной из наиболее распространенных причин взрослого нефротического синдрома, хорошо описана. Мембранозная нефропатия характеризуется клубочковыми субэпителиальными иммунными отложениями. Исследования нефрита Хеймана, экспериментальной модели мембранозной нефропатии, показали, что эти отложения локально активируют систему комплемента с последующим повреждением подоцитов, что в результате приводит к реорганизации цитоскелета, потере щелевых диафрагм и протеинурии (Beck et al., The Role of Complement in Membranous Nephropathy. Semin Nephrol 2013 Nov;33(6):531-42).

[0007] Активация системы комплемента чрезвычайно сложный процесс, при этом даже спустя много десятилетий после того как, согласно представлениям, механизм данного процесса был полностью установлен, все еще продолжают обнаруживать новые компоненты каскада. Первым этапом в каскаде классического пути активации системы комплемента является связывание C1q с антителом. (Nature. 1988 Apr 21;332(6166):738-40; The binding site for C1q on IgG. Duncan AR, Winter G.).

[0008] Связывание неагрегированного антитела с C3 или C3b, по-видимому, происходит без активации комплемента в плазме крови, но, как полагают, поддерживается в основном комплексами продукта активации C3b2 с IgG (Mol Immunol. 2006 Jan;43(1-2):2-12. Complement amplification revisited. Lutz HU, Jelezarova E). Однако во время активации альтернативного пути системы комплемента иммунными агрегатами, содержащими антитело IgG, альфа-цепь C3b может ковалентно связываться в одном или двух местах с частью Fd тяжелой цепи IgG (т.е. с частью тяжелой цепи, которая входит в состав фрагмента Fab) (Biochem J. May 1, 1981; 195(2): 471-480). The binding of complement component C3 to antibody-antigen aggregates after activation of the alternative pathway in human serum. K J Gadd and K B Reid)). Традиционно, компоненты системы комплемента C4a, C3a, C5a и комплекс атаки мембраны, как правило, называли продуктами расщепления комплемента или анафилотоксинами. Однако данные, представленные в литературных источниках, ясно указывают на то, что в некоторых случаях C4a (Xie et al., International Immunopharmacology 12 (2012) 158-168), C3a (Coulthard and Woodruff, J Immunol 2015; 194:3542-3548) и C5a (Nishise et al., Therapeutic Apheresis and Dialysis 13(6):509-514 и Gerard et al., J. Biol Chem. 280(48):39677-39680, December 2, 2005) являются противовоспалительными и не связаны с распространением каскада.

[0009] Преобладающим терапевтическим средством, доступным в настоящее время коммерчески для лечения заболеваний, опосредованных комплементом, является антитело к C5, экулизумаб, которое связывается с C5 и ингибирует его расщепление на C5a и C5b-9, частично ингибируя протекание нисходящих реакций каскада системы комплемента и связанные с ними воспалительные и тромботические реакции. Однако указанное антитело не оказывает прямого воздействия на предшествующие реакции с участием компонентов системы комплемента, например, C1q, C1R, C1S, C1-подобного комплекса, или на C4, C4a, C4b, C2, C1, C4b2, C2b, C4b2a, C3, C3a или C3b, которые являются компонентами лектинового пути, классического пути и альтернативного пути, реакции которых предшествуют реакциям с участием компонента C5 системы комплемента, и которые могут быть предпочтительными мишенями для лечения заболевания. Напротив, нормальные иммуноглобулины и моноклональные антитела связываются с C1q и другими мишенями, которые вовлечены в реакции, предшествующие реакциям с участием С5. Следовательно, в данной области техники существует потребность в улучшенных способах лечения заболеваний, опосредованных комплементом, посредством связывания компонентов каскада системы комплемента, участвующих в начальных реакциях активации, и последующей модуляции каскада системы комплемента. В настоящее время существует дополнительная потребность в усовершенствованных способах лечения заболеваний, опосредованных комплементом, с применением соединения, содержащего область Fc иммуноглобулина, которая связывается с гексамерным C1q с авидностью, а не только с аффинностью, которая при этом не связывается со значительной авидностью с низкоаффинными рецепторами Fc.

[00010] Нативная область Fc иммуноглобулина IgG1 связывается в природных условиях более чем с десятком лигандов, одним из которых является фактор системы комплемента C1q. Другие лиганды области Fc IgG1 включают, но не ограничиваются ими, канонические рецепторы Fc, неонатальный рецептор FcRn, железо, белок A, FcRL1-6, TRIM21 и DC-SIGN. Растворимый гомодимерный IgG1 естественным образом связывается с C1q с аффинностью, которая является слишком низкой, чтобы быть функциональной (CA Diebolder et. al. Complement Is Activated by IgG Hexamers Assembled at the Cell Surface. Science Mar 2014; 343(6176):1260-1263), и с высокой скоростью диссоциации (Gaboriaud et. al. The crystal structure of the globular head of complement protein C1q provides a basis for its versatile recognition properties. J. Biol. Chem. 2003 Nov 21;278(47):46974-82). Однако в том случае, если IgG1 связан с антигеном-мишенью посредством своего Fab, происходит конформационное изменение (M. Oda et. al. Evidence of allosteric conformational changes in the antibody constant region upon antigen binding. Int. Immunol. (2003) 15 (3): 417-426), и аффинность связывания с C1q увеличивается.

[00011] Кроме того, поскольку IgG1 накапливается в месте скопления антигена, множество областей Fc иммуноглобулина могут быть представлены C1q, что приводит к более авидному связыванию в месте связывания антигена. Поскольку C1q является гексамером с шестью сайтами связывания Fc (KB Reid. Chemistry and molecular genetics of C1q. Behring Inst Mitt. 1989 Jul;(84):8-19), то связывание агрегированного IgG1 является высокоавидным (Diebolder, 2014). Следовательно, прочно связанный IgG1 связывается с C1q не только с аффинностью гомодимерного иммуноглобулина, но также с авидностью, что приводит к комплемент-зависимой цитотоксичности, в дополнение к доступности для сшивания рецепторов Fc, что в результате приводит к антитело-зависимой цитотоксичности (ADCC) и антитело-зависимому фагоцитозу клеток (ADCP). Полученный функциональный ответ связывания кластеров области Fc, связанной с гексамерным C1q, представляет собой сигнал активации классического пути системы комплемента с образованием C1qC1rC1s и расщеплением C4 на C4a и C4b. Растворимые агрегаты IgG1, которые обнаруживаются в природных условиях в очень низких концентрациях (Soltis and Hasz. Spontaneous aggregation of native immunoglobulins in hypoalbuminemic serum. J Clin Lab Immunol. 1982 Oct;9(1):13-7), и в объединенном внутривенном иммуноглобулине человека (IVIG) (A. Herrera et. al. Immunoglobulin composition of three commercially available intravenous immunoglobulin preparations. J. All Clin Immunol, 84(1):556-561), представляют собой поливалентную область Fc IgG1, не связанную с ее лигандами, включая низкоаффинные рецепторы Fc и C1q. Растворимые (т.е. не связанные с клеткой) агрегаты IgG1, следовательно, способны к авидному связыванию с гексамерным C1q. Связывание растворимого C1q с растворимыми агрегатами IgG1 (т.е. не связанными с клеткой) может ингибировать последующую активацию каскада системы комплемента, включая ингибирование CDC.

[00012] Объединенный IVIG человека, который объединен из образцов десятков тысяч доноров крови, содержит очень небольшую и переменную долю (0,1-5%) агрегатов IgG1, которые имитируют природное действие растворимых агрегатов нативного IgG1. IVIG связывается с C1q и, как было показано, может быть использован в клинических условиях при опосредованных комплементом заболеваниях, таких как миастения гравис. Однако применение IVIG связано со всеми сопутствующими рисками, которые опосредованы тем, что он является продуктом крови, не вырабатывается рекомбинантно, имеет слабо контролируемые количества агрегатов IgG1 и состоит в основном из неактивных фракций для лечения заболеваний, опосредованных комплементом. Более того, лечение с применением IVIG также часто приводит к нежелательной провоспалительной реакции за счет связывания с низкоаффинными рецепторами Fc (Andresen et. al. Product equivalence study comparing various human immunoglobulin-G formulations. J Clin Pharmacol 2000; 40:722-730 и Ghielmetti et. al. Gene expression profiling of the effects of intravenous immunoglobulin in human whole blood. Mol Immunol 43 (2006) 939-949). Существует потребность в новых, единообразных терапевтических препаратах, полученных с помощью рекомбинантных способов, которые имитируют природный процесс, характерный для агрегированной растворимой области Fc IgG1, действующей в качестве акцептора системы комплемента, посредством авидного связывания с C1q, избегая при этом нежелательных провоспалительных реакций благодаря преимущественному связыванию с компонентами системы комплемента, по сравнению с другими природными лигандами, включая низкоаффинные рецепторы Fc.

КРАТКОЕ ОПИСАНИЕ ИЗОБРЕТЕНИЯ

[00013] Настоящее изобретение относится к биологически активным гибридным белковым молекулам биомиметиков, содержащим один или более доменов Fc иммуноглобулина человека и один или более доменов мультимеризации, причем домен Fc гибридного белка содержит одну или более точечных мутаций. Согласно одному аспекту настоящего изобретения молекулы биомиметиков предпочтительно связываются с одним или более компонентами системы комплемента, по сравнению с нормальной неагрегированной областью Fc иммуноглобулина человека. Согласно некоторым вариантам реализации настоящего изобретения предпочтительное связывание с одним или более компонентами системы комплемента достигается посредством домена Fc биомиметика, обладающего сниженной способностью к связыванию с каноническими рецепторами Fc, по сравнению с нормальной неагрегированной областью Fc иммуноглобулина или, в другом варианте, нормальной агрегированной областью Fc иммуноглобулина. Согласно некоторым вариантам реализации настоящего изобретения биологически активные гибридные белковые молекулы биомиметиков содержат страдомерные блоки. В настоящем изобретении предложены композиции, содержащие биологически активные гибридные белковые молекулы биомиметиков и способы их применения.

[00014] Согласно одному аспекту в настоящем изобретении предложен страдомерный блок, содержащий по меньшей мере один домен Fc IgG1, содержащий одну или более точечных мутаций, соответствующих по меньшей мере одному из положений 267, 268 и/или 324 домена Fc IgG1. Согласно некоторым вариантам реализации настоящего изобретения страдомерный блок также содержит по меньшей мере один домен мультимеризации. Согласно некоторым вариантам реализации настоящего изобретения аминокислота в положении 267 мутирована с заменой серина (Ser, S) на любую другую аминокислоту. Согласно другим вариантам реализации настоящего изобретения аминокислота в положении 267 мутирована с заменой на глутаминовую кислоту (Glu; E). Согласно некоторым вариантам реализации настоящего изобретения аминокислота в положении 268 мутирована с заменой гистидина (His; H) на любую другую аминокислоту. Согласно другим вариантам реализации настоящего изобретения аминокислота в положении 268 мутирована с заменой на фенилаланин (Phe; F). Согласно некоторым вариантам реализации настоящего изобретения аминокислота в положении 324 мутирована с заменой серина на любую другую аминокислоту. Согласно другим вариантам реализации настоящего изобретения аминокислота в положении 324 мутирована с заменой на треонин (Thr; T). Согласно некоторым вариантам реализации настоящего изобретения домен Fc страдомерного блока содержит точечные мутации в положениях 267, 268 и 324. Согласно другим вариантам реализации настоящего изобретения домен Fc содержит точечные мутации S267E, H268F и S324T.

[00015] Согласно некоторым вариантам реализации настоящего изобретения страдомерный блок содержит домен Fc IgG1, содержащий аминокислотную последовательность, содержащую точечные мутации в положениях 267, 268 и/или 324 и дополнительно содержащую по меньшей мере одну точечную мутацию в положении 233 и/или 234, и/или 235, и/или 236, и/или 238, и/или 265, и/или 297, и/или 299, и/или 328. Согласно одному варианту реализации настоящего изобретения аминокислота в положении 297 мутирована с заменой аспарагина (Asn; N) на любую другую аминокислоту. Согласно другому варианту реализации настоящего изобретения аминокислота в положении 297 мутирована с заменой на аланин (Ala; A). Согласно одному варианту реализации настоящего изобретения аминокислота в положении 299 мутирована с заменой треонина (T) на любую другую аминокислоту, за исключением серина или цистеина. Согласно другому варианту реализации настоящего изобретения аминокислота в положении 299 мутирована с заменой на аланин (Ala; A). Согласно одному варианту реализации настоящего изобретения аминокислота в положении 238 мутирована с заменой пролина (Pro; P) на любую другую аминокислоту. Согласно другому варианту реализации настоящего изобретения аминокислота в положении 238 мутирована с заменой на аспарагиновую кислоту (Asp; D). Согласно одному варианту реализации настоящего изобретения аминокислота в положении 233 мутирована с заменой глутаминовой кислоты (Glu; E) на любую другую аминокислоту. Согласно другому варианту реализации настоящего изобретения аминокислота в положении 233 мутирована с заменой на пролин (Pro; P). Согласно другому варианту реализации настоящего изобретения аминокислота в положении 236 мутирована с заменой глицина (Gly; G) на любую другую аминокислоту. Согласно другому варианту реализации настоящего изобретения аминокислота в положении 236 мутирована с заменой на аргинин (Arg; R). Согласно одному варианту реализации настоящего изобретения аминокислота в положении 236 удалена. Согласно одному варианту реализации настоящего изобретения аминокислота в положении 234 мутирована с заменой лейцина (Leu; L) на любую другую аминокислоту. Согласно другому варианту реализации настоящего изобретения аминокислота в положении 234 мутирована с заменой на валин (Val; V) или аланин (Ala; A). Согласно другому варианту реализации настоящего изобретения аминокислота в положении 235 мутирована с заменой лейцина (Leu; L) на любую другую аминокислоту. Согласно другому варианту реализации настоящего изобретения аминокислота в положении 235 мутирована с заменой на аланин (Ala; A). Согласно одному варианту реализации настоящего изобретения аминокислота в положении 265 мутирована с заменой аспарагиновой кислоты (Asp; D) на любую другую аминокислоту. Согласно другому варианту реализации настоящего изобретения аминокислота в положении 265 мутирована с заменой на аланин (Ala; A). Согласно другому варианту реализации настоящего изобретения аминокислота в положении 265 мутирована с заменой на триптофан (Trp; W). Согласно одному варианту реализации настоящего изобретения аминокислота в положении 297 мутирована с заменой аспарагина (Asn; N) на любую другую аминокислоту. Согласно одному варианту реализации настоящего изобретения аминокислота в положении 297 мутирована с заменой на аланин (Ala; A). Согласно одному варианту реализации настоящего изобретения аминокислота в положении 297 мутирована с заменой на глутамин (Gln; Q). Согласно одному варианту реализации настоящего изобретения аминокислота в положении 299 мутирована с заменой треонина (Thr; T) на любую другую аминокислоту, за исключением серина (Ser; S) или цистеина (Cys; C). Согласно одному варианту реализации настоящего изобретения аминокислота в положении 299 мутирована с заменой на аланин. Согласно одному варианту реализации настоящего изобретения аминокислота в положении 298 мутирована с заменой на любую аминокислоту, за исключением пролина. Согласно одному варианту реализации настоящего изобретения аминокислота в положении 328 мутирована с заменой лейцина (Leu; L) на любую другую аминокислоту. Согласно другому варианту реализации настоящего изобретения аминокислота в положении 328 мутирована с заменой на фенилаланин (Phe; F).

[00016] Согласно некоторым вариантам реализации настоящего изобретения домен Fc страдомерного блока содержит точечные мутации в положениях 267, 268, 297 и 324. Согласно другим вариантам реализации настоящего изобретения домен Fc содержит точечные мутации S267E, H268F, N297A и S324T.

[00017] Согласно некоторым вариантам реализации настоящего изобретения домен Fc страдомерного блока содержит точечные мутации в положениях 234, 235, 267, 268 и 324. Согласно другим вариантам реализации настоящего изобретения домен Fc содержит точечные мутации L234V, L235A, S267E, H268F и S324T.

[00018] Согласно некоторым вариантам реализации настоящего изобретения домен Fc страдомерного блока содержит точечные мутации в положениях 234, 235, 267, 268, 297 и 324. Согласно другим вариантам реализации настоящего изобретения домен Fc содержит точечные мутации L234V, L235A, S267E, H268F, N297A и S324T.

[00019] Согласно некоторым вариантам реализации настоящего изобретения домен Fc страдомерного блока содержит точечные мутации в положениях 233, 234, 235, 267, 268 и 324 и делецию аминокислоты в положении 236. Согласно другим вариантам реализации настоящего изобретения домен Fc содержит точечные мутации E233P, L234A, L235A, S267E, H268F и S324T и делецию аминокислоты в положении 236.

[00020] Согласно некоторым вариантам реализации настоящего изобретения домен Fc страдомерного блока содержит точечные мутации в положениях 233, 234, 235, 267, 268, 297 и 324. Согласно другим вариантам реализации настоящего изобретения домен Fc содержит точечные мутации E233P, L234A, L235A, S267E, H268F, N297A и S324T.

[00021] Согласно некоторым вариантам реализации настоящего изобретения домен Fc страдомерного блока содержит точечную мутацию в положениях 265, 267, 268 и 324. Согласно другим вариантам реализации настоящего изобретения домен Fc содержит точечные мутации D265A, S267E, H268F и S324T.

[00022] Согласно некоторым вариантам реализации настоящего изобретения домен Fc страдомерного блока содержит точечную мутацию в положениях 238, 267, 268 и 324. Согласно другим вариантам реализации настоящего изобретения домен Fc содержит точечные мутации P238D, S267E, H268F и S324T.

[00023] Согласно некоторым вариантам реализации настоящего изобретения домен Fc страдомерного блока содержит точечную мутацию в положениях 238, 267, 268, 297 и 324. Согласно другим вариантам реализации настоящего изобретения домен Fc содержит точечные мутации P238D, S267E, H268F, N297A и S324T.

[00024] Согласно некоторым вариантам реализации настоящего изобретения домен Fc страдомерного блока содержит точечную мутацию в положениях 236, 267, 268 и 324. Согласно другим вариантам реализации настоящего изобретения домен Fc содержит точечные мутации G236R, S267E, H268F и S324T.

[00025] Согласно некоторым вариантам реализации настоящего изобретения домен Fc страдомерного блока содержит точечную мутацию в положениях 233, 236, 267, 268 и 324. Согласно другим вариантам реализации настоящего изобретения домен Fc содержит точечные мутации E233P, G236R, S267E, H268F и S324T.

[00026] Согласно некоторым вариантам реализации настоящего изобретения домен Fc страдомерного блока содержит точечную мутацию в положениях 233, 236, 267, 268, 324 и 328. Согласно другим вариантам реализации настоящего изобретения домен Fc содержит точечные мутации E233P, G236R, S267E, H268F, S324T и L328F.

[00027] Согласно некоторым вариантам реализации настоящего изобретения домен Fc страдомерного блока содержит точечную мутацию в положениях 238, 265, 267, 268 и 324. Согласно другим вариантам реализации настоящего изобретения домен Fc содержит точечные мутации P238D, D265G, S267E, H268F и S324T. Согласно другим вариантам реализации настоящего изобретения домен Fc содержит точечные мутации P238D, D265W, S267E, H268F и S324T.

[00028] Согласно некоторым вариантам реализации настоящего изобретения домен Fc страдомерного блока содержит точечную мутацию в положениях 267, 268, 324 и 328. Согласно другим вариантам реализации настоящего изобретения домен Fc содержит точечные мутации S267E, H268F, S324T и L328F.

[00029] Согласно некоторым вариантам реализации настоящего изобретения домен Fc страдомерного блока содержит точечную мутацию в положениях 233, 234, 235, 267, 268, 297, 324 и 328 и делецию аминокислоты в положении 236. Согласно другим вариантам реализации настоящего изобретения домен Fc содержит точечные мутации E233P, L234V, L235A, S267E, H268F, N297A, S324T и L328F и делецию аминокислоты в положении 236.

[00030] Согласно некоторым вариантам реализации настоящего изобретения домен Fc страдомерного блока содержит точечную мутацию в положениях 233, 268 и 324. Согласно другим вариантам реализации настоящего изобретения домен Fc содержит точечные мутации E233P, H268F и S324T.

[00031] Согласно некоторым вариантам реализации настоящего изобретения домен Fc страдомерного блока содержит точечную мутацию в положениях 233, 268, 297 и 324. Согласно другим вариантам реализации настоящего изобретения домен Fc содержит точечные мутации E233P, H268F, S324T и точечную мутацию в положении 297, отличную от N297A или N297Q.

[00032] Согласно некоторым вариантам реализации настоящего изобретения домен Fc страдомерного блока содержит точечную мутацию в положениях 233, 268, 299 и 324. Согласно другим вариантам реализации настоящего изобретения домен Fc содержит точечные мутации E233P, H268F, S324T и точечную мутацию в положении 299, отличную от T299S и T299C. Согласно некоторым вариантам реализации настоящего изобретения домен Fc страдомерного блока содержит точечные мутации E233P, H268F, S324T и T299A.

[00033] Согласно некоторым вариантам реализации настоящего изобретения домен Fc страдомерного блока содержит точечные мутации в положениях 233, 268, 324 и 267. Согласно некоторым вариантам реализации настоящего изобретения домен Fc страдомерного блока содержит точечные мутации E233P, H268F, S324T и точечную мутацию в положении 267, отличную от точечной мутации S267E.

[00034] Согласно некоторым вариантам реализации настоящего изобретения домен Fc страдомерного блока содержит точечные мутации в положениях 233, 268, 324, 267 и 297. Согласно другим вариантам реализации настоящего изобретения домен Fc страдомерного блока содержит точечные мутации E233P, H268F, S324T, точечную мутацию в положении 267, отличную от точечной мутации S267E, и точечную мутацию в положении 297, отличную от точечной мутации N297A и N297Q. Согласно другим вариантам реализации настоящего изобретения домен Fc страдомерного блока содержит мутации в положениях 233, 268, 324, 267 и 297. Согласно другим вариантам реализации настоящего изобретения домен Fc страдомерного блока содержит точечные мутации E233P, H268F, S324T, точечную мутацию в положении 267, отличную от точечной мутации S267E, точечную мутацию в положении 297, отличную от точечной мутации N297A и N297Q, и точечную мутацию в положении 299, отличную от точечных мутаций T299S и T299C. Согласно другим вариантам реализации настоящего изобретения мутация в положении 299 представляет собой T299A.

[00035] Согласно некоторым вариантам реализации настоящего изобретения домен Fc страдомерного блока содержит точечные мутации в положениях 233, 268, 324, 267 и 236. Согласно некоторым вариантам реализации настоящего изобретения домен Fc страдомерного блока содержит точечные мутации E233P, H268F, S324T, точечную мутацию в положении 267, отличную от S267E, и точечную мутацию в положении 236, отличную от G236R.

[00036] Согласно некоторым вариантам реализации настоящего изобретения домен Fc страдомерного блока содержит точечные мутации в положениях 233, 268, 324, 267, 236 и 297. Согласно некоторым вариантам реализации настоящего изобретения домен Fc страдомерного блока содержит точечные мутации E233P, H268F, S324T, точечную мутацию в положении 267, отличную от S267E, точечную мутацию в положении 236, отличную от G236R, и точечную мутацию в положении 297, отличную от N297A и N297Q.

[00037] Согласно некоторым вариантам реализации настоящего изобретения домен Fc страдомерного блока содержит точечные мутации в положениях 233, 268, 324, 267, 236 и 299, причем точечная мутация в положении 299 представляет собой точечную мутацию, отличную от T299S и T299C. Согласно некоторым вариантам реализации настоящего изобретения домен Fc страдомерного блока содержит точечные мутации E233P, H268F, S324T, точечную мутацию в положении 267, отличную от S267E, точечную мутацию в положении 236, отличную от G236R, и T299A.

[00038] Согласно некоторым вариантам реализации настоящего изобретения домен Fc страдомерного блока содержит точечные мутации по меньшей мере в одном из положений 267, 268 и/или 324 и дополнительно содержит точечную мутацию в трех или более из положений 233, 235, 236, 267, 268, 297, 299 и/или 324. Согласно некоторым вариантам реализации настоящего изобретения домен Fc страдомерного блока содержит точечные мутации по меньшей мере в одном из положений 267, 268 и/или 324 и дополнительно содержит точечную мутацию в трех или более из положений 233, 235, отличную от L235H, 236, отличную от 236R, 267, отличную от S267E, 268, 297, отличную от N297A, или, в другом варианте, 299 и/или 324.

[00039] Согласно одному варианту реализации настоящего изобретения страдомер содержит домен мультимеризации, причем указанный домен мультимеризации выбран из группы, состоящей из шарнирной области IgG2, изолейциновой молнии и домена GPP, и способен мультимеризовать указанные страдомерные блоки. Согласно некоторым вариантам реализации настоящего изобретения домен мультимеризации создает мультимеры указанных страдомерных блоков. Согласно другим вариантам реализации настоящего изобретения мультимеры указанных страдомерных блоков представляют собой высокоупорядоченные мультимеры.

[00040] Согласно некоторым вариантам реализации настоящего изобретения страдомер содержит, в направлении от амино- к карбоксильному концу, лидерную последовательность; домен Fc, содержащий шарнирную область IgG1, CH2 IgG1 и CH3 IgG1; и шарнирную область IgG2, причем страдомер содержит одну или более точечных мутаций согласно настоящему изобретению. Согласно другому варианту реализации настоящего изобретения лидерная последовательность отщепляется при экспрессии. Следовательно, согласно другому варианту, в настоящем изобретении предложен страдомер, содержащий, в направлении от амино- к карбоксильному концу, домен Fc, содержащий шарнирную область IgG1, CH2 IgG1 и CH3 IgG1; и шарнирную область IgG2, причем страдомер содержит одну или более точечных мутаций согласно настоящему изобретению. Согласно одному варианту реализации настоящего изобретения страдомер содержит аминокислотную последовательность, выбранную из группы, состоящей из SEQ ID NO: 10-16, 18-63 и 65-77, или ее функциональный вариант.

[00041] Согласно некоторым вариантам реализации настоящего изобретения страдомер содержит, в направлении от амино- к карбоксильному концу, лидерную последовательность; шарнирную область IgG2; и домен Fc, содержащий шарнирную область IgG1, CH2 IgG1 и CH3 IgG1, причем страдомер содержит одну или более точечных мутаций согласно настоящему изобретению. Согласно другому варианту реализации настоящего изобретения лидерная последовательность отщепляется при экспрессии. Следовательно, согласно другому варианту, в настоящем изобретении предложен страдомер, содержащий, в направлении от амино- к карбоксильному концу, шарнирную область IgG2; и домен Fc, содержащий шарнирную область IgG1, CH2 IgG1 и CH3 IgG1, причем указанный страдомер содержит одну или более точечных мутаций согласно настоящему изобретению. Согласно одному варианту реализации настоящего изобретения страдомер содержит аминокислотную последовательность, выбранную из SEQ ID NO: 17 и SEQ ID NO: 64, или ее функциональный вариант.

[00042] Согласно некоторым вариантам реализации настоящего изобретения страдомер содержит, в направлении от амино- к карбоксильному концу, лидерную последовательность; шарнирную область IgG2; и домен Fc, содержащий CH2 IgG1 и CH3 IgG1, причем указанный страдомер содержит одну или более точечных мутаций согласно настоящему изобретению. Согласно другому варианту реализации настоящего изобретения лидерная последовательность отщепляется при экспрессии. Следовательно, согласно другому варианту, в настоящем изобретении предложен страдомер, содержащий, в направлении от амино- к карбоксильному концу, шарнирную область IgG2; и домен Fc, содержащий CH2 IgG1 и CH3 IgG1, причем указанный страдомер содержит одну или более точечных мутаций согласно настоящему изобретению.

[00043] Согласно одному варианту реализации настоящего изобретения страдомерный блок также содержит одну или более аминокислотных линкерных последовательностей. Согласно другому варианту реализации настоящего изобретения линкер является расщепляемым. Согласно другому варианту реализации настоящего изобретения линкер является чувствительным к протеазе. Согласно одному варианту реализации настоящего изобретения линкер расщепляется протеазой, которая преимущественно является внутриклеточной. Согласно другому варианту реализации настоящего изобретения линкер расщепляется протеазой, которая преимущественно присутствует в аппарате Гольджи и эндоплазматическом ретикулуме. Согласно одному варианту реализации настоящего изобретения линкер расщепляется фурином. Согласно другому варианту реализации настоящего изобретения линкер расщепляется протеазой, которая является преимущественно органоспецифической протеазой, такой как, например, протеаза нейропсин, которая обнаруживается в мозге. Согласно другому варианту реализации настоящего изобретения линкер расщепляется протеазой, которая является преимущественно опухолеспецифической протеазой, такой как, например, металлопротеиназа 9 и урокиназный активатор плазминогена.

[00044] Согласно некоторым вариантам реализации настоящего изобретения страдомерный блок преимущественно связывается с комплементом, по сравнению с FcγRI, FcγRII, включая FcγRIIa и/или FcγRIIb, и/или FcγRIII. Согласно некоторым вариантам реализации настоящего изобретения страдомерный блок проявляет сниженное связывание с низкоаффинным рецептором Fcγ. Согласно другим вариантам реализации настоящего изобретения страдомерный блок проявляет сниженное связывание с FcγRI, FcγRII, включая FcγRIIa и/или FcγRIIb, и/или FcγRIII, по сравнению со страдомером с аналогичной структурой, который не содержит точечной мутации в одном или более положениях 267, 268 и/или 324.

[00045] Согласно некоторым вариантам реализации настоящего изобретения страдомерный блок содержит мутацию в 297, 298 или 299 и сохраняет связывание с C1q, ингибирует CDC и сохраняет связывание с FcγRI или с низкоаффинным рецептором Fcγ, включая FcγRIIa, FcγRIIb и/или FcγRIII.

[00046] Согласно одному аспекту в настоящем изобретении предложен кластерный страдомер, содержащий два или более страдомерных блоков, раскрытых в настоящем документе. Например, в некоторых вариантах, в настоящем изобретении предложен кластерный страдомер, содержащий два или более страдомерных блоков, содержащих домен Fc IgG1, содержащий аминокислотную последовательность, содержащую точечные мутации в положениях 267, 268 и/или 324. Согласно другим вариантам реализации настоящего изобретения два или более страдомерных блоков дополнительно содержат по меньшей мере одну точечную мутацию в положении 233 и/или 234, и/или 235, и/или 236, и/или 238, и/или 265, и/или 297, и/или 299, и/или 328. Согласно некоторым вариантам реализации настоящего изобретения два или более страдомерных блоков содержат делецию аминокислоты в положении 236.

[00047] Согласно некоторым вариантам реализации настоящего изобретения страдомеры, предложенные в настоящем изобретении, используют для лечения или предотвращения заболеваний и расстройств, включая, но не ограничиваясь ими, опосредованные комплементом заболевания, аутоиммунные заболевания, воспалительные заболевания, аллергии, опосредованные B-клетками заболевания, опосредованные антителами заболевания, нарушения со стороны почек и заболевания крови.

[00048] В некоторых вариантах опосредованное антителами заболевание выбрано из группы, состоящей из болезни Гудпасчера; отторжения трансплантата плотного органа; нейромиелита зрительного нерва; нейромиотонии; лимбического энцефалита; синдрома фибриллярной хореи Морвана; миастении гравис; миастенического синдрома Ламберта-Итона; вегетативной невропатии; болезни Альцгеймера; атеросклероза; болезни Паркинсона; синдрома мышечной скованности или гиперэкплексии; рецидивирующего спонтанного аборта; синдрома Хьюза; системной красной волчанки; аутоиммунной мозжечковой атаксии; заболеваний соединительной ткани, включая склеродерму, синдром Шегрена; полимиозита; ревматоидного артрита; узелкового полиартериита; синдрома Тибьержа-Вейсенбаха; эндокардита; тиреоидита Хашимото; смешанного заболевания соединительной ткани; каналопатий; педиатрических аутоиммунных нейропсихиатрических расстройств, связанных со стрептококковыми инфекциями (PANDAS); клинических состояний, связанных с антителами к рецепторам N-метил-D-аспартата, в частности NR1, контактин-ассоциированному белку 2, рецепторам AMPA, GluR1/GluR2, глутаматдекарбоксилазе, рецепторам Gly-альфа-1a, рецептору ацетилхолина, VGCC типа P/Q, VGKC, MuSK, рецепторам GABAB; аквапорину-4; и пузырчатки. Согласно некоторым вариантам реализации настоящего изобретения аутоиммунное заболевание представляет собой артрит.

[00049] Согласно некоторым вариантам реализации настоящего изобретения опосредованное системой комплемента заболевание выбрано из группы, состоящей из миастении гравис, гемолитического уремического синдрома (HUS), атипичного гемолитического уремического синдрома (aHUS), пароксизмальной ночной гемоглобинурии (PNH), нейромиелита зрительного нерва, опосредованного антителами отторжения аллотрансплантатов, нефропатии, включая мембранозную нефропатию и нефрит, включая мембранопролиферативный гломерулонефрит (MPGN) и волчаночный нефрит.

[00050] Согласно некоторым вариантам реализации настоящего изобретения заболевание крови представляет собой анемию, такую как, серповидно-клеточные заболевания, включая гемоглобин SS, гемоглобин SC, гемоглобин Sβ0 талассемии, гемоглобин Sβ+ талассемию, гемоглобин SD и гемоглобин SE талассемию. Согласно некоторым вариантам реализации настоящего изобретения воспалительное заболевание представляет собой возрастную макулярную дегенерацию, болезнь Альцгеймера, боковой амиотрофический склероз или болезнь Паркинсона.

[00051] Согласно некоторым вариантам реализации страдомеры согласно настоящему изобретению вводят субъекту, нуждающемуся в этом. Согласно другим вариантам реализации страдомеры согласно настоящему изобретению вводят внутривенно, подкожно, перорально, внутрибрюшинно, сублингвально, буккально, чрескожно, с помощью подкожного имплантата, или внутримышечно.

[00052] Согласно некоторым вариантам реализации в настоящем изобретении предложены страдомеры, которые можно применять в лечении или предотвращении связанной с аутоиммунным заболеванием потери зрения или потери слуха, например, индуцированной шумом или связанной с возрастом потери слуха. Согласно другому варианту реализации в настоящем изобретении предложены страдомеры, которые можно применять в снижении воспаления или аутоиммунных реакций, связанных с имплантацией устройства, например, кохлеарного имплантата или других слуховых аппаратов.

КРАТКОЕ ОПИСАНИЕ ФИГУР

[00053] На Фигуре 1 показано связывание страдомера GL-2045 с FcγRI, FcγRIIb, FcγRIIIa, FcγRIIa или FcRn, согласно результатам измерения с помощью интерферометрии биослоя (ForteBio Octet).

[00054] На Фигуре 2 представлен радиальный график максимальных единиц ответа (RUмакс) для каждого рецептора Fc, данные ИФА для оценки связывания с C1q и ингибирования CDC для G045c и страдомера, предпочтительно связывающегося с системой комплемента, G997. Каждый радиальный график в этих описаниях был получен с помощью визуальной оценки кривых связывания, полученных на основании показателей интерферометрии биослоя Octet.

[00055] На Фигуре 3 представлены результаты оценки связывания страдомера G997 с FcγRI, FcγRIIb, FcγRIIIa, FcγRIIa и FcRn, согласно данным измерения с помощью интерферометрии биослоя.

[00056] На Фигуре 4А представлен радиальный график значений RUмакс для каждого рецептора Fc, данные ИФА для оценки связывания с C1q, а также данные по ингибированию CDC для G045c и страдомера, предпочтительно связывающегося с системой комплемента, G998. На Фигуре 4B представлен радиальный график значений RU через 300 с (RU300s) для каждого рецептора Fc для G045c и страдомеров, предпочтительно связывающихся с системой комплемента, G997 и G998.

[00057] На Фигуре 5 представлены результаты оценки связывания страдомера G998 с FcγRI, FcγRIIb, FcγRIIIa, FcγRIIa и FcRn, согласно данным измерения с помощью интерферометрии биослоя.

[00058] На Фигуре 6А представлен радиальный график значений RUмакс для каждого рецептора Fc, данные ИФА для оценки связывания с C1q, а также данные по ингибированию CDC для G045c и страдомеров, предпочтительно связывающихся с системой комплемента, G1022 и G1033. На Фигуре 6B представлен радиальный график значений RU через 300 с (RU300s) для каждого рецептора Fc для G045c и страдомеров, предпочтительно связывающихся с системой комплемента, G1022 и G1033.

[00059] На Фигуре 7А представлен радиальный график значений RUмакс для каждого рецептора Fc, данные ИФА для оценки связывания с C1q, а также данные по ингибированию CDC для G045c и универсального страдомера G1032. На Фигуре 7В представлен радиальный график значений RU через 300 с (RU300s) для каждого рецептора Fc для G045c и универсального страдомера G1032.

[00060] На Фигуре 8А представлен радиальный график значений RUмакс для каждого рецептора Fc, данные ИФА для оценки связывания с C1q, а также данные по ингибированию CDC для G045c и универсального страдомера G1023. На Фигуре 8В представлен радиальный график значений RU через 300 с (RU300s) для каждого рецептора Fc для G045c и универсального страдомера G1023.

[00061] На Фигуре 9А представлен радиальный график значений RUмакс для каждого рецептора Fc, данные ИФА для оценки связывания с C1q, а также данные по ингибированию CDC для G045c и страдомера, предпочтительно связывающегося с системой комплемента, G1006. На Фигуре 9В представлен радиальный график значений RU через 300 с (RU300s) для каждого рецептора Fc для G045c и страдомера, предпочтительно связывающегося с системой комплемента, G1006.

[00062] На Фигуре 10А представлен радиальный график значений RUмакс для каждого рецептора Fc, данные ИФА для оценки связывания с C1q, а также данные по ингибированию CDC для G045c и страдомера, предпочтительно связывающегося с системой комплемента, G1027. На Фигуре 10B представлен радиальный график значений RU через 300 с (RU300s) для каждого рецептора Fc для G045c и страдомера, предпочтительно связывающегося с системой комплемента, G1027.

[00063] На Фигуре 11А представлен радиальный график значений RUмакс для каждого рецептора Fc, данные ИФА для оценки связывания с C1q, а также данные по ингибированию CDC для G045c и страдомера, предпочтительно связывающегося с системой комплемента, G1003. На Фигуре 11В представлен радиальный график значений RU через 300 с (RU300s) для каждого рецептора Fc для G045c и страдомера, предпочтительно связывающегося с системой комплемента, G1003.

[00064] На Фигуре 12А представлен радиальный график значений RUмакс для каждого рецептора Fc, данные ИФА для оценки связывания с C1q, а также данные по ингибированию CDC для G045c и страдомера, предпочтительно связывающегося с системой комплемента, G989. На Фигуре 12В представлен радиальный график значений RU через 300 с (RU300s) для каждого рецептора Fc для G045c и страдомера, предпочтительно связывающегося с системой комплемента, G989.

[00065] На Фигуре 13 представлены результаты оценки связывания страдомера G989 с FcγRI, FcγRIIb, FcγRIIIa, FcγRIIa и FcRn, согласно данным измерения с помощью интерферометрии биослоя.

[00066] На Фигуре 14А представлен радиальный график значений RUмакс для каждого рецептора Fc, данные ИФА для оценки связывания с C1q, а также данные по ингибированию CDC для G045c и страдомера, предпочтительно связывающегося с системой комплемента, G990. На Фигуре 14В представлен радиальный график значений RU через 300 с (RU300s) для каждого рецептора Fc для G045c и страдомера, предпочтительно связывающегося с системой комплемента, G990.

[00067] На Фигуре 15 представлены результаты оценки связывания страдомера G990 с FcγRI, FcγRIIb, FcγRIIIa, FcγRIIa и FcRn, согласно данным измерения с помощью интерферометрии биослоя.

[00068] На Фигуре 16А представлен радиальный график значений RUмакс для каждого рецептора Fc, данные ИФА для оценки связывания с C1q, а также данные по ингибированию CDC для G045c и страдомера, предпочтительно связывающегося с системой комплемента, G994. На Фигуре 16В представлен радиальный график значений RU через 300 с (RU300s) для каждого рецептора Fc для G045c и страдомера, предпочтительно связывающегося с системой комплемента, G994.

[00069] На Фигуре 17 представлены результаты оценки связывания страдомера G994 с FcγRI, FcγRIIb, FcγRIIIa, FcγRIIa и FcRn, согласно данным измерения с помощью интерферометрии биослоя.

[00070] На Фигуре 18А представлен радиальный график значений RUмакс для каждого рецептора Fc, данные ИФА для оценки связывания с C1q, а также данные по ингибированию CDC для G045c и страдомера, предпочтительно связывающегося с системой комплемента, G996. На Фигуре 18В представлен радиальный график значений RU через 300 с (RU300s) для каждого рецептора Fc для G045c и страдомера, предпочтительно связывающегося с системой комплемента, G996.

[00071] На Фигуре 19 (верхний ряд панелей) представлены результаты оценки связывания страдомера G996 с FcγRI, FcγRIIb, FcγRIIIa, FcγRIIa или FcRn, согласно результатам измерения с помощью интерферометрии биослоя. На Фигуре 19 (нижний ряд панелей) также представлены результаты оценки связывания страдомера G996 с FcγRIIb, FcγRIII и FcγRIV мыши.

[00072] На Фигуре 20А представлен радиальный график значений RUмакс для каждого рецептора Fc, данные ИФА для оценки связывания с C1q, а также данные по ингибированию CDC для G045c и страдомера, предпочтительно связывающегося с системой комплемента, G1042. На Фигуре 20B представлен радиальный график значений RU через 300 с (RU300s) для каждого рецептора Fc для G045c и страдомера, предпочтительно связывающегося с системой комплемента, G1042.

[00073] На Фигуре 21 представлены результаты оценки связывания страдомера G1042 с FcγRI, FcγRIIb, FcγRIIIa и FcγRIIa, согласно данным измерения с помощью интерферометрии биослоя.

[00074] На Фигуре 22А представлен радиальный график значений RUмакс для каждого рецептора Fc, данные ИФА для оценки связывания с C1q, а также данные по ингибированию CDC для G045c и страдомера, предпочтительно связывающегося с системой комплемента, G1043. На Фигуре 22В представлен радиальный график значений RU через 300 с (RU300s) для каждого рецептора Fc для G045c и страдомера, предпочтительно связывающегося с системой комплемента, G1043.

[00075] На Фигуре 23 представлены результаты оценки связывания страдомера G1043 с FcγRI, FcγRIIb, FcγRIIIa или FcγRIIa, согласно данным измерения с помощью интерферометрии биослоя.

[00076] На Фигуре 24А представлен радиальный график значений RUмакс для каждого рецептора Fc, данные ИФА для оценки связывания с C1q, а также данные по ингибированию CDC для G045c и страдомера, предпочтительно связывающегося с системой комплемента, G1046. На Фигуре 24B представлен радиальный график значений RU через 300 с (RU300s) для каждого рецептора Fc для G045c и страдомера, предпочтительно связывающегося с системой комплемента, G1046.

[00077] На Фигуре 25 представлены результаты оценки связывания страдомера G1046 с FcγRI, FcγRIIb, FcγRIIIa или FcγRIIa, согласно данным измерения с помощью интерферометрии биослоя.

[00078] На Фигуре 26А представлен радиальный график значений RUмакс для каждого рецептора Fc, данные ИФА для оценки связывания с C1q, а также данные по ингибированию CDC для G045c и страдомера, предпочтительно связывающегося с системой комплемента, G1050. На Фигуре 26В представлен радиальный график значений RU через 300 с (RU300s) для каждого рецептора Fc для G045c и страдомера, предпочтительно связывающегося с системой комплемента, G1050.

[00079] На Фигуре 27 представлены результаты оценки связывания страдомера G1050 с FcγRI, FcγRIIb, FcγRIIIa и FcγRIIa, согласно данным измерения с помощью интерферометрии биослоя.

[00080] На Фигуре 28А представлен радиальный график значений RUмакс для каждого рецептора Fc, данные ИФА для оценки связывания с C1q, а также данные по ингибированию CDC для G045c и универсального страдомера G1049. На Фигуре 28B представлен радиальный график значений RU через 300 с (RU300s) для каждого рецептора Fc для G045c и универсального страдомера G1049.

[00081] На Фигуре 29 представлены результаты оценки связывания страдомера G1049 с FcγRI, FcγRIIb, FcγRIIIa и FcγRIIa, согласно данным измерения с помощью интерферометрии биослоя.

[00082] На Фигуре 30А представлен радиальный график значений RUмакс для каждого рецептора Fc, данные ИФА для оценки связывания с C1q, а также данные по ингибированию CDC для G045c и страдомера, предпочтительно связывающегося с системой комплемента, G1025. На Фигуре 30В представлен радиальный график значений RU через 300 с (RU300s) для каждого рецептора Fc для G045c и страдомера, предпочтительно связывающегося с системой комплемента, G1025.

[00083] На Фигуре 31A представлены результаты оценки связывания отрицательного контроля G001, исходного страдомера GL-2045, G993, G997, G998, G996 и G994 с C1q, согласно результатам измерения поглощения при возрастающих концентрациях страдомера методом ИФА. На Фигуре 31B приведены логарифмически преобразованные данные и значения ЭК50 для каждого из исследованных страдомеров. Значения ЭК50 представлены в мкг/мл.

[00084] На Фигуре 32 представлены результаты оценки связывания отрицательного контроля G001, исходного страдомера GL-2045, G994, G996, G997 и G998 с компонентом системы комплемента С3, согласно результатам измерения поглощения при возрастающих концентрациях страдомера методом ИФА. На верхней панели представлены логарифмически преобразованные величины поглощения и на нижней панели представлены величины поглощения без логарифмического преобразования.

[00085] На Фигуре 33 представлены результаты оценки связывания отрицательного контроля G001, исходного страдомера GL-2045, G997, G998 и G994 с компонентом системы комплемента C3b, согласно результатам измерения поглощения при возрастающих концентрациях страдомера методом ИФА.

[00086] На Фигуре 34 представлены результаты оценки связывания отрицательного контроля G001, исходного страдомера GL-2045, G996, G997, G998 и G994 с компонентом системы комплемента C4, согласно результатам измерения поглощения при возрастающих концентрациях страдомера методом ИФА

[00087] На Фигуре 35 представлены результаты оценки связывания отрицательного контроля G001, исходного страдомера GL-2045, G996, G997, G998 и G994 с компонентом системы комплемента C5, согласно результатам измерения поглощения при возрастающих концентрациях страдомера методом ИФА.

[00088] На Фигурах 36А и 36B представлены последовательности полиморфных форм IgG1 человека, DEL (Фигура 36А; SEQ ID NO: 3) и EEM (Фигура 36B; SEQ ID NO: 2).

[00089] На Фигуре 37 показано значительное уменьшение протеинурии у животных, которым вводили исследуемые страдомеры, в животной модели нефрита.

[00090] На Фигурах 38А и 38В представлены результаты гистологического исследования пораженного контрольного животного, которому вводили фосфатно-солевой буфер (ФСБ), после индукции гломерулонефрита антителом к Thy 1 (Фиг. 38А), и животного, которое получило 40 мг/кг G998 (Фиг. 36B). На Фигуре 38А (G) относится к клубочкам с утолщенной базальной мембраной; (В) относится к базофильным канальцам и интерстициальным инфильтратам; и стрелка указывает на расширенные канальцы с белковой жидкостью. На Фиг. 36В представлены непораженные клубочки и канальцы у животного, которого лечили с использованием G998.

[00091] На Фигуре 39 в графической форме представлены результаты гистологического исследования тканей почек у животных, получавших ФСБ в качестве контрольной обработки (группа 2) или 40 мг/кг G0998 (группа 4).

[00092] На Фигуре 40 представлены данные о концентрации азота мочевины крови (АМК) у контрольных животных, получавших ФСБ, здоровых контрольных животных, которые не получали антитело к Thy1, и животных, которые получили G994 (40 мг/кг), G998 (40 мг/кг или 80 мг/кг) или G1033 (40 мг/кг). Значения P, представленные на графике, указаны в сравнении с пораженными контрольными животными, получавшими ФСБ.

[00093] На Фигуре 41 представлены результаты оценки протеинурии (мг/24 часа) у контрольных животных, которые получили только антитело к Fx1a, животных, которые получили антитело к Fx1a и G998 на 0-й день, и животных, которые получили антитело к Fx1a на 0-й день и G998 на 1-й день.

[00094] На Фигуре 42 представлены уровни (мкг/мл) G994, G998 или G1033 у крыс после введения однократной дозы указанного соединения в зависимости от времени.

[00095] На Фигуре 43 представлены результаты исследования активности системы комплемента в крови крыс после введения однократной дозы G994 (левая панель), G998 (средняя панель) или G1033 (правая панель).

[00096] На Фигурах 44А и 44B показана корреляция между концентрациями лекарственного препарата (мкг/мл на осях х) и активностью системы комплемента (% по оси у) для каждого из G994 (левые панели), G998 (средние панели) и G1033 (правые панели). На Фиг. 44A представлены все точки данных, собранные в исследовании для каждого страдомера, предпочтительно связывающегося с системой комплемента. На Фиг. 44 большее внимание уделено нижней части кривой (более низкие концентрации лекарственного препарата).

[00097] На Фигуре 45 представлены результаты оценки концентраций лекарственного препарата (мкг/мл) G994, G998 или G1033 у яванских макак после введения однократной дозы соединения с предпочтительным связыванием с системой комплемента в момент времени 0, согласно результатам измерения через 0, 1, 2, 4, 12, 24, 48, 72, 144, 216 и 312 часов после введения дозы.

[00098] На Фигуре 46 представлены результаты оценки активности системы комплемента (% гибели клеток) в зависимости от времени после введения однократной дозы G994 (левая панель), G998 (средняя панель) или G1033 (правая панель).

[00099] На Фигурах 47А и 47В показана корреляция между уровнем лекарственного препарата и активностью системы комплемента для каждого из испытываемых соединений в исследовании. На Фиг. 47A представлены все точки данных, собранные в ходе эксперимента, и на Фиг. 47B представлена первая часть кривой с более низкими концентрациями лекарственного препарата. Для G994 значение отрезка на оси абсцисс составляет 144 и 168 мкг/мл для 2% и 4% сыворотки. Значения R2 для корреляции составляют 0,866 и 0,835. Для G998 значение отрезка на оси абсцисс составляет 425 и 347 мкг/мл, и значения R2 составляют 0,925 и 0,743 для 2% и 4% сыворотки. Для G1033 значение отрезка на оси абсцисс составляет 346 и 379 мкг/мл со значениями R2 0,584 и 0,714.

[000100] На Фигурах 48А-G представлены гели, показывающие, что, аналогично исходному соединению GL-2045, на основании которого было сконструировано испытываемое производное соединение страдомера (G994 или G998), производные соединения страдомеров образуют мультимеры. Соединения GL-2045, G994, G1103, G1088, G1089, G1104, G1082, G1105 и G1106 представлены на Фиг. 48А. Соединения GL-2045, G994, G1102, G1100, G1101, G1125, G1108, G1109 и G1084 представлены на Фиг. 48B. Соединения GL-2045, G998 и G1107 представлены на Фиг. 48C. Соединения GL-2045, G994, G1110, G1111, G1112, G1114, G1115, G1116, G1117, G1118 и G1119 представлены на Фиг. 48D. Соединения GL-2045, G994, G1120, G1121, G1122, G1123, G1124, G1128, G1129, G1130, и G1131 представлены на Фиг. 48E. Соединения GL-2045, G998, G1071d2, G1068, G1094, G1092, G1096, G1093 и G1095 представлены на Фиг. 48F. Соединения GL-2045, G998, G1069, G1070, G1132, G1075 и G1075 представлены на Фиг. 48G.

[000101] На Фигуре 49 представлены результаты оценки связывания отрицательного контроля G001, который представляет собой Fc IgG1, страдомера GL-2045 или страдомера, предпочтительно связывающегося с системой комплемента, G994, G998 или G1033 с компонентом системы комплемента С3 (верхняя левая панель), C3b (верхняя правая панель), С5 (нижняя левая панель) или С4 (нижняя правая панель), согласно результатам измерения поглощения при возрастающих концентрациях страдомера методом ИФА.

[000102] На Фигуре 50A-50C представлены результаты оценки связывания страдомера G1103, G1088, G1089, G1104, G1082, G1105 и G1106 с FcγRI, FcγRIIa, FcγRIIb или FcγRIII, согласно данным измерения с помощью интерферометрии биослоя (ForteBio Octet).

[000103] На Фигуре 51A-51C представлены результаты оценки связывания страдомера G1102, G1100, G1101, G1125, G1108, G1109 и G1084 с FcγRI, FcγRIIa, FcγRIIb или FcγRIII, согласно данным измерения с помощью интерферометрии биослоя (ForteBio Octet).

[000104] На Фигуре 52A-52G представлены результаты оценки связывания страдомера G1100, G1111, G1112, G1113, G1114, G1115, G1116, G1117, G1118, G1119, G1120, G1121, G1122, G1123, G1124, G1128, G1129, G1130 и G1131 с FcγRI, FcγRIIa, FcγRIIb или FcγRIII, согласно данным измерения с помощью интерферометрии биослоя (ForteBio Octet).

[000105] На Фигуре 53A-53C представлены результаты оценки связывания страдомера G1071d2, G1068, G1094, G1092, G1096, G1107, G1093 и G1095 с FcγRI, FcγRIIa, FcγRIIb или FcγRIII, согласно данным измерения с помощью интерферометрии биослоя (ForteBio Octet).

[000106] На Фигуре 54A-54B представлены результаты оценки связывания страдомера G1069, G1070, G1132, G1074 и G1075 с FcγRI, FcγRIIa, FcγRIIb или FcγRIII, согласно данным измерения с помощью интерферометрии биослоя (ForteBio Octet).

[000107] На Фигуре 55A представлены данные по индукции ИЛ-1Rα из выделенных мононуклеарных клеток периферической крови (МКПК) после 20 часов обработки контрольным носителем (0 мкг/мл G019, G994 или G1033) или введения доз G019, G994 и G1033, варьирующихся от 0,02 мкг/мл до 2000 мкг/мл. В качестве положительного контроля использовали G019, который связывается со всеми каноническими рецепторами.

[000108] На Фигуре 55B представлены данные по индукции ФНО-α из выделенных МКПК после 4 часов обработки контрольным носителем (0 мкг/мл G019, G994 или G1033) или введения доз G019, G994 и G1033, варьирующихся от 0,02 мкг/мл до 2000 мкг/мл. В качестве положительного контроля использовали G019, который связывается со всеми каноническими рецепторами.

[000109] На Фигуре 56 представлены данные по связыванию C1q страдомерами с предпочтительным связыванием с системой комплемента, согласно результатам измерения методом ИФА.

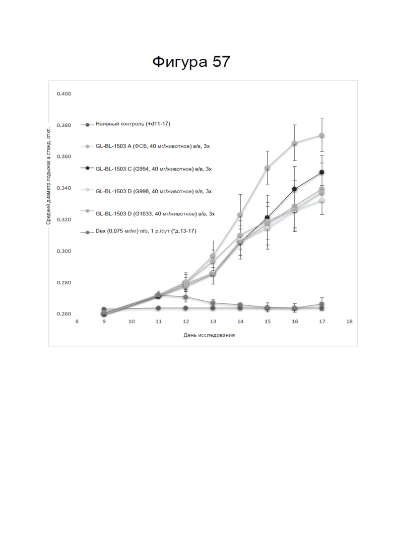
[000110] На Фигуре 57 представлен средний диаметр лодыжки крыс линии Lewis в модели коллаген-индуцированного артрита (КИА), получивших G994, G998, G1033, контрольный ФСБ, дексаметазон, или необработанных контрольных животных.

[000111] На Фигуре 58A-58B представлены данные по связыванию C1q для некоторых соединений с предпочтительным связыванием с системой комплемента, показанных на Фигуре 56, G1088, G1129, G1082, G1092 и G1102 (Фиг. 58A), а также G1069, G1114 G1075 (Фиг. 58B).

[000112] На Фигуре 59 представлены результаты оценки связывания страдомера G999 и G996 с FcγRI, FcγRIIb и FcγRIIIa, согласно данным измерения с помощью интерферометрии биослоя.

[000113] На Фигуре 60 представлены данные по ингибированию CDC для G999 и G996. CD20 обозначает добавление антитела к CD20. «6%» обозначает добавление 6% сывороточного комплемента. Контроль включает клетки с добавлением только G996 (50 и 100 мкг/мл), клетки с добавлением сыворотки («+ 6%») и клетки с добавлением сыворотки и антитела («клетки + CD20 + 6%»).

[000114] На Фигуре 61 представлены данные по ингибированию CDC для G994. CD20 обозначает добавление антитела к CD20. «6%» обозначает добавление 6% сывороточного комплемента. Контроль включает клетки с добавлением только G996 (50 и 100 мкг/мл), клетки с добавлением сыворотки («+ 6%») и клетки с добавлением сыворотки и антитела («клетки + CD20 + 6%»).

[000115] На Фигуре 62 представлены данные по ингибированию CDC для G998. CD20 обозначает добавление антитела к CD20. «6%» обозначает добавление 6% сывороточного комплемента. Контроль включает клетки с добавлением только G996 (50 и 100 мкг/мл), клетки с добавлением сыворотки («+ 6%») и клетки с добавлением сыворотки и антитела («клетки + CD20 + 6%»).

[000116] На Фигуре 63 представлены данные по ингибированию CDC для G1033. CD20 обозначает добавление антитела к CD20. «6%» обозначает добавление 6% сывороточного комплемента. Контроль включает клетки с добавлением только G996 (50 и 100 мкг/мл), клетки с добавлением сыворотки («+ 6%») и клетки с добавлением сыворотки и антитела («клетки + CD20 + 6%»).

ПОДРОБНОЕ ОПИСАНИЕ ИЗОБРЕТЕНИЯ

[000117] Подход к рациональному молекулярному дизайну соединений, модулирующих иммунную систему, описанных в настоящем документе, включает создание с помощью рекомбинантных и/или биохимических способов иммунологически активного биомиметика(ов), который проявляет сохраненное, предпочтительное или усиленное связывание с системой комплемента. Согласно одному варианту реализации настоящего изобретения композиции согласно настоящему изобретению усиливают связывание с системой комплемента за счет увеличения степени связывания с системой комплемента, по сравнению со связыванием с рецепторами Fc. Согласно одному варианту реализации настоящего изобретения композиции согласно настоящему изобретению проявляют уменьшенное связывание с одним или более FcγR или не связываются с ними. Согласно другому варианту реализации настоящего изобретения композиции согласно настоящему изобретению проявляют уменьшенное связывание с FcRn или не связываются с ними. Согласно одному варианту реализации настоящего изобретения композиции согласно настоящему изобретению связываются с системой комплемента и проявляют уменьшенное связывание с определенными FcγR, а также FcRn, или не связываются с ними. Композиции согласно настоящему изобретению можно применять для лечения, например, опосредованных комплементом заболеваний и связанных с комплементом заболеваний. Композиции согласно настоящему изобретению также способны к мультимеризации. Согласно одному варианту реализации настоящего изобретения композиции согласно настоящему изобретению проявляют сохраненную или усиленную мультимеризацию по сравнению с описанными ранее биомиметиками.

[000118] В WO 2008/151088 раскрыто применение соединенных доменов Fc иммуноглобулинов для создания упорядоченно мультимеризованных биомиметиков Fc иммуноглобулина hIVIG (биологически активные упорядоченные мультимеры известные как страдомеры), которые содержат короткие последовательности, включая сайты рестрикции и аффинные метки, между отдельными компонентами страдомера, которые предназначены для лечения патологических состояний, включая аутоиммунные заболевания и другие воспалительные состояния. См. WO 2008/151088 и патент США №8680237, содержание каждого из которых полностью включено в настоящую заявку посредством ссылки. В WO 2012/016073 раскрыты страдомеры, в которых отдельные компоненты соединены непосредственно, а не разделены сайтами ферментов рестрикции или аффинными метками. См. WO 2012/016073 и публикацию заявки на патент США 2013/0156765, содержание которых полностью включено в настоящую заявку посредством ссылки. В WO 2012/016073 также конкретно раскрыт мультимеризующийся страдомер (GL-2045), содержащий домен Fc IgG1 и домен мультимеризации из шарнирной области IgG2, присоединенный непосредственно к его С-концу, который проявляет улучшенную мультимеризацию и связывание с системой комплемента по сравнению с N-концевой связанной конструкцией (G019, описанной в WO2008/151088). Страдомерные блоки, описанные в настоящем документе, содержат одну или более точечных мутаций в области Fc GL-2045, что приводит к усиленному связыванию с системой комплемента и/или селективному или повышенному связыванию комплемента, по сравнению со связыванием с каноническим рецептором Fc-гамма, при сопоставлении с ранее описанными молекулами.

[000119] G045c и G019 были описаны ранее (см. WO 2012/016073). G045c имеет следующую структуру: шарнирная область IgG1 - CH2 IgG1 CH3 IgG1 - шарнирная область IgG2, и G045c представлен в последовательностях SEQ ID NO: 7 и 8.

[000120] В настоящей заявке термины «G045c», «GL-2045» используются взаимозаменяемо. G045c имеет следующую структуру: шарнирная область IgG1 - CH2 IgG1 CH3 IgG1 - шарнирная область IgG2. В настоящей заявке термин «страдомер на основе G045c» и т.п. относится к страдомеру, имеющему структуру: шарнирная область IgG1- CH2 IgG1 CH3 IgG1 - шарнирная область IgG2 (SEQ ID NO: 7 или 8). G019 имеет следующую структуру: шарнирная область IgG2- шарнирная область IgG1 - CH2 IgG1 - CH3 IgG1. В настоящей заявке термин «страдомер на основе G019» и т.п. относится к страдомеру, имеющему структуру: шарнирная область IgG2 - шарнирная область IgG1- CH2 IgG1 - CH3 IgG1 (SEQ ID NO: 9). Специалист в данной области техники поймет, что аминокислотные последовательности GL-2045 и G019 содержат N-концевую лидерную последовательность (SEQ ID NO: 1), которая отщепляется при экспрессии зрелого белка.

[000121] Мутации в областях Fc полноразмерных молекул антител имеют предсказуемые результаты в отношении характеристик и функции антител. См., например, Shields et al., Journal of Biological Chemistry, 276; 6591 (2001). В частности, в работе Moore et al. показано, что тройная мутация S267E, H268F и/или S324T в области Fc моноклонального антитела достоверно увеличивает степень связывания моноклонального антитела с комплементом, по сравнению со связыванием с каноническим рецептором Fcγ или FcRn (Mabs 2:2; 18 (2010)). Однако авторы настоящего изобретения раскрыли соединения, в которых мутации S267E, H268F и/или S324T в области Fc мультимеризующегося страдомера, включая тройную мутацию S267E/H268F/S324T, фактически и совершенно неожиданно связаны с отсутствием связывания с C1q и, следовательно, не увеличивают степень связывания с системой комплемента, по сравнению со связыванием с каноническими рецепторами Fcγ или FcRn (например, G999, G1024, G1030, G1031, G1040, G1044 и G1048).

[000122] Общепризнанно, что специфические мутации в моноклональных антителах, которые увеличивают связывание с C1q (например, S267E, H268F и/или S324T, описанные в Moore et. al.), тем самым увеличивают CDC (Moore et. al. 2010). Авторы настоящего изобретения описывают в настоящем документе многочисленные соединения, которые, путем включения вышеупомянутых мутаций, применительно к мультимеризующемуся страдомеру, связаны не только с отсутствием увеличения CDC, но также с отсутствием изначально присущей CDC вообще. Помимо этого, учитывая, что указанные мутации связаны с повышением CDC, применительно к моноклональному антителу, авторы настоящего изобретения раскрыли в настоящем документе, что соединения согласно настоящему изобретению, содержащие вышеупомянутые мутации, фактически ингибируют CDC в зависимости от концентрации (например, G994, G998 и многие другие, Фигуры 61-63).

[000123] Кроме того, в отношении антитела было установлено, что точечная мутация, введенная в положении 297 домена Fc, уменьшает связывание с высокоаффинными и низкоаффинными каноническими рецепторами Fcγ (Robert L. Shields, et al. High Resolution Mapping of the Binding Site on Human IgG1 for FcγRI, FcγRII, FcγRIII, and FcRn and Design of IgG1 Variants with Improved Binding to the FcγR. J. Biol. Chem., Feb 2001; 276: 6591 - 6604). Аналогично, в отношении моноклонального антитела было показано, что точечная мутация, введенная в положении 299 домена Fc, различным образом влияет на связывание с FcγR (например, уменьшает связывание с FcγRIIIa и сохраняет связывание с FcγRIIa) и дополнительно ингибирует связывание с C1q (Sazinsky et al. Aglycosylated immunoglobulin G1 variants productively engage activating Fc receptors. Proc Natl Acad Sci U S A. 2008 Dec 23; 105(51): 20167-20172; PCT/US2008/085757). Применительно к конкретным мультимеризующимся страдомерам точечные мутации в положении 297 домена Fc приводили к уменьшению связывания с низкоаффинными каноническими рецепторами Fcγ. Тем не менее, в некоторых страдомерах мутация в положении 299 действительно приводила к ожидаемому уменьшению связывания с FcγR, однако при этом обеспечивала сохранение или усиление связывания Fc со всеми каноническими FcγR.

[000124] Кроме того, было показано, что двойная мутация в положениях 236 и 328 (Tai et al., Blood 119; 2074 (2012)) или мутация в положении 233 (Shields, et al. J. Biol. Chem., 276(9):6591 (2001)) уменьшает связывание антитела или Fc иммуноглобулина с каноническими FcγR. Также было показано, что двойная мутация в положениях 236 и 328 устраняет связывание антитела или иммуноглобулина с FcγRI (Tai et al. 2012); однако авторы настоящего изобретения обнаружили неожиданный факт, что в случае мультимеризующегося страдомера и мутации, усиливающей связывание с системой комплемента, в положении 267 и/или 268, и/или 324, в некоторых мультимеризующихся страдомерах связывание с FcγRI сохраняется непредсказуемым образом. Помимо этого, как ожидается, двойная мутация в положениях 233 и 236 (Е233P и G236R) уменьшит связывание со всеми каноническими рецепторами Fc; однако авторы настоящего изобретения обнаружили, что несколько комбинаций мутаций, включая мутации в указанных двух положениях, приводили к связыванию с одним или более рецепторами Fc, которое сохранялось непредсказуемым образом или увеличивалось, по сравнению с соответствующим немутированным страдомером. Кроме того,, ожидалось, что мутация в положении 328 (L328F) увеличит связывание только с FcγRIIb (Chu et al., Molecular Immunology 45; 3926 (2008)); однако авторы настоящего изобретения неожиданно обнаружили, что страдомер, содержащий мутацию в положении 328, применительно к страдомеру, содержащему дополнительные мутации по меньшей мере в положениях 267, 268 и 324, проявляет повышенное связывание с одним или более другими каноническими рецепторами Fc-гамма непредсказуемым образом. Помимо этого, ожидалось, что мутация в положении 238 увеличит связывание с FcγRIIb и уменьшит связывание с FcγRI и FcγRIIa (Mimoto et al., Protein Engineering, Design, and Selection p. 1-10 (2013)), в то время как мутация в положении 265, как ожидалось, уменьшит связывание со всеми каноническими FcγR. Однако авторы настоящего изобретения обнаружили неожиданный факт, что, применительно к мультимеризующемуся страдомеру и мутации, усиливающей связывание с системой комплемента, в положении 267 и/или 268, и/или 324, мутации в положениях 238 и 265 приводили к прочному связыванию с FcγRIIa в некоторых мультимеризующихся страдомерах. Следовательно, авторы настоящего изобретения обнаружили неожиданный факт, что мутации, описанные в литературе, которые модифицируют функции антитела, например, чтобы уменьшить или устранить каноническое связывание моноклонального антитела или изменить связывание с C1q, не оказывают аналогичного влияния в случае мультимеризующегося страдомера.

[000125] Более того, даже в случае страдомера, действие мутаций так же непредсказуемо. Например, как описано в настоящем документе, в том случае, если два страдомера идентичны друг другу, за исключением одной или более мутаций в одном или более конкретных положений, даже если при мутации происходит замена структурно сходными аминокислотами, два страдомера могут иметь весьма различные функциональные характеристики. Кроме того, в WO 2012/016073 раскрыто, что, несмотря на тот факт, что GL-2045 и G019 содержат аналогичные компоненты и фактически являются идентичными молекулами, за исключением положения шарнирной области IgG2 по отношению к домену Fc IgG1, указанные молекулы неожиданно обладают весьма различными видами активности в отношении связывания с системой комплемента. Обе молекулы способны к мультимеризации и связыванию с рецепторами Fc. Неожиданным фактом явилось то, что GL-2045 проявляет прочное связывание со всеми рецепторами Fc, а также связывается с системой комплемента и ингибирует комплемент-зависимую цитотоксичность (CDC), в то время как G019 не связывается с комплементом или не ингибирует CDC. Аналогичным образом, в том случае, если аналогичные мутации введены в GL-2045 и G019, результат может быть совершенно различным и, фактически, противоположным. В качестве примера, соединения 996 и 999 несут тройную мутацию, раскрытую в Moore, et al., которая, как ожидается, увеличит связывание с C1q (S267E/H268F/S324T), а также дополнительную мутацию G236R. Однако, применительно к GL-2045, указанная мутация сохраняет преимущественное связывание с C1q, по сравнению с каноническими рецепторами Fcγ (G996), тогда как G019 не связывается с C1q (G999). Данное расхождение функционального влияния хорошо охарактеризованной мутации подчеркивает непредсказуемость действия мутаций, введенных в мультимеризующийся страдомер.

[000126] Кроме того, в то время как моноклональные антитела обладают аффинностью в отношении FcγR и компонентов-мишеней системы комплемента, которая может быть повышена или подавлена путем введения мутаций, страдомеры представляют поливалентную область Fc рецепторам Fcγ и комплементу, и, следовательно, в большей степени опираются на авидность для связывания со своими мишенями. Напротив, моноклональные антитела не способны к авидному связыванию посредством своих доменов Fc. Эти особенности подчеркивают тот факт, что страдомеры и моноклональные антитела принципиально отличаются не только структурой, но и функцией и возможностями применения.

[000127] Следовательно, влияние любой мутации или набора мутаций в пределах любой области молекулы на активность мультимеризующегося страдомера не может быть предсказано на основании литературных данных, касающихся моноклональных антител. Соответственно, влияние мутаций аминокислот, которые, как известно в данной области техники, оказывают специфичное действие на антитела, таких как мутации, которые будут, например, увеличивать или уменьшать связывание с конкретным FcγR, применительно к антителу, обладающему антигенной специфичностью, не может быть предсказано для страдомеров. Аналогичным образом, точечные мутации L234A и L235A были описаны, как уменьшающие связывание Fc с C1q (См. WO 2015/132364; Arduin et al, Molecular Immunology, 65(2):456-463 (2015); Boyle et al, Immunity, 42(3):580-590 (2015)). Однако авторы настоящего изобретения обнаружили неожиданный факт, что введение указанных мутаций в биомиметики согласно настоящему изобретению приводит к сохранению или усилению связывания с C1q (например, G1033 и G1032).

[000128] Авторы настоящего изобретения выявили иммунологически активные биомиметики, в которых степень связывания с системой комплемента увеличивается, по сравнению со связыванием с рецептором Fc, при сопоставлении с исходным биомиметиком (например, GL-2045 или G019). Согласно одному варианту реализации настоящего изобретения биомиметики согласно настоящему изобретению проявляют сохраненное или усиленное связывание с C1q. Согласно одному варианту реализации настоящего изобретения биомиметики согласно настоящему изобретению связываются с компонентами системы комплемента, включая, но не ограничиваясь ими, C1q, C1r, C1s, C4, C4a, C3, C3a, C4b2a3b, C3b, C5, C5a, C5b, C6, C7, C8 и/или С9, и могут, следовательно, выступать в качестве «акцептора комплемента». В настоящей заявке термин «акцептор комплемента» относится к явлению связывания с C1q или с другим компонентом, вовлеченным в реакции каскада системы комплемента, предшествующие активации, и предотвращению последующей активации системы комплемента. Согласно одному варианту реализации настоящего изобретения биомиметики согласно настоящему изобретению связываются с компонентами системы комплемента, которые вступают в каскад реакций раньше, чем комплекс атаки мембраны C5b-9. Согласно одному варианту реализации настоящего изобретения биомиметики согласно настоящему изобретению связываются с компонентами системы комплемента, которые вступают в каскад реакций раньше, чем С5а. Согласно одному варианту реализации настоящего изобретения биомиметики согласно настоящему изобретению проявляют уменьшенное связывание с С5а и комплексом атаки мембраны. Согласно одному варианту реализации настоящего изобретения биомиметики согласно настоящему изобретению проявляют уменьшенное связывание с FcγRI и/или FcγRIIa, и/или FcγRIIb, и/или FcγRIII и сохраняют или усиливают связывание с системой комплемента. Согласно другому варианту реализации настоящего изобретения биомиметики согласно настоящему изобретению проявляют уменьшенное связывание с FcRn и сохраненное или усиленное связывание с системой комплемента. Согласно другому варианту реализации настоящего изобретения биомиметики согласно настоящему изобретению проявляют сохраненное или усиленное связывание с системой комплемента и уменьшенное связывание с каноническими FcγR, а также уменьшенное связывание с FcRn. Согласно одному варианту реализации настоящего изобретения биомиметики согласно настоящему изобретению проявляют сохраненное или усиленное связывание с системой комплемента и селективное связывание с одним или более из канонических Fcγ (например, связываются с FcγRI, но не с FcγRIIb, или связываются с FcγRIIb, но не FcγRI) или усиленное связывание с системой комплемента и селективное связывание с FcRn.

[000129] Согласно некоторым вариантам реализации настоящего изобретения преимущество биомиметиков и композиций согласно настоящему изобретению заключается в усиленном связывании с компонентами пути активации системы комплемента, по сравнению с врожденным иммуноглобулином IgG1. Степень усиленного связывания с компонентами путей активации системы комплемента, по отношению к врожденному иммуноглобулину IgG1, может в действительности быть довольно значительной, практически сопоставимой или превосходящей связывание компонентов пути активации системы комплемента с агрегированным IgG1, который может присутствовать в организме человека при определенных обстоятельствах. Согласно некоторым вариантам реализации настоящего изобретения преимущество биомиметиков и композиций согласно настоящему изобретению заключается в сохранении связывания с компонентами пути активации системы комплемента, по сравнению с врожденным иммуноглобулином IgG1, с уменьшением связывания с рецепторами Fc и другими лигандами.

[000130] Согласно некоторым вариантам реализации настоящего изобретения преимущество биомиметиков и композиций согласно настоящему изобретению заключается в преимущественном связывании с системой комплемента, по сравнению со связыванием с каноническими рецепторами Fc, наблюдаемым для врожденного иммуноглобулина IgG1, внутривенного иммуноглобулина (IVIG), плазмы крови человека, обогащенной агрегатами иммуноглобулина, или исходной композиции биомиметиков, которые не содержат точечных мутаций. Такое предпочтительное связывание может быть охарактеризовано, но не ограничивается этим, усиленной ассоциацией, уменьшенной диссоциацией, признаками авидности или аналогичной степенью связывания при более низкой концентрации. Согласно некоторым вариантам реализации настоящего изобретения преимущество биомиметиков и композиций согласно настоящему изобретению заключается в усиленном связывании с системой комплемента, по сравнению со связыванием с каноническими рецепторами Fc, наблюдаемым для врожденного иммуноглобулина IgG1, внутривенного иммуноглобулина (IVIG), плазмы крови человека, обогащенной агрегатами иммуноглобулинов, или исходной композиции биомиметиков, которые не содержат точечных мутаций. Согласно некоторым вариантам реализации настоящего изобретения биомиметики, связывающиеся с системой комплемента, и композиции согласно настоящему изобретению ингибируют комплемент-зависимую цитотоксичность (CDC). Согласно некоторым вариантам реализации настоящего изобретения биомиметики, связывающиеся с системой комплемента, и композиции согласно настоящему изобретению ингибируют CDC со сниженным связыванием или функционально отсутствующим связыванием с FcγRI и/или FcγRIIa, и/или FcγRIIb, и/или FcγRIII. Согласно некоторым вариантам реализации настоящего изобретения биомиметики, связывающиеся с системой комплемента, и композиции согласно настоящему изобретению связываются с компонентом(ми) системы комплемента C1q и/или С4, и/или С4a, и/или С3, и/или С3a, и/или С5, и/или С5a. Согласно некоторым вариантам реализации настоящего изобретения биомиметики, связывающиеся с системой комплемента, и композиции согласно настоящему изобретению связываются с C3b. Согласно некоторым вариантам реализации настоящего изобретения биомиметики, связывающиеся с системой комплемента, и композиции согласно настоящему изобретению связываются с молекулой системы комплемента, например, C1q, С3 или C3b, предотвращая или уменьшая активацию системы комплемента и предотвращая или уменьшая последующие функциональные реакции, опосредованные комплементом, такие как лизис клеток, воспаление или тромбоз. Согласно некоторым вариантам реализации настоящего изобретения биомиметики и композиции согласно настоящему изобретению связаны с повышенными уровнями С4а, С3а и/или С5а, и указанные повышенные уровни связаны с противовоспалительными или противотромботическими клиническими профилями.

[000131] Согласно некоторым вариантам реализации настоящего изобретения дополнительное преимущество биомиметиков, связывающихся с системой комплемента, и композиций согласно настоящему изобретению заключается в усилении мультимеризации по отношению к интактным иммуноглобулинам и/или описанным ранее композициям, связывающимся с системой комплемента. В другом варианте реализации дополнительное преимущество биомиметиков, связывающихся с системой комплемента, и композиций согласно настоящему изобретению заключается в снижении или отсутствии связывания со всеми или некоторыми каноническими FcγR. Согласно некоторым вариантам реализации настоящего изобретения дополнительное преимущество биомиметиков, связывающихся с системой комплемента, и композиций согласно настоящему изобретению заключается в сходном или усиленном связывании с системой комплемента, по сравнению с интактными иммуноглобулинами, усиленной мультимеризации, а также уменьшенном связывании с одним или более каноническими FcγR, по сравнению с интактными иммуноглобулинами или мутированным исходным соединением. Согласно другим вариантам реализации настоящего изобретения дополнительное преимущество биомиметиков, связывающихся с системой комплемента, и композиций согласно настоящему изобретению заключается в усиленном связывании с системой комплемента, усиленной мультимеризации, а также уменьшенном связывании с FcγRIIIa. Согласно некоторым вариантам реализации настоящего изобретения биомиметики, связывающиеся с системой комплемента, и композиции согласно настоящему изобретению проявляют сохраненное или усиленное связывание с системой комплемента и сохраняют связывание с FcγRI, FcγRIIa, FcγRIIb или FcγRIII. Согласно одному варианту реализации настоящего изобретения биомиметики, связывающиеся с системой комплемента, и композиции согласно настоящему изобретению проявляют сохраненное или усиленное связывание с системой комплемента и сохраняют связывание с неонатальным рецептором Fc (FcRn), но не с любым другим каноническим низкоаффинным FcγR в какой-либо значительной степени (например, страдомер G1033, описанный в настоящем документе). Согласно одному варианту реализации настоящего изобретения биомиметики, связывающиеся с системой комплемента, и композиции согласно настоящему изобретению проявляют сохраненное или усиленное связывание с системой комплемента и сохраняют связывание с FcRn и FcγRI, но не с любым активирующим низкоаффинным каноническим FcγR в какой-либо значительной степени (например, страдомеры G994 и G998, описанные в настоящем документе). Согласно одному варианту реализации настоящего изобретения биомиметики, связывающиеся с системой комплемента, и композиции согласно настоящему изобретению проявляют сохраненное или усиленное связывание с системой комплемента и сохраняют связывание с FcγRI и/или FcγRIIb, но не с любым другим каноническим FcγR (например, страдомер G994, описанный в настоящем документе). Согласно одному варианту реализации настоящего изобретения биомиметики, связывающиеся с системой комплемента, и композиции согласно настоящему изобретению проявляют сохраненное или усиленное связывание с системой комплемента и сохраняют связывание с FcRn и FcγRI, однако имеют уменьшенное связывание с низкоаффинными активирующими рецепторами FcγRIIa и/или FcγRIIIa (например, страдомеры G997, G1003 и G1022, описанные в настоящем документе). Согласно другому варианту реализации настоящего изобретения биомиметики, связывающиеся с системой комплемента, и композиции согласно настоящему изобретению проявляют сохраненное или усиленное связывание с системой комплемента и сохраняют связывание с FcγRIIb, однако имеют уменьшенное связывание с другими каноническими FcγR, содержащими FcγRI, FcγRIIa или FcγRIIIa (например, страдомеры G996 и G1003, описанные в настоящей заявке).

[000132] Согласно другому варианту реализации настоящего изобретения биомиметики, связывающиеся с системой комплемента, и композиции согласно настоящему изобретению проявляют сохраненное или усиленное связывание с системой комплемента и сохраняют связывание с FcγRIIb, но не с любым другим каноническим низкоаффинным FcγR (например, G994 и G998). Следовательно, в одном аспекте, преимущество биомиметиков и композиций согласно настоящему изобретению заключается в сохранении или усилении связывания с системой комплемента с относительно уменьшенным или отсутствующим связыванием с FcγR, или преимущество заключается в связывании с выбранными активирующими или ингибирующими FcγR, в каждом случае относительно нативного неагрегированного иммуноглобулина IgG1 и/или относительно исходного биомиметика. Следовательно, согласно одному варианту реализации настоящего изобретения биомиметики и композиции согласно настоящему изобретению проявляют сохраненное или усиленное связывание с системой комплемента, по отношению к врожденному иммуноглобулину IgG1 или исходному биомиметику.

[000133] Согласно одному варианту реализации настоящего изобретения биомиметики и композиции согласно настоящему изобретению могут иметь модифицированные эффекторные функции, такие как комплемент-зависимая цитотоксичность, по сравнению с врожденным иммуноглобулином IgG1 или исходным биомиметиком или композицией. Согласно одному варианту реализации настоящего изобретения биомиметики и композиции согласно настоящему изобретению проявляют сохраненное или усиленное связывание с молекулами системы комплемента, по сравнению с врожденным иммуноглобулином IgG1, IVIG или исходным биомиметиком или композицией. Согласно другому варианту реализации настоящего изобретения биомиметики и композиции проявляют сохраненное или усиленное связывание с C1q, по сравнению с врожденным иммуноглобулином IgG1, IVIG или исходным биомиметиком или композицией. Согласно некоторым вариантам реализации в настоящем изобретении предложены биомиметики, которые способны связываться с C1q, C4, C4a, C3, C3a, C3b, C5 или C5a, чтобы уменьшить или предотвратить последующие функциональные реакции, опосредованные системой комплемента, такие как комплемент-зависимая цитотоксичность или лизис клеток. Согласно другим вариантам реализации в настоящем изобретении предложены биомиметики, которые проявляют сохраненное или усиленное связывание с C1q, а также эквивалентную или усиленную CDC с измененным связыванием с каноническими рецепторами Fc, по сравнению с врожденным иммуноглобулином IgG1, IVIG или исходным биомиметиком.

[000134] Согласно одному варианту реализации настоящего изобретения биомиметики и композиции согласно настоящему изобретению проявляют сохраненное или усиленное связывание с системой комплемента и аналогичное связывание с FcRn со сниженным связыванием с одним или более каноническими рецепторами Fc, по сравнению с врожденным иммуноглобулином IgG1 или исходным биомиметиком. Согласно одному варианту реализации настоящего изобретения биомиметики и композиции согласно настоящему изобретению проявляют сохраненное или усиленное связывание с системой комплемента и более длительный период полувыведения, по сравнению с врожденным иммуноглобулином IgG1 или исходным биомиметиком. Согласно одному варианту реализации настоящего изобретения, и не желая быть связанными соответствием какой-либо конкретной теории, авторы настоящего изобретения полагают, что биомиметики согласно настоящему изобретению имеют более длительный функциональный период полувыведения, по сравнению с врожденным иммуноглобулином IgG1 или исходным биомиметиком, что стало возможным благодаря интернализации под действием FcRn, обеспечивающей более позднее высвобождение и замедленное или пролонгированное биологическое действие биомиметика. Согласно другому варианту реализации настоящего изобретения биомиметики и композиции согласно настоящему изобретению проявляют сохраненное или усиленное связывание с системой комплемента и более короткий период полувыведения, по сравнению с врожденным иммуноглобулином IgG1 или исходным биомиметиком. Согласно одному варианту реализации настоящего изобретения биомиметики и композиции согласно настоящему изобретению проявляют сохраненный или усиленный клиренс комплемента, по сравнению с врожденным иммуноглобулином IgG1 или исходным биомиметиком. Следовательно, согласно некоторым вариантам реализации, в настоящем изобретении предложены биомиметики с уменьшенным периодом полувыведения, по сравнению с врожденным иммуноглобулином IgG1, IVIG или исходным биомиметиком, которые дополнительно способны связываться с C1q или другими компонентами системы комплемента, чтобы уменьшить или предотвратить образование комплекса атаки мембраны и последующие функциональные реакции, опосредованные комплементом, такие как лизис клеток.

[000135] Компонент C1q содержит шесть головок, соединенных коллагеноподобными стержнями с центральным остовом (Reid K. B. M. & Porter, R. R. Biochem. J. 155, 19−23 (1976)), и выделенные головки относительно слабо связываются с частью Fc антитела с аффинностью 100 мкМ (Hughes-Jones, N. C. & Gardner, B. Molec Immun. 16, 697−701 (1979)). Связывание антитела с несколькими эпитопами на антигенной поверхности приводит к агрегации антитела. Подобная агрегация облегчает связывание нескольких из головок молекулы C1q, что приводит к повышенной аффинности приблизительно 10 нМ (Burton, D. R. Molec. Immun. 22, 161−206 (1985)). Напротив, мультимеризующиеся страдомеры, предпочтительно связывающиеся с системой комплемента, и универсальные мультимеризующиеся страдомеры согласно настоящему изобретению представляют поливалентную Fc компоненту C1q, обеспечивая тем самым авидное связывание компонентов системы комплемента со страдомерным блоком, входящим в состав мультимеризованного страдомера, при этом Fc преимущественно связывается с компонентами системы комплемента, по сравнению с одним или более каноническими рецепторами Fc. Следовательно, мультимеризующиеся страдомеры, предпочтительно связывающиеся с системой комплемента, и универсальные страдомеры согласно настоящему изобретению могут проявлять сохраненную или повышенную аффинность и/или авидность связывания с C1q и выступают в роли акцептора комплемента, даже в том случае, если указанные страдомеры не содержат Fab (и, следовательно, не содержат часть FD области Fc) и не могут связываться с несколькими эпитопами на антигенной поверхности, в отличие от агрегированных антител. Согласно одному варианту реализации настоящего изобретения мультимеризующиеся страдомеры, предпочтительно связывающиеся с системой комплемента, согласно настоящему изобретению представляют 4, 5, 6, 7, 8 или более функциональных Fc гексамерному C1q, что приводит к авидному связыванию с низкой скоростью диссоциации и функциональному ингибированию CDC. Аналогичным образом, мультимеризующиеся страдомеры, предпочтительно связывающиеся с системой комплемента, и универсальные страдомеры согласно настоящему изобретению могут проявлять сохраненную или повышенную аффинность и/или авидность связывания с C4, C4a, C3, C3a, C3b, C5 или C5a, выступая в качестве акцептора комплемента. Следовательно, биомиметики согласно настоящему изобретению, сходно с участком Fc агрегатов в IVIG или агрегированными антителами, могут связываться с компонентами системы комплемента C1q, C4, C4a, C3, C3a, C3b, C5 или C5a, в то время как участок Fc интактного выделенного иммуноглобулина имеет низкую аффинность связывания и не обладает авидностью в отношении указанных компонентов системы комплемента.

[000136] Как сообщалось, конкретные одиночные, двойные или тройные мутации в положении 267, 268 и/или 324 домена Fc моноклональных антител и, в частности, тройная мутация S267E/H268F/S324T увеличивают степень связывания моноклонального антитела с системой комплемента, по сравнению со связыванием с каноническим рецептором Fcγ или FcRn (Moore et al., MAbs 2; 181 (2010)), также ранее полагали, что повышенное связывание с системой комплемента зависит от предшествующего связывания Fab антитела с антигеном-мишенью, за которым следует связывание с C1q. Однако авторы настоящего изобретения обнаружили неожиданный факт, что мутация в положении S267E, H268F и/или S324T, включая тройную мутацию S267E/H268F/S324T, применительно к мультимеризующемуся страдомеру, непредсказуемо уменьшала связывание с системой комплемента, увеличивала связывание с системой комплемента или селективно сохраняла связывание с системой комплемента, что свидетельствует о том, что описанные эффекты указанных мутаций в моноклональном антителе не могут являться основанием для предсказания их действия применительно к мультимеризующемуся страдомеру. Кроме того, в тех случаях, когда было показано неожиданное связывание мультимеризующихся страдомеров согласно настоящему изобретению с системой комплемента, это происходило несмотря на отсутствие Fab в мультимеризующемся страдомере. Согласно одному варианту реализации настоящего изобретения мультимеризующийся страдомер, предпочтительно связывающийся с системой комплемента, согласно настоящему изобретению связывается с C1q независимо от нацеливания Fab к антигену. Согласно одному варианту реализации настоящего изобретения, в отличие от моноклонального антитела, мультимеризующийся страдомер, предпочтительно связывающийся с системой комплемента, согласно настоящему изобретению связывается с C1q без связывания страдомера с клеткой. Следовательно, согласно одному аспекту в настоящем изобретении предложены мультимеризующиеся страдомеры, содержащие точечные мутации в положениях S267E, H268F и/или S324T. Следовательно, в настоящем изобретении предложены мультимеризующиеся страдомеры, содержащие точечные мутации в положениях S267E, H268F и/или S324T, которые эффективно связываются с C1q и ингибируют CDC (например, 1102). Однако, помимо этого, в настоящем изобретении также предложены мультимеризующиеся страдомеры, содержащие точечные мутации в положениях S267E, H268F и/или S324T, которые не способны к эффективному связыванию с C1q или ингибированию CDC (например, G1106. G999, G1024, G1030, G1031, G1040, G1044 и G1048). Следовательно, точечные мутации S267E, H268F и/или S324T, которые увеличивают связывание с C1q в моноклональном антителе, оказывают непредсказуемое действие применительно к мультимеризующемуся страдомеру, в частности, в отношении дополнительных мутаций. Согласно некоторым вариантам реализации в настоящем изобретении также предложены мультимеризующиеся страдомеры, содержащие точечные мутации в положениях S267E, H268F и S324T, а также точечные мутации в одном или более из положений 233, 234, 235, 236, 238, 265, 297, 299, 328 и/или делецию аминокислоты в положении 236.

[000137] Согласно одному аспекту в настоящем изобретении предложены биомиметики, которые проявляют сохраненное или усиленное связывание с системой комплемента, причем указанные биомиметики содержат домен Fc, содержащий точечную мутацию в положении 267 и/или 268, и/или 324. Согласно другому варианту реализации настоящего изобретения область Fc содержит одну или более из следующих точечных мутаций: S267E и/или H268F, и/или S324T. Согласно другому варианту реализации настоящего изобретения область Fc содержит следующие точечные мутации: S267E, H268F и S324T.

[000138] Согласно одному варианту реализации настоящего изобретения связывающий комплемент биомиметик содержит домен Fc, причем указанный домен Fc содержит точечную мутацию в положении 267 и/или 268, и/или 324, и при этом указанный домен Fc дополнительно содержит точечную мутацию в положении 297, 298 и/или 299. Домены Fc, содержащие мутацию в положении 297, 298 и/или 299, упоминаются в настоящем документе как «агликозилированные мутированные варианты» или «мутированные варианты без гликозилирования», поскольку мутации в указанных положениях изменяют нормальный характер гликозилирования Fc IgG. Применительно к моноклональному антителу, в котором указанные мутации были впервые охарактеризованы, агликозилированные мутированные варианты уменьшают или устраняют связывание нормальной Fc иммуноглобулина с каноническими FcγR вследствие измененного характера гликозилирования. Однако, применительно к мультимеризующемуся страдомеру, действие указанных мутаций не является предсказуемым. В некоторых мультимеризующихся страдомерах связывание с FcγR уменьшается, по сравнению с исходным биомиметиком (например, G998). Однако в некоторых других мультимеризующихся страдомерах связывание с FcγR сохраняется или усиливается в агликозилированных мутированных вариантах, по сравнению с немутированными исходными соединениями (например, G1068).

[000139] Согласно одному варианту реализации настоящего изобретения связывающий комплемент биомиметик содержит домен Fc, причем указанный домен Fc содержит точечную мутацию в положении 267 и/или 268, и/или 324, и при этом указанный домен Fc дополнительно содержит точечную мутацию в положении 233 и/или 234, и/или 235, и/или 236, и/или 238, и/или 265, и/или 297, и/или 299.

[000140] В настоящей заявке термин «a» или «an», при использовании в сочетании с термином «содержащий» в формуле изобретения и/или описании, может означать «один», но это также согласуется со значением «один или более», «по меньшей мере один» и «один или более чем один».

[000141] В настоящей заявке термины «биомиметик», «биомиметическая молекула», «биомиметическое соединение» и родственные термины относятся к соединению, изготовленному человеком, которое имитирует функцию другого соединения, такого как объединенный внутривенный иммуноглобулин человека («hIVIG»), моноклональное антитело или фрагмент Fc антитела. «Биологически активные» биомиметики представляют собой соединения, обладающие различными видами биологической активности, которые аналогичны или сходны с таковыми для природных аналогов. Под термином «природный» подразумевают молекулу или ее часть, которая обычно обнаруживается в организме. Термин «природный» также означает по существу природный. «Иммунологически активные» биомиметики представляют собой биомиметики, проявляющие иммунологическую активность, которая аналогична или сходна с таковой для природных иммунологически активных молекул, таких как антитела, цитокины, интерлейкины и другие иммунологические молекулы, известные в данной области техники. В предпочтительных вариантах реализации биомиметики согласно настоящему изобретению представляют собой страдомеры, определенные в настоящем документе. В настоящей заявке термин «исходный биомиметик» относится к немутированным биомиметикам, используемым в качестве основы для соединений, описанных в настоящем документе (например, GL-2045 и G019).

[000142] В настоящей заявке термин «комплемент» относится к любому из небольших белков каскада комплемента, которые иногда называют в литературе системой комплемента или каскадом системы комплемента. В настоящей заявке термины «связывание комплемента» или «связывание с комплементом» относятся к связыванию любого из компонентов системы комплемента. Компоненты каскада системы комплемента известны в данной области техники и описаны, например, в Janeway’s Immunobiology, 8th Ed., Murphy ed., Garland Science, 2012. В настоящее время известны три основных пути системы комплемента: классический путь, альтернативный путь и путь связывания лектина. Классический путь системы комплемента активируется при связывании белка C1q с одной или более молекулами интактного иммуноглобулина IgM или по меньшей мере двумя молекулами интактного иммуноглобулина IgG1, IgG2 или IgG3. Активация системы комплемента приводит к комплемент-зависимому цитолизу. Чрезмерная активация системы комплемента может быть вредной и связана с несколькими заболеваниями, включая миастению гравис, гемолитический уремический синдром (HUS) и пароксизмальную ночную гемоглобинурию (PNH). В настоящей заявке термин «предпочтительно связывающий комплемент» относится к связыванию одного или более компонентов системы комплемента в большей степени, по сравнению со связыванием с другими рецепторами (например, FcγR или FcRn). Согласно некоторым вариантам реализации настоящего изобретения страдомеры согласно настоящему изобретению представляют собой страдомеры с предпочтительным связыванием с комплементом. Согласно некоторым вариантам реализации настоящего изобретения страдомеры согласно настоящему изобретению представляют собой универсальные страдомеры. В настоящей заявке термин «универсальные страдомеры» относится к страдомерам, которые связываются с одним или более компонентами системы комплемента, а также связываются с любым из канонических рецепторов Fc и/или неонатальным рецептором FcRn.

[000143] В настоящей заявке термины «опосредованное комплементом заболевание» и «связанное с комплементом заболевание» относятся к заболеваниям и состояниям, в которых система комплемента играет определенную роль. Например, опосредованные комплементом заболевания включают заболевания, связанные с нарушениями активации системы комплемента. Согласно некоторым вариантам реализации настоящего изобретения опосредованные комплементом заболевания можно излечить, предотвратить или уменьшить путем ингибирования каскада системы комплемента. Связанные с комплементом заболевания известны в данной области техники и включают, но не ограничиваются ими, миастению гравис, гемолитический уремический синдром (HUS), атипичный гемолитический уремический синдром (aHUS), гемолитический уремический синдром, вызванный шига-токсином E. coli (STEC-HUS), системную тромботическую микроангиопатию (TMA), пароксизмальную ночную гемоглобинурию (PNH), нейромиелит зрительного нерва, рецидивирующий нейромиелит зрительного нерва (NMO), опосредованное антителами отторжение аллотрансплантатов, синдром Барракера-Симонса, астму, волчанку, аутоиммунное заболевание сердца, рассеянный склероз, воспалительное заболевание кишечника, травму, вызванную реперфузией при ишемии, болезнь Альцгеймера, болезнь Паркинсона, боковой амиотрофический склероз, повреждения спинного мозга, дегенерацию желтого пятна, ассоциированную с фактором H (Y402H), возрастную дегенерацию желтого пятна (AMD), наследственный ангионевротический и мембранопролиферативный гломерулонефрит (MPGN), мембранозную нефропатию, ревматоидный артрит (РА), острый респираторный дистресс-синдром (ОРДС), активацию системы комплемента во время сердечно-легочного шунтирования, дерматомиозит, пузырчатку, волчаночный нефрит, гломерулонефрит и васкулит, IgA-опосредованную нефропатию, острую почечную недостаточность, криоглобулинемию, синдром, вызванный антителами к фосфолипидам, увеит, диабетическую ретинопатию, гемодиализ, хронический окклюзионный легочной дистресс-синдром (ХОБЛ) и аспирационную пневмонию. Связанные с комплементом заболевания также могут включать различные другие аутоиммунные, воспалительные, иммунологические, неврологические, ревматические заболевания или заболевания, ассоциированные с инфекционными агентами.

[000144] Под «непосредственно соединены» подразумевают две последовательности, соединенные друг с другом без промежуточных или посторонних последовательностей, например, аминокислотные последовательности, полученные в результате введения сайтов, распознаваемых ферментами рестрикции, в ДНК или клонирования фрагментов. Специалист в данной области техники поймет, что термин «непосредственно соединены» включает добавление или удаление аминокислот до тех пор, пока способность к мультимеризации по существу не изменяется.

[000145] Под термином «гомологичный» подразумевают идентичность по всей длине последовательности конкретной нуклеиновой или аминокислотной последовательности. Например, «80% гомология» означает, что конкретная последовательность приблизительно на 80% идентична заявленной последовательности и может содержать вставки, делеции, замены и сдвиги открытой рамки считывания. Специалист в данной области техники поймет, что сопоставление последовательностей может быть сделано так, чтобы учитывать вставки и делеции для определения идентичности по всей длине последовательности.

[000146] В настоящем описании нумерация остатков в тяжелой цепи IgG приведена в соответствии с системой нумерации ЕС, описанной в Kabat et al., Sequences of Proteins of Immunological Interest, 5th Ed. Public Health Service, National Institutes of Health, Bethesda, MD (1991), включенной в явной форме в настоящую заявку посредством ссылки. «Индекс ЕС в соответствии с Кабат (Kabat)» относится к нумерации остатков антитела IgG1 человека в соответствии с системой ЕС. См. Фигуры 36A и 36B.

[000147] Существует две полиморфные формы IgG1 человека, обозначаемые как полиморфы DEL и EEM. Полиморфная форма DEL содержит D в положении 356 и L в положении 358; полиморфная форма EEM содержит E в положении 356 и M в положении 358 (нумерация в соответствии с Кабат, см. Фигуры 36А и 36B). Страдомеры согласно настоящему изобретению могут содержать полиморфные формы DEL или EEM IgG1. Следовательно, даже если предложение для конкретного мутированного варианта явно приведено применительно к полиморфной форме DEL, специалист в данной области техники поймет, что такие же мутации могут быть введены в полиморфную форму EEM с получением аналогичных результатов. Например, соединения G994 и G998 были сконструированы с включением обеих полиморфных форм DEL и EEM, затем была проведена оценка их функциональных различий. Какие-либо функциональные различия не были обнаружены. В частности, связывание с C1q и ингибирование CDC были по существу одинаковы для каждой полиморфной формы соответствующих соединений.

[000148] Согласно одному варианту реализации настоящего изобретения иммунологически активные биомиметики согласно настоящему изобретению представляют собой страдомеры. Иммунологически активные соединения согласно настоящему изобретению представляют собой мультимеры гомодимеров. Согласно одному варианту реализации настоящего изобретения каждый гомодимер обладает способностью связываться с комплементом. Следовательно, в мультимеризованной форме иммунологически активные биомиметики содержит по меньшей мере два гомодимера, каждый из которых обладает способностью связываться с системой комплемента.

[000149] В следующих подразделах представлено определение структурных блоков биомиметиков согласно настоящему изобретению, как структурное, так и функциональное, и затем приводится определение самих биомиметиков. Однако вначале следует отметить, что, как указано выше, каждый из биомиметиков согласно настоящему изобретению содержит по меньшей мере один домен Fc и один домен мультимеризации. Каждый из домена Fc и домена мультимеризации по меньшей мере представляет собой димерный полипептид (или димерную область более крупного полипептида), который содержит две пептидные цепи или два плеча (мономеры), которые связываются с образованием функционального рецептора Fc или сайта связывания комплемента и домена мультимеризации, способного мультимеризовать полученный гомодимер. Следовательно, функциональная форма отдельных фрагментов и доменов, обсуждаемых в настоящем документе, как правило существует в димерной (или мультимерной) форме. Мономеры отдельных фрагментов и доменов, обсуждаемых в настоящем документе, представляют собой одиночные цепи или плечи, которые должны связаться со второй цепью или плечом, чтобы сформировать функциональную димерную структуру.

Фрагмент Fc

[000150] В настоящей заявке термин «фрагмент Fc» используется для описания участка белка или свернутой структуры белка, которая обычно обнаруживается на карбоксильном конце иммуноглобулинов. Фрагмент Fc может быть выделен из фрагмента Fab моноклонального антитела с помощью ферментативного расщепления, например, папаином, однако этот процесс является неполным и имеет недостатки (см. Mihaesco C and Seligmann M. Papain Digestion Fragments Of Human IgM Globulins. Journal of Experimental Medicine, Vol 127, 431- 453 (1968)). В сочетании с фрагментом Fab (содержащим антигенсвязывающий домен) фрагмент Fc составляет голоантитело, то есть полное антитело в настоящем документе. Фрагмент Fc состоит из карбоксильных концевых участков тяжелых цепей антитела. Каждая из цепей во фрагменте Fc содержит приблизительно 220-265 аминокислот в длину, и цепи часто связаны посредством дисульфидной связи. Фрагмент Fc часто содержит одну или более независимых структурных складок или функциональных субдоменов. В частности, фрагмент Fc содержит домен Fc, определяемый в настоящий документ в качестве минимальной структуры, которая связывается с рецептором Fcγ. Выделенный фрагмент Fc состоит из двух мономерных фрагментов Fc (например, двух карбокси-концевых частей тяжелых цепей антитела; дополнительно определенных в настоящем документе), которые димеризованы. При связывании двух мономерных фрагментов Fc полученный в результате фрагмент Fc способен связываться с системой комплемента и/или рецептором Fc.

Неполный фрагмент Fc

[000151] «Неполный фрагмент Fc» представляет собой домен, содержащий неполный фрагмент области Fc антитела, при этом сохраняющий достаточную структуру, чтобы обладать активностью, аналогичной таковой фрагмента Fc, включая активность в отношении связывания с рецептором Fc и/или с системой комплемента. В этой связи в неполном фрагменте Fc может отсутствовать вся шарнирная область или ее часть, весь домен СН2 или его часть, весь домен СН3 или его часть и/или весь домен СН4 или его часть, в зависимости от изотипа антитела, из которого получен домен Fc. Другой пример неполного фрагмента Fc включает молекулу, содержащую домены СН2 и СН3 IgG1. В этом примере неполный фрагмент Fc не содержит шарнирного домена, присутствующего в IgG1. Неполные фрагменты Fc состоят из двух мономеров неполных фрагментов Fc. Как дополнительно определено в настоящем описании, при связывании двух указанных мономеров неполных фрагментов Fc полученный в результате неполный фрагмент Fc способен связываться с рецептором Fc и/или с системой комплемента.

Домен Fc

[000152] В настоящей заявке термин «домен Fc» описывает минимальную область (применительно к более крупному полипептиду) или наименьшую свернутую структуру белка (применительно к выделенному белку), которая может связываться или может быть связана рецептором Fc (FcR). Во фрагменте Fc и неполном фрагменте Fc домен Fc представляет собой минимальный связывающий участок, который обеспечивает связывание молекулы с рецептором Fc. В то время как домен Fc может быть ограничен дискретным гомодимерным полипептидом, который связывается рецептором Fc, очевидно, что домен Fc может представлять собой часть или полный фрагмент Fc, а также часть или целый неполный фрагмент Fc. При использовании термина «домены Fc» в настоящем изобретении специалист в данной области техники поймет, что указанный термин означает более одного домена Fc. Домен Fc состоит из двух мономеров домена Fc. Как дополнительно определено в настоящем документе, домен Fc, полученный при ассоциации двух указанных мономеров домена Fc, способен связываться с рецептором Fc и/или связываться с системой комплемента. Следовательно, домен Fc представляет собой димерную структуру, которая может связываться с комплементом и/или рецептором Fc. Страдомеры, описанные в настоящем документе, содержат домен Fc, содержащий одну или более мутаций, которые изменяют способность страдомера связываться с комплементом и/или рецептором Fc.

Неполный домен Fc

[000153] В настоящей заявке термин «неполный домен Fc» описывает часть домена Fc. Неполные домены Fc содержат отдельные домены константных областей тяжелой цепи (например, домены CH1, CH2, CH3 и CH4) и шарнирные области различных классов и подклассов иммуноглобулинов. Следовательно, неполные домены Fc человека согласно настоящему изобретению содержат домен CH1 IgG1, домен СН2 IgG1, домен СН3 IgG1 и шарнирные области IgG1 и IgG2. Соответствующие неполные домены Fc у других видов будут зависеть от иммуноглобулинов, присутствующих у этих видов, и их названия. Предпочтительно неполные домены Fc согласно настоящему изобретению содержат CH1, CH2 и шарнирные области IgG1 и шарнирную область IgG2. Неполный домен Fc согласно настоящему изобретению может дополнительно содержать комбинацию более чем одного из указанных доменов и шарнирных областей. Однако отдельные неполные домены Fc согласно настоящему изобретению и их комбинации не обладают способностью связываться с FcR. В этой связи неполные домены Fc и их комбинации содержат неполную последовательность домена Fc. Неполные домены Fc могут быть соединены друг с другом с образованием пептида, который способен связываться с системой комплемента и/или рецептором Fc, формируя тем самым домен Fc. В настоящем изобретении неполные домены Fc используют совместно с доменами Fc в качестве строительных блоков для создания биомиметиков согласно настоящему изобретению, определенных в настоящем документе. Каждый неполный домен Fc состоит из двух мономеров неполного домена Fc. Ассоциация двух указанных мономеров неполного домена Fc приводит к формированию неполного домена Fc.

[000154] Как было указано выше, каждый из фрагментов Fc, неполных фрагментов Fc и неполных доменов Fc представляет собой димерный белок или домен. Следовательно, каждая из указанных молекул состоит из двух мономеров, которые соединяются с образованием димерного белка или домена. Несмотря на то, что характеристики и активность гомодимерных форм были описаны выше, ниже обсуждаются мономерные пептиды.

Мономер фрагмента Fc

[000155] В настоящей заявке «мономер фрагмента Fc» представляет собой отдельную белковую цепь, которая, при связывании с другим мономером фрагмента Fc, образует фрагмент Fc. Мономер фрагмента Fc, следовательно, представляет собой карбокси-концевую часть одной из тяжелых цепей антитела, которые составляют фрагмент Fc голоантитела (например, непрерывную часть тяжелой цепи, которая содержит шарнирную область, домен СН2 и домен СН3 IgG). Согласно одному варианту реализации настоящего изобретения мономер фрагмента Fc содержит по меньшей мере одну цепь шарнирной области (мономер шарнирной области), одну цепь домена СН2 (мономер домена СН2) и одну цепь домена СН3 (мономер домена СН3), которые соединены непосредственно с образованием пептида. Согласно одному варианту реализации настоящего изобретения СН2, СН3 и шарнирные домены получены из различных изотипов. В конкретном варианте реализации мономер фрагмента Fc содержит шарнирный домен IgG2 и домены СН2 и СН3 IgG1.

Мономеры домена Fc

[000156] В настоящей заявке термин «мономер домена Fc» описывает одноцепочечный белок, который, при соединении с другим мономером домена Fc, формирует домен Fc, который может связываться с системой комплемента. Соединение двух мономеров домена Fc приводит к формированию одного домена Fc.

[000157] Согласно одному варианту реализации настоящего изобретения мономеры домена Fc согласно настоящему изобретению не содержат посторонних последовательностей, в отличие от мономеров домена Fc, описанных ранее в WO 2008/151088. Напротив, мономеры домена Fc согласно настоящему изобретению соединены непосредственно с лидерной последовательностью (например, SEQ ID NO: 1) на одном конце (например, N-конце мономера Fc) и доменом мультимеризации (например, SEQ ID NO: 4, 5 или 6) на другом конце (например, C-конце мономера Fc). Специалист в данной области техники поймет, что, несмотря на то, что конструкции разрабатываются с лидерной последовательностью, указанная последовательность затем отщепляется. Следовательно, в предпочтительных вариантах реализации настоящего изобретения зрелый белок не содержит лидерной последовательности.

[000158] Согласно одному варианту реализации настоящего изобретения мономер домена Fc содержит, в направлении от амино- к карбоксильному концу, домен Fc, содержащий шарнирную область IgG1, CH2 IgG1 и СН3 IgG1 и шарнирную область IgG2, (основание G045c), причем указанный мономер содержит одну или более точечных мутаций в домене Fc. Согласно другому варианту реализации настоящего изобретения мономер домена Fc содержит, в направлении от амино- к карбоксильному концу, домен Fc, содержащий шарнирную область IgG2, шарнирную область IgG1, CH2 IgG1 и CH3 IgG1 (основание G019), причем указанный мономер Fc содержит одну или более точечных мутаций в домене Fc. Согласно другому варианту реализации настоящего изобретения мономер домена Fc содержит, в направлении от амино- к карбоксильному концу, домен Fc, содержащий шарнирную область IgG2, CH2 IgG1 и CH3 IgG1 (основание G051), причем указанный мономер Fc содержит одну или более точечных мутаций в домене Fc.

Страдомеры

[000159] В конкретных вариантах реализации настоящего изобретения биомиметики согласно настоящему изобретению включают страдомеры. Страдомеры согласно настоящему изобретению представляют собой биомиметические соединения, способные связываться с комплементом, которые предпочтительно проявляют значительно улучшенное связывание с системой комплемента. В предпочтительном варианте реализации страдомеры согласно настоящему изобретению проявляют повышенную степень связывания с системой комплемента, по сравнению со связыванием с одним или более каноническими рецепторами Fc. Страдомер может иметь четыре различные физические конформации: последовательную, кластерную, коровую или фрагмента Fc. Как будет очевидно, фрагменты Fc, неполные фрагменты Fc, домены Fc и неполные домены Fc, описанные выше, можно применять для конструирования различных конформаций страдомеров. Кроме того, существуют отдельные мономеры домена Fc и мономеры неполного домена Fc, также рассмотренные выше, которые получают в первую очередь с образованием гомодимерных страдомерных блоков, и затем мультимеризуют посредством включения домена мультимеризации (например, шарнирной области IgG2), чтобы получить мультимерные структуры, которые представляют собой кластерные страдомеры согласно настоящему изобретению. Конкретные страдомеры подробно описаны в WO 2008/151088 и WO 2012/016073, содержание которых полностью включено в настоящую заявку посредством ссылки. Степень связывания с рецептором Fcγ и/или FcRn может быть дополнительно повышена с помощью дополнительных мутаций в одном или более положениях 233 и/или 234, и/или 235, и/или 236, и/или 238, и/или 265, и/или 297, и/или 299.

Мономер страдомерного блока

[000160] В настоящей заявке термин «мономер страдомерного блока» относится к отдельной, непрерывной пептидной молекуле, которая, при соединении по меньшей мере со вторым мономером страдомерного блока, образует гомодимерный страдомерный блок, содержащий по меньшей мере один домен Fc. В то время как в предпочтительных вариантах реализации страдомерные блоки состоят из двух связанных мономеров страдомера, страдомер также может содержать три или более мономеров страдомера.

[000161] Мономер страдомерного блока может содержать аминокислотную последовательность, которая будет формировать один, два, три, четыре, пять, шесть, семь, восемь, девять, десять, одиннадцать, двенадцать, тринадцать, четырнадцать или более доменов Fc при связывании с другим мономером страдомерного блока с образованием «страдомерного блока». Мономер страдомерного блока может дополнительно содержать аминокислотную последовательность, которая будет формировать один, два, три, четыре, пять, шесть, семь, восемь, девять, десять, одиннадцать, двенадцать, тринадцать, четырнадцать или более неполных доменов Fc при связывании с другим мономером страдомерного блока с образованием страдомерного блока.

[000162] Области мономеров страдомерных блоков, которые будут формировать домены Fc и неполные домены Fc, применительно к страдомерному блоку, могут располагаться в направлении от карбокси-конца к амино-концу последовательных участков молекулы мономера страдомерного блока. Расположение отдельных мономеров домена Fc и мономеров неполного домена Fc, содержащего мономер страдомерного блока, не имеет решающего значения. Однако расположение должно допускать образование двух функциональных доменов Fc при соединении двух мономеров страдомерного блока. Согласно одному варианту реализации настоящего изобретения страдомер согласно настоящему изобретению содержит непосредственную связь между N-концом мономера Fc IgG1 и С-концом лидерного пептида (SEQ ID NO: 1), и С-концом области Fc IgG1 и N-концом домена мультимеризации шарнирной области IgG2 (SEQ ID NO: 4).

[000163] В качестве поясняющего примера, специалист в данной области техники поймет, что молекулы страдомеров согласно настоящему изобретению, содержащие указанные точечные мутации, могут быть сконструированы путем получения полинуклеотидной молекулы, которая кодирует мономер домена Fc с желаемыми точечными мутациями и область мультимеризации. Указанная молекула полинуклеотида может быть вставлена в вектор экспрессии, который может быть использован для трансформации популяции бактерий или трансфекции популяции клеток млекопитающих. Мономеры страдомерного блока затем могут быть получены путем культивирования трансформированных бактерий или трансфекции клеток млекопитающих при соответствующих условиях культивирования. Например, клональная клеточная линия, продолжающая пул стабильно трансфецированных клеток, может быть получена путем отбора клеток с использованием генетицина/G418. В другом варианте, клетки могут быть трансфецированы ДНК, кодирующей страдомер согласно настоящему изобретению (например, ДНК, кодирующей страдомер в соответствии с любой из последовательностей, представленных в SEQ ID NO: 10-77), под контролем промотора ЦМВ. Экспрессированные мономеры страдомера затем могут формировать функциональные страдомерные блоки и страдомеры при самоагрегации мономеров страдомера или блоков или соединении мономеров страдомера с использованием связей между мономерами страдомера. Экспрессированные страдомеры затем могут быть очищены из культуральной среды клеток с помощью аффинной хроматографии с использованием, например, колонок с белком A или белком G. Специалист в данной области техники поймет, что лидерный пептид, включенный в конструкцию нуклеиновой кислоты, используется только для облегчения выработки пептидов мономеров страдомерного блока и отщепляется при экспрессии зрелого белка. Следовательно, биологически активные биомиметики согласно настоящему изобретению не содержат лидерный пептид.

Кластерный страдомер

[000164] Согласно одному варианту реализации настоящего изобретения страдомер, используемый в соответствии с настоящим изобретением, представляет собой кластерный страдомер. «Кластерный страдомер» является биомиметиком, который имеет радиальную форму с центральным фрагментом «голова» и двумя или более «ножками», в котором каждая ножка содержит один или более доменов Fc, которые способны связываться по меньшей мере с одним рецептором Fc-гамма и/или с системой комплемента. Кластерный страдомер также известен как «мультимеризующийся страдомер» вследствие наличия домена мультимеризации, что приводит к мультимеризации страдомера. Следовательно, последовательные страдомеры, которые содержат несколько доменов Fc на одной молекуле мономера страдомера, все еще могут быть классифицированы как кластерный страдомер или мультимеризующийся страдомер до тех пор, пока молекула также содержит по меньшей мере один домен мультимеризации. Каждый кластерный страдомер состоит из более чем одного гомодимерного белка, каждый из которых называется «кластерный страдомерный блок». Каждый кластерный страдомерный блок состоит по меньшей мере из одной области, которая мультимеризуется, и области «ножки», которая содержит по меньшей мере один функциональный домен Fc. Мультимеризующаяся область создает «головку» кластерного страдомера после мультимеризации с другим кластерным страдомерным блоком. Область ножки может быть способна связываться с таким количеством молекул системы комплемента, которое соответствует количеству доменов Fc в каждой ножке. Например, область ножки может связываться с таким количеством молекул C1q, которое соответствует количеству доменов Fc в каждой области ножки. Следовательно, кластерный страдомер представляет собой биомиметическое соединение, способное связываться с двумя или более молекулами C1q, предотвращая тем самым последующие реакции опосредованного комплементом лизиса. Особенно активные биомиметики согласно настоящему изобретению могут связывать все шесть головок молекулы C1q.

[000165] Мультимеризующаяся область может представлять собой пептидную последовательность, которая вызывает дальнейшую мультимеризацию димерных белков или, в другом варианте, мультимеризующаяся область может быть гликозилирована, что усиливает мультимеризацию димерных белков. Примеры пептидных мультимеризующихся областей включают шарнирную область IgG2, домен CH2 IgE, изолейциновую молнию, повтор глицин-пролин-пролин коллагена («GPP») и цинковые пальцы. Изменения гликозилирования, независимо от того, возникают ли они в результате замены аминокислот или условий культивирования, также могут влиять на мультимеризацию биомиметиков согласно настоящему изобретению. Влияние гликозилирования на мультимеризацию пептидов хорошо описано в данной области техники (например, Role of Carbohydrate in Multimeric Structure of Factor VIII/V on Willebrand Factor Protein. Harvey R. Gralnick, Sybil B. Williams and Margaret E. Rick. Proceedings of the National Academy of Sciences of the United States of America, Vol. 80, No. 9, [Part 1 : Biological Sciences] (May 1, 1983), pp. 2771-277 '4; Multimerization and collagen binding of vitronectin is modulated by its glycosylation. Kimie Asanuma, Fumio Arisaka and Haruko Ogawa. International Congress Series Volume 1223, December 2001, Pages 97-101).

[000166] Мультимеризующаяся область может представлять собой пептидную последовательность, которая вызывает димеризацию или мультимеризацию пептидов и содержит шарнирную область IgG2, домен СН2 IgE, изолейциновую молнию, GPP коллагена и цинковый палец. Общеизвестно, что шарнирная область IgG2 человека может образовывать ковалентные димеры (Yoo, E.M. et al. J. Immunol. 170, 3134-3138 (2003); Salfeld Nature Biotech. 25, 1369-1372 (2007)). Образование димера IgG2 потенциально опосредовано структурой шарнирной области IgG2 посредством связей C-C (Yoo et al 2003), это свидетельствует о том, что шарнирная структура по отдельности может опосредовать образование димеров. Однако количество димеров IgG2, обнаруженных в сыворотке крови человека, ограничено. По оценкам, количество IgG2, существующего в виде димера из гомодимеров, составляет менее 10% от общего IgG2 (Yoo et al. 2003). Более того, отсутствуют количественные данные о мультимеризации IgG2, помимо димера из гомодимеров. (Yoo et al. 2003). Иными словами, не было установлено, что нативный IgG2 формирует мультимеры более высокого порядка в сыворотке крови человека. Страдомеры, содержащие шарнирную область IgG2 (т.е. G045c и G019, описанные в WO 2012/016073), присутствуют в высокоупорядоченных мультимерах и, в отличие от нативного IgG2 в сыворотке крови человека, в котором взаимодействия шарнирной области IgG2 являются вариабельными и динамическими, было показано, что G045c формирует высокостабильные мультимеры, существование которых подтверждено результатами электрофореза в ДСН-ППАГ в невосстанавливающих условиях, с помощью аналитического ультрацентрифугирования и результатами 3-месячных исследований стабильности при 100% влажности и 37 °C. Кроме того, неожиданным фактом также является то, что количество мультимеров в препаратах страдомеров, содержащих шарнирную область IgG2, значительно выше, чем приблизительно 10% димеров IgG2 в сыворотке крови человека, при этом мультимеры IgG2 не были обнаружены в сыворотке крови человека. Например, процент страдомеров, предпочтительно связывающихся с системой комплемента, которые представляют собой мультимеры, включая димеры, тримеры, тетрамеры и мультимеры более высокого порядка из гомодимеров, превышает 20% и может превышать 30%, 40%, 50%, 60%, 70%, 80% или даже 90%.

[000167] Аминокислотная последовательность мономера шарнирной области IgG2 человека имеет следующий вид: ERKCCVECPPCP (SEQ ID NO: 4). Мутация любого одного из 4 цистеинов в SEQ ID NO: 4 может быть связана со значительно уменьшенной мультимеризацией страдомера. Мономер шарнирной области IgG2 содержит два участка C-X-X-C. Следовательно, мономеры страдомера согласно настоящему изобретению могут содержать полную последовательность мономера шарнирной области IgG2 из 12 аминокислот или любой или оба из четырех аминокислотных коровых участков, наряду с мономерами домена Fc. В то время как X-X коровых структур могут представлять собой любую аминокислоту, в предпочтительном варианте реализации последовательность X-X представляет собой V-E или P-P. Специалист в данной области техники поймет, что мономер шарнирной области IgG2 может состоять из любой части последовательности шарнирной области, в дополнение к коровым структурам из четырех аминокислот, включая всю последовательность шарнирной области IgG2 и некоторые или все из последовательностей мономеров домена СН2 и СН3 IgG2. Не желая быть связанными какой-либо теорией, авторы настоящего изобретения полагают, что домен мультимеризации шарнирной области IgG2 может формировать мультимеры путем взаимодействия с любой частью мономера страдомера. Иными словами, шарнирная область IgG2 одного мономера страдомера может связываться с шарнирной областью IgG2 другого мономера страдомера, формируя тем самым димер из гомодимера или мультимеры более высокого порядка, сохраняя при этом повышенное функциональное связывание с рецепторами Fc, по сравнению с природной областью Fc IgG1. В другом варианте, домен шарнирной области IgG2 одного мономера страдомера может связываться с шарнирной областью IgG1 другого мономера страдомера, формируя тем самым димер из гомодимера или мультимеры более высокого порядка, сохраняя при этом повышенное функциональное связывание с рецепторами Fc, по сравнению с природной областью Fc IgG1. Также возможно, что шарнирная область IgG2 одного мономера страдомера связывается с другой частью домена Fc IgG1, т.е. с доменом СН2 или СН3 другого мономера страдомера, с образованием димера из гомодимеров или мультимеров более высокого порядка при сохранении повышенного функционального связывания с рецепторами Fc, по сравнению с природной областью Fc IgG1.

[000168] Лейциновые и изолейциновые молнии также можно применять в качестве мультимеризующейся области. Известно, что лейциновые и изолейциновые молнии (суперспиральные домены) облегчают образование димеров, тримеров и тетрамеров белков (Harbury et al. Science 262:1401-1407 (1993); O'Shea et al. Science 243:538 (1989)). Кластерные страдомеры могут быть получены, используя природную склонность изолейциновой молнии формировать тример.

[000169] Несмотря на то, что специалист в данной области техники поймет, что могут быть использованы различные типы лейциновых и изолейциновых молний, в предпочтительном варианте реализации используется изолейциновая молния из транскрипционного регулятора GCN4, модифицированная, как описано в литературе Morris et al., Mol. Immunol. 44:3112-3121 (2007); Harbury et al. Science 262:1401-1407 (1993)): GGGSIKQIEDKIEEILSKIYHIENEIARIKKLIGERGHGGG (SEQ ID NO: 5). Указанная последовательность изолейциновой молнии представляет собой лишь одну из нескольких возможных последовательностей, которые могут быть использованы для мультимеризации мономеров домена Fc. Несмотря на то, что может быть использована полная последовательность, представленная в SEQ ID NO: 5, подчеркнутая часть последовательности представляет собой коровую последовательность изолейциновой молнии, которая может быть использована в кластерном страдомере согласно настоящему изобретению. Следовательно, мономеры страдомеров согласно настоящему изобретению могут содержать полную аминокислотную последовательность изолейциновой молнии или коровую последовательность из 28 аминокислот, наряду с одним или более мономерами домена Fc. Специалист в данной области техники также поймет, что изолейциновая молния может состоять из любой части молнии в дополнение к 28-аминокислотной коровой структуре и, следовательно, может содержать более 28 аминокислот, но не полную последовательность.

[000170] GPP представляет собой аминокислотную последовательность, обнаруженную в коллагене человека, которая вызывает связывание белок коллагена:белок. Несмотря на то, что специалист в данной области техники поймет, что различные типы повторов GPP могут быть использованы в качестве домена мультимеризации, в предпочтительном варианте реализации используется повтор глицин-пролин-пролин, описанный в литературе (Fan et al FASEB Journal 3796 vol. 22 2008) (SEQ ID NO: 6). Указанная последовательность повтора глицин-пролин-пролин является лишь одной из нескольких возможных последовательностей, которые могут быть использованы для мультимеризации мономеров домена Fc. Несмотря на то, что может быть использована вся последовательность, представленная в SEQ ID N O: 6, повторы различной длины также можно использовать для мультимеризации мономеров домена Fc. Аналогичным образом, повторы, содержащие различные аминокислоты в повторах GPP, также могут быть заменены.

[000171] Следует понимать, что страдомеры и другие молекулы биомиметиков, описанные в настоящем документе, могут быть получены из любого из различных видов, включая человека. Действительно, домены Fc, или неполные домены Fc, в любой из молекул биомиметиков согласно настоящему изобретению могут быть получены из иммуноглобулина более чем из одного (например, из двух, трех, четырех, пяти или более) вида. Однако, как правило, их получают из одного вида. Кроме того, следует понимать, что любой из способов, описанных в настоящем документе (например, способов лечения), можно применять у любого вида. Как правило, все компоненты биомиметика, которые применяют у вида, представляющего интерес, будут получены из указанного вида. Однако также могут быть использованы биомиметики, в которых все компоненты получены из различных видов или более чем из одного вида (включая и исключая вид, у которого применяют соответствующий способ).

[000172] Конкретные домены CH1, CH2, CH3 и СН4 и шарнирные области, которые содержат домены Fc и неполные домены Fc страдомеров и других биомиметиков согласно настоящему изобретению, могут быть независимо выбраны, исходя из подкласса иммуноглобулина, а также организма, из которого они получены. Соответственно, страдомеры и другие биомиметики, раскрытые в настоящем документе, могут содержать домены Fc и неполные домены Fc, которые независимо получены из различных типов иммуноглобулинов, таких как IgG1, IgG2, IgG3, IgG4, IgA, IgA1, IgD, IgE и IgM человека, IgG2a мыши или IgA или IgB собаки. Аналогичным образом, каждый домен Fc и неполный домен Fc может быть получен из различных видов, предпочтительно видов млекопитающих, включая приматов, отличных от человека (например, обезьян, бабуинов и шимпанзе), человека, мышь, крысу, крупный рогатый скот, лошадей, кошек, собак, свиней, кроликов, коз, овец, оленей, хорьков, грызунов, морских свинок, хомяков, летучих мышей, птиц (например, кур, индеек и уток), рыб и рептилий, для получения видоспецифичных или химерных молекул страдомеров.

[000173] Отдельные домены Fc и неполные домены Fc также могут быть гуманизированы. Специалист в данной области техники понимает, что различные области Fc и неполные домены Fc будут обеспечивать различные типы функциональных возможностей. Например, FcRn специфично связывается с иммуноглобулинами IgG, но незначительно связывается с другими классами иммуноглобулинов. Специалист в данной области техники также понимает, что различные вредные последствия могут быть связаны с использованием определенных доменов Ig, такие как анафилаксия, связанная с инфузиями IgA. Биомиметики, раскрытые в настоящем изобретении, как правило, должны быть сконструированы так, чтобы избежать перечисленных последствий, хотя при определенных обстоятельствах такие эффекты могут быть желательными.

[000174] В область настоящего изобретения также включены страдомеры, содержащие домены Fc и неполные домены Fc, содержащие аминокислоты, которые отличаются от природных аминокислотных последовательностей домена Fc или неполного домена Fc. Предпочтительные домены Fc для включения в биомиметические соединения согласно настоящему изобретению обладают измеримой специфичной аффинностью связывания с системой комплемента. Первичные аминокислотные последовательности и структуры многочисленных доменов Fc и мономеров доменов Fc, полученные с помощью рентгеновской кристаллографии, доступны в данной области техники. См., например, Woof JM, Burton DR. Human antibody-Fc receptor interactions illuminated by crystal structures. Nat Rev Immunol. 2004 Feb;4(2):89-99. Типичные домены Fc, способные связываться с рецепторами Fcγ, включают домены Fc из IgG1 человека (SEQ ID NO: 2 или 3). Указанные нативные последовательности были подвергнуты интенсивному исследованию структуры и функции, включая картирование функциональных последовательностей с помощью сайт-направленного мутагенеза. На основании результатов указанных предварительных исследований структуры и функции и доступных данных кристаллографии специалист в данной области техники может разработать функциональные варианты последовательности домена Fc, сохраняя при этом способность связываться с системой комплемента. Например, остатки цистеина могут быть добавлены, чтобы усилить образование дисульфидных связей между мономерами, или удалены, чтобы изменить взаимодействие между гомодимерами страдомера. Кроме того, специалист в данной области техники может разработать функциональные варианты последовательности домена Fc, сохраняя при этом повышенную способность связываться с системой комплемента, или может разработать функциональные варианты последовательности домена Fc с еще более повышенной способностью к связыванию с системой комплемента.

[000175] Замены аминокислот могут быть обнаружены по всей последовательности домена Fc или могут быть определены для конкретных неполных доменов Fc, которые составляют домен Fc. Функциональные варианты домена Fc, используемые в страдомерах и других биомиметиках согласно настоящему изобретению, будут иметь по меньшей мере приблизительно 50%, 60%, 70%, 80%, 90%, 95%, 96%, 97%, 98% или 99% идентичность последовательности с нативным доменом Fc. Аналогичным образом, функциональные варианты неполных доменов Fc, используемые в страдомерах и других биомиметиках согласно настоящему изобретению, будут иметь по меньшей мере приблизительно 50%, 60%, 70%, 80%, 90%, 95%, 96%, 97%, 98% или 99% идентичность последовательности с нативным неполным доменом Fc.

[000176] Специалист в данной области техники понимает, что в область настоящего изобретения также включено применение функциональных вариантов мономеров домена Fc в конструировании мономеров фрагмента Fc, мономеров неполного фрагмента Fc, мономеров страдомера и других мономеров согласно настоящему изобретению. Функциональные варианты мономеров домена Fc будут иметь по меньшей мере приблизительно 50%, 60%, 70%, 80%, 90%, 95%, 96%, 97%, 98% или 99% идентичность последовательности с последовательностью мономера нативного домена Fc.

[000177] Аналогичным образом, в область настоящего изобретения также включено применение функциональных вариантов мономеров неполного домена Fc в конструировании мономеров фрагмента Fc, мономеров неполного фрагмента Fc, мономеров домена Fc, мономеров страдомера и других мономеров согласно настоящему изобретению. Функциональные варианты мономеров неполного домена Fc будут иметь по меньшей мере приблизительно 50%, 60%, 70%, 80%, 90%, 95%, 96%, 97%, 98% или 99% идентичность последовательности с последовательностью мономера нативного неполного домена Fc.

[000178] Замены аминокислот могут уменьшать, увеличивать или оставлять без изменения аффинность связывания страдомера с FcRn или каноническими рецепторами Fcγ. Предпочтительно такие изменения аминокислот будут представлять собой консервативные замены аминокислот, однако, подходящие изменения включают делеции, добавления и другие замены. Консервативные замены аминокислот, как правило, включают изменения в пределах следующих групп: глицин и аланин; валин, изолейцин и лейцин; аспарагиновая кислота и глутаминовая кислота; аспарагин, глутамин, серин и треонин; лизин, гистидин и аргинин; и фенилаланин и тирозин. Кроме того, замена аминокислоты может повысить прочность мультимеризации, например, путем добавления остатков цистеина.

[000179] В настоящей заявке термин «функциональный вариант» относится к последовательности, гомологичной эталонной последовательности, которая способна опосредовать такие же биологические эффекты, как и эталонная последовательность (в случае полипептида), или которая кодирует полипептид, который способен опосредовать такие же биологические эффекты, как и полипептид, кодируемый эталонной последовательностью (в случае полинуклеотида). Например, функциональный вариант любого из описанных в настоящем документе биомиметиков будет иметь определенную степень гомологии или идентичности, и будет способен к иммуномодуляции моноцитов или АПК. Функциональные варианты последовательности включают полинуклеотиды и полипептиды. Идентичность последовательностей обычно оценивают с помощью BLAST 2.0 (Basic Local Alignment Search Tool) с использованием параметров по умолчанию: Фильтр - активирован, оценочная матрица BLOSUM62, размер слова -3, значение E - 10, штраф за пропуск - 11,1 и сопоставления - 50. Согласно некоторым вариантам реализации настоящего изобретения функциональный вариант включает аминокислотную последовательность, имеющую по меньшей мере 80%, по меньшей мере 85%, по меньшей мере 90%, по меньшей мере 95%, или по меньшей мере 99% идентичность последовательности с аминокислотной последовательностью, представленной в настоящем документе.

[000180] Помимо состава аминокислотной последовательности нативных доменов Fc, содержание углеводов в области Fc, как известно, играет важную роль в структуре домена Fc. См., например, Robert L. Shields, et al. Lack of Fucose on Human IgG1 N-Linked Oligosaccharide Improves Binding to Human FcγRIII and Antibody-dependent Cellular Toxicity. J. Biol. Chem., Jul 2002; 277: 26733 - 26740 (doi:10.1074/jbc.M202069200); Ann Wright and Sherie L. Morrison. Effect of C2- Associated Carbohydrate Structure on Ig Effector Function: Studies with Chimeric Mouse-Human IgG1 Antibodies in Glycosylation Mutants of Chinese Hamster Ovary Cells. J. Immunol, Apr 1998; 160: 3393 - 3402. Содержание углеводов можно контролировать с использованием, например, конкретных систем экспрессии белка, включая конкретные клеточные линии или ферментативную модификацию в условиях in vitro. Следовательно, в область настоящего изобретения включены страдомеры, содержащие домены Fc с нативным содержанием углеводов голоантитела, из которого были получены домены, а также биомиметические соединения с измененным содержанием углеводов. Согласно другому варианту реализации настоящего изобретения мультимерные компоненты страдомера характеризуются различным характером гликозилирования по сравнению с гомодимерным компонентом аналогичного страдомера. Согласно одному из вариантов реализации страдомер, связывающийся с системой комплемента, содержит мутации, которые не изменяют характер гликозилирования, но уменьшают или устраняют связывание с каноническими рецепторами Fc и/или связывание с рецептором FcRn.

Предпочтительные варианты реализации страдомеров, предпочтительно связывающихся с системой комплемента

[000181] Страдомеры, предпочтительно связывающиеся с системой комплемента, описанные в настоящем документе, обеспечивают повышенную степень связывания с системой комплемента, по сравнению со связыванием с рецепторами Fc. Следовательно, страдомеры, предпочтительно связывающиеся с системой комплемента, описанные в настоящем документе, упоминаются в некоторых вариантах реализации как «страдомеры с предпочтительным связыванием с системой комплемента» или «страдомеры, связывающие комплемент». Согласно некоторым вариантам реализации настоящего изобретения страдомеры согласно настоящему изобретению представляют собой «универсальные страдомеры», которые связываются с одним или более компонентами каскада системы комплемента, а также связываются с любым из FcγR.

[000182] Страдомер на основе G045c, содержащий точечные мутации в положениях 267, 268 и 324 (SEQ ID NO: 13), в настоящем документе обозначен как G997. Согласно некоторым вариантам реализации настоящего изобретения G997 неожиданно проявляет сильное связывание с C1q и ингибирование CDC, при этом он сохраняет связывание с FcγRI, ингибирующим рецептором FcγRII и FcRn, а также значительно уменьшенное связывание с активирующими рецепторами FcγRIIa и FcγRIIIa.

[000183] Страдомер на основе G045c, содержащий точечные мутации в положениях 267, 268, 297 и 324 (SEQ ID NO: 14 или 15), в настоящем документе обозначен как G998. Мультимеризующийся страдомер, содержащий мутацию Fc N297A (но не содержащий мутаций в положении 267, 268 или 324), связывается с C1q без высокой аффинности и авидности, проявляет умеренное ингибирование CDC и не имеет заметного связывания с FcγRIIa, FcγRIIb или FcγRIIIa. Напротив, авторы настоящего изобретения обнаружили неожиданный факт, что введение дополнительных мутаций Fc S267E, H268F и/или S324T, применительно к страдомеру на основе GL-2045, содержащему мутацию N297A (страдомер, обозначенный G998), дополнительно существенно усиливает связывание с C1q и ингибирование CDC. Еще более удивительным фактом явилось то, что полученное соединение активно связывается с FcγRIIb. Следовательно, в некоторых вариантах реализации, G998 неожиданно проявляет еще более сильное связывание с C1q и ингибирование CDC, чем исходный страдомер G045c, а также полностью сохраняет связывание с FcRn и в основном сохраняет связывание с FcγRI, по сравнению с исходным G045c, а также частично сохраняет связывание с ингибирующим рецептором FcγRIIb со значительно уменьшенным связыванием с активирующими рецепторами FcγRIIa и FcγRIIIa. Чтобы подчеркнуть непредсказуемость указанных мутаций, в тех случаях, когда ряд аналогичных мутаций вводят в страдомер с N-концевым доменом мультимеризации (G019), по сравнению со страдомером с C-концевым доменом мультимеризации (GL-2045), такое предпочтительное связывание с C1q полностью устранено (см. соединение G999). Согласно некоторым вариантам реализации в настоящем изобретении предложен страдомер, содержащий точечные мутации в положениях 267, 268, 297 и 324, и дополнительно содержащий мутации в положениях 253, 310 и 435. Согласно другим вариантам реализации в настоящем изобретении предложены страдомеры, содержащие мутации в положениях 233, 234, 235, 253, 267, 268, 297, 299, 310, 324 и 435, а также делецию аминокислоты в положении G236. Следовательно, согласно некоторым вариантам реализации в настоящем изобретении предложен страдомер, содержащий следующие мутации: I253A, S267E, H268F, N297A, H310A, S324T и H435A; или страдомер, содержащий следующие мутации: E233P, L234V, L235A, I253A, S267E, H268F, N297A, T299A, H310A, S324T и H435A, а также делецию G236. Согласно некоторым вариантам реализации настоящего изобретения полученные страдомеры сохраняют связывание с C1q и ингибирование CDC, аналогично страдомеру в соответствии с последовательностями, представленными в SEQ ID NO: 14 или 15, и проявляют сниженное связывание с FcγRIIb и/или FcγRI, по сравнению со страдомером в соответствии с последовательностями, представленными в SEQ ID NO: 14 или 15.

[000184] Страдомер на основе G045c, содержащий точечные мутации в положениях 234, 235, 267, 268, 297 и 324 (SEQ ID NO: 21 или 22), в настоящем документе обозначен как G1033. Согласно некоторым вариантам реализации настоящего изобретения G1033 (например, применительно к мутациям N297A и L234A/L235A) неожиданно сохраняет некоторую степень связывания с FcγRI и FcγRIIa, помимо сильного связывания с C1q и ингибирования CDC.

[000185] Страдомер на основе G045c, содержащий точечные мутации в положениях 233, 236, 267, 268 и 324 (SEQ ID NO: 10 или 11), в настоящем документе обозначен как G994. Согласно некоторым вариантам реализации настоящего изобретения G994 сохраняет прочное связывание с FcγRI и FcRn и минимальное связывание с FcγRIIb, при этом не проявляет значительного связывания с активирующими рецепторами FcγRIIa и FcγRIIIa. Полученные результаты были особенно неожиданными, исходя из данных в работе Shields et al. (Shields, et al. J. Biol. Chem., 276(9):6591 (2001)), в которой описано, что мутации в положениях 233 или 236 приводят к устранению связывания с FcγRI, FcγRIIa, FcγRIIb, FcγRIIIa и FcRn. Эти результаты также подчеркивают непредсказуемость данной точечной мутации применительно к страдомеру. Мультимеризующийся страдомер, содержащий мутации Fc E233P и G236R (но не содержащий мутации в положении 267, 268 или 324), связывается с C1q без высокой аффинности и авидности, но не вызывает существенного ингибирования CDC и не проявляет существенного связывания с FcγRIIa, FcγRIIb или FcγRIIIa. Напротив, авторы настоящего изобретения обнаружили неожиданный факт, что введение дополнительных мутаций Fc S267E, H268F и/или S324T, применительно к страдомеру, содержащему мутации E233P и G236R (страдомер, обозначенный G994), дополнительно повышает связывание с C1q и ингибирование CDC, при этом сохраняет некоторую степень связывания с FcγRIIb.

[000186] Страдомер на основе G045c, содержащий точечные мутации в положениях 233, 234, 235, 267, 268, 297 и 324 и делецию G236 (SEQ ID NO: 19), в настоящем документе обозначен как G1022. Согласно некоторым вариантам реализации настоящего изобретения G1022 неожиданно связывается с C1q, ингибирует CDC и сохраняет прочное связывание с FcγRIIa и незначительное связывание с FcγRIIb, однако неожиданно не сохраняет связывание с высокоаффинными FcγRI.

[000187] Страдомер на основе G045c, содержащий точечные мутации в положениях 234, 235, 267, 268 и 324 (SEQ ID NO: 63), в настоящем документе обозначен как G1032. Согласно некоторым вариантам реализации настоящего изобретения G1032 неожиданно связывается с C1q и ингибирует CDC, сохраняя при этом прочное связывание со всеми каноническими рецепторами Fc, и проявляет умеренно прочное связывание с FcRn.

[000188] Страдомер на основе G045c, содержащий точечные мутации в положениях 233, 234, 235, 267, 268 и 324 и делецию G236 (SEQ ID NO: 62), в настоящем документе обозначен как G1023. Согласно некоторым вариантам реализации настоящего изобретения G1023 неожиданно связывается с C1q и ингибирует CDC, сохраняя при этом прочное связывание со всеми каноническими рецепторами Fc.

[000189] Страдомер на основе G045c, содержащий точечные мутации в положениях 265, 267, 268 и 324 (SEQ ID NO: 18), в настоящем документе обозначен как G1006. Согласно некоторым вариантам реализации настоящего изобретения G1006 неожиданно связывается с C1q и ингибирует CDC, сохраняя при этом прочное связывание с FcRn и FcγRI и умеренное связывание с FcγRIIa, несмотря на присутствие мутации в положении 265, которая, как можно было бы ожидать, уменьшает связывание со всеми каноническими рецепторами Fc.

[000190] Страдомер на основе G045c, содержащий точечные мутации в положениях 238, 267, 268, 297 и 324 (SEQ ID NO: 20), в настоящем документе обозначен как G1027. В некоторых вариантах реализации G1027 неожиданно связывается с C1q и ингибирует CDC, но при этом сохраняет способность к связыванию с каноническим рецептором Fc, несмотря на мутации в положениях 238 и 297, и сохраняет прочное связывание с FcγRI и FcRn и незначительное связывание с FcγRIIa и FcγRIIb.

[000191] Страдомер на основе G045c, содержащий точечные мутации в положениях 236, 267, 268 и 324 (SEQ ID NO: 12), в настоящем документе обозначен как G996. Согласно некоторым вариантам реализации настоящего изобретения G996 неожиданно связывается с FcγRI, FcγRIIa и FcγRIIb, помимо связывания с C1q и ингибирования CDC. Также неожиданным фактом явилось то, что G996 не связывался с каноническими рецепторами у мыши, что делает его идеальным соединением для оценки истинного ингибирования CDC у грызунов. В отличие от G996 мультимеризующийся страдомер, содержащий мутацию Fc G236R (но не содержащий мутации в положении 267, 268 или 324), обозначен как G990 и связывается с C1q без высокой аффинности и авидности, но не вызывает заметного ингибирования CDC. G990 также не проявляет значимого связывания с FcγRIIa, FcγRIIb или FcγRIIIa. Авторы настоящего изобретения обнаружили неожиданный факт, что введение дополнительных мутаций Fc S267E, H268F и/или S324T, применительно к G990, дополнительно усиливает связывание с C1q и ингибирование CDC. Еще более удивительным фактом явилось то, что G996 связывается с FcγRIIb с высокой авидностью.

[000192] Страдомер на основе G045c, содержащий точечные мутации в положениях 233, 236, 267, 268, 324 и 328 (SEQ ID NO: 23), в настоящем документе обозначен как G1042. Согласно некоторым вариантам реализации настоящего изобретения G1042 неожиданно прочно связывается с FcγRI, FcγRIIa и FcγRIIb. Следовательно, добавление мутации в положении 328 (при сравнении G1042 с G994, содержащим точечные мутации в положениях 233, 236, 267, 268 и 324) неожиданно привело к прочному связыванию с обоими рецепторами, FcγRIIa и FcγRIIb, несмотря на тот факт, что, как ожидалось, мутация в положении 328 должна была увеличить связывание только с FcγRIIb.

[000193] Страдомер на основе G045c, содержащий точечные мутации P238D, D265G, S267E, H268F и S324T (SEQ ID NO: 24), в настоящем документе обозначен как G1043. Согласно некоторым вариантам реализации настоящего изобретения G1043 неожиданно прочно связывается с FcγRIIa, FcγRIIb и FcγRI, несмотря на тот факт, что мутации в положениях 238 и 265, как ожидалось, должны были уменьшить связывание с FcγRIIa и FcγRI.

[000194] Страдомер на основе G045c, содержащий точечные мутации P238D, D265W, S267E, H268F и S324T (SEQ ID NO: 25), в настоящем документе обозначен как G1046. Согласно некоторым вариантам реализации настоящего изобретения G1046 неожиданно прочно связывается с FcγRI, а также проявляет повышенное связывание с FcγRIIa. Полученный результат был неожиданным, поскольку мутация в положении 238, как ожидалось, должна была увеличить связывание с FcγRIIb, но не связывание с FcγRIIa.

[000195] Страдомер на основе G045c, содержащий точечные мутации в положениях 233, 234, 235, 267, 268, 297, 324 и 328, и делецию аминокислоты в положении 236 (SEQ ID NO: 26), в настоящем документе обозначен как G1050. Согласно некоторым вариантам реализации настоящего изобретения G1050 прочно связывается с FcγRIIa и FcγRIIb. Неожиданным фактом явилось то, но связывание с низкоаффинным FcγRII было сохранено, в то время как связывание с высокоаффинным FcγRI отсутствовало.

[000196] Страдомер на основе G045c, содержащий точечные мутации P238D, S267E, H268F и S324T (SEQ ID NO: 27), в настоящем документе обозначен как G1025. Согласно некоторым вариантам реализации настоящего изобретения G1025 неожиданно прочно связывается с FcγRI, FcγRIIa и FcγRIIb. Полученный результат был неожиданным, поскольку мутация в положении 238, как ожидалось, должна была уменьшить связывание с FcγRI, FcγRIIa и FcγRIIIa, однако уменьшилось только связывание с FcγRIIIa. Еще более неожиданным фактом явилось то, что при введении аналогичного набора мутаций в страдомер с N-связанным доменом мультимеризации (G1024), в отличие от С-связанного страдомера GL-2045, указанное предпочтительное связывание с системой комплемента было полностью устранено. Полученные результаты еще раз подчеркивают непредсказуемый характер указанных мутаций применительно к мультимеризующемуся страдомеру.

[000197] Согласно некоторым вариантам реализации в настоящем изобретении предложены страдомеры, содержащие остов G019 (шарнирная область IgG2 - шарнирная область IgG1 - СН2 IgG1 СН3 IgG1, в направлении от амино- к карбоксильному концу) и содержащие одну или более точечных мутаций в домене Fc. Полученный страдомер, содержащий точечные мутации в положениях 267, 268 и 324 (SEQ ID NO: 17), в настоящем документе обозначен как G1003. Согласно некоторым вариантам реализации настоящего изобретения G1003 неожиданно связывался с C1q и устойчиво ингибировал CDC, в то время как исходный страдомер проявляет минимальное связывание с C1q и не ингибирует CDC, несмотря на то, что исходное соединение G019 образует мультимеры более высокого порядка, способные к авидному взаимодействию с рецепторами.

[000198] Страдомер на основе G019, содержащий точечные мутации в положениях 267, 268, 324 и 328 (SEQ ID NO: 64), в настоящем документе обозначен как G1049. Согласно некоторым вариантам реализации настоящего изобретения G1049 неожиданно проявлял прочное связывание со всеми каноническими FcγR, наряду с ингибированием системы комплемента и способностью к связыванию с C1q.

[000199] Авторы настоящего изобретения обнаружили неожиданный факт, что при введении определенных мутаций Fc, которые, как было описано, увеличивают аффинность моноклонального антитела в отношении системы комплемента, в область Fc мультимеризующегося страдомера, который существенно не связывается с FcγRIIb, полученное соединение восстанавливает связывание с FcγRIIb. Например, каждый из G994, G996 и G998 связывается с FcγRIIb, в некоторых случаях с проявлением авидности, несмотря на то, что соответствующие страдомеры, содержащие аналогичную мутацию, за исключением мутаций S267E, H268F и S324T, не проявляют авидного связывания с FcγRIIb.

[000200] Дополнительные страдомеры были созданы на основе каждого из страдомеров, предпочтительно связывающихся с системой комплемента, G994 и G998. В первом наборе страдомеров, полученных из G994, мутации G994 E233P, H268F и S324T были сохранены, остаток в положении 267 представлял собой остаток дикого типа (серин), и различные мутации также были введены в положение 236: аргинин (как в G994) или аминокислота, аналогичная аргинину. Полученные страдомеры были названы G1103, G1088, G1089, G1104, G1082, G1105 и G1106. Степень, с которой указанные страдомеры связываются с FcγR и компонентом комплемента C1q, существенно варьировалась и была непредсказуемой, это свидетельствует о том, что мутация в положении 236 страдомера G994 оказывает непредсказуемое действие. Во втором наборе страдомеров, полученных из G994, мутации G994 E233P, H268F и S324T были сохранены, остаток в положении 236 представлял собой остаток дикого типа (глицин), и различные мутации также были введены в положение 267: глутаминовая кислота (как в G994) или аминокислота, аналогичная глутаминовой кислоте. Полученные страдомеры были названы G1102, G1100, G1101, G1125, G1108, G1109 и G1084. Аналогичным образом, степень, с которой страдомеры связываются с FcγR и компонентом системы комплемента C1q, существенно варьировалась и была непредсказуемой, это указывает на то, что, сходно с положением 236, мутация в положении 267 страдомера G994 оказывает непредсказуемое действие. В следующем наборе страдомеров на основе G994 комбинации мутаций в положениях 236 и 267 были испытаны и названы G1110, G1111, G1112, G1114, G1115, G1116, G1117, G1118, G1119, G1120, G1121, G1122, G1123, G1124, G1128, G1129, G1130 и G1131. Профили связывания указанных страдомеров с FcγR и системой комплемента были непредсказуемыми.

[000201] Также были получены и испытаны производные G998. В первом наборе производных G998 мутации G998 H268F и S324T были сохранены, остаток в положении 267 представлял собой остаток дикого типа (серин) или был заменен аминокислотой, сходной с серином, и также была добавлена мутация в положении 299 (T299A). Полученные соединения были названы G1071d2, G1068, G1094, G1092, G1096, G1107, G1093 и G1095. Мутация T299A была сконструирована так, чтобы устранить сайт дегликозилирования. Степень, с которой указанная мутация снижает связывание с FcγR, была непредсказуемой, применительно к структуре страдомера и другим мутациям. Кроме того, были получены производные G998, содержащие мутации H268F, S324T и N297A (для дегликозилирования) G998, но различные мутации в положении 267. Полученные соединения были названы G1069, G1070, G1132, G1074 и G1075 и также проявляли непредсказуемые профили связывания с FcγR и системой комплемента. Неожиданным фактом явилось то, что только одно из соединений этой группы (G1069) сохраняло связывание с системой комплемента при одновременном устранении связывания с FcγR. Указанное соединение, следовательно, представляло собой соединение с предпочтительным связыванием с системой комплемента.

[000202] Согласно некоторым вариантам реализации настоящего изобретения G994, G998, G1033, G1022, G1032, G1023, G1006, G1027, G996 или другой мультимеризующийся страдомер, предпочтительно связывающийся с системой комплемента, вводят субъекту, который имеет острое состояние, такое как, например, острый гемолиз (например, гемолитическую болезнь новорожденных), аутоиммунная гемолитическая анемия, медикаментозная гемолитическая анемия, приобретенная гемолитическая анемия, трансфузионные реакции/аллоиммунная гемолитическая анемия, инфекционная гемолитическая анемия (например, анемии, которые связаны с переносимыми клещами заболеваниями, включая бактериальные (болезнь Лайма, тиф, пятнистая лихорадка Скалистых гор, туляремия, эрлихоз), вирусные (менингоэнцефалит и геморрагическая лихорадка) и протозойные (пироплазмоз) клещевые инфекции; или те, которые связаны с москитными инфекционными заболеваниями, такими как малярия, включая гемоглобинурийную лихорадку, лихорадку денге, чикунгунью, лихорадку вируса Зика или вируса Эбола), ассоциированные с токсинами гемолитические анемии (например, токсинами из змеиного яда, токсичными химическими веществами или токсинами клещей), злокачественную гипертензию, ожоги или синдром Рея. Согласно некоторым вариантам реализации настоящего изобретения мультимеризующийся страдомер, предпочтительно связывающийся с системой комплемента, G998, G994, G1033, G1022, G1032, G1023, G1006, G1027, G996 вводят субъекту, нуждающемуся в этом, с помощью внутривенного введения.

[000203] Согласно некоторым вариантам реализации настоящего изобретения мультимеризующийся страдомер, предпочтительно связывающийся с системой комплемента, G998, G994, G1033, G1022, G1032, G1023, G1006, G1027, G996 вводят субъекту, который имеет хроническое заболевание или состояние. Хронические заболевания и состояния включают, например, заболевания почек, дегенерацию желтого пятна, хронический гемолиз (например, пароксизмальную ночную гемоглобинурию), механический гемолиз (например, из-за искусственного сердечного клапана, устройства для искусственного кровообращения или другого устройства, используемого в кровеносных сосудах, гемодиализа с использованием или без целлофановых мембран, преэклампсии или эклампсии или тромботической тромбоцитопенической пурпуры), наследственный сфероцитоз, овалоцитоз, дефицит пируваткиназы, дефицит G6PD, серповидно-клеточную анемию, талассемию, наследственную гемолитическую анемию, гемолитический уремический синдром, комплекс иммунных расстройств с вовлечением системы комплемента (например, гепатит В, гепатит C, смешанную криоглобулинемию, лепроматозную лепру и бактериемический шок), первичный билиарный цирроз печени, целиакию, множественную миелому и вызванный крапивницей васкулит. Согласно некоторым вариантам реализации настоящего изобретения G994 вводят субъекту, нуждающемуся в этом, с помощью подкожного введения.

[000204] Согласно некоторым вариантам реализации настоящего изобретения мультимеризующийся страдомер, предпочтительно связывающийся с системой комплемента, G998, G994, G1033, G1022, G1032, G1023, G1006, G1027 и G996 вводят субъекту, который имеет заболевание почек. Заболевания почек включают, но не ограничиваются ими, мембранопролиферативный гломерулонефрит, мезангиальный пролиферативный гломерулонефрит, идиопатический пролиферативный гломерулонефрит, очаговый склерозирующий гломерулонефрит, очаговый сегментарный гломерулосклероз, заболевание тонкой базальной мембраны, нефрит, волчаночный нефрит, фибриллярный гломерулонефрит, иммунотактоидный гломерулонефрит, болезнь Брайта, болезнь Бергера/IgA-опосредованную нефропатию, нефросклероз, нефроз, нефротический синдром, мембранозную нефропатию, мембранозный нефрит, постинфекционный гломерулонефрит, тубулярный некроз, медикаментозную нефротоксичность и синдром Гудпасчера.

[000205] Таким образом, авторы настоящего изобретения обнаружили, что могут быть получены отдельные страдомеры, которые обладают активностью, направленной на преимущественное связывание с системой комплемента, проявляя прочное связывание с C1q и уменьшенное связывание с FcγR, по сравнению с исходным страдомером, содержащим нативную последовательность домена Fc, однако активность, которой обладает каждый отдельный страдомер по отношению к связыванию с C1q и FcγR, не может быть предсказана на основании данных о влиянии указанной мутации в моноклональном антителе.

[000206] Аминокислотные последовательности типичных страдомеров, включенных в область настоящего изобретения, приведены в таблице 1. Мутированные аминокислоты указаны в таблице (текст, выделенный серым цветом).

[000207] Связывающие комплемент белки, такие как моноклональное антитело экулизумаб (антитело к C5), были использованы в данной области техники для блокирования пути системы комплемента в качестве способа лечения заболеваний, опосредованных комплементом. Биомиметики согласно настоящему изобретению обеспечивают повышенное связывание с компонентами системы комплемента, например, C1q, посредством определенных мутаций доменов Fc. Например, биомиметики согласно настоящему изобретению содержат точечную мутацию в положении 267 и/или 268, и/или 324 домена Fc IgG1. Биомиметики, связывающиеся с системой комплемента, согласно настоящему изобретению также проявляют измененное связывание с FcRn, FcγRI, FcγRII, и/или FcγRIII, по сравнению с доменами Fc IgG1 дикого типа, как правило, путем, который невозможно предсказать на основании литературных данных, описывающих мутации, содержащиеся в биомиметиках согласно настоящему изобретению. Следовательно, согласно одному варианту реализации настоящего изобретения биомиметики согласно настоящему изобретению представляет собой страдомеры, предпочтительно связывающиеся с системой комплемента, которые способны к мультимеризации и проявляют повышенную степень связывания с системой комплемента, по сравнению со связыванием с одним или более каноническими FcγR и/или FcRn, при сопоставлении с нормальным неагрегированным иммуноглобулином. Согласно другому варианту биомиметики согласно настоящему изобретению представляют собой страдомеры, предпочтительно связывающиеся с системой комплемента, которые способны к мультимеризации и проявляют повышенную степень связывания с системой комплемента, по сравнению со связыванием с одним или более каноническими FcγR и/или FcRn, при сопоставлении с нормальным агрегированным иммуноглобулином. Согласно другому варианту реализации настоящего изобретения биомиметики согласно настоящему изобретению представляют собой страдомеры, предпочтительно связывающиеся с системой комплемента, которые способны к мультимеризации и проявляют повышенную степень связывания с системой комплемента, по сравнению со связыванием с одним или более каноническими FcγR и/или FcRn, при сопоставлении с моноклональным антителом, содержащим аналогичные мутации в своем домене Fc. Согласно другому варианту реализации настоящего изобретения биомиметики согласно настоящему изобретению имеют измененный период полувыведения, по сравнению с нативным IgG, IVIG или исходным страдомером.

[000208] В настоящей заявке термины «FcγR» и «рецептор Fcγ» включают всех членов семейств Fcγ RI, RII и RIII. Рецептор Fcγ включает низкоаффинные и высокоаффинные рецепторы Fcγ, включая, но не ограничиваясь ими, FcγRI (CD64), FcγRII (CD32) человека и его изотипы и аллотипы FcγRIIa LR, FcγRIIa HR, FcγRIIb и FcγRIIc; FcγRIII (CD 16) и его изотипы FcγRIIIa и FcγRIIIb. Специалист в данной области техники поймет, что в настоящем документе описание гомологов FcγR и FcγR, таких как те, которые описаны в Davis, et al. (2004) “Differential B cell expression of mouse Fc receptor homologs,” Int. Immunol., 16(9):1343-1353, будет применимо к будущим FcγR и связанным с ними изотипам и аллотипам, которые еще не были обнаружены.

[000209] Специфичное связывание обычно определяется как количество меченого лиганда, которое затем может быть замещено избытком немеченого лиганда при исследовании связывания. Однако это не исключает других способов оценки специфичного связывания, которые хорошо известны в данной области техники (например, Mendel CM, Mendel DB, 'Non-specific' binding. The problem, and a solution. Biochem J. 1985 May 15;228(l):269-72). Специфичное связывание может быть измерено различными способами, хорошо известными в данной области техники, такими как технология поверхностного плазмонного резонанса (SPR) (коммерчески доступная от BIACORE®) или интерферометрия биослоя (коммерчески доступная от ForteBio®) для описания констант ассоциации и диссоциации иммунологически активных биомиметиков (Asian K, Lakowicz JR, Geddes C. Plasmon light scattering in biology and medicine: new sensing approaches, visions and perspectives. Current Opinion in Chemical Biology 2005, 9:538-544).

[000210] «Иммунологическая активность агрегированного нативного IgG» относится к свойствам мультимеризованного IgG, которые влияют на функционирование иммунной системы при воздействии агрегатов IgG на иммунную систему. Специфичные свойства нативного мультимеризованного IgG включают измененное специфичное связывание с FcγR, сшивание FcγR на поверхностях иммунных клеток или эффекторную функциональную способность мультимеризованного IgG, такую как антителозависимая клеточно-опосредованная цитотоксичность (ADCC), фагоцитоз (ADCP) или фиксация системы комплемента (см., например, Nimmerjahn F, Ravetch JV. The anti-inflammatory activity of IgG: the intravenous IgG paradox. J Exp Med. 2007; 204:11-15; Augener W, Friedman B, Brittinger G. Are aggregates of IgG the effective part of high-dose immunoglobulin therapy in adult idiopathic thrombocytopenic purpura (ITP) Blut. 1985;50:249-252; Arase N, Arase H, Park SY, Ohno H, Ra C, Saito T. Association with FcRgamma is essential for activation signal through NKR-Pl (CD161) in natural killer (NK) cells and NKl.1+ T cells. J Exp Med. 1997;186:1957-1963; Teeling JL, Jansen- Hendriks T, Kuijpers TW, et al. Therapeutic efficacy of intravenous immunoglobulin preparations depends on the immunoglobulin G dimers: studies in experimental immune thrombocytopenia. Blood. 2001;98: 1095-1099; Anderson CF, Mosser DM. Cutting edge: biasing immune responses by directing antigen to macrophage Fc gamma receptors. J Immunol. 2002; 168:3697-3701; Jefferis R, Lund J. Interaction sites on human IgG-Fc for FcγR: current models. Immunology Letters. 2002;82:57; Banki Z, Kacani L, Mullauer B, et al. Cross-Linking of CD32 Induces Maturation of Human Monocyte - Derived Dendritic Cells Via NF- {kappa} B Signaling Pathway. J Immunol. 2003;170:3963-3970; Siragam V, Brine D, Crow AR, Song S, Freedman J, Lazarus AH. Can antibodies with specificity for soluble antigens mimic the therapeutic effects of intravenous IgG in the treatment of autoimmune disease? J Clin Invest. 2005;l 15:155- 160). Эти свойства обычно оценивают путем сравнения со свойствами гомодимерного IgG.

[000211] Несмотря на то, что, как было обнаружено, мультимеры более высокого порядка эффективны при изменении иммунного ответа, как описано в настоящем документе, гомодимеры также являются эффективными иммуномодуляторами. Не желая быть связанными соответствием какой-либо конкретной теории, авторы настоящего изобретения полагают, что гомодимеры модулируют авидное связывание высокоупорядоченных мультимеров с течением времени и могут формировать более упорядоченные мультимеры в условиях in vivo. Не желая быть связанными соответствием какой-либо конкретной теории, авторы настоящего изобретения также полагают, что мультимеры согласно настоящему изобретению медленно диссоциируют от связанной мишени и интернализуются в иммунных клетках, экспрессирующих такие мишени, возможно, изменяя статус активации или скорость созревания указанной иммунной клетки в течение длительного периода времени или, возможно, навсегда. Результаты экспериментов по исследованию мультимеризации, описанные в настоящем документе, свидетельствуют о том, что в остальном смысле чистая популяция гомодимеров способна к мультимеризации в присутствии небольших количеств крови или фетальной бычьей сыворотки. Соответственно, в то время как высокоупорядоченные мультимеры более эффективны, чем гомодимерная фракция, в модулировании иммунного ответа, гомодимерная фракция естественно соединенных страдомеров согласно настоящему изобретению также может быть эффективным иммуномодулятором, частично путем мультимеризации гомодимера в присутствии небольших количеств крови или сыворотки. В этой связи под термином «высокоупорядоченные мультимеры» подразумевают мультимеры, помимо гомодимеров, которые образуются в растворе до инъекции субъекту, а также мультимеры, помимо гомодимеров, которые образуются в условиях in vivo.

[000212] Термины «иммуномодулирующая активность», «модуляция иммунного ответа», «модуляция иммунной системы» и «иммунная модуляция» означают изменение иммунных систем путем изменения видов активности, способностей и относительного количества одной или более иммунных клеток, включая созревание клетки определенного типа с сохранением этого типа или с превращением в другой тип клеток. Например, иммунная модуляция может представлять собой подавление или активацию иммунного ответа. Например, согласно одному аспекту иммунная модуляция может означать индукцию нечувствительности или толерантности в Т-клетке или В-клетке. В настоящей заявке термин «толерантность» относится к состоянию Т-клетки или В-клетки или иммунного ответа в целом, при котором Т-клетка или В-клетка или другая иммунная клетка не реагирует на свой когнатный антиген или антиген, эпитоп или другой сигнал, на который она обычно реагирует. В качестве другого примера, иммунная модуляция B-клеток памяти может приводить к селективному апоптозу определенных B-клеток памяти с сопутствующим снижением выработки конкретных антител. В качестве другого примера, виды иммуномодулирующей активности могут приводить к уменьшению уровней провоспалительных цитокинов или цитокинов, уровни которых обычно повышаются при аутоиммунных заболеваниях, таких как ИЛ-6 и ИЛ-8. В качестве другого примера, виды иммуномодулирующей активности могут приводить к активации NKT-клеток с последующей секрецией и расщеплением ФРО-бета. Блокирующие рецепторы иммунных клеток для предотвращения активации рецептора также включены в термин «иммунная модуляция» и могут отдельно упоминаться как «ингибиторная иммунная модуляция». В другом аспекте иммунная модуляция может представлять собой усиление или активацию иммунного ответа. Например, иммунная модуляция может означать активацию Т-клеток или В-клеток. В качестве другого примера, иммунная модуляция незрелых моноцитов может приводить к увеличению популяций более зрелых моноцитов, дендритных клеток, макрофагов или остеокластов, все из которых получены из незрелых моноцитов. В качестве другого примера, иммунная модуляция NK-клеток может приводить к усиленной антителозависимой клеточно-опосредованной цитотоксичности (ADCC). В качестве другого примера, иммуномодулирующая активность может привести к увеличению популяции клеток с фенотипами, которые в ином случае не могут экспрессироваться на высоких уровнях, таких как CD8+/CD11c+ клетки. Например, рецепторы иммунных клеток могут быть связаны с иммунологически активными биомиметиками и активировать внутриклеточную передачу сигналов, чтобы индуцировать различные изменения иммунных клеток, которые отдельно упоминаются как «активирующая иммунная модуляция».

[000213] Модуляция дендритных клеток может способствовать или ингибировать представление антигена Т-клеткам, например, путем индукции экспрессии CD86 и/или CD1a на поверхности дендритных клеток. CD1a представляет собой гликопротеин, родственный ГКГС класса I, который экспрессируется на поверхности клеток, представляющих антиген, в частности, дендритных клеток. CD1a участвует в представлении липидных антигенов Т-клеткам. CD86 также экспрессируется на поверхности клеток, представляющих антиген, и обеспечивает костимулирующий сигнал для Т-клеток. CD86 является лигандом для CD28 и CTLA-4 на поверхности Т-клеток для передачи активирующих и ингибирующих сигналов, соответственно. Следовательно, уровень экспрессии CD86 и его когнатных рецепторов определяет, будет ли индуцироваться устойчивость или специфичный иммунный ответ. В предпочтительном варианте реализации страдомеры согласно настоящему изобретению способны модулировать иммунный ответ, частично путем индукции экспрессии CD86 и CD1a на поверхности антигенпрезентирующих клеток, в частности, дендритных клеток. Согласно одному варианту реализации настоящего изобретения модулированная дендритная клетка взаимодействует с иммунными клетками, специфичными в отношении антигена антигенспецифичного страдомера.

[000214] Модуляция созревания моноцита относится к дифференцировке моноцита в зрелую АПК, макрофаг или остеокласт. Дифференцировку можно модулировать, чтобы увеличить скорость или направление созревания и/или увеличить количество дифференцируемых моноцитов. В другом варианте, дифференцировка может быть уменьшена с точки зрения скорости дифференцировки и/или количества клеток, подвергающихся дифференцировке.

[000215] В настоящей заявке термин «выделенный» полипептид или пептид, относится к полипептиду или пептиду, который либо не имеет встречающегося в природе аналога, либо был отделен или очищен от компонентов естественной среды, например, в тканях, таких как поджелудочная железа, печень, селезенка, яичник, яичко, мышечная ткань, ткань суставов, нервная ткань, ткань желудочно-кишечного тракта или ткань молочной железы или опухолевая ткань (например, ткань рака молочной железы) или жидкостей организма, таких как кровь, сыворотка или моча. Как правило, полипептид или пептид считается «выделенным», если он составляет по меньшей мере 70% по сухой массе, не содержит белков и других природных органических молекул, с которыми он связан в природных условиях. Предпочтительно препарат полипептида (или пептида) согласно настоящему изобретению составляет по меньшей мере 80%, более предпочтительно по меньшей мере 90% и наиболее предпочтительно по меньшей мере 99% по сухой массе полипептида (пептида), соответственно, согласно настоящему изобретению. Поскольку полипептид или пептид, который химически синтезирован, по своей природе отделен от компонентов естественной среды, то синтетический полипептид или пептид является «выделенным».

[000216] Выделенный полипептид (или пептид) согласно настоящему изобретению может быть получен, например, путем экстракции из природного источника (например, из тканей или жидкостей организма); путем экспрессии рекомбинантной нуклеиновой кислоты, кодирующей полипептид или пептид; или путем химического синтеза. Полипептид или пептид, который вырабатывается в клеточной системе, отличной от источника, из которого он происходит в природных условиях, является «выделенным», поскольку он обязательно не будет содержать компонентов естественной среды. В предпочтительном варианте реализации выделенный полипептид согласно настоящему изобретению содержит только последовательности, соответствующие мономеру области Fc IgG1 и домену мультимеризации шарнирной области IgG2 (SEQ ID NO: 4), изолейциновому домену мультимеризации (SEQ ID NO: 5) или GPP (SEQ ID NO: 6) и не содержит дополнительных последовательностей, которые могут способствовать клонированию или очистке белка (т.е. введенных сайтов ферментов рестрикции или меток для очистки). Степень выделения или чистоты может быть измерена любым подходящим способом, например, с помощью колоночной хроматографии, электрофореза в полиакриламидном геле или методом ВЭЖХ.

Фармацевтические композиции

[000217] Введение композиций страдомеров, описанных в настоящем документе, будет осуществлено любым обычным путем, перорально, парентерально или местно. Типичные пути введения включают, но не ограничиваются ими, пероральный, назальный, буккальный, ректальный, вагинальный, офтальмологический, подкожный, внутримышечный, внутрибрюшинный, внутривенный, внутриартериальный, внутриопухолевый, спинальный, интратекальный, внутрисуставной, внутриартериальный, субарахноидальный, подъязычный, через слизистую оболочку полости рта, бронхиальный, лимфатический, внутриутробный, подкожный, внутриопухолевый, посредством интеграции на имплантируемом устройстве, таком как шов или имплантируемое устройство, такое как имплантируемый полимер, интрадуральный, внутрикортикальный или дермальный. Подходящие композиции обычно вводят в виде фармацевтически приемлемых композиций, описанных в настоящем документе. В предпочтительном варианте реализации выделенный страдомер вводят внутривенно или подкожно.

[000218] В настоящей заявке термин «фармацевтически приемлемый носитель» включает любые и все растворители, дисперсионные среды, покрытия, антибактериальные и противогрибковые агенты, изотонические агенты и замедляющие всасывание агенты и тому подобное. Использование подходящих сред и агентов для фармацевтически активных веществ хорошо известно в данной области техники. За исключением случаев, когда любые стандартные среды или агент несовместимы с векторами или клетками согласно настоящему изобретению, в область настоящего изобретения включено применение указанного агента в терапевтических композициях. В композиции также могут быть включены дополнительные ингредиенты.

[000219] Композиции страдомеров согласно настоящему изобретению могут быть изготовлены в нейтральной или солевой форме. Фармацевтически приемлемые соли включают кислотно-аддитивные соли (образованные со свободными аминогруппами белка) и те, которые образуются с неорганическими кислотами, такими как, например, соляная или фосфорная кислоты, или такими органическими кислотами как уксусная, щавелевая, винная, миндальная и тому подобное. Соли, образованные со свободными карбоксильными группами, также могут быть получены из неорганических оснований, таких как, например, гидроксиды натрия, калия, аммония, кальция или трехвалентного железа, и таких органических оснований как изопропиламин, триметиламин, гистидин, прокаин и тому подобное.

[000220] Стерильные растворы для инъекций готовят путем введения страдомера в требуемом количестве в подходящем растворителе с различными другими ингредиентами, перечисленными выше, при необходимости, с последующей стерилизацией путем фильтрации. Согласно некоторым вариантам реализации настоящего изобретения стерильные инъекционные растворы изготавливают для внутримышечного, подкожного или внутривенного введения. Обычно дисперсии получают путем включения различных стерилизованных активных ингредиентов в стерильный носитель, который содержит основную дисперсионную среду и другие необходимые ингредиенты из перечисленных выше. В случае стерильных порошков для приготовления стерильных растворов для инъекций предпочтительными способами получения являются методики вакуумной сушки и сушки вымораживанием, которые позволяют получить порошок активного ингредиента с любым дополнительным желаемым ингредиентом из уже стерилизованного путем фильтрования раствора.

[000221] Кроме того, согласно одному варианту реализации в настоящем изобретении предложена композиция страдомера, подходящая для перорального введения, которая обеспечена в фармацевтически приемлемом носителе с добавлением инертного разбавителя или без него. Носитель должен быть ассимилируемым или съедобным и включает жидкие, полутвердые, то есть пасты, или твердые носители. За исключением тех случаев, когда любые стандартные среды, агент, разбавитель или носитель вредны для реципиента или для терапевтической эффективности препарата страдомера, содержащегося в них, допускается их применение в композиции для перорального введения для реализации способов согласно настоящему изобретению. Примеры носителей или разбавителей включают жиры, масла, воду, солевые растворы, липиды, липосомы, смолы, связующие вещества, наполнители и т.п. или их комбинации. В настоящей заявке термин «пероральное введение» включает пероральное, буккальное, энтеральное или внутрижелудочное введение.

[000222] Согласно одному варианту реализации настоящего изобретения композицию страдомеров комбинируют с носителем любым удобным и целесообразным способом, т.е. путем растворения, суспендирования, эмульгирования, смешивания, инкапсуляции, микрокапсуляции, абсорбции и тому подобного. Подходящие процедуры являются стандартными для специалистов в данной области техники.

[000223] Согласно конкретному варианту реализации композицию страдомеров в порошковой форме комбинируют или тщательно перемешивают с полутвердым или твердым носителем. Смешивание можно осуществлять любым удобным способом, таким как дробление. Стабилизаторы также могут быть добавлены в процессе смешивания, чтобы защитить композицию от потери терапевтической активности, т.е. денатурации в желудке. Примеры стабилизаторов для использования в композиции, предназначенной для перорального введения, включают буферы, антагонисты секреции желудочных кислот, аминокислоты, такие как глицин и лизин, углеводы, такие как декстроза, манноза, галактоза, фруктоза, лактоза, сахароза, мальтоза, сорбит, маннит, ингибиторы протеолитических ферментов и т.п. Более предпочтительно стабилизатор для композиции, предназначенной для перорального введения, также может включать антагонисты секреции желудочных кислот.

[000224] Кроме того, композиция страдомеров, предназначенная для перорального введения, которая комбинирована с полутвердым или твердым носителем, может быть дополнительно приготовлена в виде твердых или мягких желатиновых капсул, таблеток или пилюль. Более предпочтительно желатиновые капсулы, таблетки или пилюли покрыты энтеросолюбильным покрытием. Энтеросолюбильные покрытия предотвращают денатурацию композиции в желудке или верхнем отделе кишечника, где рН является кислым. См., например, патент США №5629001. При попадании в тонкий кишечник покрытие растворяется при основных значениях показателя рН, что обеспечивает высвобождение композиции для взаимодействия с клетками кишечника, например, с M-клетками Пейеровых бляшек.

[000225] Согласно другому варианту реализации настоящего изобретения композицию страдомеров в виде порошка комбинируют или тщательно смешивают с материалами, которые создают наночастицу, инкапсулирующую иммунологически активный биомиметик, или к которой прикреплен иммунологически активный биомиметик. Каждая наночастица будет иметь размер меньше или равный 100 мкм. Наночастица может обладать мукоадгезивными свойствами, которые обеспечивают всасывание иммунологически активного биомиметика в желудочно-кишечном тракте, который в ином случае не обладал бы биологической доступностью для перорального применения.

[000226] Согласно другому варианту реализации настоящего изобретения порошковую композицию комбинируют с жидким носителем, таким как вода или физиологический раствор, с добавлением стабилизирующего агента или без него.

[000227] Конкретный состав страдомера, который может быть использован, представляет собой раствор иммунологически активного биомиметического белка в гипотоническом буфере на основе фосфата, который не содержит калия, причем состав буфера включает: 6 мМ моногидрата дигидрофосфата натрия, 9 мМ гептагидрата моногидрофосфата натрия, 50 мМ хлорида натрия, pH=7,0±0,1. Концентрация иммунологически активного биомиметического белка в гипотоническом буфере может составлять от 10 мкг/мл до 100 мг/мл. Указанный состав можно вводить посредством любого пути введения, например, но не ограничиваясь этим, внутривенным путем.

[000228] Кроме того, композиция страдомеров для местного введения, которую комбинируют с полутвердым носителем, также может быть изготовлена в виде кремовой или гелевой мази. Предпочтительным носителем для образования гелевой мази является гелевый полимер. Предпочтительные полимеры, которые используют для получения гелевой композиции согласно настоящему изобретению, включают, но не ограничиваются ими, карбопол, карбоксиметилцеллюлозу и полимеры плюроновых кислот. В частности, порошковую композицию мультимера Fc комбинируют с водным гелем, содержащим полимеризующий агент, такой как карбопол 980, с содержанием активного агента от 0,5 до 5% масс./об. для нанесения на кожу для лечения болезни кожи или подкожных тканей. В настоящей заявке термин «местное введение» включает нанесение на поверхность дермы, эпидермиса, подкожной клетчатки или слизистой оболочки.

[000229] Кроме того, композиция страдомеров может быть изготовлена в виде полимера для подкожной или субдермальной имплантации. Предпочтительный состав для имплантируемого полимера, содержащего лекарственный препарат, представляет собой агент, который обычно рассматривается как безопасный, и может содержать, например, сшитый декстран (Samantha Hart, Master of Science Thesis, “Elution of Antibiotics from a Novel Cross-Linked Dextran Gel: Quantification” Virginia Polytechnic Institute and State University, June 8, 2009), декстран-тирамин (Jin, et al. (2010) Tissue Eng. Part A. 16(8):2429-40), декстран-полиэтиленгликоль (Jukes, et al. (2010) Tissue Eng. Part A., 16(2):565-73) или декстран-глутаровый альдегид (Brondsted, et al. (1998) J. Controlled Release, 53:7-13). Специалисту в данной области техники известно, что многие аналогичные полимеры и гидрогели могут быть образованы путем включения страдомера, закрепленного внутри полимера или гидрогеля, и контроля размера пор до достижения желаемого диаметра.

[000230] После изготовления растворы вводят способом, совместимым с дозированной лекарственной формой, и в таком количестве, которое терапевтически эффективно, чтобы привести к улучшению или устранению симптомов. Составы могут быть легко введены в виде множества лекарственных форм, таких как пищевые растворы, капсулы для высвобождения лекарственного препарата и т.п. Некоторое изменение дозировки может быть сделано в зависимости от состояния пациента. Лицо, ответственное за введение препарата, может, в любом случае, определить соответствующую дозу для отдельного субъекта. Кроме того, препараты для введения человеку соответствуют стандартам стерильности, общей безопасности и чистоты, согласно требованиям Центра экспертизы и изучения биологических препаратов Управления по контролю качества пищевых продуктов и лекарственных средств США (FDA).

[000231] Очевидно, что путь введения зависит от местоположения и характера заболевания, которое лечат, и может включать, например, интрадермальный, чрескожный, субдермальный, парентеральный, назальный, внутривенный, внутримышечный, интраназальный, подкожный, чрескожный, интратрахеальный, внутрибрюшинный, внутриопухолевый, перфузионный, с помощью лаважа, прямой инъекции и пероральный пути введения.

[000232] Согласно одному варианту реализации настоящего изобретения страдомер вводят внутривенно, подкожно, перорально, внутрибрюшинно, сублингвально, буккально, трансдермально, ректально, с помощью подкожного имплантата или внутримышечно. В конкретных вариантах реализации страдомер вводят внутривенно, подкожно или внутримышечно. Согласно одному варианту реализации настоящего изобретения страдомер вводят в дозе от приблизительно 0,01 мг/кг до приблизительно 1000 мг/кг. Согласно другому варианту реализации настоящего изобретения страдомер вводят в дозе от приблизительно 0,1 мг/кг до приблизительно 100 мг/кг. Согласно другому варианту реализации страдомер вводят в дозе от приблизительно 0,5 мг/кг до приблизительно 50 мг/кг. Согласно другому варианту реализации страдомер вводят в дозе от приблизительно 1 мг/кг до приблизительно 25 мг/кг. Согласно другому варианту реализации страдомер вводят в дозе от приблизительно 5 мг/кг до приблизительно 15 мг/кг. Страдомер можно вводить по меньшей мере один раз в сутки, раз в неделю, раз в две недели или ежемесячно. Можно использовать двухфазную схему дозирования, в которой первая фаза дозирования включает дозу от приблизительно 0,1% до приблизительно 300% второй фазы дозирования.

[000233] Согласно другому варианту реализации настоящего изобретения страдомер вводят до, во время или после введения одного или более дополнительных фармацевтических и/или терапевтических агентов. Согласно другому варианту реализации настоящего изобретения дополнительный фармацевтически активный агент содержит стероид; биологический анти-аутоиммунный лекарственный препарат, такой как моноклональное антитело, гибридный белок или антицитокин; небиологический анти-аутоиммунный лекарственный препарат; иммунодепрессант; антибиотик; и противовирусный агент; цитокин; или агент, который в ином случае может действовать как иммуномодулятор. Согласно другому варианту реализации стероид представляет собой преднизон, преднизолон, кортизон, дексаметазон, мометазон, тестостерон, эстроген, оксандролон, флутиказон, будесонид, бекламетазон, альбутерол или левалбутерол. Согласно другому варианту реализации настоящего изобретения моноклональное антитело представляет собой экулизумаб, инфликсимаб, адалимумаб, ритуксимаб, тоцилизумаб, голимумаб, офатумумаб, LY2127399, белимумаб, велтузумаб, меполизумаб, нецитумумаб, ниволюмаб, динутуксимаб, секукинумаб, эволокумаб, блинатумомаб, пембролизумаб, рамуцирумаб, ведолизумаб, силтуксимаб, обинутузумаб, адотрастузумаб, раксибакумаб, пертузумаб, брентуксимаб, ипилумумаб, деносумаб, канакинумаб, устекинумаб, катумаксомаб, ранибизумаб, панитумумаб, натализумаб, бевацизумаб, цетуксимаб, эфализумаб, омализумаб, тоитумомаб-I131, алемтузумаб, гемтузумаб, трастузумаб, паливизумаб, базиликсумаб, даклизумаб, абциксимаб, муронономаб или цертолизумаб. Согласно другому варианту реализации настоящего изобретения гибридный белок представляет собой этанерцепт или абатацепт. Согласно другому варианту реализации настоящего изобретения антицитокиновый биологический препарат представляет собой анакинра. Согласно другому варианту реализации настоящего изобретения противоревматический небиологический препарат представляет собой циклофосфамид, метотрексат, азатиоприн, гидроксихлорокин, лефлуномид, миноциклин, органические соединения золота, фостаматиниб, тофацитиниб, эторикоксиб или сульфасалазин. Согласно другому варианту реализации настоящего изобретения иммунодепрессант представляет собой циклоспорин A, такролимус, сиролимус, мофетил микофенолята, эверолимус, OKT3, антитимоцитарный глобулин, базиликсимаб, даклизумумамб или алемтузумаб. Согласно другому варианту реализации настоящего изобретения страдомер вводят перед, во время или после введения химиотерапевтического агента. Согласно другому варианту реализации настоящего изобретения страдомер и дополнительный терапевтический агент проявляют терапевтическое синергическое действие при совместном введении. Согласно одному варианту реализации настоящего изобретения страдомер вводят перед введением дополнительного терапевтического средства. Согласно другому варианту реализации настоящего изобретения страдомер вводят одновременно с введением дополнительного терапевтического агента. Согласно другому варианту реализации настоящего изобретения страдомер вводят после введения дополнительного терапевтического агента.

[000234] Согласно одному варианту реализации настоящего изобретения страдомер вводят в ковалентно прикрепленной к имплантируемому устройству форме. Согласно одному варианту реализации настоящего изобретения страдомер прикреплен к шовному материалу. Согласно другому варианту реализации настоящего изобретения страдомер прикреплен к трансплантату или стенту. Согласно другому варианту реализации настоящего изобретения страдомер прикреплен к сердечному клапану, искусственному ортопедическому суставу или имплантированному электрическому проводу. Согласно другому варианту реализации настоящего изобретения страдомер прикреплен и внедрен в имплантируемый матрикс. В предпочтительном варианте реализации страдомер прикреплен и внедрен в имплантируемый гидрогель. Согласно одному варианту реализации настоящего изобретения гидрогель состоит из декстрана, поливинилового спирта, полиакрилата натрия или акрилатных полимеров. Согласно другому варианту реализации настоящего изобретения страдомер вводят прикрепленным к гидрогелю с размерами пор, достаточно большими, чтобы обеспечить проникновение иммунных клеток для взаимодействия с неподвижным страдомером, и затем их возвращение в кровоток. Согласно другому варианту реализации настоящего изобретения размер пор гидрогеля составляет от 5 до 50 мкм. В предпочтительном варианте реализации размер пор гидрогеля составляет 25-30 микрон.

[000235] Согласно другому варианту реализации настоящего изобретения страдомер вводят для лечения людей, приматов, отличных от человека (например, обезьян, бабуинов и шимпанзе), мышей, крыс, коров, лошадей, кошек, собак, свиней, кроликов, коз, оленей, овец, хорьков, грызунов, морских свинок, хомяков, летучих мышей, птиц (например, кур, индюков и уток), рыб и рептилий с использованием видоспецифичных или химерных молекул страдомера. Согласно другому варианту реализации настоящего изобретения человек является взрослым индивидуумом или ребенком. Согласно другому варианту реализации настоящего изобретения страдомер вводят для предотвращения опосредованного комплементом заболевания. Согласно другому варианту реализации настоящего изобретения страдомер вводят для предотвращения связанных с вакциной аутоиммунных состояний у животных-компаньонов и домашнего скота.

[000236] В настоящей заявке термин «парентеральное введение» включает любую форму введения, при которой соединение всасывается у субъекта без участия всасывания через кишечник. Примеры парентеральных способов введения, которые используются в настоящем изобретении, включают, но не ограничиваются ими, внутримышечное, внутривенное, внутрибрюшинное, внутриопухолевое, внутриглазное, назальное или внутрисуставное введение.

[000237] Кроме того, страдомер согласно настоящему изобретению может быть необязательно введен перед, во время или после введения другого фармацевтического агента. Например, неожиданным фактом явилось то, что сопутствующее введение страдомера согласно настоящему изобретению и преднизолона обеспечивает синергически превосходные результаты, по сравнению с теми, которые наблюдают при использовании композиции страдомеров или преднизолона по отдельности (WO 2012/016073).

[000238] Ниже приведены конкретные примеры различных категорий фармацевтических препаратов и предпочтительные пути введения, как указано, для конкретных иллюстративных заболеваний:

[000239] Буккальная или субъязычная растворяемая таблетка: стенокардия, узелковый полиартериит.

[000240] Внутривенный, внутримышечный или подкожный путь введения: миастения гравис, гемолитический уремический синдром (HUS), атипичный гемолитический уремический синдром (aHUS), пароксизмальная ночная гемоглобинурия (PNH), мембранозная нефропатия, нейромиелит зрительного нерва, опосредованное антителами отторжение аллотрансплантатов, мембранопролиферативный гломерулонефрит (MPGN), волчаночный нефрит, идиопатическая тромбоцитопеническая пурпура, миозит с тельцами включения, парапротеинемическая демиелинизирующая полиневропатия, связанная с секрецией IgM, некротизирующий фасцит, пемфигус, гангрена, дерматомиозит, гранулема, лимфома, сепсис, апластическая анемия, полиорганная недостаточность, множественная миелома и моноклональная гаммапатия неизвестного значения, хроническая воспалительная демиелинизирующая полирадикулоневропатия, воспалительные миопатии, тромботическая тромбоцитопеническая пурпура, миозит, анемия, неоплазия, гемолитическая анемия, энцефалит, миелит, миелопатия, особенно связанная с лимфотропным вирусом Т-клеток человека 1, лейкоз, рассеянный склероз и неврит зрительного нерва, астма, эпидермальный некролиз, миастенический синдром Ламберта-Итона, миастения гравис, невропатия, увеит, синдром Гийена-Барре, болезнь «трансплантат против хозяина», синдром мышечной скованности, паранеопластическая мозжечковая дегенерация с антителами к Yo, паранеопластический энцефаломиелит и сенсорная невропатия с антителами к Hu, системный васкулит, системная красная волчанка, аутоиммунная диабетическая невропатия, острая идиопатическая дизавтономная невропатия, синдром Фогт-Коянаги-Харада, мультифокальная моторная невропатия, синдром периферического моторного нейрона, связанный с анти-/GM1, демиелинизация, мембранопролиферативный гломерулонефрит, кардиомиопатия, болезнь Кавасаки, ревматоидный артрит и синдром Эванса IM - ITP, CIDP, MS, дерматомиозит, миастения гравис, мышечная дистрофия. В настоящей заявке термин «внутривенное введение» включает все методики для доставки соединения или композиции согласно настоящему изобретению в системный кровоток с помощью внутривенной инъекции или инфузии.

[000241] Кожный гель, лосьон, крем или пластырь: витилиго, опоясывающий лишай, акне, хейлит.

[000242] Ректальный суппозиторий, гель или инфузия: язвенный колит, геморроидальное воспаление.

[000243] Оральная форма в виде пилюли, пастилки, инкапсулированная форма или форма с энтеросолюбильным покрытием: болезнь Крона, спру-целиакия, синдром раздраженной толстой кишки, воспалительные заболевания печени, пищевод Барретта.

[000244] Интракортикальная форма: эпилепсия, болезнь Альцгеймера, рассеянный склероз, болезнь Паркинсона, болезнь Хантингтона.

[000245] Интраабдоминальная инфузия или имплантат: эндометриоз.

[000246] Интравагинальный гель или суппозиторий: бактериальный, трихомонадный или грибковой вагинит.

[000247] Медицинские приборы: покрытие на стенте коронарных артерий, протезы суставов.

Способы терапевтического применения страдомеров, предпочтительно связывающихся с системой комплемента

[000248] Согласно одному варианту реализации в настоящем изобретении предложен способ лечения или предотвращения заболевания или состояния, такого как опосредованное комплементом заболевание или состояние, включающий введение субъекту, нуждающемуся в этом, страдомера, содержащего домен Fc IgG1 и домен мультимеризации, причем указанный страдомер проявляет повышенную степень связывания с системой комплемента, по сравнению со связыванием с рецептором Fc. Согласно другому варианту реализации настоящего изобретения страдомер проявляет снижение или отсутствие связывания с FcγR и/или снижение или отсутствие связывания с FcRn и проявляет усиленное или предпочтительное связывание с системой комплемента. Согласно другому варианту реализации настоящего изобретения страдомер проявляет усиленное или предпочтительное связывание с C1q.

[000249] На основании рационального дизайна и результатов проверок в условиях in vitro и in vivo страдомеры согласно настоящему изобретению будут служить в качестве важных биофармацевтических препаратов для лечения воспалительных заболеваний и расстройств, в частности, опосредованных комплементом заболеваний и расстройств; а также для изменения иммунной функции в различных других ситуациях, таких как биологическая иммунная терапия аллергии, рака, аутоиммунных заболеваний, инфекционных заболеваний и воспалительных заболеваний. Медицинские состояния, подходящие для лечения с использованием иммунологически активных биомиметиков, предпочтительно связывающихся с системой комплемента, раскрытых в настоящем документе, включают любое заболевание, вызванное или связанное с активацией системы комплемента или эффекторными функциями, опосредованными комплементом, включая повышенную или нецелесообразную активность системы комплемента. Подходящие медицинские состояния включают те состояния, которые в настоящее время лечат или лечили ранее с использованием лекарственных препаратов, связывающихся с системой комплемента, таких как экулизумаб. Экулизумаб связывается с белком системы комплемента C5 (белок системы комплемента, который вступает в реакции после С1 и C1q в классическом пути активации системы комплемента), ингибируя его расщепление и последующий опосредованный комплементом лизис клеток. Биомиметики согласно настоящему изобретению обеспечивают безопасную и эффективную альтернативу другим комплементсвязывающим лекарственным препаратам, известным в данной области техники. Например, в некоторых вариантах реализации, биомиметики согласно настоящему изобретению связываются с C1q, первой субъединицей в комплексе С1 классического пути активации системы комплемента. Медицинские состояния, подходящие для лечения с использованием иммунологически активных биомиметиков, предпочтительно связывающихся с системой комплемента, включают, но не ограничиваются ими, миастению гравис, гемолитический уремический синдром (HUS), атипичный гемолитический уремический синдром (aHUS), пароксизмальную ночную гемоглобинурию (PNH), нейромиелит зрительного нерва, опосредованное антителами отторжение аллотрансплантатов, дегенерацию желтого пятна, серповидно-клеточную анемию и мембранопролиферативный гломерулонефрит (MPGN). Дополнительные медицинские состояния, подходящие для лечения с использованием иммунологически активных биомиметиков, предпочтительно связывающихся с системой комплемента, описанных в настоящем документе, включают те состояния, которые в настоящее время обычно лечат с использованием неспецифичной иммуносупрессивной терапии, включая hIVIG, или состояния, при которых hIVIG, как установлено, обеспечивает клинические преимущества, такие как аутоиммунные цитопении, хроническая воспалительная демиелинизирующая полиневропатия, синдром Гийена-Барре, миастения гравис, аутоиммунное заболевание, направленное на фактор VIII, дерматомиозит, васкулит и увеит (см., F. G. van der Meche, P. I. Schmitz, N. Engl. J. Med. 326, G1123 (1992); P. Gajdos et al, Lancet i, 406 (1984); Y. Sultan, M. D. Kazatchkine, P. Maisonneuve, U. E. Nydegger, Lancet ii, 765 (1984); M. C. Dalakas et al., N. Engl. J. Med. 329, 1993 (1993); D. R. Jayne, M. J. Davies, C. J. Fox, C. M. Black, C. M. Lockwood, Lancet 337, 1137 (1991); P. LeHoang, N. Cassoux, F. George, N. Kullmann, M. D. Kazatchkine, Ocul. Immunol. Inflamm. 8, 49 (2000)), и те виды рака или воспалительные патологические состояния, при которых моноклональное антитело может быть использовано или уже используется в клинической практике. Подходящими также являются состояния, которые можно эффективно лечить с помощью соединений, являющихся предметом настоящего изобретения, которые включают воспалительные заболевания с дисбалансом сетей цитокинов, аутоиммунное нарушение, опосредованное патогенными аутоантителами или аутоагрессивными Т-клетками, или острую или хроническую фазу хронического рецидивирующего аутоиммунного, противовоспалительного или инфекционного заболевания или процесса.

[000250] Помимо этого другие медицинские состояния, имеющие воспалительный компонент с вовлечением системы комплемента, будут иметь положительный клинический результат при лечении с использованием страдомеров, такие как боковой амиотрофический склероз, болезнь Хантингтона, болезнь Альцгеймера, болезнь Паркинсона, инфаркт миокарда, инсульт, гепатит В, гепатит С, связанное с вирусом иммунодефицита человека воспаление, адренолейкодистрофия и эпилептические расстройства, особенно те, которые, как полагают, связаны с поствирусным энцефалитом, включая синдром Расмуссена, синдром Веста и синдром Леннокса-Гасто.

[000251] Общий подход к терапии с использованием выделенных страдомеров, описанных в настоящем документе, заключается во введении субъекту, имеющему заболевание или состояние, терапевтически эффективного количества выделенного иммунологически активного биомиметика для осуществления лечения. Согласно некоторым вариантам реализации настоящего изобретения заболевания или состояния могут быть в общих чертах классифицированы как воспалительные заболевания с дисбалансом сетей цитокинов, аутоиммунное нарушение, опосредованное патогенными аутоантителами или аутоагрессивными Т-клетками, или острая или хроническая фаза хронического заболевания или рецидивирующего процесса.

[000252] В настоящей заявке термин «лечить» и «лечение» относится к введению субъекту терапевтически эффективного количества страдомера согласно настоящему изобретению так, что субъект имеет улучшение заболевания или состояния, или симптома заболевания или состояния. Улучшение представляет собой любое улучшение или восстановление заболевания или состояния, или симптома заболевания или состояния. Улучшение представляет собой наблюдаемое или измеримое улучшение или может представлять собой улучшение общего состояния субъекта. Следовательно, специалист в данной области техники поймет, что лечение может улучшить болезненное состояние, но может не обеспечить полного излечения указанного заболевания. В частности, улучшение у субъектов может включать одно или более из следующих: уменьшение воспаления; уменьшение уровней лабораторных маркеров воспаления, таких как С-реактивный белок; уменьшение аутоиммунитета, о чем свидетельствует одно или более из следующих: улучшение уровней аутоиммунных маркеров, таких как аутоантитела или количество тромбоцитов, лейкоцитов или эритроцитов, уменьшение сыпи или пурпуры, уменьшение слабости, онемения или покалывания, повышение уровня глюкозы у пациентов с гипергликемией, уменьшение боли, воспаления, отека или разрушения суставов, уменьшение спазмов и частоты и объема диареи, уменьшение стенокардии, уменьшение воспаления тканей или уменьшение частоты приступов; уменьшение опухолевой нагрузки, увеличение времени до прогрессирования опухоли, уменьшение боли при раке, повышение выживаемости или улучшение качества жизни; или замедление прогрессирования или улучшение остеопороза.

[000253] В настоящей заявке термин «терапевтически эффективное количество» относится к количеству, которое приводит к улучшению или восстановлению симптомов заболевания или состояния.

[000254] В настоящей заявке термин «профилактика» может означать полное предотвращение симптомов заболевания, задержку начала симптомов заболевания или уменьшение степени тяжести последующих симптомов заболевания.

[000255] В настоящей заявке термин «субъект» обозначает любого субъекта-млекопитающего, которому страдомеры согласно настоящему изобретению вводят в соответствии со способами, описанными в настоящем документе. В конкретном варианте реализации способы согласно настоящему изобретению используют для лечения субъекта-человека. Способы согласно настоящему изобретению также могут быть использованы для лечения приматов, не относящихся к человеку (например, обезьян, бабуинов и шимпанзе), мышей, крыс, коров, лошадей, кошек, собак, свиней, кроликов, коз, оленей, овец, хорьков, грызунов, морских свинок, хомяков, летучих мышей, птиц (например, кур, индеек и уток), рыб и рептилий для получения видоспецифичных или химерных молекул страдомеров.

[000256] Согласно одному варианту реализации настоящего изобретения страдомеры согласно настоящему изобретению обеспечивают превосходную безопасность и эффективность по сравнению с другими комплементсвязывающими молекулами. Согласно другому варианту реализации настоящего изобретения страдомеры согласно настоящему изобретению проявляют превосходную безопасность и эффективность по сравнению с антителом к С5, экулизумабом.

[000257] Было установлено, что ингибирование системы комплемента уменьшает заболевания, опосредованные антителами (см., например, Stegall et al. Terminal Complement Inhibition Decreases Antibody-Mediated Rejection in Sensitized Renal Transplant Recipients. American Journal of Transplantation 2011 Nov; 11(1):2405-2413-Epub 2011 Sept 22; DOI: 10.1111/j.1600-6143.2011.03757.x). Страдомеры согласно настоящему изобретению также могут быть использованы для лечения заболевания или состояния, опосредованного антителами. Аутоантитела опосредуют многие известные аутоиммунные заболевания и, вероятно, играют роль в других многочисленных аутоиммунных заболеваниях. Установленные заболевания, опосредованные антителами, при которых могут быть использованы страдомеры согласно настоящему изобретению, включают, но не ограничивается ими, нефрит, опосредованный антителами к базальной мембране клубочков, включая синдром Гудпасчера; антитела к антигенам донора (специфичные в отношении антигенов донора аллоантитела) при трансплантации плотных органов; антитело к аквапорину-4 при нейромиелите зрительного нерва; антитела к VGKC при нейромиотонии, лимбическом энцефалите и синдроме Морвана; антитела к никотиновым рецепторам ацетилхолина и антитела к MuSK при миастении гравис; антитела к VGCC при миастеническом синдроме Ламберта-Итона; антитела к AMPAR и GABA(B)R при лимбическом энцефалите, часто связанном с опухолями; антитела к GlyR при синдроме мышечной скованности или гиперэкплексии; антитела к фософлипидам, кардиолипину и β2-гликопротеину I при рецидивирующем самопроизвольном аборте, синдроме Хьюза и системной красной волчанке; антитела к глутаматдекарбоксилазе при синдроме мышечной скованности, аутоиммунной мозжечковой атаксии или лимбическом энцефалите; антитела к NMDA-рецепторам в недавно описанном синдроме, поражающем лимбические и подкорковые функции с выраженным двигательным расстройством, часто у молодых людей и детей, который обычно связан с тератомой яичников, но может не быть паранеопластическим; антитела к двухцепочечной ДНК, одноцепочечной ДНК, РНК, SM и C1q при системной красной волчанке; антитела к антигенам ядра и ядрышка при заболеваниях соединительной ткани, включая склеродермию, синдром Шегрена и полимиозит, включая антитела к Ro, La, Scl70, Jo-1; антитела к ревматоидному фактору при ревматоидном артрите; антитела к поверхностному антигену гепатита при узелковом полиартериите; антитела к центромерам при синдроме CREST; антитела к стрептококковым антигенам при эндокардите или при риске его развития, антитела к тиреоглобулину, антитела к тиреопероксидазе, и антитела к рецепторам TSH при тиреоидите Хашимото; антитела к U1 RNP при смешанном заболевании соединительной ткани и системной красной волчанке; и антитела к десмогелину и кератиноцитам при пузырчатке.

[000258] Страдомеры согласно настоящему изобретению могут быть использованы для лечения состояний, включая, но не ограничиваясь ими, застойную сердечную недостаточность (CHF), васкулит, розовые угри, угри, экзему, миокардит и другие заболевания миокарда, системную красную волчанку, сахарный диабет, спондилопатии, синовиальные фибробласты и строму костного мозга; потерю костной ткани; болезнь Паджета, остеокластому; множественную миелому; рак молочной железы; дисфункциональный остеогенез; недостаточность питания, заболевания периодонта, болезнь Гоше, гистиоцитоз клеток Лангерганса, повреждение спинного мозга, острый септический артрит, остеомаляцию, синдром Кушинга, моноостотическую фиброзную остеодисплазию, полиостотическую фиброзную дисплазию, реконструкцию периодонта и переломы костей; саркоидоз; остеолитический рак костной ткани, рак легких, рак почек и рак прямой кишки; метастазы костной ткани, контроль болевых ощущений в костной ткани и гуморальную злокачественную гиперкальциемию, анкилозирующий спондилит и другие спондилоартропатии; отторжение трансплантата, вирусные инфекции, гематологические неоплазии и состояния, сходные с неопластическими, например, лимфому Ходжкина; неходжкинскую лимфому (лимфому Беркитта, мелкоклеточную лимфоцитарную лимфому/хронический лимфоцитарный лейкоз, грибовидный микоз, лимфому из клеток мантийной зоны, фолликулярную лимфому, диффузную крупноклеточную В-клеточную лимфому, лимфому из клеток маргинальной зоны, лейкоз волосковых клеток и лимфоплазмоцитарный лейкоз), опухоли клеток-предшественников лимфоцитов, включая острый B-клеточный лимфобластный лейкоз/лимфому и острый T-клеточный лимфобластный лейкоз/лимфому, тимому, опухоли зрелых Т- и NK-клеток, включая лейкозы периферических Т-клеток, T-клеточный лейкоз/T-клеточные лимфомы у взрослых и лейкоз из больших зернистых лимфоцитов, гистиоцитоз клеток Лангерганса, миелоидные неоплазии, такие как острые миелобластные лейкозы, включая ОМЛ с созреванием, ОМЛ без дифференцировки, острый промиелоцитарный лейкоз, острый миеломоноцитарный лейкоз и острый моноцитарный лейкоз, миелодиспластические синдромы и хронические миелопролиферативные заболевания, включая хронический миелолейкоз, опухоли центральной нервной системы, например, опухоли головного мозга (глиому, нейробластому, астроцитому, медуллобластому, эпендимому и ретинобластому), плотные опухоли (рак носоглотки, базальноклеточный рак, рак поджелудочной железы, рак желчного протока, саркому Капоши, рак яичек, рак матки, рак влагалища или рак шейки матки, рак яичников, первичный рак печени или рак эндометрия, опухоли сосудистой системы (ангиосаркому и гемангиоперицитому)) или другие виды рака.

[000259] В настоящей заявке термин «рак» относится или описывает физиологическое состояние у млекопитающих, которое обычно характеризуется неконтролируемым размножением клеток. Примеры рака включают, но не ограничиваются ими, карциному, лимфому, бластому, саркому (включая липосаркому, остеогенную саркому, ангиосаркому, эндотелиосаркому, лейомиосаркому, хордому, лимфангиосаркому, лимфангиоэндотелиосаркому, рабдомиосаркому, фибросаркому, миксосаркому, хондросаркому), нейроэндокринные опухоли, мезотелиому, синовиому, шванному, менингиому, аденокарциному, меланому, а также лейкоз и лимфоидные злокачественные опухоли. Более конкретные примеры подходящих видов рака включают плоскоклеточный рак (например, эпителиальный плоскоклеточный рак), рак легких, включая мелкоклеточный рак легких, немелкоклеточный рак легких, аденокарциному легких и плоскоклеточный рак легких, мелкоклеточную карциному легких, рак брюшины, гепатоцеллюлярный рак, рак желудочно-кишечного тракта или рак желудка, включая рак желудочно-кишечного тракта, рак поджелудочной железы, глиобластому, рак шейки матки, рак яичников, рак печени, рак мочевого пузыря, гепатому, рак молочной железы, рак толстой кишки, рак прямой кишки, колоректальный рак, карциному эндометрия или карциному матки, карциному слюнных желез, рак почек или почечный рак, рак предстательной железы, рак вульвы, рак щитовидной железы, карциному печени, карциному прямой кишки, карциному полового члена, рак яичек, рак пищевода, опухоли желчных путей, опухоль Юинга, базальноклеточную карциному, аденокарциному, карциному потовых желез, карциному сальных желез, папиллярную карциному, папиллярную аденокарциному, цистаденокарциному, медуллярную карциному, бронхогенную карциному, карциному клеток почек, гепатому, карциному желчных протоков, хориокарциному, семиному, эмбриональную карциному, опухоль Вильмса, опухоль яичек, карциному легких, карциному мочевого пузыря, эпителиальную карциному, глиому, астроцитому, медуллобластому, краниофарингиому, эпендимому, пинеалому, гемангиобластому, невриному слухового нерва, олигодендроглиому, менингиому, меланому, нейробластому, ретинобластому, лейкоз, лимфому, множественную миелому, макроглобулинемию Вальденстрема, миелодиспластическое заболевание, болезнь тяжелых цепей, нейроэндокринные опухоли, шванному и другие карциномы, а также рак головы и шеи.

[000260] Страдомеры согласно настоящему изобретению можно применять для лечения аутоиммунных заболеваний. В настоящей заявке термин «аутоиммунное заболевание» относится к разнообразной группе, включающей более чем 80 заболеваний и состояний. Основная проблема при всех этих заболеваниях и состояниях заключается в том, что иммунная система организма атакует сам организм. Аутоиммунные заболевания затрагивают все основные системы организма, включая соединительную ткань, нервы, мышцы, эндокринную систему, кожу, кровь, дыхательную систему и желудочно-кишечный такт. Аутоиммунные заболевания включают, например, системную красную волчанку, ревматоидный артрит, рассеянный склероз, миастению гравис и диабет 1 типа.

[000261] Заболевание или состояние, которое поддается лечению с использованием композиций и способов согласно настоящему изобретению, может представлять собой гематоиммунологический процесс, включая, но не ограничиваясь ими, серповидно-клеточную анемию, идиопатическую тромбоцитопеническую пурпуру, аллоиммунную/аутоиммунную тромбоцитопению, приобретенную идиопатическую тромбоцитопеническую пурпуру, аутоиммунную нейтропению, аутоиммунную гемолитическую анемию, эритроцитарную аплазию, связанную с парвовирусом В19, приобретенную аутоиммунную реакцию на фактор VIII, приобретенную болезнь фон Виллебранда, множественную миелому и моноклональную гаммапатию неизвестного значения, сепсис, апластическую анемию, истинную эритроцитарную аплазию, синдром Даймонда-Блэкфана, гемолитическую болезнь новорожденных, иммуно-опосредованную нейтропению, рефрактерность к тромбоцитарной трансфузии, неонатальную посттрансфузионную пурпуру, гемолитический уремический синдром, системный васкулит, тромботическую тромбоцитопеническую пурпуру или синдрома Эванса.

[000262] Заболевание или состояние также может представлять собой нейроиммунологический процесс, включая, но не ограничиваясь ими, синдромом Гийена-Барре, хроническую воспалительную демиелинизирующую полирадикулоневропатию, парапротеинемическую демиелинизирующую полиневропатию, связанную с секрецией IgM, миастенический синдром Ламберта-Итона, миастению гравис, мультифокальную моторную невропатию, синдром периферических мотонейронов, связанный с анти/GM1, демиелинизацию, рассеянный склероз и неврит зрительного нерва, синдром мышечной скованности, паранеопластическую мозжечковую дегенерацию с антителами к Yo, паранеопластический энцефаломиелит, сенсорную невропатию с антителами к Hu, эпилепсию, энцефалит, миелит, миелопатию, в частности, связанную с лимфотропным Т-клеточным вирусом 1 человека, аутоиммунную диабетическую невропатию, болезнь Альцгеймера, болезнь Паркинсона, болезнь Хантингтона или острую идиопатическую дизавтономную невропатию.

[000263] Заболевание или состояние также может представлять собой воспаление или аутоиммунное заболевание, связанное с потерей слуха или потерей зрения. Например, заболевание или состояние может представлять собой аутоиммунную потерю слуха, такую как индуцированная шумом потеря слуха или возрастная потеря слуха, или может быть связано с имплантацией устройств, таких как слуховые аппараты (например, кохлеарные имплантаты). Согласно некоторым вариантам реализации настоящего изобретения композиции согласно настоящему изобретению могут быть введены субъекту перед, одновременно или после имплантации устройства.

[000264] Заболевание или состояние также может представлять собой ревматическое заболевание, включая, но не ограничиваясь ими, болезни Кавасаки, ревматоидный артрит, синдром Фелти, ANCA-положительный васкулит, спонтанный полимиозит, дерматомиозит, антифосфолипидные синдромы, периодические самопроизвольные выкидыши, системную красную волчанку, ювенильный идиопатический артрит, синдром Рейно, синдром CREST или увеит.

[000265] Заболевание или состояние также может представлять собой дерматоиммунологическое заболевание, включая, но не ограничиваясь ими, токсический эпидермальный некролиз, гангрену, гранулему, аутоиммунные кожные пузырчатки, включая обыкновенную пузырчатку, буллезный пемфигоид, эксфолиативную пузырчатку, витилиго, синдром стрептококкового токсического шока, склеродермию, системный склероз, включая диффузный и ограниченный кожный системный склероз или атопический дерматит (в частности, зависящий от стероидов).

[000266] Заболевание или состояние также может представлять собой иммунологическое заболевание опорно-двигательного аппарата, включая, но не ограничиваясь ими, миозит с тельцами включения, некротизирующий фасциит, воспалительные миопатии, миозит, миопатию, вызванную антителами к декорину (антиген BJ), паранеопластическую некротическую миопатию, связанную с Х-хромосомой вакуолизированную миопатию, пеницилламин-индуцированный полимиозит, атеросклероз, ишемическую болезнь сердца или кардиомиопатию.

[000267] Заболевание или состояние также может представлять собой иммунологическое заболевание желудочно-кишечного тракта, включая, но не ограничиваясь ими, пернициозную анемию, аутоиммунный хронический активный гепатит, первичный билиарный цирроз, целиакию, герпетиформный дерматит, криптогенный цирроз печени, реактивный артрит, болезнь Крона, болезнь Уиппла, язвенный колит или склерозирующий холангит.

[000268] Заболевание или состояние также может представлять собой реакцию «трансплантат против хозяина», опосредованное антителами отторжение трансплантата, отторжение трансплантата после трансплантации костного мозга, воспаление после инфекционного заболевания, лимфому, лейкоз, неоплазию, астму, сахарный диабет 1 типа с антителами к бета-клеткам, синдром Шегрена, смешанное заболевание соединительной ткани, болезнь Аддисона, синдром Фогта-Коянаги-Харада, мембранопролиферативный гломерулонефрит, синдром Гудпасчера, болезнь Грейвса, тиреоидит Хашимото, гранулематоз Вегенера, микрополиартерит, синдром Чарджа-Стросса, узелковый полиартрит или полиорганную недостаточность.

[000269] В настоящей заявке термин «аллергия» включает все иммунные реакции, опосредованные IgE, а также те реакции, которые имитируют IgE-опосредованные реакции. Аллергические реакции индуцируются аллергенами, включая белки, пептиды, углеводы, а также их комбинации, которые вызывают иммунный IgE-опосредованный ответ или ответ, сходный с IgE-опосредованным ответом. Типичные аллергические реакции включают аллергические реакции на орехи, аллергические реакции на пыльцу и аллергические реакции на укусы насекомых. Типичные аллергены включают урушиол в ядовитом плюще и дубе; антиген домашних пылевых клещей; компоненты пыльцы березы Bet v 1 и Bet v 2; 15 кД антиген в сельдерее; антиген яблок Mal d 1; Pru р3 в персиках; аллерген пыльцы тимофеевки луговой Phl p 1; Lol p 3, Lol p I или Lol p V в плевеле; Cyn d 1 в свинорое; аллергены пылевых клещей der p1, der p2 или der f1; эпитопы альфа-глиадина и γ-глиадина в глютене; фосфолипазу пчелиного яда A2; эпитопы Ara h 1, Ara h 2 и Ara h 3 в арахисе.

[000270] Заболевание или состояние может представлять собой заболевание клубочков и/или нефрит. Мезангиальная пролиферация является общим признаком многих заболеваний клубочков человека, включая IgA-опосредованную нефропатию, восстановление после инфекционного гломерулонефрита, а также ряд вторичных заболеваний клубочков, таких как волчаночный нефрит, пурпура Шенлейна-Геноха, ревматоидный артрит, цирроз печени, синдром Альпорта и диабетическая нефропатия. Заболевание характеризуется различной степенью мезангиальной гиперклеточности и расширением мезангиального матрикса. В случаях прогрессирующих заболеваний указанные клеточные изменения могут привести к сужению капилляров клубочков, склерозу и капсульным спайкам в результате повреждения, вызванного различными иммунологическими, токсическими, метаболическими, механическими и воспалительными медиаторами. Несмотря на то, что были разработаны некоторые экспериментальные модели, наиболее широко используемая модель для исследования мезангиальной пролиферации представляла собой анти-тимоцитную (анти-Thy-1) модель (Yamamoto and Wilson, “Quantitative and qualitative studies of antibody-induced mesangial cell damage in the rat.” Kidney International 32; 514-24 (1987); Jefferson JA et al, “Experimental mesangial proliferative glomerulonephritis (the anti Thy-1.1 model).” J. Nephrol 12; 297-307 (1999)). Другая модель для исследований нефропатии включает иммунизацию животных с использованием эпителиальной фракции проксимальных канальцев (Fx1A) (Probetex, Сан-Антонио, Техас, США). Иммунизация крыс с использованием Fx1A индуцирует иммунный сложный «мембранозный» нефрит, который характеризуется субэпителиальными иммунными отложениями и протеинурией, имеющими очевидное сходство с заболеванием человека (Heymann W. et al., Proc Soc. Exp. Biol. Med. 100:660-64 (1959); Edgington TS et al., J Exp. Med. 127; 555 (1968)). Fx1A содержит большой гликопротеин gp330 (мегалин), нефритогенный антиген, вырабатываемый эпителиальными клетками клубочков. Введение антитела к Fx1A приводит к нефриту, который характеризуется двумя фазами: 1) гетерологичная фаза, представляющая собой острый нефрит, индуцированный экзогенно введенным антителом, и 2) хроническая аутологичная фаза, которая характеризуется реакцией хозяина на экзогенный (гетерологичный) иммуноглобулин овцы, введенный в клубочковые структуры. Модель мембранозной нефропатии, индуцированной антителами к Fx1A, приводит к образованию субэпителиальных отложений и протеинурии. Модель пассивного нефрита Хеймана и вовлечение комплемента в этой модели были рассмотрены в другом месте (Jefferson et al. “Experimental Models of Membranous Nephropathy,” Drug Discov. Today Dis. Models 7(1-2): 27-33 (2010)).

[000271] Настоящее изобретение дополнительно включает способы и композиции, эффективные для лечения заболеваний, вызванных инфекционными агентами. Инфекционные агенты включают, но не ограничиваются ими, бактериальные, микологические, паразитарные и вирусные агенты. Примеры подходящих инфекционных агентов включают: Staphylococcus, метициллин-устойчивый Staphylococcus Aureus, Escherichia Coli, Streptococcaceae, Neisseriaaceae, Cocci, Enterobacteriaceae, Enterococcus, Vancomycin-Resistant Enterococcus, Cryptococcus, Histoplasmosis, Aspergillus, Pseudomonadaceae, Vibrionaceae, Campylobacter, Pasteurellaceae, Bordetella, Francisella, Brucella, Legionellaceae, Bacteroidaceae, Gram-Negative Bacilli, Clostridium, Corynebacterium, Propionibacterium, грамотрицательные бациллы, Anthrax, Actinomyces, Nocardia, Mycobacterium, Treponema, Borrelia, Leptospira, Mycoplasma, Ureaplasma, Rickettsia, Chlamydiae, Candida, системные микозы, оппортунистические микозы, Protozoa, Nematodes, Trematodes, Cestodes, Adenoviruses, Herpesviruses (включая, например, вирус простого герпеса, вирус Эпштейна-Барр, вирус опоясывающего герпеса), поксвирусы, паповавирусы, вирусы гепатита (включая, например, вирус гепатита B и вирус гепатита C), вирусы папилломы, ортомиксовирусы (включая, например, грипп A, грипп B и грипп C), парамиксовирусы, коронавирусы, пикорнавирусы, реовирусы, тогавирусы, флавивирусы, буньявирусы, рабдовирусы, ротавирус, респираторный синцитиальный вирус, вирус иммунодефицита человека и ретровирусы. Типичные инфекционные заболевания включают, но не ограничиваются ими, кандидоз, кандидемии, аспергиллез, стрептококковую пневмонию, стрептококковые заболевания кожи и ротоглотки, вызванный грамотрицательными бактериями сепсис, туберкулез, мононуклеоз, грипп, респираторное заболевание, вызванное респираторным синцитиальным вирусом, малярию, шистосомоз и трипаносомоз. Настоящее изобретение включает способы и композиции, эффективные для лечения инфекционных заболеваний, включая, но не ограничиваясь ими, заболевания, вызванные бактериальными, микологическими, паразитарными и вирусными агентами. Типичные инфекционные заболевания включают, но не ограничиваются ими, кандидоз, кандидемии, аспергиллез, стрептококковую пневмонию, стрептококковые заболевания кожи и ротоглотки, вызванный грамотрицательными бактериями сепсис, туберкулез, мононуклеоз, грипп, респираторное заболевание, вызванное респираторным синцитиальным вирусом, малярию, шистосомоз и трипаносомоз.

[000272] Согласно другому варианту реализации настоящего изобретения страдомеры согласно настоящему изобретению можно применять в системе прайминга, когда кровь получают от пациента и кратковременно приводят в контакт со страдомером(ами) в течение периода времени приблизительно от получаса до приблизительно трех часов перед введением обратно пациенту. В этой форме клеточной терапии собственные эффекторные клетки пациента подвергаются воздействию страдомера, который закреплен на матриксе, в условиях ex vivo, чтобы модулировать эффекторные клетки путем воздействия страдомера на эффекторные клетки. Кровь, включая модулированные эффекторные клетки, затем вливают обратно пациенту. Такая система прайминга может иметь многочисленные клинические и терапевтические применения.

[000273] Страдомеры, раскрытые в настоящем документе, также можно легко применять для изменения реакции иммунной системы в различных ситуациях, чтобы воздействовать на специфичные изменения в профилях иммунного ответа. Изменение или модулирование иммунного ответа у субъекта относится к увеличению, уменьшению или изменению соотношения или компонентов иммунного ответа. Например, выработка цитокинов или уровни секреции могут быть увеличены или уменьшены по желанию путем нацеленного воздействия на систему комплемента, наряду с соответствующей комбинацией FcγR со страдомером, который сконструирован для связывания с системой комплемента, и взаимодействия с указанными рецепторами. Выработка антител также может быть увеличена или уменьшена; соотношение двух или более цитокинов или рецепторов иммунных клеток может быть изменено; или может быть индуцирована выработка дополнительных типов цитокинов или антител.

[000274] В предпочтительном варианте иммунный ответ субъекта с аутоиммунным или воспалительным заболеванием изменен путем введения терапевтически эффективного количества страдомера, описанного в настоящем документе, указанному субъекту, при этом терапевтически эффективное количество страдомера изменяет иммунный ответ у указанного субъекта. В наилучшем варианте указанное вмешательство позволяет излечить заболевание или состояние у субъекта. Измененный иммунный ответ может представлять собой повышенную или пониженную реакцию и может включать измененные уровни цитокинов, включая уровни любого из ИЛ-6, ИЛ-10, ИЛ-8, ИЛ-23, ИЛ-7, ИЛ-4, ИЛ-12, ИЛ-13, ИЛ-17, ФНО-альфа и ИФН-альфа. В предпочтительном варианте реализации настоящего изобретения уровень ИЛ-6 или ИЛ-8 снижается в ответ на терапию. В особенно предпочтительном варианте реализации настоящего изобретения уровни ИЛ-6 и ИЛ-8 снижаются в ответ на терапию. Однако настоящее изобретение не ограничено каким-либо конкретным механизмом действия описанных биомиметиков. Измененный иммунный ответ может представлять собой измененный уровень аутоантител у субъекта. Измененный иммунный ответ может представлять собой измененный уровень аутоагрессивных Т-клеток у субъекта.

[000275] Например, уменьшение количества вырабатываемого ФНО-альфа при аутоиммунных заболеваниях может оказывать терапевтическое действие. На практике такое терапевтическое действие можно применять при терапии антителом к ФНО-альфа (например, ремикейдом (REMICADE®)), клиническая эффективного которого доказана для лечения бляшечного псориаза, ревматоидного артрита, псориатического артрита, болезни Крона, язвенного колита и анкилозирующего спондилоартрита. Указанные аутоиммунные заболевания имеют различную этиологию, однако обладают общими ключевыми иммунологическими компонентами патологических процессов, связанных с воспалением и активностью иммунных клеток. Страдомер, предназначенный для снижения выработки ФНО-альфа, будет также эффективен при лечении указанного и других аутоиммунных заболеваний. Измененный профиль иммунного ответа также может представлять собой прямую или косвенную модуляцию, чтобы снизить выработку антител, например, аутоантител, нацеленных на собственные ткани субъекта, или измененных уровней аутоагрессивных Т-клеток у субъекта. Например, рассеянный склероз представляет собой аутоиммунное заболевание с участием аутореактивных Т-клеток, которое можно лечить с помощью терапии интерфероном-бета. См., например, Zafranskaya M, et al., Interferon-beta therapy reduces CD4+ and CD8+ T-cell reactivity in multiple sclerosis, Immunology 2007 May;121(l):29-39-Epub 2006 Dec 18. Страдомер, сконструированный для снижения уровней аутореактивных Т-клеток, будет также эффективен при лечении рассеянного склероза и других аутоиммунных заболеваний с участием аутореактивных Т-клеток.

[000276] Страдомеры согласно настоящему изобретению можно применять для модуляции экспрессии костимулирующих молекул из иммунных клеток, включая дендритные клетки, макрофаги, остеокласты, моноциты или NK-клетки, или для ингибирования дифференцировки и созревания указанных клеток иммунной системы или секреции цитокинов, включая интерлейкин-12 (ИЛ-12), или увеличения секреции цитокинов, включая интерлейкин-10 (ИЛ-10) или интерлейкин-6 (ИЛ-6) или ИЛ-1-RA. Специалист в данной области техники также может проверить эффективность иммунологически активных биомиметиков, подвергая иммунную клетку воздействию иммунологически активного биомиметика и измеряя модуляцию функции иммунных клеток, причем указанная иммунная клетка представляет собой дендритную клетку, макрофаг, остеокласт или моноцит. Согласно одному варианту реализации настоящего изобретения иммунная клетка подвергается воздействию иммунологически активного биомиметика в условиях in vitro, включая дополнительный этап определения количества рецепторов клеточной поверхности или выработки цитокинов, причем изменение количества рецепторов клеточной поверхности или выработки цитокинов указывает на модуляцию функции иммунных клеток. Согласно другому варианту реализации настоящего изобретения иммунная клетка подвергается воздействию иммунологически активного биомиметика в условиях in vivo в животной модели аутоиммунного заболевания, включая дополнительный этап оценки степени улучшения при аутоиммунном заболевании.

[000277] Страдомеры согласно настоящему изобретению также можно применять в качестве компонента устройства. Например, в некоторых вариантах реализации страдомеры согласно настоящему изобретению можно наносить на устройство, такое как медицинский имплантат. Например, страдомеры могут быть нанесены на коронарный стент или как часть терапии наночастицами для усиления проникновения и увеличения продолжительности высвобождения лекарственного препарата, например, для интраофтальмологического применения при увеите или дегенерации желтого пятна. Страдомеры согласно настоящему изобретению также можно применять в качестве компонента диагностики. Согласно некоторым вариантам реализации настоящего изобретения специалист в данной области техники может персонализировать терапию путем определения того, какому пациенту применение страдомера принесет наибольшую пользу. Например, специалист в данной области техники может подвергнуть иммунные клетки пациента воздействию иммунологически активного биомиметика и измерить модуляцию активации иммунных клеток или созревания с помощью проточной цитометрии или цитокинового профиля, чтобы определить пациентов с надлежащим терапевтическим ответом.

[000278] Все литературные источники, приведенные в настоящем документе, полностью включены в настоящую заявку посредством ссылки.

ПРИМЕРЫ

ПРИМЕР 1 - Страдомеры, предпочтительно связывающиеся с системой комплемента

[000279] Для создания страдомеров, предпочтительно связывающихся с системой комплемента, применяли различные подходы. Были получены страдомеры, в которых в область Fc была введена по меньшей мере одна точечная мутация, усиливающая связывание с системой комплемента. В частности, следующие мутации были сделаны в положениях 267, 268 и 324 домена Fc страдомера GL-2045, описанного в WO 2012/016073: S267E, H268F и S324T. В некоторых страдомерах были сделаны дополнительные мутации, чтобы дополнительно увеличить степень связывания с системой комплемента, по сравнению со связыванием с каноническим FcγR, путем изменения связывания с FcγR и/или связывания с FcRn. Аминокислотные последовательности типичных страдомеров приведены выше в таблице 1 и таблице 2.

[000280] Для каждого созданного страдомера был определен уровень связывания с каноническими FcγR, FcRn при рН=7,4, связывания с компонентом C1q и ингибирования CDC, по сравнению с исходным страдомером, G045c (шарнирная область IgG1 - CH2 IgG1 СН3 IgG1 - шарнирная область IgG2). Кроме того, оценивали связывание некоторых соединений с другими компонентами каскада системы комплемента.

[000281] Была проведена оценка связывания страдомеров, предпочтительно связывающихся с системой комплемента, или исходного страдомера G045c с FcγRI, FcγRIIb, FcγRIIIa, FcγRIIa или FcRn. Значения RU для диссоциации были измерены с помощью интерферометрии биослоя с использованием прибора ForteBio Octet. Белки рецепторов, содержащие полигистидиновую метку, были связаны с наконечником сенсора в 1× буфере для кинетического анализа (ForteBio), после этого измеряли скорость прямой реакции рецептор/белок путем переноса наконечника сенсора в 1× буфер для кинетического анализа, содержащий выбранный очищенный страдомер. Скорость обратной реакции измеряли путем переноса наконечника сенсора в 1× буфер для кинетического анализа, и значение RU рассчитывали на основании измеренного максимального связывания с использованием программного обеспечения ForteBio. Метод интерферометрии биослоя позволяет детектировать связывание лиганда, иммобилизованного на поверхности наконечника биосенсора, с анализируемым веществом в растворе. Связывание вызывает увеличение поглощения на наконечнике биосенсора, что приводит к сдвигу длины волны (который детектируют как единицу ответа «RU»). Максимальный уровень связывания (RUмакс) представляет собой максимально возможное количество образца, связанного при достижении равновесия, которое насыщает количество лиганда на поверхности сенсора. RU 300 представляет собой связывание остаточного образца после 300 секунд диссоциации, и указанный показатель можно использовать для описания скорости диссоциации исследуемого продукта от исследуемого лиганда.

[000282] Для того чтобы охарактеризовать соединения в настоящем документе представлены результаты оценки максимального связывания с помощью интерферометрии биослоя (RUмакс) по сравнению с 5 рецепторами Fc, результаты оценки связывания с C1q методом ИФА, также ингибирования CDC. Чтобы проиллюстрировать различия в скорости диссоциации также представлены значения RU через 300 с для связывания соединений в сравнении со связыванием с 5 рецепторами Fc. Для показателей RUмакс и RU 300 в каждом случае абсолютное значение визуально определяли на основании графика ассоциации и диссоциации, полученного с помощью ForteBio, затем ответ нормировали по 0-10 шкале, где 0 обозначает отсутствие ответа и 10 обозначает максимальный ответ, наблюдаемый для данного рецептора или лиганда для всех испытываемых соединений в конкретный момент времени, RUмакс или RU 300, соответственно.

[000283] Для оценки связывания с C1q 96-луночный планшет покрывали C1q (Sigma, каталожный номер C1740, 1 мкг/мл) в течение ночи в ФСБ. После нанесения покрытия планшеты промывали 3 раза с использованием стандартного буфера для промывки (1× ФСБ + 0,05% твин-20) и блокировали блокирующим буфером (1% БСА + 1× ФСБ + 0,05% твин-20) в течение 2 ч при комнатной температуре. После блокирования планшеты инкубировали с соединением, разведенным в блокирующем буфере, из расчета 100 мкл/лунку и промывали 3 раза с использованием стандартного буфера для промывки. C1q-связанное соединение детектировали путем инкубации с биотинилированным мышиным антителом к IgG1 человека (каталожный номер 555869, BD Biosciences), разбавленным в соотношении 1:5000, и стрептавидин-ПХ (каталожный номер 7100-05, Southern Biotech) (100 мкл/лунку) в течение 1 ч при комнатной температуре с последующей трехкратной промывкой с использованием промывочного буфера, затем окрашивание проявляли в течение 15 мин с использованием стандартного метода на основе TMB в соответствии с протоколом производителя. Поглощение регистрировали при 450 нм.

[000284] Результаты оценки связывания G045c с примерным рецептором Fc представлены на Фигуре 1.

[000285] G997 представляет собой страдомер, содержащий три мутации (S267E/H268F/S324T), введенные в остов G045c. Как показано на Фигуре 2, полученный страдомер проявляет повышенное связывание с C1q, по сравнению с исходным G045c, а также незначительно сниженное связывание с FcγRIIa и FcγRIIIa, по сравнению с G045c, и не оказывает влияния на ингибирование CDC. Результаты оценки связывания G997 с рецептором Fc представлены на Фигуре 3.

[000286] Дале конструировали G998. G998 содержит дополнительную мутацию в положении аминокислоты 297, по сравнению с G997. В частности, G998 содержит четыре мутации (S267E/H268F/S324T/N297A), вставленные в остов G045c. Тройная мутация в G998 восстанавливала сильное связывание с C1q и ингибирование CDC; связывание с активирующими рецепторами FcγRIIa и FcγRIIIa было устранено, и связывание с FcγRIIb было уменьшено, в то время как связывание с FcRn не уменьшалось, по сравнению с исходным страдомером G045c (Фигура 4A). Также неожиданным фактом явилось то, что связывание G998 с FcγRI было полностью сохранено, несмотря на мутацию N297A. Результаты сравнения значений RU300 для связывания G997, G998 и G045c с каноническими FcγR и FcRn представлены на Фигуре 4B. Учитывая агликозилирование, которое имеет место при введении мутации N297A, сохранение связывания G997 с ингибирующим рецептором FcγRIIb оказалось неожиданным фактом. Несмотря на то, что связывание с FcγRIIb было значительно уменьшено, исходя из значений RUмакс для G998 по сравнению с G997, G998 очень медленно диссоциирует от FcγRIIb, согласно значениям RU300 (Фигура 4В). Результаты оценки связывания G998 с рецептором Fc представлены на Фигуре 5.

[000287] Также были созданы конкретные соединения G1033 и G1022. В частности, G1033 содержит 6 мутаций (S267E/H268F/S324T/N297A/L234A/L235A), введенных в остов G045c; и G1022 содержит 7 мутаций (S267E/H268F/S324T/N297A/E233P/L234V/L235A и делецию G236), введенных в остов G045c. Результаты определения RUмакс для связывания G1033 и G1022 с каноническими рецепторами FcγR и FcRn, связывания с C1q и ингибирования CDC представлены на Фигуре 6А. G1033 связывается с C1q и FcRn и ингибирует CDC, без заметного связывания с FcγRIIb или FcγRIIIa. Неожиданным фактом явилось то, что, несмотря на дегликозилирование указанного соединения из-за мутации N297A, сохраняется незначительное связывание с FcγRI и FcγRIIa. G1022 связывается с C1q и ингибирует CDC без какого-либо заметного связывания с FcγRI или FcγRIIIa; сохраняется незначительное связывание указанного соединения с FcγRIIb и умеренное связывание с FcγRIIa и FcRn. Устранение связывания G1022 с FcγRI явилось неожиданным фактом вследствие природной авидности, даже при низкой аффинности, страдомеров по отношению к высокоаффинному рецептору FcγRI. Следовательно, устранение связывания с FcγRI в результате введения комбинации мутаций в G1022 было неожиданным на основании сохраненного связывания с FcγRI в других страдомерах, которые содержат указанные мутации. Например, комбинация мутаций в G998 (S267E/H268F/S324T/N297A) не приводит к потере связывания с FcγRI. Особенно неожиданным фактом явилось то, что связывание с FcγRI может быть устранено в страдомере, в котором сохраняется связывание с низкоаффинными рецепторами Fc и ингибирование CDC. Сравнение значений RU300 для связывания G045c, G1022 и G1033 с каноническими рецепторами FcγR и FcRn представлено на Фигуре 6В.

[000288] G1032 содержит 5 мутаций (S267E/H268F/S324T/L234A/L235A), введенных в остов G045c. Значения RUмакс для связывания с FcγR, RUмакс для связывания с FcRn, связывания с C1q и ингибирования CDC представлены на Фигуре 7А, и значения RU300 для связывания с FcR представлены на Фигуре 7В. Неожиданным фактом явилось то, что, несмотря на связывание G1032 с C1q и ингибирование CDC, прочное связывание сохранялось для всех канонических рецепторов Fc, несмотря на мутации L234A и L235A; умеренно прочное связывание сохранялось для FcRn.

[000289] G1023 содержит 6 мутаций (S267E/H268F/S324T/E233P/L234V/L235A) и делецию G в положении 236. Значения RUмакс для связывания с FcγR, RUмакс для связывания с FcRn, связывания с C1q и ингибирования CDC представлены на Фигуре 8A, и значения RU300 для связывания с FcR представлены на Фигуре 8В. G1023 связывался с C1q и ингибировал CDC, при этом сохранял прочное связывание со всеми каноническими рецепторами Fc, и сохранял умеренно прочное связывание с FcRn. Неожиданным фактом явилось то, что, несмотря на связывание G1023 с C1q и ингибирование CDC вследствие мутаций E223, L234V и L235A и делеции G236 (и при отсутствии дегликозилирования в результате мутации N297A), сохранялось прочное связывание со всеми каноническими рецепторами Fc.

[000290] G1006 содержит 4 мутации (S267E/H268F/S324T/D265A). Значения RUмакс для связывания с FcγR, RUмакс для связывания с FcRn, связывания с C1q и ингибирования CDC представлены на Фигуре 9A, и значения RU300 для связывания с FcR представлены на Фигуре 9В. Указанный страдомер связывался с C1q и ингибировал CDC, при этом сохранялось связывание с FcγRI, FcγRIIa и, в меньшей степени, FcγRIIb. Полученные результаты оказались неожиданными, поскольку, несмотря на то, что мутация D265A была охарактеризована как уменьшающая связывание со всеми каноническими рецепторами Fc, сохранялось прочное связывание с FcγRI и сохранялось умеренное связывание с FcγRIIa. Связывание с FcγRIIIa было устранено, и сохранялось умеренно прочное связывание с FcRn (Фигура 9А).

[000291] G1027 содержит 5 мутаций (P238D/S267E/H268F/S324T/N297A). Значения RUмакс для связывания G1027 с FcγR, RUмакс для связывания с FcRn, связывания с C1q и ингибирования CDC представлены на Фигуре 10A, и значения RU300 для связывания с FcR представлены на Фигуре 10В. Указанный страдомер связывался с C1q и ингибировал CDC, сохранял прочное связывание с FcγRI, проявлял уменьшенное связывание с FcγRIIa и FcγRIIb и умеренное связывание с FcRn, при этом связывание с FcγRIIIa отсутствовало. Неожиданным фактом явилось то, что связывание указанного страдомера с каноническими рецепторами Fc не было устранено, несмотря на мутации P238D и N297A.

[000292] G1003 конструировали на основе G019 (шарнирная область IgG2 - шарнирная область IgG1 - СН2 IgG1 СН3 IgG1) с введением 3 мутаций: S267E/H268F/S324T. Результаты для указанного страдомера представлены на Фигурах 11A и 11B. Указанный страдомер связывался с C1q и ингибировал CDC. Кроме того, страдомер проявлял прочное связывания с FcγRI и FcγRIIb; уменьшенное связывание с FcγRIIa; и умеренно прочное связывание с FcRn. Исходный страдомер G019 проявлял минимальное связывание с C1q и незначительное ингибирование CDC. Следовательно, тот факт, что введение тройной мутации в указанный исходный страдомер приводит к получению соединения с аналогичной общей структурой и профилем мультимеризации, как и у исходного G019, но способного к связыванию с C1q и эффективному ингибированию CDC, было особенно неожиданным. Еще более удивительным является тот факт, что одни и те же мутации (S267E/H268F/S324T), введенные в остов GL-2045 (с получением G998), продемонстрировали значительно различающуюся активность в отношении связывания. G997 и G1003 содержат аналогичные домены с одинаковыми мутациями и обладают сходными характеристиками связывания, хотя исходные соединения (G045c и G019, соответственно) существенно различаются в отношении связывания с C1q и ингибирования CDC. Результаты сравнения еще больше подчеркивают непредсказуемость данного набора мутаций применительно к мультимеризующемуся страдомеру.

[000293] G989 сконструирован на основе G045c, содержит 2 мутации (E233P/G236R) и был создан, чтобы уменьшить связывание с каноническими рецепторами. Однако неожиданным фактом явилось то, что указанный страдомер проявлял не только уменьшенное связывание с каноническими рецепторами, но также не был способен связываться с C1q и ингибировать CDC (Фигуры 12A, 12B и 13).

[000294] Следовательно, был создан G990, который также сконструирован на основе G045c, но содержит только одну мутацию (G236R). Неожиданным фактом явилось то, что мутация G236R по отдельности снижала связывание с каноническими рецепторами и обеспечивала сохранение минимального связывания с C1q (Фигуры 14А, 14В и 15).

[000295] На основании полученных неожиданных результатов была предпринята попытка дополнительно увеличить связывание с C1q путем создания G994. G994 был создан на основе G045c и содержит 5 мутаций: E233P/G236R/S267E/H268F/S324T. Однако неожиданным фактом явилось то, что, хотя в G994 была восстановлена утраченная способность страдомера G989, на основе которого он был создан, связываться с системой комплемента и ингибировать CDC, добавление тройной мутации S267E/H268F/S324T привело к восстановлению связывания с FcγRI и FcγRIIb (Фигуры 16A, 16B и 17). Следовательно, как сообщается, добавление тройной мутации увеличивает связывание страдомера с системой комплемента и одновременно увеличивает связывание с каноническими рецепторами Fc.

[000296] Соответственно, G994 затем использовали в качестве платформы, чтобы сохранить связывание с C1q и ингибирование CDC, и достичь специфичности в отношении связывания с системой комплемента, по сравнению со связыванием с каноническими рецепторами. В частности, был создан G996, который сконструирован на основе G045c и содержит 4 мутации (G236R/S267E/H268F/S324T). Неожиданным фактом явилось то, что G996 приобрел способность к дополнительному связыванию с FcγRIIa и FcγRIIb, но не способность к связыванию с активирующим рецептором FcγRIIIa. Следовательно, G996 связывается с C1q, ингибирует CDC и связывается со всеми рецепторами Fc, кроме FcγRIIIa (Фигуры 18A, 18B и 19, верхние панели). Однако также неожиданным фактом явилось то, что G996 не проявлял связывания с каноническими рецепторами у мыши, что делает его наиболее подходящим соединением для оценки истинного ингибирования CDC у грызунов (Фигура 19, три нижние панели).

[000297] G1042 создан на основе G045 и содержит 6 мутаций (E233P, G236R, S267E, H268F, S324T и L328F). Следовательно, G1042 отличается от G994 присутствием мутации L328F, которая, как ожидается, увеличит связывание с FcγRIIb. Неожиданным фактом явилось то, что G1042 не только прочно связывался с FcγRIIb, но также с FcγRI и FcγRIIa (Фигуры 20А, 20В и 21).

[000298] G1043 и G1046 были созданы на основе G045c и содержат 5 мутаций: P238D/D265G/S267E/H268F/S324T и P238D/D265W/S267E/H268F/S324T, соответственно. Для обоих указанных страдомеров добавление мутации P238D к другим мутациям неожиданно привело к связыванию с FcγRIIa (Фигуры 22-25). Оба страдомера, как ожидалось, должны были иметь повышенное связывание с FcγRIIb и сниженное связывание с FcγRIIa вследствие мутации в положении 238; однако неожиданным фактом явилось то, что G1043 проявлял связывание с FcγRIIa и FcγRIIb (Фигуры 22А, 22В и 23), и G1046 проявлял связывание с FcγRIIa, но не с FcγRIIb (Фигуры 24А, 24B и 25).

[000299] G1050 создан на основе G045c и содержит 8 мутаций и делецию в положении 236 (E233P/L234V/L235A/S267E/H268F/N297A/S324T/S328F и делеция в положении 236). Указанные мутации, как ожидалось, должны были уменьшить или устранить связывание с FcγRIIa и FcγRIII (вследствие мутации в E233P/L234V/L235A и делеции в положении 236), но сохранить связывание с FcγRIIb (вследствие мутации в положении 328); однако неожиданным фактом явилось то, что G1050 проявлял связывание с FcγRIIa и FcγRIIb, но не связывался с FcγRI или FcγRIII (Фигуры 26А, 26В и 27).

[000300] G1049 создан на основе остова G019 и содержит 4 мутации (S267E/H268F/S324T/L328F). Следовательно, по сравнению с G1003, G1049 содержит дополнительную мутацию в L328F, которая, как ожидалось, должна была увеличить связывание только с FcγRIIb. Однако неожиданным фактом явилось то, что G1049 проявлял сильное связывание со всеми каноническими рецепторами FcγR (Фигуры 28А, 28В и 29) и, также неожиданно, проявлял сильное связывание с C1q и ингибирование CDC, в отличие от G019. Следовательно, особенно неожиданным фактом явилось то, что сильное связывание с C1q и ингибирование CDC может быть достигнуто с помощью точечных мутаций в страдомере, содержащем остов G019.

[000301] G1025 создан на основе G045c и содержит 4 мутации (P238D/S267E/H268F/S324T). Мутация в положении 238, как ожидалось, должна была увеличить связывание с FγRIIb и уменьшить связывание с FcγRI, FcγRIIa и FcγRIIIa; однако неожиданным фактом явилось то, что уменьшилось только связывание с FcγRIIIa, и страдомер сохранил прочное связывание с FcγRIIb, FcγRI и FcγRIIa (Фигуры 30А и 30В).

[000302] Обобщенные результаты исследования представлены в таблице 3.

Таблица 3. Обобщенные данные по активности страдомеров, предпочтительно связывающихся с системой комплемента

Связывание с FcγRI Связывание с FcγRIIa Связывание с FcγRIIb Связывание с FcγRIIIa Связывание с FcRn Связывание с C1q Ингибирование CDC G994 *** - * - *** *** * G996 *** *** *** - *** *** * G997 *** ** *** *** *** *** * G998 *** - * - *** *** * G1003 *** * *** ** *** *** * G1006 *** ** * - *** *** * G1023 *** *** *** *** *** *** * G1022 - ** * - *** *** * G1025 *** *** *** - *** *** * G1027 *** * * - *** *** * G1032 *** *** *** *** *** *** * G1033 * * - - *** *** * G1042 *** *** *** - *** *** * G1043 *** * ** - *** *** * G1046 *** * * - *** *** (*) G1049 *** *** *** ** *** *** * G1050 - *** *** - *** *** *

(*) Указывает на предельную активность

(-) Указывает на отсутствие связывания

ПРИМЕР 2 - Страдомеры, предпочтительно связывающиеся с системой комплемента, проявляют сохраненное или усиленное связывание с C1q

[000303] Результаты сравнения связывания с C1q среди страдомеров G994, G996, G997 и G998, по сравнению с исходным GL-2045 или отрицательным контролем Fc, G001, представлены на Фигуре 31. На Фигуре 31А представлены величины поглощения при увеличении концентрации указанных страдомеров, и на Фигуре 31B представлены данные после логарифмического преобразования и значения ЭК50 для каждого из испытанных страдомеров. Значения ЭК50 представлены в мкг/мл. В совокупности представленные данные указывают на то, что страдомеры G997, G998, G996 и G994 проявляют превосходное связывание с C1q по сравнению с G001 (контрольная область Fc IgG1), а также превосходное связывание с C1q по сравнению с испытанным страдомером GL-2045.

[000304] В совокупности результаты исследования свидетельствуют о том, что страдомеры согласно настоящему изобретению способны связываться с C1q и проявляют минимальное или отсутствующее связывание с FcγRI, FcγRII и/или FcγRIII.

ПРИМЕР 3 - Связывание страдомеров, предпочтительно связывающихся с системой комплемента, с компонентом C3

[000305] Исследование проводили с целью оценки связывания страдомеров, предпочтительно связывающихся с системой комплемента, с компонентом С3.

[000306] 96-луночные планшеты покрывали компонентом системы комплемента С3 (Quidel, каталожный номер A401; 1 мкг/мл в ФСБ) в течение ночи при 4 °C и затем промывали 3 раза с использованием 300 мкл 1×ФСБ + 0,1% твин-20. Планшеты блокировали в 1×ФСБ + 2% БСА + 0,05% твин-20 в течение 2 ч при комнатной температуре. Испытываемое соединение (GL-2045, G001, G997, G998, G994 или G996) инкубировали со связанным С3 в диапазоне концентрации от 100 мкг/мл и 1:1 до 0,78125 мкг/мл в блокирующем буфере в течение 2 ч при комнатной температуре с последующей трехкратной промывкой (300 мкл 1×ФСБ, 0,1% твин-20). Соединение, взаимодействующее с C3, детектировали с использованием биотинилированного мышиного антитела к IgG1 человека, (каталожный номер 555869, BD) + стрептавидин-ПХ (каталожный номер 7100-05, Southern Biotech), разбавленный 1:5000 (ea.) в ФСБ-БСА-Т, которые смешивали в соотношении 1:10 и 1:50 из расчета по 100 мкл/лунку, инкубировали при комнатной температуре 1 ч с последующей четырехкратной промывкой (300 мкл 1× ФСБ, 0,1% твин-20). Окрашивание проявляли с использованием субстрата ТМВ, который вносили в количестве 100 мкл на лунку, в течение 20 мин, реакцию останавливали путем добавления 50 мкл 1 М H2SO4, и поглощение регистрировали при 450/650 нм.

[000307] Результаты исследования представлены на Фигуре 32. Отрицательный контроль G001 и страдомер G996 не связывались с С3. G997 проявил промежуточный уровень связывания с С3 по сравнению с отрицательным контролем и исходным страдомером GL-2045. G994, GL-2045 и G998 проявили самый высокий уровень связывания с C3.

ПРИМЕР 4 - Связывание страдомеров, предпочтительно связывающихся с системой комплемента, с компонентами C3b, С4 и С5

[000308] Проводили исследования с целью оценки связывания страдомеров, предпочтительно связывающихся с системой комплемента, с компонентами C3b, C4 и C5.

[000309] Для оценки связывания с C3b 96-луночные планшеты покрывали компонентом системы комплемента C3b (каталожный номер GWB-8BA994, GenWay Biotech; 1 мкг/мл в ФСБ). По 100 мкл компонента системы комплемента C3b добавляли в каждую лунку и инкубировали в течение ночи при 4 °C с последующей трехкратной промывкой (300 мкл 1× ФСБ, 0,1% твин-20). Планшеты блокировали в блокирующем буфере (1× ФСБ + 2% БСА + 0,05% твин-20) 2 ч при комнатной температуре с последующей трехкратной промывкой (300 мкл 1× ФСБ, 0,1% твин-20). Испытываемое соединение (G001, GL-2045, G997, G998 или G994) подвергали взаимодействию с C3b в течение 4 ч при комнатной температуре в диапазоне концентраций от 100 мкг/мл и в разведении в соотношении 1:1 до 0,78125 мкг/мл в блокирующем буфере с последующей трехкратной промывкой (300 мкл 1× ФСБ, 0,1% твин-20). Связанное соединение детектировали с использованием мышиного антитела к IgG1 человека (каталожный номер 555869, BD) + стрептавидин-ПХ (каталожный номер 7100-05, Southern Biotech), разбавленный в соотношении 1:5000 (ea.) в 100 мкл блокирующего буфера, в течение 1 ч при комнатной температуре. Окрашивание проявляли с использованием субстрата ТМВ в течение 20 мин, реакцию останавливали путем добавления 50 мкл 1 М H2SO4, и поглощение регистрировали при 450/650 нм.

[000310] Для оценки связывания с C4 96-луночные планшеты покрывали компонентом системы комплемента C4 (каталожный номер A402, Quidel; 1 мкг/мл в ФСБ). По 100 мкл компонента системы комплемента C4 добавляли в каждую лунку и инкубировали в течение ночи при 4 °C с последующей трехкратной промывкой (300 мкл 1× ФСБ, 0,1% твин-20). Планшеты блокировали в блокирующем буфере (1× ФСБ + 2% БСА + 0,05% твин-20) 2 ч при комнатной температуре с последующей трехкратной промывкой (300 мкл 1× ФСБ, 0,1% твин-20). Испытываемое соединение (G001, GL-2045, G996, G997, G998 или G994) подвергали взаимодействию с C4 в течение 4 ч при комнатной температуре в диапазоне концентраций от 100 мкг/мл и разведении в соотношении 1:1 до 0,78125 мкг/мл в блокирующем буфере с последующей трехкратной промывкой (300 мкл 1× ФСБ, 0,1% твин-20). Связанное соединение детектировали с использованием мышиного антитела к IgG1 человека (каталожный номер 555869, BD) + стрептавидин-ПХ (каталожный номер 7100-05, Southern Biotech), разбавленный в соотношении 1:5000 (ea.) в 100 мкл блокирующего буфера, в течение 1 ч при комнатной температуре. Окрашивание проявляли с использованием субстрата ТМВ в течение 20 мин, реакцию останавливали путем добавления 50 мкл 1 М H2SO4, и поглощение регистрировали при 450/650 нм.

[000311] Для оценки связывания с C5 96-луночные планшеты покрывали компонентом системы комплемента C5 (каталожный номер A403, Quidel; 1 мкг/мл в ФСБ). По 100 мкл компонента системы комплемента C5 добавляли в каждую лунку и инкубировали в течение ночи при 4 °C с последующей трехкратной промывкой (300 мкл 1× ФСБ, 0,1% твин-20). Планшеты блокировали в блокирующем буфере (1× ФСБ + 2% БСА + 0,05% твин-20) 2 ч при комнатной температуре с последующей трехкратной промывкой (300 мкл 1× ФСБ, 0,1% твин-20). Испытываемое соединение (G001, GL-2045, G996, G997, G998 или G994) подвергали взаимодействию с C5 в течение 4 ч при комнатной температуре в диапазоне концентраций от 100 мкг/мл и разведении в соотношении 1:1 до 0,78125 мкг/мл в блокирующем буфере с последующей трехкратной промывкой (300 мкл 1× ФСБ, 0,1% твин-20). Связанное соединение детектировали с использованием мышиного антитела к IgG1 человека (каталожный номер 555869, BD) + стрептавидин-ПХ (каталожный номер 7100-05, Southern Biotech), разбавленный в соотношении 1:5000 (ea.) в 100 мкл блокирующего буфера, в течение 1 ч при комнатной температуре. Окрашивание проявляли с использованием субстрата ТМВ в течение 20 мин, реакцию останавливали путем добавления 50 мкл 1 М H2SO4, и поглощение регистрировали при 450/650 нм.

[000312] Результаты исследований представлены на Фигуре 33 (компонент системы комплемента C3b), Фигуре 34 (компонент системы комплемента С4) и Фигуре 35 (компонент системы комплемента С5). Отрицательный контроль G001 не связывался с C3b, C4 или C5. Исходный страдомер GL-2045 связывался с C5, но не проявлял связывания с C3b или C4. Напротив, каждый из страдомеров, предпочтительно связывающихся с системой комплемента, G994, G997 и G998 связывался с С4, а также с C5.

ПРИМЕР 5 - Лечение нефрита с использованием страдомеров, предпочтительно связывающихся с системой комплемента, в модели нефрита, индуцированного антителами к Thy 1

[000313] Страдомеры, предпочтительно связывающиеся с системой комплемента, оценивали в модели нефрита, индуцированного антителами к Thy-1 (индуцированный антителами к Thy 1 мезангиальный пролиферативный гломерулонефрит). В этой модели антитело к тимоцитам (ATS) взаимодействует с поверхностным антигеном Thy-1, присутствующим на мезангиальных клетках крыс (Yamamoto 1987 и Jefferson 1999). Введение ATS индуцирует комплемент-зависимый мезангиолиз с последующим быстрым развитием мезангиального пролиферативного гломерулонефрита, который достигает максимума в течение 5 дней после инъекции, и затем разрешается в течение долгого времени.

[000314] Заболевание индуцировали на 0-й день путем инъекции мышиного антитела к CD90 крысы (Thy1.1) (Cedar Lane) у крыс линии Wistar (n=8), чтобы вызвать гломерулонефрит. На 0, 2, 4 и 6 день животным вводили 40 мг/кг G998, 80 мг/кг G998, 80 мг/кг G994 или 80 мг/кг G1033. Контрольные, непораженные животные не получали антитело к Thy 1 или иное лечение. Положительный контроль, такролимус, ежедневно вводили в дозе 1 мг/кг внутримышечно, начиная с -9 дня перед инъекцией антисыворотки. Дозирование на 0 день осуществляли за 4 часа перед инъекцией антисыворотки. Образцы мочи собирали перед дозированием и на 3, 5, 7 и 9 день после инъекции антисыворотки. Почки собирали у крыс при завершении исследования и фиксировали в 10% формалине для гистологического анализа. Сыворотку собирали для анализа АМК сыворотки крови.

[000315] Результаты исследования представлены на Фигурах 37, 38A, 38B, 39 и 40; и в таблице 4. На Фигуре 37 в таблице ниже графика приведены значения P относительно контрольных мышей, получавших ФСБ. Каждое из трех испытываемых соединений G994, G998 и G1033 значительно снижало протеинурию. На Фигурах 38A и 38B представлены результаты гистологического анализа пораженных контрольных мышей, получавших ФСБ (Фигура 38А), и мышей, получавших 40 мг/кг G998 (Фигура 38B). В таблице 4 и на Фигуре 39 представлены результаты количественного гистологического исследования каждого из животных в контрольной группе, получавшей ФСБ (представлены как группа 2 в таблице 3), и в группе, получавшей 40 мг/кг G998 (представлены как группа 4 в таблице 3). Результаты, приведенные в таблице 4, представлены в графической форме на Фигуре 39.

Таблица 4. Результаты количественного гистологического исследования в модели нефрита, индуцированного антителами к Thy-1

CKD-GLI-1 Почки Группа Животные Гломерулонефрит Дегенерация канальцев Делатация канальцев CD-68
гломерулы
CD-68 Интерстиций канальцев
2 2-9 4 3 3 3 3 2-10 4 2 2 3 2 2-11 2 0 0 3 1 2-12 3 2 2 3 3 2-13 4 3 2 4 4 2-14 4 1 1 4 2 2-15 4 4 3 4 4 2-16 4 3 2 4 3 Среднее
Станд. откл. среднего
3,63
0,74
2,25
1,28
1,88
0,99
3,50
0,53
2,75
1,04
4 4-25 1 0 0 3 1 4-26 1 1 0 4 1 4-27 0 1 0 3 1 4-28 0 1 0 4 1 4-29 0 0 0 3 1 4-30 0 0 0 4 1 4-31 0 0 0 3 1 4-32 3 1 0 3 1 Среднее
Станд. откл. среднего
0,63
1,06
0,50
0,53
0,00
0,00
3,38
0,52
1,00
0,00
t-тест 2,20447·10-5 0,00570721 0,00106271 0,641986775 0,002007834

0= исследованный образец, без результатов, 1- минимально, 2 - незначительно, 3 -умеренно, 4 - выраженный, P - присутствует, - = не присутствует.

[000316] На 9-й день собирали сыворотку крови от каждого животного и исследовали для оценки содержания азота мочевины крови (АМК). У каждого из животных, которые получали лечение с использованием страдомеров, предпочтительно связывающихся с системой комплемента, уровень АМК значительно снизился по сравнению с пораженными контрольными животными, получавшими ФСБ, что указывает на повышенную скорость клубочковой фильтрации и, следовательно, улучшение течения заболевания (Фигура 40).

ПРИМЕР 6 - Лечение нефрита с использованием страдомеров, предпочтительно связывающихся с системой комплемента, в модели пассивного нефрита Хеймана

[000317] Заболевание индуцировали у крыс на 0-й день путем инъекции антисыворотки Fx1a (каталожный номер PTX-002S, Probetex). G998 вводили на 0-й день в дозе 60 мг/кг за два часа до инъекции антисыворотки (0-й день дозирования) или в 1-й день через один день после инъекции антисыворотки (1-й день дозирования), дозирование продолжали 2 р./неделю в течение 3-х недель. Контрольные мыши получали только носитель для антисыворотки Fx1a. Мочу собирали перед дозированием и на 1, 2 и 3 неделе после инъекции антисыворотки, и оценивали протеинурию.

[000318] Результаты исследования представлены на Фигуре 41. К 21-му дню обе группы G998 показали значительное снижение протеинурии по сравнению с контрольными животными (р = 0,0220 для 0-го дня в группе G998 и р = 0,0145 для 1-го дня в группе G998).

ПРИМЕР 7 - Уровни лекарственных препаратов и функциональный период полувыведения соединений страдомеров, предпочтительно связывающихся с системой комплемента, у крыс

[000319] Исследование проводили для оценки периода полувыведения страдомеров, предпочтительно связывающихся с системой комплемента, G994, G998 и G1033 у крыс после введения однократной дозы. Функциональный период полувыведения измеряли путем оценки активности системы комплемента в образцах крови, взятых в различных временных точках. Образцы крови также измеряли для оценки уровней целевого лекарственного препарата, фактора системы комплемента C1q, а также оценки связанной с C1q фракции лекарственного препарата.

[000320] Крысы линии Sprague-Dawley (4 животных на группу) получали внутривенно однократную дозу 60 мг/кг соединения G994, G998 или G1033. Образцы крови (1,2-1,4 мл) собирали от каждого животного путем ретро-орбитального забора крови в предварительно охлажденные пробирки с гепарином до начала дозирования и через 1, 4 и 8 часов после введения испытываемого соединения. Образцы крови также собирали на 1, 2, 4, 7 и 10 день.

[000321] Уровни лекарственных препаратов измеряли в образцах плазмы крови с помощью ИФА. В количественном исследовании методом ИФА область Fc IgG1 в соединениях G994, G998, G1033 реагировала с антителом к Fc IgG человека (каталожный номер MA1-83240, Thermo), которое было адсорбировано на поверхности планшета. После удаления несвязанных белков образца путем промывания, вносили биотинилированное антитело к IgG1 человека (каталожный номер 555869, BD), конъюгированное со стрептавидином-ПХ (каталожный номер 7100-05, Southern Biotech). ПХ-конъюгированное антитело образует комплекс с предварительно связанным IgG1. Комплекс количественно исследовали путем добавления хромогенного субстрата (ТМВ, каталожный номер 555214, BD). Количество G994, G998 и G1033 в образцах сыворотки крови интерполировали из стандартной кривой, полученной для этого же соединения, смешанного в сыворотке обезьяны, и корректировали на разбавление образца.

[000322] Активность системы комплемента измеряли в образцах плазмы крови крыс с использованием набора для количественного исследования комплемент-зависимого лизиса клеток в условиях in vitro. В общих чертах, CD-20-экспрессирующие клетки Will2 повторно инкубировали при 37 °C с моноклональным антителом к CD20 в течение 20 мин в культуральных средах, после чего клетки осаждали и ресуспендировали в свежих средах. Клетки повторно распределяли в 96-луночные планшеты, и затем к суспензии клеток добавляли плазму крови крыс из различных временных точек, и планшеты инкубировали при 37 °C в течение 3 ч. Реагент для количественного исследования CytoTox (Promega) вносили в каждую лунку, и планшеты инкубировали в темноте в течение 15 мин при комнатной температуре. Люминесценцию регистрировали на люминометре Promega GloMax, и рассчитывали процент гибели клеток. Активность системы комплемента измеряли при различных концентрациях плазмы в количественном исследовании, и значения для 2% и 4% плазмы использовали для анализа.

[000323] Процент активности системы комплемента в каждом образце рассчитывали относительно активности системы комплемента в образцах перед введением дозы после вычитания значений для контрольного образца, не содержащего антитела.

[000324] Результаты исследования представлены на Фигурах 42-45. На Фигуре 42 представлены данные для периода полувыведения G994, G998 и G1033. G994 имел значительно более длительный период полувыведения, чем два других соединения, испытанных в этом же эксперименте. Соединение G994 устраняло активность комплемента в крови крыс в течение длительного периода времени. Активности системы комплемента после введения дозы G994 оставалась низкой до 96 часов (4 дня) и составляла приблизительно 50% от нормальных уровней на 10 день. Соединения G998 и G1033 имели несколько более короткий период полувыведения у крыс. Через 2 дня после введения соединения G998 активность системы комплемента составляла приблизительно 50% от активности перед введением дозы. Для соединения G1033 функциональный период полувыведения составлял от 2 до 4 дней.

[000325] На Фигуре 43 представлены данные по активности системы комплемента в крови крыс после введения однократной дозы G994, G998 или G1033. Активность системы комплемента выражена как процент гибели клеток, согласно результатам измерения при 2% или 4% концентрации плазмы в количественном исследовании. На Фигурах 44А и 44B представлена корреляция между уровнями лекарственного препарата и активностью комплемента для каждого из соединений страдомеров, предпочтительно связывающихся с системой комплемента, G994, G998 и G1033. На Фигуре 44A представлены все точки данных, собранные в исследовании, и на Фигуре 44B представлены точки данных для низких концентраций лекарственного препарата (0-250 мкг/мл для G994 и G998, и 0-150 мкг/мл для G1033). Уровни лекарственных препаратов, необходимые для устранения активности системы комплемента в крови крыс, оценивали на основании измеренных отрезков на оси абсцисс. Для G994 значение отрезка на оси абсцисс составляет 164 и 170 мкг/мл для 2% и 4% сыворотки. Значения R2 для корреляции составляют 0,696 и 0,558. Для G998 значение отрезка на оси абсцисс составляет 158 и 193 мкг/мл при значении R2 0,519 и 0,560 для 2% и 4% сыворотки. Для G1033 значение отрезка на оси абсцисс составляет 88 и 109 мкг/мл при значении R2 0,612 и 0,648.

[000326] На основании расчетных значений отрезков на оси абсцисс установлено, что для устранения активности системы комплемента необходимо приблизительно 100-200 мкг/мл соединения G994 и G998. Для соединения G1033 приблизительное количество, необходимое для устранения активности системы комплемента, составляет 100 мкг/мл.

ПРИМЕР 8 - Фармакокинетическое исследование у яванских макак

[000327] Период полувыведения G994, G998 или G1033 у яванских макак исследовали после введения однократной дозы соединений страдомеров, предпочтительно связывающихся с системой комплемента.

[000328] Яванским макакам (3 животных на группу) подкожно вводили однократную дозу 28 мг/кг соединения G994 G998 или G1033. Образцы крови (приблизительно 3 мл) собирали в пробирки для отделения сыворотки у каждого животного перед введением дозы и через 1, 2, 4, 12, 24, 48, 72, 144, 216, и 312 часов после введения дозы. Уровни лекарственного препарата измеряли в образцах сыворотки крови с помощью ИФА. В данном количественном исследовании с помощью ИФА Fc IgG1 в соединениях G994, G998, G1033 реагирует с антителом к Fc IgG человека (каталожный номер MA1-83240, Thermo), которое было адсорбировано на поверхность планшетов. После удаления несвязанных белков образца путем промывки, добавляли биотинилированное антитело к IgG1 человека (каталожный номер 555869, BD), конъюгированное со стрептавидином-ПХ (ПХ, каталожный номер 7100-05, Southern Biotech). ПХ-конъюгированное антитело образует комплекс с ранее связанным IgG1. Комплекс количественно исследовали путем добавления хромогенного субстрата (TMB, каталожный номер 555214, BD). Количество G994, G998 и G1033 в образцах сыворотки крови интерполировали из стандартных кривых, полученных для этого же соединения, смешанного в сыворотке обезьян, и корректировали на разбавление образца.

[000329] Активность системы комплемента измеряли в образцах сыворотки крови яванских макак с использованием количественного исследования комплемент-зависимой гибели клеток в условиях in vitro. В общих чертах, CD-20-экспрессирующие клетки Will2 инкубировали при 37 °C с моноклональным антителом к CD-20 в течение 20 мин в культуральных средах, после чего клетки осаждали и ресуспендировали в свежих средах. Клетки распределяли в 96-луночные планшеты, затем образцы сыворотки крови, собранные в различные моменты времени, добавляли к суспензии клеток, и планшеты инкубировали при 37 °C в течение 3 ч. Реагент для количественного исследования CytoTox (Promega) вносили в каждую лунку, и планшеты инкубировали в темноте в течение 15 мин при комнатной температуре. Люминесценцию регистрировали на люминометре Promega GloMax, и рассчитывали процент гибели клеток. Активность системы комплемента измеряли при различных концентрациях плазмы в количественном исследовании, и значения для 2% и 4% плазмы использовали для анализа.

[000330] Процент активности системы комплемента в образце рассчитывали по сравнению с активностью системы комплемента в образцах перед введением дозы после вычитания значения для контрольного образца, не содержащего антитела.

[000331] Результаты исследования представлены на Фигурах 45-47. На Фигуре 45 представлен уровень лекарственного препарата для каждого из испытанных страдомеров, предпочтительно связывающихся с системой комплемента, после введения однократной дозы соединения. G994 достиг значительно более низких пиковых концентраций, однако имел значительно более длительный период полувыведения, чем соединения G998 и G1033. На Фигуре 46 представлены результаты оценки активности системы комплемента (% гибели клеток) в зависимости от времени после введения однократной дозы G994 (левая панель), G998 (средняя панель) или G1033 (правая панель). Фигуры 47А и 47В показывают корреляцию между уровнем лекарственного препарата и активностью системы комплемента для каждого из испытываемых соединений в исследовании. На Фигуре 47A представлены все точки данных, собранные в эксперименте, и на Фигуре 47B показана первая часть кривой с более низкими концентрациями лекарственного препарата.

[000332] Также проводили исследования, направленные на определение уровней C4a, C3a и C5a, что свидетельствует об активации системы комплемента после введения однократной дозы соединений G994, G998 и G1033. Концентрации каждого из C4a, C3a и C5a будут определены из образцов сыворотки крови, собранных, как описано выше, с использованием коммерчески доступного набора для ИФА. Результаты этих исследований покажут снижение активации системы комплемента в зависимости от времени после однократного введения G994, G998 или G1033, согласно результатам определения по уменьшению концентрации С4а, С3а и/или С5а.

[000333] Анализ остаточной активности системы комплемента после введения однократный дозы соединения с предпочтительным связыванием с системой комплемента свидетельствует о том, что соединение G994 устраняет активность комплемента в крови яванских макак в течение длительного периода времени. Активность системы комплемента после введения дозы G994 оставалась на низком уровне до 312 часов (13 дней). Соединения G998 и G1033 имели несколько более короткий период полувыведения у яванских макак. Для соединения G998 приблизительно 50% от уровня активности системы комплемента перед введением дозы сохранялось на 6 день. Для соединения G1033 функциональный период полувыведения, по-видимому, составлял от 9 до 13 дней. Для всех соединений активность комплемента сохранялась в крови в течение приблизительно 4 часов. Не желая быть связанными соответствием какой-либо теории, авторы настоящего изобретения полагают, что этот результат может быть обусловлен относительно медленным поглощением соединений после подкожного дозирования.

[000334] Анализ корреляции между уровнями лекарственного препарата и активностью системы комплемента (Фигура 47B) использовали для оценки уровней лекарственных препаратов, необходимых для устранения активности системы комплемента в крови яванских макак. На основании расчетных значений отрезка на оси абсцисс установлено, что для устранения активности системы комплемента необходимо приблизительно 150 мкг/мл соединения G994. Для соединения G998 и G1033 приблизительное значение составляет 300-400 мкг/мл.

[000335] Уровни C1q измеряли в образцах сыворотки крови от яванских макак, получавших G994, G998 или G1033, как описано выше. Количественные измерения проводили с помощью ИФА, специфичного для C1q. Образцы сыворотки крови также исследовали с помощью совместной иммунопреципитации, чтобы определить фракцию C1q, который связан с соединениями. Для того чтобы определить фракцию C1q, связанного с лекарственным препаратом, C1q-ИФА проводили с использованием захватывающего антитела к C1q с последующим связыванием детектирующего антитела к части IgG1 человека лекарственных препаратов с предпочтительным связыванием с системой комплемента. Это позволяет захватить и количественно оценить комплекс лекарственного препарата с C1q. Далее проводится исследование супернатанта из ИФА, упомянутого выше, в ИФА-C1q с использованием антитела к C1q в качестве захватывающего и детектирующего антитела для количественного определения несвязанного C1q в образцах.

ПРИМЕР 9 - Связывание страдомеров, предпочтительно связывающихся с системой комплемента, G994, G996 и G1033 с компонентами С3, C3b, С4 и С5

[000336] Дополнительные исследования проводили для оценки связывания страдомеров, предпочтительно связывающихся с системой комплемента, с компонентами С3, С4, C3b и C5. Девяноста шести луночные планшеты покрывали компонентом системы комплемента (каталожный номер A401, Quidel, 1 мкг/мл для С3; каталожный номер GWB-8BA994, Genway Biotech, 1 мкг/мл для C3b; каталожный номер A402, Quidel, 1 мкг/мл для C4, и A403, Quidel, 1 мкг/мл для C5) в 100 мкл ФСБ на лунку в течение ночи при 4 °C с последующей трехкратной промывкой (300 мкл 1× ФСБ, 0,1% твин-20). Планшеты блокировали в блокирующем буфере (1× ФСБ + 2% БСА + 0,05% твин-20) 2 ч при комнатной температуре с последующей трехкратной промывкой (300 мкл 1× ФСБ, 0,1% твин-20). Соединение подвергали взаимодействию с компонентом системы комплемента в течение 2 ч при комнатной температуре в диапазоне концентраций от 100 мкг/мл и в разведении в соотношении 1:1 в блокирующем буфере с последующей трехкратной промывкой (300 мкл 1× ФСБ, 0,1% твин-20). Связанное соединение детектировали с использованием биотинилированного мышиного антитела к IgG1 человека (каталожный номер 555869, BD) + стрептавидин-ПХ (каталожный номер 7100-05, Southern Biotech), разбавленный в соотношении 1:5000 в 100 мкл блокирующего буфера, в течение 1 часа при комнатной температуре. Развитие окрашивания проявляли с использованием реагента TMB в течение 20 мин при комнатной температуре, реакцию останавливали путем добавления 50 мкл 1 М H2SO4, и поглощение регистрировали при 450/650 нм.

[000337] Результаты исследования представлены на Фигуре 49. Все страдомеры, предпочтительно связывающиеся с системой комплемента, G994, G998 и G1033 связывались с каждым из факторов системы комплемента С3, C3b, С4 и С5. Помимо этого G1033 проявлял значительно более активное связывание с указанными факторами системы комплемента в прямом анализе связывания, по сравнению с GL-2045 или другими страдомерами с предпочтительным связыванием с системой комплемента, G994 и G998.

ПРИМЕР 10. Индукция выработки цитокинов страдомерами, предпочтительно связывающимися с системой комплемента, G994, G996 и G1033

[000338] Дополнительные исследования проводили для оценки индукции цитокинов под действием G994 и G1033 из выделенных мононуклеарных клеток периферической крови (МКПК). По 100 мл крови человека собирали в пробирки для сбора крови, покрытые гепарином. Аликвоты образцов крови объемом 10 мл переносили в 50 мл конические пробирки и разбавляли 10 мл ФСБ с последующим осторожным перемешиванием. По 20 мл образца разбавленной крови наносили на 15 мл Ficoll-Paque PLUS в 50 мл конических пробирках и центрифугировали при 400 g в течение 30-40 мин при температуре 18-20 °С. После центрифугирования верхний слой удаляли с помощью пипетки Пастера, оставляя интактный лимфоцитарный слой на границе раздела. Лимфоцитарный слой переносили в чистую 50 мл коническую пробирку и добавляли 30 мл ФСБ. Разбавленный лимфоцитарный слой центрифугировали при 60-100g в течение 10 мин при температуре 18-20 °C. После центрифугирования супернатант удаляли, и клетки промывали в 30 мл ФСБ и снова центрифугировали. Клеточный осадок ресуспендировали в 1-2 мл среды RPMI с добавлением 10% фетальной бычьей сыворотки (ФБС). Клетки подсчитывали, распределяли на аликвоты в пробирки по 5×106 клеток/пробирку и инкубировали с исследуемым материалом (G019, G994 или G1033) в течение 4 или 24 ч. Уровни цитокинов через 4 и 20 ч определяли с помощью коммерческих наборов для ИФА.

[000339] Результаты данного исследования представлены на Фигуре 55А и 55В. Ни G1033, ни G994 не индуцировали выработку провоспалительного цитокина, ФНО-α (Фигура 55B). Аналогичным образом, ни одно из указанных двух соединений не индуцировало выработку противовоспалительного цитокина ИЛ-1Rα (Фигура 55A). Полученный результат, вероятно, объясняется неспособностью G1033 и G994 связываться с каноническими FcγR, поскольку G019 (который связывается с каноническими рецепторами, но не с комплементом) индуцировал оба цитокина.

ПРИМЕР 11 - Использование страдомеров, предпочтительно связывающихся с системой комплемента, для лечения установленного артрита

[000340] Исследование коллаген-индуцированного артрита (КИА) проводили с целью определения эффективности G994, G998 и G1033 в ингибировании отека, который развивается при установленном артрите, индуцированном коллагеном типа II, у самок крыс линии Lewis. Крысам вводили внутрикожно/подкожно (в/к или п/к) свиной коллаген типа II, чтобы индуцировать артрит. Затем крысам вводили внутривенно (в/в) на 11, 13 и 14 день фосфатно-солевой буферный раствор (контроль ФСБ), G994 (40 мг/крысу), G998 (40 мг/крысу) или G1033 (40 мг/крысу). В качестве положительного контроля на 11-16 день ежедневно (QD) перорально вводили эталонное соединение дексаметазон (Декс, 0,075 мг/кг). Исследование проводили с маской схемы лечения, которая была снята после завершения исследования. Оценка эффективности была основана на измерениях лодыжки штангенциркулем (Фигура 57).

[000341] Результаты указанных исследований свидетельствуют о том, что соединения страдомеров, предпочтительно связывающихся с системой комплемента, G994, G998 и G1033, уменьшают воспаление в модели КИА у крыс линии Lewis.

ПРИМЕР 12 - Страдомеры, полученные из G994 или G998

[000342] Дополнительные страдомеры были получены с использованием последовательности G994 в качестве основной последовательности, чтобы оценить функцию мутаций в конкретных остатках, а также идентифицировать и проверить дополнительные страдомеры, предпочтительно связывающиеся с системой комплемента. G994 (SEQ ID NO: 10 или 11) представляет собой страдомер на основе G045c, содержащий точечные мутации в положениях 233, 236, 267, 268 и 324. В частности, G994 содержит следующие мутации: E223P, G236R, S267E, H268F и S324T.

[000343] Для исследования функции мутаций в положении 236 создавали страдомеры, в которых аминокислота дикого типа (серин) присутствовала в положении 267, положение 236 было мутировано с заменой аргинином (как в G994) или остатком, сходным с аргинином, также присутствовали остальные мутации G994 (E233P, H268F и S324T). Созданные соединения представлены ниже в таблице 5:

Таблица 5. Страдомеры, предпочтительно связывающиеся с системой комплемента, содержащие остов G994 и дополнительные мутации в положении 236

Страдомер SEQ ID NO Мутированные аминокислоты 1103 65 E233P, G236E, 267S, H268F, S324T 1088 28 E233P, G236Q, 267S, H268F, S324T 1089 29 E233P, G236R, 267S, H268F, S324T 1104 66 E233P, G236D, 267S, H268F, S324T 1082 30 E233P, G236H, 267S, H268F, S324T 1105 31 E233P, G236N, 267S, H268F, S324T 1106 32 E233P, G236K, 267S, H268F, S324T

[000344] Неожиданным фактом явилось то, что мутация в положении 236 с заменой на аргинин или аминокислоту, сходную с аргинином, изменяла связывание с каноническими рецепторами и связывание с системой комплемента по сравнению с G994. Мутация в положении 236 с заменой на глутаминовую кислоту или аспарагиновую кислоту (G1103 и 1104, соответственно) приводила к высоким уровням связывания с каноническими рецепторами FcγR, сохранению высокого уровня связывания с C1q и ингибированию CDC. Следовательно, соединения G1103 и G1104 можно рассматривать как универсальные страдомеры с повышенным каноническим связыванием и связыванием с C1q, по сравнению с исходным страдомером (G045c). Напротив, мутация в положении 236 с заменой на глутамин, гистидин или аспарагин (G1088, 1082 и 1105, соответственно) приводила к снижению канонического связывания, сохраняя при этом высокий уровень связывания с C1q и ингибирование CDC. Соединения 1088, 1082 и 1105, следовательно, можно рассматривать как страдомеры, предпочтительно связывающиеся с системой комплемента, с аналогичной терапевтической применимостью, как и G994, G998 и G1033. Мутация в положении 236 с заменой на лизин (G1106) устраняла связывание с C1q и каноническое связывание, за исключением FcγRI, и привела к неспособности ингибировать CDC.

[000345] Для исследования функции мутаций в положении 267 создавали страдомеры, в которых аминокислота дикого типа (глицин) присутствовала в положении 236, положение 236 были мутировано с заменой на глутаминовую кислоту (как в G994) или остаток, аналогичный глутаминовой кислоте, также присутствовали остальные мутации G994 (E233P, H268F и S324T). Созданные соединения представлены ниже в таблице 6.

Таблица 6. Страдомеры, предпочтительно связывающиеся с системой комплемента, содержащие остов G994 и дополнительные мутации в положении 267

Страдомер SEQ ID NO Мутированные аминокислоты 1102 67 E233P 236G, S267Q, H268F, S324T 1100 33 E233P 236G, S267R, H268F, S324T 1101 68 E233P 236G, S267D, H268F, S324T 1125 69 E233P 236G, S267H, H268F, S324T 1108 34 E233P 236G, S267N, H268F, S324T 1109 70 E233P 236G, S267E, H268F, S324T 1084 35 E233P 236G, S267K, H268F, S324T

[000346] Мутация в положении 267 с заменой на аспарагин (G1108) привела к снижению канонического связывания, сохраняя при этом высокую степень связывания с C1q и ингибирование CDC. Поэтому G1108 можно рассматривать как страдомер, предпочтительно связывающийся с системой комплемента, с аналогичной терапевтической применимостью, как и G994, G998 и G1033. Однако мутация в положении 267 с заменой на глутамин, аспарагиновую кислоту, гистидин или глутаминовую кислоту (G1102, 1101, 1125 и 1109, соответственно) приводила к повышению канонического связывания, сохраняя при этом высокую степень связывания с C1q и ингибирование CDC. Следовательно, G1102 1101, 1125 и 1109 можно рассматривать как универсальные страдомеры с повышенным связыванием с C1q, по сравнению с исходным страдомером. В другом варианте, мутация в положении 267 с заменой на аргинин или лизин (1100 и 1084, соответственно) приводила к снижению как канонического связывания, так и снижению связывания с C1q, и неспособности ингибировать CDC.

[000347] Для исследования функции комбинации мутаций в положениях 236 и 267 создавали страдомеры, в которых положение 236 было мутировано с заменой на аргинин (как в G994) или аминокислоту, структурно сходную с аргинином, и положение 267 было мутировано с заменой на глутаминовую кислоту (как в G994) или аминокислоту, структурно сходную с глутаминовой кислотой, также присутствовали остальные мутации G994 (E233P, H268F и S324T). Созданные соединения представлены ниже в таблице 7.

Таблица 7. Страдомеры, предпочтительно связывающиеся с системой комплемента, содержащие остов G994 и дополнительные мутации в положениях 236 и 267

Страдомер SEQ ID NO Мутированные аминокислоты G1110 36 E233P, G236D, S267R, H268F, S324T G1111 71 E233P, G236D, S267Q, H268F, S324T G1112 37 E233P, G236R, S267R, H268F, S324T G1113 38 E233P, G236R, S267D, H268F, S324T G1114 72 E233P, G236Q, S267D, H268F, S324T G1115 39 E233P, G236E, S267R, H268F, S324T G1116 40 E233P, G236H, S267K, H268F, S324T G1117 73 E233P, G236D, S267D, H268F, S324T G1118 41 E233P, G236Q, S267Q, H268F, S324T G1119 42 E233P, G236R, S267K, H268F, S324T G1120 43 E233P, G236R, S267Q, H268F, S324T G1121 44 E233P, G236D, S267K, H268F, S324T G1122 45 E233P, G236H, S267Q, H268F S324T G1123 46 E233P, G236Q, S267R, H268F, S324T G1124 47 E233P, G236K, S267K, H268F, S324T G1128 48 E233P, G236K, S267N, H268F, S324T G1129 49 E233P, G236N, S267E, H268F, S324T G1130 50 E233P, G236N, S267K, H268F, S324T G1131 51 E233P, G236R, S267N, H268F, S324T

[000348] Неожиданным фактом явилось то, что одновременные мутации в обоих положениях 236 и 267 оказывали различное действие по сравнению с мутациями в любом положении независимо друг от друга. Комбинация G263N/S267E, применительно к E233P/H268F/S324T (G1129), привела к снижению связывания с FcγRIIIa и сохранению или улучшению связывания с FcγRI, FcγRIIa и FcγRIIb. Следовательно, G1129 можно рассматривать как страдомер, предпочтительно связывающийся с системой комплемента. Комбинация G236D/S267Q, G236Q/S267D и точечные мутации G236D/S267D (G1111, G1114 и G1117, соответственно) привели к увеличению канонического связывания, по сравнению с исходным страдомером или G994, а также привели к поддержанию высокой степени связывания с C1q и ингибированию CDC. Следовательно, G1111, G1114 и G1117 можно рассматривать как универсальные страдомеры с потенциальной возможностью усиления терапевтической эффективности по сравнению с исходным страдомером G045c. В другом варианте, все комбинации G236D/S267R, G236R/S267R, G236E/S267R, G236H/S267K, G236R/S267K, G236R/S267Q, G236D/S267K, G236H/S267Q, G236Q/S267R, G236N/S267K или G236R/S267N (G1110, G1112, G1115, G1116, G1119, G1120, G1121, G1122, G1123, G1130 и G1131, соответственно) привели к уменьшению канонического связывания и уменьшению связывания с C1q, а также уменьшению ингибирования CDC. В некоторых случаях, таких как комбинация G236K/S267K и G236K/S267N (G1124 и G1128, соответственно), точечные мутации усиливали связывание с каноническими рецепторами и уменьшали связывание с C1q.

[000349] Дополнительные страдомеры также получали с использованием последовательности G998 в качестве основной последовательности и мутации в положении 299 (T299A), чтобы оценить функцию мутаций в конкретных остатках, применительно к указанному страдомеру. G998 (SEQ ID NO: 14 или 15) представляет собой страдомер, содержащий остов G045c и точечные мутации в положениях 267, 268, 297 и 324. В частности, G998 содержит следующие мутации: S267E, H268F, N297A и S324T. Консенсусный сайт гликозилирования представляет собой NXT, в котором N представляет остаток 297. Остаток в положении 297 ковалентно соединяет остатки сахаров. Мутация T299A дополнительных страдомеров, описанных в настоящем документе, была предназначена для получения агликозилированного белка; мутация аминокислоты в положении 299 предназначена для устранения консенсусного сайта гликозилирования так, что белок не будет гликозилирован, но будет содержать интактный остаток 297. Соответственно, соединения, представленные в таблице 8 ниже (в которых аминокислоту в положении 267 заменяли глутаминовой кислотой (как в G998) или аминокислотной последовательностью, аналогичной глутаминовой кислоте, или остаток не подвергали мутированию и он представлял собой остаток серина дикого типа; аминокислоты в положении 268 и 324 мутировали, как в G998; аминокислота в положении 297 не подвергалась мутированию, и мутация с заменой треонина аланином была добавлена в положении 299), были созданы и испытаны.

Таблица 8. Страдомеры, содержащие остов G998, мутацию в положении 299 и дополнительные мутации в положении 267

Страдомер SEQ ID NO Мутированные аминокислоты 1071d2 52 267S, H268F, S324T, T299A 1068 74 S267E, H268F, S324T, T299A 1094 75 S267Q, H268F, S324T, T299A 1092 76 S267D, H268F, S324T, T299A 1096 53 S267R, H268F, S324T, T299A 1107 77 S267H, H268F, S324T, T299A 1093 54 S267K, H268F, S324T, T299A 1095 55 S267N, H268F, S324T, T299A

[000350] Неожиданным фактом явилось то, что включение мутации T299A, которая должна привести к устранению канонического связывания, затронуло только связывание с FcγR, что было характерно для мутации S267R (G1096) или S267K (G1093). В обоих соединениях, G1096 и G1093, связывание с C1q также была снижено, и ни одно из соединений не обладало способностью ингибировать CDC, вероятно, вследствие отсутствия связывания с C1q. Другие соединения, содержащие мутации T299A (1071d2, G1068, G1094, G1092 и G1107), проявляли усиленное связывание с FcγR и C1q. Следовательно, G1068, G1094, G1092 и G1107 можно рассматривать как универсальные страдомеры с потенциальной возможностью усиления терапевтической эффективности по сравнению с исходным страдомером G045c. Неожиданным фактом явилось то, что сильное связывание с C1q не обязательно коррелирует с ингибированием CDC, поскольку 1712d2 не мог ингибировать CDC. G1095 содержит мутации T299A и S267N, комбинация которых привела к незначительно сниженному связыванию с каноническими рецепторами, сохраняя при этом связывание с C1q и ингибирование CDC. Поэтому G1095 можно рассматривать как страдомер, предпочтительно связывающийся с системой комплемента, с аналогичной терапевтической применимостью, как и G994, G998 и G1033.

[000351] Дополнительные страдомеры на основе G998 создавали и испытывали, чтобы дополнительно оценить функцию мутаций 267, применительно к указанным страдомерам. Указанные мутированные варианты содержат мутации в положениях 268, 324 и 297, как в G998, и содержат остаток серина дикого типа или аминокислотную замену в положении 267, как показано в таблице 9 ниже. Указанные страдомеры не содержат мутацию в положении 299.

Таблица 9. Страдомеры, содержащие остов G998, мутацию в положении 299 и дополнительные мутации в положении 267

Страдомер SEQ ID NO Мутированные аминокислоты 1069 56 S267S, H268F, S324T, N297A 1070 57 S267K, H268F, S324T, N297A 1132 58 S267R, H268F, S324T, N297A 1074 59 S267D, H268F, S324T, N297A 1075 60 S267Q, H268F, S324T, N297A

[000352] Как и ожидалось, страдомеры в таблице 9 проявляли сниженное связывание с каноническими рецепторами, вследствие мутации N297A, приводящей к агликозилированию. Неожиданным фактом явилось то, что остаток серина дикого типа в положении 267 (G1069), S267D или точечные мутации S267Q (G1074 и G1075, соответственно) также приводили к усилению связывания с C1q и снижению канонического связывания. Следовательно, G1069, G1074 и G1075 можно рассматривать как страдомеры, предпочтительно связывающиеся с системой комплемента, с аналогичной терапевтической применимостью, как и G994, G998 и G1033. Мутации S267K (G1070) и S267R (1132) привели к снижению не только связывания с FcγR, но также снижению связывания с C1q и неспособности ингибировать CDC.

[000353] Соединения, полученные из G994 и G998, разделяли на геле, чтобы оценить мультимеризацию. По 3 мкг каждого образца разделяли при 150 В в течение приблизительно 1,2 ч. Вносили 20 мМ иодацетамида, и затем образцы инкубировали в течение 10 мин перед нанесением на гель. Результаты представлены на Фигурах 48A-G и свидетельствуют о том, что, аналогично G994 и G998, соединения G1103, G1088, G1089, G1104, G1082, G1105, G1106, G1102, G1100, G1101, G1125, G1108, G1109, G1084, G1107, G1110, G1111, G1112, G1114, G1115, G1116, G1117, G1118, G1119, G1120, G1121, G1122, G1123, G1124, G1128, G1129, G1130, G1131, G1071d2, G1068, G1094, G1092, G1096, G1093, G1095, G1069, G1070, G1132, G1075 и G1075 образуют мультимеры.

[000354] Для каждого страдомера в таблицах 5-9 уровень связывания с каноническим рецептором FcγR, связывания с компонентом системы комплемента C1q и степень ингибирования CDC определяли в соответствии со способами, описанными в примере 1. Полученные результаты обобщены в таблицы 10.

Таблица 10. Обобщенные данные по активности страдомеров, полученных из G994 или G998

Связывание с FcγRI Связывание с FcγRIIa Связывание с FcγRIIb Связывание с FcγRIIIa Связывание с C1q Ингибирование CDC (ЭК50, мкг/мл) G1103 *** *** *** *** Высокое 5 G1088 *** ** * ** Высокое 5 G1089 ** - * - Низкое 100 G1104 *** *** *** *** Высокое 5 G1082 *** ** - *** Высокое 5 G1105 *** ** ** ** Высокое 5 G1106 *** - - - Низкое 100 G1102 *** *** *** *** Высокое 7,5 G1100 *** - - *** Низкое НИ G1101 *** *** *** *** Высокое 5 G1125 *** ** ** ** Высокое 5 G1108 *** * * *** Высокое 5 G1109 *** *** *** *** Высокое НД G1084 *** - - * Низкое НИ G1110 *** - - - Низкое 25 G1111 *** *** *** *** Высокое 5 G1112 * - - - Низкое НИ G1113 НД НД НД НД НД НД G1114 *** *** *** *** Высокое 5 G1115 *** - - *** Низкое 50 G1116 ** - - - Низкое НИ G1117 *** *** *** *** Высокое 5 G1118 *** ** ** ** Низкое 10 G1119 * - - - Низкое НИ G1120 ** - - - Низкое 100 G1121 ** - - - Низкое 100 G1122 *** *** ** ** Низкое 5 G1123 ** - - * Низкое НИ G1124 *** *** *** *** Низкое 10 G1128 *** *** *** *** Низкое 10 G1129 *** *** *** * Высокое 5 G1130 *** *** *** - Низкое 10 G1131 *** - - *** Низкое 15 G1071d2 *** *** *** *** Высокое НИ G1068 *** *** *** * Высокое 10 G1094 *** *** *** *** Высокое 12,5 G1092 *** *** *** *** Высокое 10 G1096 ** - - ** Низкое НИ G1107 *** *** *** ** Высокое 12,5 G1093 *** - - - Низкое НИ G1095 *** ** ** ** Высокое 15 G1069 *** - - * Высокое 10 G1070 *** - - - Низкое НИ G1132 *** - - - Низкое НИ G1074 *** ** ** * Высокое 10 G1075 *** - - - Высокое 15

НИ= Нет ингибирования

НД = Нет данных

ПРИМЕР 13 - Страдомеры со сниженным связыванием с C1q и каноническими рецепторами FcγR

[000355] Были созданы дополнительные соединения, содержащие тройную мутацию S267E/H268F/S324T, чтобы получить дополнительные страдомеры, предпочтительно связывающиеся с системой комплемента.

[000356] G1001 (SEQ ID NO: 78) создан на основе остова G019 и содержит четыре мутации (S267E/H268F/S324T/N297A). Неожиданным фактом явилось то, что, применительно к исходному соединению G019, устранение гликозилирования путем введения мутации N297A в G1003, чтобы получить G1001, неожиданно связанно с потерей связывания с C1q в дополнение к ожидаемой потере канонического связывания, даже в присутствии тройной мутации S267E/H268F/S324T (Moore et. al.). Полученный неожиданный результат не наблюдали для исходного соединения G045c, когда устранение гликозилирования путем введения мутации N297A в G997, чтобы получить G998, связанно с ожидаемой потерей канонического связывания, при этом сохраняется полное связывание с C1q и ингибирование CDC. В этой связи, несмотря на то, что G998 и G1001 содержат аналогичные домены с одинаковыми мутациями и отличаются только положением шарнирной области IgG2, они проявляют по существу аналогичное связывание с каноническим рецептором Fc, но значительно различающееся связывание с C1q и ингибирование CDC. Эти сравнения еще больше подчеркивают непредсказуемость данного набора мутаций применительно к мультимеризующемуся страдомеру.

[000357] G999 (SEQ ID NO: 79) представляет собой страдомер на основе G019, содержащий четыре точечные мутации (G236R, S267E, H268F и S324T), который проявляет сниженное связывание с C1q и неспособность ингибировать CDC. Полученный результат является неожиданным, поскольку, как описано выше, G999 отличается от G996 только местом расположения шарнирной области IgG2 относительно области Fc. Однако указанные два соединения проявляют противоположные способности в отношении связывания C1q и ингибирования CDC (G999 не способен ни к связыванию, ни к ингибированию, в то время как G996 проявляет высокую степень связывания с C1q и ингибирует CDC). Это сравнение еще раз подчеркивает непредсказуемость данного набора мутаций применительно к мультимеризующемуся страдомеру.

[000358] G1024 (SEQ ID NO: 80) представляет собой страдомер на основе G019, содержащий 4 точечные мутации (P238D, S267E, H268F, S324T).

[000359] G1030 (SEQ ID NO: 81) представляет собой страдомер на основе GL-2045, содержащий 7 точечных мутаций и делецию в 236 (E233P, L234V, L235A, G236Del, N297A, S267E, H268F, S324T).

[000360] G1031 (SEQ ID NO: 82) представляет собой страдомер на основе GL-2045, содержащий 6 точечных мутаций (E233P, G236R, D265A, S267E, H268F, S324T, N297A).

[000361] G1040 (SEQ ID NO: 83) представляет собой страдомер на основе GL-2045, содержащий 8 точечных мутаций и делецию в положении 236 (E233P, L234V, L235A, G236Del, S267E, H268F, S324T, L328F, N297A).

[000362] G1044 (SEQ ID NO: 84) представляет собой страдомер на основе GL-2045, содержащий 5 точечных мутаций (P238D, D265C, S267E, H268F, S324T).

[000363] G1045 (SEQ ID NO: 85) представляет собой страдомер на основе GL-2045, содержащий 5 точечных мутаций (P238D, D265P, S267E, H268F, S324T).

[000364] G1048 (SEQ ID NO: 86) представляет собой страдомер на основе G019, содержащий 5 точечных мутаций (G236R, L328F, S267E, H268F, S324T).

[000365] G1047 (SEQ ID NO: 87) представляет собой страдомер на основе GL-2045, содержащий 5 точечных мутаций (P238D, L328F, S267E, H268F, S324T).

Таблица 11. Страдомеры с уменьшенным связыванием с C1q и каноническими рецепторами FcγR

Страдомер SEQ ID NO Мутированные аминокислоты G1001 78 S267E, H268F, S324T, N297A G999 79 G236R, S267E, H268F, S324T G1024 80 P238D, S267E, H268F, S324T G1030 81 E233P, L234V, L235A, G236Del, N297A, S267E, H268F, S324T G1031 82 E233P, G236R, S267E, H268F, S324T, N297A G1040 83 E233P, L234V, L235A, G236Del, S267E, H268F, S324T, L328F, N297A G1044 84 P238D, D265C, S267E, H268F, S324T G1045 85 P238D, D265P, S267E, H268F, S324T G1048 86 G236R, L328F, S267E, H268F, S324T G1047 87 P238D, L328F, S267E, H268F, S324T

[000366] Неожиданным фактом явилось то, что, несмотря на присутствие тройной мутации S267E/H268F/S324T, страдомеры, перечисленные в таблице 11, не связывались с C1q и не ингибировали CDC, что, таким образом, дополнительно подчеркивает непредсказуемость данного набора точечных мутаций применительно к мультимеризующемуся страдомеру. Результаты эксперимента, в котором определяли связывание с FcγR и FcRn, связывание с C1q и ингибирование CDC, представлены в таблице 12.

Таблица 12. Обобщенные данные по активности страдомеров с уменьшенным связыванием с C1q и каноническими рецепторами FcγR

Связывание с FcγRI Связывание с FcγRIIa Связывание с FcγRIIb Связывание с FcγRIIIa Связывание с FcRn (pH=7,4) Связывание с C1q* Ингибирование CDC G1001 *** ** - - *** НД (*) G999 *** - ** - *** НД - G1024 *** *** *** - *** - - G1030 - - - - *** - - G1031 - - - - ** - - G1040 *** *** *** - *** НД - G1044 *** (*) - - *** НД - G1045 *** - - - *** - - G1048 *** *** *** *** *** НД - G1047 *** *** *** * *** НД -

ПРИМЕР 14 - Использование страдомеров, предпочтительно связывающихся с системой комплемента, для лечения серповидно-клеточной анемии

[000367] Страдомеры, предпочтительно связывающиеся с системой комплемента, G994, G998, G1033, G1022, G1032, G1023, G1006, G1027 и G996 оценивали в мышиной модели серповидно-клеточной анемии, подробно описанной в Turhan et all (2004) Blood 103:2397 и Chang et al (2008) Blood 111:915. В общих чертах, самцов мышей линии SCD, в возрасте 12-16 недель (мыши Townes SS, гомозиготные по Hbatm1(HBA)Tow и гомозиготные по Hbbtm2(HBG1,HBB*)Tow (генотип M21)) рандомизировано распределяли в группы и вводили (внутривенно) физиологический раствор, IVIG (400 мг/кг), hIgG1 (400 мг/кг), альбумин (400 мг/кг) или страдомер (G045c, G994, G998 G1003 и G1033, 60 мг/кг) за 20 мин до хирургической подготовки. Адгезиия и качение нейтрофилов, а также агрегаты тромбоцитов и нейтрофилов исследовали в кремастерных венулах. Плазму крови собирали после терминального сбора крови для исследования маркеров, включая sE-селектин, sP-селектин, sVCAM-1 и sICAM-1.

[000368] Результаты исследования демонстрируют, что G994, G998, G1033, G1022, G1032, G1023, G1006, G1027 и G996 значительно уменьшают SSRBC-WBC взаимодействия/WBC/мин, значительно увеличивают поток качения на WBC/мин или фракционный процент, и значительно улучшают кумулятивное выживание для обработанной группы по сравнению с контролем. Следовательно, страдомеры, предпочтительно связывающиеся с системой комплемента, эффективно излечивают серповидно-клеточную анемию.

--->

СПИСОК ПОСЛЕДОВАТЕЛЬНОСТЕЙ

<110> Гликник Инк.

Блок, Дэвид С.

Олсен, Хенрик

<120> ГИБРИДНЫЕ БЕЛКИ ФРАГМЕНТОВ БЕЛКОВ ЧЕЛОВЕКА ДЛЯ

СОЗДАНИЯ УПОРЯДОЧЕНО МУЛЬТИМЕРИЗОВАННЫХ КОМПОЗИЦИЙ

ОБЛАСТЕЙ FC ИММУНОГЛОБУЛИНОВ С УСИЛЕННЫМ

СВЯЗЫВАНИЕМ С СИСТЕМОЙ КОМПЛЕМЕНТА

<130> GLIK-015/01WO 310975-2150

<150> US 62/196,478

<151> 2015-07-24

<160> 87

<170> PatentIn версия 3.5

<210> 1

<211> 20

<212> Белок

<213> Искусственная последовательность

<220>

<223> Лидерная последовательность

<400> 1

Met Glu Thr Asp Thr Leu Leu Leu Trp Val Leu Leu Leu Trp Val Pro

1 5 10 15

Gly Ser Thr Gly

20

<210> 2

<211> 232

<212> Белок

<213> Homo sapiens

<400> 2

Glu Pro Lys Ser Cys Asp Lys Thr His Thr Cys Pro Pro Cys Pro Ala

1 5 10 15

Pro Glu Leu Leu Gly Gly Pro Ser Val Phe Leu Phe Pro Pro Lys Pro

20 25 30

Lys Asp Thr Leu Met Ile Ser Arg Thr Pro Glu Val Thr Cys Val Val

35 40 45

Val Asp Val Ser His Glu Asp Pro Glu Val Lys Phe Asn Trp Tyr Val

50 55 60

Asp Gly Val Glu Val His Asn Ala Lys Thr Lys Pro Arg Glu Glu Gln

65 70 75 80

Tyr Asn Ser Thr Tyr Arg Val Val Ser Val Leu Thr Val Leu His Gln

85 90 95

Asp Trp Leu Asn Gly Lys Glu Tyr Lys Cys Lys Val Ser Asn Lys Ala

100 105 110

Leu Pro Ala Pro Ile Glu Lys Thr Ile Ser Lys Ala Lys Gly Gln Pro

115 120 125

Arg Glu Pro Gln Val Tyr Thr Leu Pro Pro Ser Arg Glu Glu Met Thr

130 135 140

Lys Asn Gln Val Ser Leu Thr Cys Leu Val Lys Gly Phe Tyr Pro Ser

145 150 155 160

Asp Ile Ala Val Glu Trp Glu Ser Asn Gly Gln Pro Glu Asn Asn Tyr

165 170 175

Lys Thr Thr Pro Pro Val Leu Asp Ser Asp Gly Ser Phe Phe Leu Tyr

180 185 190

Ser Lys Leu Thr Val Asp Lys Ser Arg Trp Gln Gln Gly Asn Val Phe

195 200 205

Ser Cys Ser Val Met His Glu Ala Leu His Asn His Tyr Thr Gln Lys

210 215 220

Ser Leu Ser Leu Ser Pro Gly Lys

225 230

<210> 3

<211> 232

<212> Белок

<213> Homo sapiens

<400> 3

Glu Pro Lys Ser Cys Asp Lys Thr His Thr Cys Pro Pro Cys Pro Ala

1 5 10 15

Pro Glu Leu Leu Gly Gly Pro Ser Val Phe Leu Phe Pro Pro Lys Pro

20 25 30

Lys Asp Thr Leu Met Ile Ser Arg Thr Pro Glu Val Thr Cys Val Val

35 40 45

Val Asp Val Ser His Glu Asp Pro Glu Val Lys Phe Asn Trp Tyr Val

50 55 60

Asp Gly Val Glu Val His Asn Ala Lys Thr Lys Pro Arg Glu Glu Gln

65 70 75 80

Tyr Asn Ser Thr Tyr Arg Val Val Ser Val Leu Thr Val Leu His Gln

85 90 95

Asp Trp Leu Asn Gly Lys Glu Tyr Lys Cys Lys Val Ser Asn Lys Ala

100 105 110

Leu Pro Ala Pro Ile Glu Lys Thr Ile Ser Lys Ala Lys Gly Gln Pro

115 120 125

Arg Glu Pro Gln Val Tyr Thr Leu Pro Pro Ser Arg Asp Glu Leu Thr

130 135 140

Lys Asn Gln Val Ser Leu Thr Cys Leu Val Lys Gly Phe Tyr Pro Ser

145 150 155 160

Asp Ile Ala Val Glu Trp Glu Ser Asn Gly Gln Pro Glu Asn Asn Tyr

165 170 175

Lys Thr Thr Pro Pro Val Leu Asp Ser Asp Gly Ser Phe Phe Leu Tyr

180 185 190

Ser Lys Leu Thr Val Asp Lys Ser Arg Trp Gln Gln Gly Asn Val Phe

195 200 205

Ser Cys Ser Val Met His Glu Ala Leu His Asn His Tyr Thr Gln Lys

210 215 220

Ser Leu Ser Leu Ser Pro Gly Lys

225 230

<210> 4

<211> 12

<212> Белок

<213> Homo sapiens

<400> 4

Glu Arg Lys Cys Cys Val Glu Cys Pro Pro Cys Pro

1 5 10

<210> 5

<211> 41

<212> Белок

<213> Homo sapiens

<400> 5

Gly Gly Gly Ser Ile Lys Gln Ile Glu Asp Lys Ile Glu Glu Ile Leu

1 5 10 15

Ser Lys Ile Tyr His Ile Glu Asn Glu Ile Ala Arg Ile Lys Lys Leu

20 25 30

Ile Gly Glu Arg Gly His Gly Gly Gly

35 40

<210> 6

<211> 16

<212> Белок

<213> Искусственная последовательность

<220>

<223> Домен мультимеризации GPP

<400> 6

Gly Pro Pro Gly Pro Pro Gly Pro Pro Gly Pro Pro Gly Pro Pro Gly

1 5 10 15

<210> 7

<211> 264

<212> Белок

<213> Homo sapiens

<400> 7

Met Glu Thr Asp Thr Leu Leu Leu Trp Val Leu Leu Leu Trp Val Pro

1 5 10 15

Gly Ser Thr Gly Glu Pro Lys Ser Cys Asp Lys Thr His Thr Cys Pro

20 25 30

Pro Cys Pro Ala Pro Glu Leu Leu Gly Gly Pro Ser Val Phe Leu Phe

35 40 45

Pro Pro Lys Pro Lys Asp Thr Leu Met Ile Ser Arg Thr Pro Glu Val

50 55 60

Thr Cys Val Val Val Asp Val Ser His Glu Asp Pro Glu Val Lys Phe

65 70 75 80

Asn Trp Tyr Val Asp Gly Val Glu Val His Asn Ala Lys Thr Lys Pro

85 90 95

Arg Glu Glu Gln Tyr Asn Ser Thr Tyr Arg Val Val Ser Val Leu Thr

100 105 110

Val Leu His Gln Asp Trp Leu Asn Gly Lys Glu Tyr Lys Cys Lys Val

115 120 125

Ser Asn Lys Ala Leu Pro Ala Pro Ile Glu Lys Thr Ile Ser Lys Ala

130 135 140

Lys Gly Gln Pro Arg Glu Pro Gln Val Tyr Thr Leu Pro Pro Ser Arg

145 150 155 160

Glu Glu Met Thr Lys Asn Gln Val Ser Leu Thr Cys Leu Val Lys Gly

165 170 175

Phe Tyr Pro Ser Asp Ile Ala Val Glu Trp Glu Ser Asn Gly Gln Pro

180 185 190

Glu Asn Asn Tyr Lys Thr Thr Pro Pro Val Leu Asp Ser Asp Gly Ser

195 200 205

Phe Phe Leu Tyr Ser Lys Leu Thr Val Asp Lys Ser Arg Trp Gln Gln

210 215 220

Gly Asn Val Phe Ser Cys Ser Val Met His Glu Ala Leu His Asn His

225 230 235 240

Tyr Thr Gln Lys Ser Leu Ser Leu Ser Pro Gly Lys Glu Arg Lys Cys

245 250 255

Cys Val Glu Cys Pro Pro Cys Pro

260

<210> 8

<211> 264

<212> Белок

<213> Homo sapiens

<400> 8

Met Glu Thr Asp Thr Leu Leu Leu Trp Val Leu Leu Leu Trp Val Pro

1 5 10 15

Gly Ser Thr Gly Glu Pro Lys Ser Cys Asp Lys Thr His Thr Cys Pro

20 25 30

Pro Cys Pro Ala Pro Glu Leu Leu Gly Gly Pro Ser Val Phe Leu Phe

35 40 45

Pro Pro Lys Pro Lys Asp Thr Leu Met Ile Ser Arg Thr Pro Glu Val

50 55 60

Thr Cys Val Val Val Asp Val Ser His Glu Asp Pro Glu Val Lys Phe

65 70 75 80

Asn Trp Tyr Val Asp Gly Val Glu Val His Asn Ala Lys Thr Lys Pro

85 90 95

Arg Glu Glu Gln Tyr Asn Ser Thr Tyr Arg Val Val Ser Val Leu Thr

100 105 110

Val Leu His Gln Asp Trp Leu Asn Gly Lys Glu Tyr Lys Cys Lys Val

115 120 125

Ser Asn Lys Ala Leu Pro Ala Pro Ile Glu Lys Thr Ile Ser Lys Ala

130 135 140

Lys Gly Gln Pro Arg Glu Pro Gln Val Tyr Thr Leu Pro Pro Ser Arg

145 150 155 160

Asp Glu Leu Thr Lys Asn Gln Val Ser Leu Thr Cys Leu Val Lys Gly

165 170 175

Phe Tyr Pro Ser Asp Ile Ala Val Glu Trp Glu Ser Asn Gly Gln Pro

180 185 190

Glu Asn Asn Tyr Lys Thr Thr Pro Pro Val Leu Asp Ser Asp Gly Ser

195 200 205

Phe Phe Leu Tyr Ser Lys Leu Thr Val Asp Lys Ser Arg Trp Gln Gln

210 215 220

Gly Asn Val Phe Ser Cys Ser Val Met His Glu Ala Leu His Asn His

225 230 235 240

Tyr Thr Gln Lys Ser Leu Ser Leu Ser Pro Gly Lys Glu Arg Lys Cys

245 250 255

Cys Val Glu Cys Pro Pro Cys Pro

260

<210> 9

<211> 263

<212> Белок

<213> Homo sapiens

<400> 9

Met Glu Thr Asp Thr Leu Leu Leu Trp Val Leu Leu Leu Val Pro Gly

1 5 10 15

Ser Thr Gly Glu Arg Lys Cys Cys Val Glu Cys Pro Pro Cys Pro Glu

20 25 30

Pro Lys Ser Cys Asp Lys Thr His Thr Cys Pro Pro Cys Pro Ala Pro

35 40 45

Glu Leu Leu Gly Gly Pro Ser Val Phe Leu Phe Pro Pro Lys Pro Lys

50 55 60

Asp Thr Leu Met Ile Ser Arg Thr Pro Glu Val Thr Cys Val Val Val

65 70 75 80

Asp Val Ser His Glu Asp Pro Glu Val Lys Phe Asn Trp Tyr Val Asp

85 90 95

Gly Val Glu Val His Asn Ala Lys Thr Lys Pro Arg Glu Glu Gln Tyr

100 105 110

Asn Ser Thr Tyr Arg Val Val Ser Val Leu Thr Val Leu His Gln Asp

115 120 125

Trp Leu Asn Gly Lys Glu Tyr Lys Cys Lys Val Ser Asn Lys Ala Leu

130 135 140

Pro Ala Pro Ile Glu Lys Thr Ile Ser Lys Ala Lys Gly Gln Pro Arg

145 150 155 160

Glu Pro Gln Val Tyr Thr Leu Pro Pro Ser Arg Glu Glu Met Thr Lys

165 170 175

Asn Gln Val Ser Leu Thr Cys Leu Val Lys Gly Phe Tyr Pro Ser Asp

180 185 190

Ile Ala Val Glu Trp Glu Ser Asn Gly Gln Pro Glu Asn Asn Tyr Lys

195 200 205

Thr Thr Pro Pro Val Leu Asp Ser Asp Gly Ser Phe Phe Leu Tyr Ser

210 215 220

Lys Leu Thr Val Asp Lys Ser Arg Trp Gln Gln Gly Asn Val Phe Ser

225 230 235 240

Cys Ser Val Met His Glu Ala Leu His Asn His Tyr Thr Gln Lys Ser

245 250 255

Leu Ser Leu Ser Pro Gly Lys

260

<210> 10

<211> 264

<212> Белок

<213> Homo sapiens

<400> 10

Met Glu Thr Asp Thr Leu Leu Leu Trp Val Leu Leu Leu Trp Val Pro

1 5 10 15

Gly Ser Thr Gly Glu Pro Lys Ser Cys Asp Lys Thr His Thr Cys Pro

20 25 30

Pro Cys Pro Ala Pro Pro Leu Leu Arg Gly Pro Ser Val Phe Leu Phe

35 40 45

Pro Pro Lys Pro Lys Asp Thr Leu Met Ile Ser Arg Thr Pro Glu Val

50 55 60

Thr Cys Val Val Val Asp Val Glu Phe Glu Asp Pro Glu Val Lys Phe

65 70 75 80

Asn Trp Tyr Val Asp Gly Val Glu Val His Asn Ala Lys Thr Lys Pro

85 90 95

Arg Glu Glu Gln Tyr Asn Ser Thr Tyr Arg Val Val Ser Val Leu Thr

100 105 110

Val Leu His Gln Asp Trp Leu Asn Gly Lys Glu Tyr Lys Cys Lys Val

115 120 125

Thr Asn Lys Ala Leu Pro Ala Pro Ile Glu Lys Thr Ile Ser Lys Ala

130 135 140

Lys Gly Gln Pro Arg Glu Pro Gln Val Tyr Thr Leu Pro Pro Ser Arg

145 150 155 160

Asp Glu Leu Thr Lys Asn Gln Val Ser Leu Thr Cys Leu Val Lys Gly

165 170 175

Phe Tyr Pro Ser Asp Ile Ala Val Glu Trp Glu Ser Asn Gly Gln Pro

180 185 190

Glu Asn Asn Tyr Lys Thr Thr Pro Pro Val Leu Asp Ser Asp Gly Ser

195 200 205

Phe Phe Leu Tyr Ser Lys Leu Thr Val Asp Lys Ser Arg Trp Gln Gln

210 215 220

Gly Asn Val Phe Ser Cys Ser Val Met His Glu Ala Leu His Asn His

225 230 235 240

Tyr Thr Gln Lys Ser Leu Ser Leu Ser Pro Gly Lys Glu Arg Lys Cys

245 250 255

Cys Val Glu Cys Pro Pro Cys Pro

260

<210> 11

<211> 264

<212> Белок

<213> Homo sapiens

<400> 11

Met Glu Thr Asp Thr Leu Leu Leu Trp Val Leu Leu Leu Trp Val Pro

1 5 10 15

Gly Ser Thr Gly Glu Pro Lys Ser Cys Asp Lys Thr His Thr Cys Pro

20 25 30

Pro Cys Pro Ala Pro Pro Leu Leu Arg Gly Pro Ser Val Phe Leu Phe

35 40 45

Pro Pro Lys Pro Lys Asp Thr Leu Met Ile Ser Arg Thr Pro Glu Val

50 55 60

Thr Cys Val Val Val Asp Val Glu Phe Glu Asp Pro Glu Val Lys Phe

65 70 75 80

Asn Trp Tyr Val Asp Gly Val Glu Val His Asn Ala Lys Thr Lys Pro

85 90 95

Arg Glu Glu Gln Tyr Asn Ser Thr Tyr Arg Val Val Ser Val Leu Thr

100 105 110

Val Leu His Gln Asp Trp Leu Asn Gly Lys Glu Tyr Lys Cys Lys Val

115 120 125

Thr Asn Lys Ala Leu Pro Ala Pro Ile Glu Lys Thr Ile Ser Lys Ala

130 135 140

Lys Gly Gln Pro Arg Glu Pro Gln Val Tyr Thr Leu Pro Pro Ser Arg

145 150 155 160

Glu Glu Met Thr Lys Asn Gln Val Ser Leu Thr Cys Leu Val Lys Gly

165 170 175

Phe Tyr Pro Ser Asp Ile Ala Val Glu Trp Glu Ser Asn Gly Gln Pro

180 185 190

Glu Asn Asn Tyr Lys Thr Thr Pro Pro Val Leu Asp Ser Asp Gly Ser

195 200 205

Phe Phe Leu Tyr Ser Lys Leu Thr Val Asp Lys Ser Arg Trp Gln Gln

210 215 220

Gly Asn Val Phe Ser Cys Ser Val Met His Glu Ala Leu His Asn His

225 230 235 240

Tyr Thr Gln Lys Ser Leu Ser Leu Ser Pro Gly Lys Glu Arg Lys Cys

245 250 255

Cys Val Glu Cys Pro Pro Cys Pro

260

<210> 12

<211> 264

<212> Белок

<213> Homo sapiens

<400> 12

Met Glu Thr Asp Thr Leu Leu Leu Trp Val Leu Leu Leu Trp Val Pro

1 5 10 15

Gly Ser Thr Gly Glu Pro Lys Ser Cys Asp Lys Thr His Thr Cys Pro

20 25 30

Pro Cys Pro Ala Pro Glu Leu Leu Arg Gly Pro Ser Val Phe Leu Phe

35 40 45

Pro Pro Lys Pro Lys Asp Thr Leu Met Ile Ser Arg Thr Pro Glu Val

50 55 60

Thr Cys Val Val Val Asp Val Glu Phe Glu Asp Pro Glu Val Lys Phe

65 70 75 80

Asn Trp Tyr Val Asp Gly Val Glu Val His Asn Ala Lys Thr Lys Pro

85 90 95

Arg Glu Glu Gln Tyr Asn Ser Thr Tyr Arg Val Val Ser Val Leu Thr

100 105 110

Val Leu His Gln Asp Trp Leu Asn Gly Lys Glu Tyr Lys Cys Lys Val

115 120 125

Thr Asn Lys Ala Leu Pro Ala Pro Ile Glu Lys Thr Ile Ser Lys Ala

130 135 140

Lys Gly Gln Pro Arg Glu Pro Gln Val Tyr Thr Leu Pro Pro Ser Arg

145 150 155 160

Asp Glu Leu Thr Lys Asn Gln Val Ser Leu Thr Cys Leu Val Lys Gly

165 170 175

Phe Tyr Pro Ser Asp Ile Ala Val Glu Trp Glu Ser Asn Gly Gln Pro

180 185 190

Glu Asn Asn Tyr Lys Thr Thr Pro Pro Val Leu Asp Ser Asp Gly Ser

195 200 205

Phe Phe Leu Tyr Ser Lys Leu Thr Val Asp Lys Ser Arg Trp Gln Gln

210 215 220

Gly Asn Val Phe Ser Cys Ser Val Met His Glu Ala Leu His Asn His

225 230 235 240

Tyr Thr Gln Lys Ser Leu Ser Leu Ser Pro Gly Lys Glu Arg Lys Cys

245 250 255

Cys Val Glu Cys Pro Pro Cys Pro

260

<210> 13

<211> 264

<212> Белок

<213> Homo sapiens

<400> 13

Met Glu Thr Asp Thr Leu Leu Leu Trp Val Leu Leu Leu Trp Val Pro

1 5 10 15

Gly Ser Thr Gly Glu Pro Lys Ser Cys Asp Lys Thr His Thr Cys Pro

20 25 30

Pro Cys Pro Ala Pro Glu Leu Leu Gly Gly Pro Ser Val Phe Leu Phe

35 40 45

Pro Pro Lys Pro Lys Asp Thr Leu Met Ile Ser Arg Thr Pro Glu Val

50 55 60

Thr Cys Val Val Val Asp Val Glu Phe Glu Asp Pro Glu Val Lys Phe

65 70 75 80

Asn Trp Tyr Val Asp Gly Val Glu Val His Asn Ala Lys Thr Lys Pro

85 90 95

Arg Glu Glu Gln Tyr Asn Ser Thr Tyr Arg Val Val Ser Val Leu Thr

100 105 110

Val Leu His Gln Asp Trp Leu Asn Gly Lys Glu Tyr Lys Cys Lys Val

115 120 125

Thr Asn Lys Ala Leu Pro Ala Pro Ile Glu Lys Thr Ile Ser Lys Ala

130 135 140

Lys Gly Gln Pro Arg Glu Pro Gln Val Tyr Thr Leu Pro Pro Ser Arg

145 150 155 160

Asp Glu Leu Thr Lys Asn Gln Val Ser Leu Thr Cys Leu Val Lys Gly

165 170 175

Phe Tyr Pro Ser Asp Ile Ala Val Glu Trp Glu Ser Asn Gly Gln Pro

180 185 190

Glu Asn Asn Tyr Lys Thr Thr Pro Pro Val Leu Asp Ser Asp Gly Ser

195 200 205

Phe Phe Leu Tyr Ser Lys Leu Thr Val Asp Lys Ser Arg Trp Gln Gln

210 215 220

Gly Asn Val Phe Ser Cys Ser Val Met His Glu Ala Leu His Asn His

225 230 235 240

Tyr Thr Gln Lys Ser Leu Ser Leu Ser Pro Gly Lys Glu Arg Lys Cys

245 250 255

Cys Val Glu Cys Pro Pro Cys Pro

260

<210> 14

<211> 264

<212> Белок

<213> Homo sapiens

<400> 14

Met Glu Thr Asp Thr Leu Leu Leu Trp Val Leu Leu Leu Trp Val Pro

1 5 10 15

Gly Ser Thr Gly Glu Pro Lys Ser Cys Asp Lys Thr His Thr Cys Pro

20 25 30

Pro Cys Pro Ala Pro Glu Leu Leu Gly Gly Pro Ser Val Phe Leu Phe

35 40 45

Pro Pro Lys Pro Lys Asp Thr Leu Met Ile Ser Arg Thr Pro Glu Val

50 55 60

Thr Cys Val Val Val Asp Val Glu Phe Glu Asp Pro Glu Val Lys Phe

65 70 75 80

Asn Trp Tyr Val Asp Gly Val Glu Val His Asn Ala Lys Thr Lys Pro

85 90 95

Arg Glu Glu Gln Tyr Ala Ser Thr Tyr Arg Val Val Ser Val Leu Thr

100 105 110

Val Leu His Gln Asp Trp Leu Asn Gly Lys Glu Tyr Lys Cys Lys Val

115 120 125

Thr Asn Lys Ala Leu Pro Ala Pro Ile Glu Lys Thr Ile Ser Lys Ala

130 135 140

Lys Gly Gln Pro Arg Glu Pro Gln Val Tyr Thr Leu Pro Pro Ser Arg

145 150 155 160

Asp Glu Leu Thr Lys Asn Gln Val Ser Leu Thr Cys Leu Val Lys Gly

165 170 175

Phe Tyr Pro Ser Asp Ile Ala Val Glu Trp Glu Ser Asn Gly Gln Pro

180 185 190

Glu Asn Asn Tyr Lys Thr Thr Pro Pro Val Leu Asp Ser Asp Gly Ser

195 200 205

Phe Phe Leu Tyr Ser Lys Leu Thr Val Asp Lys Ser Arg Trp Gln Gln

210 215 220

Gly Asn Val Phe Ser Cys Ser Val Met His Glu Ala Leu His Asn His

225 230 235 240

Tyr Thr Gln Lys Ser Leu Ser Leu Ser Pro Gly Lys Glu Arg Lys Cys

245 250 255

Cys Val Glu Cys Pro Pro Cys Pro

260

<210> 15

<211> 264

<212> Белок

<213> Homo sapiens

<400> 15

Met Glu Thr Asp Thr Leu Leu Leu Trp Val Leu Leu Leu Trp Val Pro

1 5 10 15

Gly Ser Thr Gly Glu Pro Lys Ser Cys Asp Lys Thr His Thr Cys Pro

20 25 30

Pro Cys Pro Ala Pro Glu Leu Leu Gly Gly Pro Ser Val Phe Leu Phe

35 40 45

Pro Pro Lys Pro Lys Asp Thr Leu Met Ile Ser Arg Thr Pro Glu Val

50 55 60

Thr Cys Val Val Val Asp Val Glu Phe Glu Asp Pro Glu Val Lys Phe

65 70 75 80

Asn Trp Tyr Val Asp Gly Val Glu Val His Asn Ala Lys Thr Lys Pro

85 90 95

Arg Glu Glu Gln Tyr Ala Ser Thr Tyr Arg Val Val Ser Val Leu Thr

100 105 110

Val Leu His Gln Asp Trp Leu Asn Gly Lys Glu Tyr Lys Cys Lys Val

115 120 125

Thr Asn Lys Ala Leu Pro Ala Pro Ile Glu Lys Thr Ile Ser Lys Ala

130 135 140

Lys Gly Gln Pro Arg Glu Pro Gln Val Tyr Thr Leu Pro Pro Ser Arg

145 150 155 160

Glu Glu Met Thr Lys Asn Gln Val Ser Leu Thr Cys Leu Val Lys Gly

165 170 175

Phe Tyr Pro Ser Asp Ile Ala Val Glu Trp Glu Ser Asn Gly Gln Pro

180 185 190

Glu Asn Asn Tyr Lys Thr Thr Pro Pro Val Leu Asp Ser Asp Gly Ser

195 200 205

Phe Phe Leu Tyr Ser Lys Leu Thr Val Asp Lys Ser Arg Trp Gln Gln

210 215 220

Gly Asn Val Phe Ser Cys Ser Val Met His Glu Ala Leu His Asn His

225 230 235 240

Tyr Thr Gln Lys Ser Leu Ser Leu Ser Pro Gly Lys Glu Arg Lys Cys

245 250 255

Cys Val Glu Cys Pro Pro Cys Pro

260

<210> 16

<211> 264

<212> Белок

<213> Homo sapiens

<400> 16

Met Glu Thr Asp Thr Leu Leu Leu Trp Val Leu Leu Leu Trp Val Pro

1 5 10 15

Gly Ser Thr Gly Glu Pro Lys Ser Cys Asp Lys Thr His Thr Cys Pro

20 25 30

Pro Cys Pro Ala Pro Pro Leu Leu Arg Gly Pro Ser Val Phe Leu Phe

35 40 45

Pro Pro Lys Pro Lys Asp Thr Leu Met Ile Ser Arg Thr Pro Glu Val

50 55 60

Thr Cys Val Val Val Asp Val Ser His Glu Asp Pro Glu Val Lys Phe

65 70 75 80

Asn Trp Tyr Val Asp Gly Val Glu Val His Asn Ala Lys Thr Lys Pro

85 90 95

Arg Glu Glu Gln Tyr Asn Ser Thr Tyr Arg Val Val Ser Val Leu Thr

100 105 110

Val Leu His Gln Asp Trp Leu Asn Gly Lys Glu Tyr Lys Cys Lys Val

115 120 125

Ser Asn Lys Ala Leu Pro Ala Pro Ile Glu Lys Thr Ile Ser Lys Ala

130 135 140

Lys Gly Gln Pro Arg Glu Pro Gln Val Tyr Thr Leu Pro Pro Ser Arg

145 150 155 160

Asp Glu Leu Thr Lys Asn Gln Val Ser Leu Thr Cys Leu Val Lys Gly

165 170 175

Phe Tyr Pro Ser Asp Ile Ala Val Glu Trp Glu Ser Asn Gly Gln Pro

180 185 190

Glu Asn Asn Tyr Lys Thr Thr Pro Pro Val Leu Asp Ser Asp Gly Ser

195 200 205

Phe Phe Leu Tyr Ser Lys Leu Thr Val Asp Lys Ser Arg Trp Gln Gln

210 215 220

Gly Asn Val Phe Ser Cys Ser Val Met His Glu Ala Leu His Asn His

225 230 235 240

Tyr Thr Gln Lys Ser Leu Ser Leu Ser Pro Gly Lys Glu Arg Lys Cys

245 250 255

Cys Val Glu Cys Pro Pro Cys Pro

260

<210> 17

<211> 264

<212> Белок

<213> Homo sapiens

<400> 17

Met Glu Thr Asp Thr Leu Leu Leu Trp Val Leu Leu Leu Trp Val Pro

1 5 10 15

Gly Ser Thr Gly Glu Arg Lys Cys Cys Val Glu Cys Pro Pro Cys Pro

20 25 30

Glu Pro Lys Ser Cys Asp Lys Thr His Thr Cys Pro Pro Cys Pro Ala

35 40 45

Pro Glu Leu Leu Gly Gly Pro Ser Val Phe Leu Phe Pro Pro Lys Pro

50 55 60

Lys Asp Thr Leu Met Ile Ser Arg Thr Pro Glu Val Thr Cys Val Val

65 70 75 80

Val Asp Val Glu Phe Glu Asp Pro Glu Val Lys Phe Asn Trp Tyr Val

85 90 95

Asp Gly Val Glu Val His Asn Ala Lys Thr Lys Pro Arg Glu Glu Gln

100 105 110

Tyr Asn Ser Thr Tyr Arg Val Val Ser Val Leu Thr Val Leu His Gln

115 120 125

Asp Trp Leu Asn Gly Lys Glu Tyr Lys Cys Lys Val Thr Asn Lys Ala

130 135 140

Leu Pro Ala Pro Ile Glu Lys Thr Ile Ser Lys Ala Lys Gly Gln Pro

145 150 155 160

Arg Glu Pro Gln Val Tyr Thr Leu Pro Pro Ser Arg Glu Glu Met Thr

165 170 175

Lys Asn Gln Val Ser Leu Thr Cys Leu Val Lys Gly Phe Tyr Pro Ser

180 185 190

Asp Ile Ala Val Glu Trp Glu Ser Asn Gly Gln Pro Glu Asn Asn Tyr

195 200 205

Lys Thr Thr Pro Pro Val Leu Asp Ser Asp Gly Ser Phe Phe Leu Tyr

210 215 220

Ser Lys Leu Thr Val Asp Lys Ser Arg Trp Gln Gln Gly Asn Val Phe

225 230 235 240

Ser Cys Ser Val Met His Glu Ala Leu His Asn His Tyr Thr Gln Lys

245 250 255

Ser Leu Ser Leu Ser Pro Gly Lys

260

<210> 18

<211> 264

<212> Белок

<213> Homo sapiens

<400> 18

Met Glu Thr Asp Thr Leu Leu Leu Trp Val Leu Leu Leu Trp Val Pro

1 5 10 15

Gly Ser Thr Gly Glu Pro Lys Ser Cys Asp Lys Thr His Thr Cys Pro

20 25 30

Pro Cys Pro Ala Pro Glu Leu Leu Gly Gly Pro Ser Val Phe Leu Phe

35 40 45

Pro Pro Lys Pro Lys Asp Thr Leu Met Ile Ser Arg Thr Pro Glu Val

50 55 60

Thr Cys Val Val Val Ala Val Glu Phe Glu Asp Pro Glu Val Lys Phe

65 70 75 80

Asn Trp Tyr Val Asp Gly Val Glu Val His Asn Ala Lys Thr Lys Pro

85 90 95

Arg Glu Glu Gln Tyr Asn Ser Thr Tyr Arg Val Val Ser Val Leu Thr

100 105 110

Val Leu His Gln Asp Trp Leu Asn Gly Lys Glu Tyr Lys Cys Lys Val

115 120 125

Thr Asn Lys Ala Leu Pro Ala Pro Ile Glu Lys Thr Ile Ser Lys Ala

130 135 140

Lys Gly Gln Pro Arg Glu Pro Gln Val Tyr Thr Leu Pro Pro Ser Arg

145 150 155 160

Asp Glu Leu Thr Lys Asn Gln Val Ser Leu Thr Cys Leu Val Lys Gly

165 170 175

Phe Tyr Pro Ser Asp Ile Ala Val Glu Trp Glu Ser Asn Gly Gln Pro

180 185 190

Glu Asn Asn Tyr Lys Thr Thr Pro Pro Val Leu Asp Ser Asp Gly Ser

195 200 205

Phe Phe Leu Tyr Ser Lys Leu Thr Val Asp Lys Ser Arg Trp Gln Gln

210 215 220

Gly Asn Val Phe Ser Cys Ser Val Met His Glu Ala Leu His Asn His

225 230 235 240

Tyr Thr Gln Lys Ser Leu Ser Leu Ser Pro Gly Lys Glu Arg Lys Cys

245 250 255

Cys Val Glu Cys Pro Pro Cys Pro

260

<210> 19

<211> 264

<212> Белок

<213> Homo sapiens

<400> 19

Met Glu Thr Asp Thr Leu Leu Leu Trp Val Leu Leu Leu Trp Val Pro

1 5 10 15

Gly Ser Thr Gly Glu Pro Lys Ser Cys Asp Lys Thr His Thr Cys Pro

20 25 30

Pro Cys Pro Ala Pro Pro Val Ala Gly Gly Pro Ser Val Phe Leu Phe

35 40 45

Pro Pro Lys Pro Lys Asp Thr Leu Met Ile Ser Arg Thr Pro Glu Val

50 55 60

Thr Cys Val Val Val Asp Val Glu Phe Glu Asp Pro Glu Val Lys Phe

65 70 75 80

Asn Trp Tyr Val Asp Gly Val Glu Val His Asn Ala Lys Thr Lys Pro

85 90 95

Arg Glu Glu Gln Tyr Ala Ser Thr Tyr Arg Val Val Ser Val Leu Thr

100 105 110

Val Leu His Gln Asp Trp Leu Asn Gly Lys Glu Tyr Lys Cys Lys Val

115 120 125

Thr Asn Lys Ala Leu Pro Ala Pro Ile Glu Lys Thr Ile Ser Lys Ala

130 135 140

Lys Gly Gln Pro Arg Glu Pro Gln Val Tyr Thr Leu Pro Pro Ser Arg

145 150 155 160

Asp Glu Leu Thr Lys Asn Gln Val Ser Leu Thr Cys Leu Val Lys Gly

165 170 175

Phe Tyr Pro Ser Asp Ile Ala Val Glu Trp Glu Ser Asn Gly Gln Pro

180 185 190

Glu Asn Asn Tyr Lys Thr Thr Pro Pro Val Leu Asp Ser Asp Gly Ser

195 200 205

Phe Phe Leu Tyr Ser Lys Leu Thr Val Asp Lys Ser Arg Trp Gln Gln

210 215 220

Gly Asn Val Phe Ser Cys Ser Val Met His Glu Ala Leu His Asn His

225 230 235 240

Tyr Thr Gln Lys Ser Leu Ser Leu Ser Pro Gly Lys Glu Arg Lys Cys

245 250 255

Cys Val Glu Cys Pro Pro Cys Pro

260

<210> 20

<211> 264

<212> Белок

<213> Homo sapiens

<400> 20

Met Glu Thr Asp Thr Leu Leu Leu Trp Val Leu Leu Leu Trp Val Pro

1 5 10 15

Gly Ser Thr Gly Glu Pro Lys Ser Cys Asp Lys Thr His Thr Cys Pro

20 25 30

Pro Cys Pro Ala Pro Glu Leu Leu Gly Gly Asp Ser Val Phe Leu Phe

35 40 45

Pro Pro Lys Pro Lys Asp Thr Leu Met Ile Ser Arg Thr Pro Glu Val

50 55 60

Thr Cys Val Val Val Asp Val Glu Phe Glu Asp Pro Glu Val Lys Phe

65 70 75 80

Asn Trp Tyr Val Asp Gly Val Glu Val His Asn Ala Lys Thr Lys Pro

85 90 95

Arg Glu Glu Gln Tyr Ala Ser Thr Tyr Arg Val Val Ser Val Leu Thr

100 105 110

Val Leu His Gln Asp Trp Leu Asn Gly Lys Glu Tyr Lys Cys Lys Val

115 120 125

Thr Asn Lys Ala Leu Pro Ala Pro Ile Glu Lys Thr Ile Ser Lys Ala

130 135 140

Lys Gly Gln Pro Arg Glu Pro Gln Val Tyr Thr Leu Pro Pro Ser Arg

145 150 155 160

Asp Glu Leu Thr Lys Asn Gln Val Ser Leu Thr Cys Leu Val Lys Gly

165 170 175

Phe Tyr Pro Ser Asp Ile Ala Val Glu Trp Glu Ser Asn Gly Gln Pro

180 185 190

Glu Asn Asn Tyr Lys Thr Thr Pro Pro Val Leu Asp Ser Asp Gly Ser

195 200 205

Phe Phe Leu Tyr Ser Lys Leu Thr Val Asp Lys Ser Arg Trp Gln Gln

210 215 220

Gly Asn Val Phe Ser Cys Ser Val Met His Glu Ala Leu His Asn His

225 230 235 240

Tyr Thr Gln Lys Ser Leu Ser Leu Ser Pro Gly Lys Glu Arg Lys Cys

245 250 255

Cys Val Glu Cys Pro Pro Cys Pro

260

<210> 21

<211> 264

<212> Белок

<213> Homo sapiens

<400> 21

Met Glu Thr Asp Thr Leu Leu Leu Trp Val Leu Leu Leu Trp Val Pro

1 5 10 15

Gly Ser Thr Gly Glu Pro Lys Ser Cys Asp Lys Thr His Thr Cys Pro

20 25 30

Pro Cys Pro Ala Pro Glu Ala Ala Gly Gly Pro Ser Val Phe Leu Phe

35 40 45

Pro Pro Lys Pro Lys Asp Thr Leu Met Ile Ser Arg Thr Pro Glu Val

50 55 60

Thr Cys Val Val Val Asp Val Glu Phe Glu Asp Pro Glu Val Lys Phe

65 70 75 80

Asn Trp Tyr Val Asp Gly Val Glu Val His Asn Ala Lys Thr Lys Pro

85 90 95

Arg Glu Glu Gln Tyr Ala Ser Thr Tyr Arg Val Val Ser Val Leu Thr

100 105 110

Val Leu His Gln Asp Trp Leu Asn Gly Lys Glu Tyr Lys Cys Lys Val

115 120 125

Thr Asn Lys Ala Leu Pro Ala Pro Ile Glu Lys Thr Ile Ser Lys Ala

130 135 140

Lys Gly Gln Pro Arg Glu Pro Gln Val Tyr Thr Leu Pro Pro Ser Arg

145 150 155 160

Asp Glu Leu Thr Lys Asn Gln Val Ser Leu Thr Cys Leu Val Lys Gly

165 170 175

Phe Tyr Pro Ser Asp Ile Ala Val Glu Trp Glu Ser Asn Gly Gln Pro

180 185 190

Glu Asn Asn Tyr Lys Thr Thr Pro Pro Val Leu Asp Ser Asp Gly Ser

195 200 205

Phe Phe Leu Tyr Ser Lys Leu Thr Val Asp Lys Ser Arg Trp Gln Gln

210 215 220

Gly Asn Val Phe Ser Cys Ser Val Met His Glu Ala Leu His Asn His

225 230 235 240

Tyr Thr Gln Lys Ser Leu Ser Leu Ser Pro Gly Lys Glu Arg Lys Cys

245 250 255

Cys Val Glu Cys Pro Pro Cys Pro

260

<210> 22

<211> 264

<212> Белок

<213> Homo sapiens

<400> 22

Met Glu Thr Asp Thr Leu Leu Leu Trp Val Leu Leu Leu Trp Val Pro

1 5 10 15

Gly Ser Thr Gly Glu Pro Lys Ser Cys Asp Lys Thr His Thr Cys Pro

20 25 30

Pro Cys Pro Ala Pro Glu Ala Ala Gly Gly Pro Ser Val Phe Leu Phe

35 40 45

Pro Pro Lys Pro Lys Asp Thr Leu Met Ile Ser Arg Thr Pro Glu Val

50 55 60

Thr Cys Val Val Val Asp Val Glu Phe Glu Asp Pro Glu Val Lys Phe

65 70 75 80

Asn Trp Tyr Val Asp Gly Val Glu Val His Asn Ala Lys Thr Lys Pro

85 90 95

Arg Glu Glu Gln Tyr Ala Ser Thr Tyr Arg Val Val Ser Val Leu Thr

100 105 110

Val Leu His Gln Asp Trp Leu Asn Gly Lys Glu Tyr Lys Cys Lys Val

115 120 125

Thr Asn Lys Ala Leu Pro Ala Pro Ile Glu Lys Thr Ile Ser Lys Ala

130 135 140

Lys Gly Gln Pro Arg Glu Pro Gln Val Tyr Thr Leu Pro Pro Ser Arg

145 150 155 160

Glu Glu Met Thr Lys Asn Gln Val Ser Leu Thr Cys Leu Val Lys Gly

165 170 175

Phe Tyr Pro Ser Asp Ile Ala Val Glu Trp Glu Ser Asn Gly Gln Pro

180 185 190

Glu Asn Asn Tyr Lys Thr Thr Pro Pro Val Leu Asp Ser Asp Gly Ser

195 200 205

Phe Phe Leu Tyr Ser Lys Leu Thr Val Asp Lys Ser Arg Trp Gln Gln

210 215 220

Gly Asn Val Phe Ser Cys Ser Val Met His Glu Ala Leu His Asn His

225 230 235 240

Tyr Thr Gln Lys Ser Leu Ser Leu Ser Pro Gly Lys Glu Arg Lys Cys

245 250 255

Cys Val Glu Cys Pro Pro Cys Pro

260

<210> 23

<211> 264

<212> Белок

<213> Homo sapiens

<400> 23

Met Glu Thr Asp Thr Leu Leu Leu Trp Val Leu Leu Leu Trp Val Pro

1 5 10 15

Gly Ser Thr Gly Glu Pro Lys Ser Cys Asp Lys Thr His Thr Cys Pro

20 25 30

Pro Cys Pro Ala Pro Pro Leu Leu Arg Gly Pro Ser Val Phe Leu Phe

35 40 45

Pro Pro Lys Pro Lys Asp Thr Leu Met Ile Ser Arg Thr Pro Glu Val

50 55 60

Thr Cys Val Val Val Asp Val Glu Phe Glu Asp Pro Glu Val Lys Phe

65 70 75 80

Asn Trp Tyr Val Asp Gly Val Glu Val His Asn Ala Lys Thr Lys Pro

85 90 95

Arg Glu Glu Gln Tyr Asn Ser Thr Tyr Arg Val Val Ser Val Leu Thr

100 105 110

Val Leu His Gln Asp Trp Leu Asn Gly Lys Glu Tyr Lys Cys Lys Val

115 120 125

Thr Asn Lys Ala Phe Pro Ala Pro Ile Glu Lys Thr Ile Ser Lys Ala

130 135 140

Lys Gly Gln Pro Arg Glu Pro Gln Val Tyr Thr Leu Pro Pro Ser Arg

145 150 155 160

Asp Glu Leu Thr Lys Asn Gln Val Ser Leu Thr Cys Leu Val Lys Gly

165 170 175

Phe Tyr Pro Ser Asp Ile Ala Val Glu Trp Glu Ser Asn Gly Gln Pro

180 185 190

Glu Asn Asn Tyr Lys Thr Thr Pro Pro Val Leu Asp Ser Asp Gly Ser

195 200 205

Phe Phe Leu Tyr Ser Lys Leu Thr Val Asp Lys Ser Arg Trp Gln Gln

210 215 220

Gly Asn Val Phe Ser Cys Ser Val Met His Glu Ala Leu His Asn His

225 230 235 240

Tyr Thr Gln Lys Ser Leu Ser Leu Ser Pro Gly Lys Glu Arg Lys Cys

245 250 255

Cys Val Glu Cys Pro Pro Cys Pro

260

<210> 24

<211> 264

<212> Белок

<213> Homo sapiens

<400> 24

Met Glu Thr Asp Thr Leu Leu Leu Trp Val Leu Leu Leu Trp Val Pro

1 5 10 15

Gly Ser Thr Gly Glu Pro Lys Ser Cys Asp Lys Thr His Thr Cys Pro

20 25 30

Pro Cys Pro Ala Pro Glu Leu Leu Gly Gly Asp Ser Val Phe Leu Phe

35 40 45

Pro Pro Lys Pro Lys Asp Thr Leu Met Ile Ser Arg Thr Pro Glu Val

50 55 60

Thr Cys Val Val Val Gly Val Glu Phe Glu Asp Pro Glu Val Lys Phe

65 70 75 80

Asn Trp Tyr Val Asp Gly Val Glu Val His Asn Ala Lys Thr Lys Pro

85 90 95

Arg Glu Glu Gln Tyr Asn Ser Thr Tyr Arg Val Val Ser Val Leu Thr

100 105 110

Val Leu His Gln Asp Trp Leu Asn Gly Lys Glu Tyr Lys Cys Lys Val

115 120 125

Thr Asn Lys Ala Leu Pro Ala Pro Ile Glu Lys Thr Ile Ser Lys Ala

130 135 140

Lys Gly Gln Pro Arg Glu Pro Gln Val Tyr Thr Leu Pro Pro Ser Arg

145 150 155 160

Glu Glu Met Thr Lys Asn Gln Val Ser Leu Thr Cys Leu Val Lys Gly

165 170 175

Phe Tyr Pro Ser Asp Ile Ala Val Glu Trp Glu Ser Asn Gly Gln Pro

180 185 190

Glu Asn Asn Tyr Lys Thr Thr Pro Pro Val Leu Asp Ser Asp Gly Ser

195 200 205

Phe Phe Leu Tyr Ser Lys Leu Thr Val Asp Lys Ser Arg Trp Gln Gln

210 215 220

Gly Asn Val Phe Ser Cys Ser Val Met His Glu Ala Leu His Asn His

225 230 235 240

Tyr Thr Gln Lys Ser Leu Ser Leu Ser Pro Gly Lys Glu Arg Lys Cys

245 250 255

Cys Val Glu Cys Pro Pro Cys Pro

260

<210> 25

<211> 264

<212> Белок

<213> Homo sapiens

<400> 25

Met Glu Thr Asp Thr Leu Leu Leu Trp Val Leu Leu Leu Trp Val Pro

1 5 10 15

Gly Ser Thr Gly Glu Pro Lys Ser Cys Asp Lys Thr His Thr Cys Pro

20 25 30

Pro Cys Pro Ala Pro Glu Leu Leu Gly Gly Asp Ser Val Phe Leu Phe

35 40 45

Pro Pro Lys Pro Lys Asp Thr Leu Met Ile Ser Arg Thr Pro Glu Val

50 55 60

Thr Cys Val Val Val Trp Val Glu Phe Glu Asp Pro Glu Val Lys Phe

65 70 75 80

Asn Trp Tyr Val Asp Gly Val Glu Val His Asn Ala Lys Thr Lys Pro

85 90 95

Arg Glu Glu Gln Tyr Asn Ser Thr Tyr Arg Val Val Ser Val Leu Thr

100 105 110

Val Leu His Gln Asp Trp Leu Asn Gly Lys Glu Tyr Lys Cys Lys Val

115 120 125

Thr Asn Lys Ala Leu Pro Ala Pro Ile Glu Lys Thr Ile Ser Lys Ala

130 135 140

Lys Gly Gln Pro Arg Glu Pro Gln Val Tyr Thr Leu Pro Pro Ser Arg

145 150 155 160

Glu Glu Met Thr Lys Asn Gln Val Ser Leu Thr Cys Leu Val Lys Gly

165 170 175

Phe Tyr Pro Ser Asp Ile Ala Val Glu Trp Glu Ser Asn Gly Gln Pro

180 185 190

Glu Asn Asn Tyr Lys Thr Thr Pro Pro Val Leu Asp Ser Asp Gly Ser

195 200 205

Phe Phe Leu Tyr Ser Lys Leu Thr Val Asp Lys Ser Arg Trp Gln Gln

210 215 220

Gly Asn Val Phe Ser Cys Ser Val Met His Glu Ala Leu His Asn His

225 230 235 240

Tyr Thr Gln Lys Ser Leu Ser Leu Ser Pro Gly Lys Glu Arg Lys Cys

245 250 255

Cys Val Glu Cys Pro Pro Cys Pro

260

<210> 26

<211> 263

<212> Белок

<213> Homo sapiens

<400> 26

Met Glu Thr Asp Thr Leu Leu Leu Trp Val Leu Leu Leu Trp Val Pro

1 5 10 15

Gly Ser Thr Gly Glu Pro Lys Ser Cys Asp Lys Thr His Thr Cys Pro

20 25 30

Pro Cys Pro Ala Pro Pro Val Ala Gly Pro Ser Val Phe Leu Phe Pro

35 40 45

Pro Lys Pro Lys Asp Thr Leu Met Ile Ser Arg Thr Pro Glu Val Thr

50 55 60

Cys Val Val Val Asp Val Glu Phe Glu Asp Pro Glu Val Lys Phe Asn

65 70 75 80

Trp Tyr Val Asp Gly Val Glu Val His Asn Ala Lys Thr Lys Pro Arg

85 90 95

Glu Glu Gln Tyr Ala Ser Thr Tyr Arg Val Val Ser Val Leu Thr Val

100 105 110

Leu His Gln Asp Trp Leu Asn Gly Lys Glu Tyr Lys Cys Lys Val Thr

115 120 125

Asn Lys Ala Phe Pro Ala Pro Ile Glu Lys Thr Ile Ser Lys Ala Lys

130 135 140

Gly Gln Pro Arg Glu Pro Gln Val Tyr Thr Leu Pro Pro Ser Arg Asp

145 150 155 160

Glu Leu Thr Lys Asn Gln Val Ser Leu Thr Cys Leu Val Lys Gly Phe

165 170 175

Tyr Pro Ser Asp Ile Ala Val Glu Trp Glu Ser Asn Gly Gln Pro Glu

180 185 190

Asn Asn Tyr Lys Thr Thr Pro Pro Val Leu Asp Ser Asp Gly Ser Phe

195 200 205

Phe Leu Tyr Ser Lys Leu Thr Val Asp Lys Ser Arg Trp Gln Gln Gly

210 215 220

Asn Val Phe Ser Cys Ser Val Met His Glu Ala Leu His Asn His Tyr

225 230 235 240

Thr Gln Lys Ser Leu Ser Leu Ser Pro Gly Lys Glu Arg Lys Cys Cys

245 250 255

Val Glu Cys Pro Pro Cys Pro

260

<210> 27

<211> 264

<212> Белок

<213> Homo sapiens

<400> 27

Met Glu Thr Asp Thr Leu Leu Leu Trp Val Leu Leu Leu Trp Val Pro

1 5 10 15

Gly Ser Thr Gly Glu Pro Lys Ser Cys Asp Lys Thr His Thr Cys Pro

20 25 30

Pro Cys Pro Ala Pro Glu Leu Leu Gly Gly Asp Ser Val Phe Leu Phe

35 40 45

Pro Pro Lys Pro Lys Asp Thr Leu Met Ile Ser Arg Thr Pro Glu Val

50 55 60

Thr Cys Val Val Val Asp Val Glu Phe Glu Asp Pro Glu Val Lys Phe

65 70 75 80

Asn Trp Tyr Val Asp Gly Val Glu Val His Asn Ala Lys Thr Lys Pro

85 90 95

Arg Glu Glu Gln Tyr Asn Ser Thr Tyr Arg Val Val Ser Val Leu Thr

100 105 110

Val Leu His Gln Asp Trp Leu Asn Gly Lys Glu Tyr Lys Cys Lys Val

115 120 125

Thr Asn Lys Ala Leu Pro Ala Pro Ile Glu Lys Thr Ile Ser Lys Ala

130 135 140

Lys Gly Gln Pro Arg Glu Pro Gln Val Tyr Thr Leu Pro Pro Ser Arg

145 150 155 160

Asp Glu Leu Thr Lys Asn Gln Val Ser Leu Thr Cys Leu Val Lys Gly

165 170 175

Phe Tyr Pro Ser Asp Ile Ala Val Glu Trp Glu Ser Asn Gly Gln Pro

180 185 190

Glu Asn Asn Tyr Lys Thr Thr Pro Pro Val Leu Asp Ser Asp Gly Ser

195 200 205

Phe Phe Leu Tyr Ser Lys Leu Thr Val Asp Lys Ser Arg Trp Gln Gln

210 215 220

Gly Asn Val Phe Ser Cys Ser Val Met His Glu Ala Leu His Asn His

225 230 235 240

Tyr Thr Gln Lys Ser Leu Ser Leu Ser Pro Gly Lys Glu Arg Lys Cys

245 250 255

Cys Val Glu Cys Pro Pro Cys Pro

260

<210> 28

<211> 264

<212> Белок

<213> Homo sapiens

<400> 28

Met Glu Thr Asp Thr Leu Leu Leu Trp Val Leu Leu Leu Trp Val Pro

1 5 10 15

Gly Ser Thr Gly Glu Pro Lys Ser Cys Asp Lys Thr His Thr Cys Pro

20 25 30

Pro Cys Pro Ala Pro Pro Leu Leu Gln Gly Pro Ser Val Phe Leu Phe

35 40 45

Pro Pro Lys Pro Lys Asp Thr Leu Met Ile Ser Arg Thr Pro Glu Val

50 55 60

Thr Cys Val Val Val Asp Val Ser Phe Glu Asp Pro Glu Val Lys Phe

65 70 75 80

Asn Trp Tyr Val Asp Gly Val Glu Val His Asn Ala Lys Thr Lys Pro

85 90 95

Arg Glu Glu Gln Tyr Asn Ser Thr Tyr Arg Val Val Ser Val Leu Thr

100 105 110

Val Leu His Gln Asp Trp Leu Asn Gly Lys Glu Tyr Lys Cys Lys Val

115 120 125

Thr Asn Lys Ala Leu Pro Ala Pro Ile Glu Lys Thr Ile Ser Lys Ala

130 135 140

Lys Gly Gln Pro Arg Glu Pro Gln Val Tyr Thr Leu Pro Pro Ser Arg

145 150 155 160

Asp Glu Leu Thr Lys Asn Gln Val Ser Leu Thr Cys Leu Val Lys Gly

165 170 175

Phe Tyr Pro Ser Asp Ile Ala Val Glu Trp Glu Ser Asn Gly Gln Pro

180 185 190

Glu Asn Asn Tyr Lys Thr Thr Pro Pro Val Leu Asp Ser Asp Gly Ser

195 200 205

Phe Phe Leu Tyr Ser Lys Leu Thr Val Asp Lys Ser Arg Trp Gln Gln

210 215 220

Gly Asn Val Phe Ser Cys Ser Val Met His Glu Ala Leu His Asn His

225 230 235 240

Tyr Thr Gln Lys Ser Leu Ser Leu Ser Pro Gly Lys Glu Arg Lys Cys

245 250 255

Cys Val Glu Cys Pro Pro Cys Pro

260

<210> 29

<211> 264

<212> Белок

<213> Homo sapiens

<400> 29

Met Glu Thr Asp Thr Leu Leu Leu Trp Val Leu Leu Leu Trp Val Pro

1 5 10 15

Gly Ser Thr Gly Glu Pro Lys Ser Cys Asp Lys Thr His Thr Cys Pro

20 25 30

Pro Cys Pro Ala Pro Pro Leu Leu Arg Gly Pro Ser Val Phe Leu Phe

35 40 45

Pro Pro Lys Pro Lys Asp Thr Leu Met Ile Ser Arg Thr Pro Glu Val

50 55 60

Thr Cys Val Val Val Asp Val Ser Phe Glu Asp Pro Glu Val Lys Phe

65 70 75 80

Asn Trp Tyr Val Asp Gly Val Glu Val His Asn Ala Lys Thr Lys Pro

85 90 95

Arg Glu Glu Gln Tyr Asn Ser Thr Tyr Arg Val Val Ser Val Leu Thr

100 105 110

Val Leu His Gln Asp Trp Leu Asn Gly Lys Glu Tyr Lys Cys Lys Val

115 120 125

Thr Asn Lys Ala Leu Pro Ala Pro Ile Glu Lys Thr Ile Ser Lys Ala

130 135 140

Lys Gly Gln Pro Arg Glu Pro Gln Val Tyr Thr Leu Pro Pro Ser Arg

145 150 155 160

Asp Glu Leu Thr Lys Asn Gln Val Ser Leu Thr Cys Leu Val Lys Gly

165 170 175

Phe Tyr Pro Ser Asp Ile Ala Val Glu Trp Glu Ser Asn Gly Gln Pro

180 185 190

Glu Asn Asn Tyr Lys Thr Thr Pro Pro Val Leu Asp Ser Asp Gly Ser

195 200 205

Phe Phe Leu Tyr Ser Lys Leu Thr Val Asp Lys Ser Arg Trp Gln Gln

210 215 220

Gly Asn Val Phe Ser Cys Ser Val Met His Glu Ala Leu His Asn His

225 230 235 240

Tyr Thr Gln Lys Ser Leu Ser Leu Ser Pro Gly Lys Glu Arg Lys Cys

245 250 255

Cys Val Glu Cys Pro Pro Cys Pro

260

<210> 30

<211> 264

<212> Белок

<213> Homo sapiens

<400> 30

Met Glu Thr Asp Thr Leu Leu Leu Trp Val Leu Leu Leu Trp Val Pro

1 5 10 15

Gly Ser Thr Gly Glu Pro Lys Ser Cys Asp Lys Thr His Thr Cys Pro

20 25 30

Pro Cys Pro Ala Pro Pro Leu Leu His Gly Pro Ser Val Phe Leu Phe

35 40 45

Pro Pro Lys Pro Lys Asp Thr Leu Met Ile Ser Arg Thr Pro Glu Val

50 55 60

Thr Cys Val Val Val Asp Val Ser Phe Glu Asp Pro Glu Val Lys Phe

65 70 75 80

Asn Trp Tyr Val Asp Gly Val Glu Val His Asn Ala Lys Thr Lys Pro

85 90 95

Arg Glu Glu Gln Tyr Asn Ser Thr Tyr Arg Val Val Ser Val Leu Thr

100 105 110

Val Leu His Gln Asp Trp Leu Asn Gly Lys Glu Tyr Lys Cys Lys Val

115 120 125

Thr Asn Lys Ala Leu Pro Ala Pro Ile Glu Lys Thr Ile Ser Lys Ala

130 135 140

Lys Gly Gln Pro Arg Glu Pro Gln Val Tyr Thr Leu Pro Pro Ser Arg

145 150 155 160

Asp Glu Leu Thr Lys Asn Gln Val Ser Leu Thr Cys Leu Val Lys Gly

165 170 175

Phe Tyr Pro Ser Asp Ile Ala Val Glu Trp Glu Ser Asn Gly Gln Pro

180 185 190

Glu Asn Asn Tyr Lys Thr Thr Pro Pro Val Leu Asp Ser Asp Gly Ser

195 200 205

Phe Phe Leu Tyr Ser Lys Leu Thr Val Asp Lys Ser Arg Trp Gln Gln

210 215 220

Gly Asn Val Phe Ser Cys Ser Val Met His Glu Ala Leu His Asn His

225 230 235 240

Tyr Thr Gln Lys Ser Leu Ser Leu Ser Pro Gly Lys Glu Arg Lys Cys

245 250 255

Cys Val Glu Cys Pro Pro Cys Pro

260

<210> 31

<211> 264

<212> Белок

<213> Homo sapiens

<400> 31

Met Glu Thr Asp Thr Leu Leu Leu Trp Val Leu Leu Leu Trp Val Pro

1 5 10 15

Gly Ser Thr Gly Glu Pro Lys Ser Cys Asp Lys Thr His Thr Cys Pro

20 25 30

Pro Cys Pro Ala Pro Pro Leu Leu Asn Gly Pro Ser Val Phe Leu Phe

35 40 45

Pro Pro Lys Pro Lys Asp Thr Leu Met Ile Ser Arg Thr Pro Glu Val

50 55 60

Thr Cys Val Val Val Asp Val Ser Phe Glu Asp Pro Glu Val Lys Phe

65 70 75 80

Asn Trp Tyr Val Asp Gly Val Glu Val His Asn Ala Lys Thr Lys Pro

85 90 95

Arg Glu Glu Gln Tyr Asn Ser Thr Tyr Arg Val Val Ser Val Leu Thr

100 105 110

Val Leu His Gln Asp Trp Leu Asn Gly Lys Glu Tyr Lys Cys Lys Val

115 120 125

Thr Asn Lys Ala Leu Pro Ala Pro Ile Glu Lys Thr Ile Ser Lys Ala

130 135 140

Lys Gly Gln Pro Arg Glu Pro Gln Val Tyr Thr Leu Pro Pro Ser Arg

145 150 155 160

Asp Glu Leu Thr Lys Asn Gln Val Ser Leu Thr Cys Leu Val Lys Gly

165 170 175

Phe Tyr Pro Ser Asp Ile Ala Val Glu Trp Glu Ser Asn Gly Gln Pro

180 185 190

Glu Asn Asn Tyr Lys Thr Thr Pro Pro Val Leu Asp Ser Asp Gly Ser

195 200 205

Phe Phe Leu Tyr Ser Lys Leu Thr Val Asp Lys Ser Arg Trp Gln Gln

210 215 220

Gly Asn Val Phe Ser Cys Ser Val Met His Glu Ala Leu His Asn His

225 230 235 240

Tyr Thr Gln Lys Ser Leu Ser Leu Ser Pro Gly Lys Glu Arg Lys Cys

245 250 255

Cys Val Glu Cys Pro Pro Cys Pro

260

<210> 32

<211> 264

<212> Белок

<213> Homo sapiens

<400> 32

Met Glu Thr Asp Thr Leu Leu Leu Trp Val Leu Leu Leu Trp Val Pro

1 5 10 15

Gly Ser Thr Gly Glu Pro Lys Ser Cys Asp Lys Thr His Thr Cys Pro

20 25 30

Pro Cys Pro Ala Pro Pro Leu Leu Lys Gly Pro Ser Val Phe Leu Phe

35 40 45

Pro Pro Lys Pro Lys Asp Thr Leu Met Ile Ser Arg Thr Pro Glu Val

50 55 60

Thr Cys Val Val Val Asp Val Ser Phe Glu Asp Pro Glu Val Lys Phe

65 70 75 80

Asn Trp Tyr Val Asp Gly Val Glu Val His Asn Ala Lys Thr Lys Pro

85 90 95

Arg Glu Glu Gln Tyr Asn Ser Thr Tyr Arg Val Val Ser Val Leu Thr

100 105 110

Val Leu His Gln Asp Trp Leu Asn Gly Lys Glu Tyr Lys Cys Lys Val

115 120 125

Thr Asn Lys Ala Leu Pro Ala Pro Ile Glu Lys Thr Ile Ser Lys Ala

130 135 140

Lys Gly Gln Pro Arg Glu Pro Gln Val Tyr Thr Leu Pro Pro Ser Arg

145 150 155 160

Asp Glu Leu Thr Lys Asn Gln Val Ser Leu Thr Cys Leu Val Lys Gly

165 170 175

Phe Tyr Pro Ser Asp Ile Ala Val Glu Trp Glu Ser Asn Gly Gln Pro

180 185 190

Glu Asn Asn Tyr Lys Thr Thr Pro Pro Val Leu Asp Ser Asp Gly Ser

195 200 205

Phe Phe Leu Tyr Ser Lys Leu Thr Val Asp Lys Ser Arg Trp Gln Gln

210 215 220

Gly Asn Val Phe Ser Cys Ser Val Met His Glu Ala Leu His Asn His

225 230 235 240

Tyr Thr Gln Lys Ser Leu Ser Leu Ser Pro Gly Lys Glu Arg Lys Cys

245 250 255

Cys Val Glu Cys Pro Pro Cys Pro

260

<210> 33

<211> 264

<212> Белок

<213> Homo sapiens

<400> 33

Met Glu Thr Asp Thr Leu Leu Leu Trp Val Leu Leu Leu Trp Val Pro

1 5 10 15

Gly Ser Thr Gly Glu Pro Lys Ser Cys Asp Lys Thr His Thr Cys Pro

20 25 30

Pro Cys Pro Ala Pro Pro Leu Leu Gly Gly Pro Ser Val Phe Leu Phe

35 40 45

Pro Pro Lys Pro Lys Asp Thr Leu Met Ile Ser Arg Thr Pro Glu Val

50 55 60

Thr Cys Val Val Val Asp Val Arg Phe Glu Asp Pro Glu Val Lys Phe

65 70 75 80

Asn Trp Tyr Val Asp Gly Val Glu Val His Asn Ala Lys Thr Lys Pro

85 90 95

Arg Glu Glu Gln Tyr Asn Ser Thr Tyr Arg Val Val Ser Val Leu Thr

100 105 110

Val Leu His Gln Asp Trp Leu Asn Gly Lys Glu Tyr Lys Cys Lys Val

115 120 125

Thr Asn Lys Ala Leu Pro Ala Pro Ile Glu Lys Thr Ile Ser Lys Ala

130 135 140

Lys Gly Gln Pro Arg Glu Pro Gln Val Tyr Thr Leu Pro Pro Ser Arg

145 150 155 160

Asp Glu Leu Thr Lys Asn Gln Val Ser Leu Thr Cys Leu Val Lys Gly

165 170 175

Phe Tyr Pro Ser Asp Ile Ala Val Glu Trp Glu Ser Asn Gly Gln Pro

180 185 190

Glu Asn Asn Tyr Lys Thr Thr Pro Pro Val Leu Asp Ser Asp Gly Ser

195 200 205

Phe Phe Leu Tyr Ser Lys Leu Thr Val Asp Lys Ser Arg Trp Gln Gln

210 215 220

Gly Asn Val Phe Ser Cys Ser Val Met His Glu Ala Leu His Asn His

225 230 235 240

Tyr Thr Gln Lys Ser Leu Ser Leu Ser Pro Gly Lys Glu Arg Lys Cys

245 250 255

Cys Val Glu Cys Pro Pro Cys Pro

260

<210> 34

<211> 264

<212> Белок

<213> Homo sapiens

<400> 34

Met Glu Thr Asp Thr Leu Leu Leu Trp Val Leu Leu Leu Trp Val Pro

1 5 10 15

Gly Ser Thr Gly Glu Pro Lys Ser Cys Asp Lys Thr His Thr Cys Pro

20 25 30

Pro Cys Pro Ala Pro Pro Leu Leu Gly Gly Pro Ser Val Phe Leu Phe

35 40 45

Pro Pro Lys Pro Lys Asp Thr Leu Met Ile Ser Arg Thr Pro Glu Val

50 55 60

Thr Cys Val Val Val Asp Val Asn Phe Glu Asp Pro Glu Val Lys Phe

65 70 75 80

Asn Trp Tyr Val Asp Gly Val Glu Val His Asn Ala Lys Thr Lys Pro

85 90 95

Arg Glu Glu Gln Tyr Asn Ser Thr Tyr Arg Val Val Ser Val Leu Thr

100 105 110

Val Leu His Gln Asp Trp Leu Asn Gly Lys Glu Tyr Lys Cys Lys Val

115 120 125

Thr Asn Lys Ala Leu Pro Ala Pro Ile Glu Lys Thr Ile Ser Lys Ala

130 135 140

Lys Gly Gln Pro Arg Glu Pro Gln Val Tyr Thr Leu Pro Pro Ser Arg

145 150 155 160

Asp Glu Leu Thr Lys Asn Gln Val Ser Leu Thr Cys Leu Val Lys Gly

165 170 175

Phe Tyr Pro Ser Asp Ile Ala Val Glu Trp Glu Ser Asn Gly Gln Pro

180 185 190

Glu Asn Asn Tyr Lys Thr Thr Pro Pro Val Leu Asp Ser Asp Gly Ser

195 200 205

Phe Phe Leu Tyr Ser Lys Leu Thr Val Asp Lys Ser Arg Trp Gln Gln

210 215 220

Gly Asn Val Phe Ser Cys Ser Val Met His Glu Ala Leu His Asn His

225 230 235 240

Tyr Thr Gln Lys Ser Leu Ser Leu Ser Pro Gly Lys Glu Arg Lys Cys

245 250 255

Cys Val Glu Cys Pro Pro Cys Pro

260

<210> 35

<211> 264

<212> Белок

<213> Homo sapiens

<400> 35

Met Glu Thr Asp Thr Leu Leu Leu Trp Val Leu Leu Leu Trp Val Pro

1 5 10 15

Gly Ser Thr Gly Glu Pro Lys Ser Cys Asp Lys Thr His Thr Cys Pro

20 25 30

Pro Cys Pro Ala Pro Pro Leu Leu Gly Gly Pro Ser Val Phe Leu Phe

35 40 45

Pro Pro Lys Pro Lys Asp Thr Leu Met Ile Ser Arg Thr Pro Glu Val

50 55 60

Thr Cys Val Val Val Asp Val Lys Phe Glu Asp Pro Glu Val Lys Phe

65 70 75 80

Asn Trp Tyr Val Asp Gly Val Glu Val His Asn Ala Lys Thr Lys Pro

85 90 95

Arg Glu Glu Gln Tyr Asn Ser Thr Tyr Arg Val Val Ser Val Leu Thr

100 105 110

Val Leu His Gln Asp Trp Leu Asn Gly Lys Glu Tyr Lys Cys Lys Val

115 120 125

Thr Asn Lys Ala Leu Pro Ala Pro Ile Glu Lys Thr Ile Ser Lys Ala

130 135 140

Lys Gly Gln Pro Arg Glu Pro Gln Val Tyr Thr Leu Pro Pro Ser Arg

145 150 155 160

Asp Glu Leu Thr Lys Asn Gln Val Ser Leu Thr Cys Leu Val Lys Gly

165 170 175

Phe Tyr Pro Ser Asp Ile Ala Val Glu Trp Glu Ser Asn Gly Gln Pro

180 185 190

Glu Asn Asn Tyr Lys Thr Thr Pro Pro Val Leu Asp Ser Asp Gly Ser

195 200 205

Phe Phe Leu Tyr Ser Lys Leu Thr Val Asp Lys Ser Arg Trp Gln Gln

210 215 220

Gly Asn Val Phe Ser Cys Ser Val Met His Glu Ala Leu His Asn His

225 230 235 240

Tyr Thr Gln Lys Ser Leu Ser Leu Ser Pro Gly Lys Glu Arg Lys Cys

245 250 255

Cys Val Glu Cys Pro Pro Cys Pro

260

<210> 36

<211> 264

<212> Белок

<213> Homo sapiens

<400> 36

Met Glu Thr Asp Thr Leu Leu Leu Trp Val Leu Leu Leu Trp Val Pro

1 5 10 15

Gly Ser Thr Gly Glu Pro Lys Ser Cys Asp Lys Thr His Thr Cys Pro

20 25 30

Pro Cys Pro Ala Pro Pro Leu Leu Asp Gly Pro Ser Val Phe Leu Phe

35 40 45

Pro Pro Lys Pro Lys Asp Thr Leu Met Ile Ser Arg Thr Pro Glu Val

50 55 60

Thr Cys Val Val Val Asp Val Arg Phe Glu Asp Pro Glu Val Lys Phe

65 70 75 80

Asn Trp Tyr Val Asp Gly Val Glu Val His Asn Ala Lys Thr Lys Pro

85 90 95

Arg Glu Glu Gln Tyr Asn Ser Thr Tyr Arg Val Val Ser Val Leu Thr

100 105 110

Val Leu His Gln Asp Trp Leu Asn Gly Lys Glu Tyr Lys Cys Lys Val

115 120 125

Thr Asn Lys Ala Leu Pro Ala Pro Ile Glu Lys Thr Ile Ser Lys Ala

130 135 140

Lys Gly Gln Pro Arg Glu Pro Gln Val Tyr Thr Leu Pro Pro Ser Arg

145 150 155 160

Asp Glu Leu Thr Lys Asn Gln Val Ser Leu Thr Cys Leu Val Lys Gly

165 170 175

Phe Tyr Pro Ser Asp Ile Ala Val Glu Trp Glu Ser Asn Gly Gln Pro

180 185 190

Glu Asn Asn Tyr Lys Thr Thr Pro Pro Val Leu Asp Ser Asp Gly Ser

195 200 205

Phe Phe Leu Tyr Ser Lys Leu Thr Val Asp Lys Ser Arg Trp Gln Gln

210 215 220

Gly Asn Val Phe Ser Cys Ser Val Met His Glu Ala Leu His Asn His

225 230 235 240

Tyr Thr Gln Lys Ser Leu Ser Leu Ser Pro Gly Lys Glu Arg Lys Cys

245 250 255

Cys Val Glu Cys Pro Pro Cys Pro

260

<210> 37

<211> 264

<212> Белок

<213> Homo sapiens

<400> 37

Met Glu Thr Asp Thr Leu Leu Leu Trp Val Leu Leu Leu Trp Val Pro

1 5 10 15

Gly Ser Thr Gly Glu Pro Lys Ser Cys Asp Lys Thr His Thr Cys Pro

20 25 30

Pro Cys Pro Ala Pro Pro Leu Leu Arg Gly Pro Ser Val Phe Leu Phe

35 40 45

Pro Pro Lys Pro Lys Asp Thr Leu Met Ile Ser Arg Thr Pro Glu Val

50 55 60

Thr Cys Val Val Val Asp Val Arg Phe Glu Asp Pro Glu Val Lys Phe

65 70 75 80

Asn Trp Tyr Val Asp Gly Val Glu Val His Asn Ala Lys Thr Lys Pro

85 90 95

Arg Glu Glu Gln Tyr Asn Ser Thr Tyr Arg Val Val Ser Val Leu Thr

100 105 110

Val Leu His Gln Asp Trp Leu Asn Gly Lys Glu Tyr Lys Cys Lys Val

115 120 125

Thr Asn Lys Ala Leu Pro Ala Pro Ile Glu Lys Thr Ile Ser Lys Ala

130 135 140

Lys Gly Gln Pro Arg Glu Pro Gln Val Tyr Thr Leu Pro Pro Ser Arg

145 150 155 160

Asp Glu Leu Thr Lys Asn Gln Val Ser Leu Thr Cys Leu Val Lys Gly

165 170 175

Phe Tyr Pro Ser Asp Ile Ala Val Glu Trp Glu Ser Asn Gly Gln Pro

180 185 190

Glu Asn Asn Tyr Lys Thr Thr Pro Pro Val Leu Asp Ser Asp Gly Ser

195 200 205

Phe Phe Leu Tyr Ser Lys Leu Thr Val Asp Lys Ser Arg Trp Gln Gln

210 215 220

Gly Asn Val Phe Ser Cys Ser Val Met His Glu Ala Leu His Asn His

225 230 235 240

Tyr Thr Gln Lys Ser Leu Ser Leu Ser Pro Gly Lys Glu Arg Lys Cys

245 250 255

Cys Val Glu Cys Pro Pro Cys Pro

260

<210> 38

<211> 264

<212> Белок

<213> Homo sapiens

<400> 38

Met Glu Thr Asp Thr Leu Leu Leu Trp Val Leu Leu Leu Trp Val Pro

1 5 10 15

Gly Ser Thr Gly Glu Pro Lys Ser Cys Asp Lys Thr His Thr Cys Pro

20 25 30

Pro Cys Pro Ala Pro Pro Leu Leu Arg Gly Pro Ser Val Phe Leu Phe

35 40 45

Pro Pro Lys Pro Lys Asp Thr Leu Met Ile Ser Arg Thr Pro Glu Val

50 55 60

Thr Cys Val Val Val Asp Val Asp Phe Glu Asp Pro Glu Val Lys Phe

65 70 75 80

Asn Trp Tyr Val Asp Gly Val Glu Val His Asn Ala Lys Thr Lys Pro

85 90 95

Arg Glu Glu Gln Tyr Asn Ser Thr Tyr Arg Val Val Ser Val Leu Thr

100 105 110

Val Leu His Gln Asp Trp Leu Asn Gly Lys Glu Tyr Lys Cys Lys Val

115 120 125

Thr Asn Lys Ala Leu Pro Ala Pro Ile Glu Lys Thr Ile Ser Lys Ala

130 135 140

Lys Gly Gln Pro Arg Glu Pro Gln Val Tyr Thr Leu Pro Pro Ser Arg

145 150 155 160

Asp Glu Leu Thr Lys Asn Gln Val Ser Leu Thr Cys Leu Val Lys Gly

165 170 175

Phe Tyr Pro Ser Asp Ile Ala Val Glu Trp Glu Ser Asn Gly Gln Pro

180 185 190

Glu Asn Asn Tyr Lys Thr Thr Pro Pro Val Leu Asp Ser Asp Gly Ser

195 200 205

Phe Phe Leu Tyr Ser Lys Leu Thr Val Asp Lys Ser Arg Trp Gln Gln

210 215 220

Gly Asn Val Phe Ser Cys Ser Val Met His Glu Ala Leu His Asn His

225 230 235 240

Tyr Thr Gln Lys Ser Leu Ser Leu Ser Pro Gly Lys Glu Arg Lys Cys

245 250 255

Cys Val Glu Cys Pro Pro Cys Pro

260

<210> 39

<211> 264

<212> Белок

<213> Homo sapiens

<400> 39

Met Glu Thr Asp Thr Leu Leu Leu Trp Val Leu Leu Leu Trp Val Pro

1 5 10 15

Gly Ser Thr Gly Glu Pro Lys Ser Cys Asp Lys Thr His Thr Cys Pro

20 25 30

Pro Cys Pro Ala Pro Pro Leu Leu Glu Gly Pro Ser Val Phe Leu Phe

35 40 45

Pro Pro Lys Pro Lys Asp Thr Leu Met Ile Ser Arg Thr Pro Glu Val

50 55 60

Thr Cys Val Val Val Asp Val Arg Phe Glu Asp Pro Glu Val Lys Phe

65 70 75 80

Asn Trp Tyr Val Asp Gly Val Glu Val His Asn Ala Lys Thr Lys Pro

85 90 95

Arg Glu Glu Gln Tyr Asn Ser Thr Tyr Arg Val Val Ser Val Leu Thr

100 105 110

Val Leu His Gln Asp Trp Leu Asn Gly Lys Glu Tyr Lys Cys Lys Val

115 120 125

Thr Asn Lys Ala Leu Pro Ala Pro Ile Glu Lys Thr Ile Ser Lys Ala

130 135 140

Lys Gly Gln Pro Arg Glu Pro Gln Val Tyr Thr Leu Pro Pro Ser Arg

145 150 155 160

Asp Glu Leu Thr Lys Asn Gln Val Ser Leu Thr Cys Leu Val Lys Gly

165 170 175

Phe Tyr Pro Ser Asp Ile Ala Val Glu Trp Glu Ser Asn Gly Gln Pro

180 185 190

Glu Asn Asn Tyr Lys Thr Thr Pro Pro Val Leu Asp Ser Asp Gly Ser

195 200 205

Phe Phe Leu Tyr Ser Lys Leu Thr Val Asp Lys Ser Arg Trp Gln Gln

210 215 220

Gly Asn Val Phe Ser Cys Ser Val Met His Glu Ala Leu His Asn His

225 230 235 240

Tyr Thr Gln Lys Ser Leu Ser Leu Ser Pro Gly Lys Glu Arg Lys Cys

245 250 255

Cys Val Glu Cys Pro Pro Cys Pro

260

<210> 40

<211> 264

<212> Белок

<213> Homo sapiens

<400> 40

Met Glu Thr Asp Thr Leu Leu Leu Trp Val Leu Leu Leu Trp Val Pro

1 5 10 15

Gly Ser Thr Gly Glu Pro Lys Ser Cys Asp Lys Thr His Thr Cys Pro

20 25 30

Pro Cys Pro Ala Pro Pro Leu Leu His Gly Pro Ser Val Phe Leu Phe

35 40 45

Pro Pro Lys Pro Lys Asp Thr Leu Met Ile Ser Arg Thr Pro Glu Val

50 55 60

Thr Cys Val Val Val Asp Val Lys Phe Glu Asp Pro Glu Val Lys Phe

65 70 75 80

Asn Trp Tyr Val Asp Gly Val Glu Val His Asn Ala Lys Thr Lys Pro

85 90 95

Arg Glu Glu Gln Tyr Asn Ser Thr Tyr Arg Val Val Ser Val Leu Thr

100 105 110

Val Leu His Gln Asp Trp Leu Asn Gly Lys Glu Tyr Lys Cys Lys Val

115 120 125

Thr Asn Lys Ala Leu Pro Ala Pro Ile Glu Lys Thr Ile Ser Lys Ala

130 135 140

Lys Gly Gln Pro Arg Glu Pro Gln Val Tyr Thr Leu Pro Pro Ser Arg

145 150 155 160

Asp Glu Leu Thr Lys Asn Gln Val Ser Leu Thr Cys Leu Val Lys Gly

165 170 175

Phe Tyr Pro Ser Asp Ile Ala Val Glu Trp Glu Ser Asn Gly Gln Pro

180 185 190

Glu Asn Asn Tyr Lys Thr Thr Pro Pro Val Leu Asp Ser Asp Gly Ser

195 200 205

Phe Phe Leu Tyr Ser Lys Leu Thr Val Asp Lys Ser Arg Trp Gln Gln

210 215 220

Gly Asn Val Phe Ser Cys Ser Val Met His Glu Ala Leu His Asn His

225 230 235 240

Tyr Thr Gln Lys Ser Leu Ser Leu Ser Pro Gly Lys Glu Arg Lys Cys

245 250 255

Cys Val Glu Cys Pro Pro Cys Pro

260

<210> 41

<211> 264

<212> Белок

<213> Homo sapiens

<400> 41

Met Glu Thr Asp Thr Leu Leu Leu Trp Val Leu Leu Leu Trp Val Pro

1 5 10 15

Gly Ser Thr Gly Glu Pro Lys Ser Cys Asp Lys Thr His Thr Cys Pro

20 25 30

Pro Cys Pro Ala Pro Pro Leu Leu Gln Gly Pro Ser Val Phe Leu Phe

35 40 45

Pro Pro Lys Pro Lys Asp Thr Leu Met Ile Ser Arg Thr Pro Glu Val

50 55 60

Thr Cys Val Val Val Asp Val Gln Phe Glu Asp Pro Glu Val Lys Phe

65 70 75 80

Asn Trp Tyr Val Asp Gly Val Glu Val His Asn Ala Lys Thr Lys Pro

85 90 95

Arg Glu Glu Gln Tyr Asn Ser Thr Tyr Arg Val Val Ser Val Leu Thr

100 105 110

Val Leu His Gln Asp Trp Leu Asn Gly Lys Glu Tyr Lys Cys Lys Val

115 120 125

Thr Asn Lys Ala Leu Pro Ala Pro Ile Glu Lys Thr Ile Ser Lys Ala

130 135 140

Lys Gly Gln Pro Arg Glu Pro Gln Val Tyr Thr Leu Pro Pro Ser Arg

145 150 155 160

Asp Glu Leu Thr Lys Asn Gln Val Ser Leu Thr Cys Leu Val Lys Gly

165 170 175

Phe Tyr Pro Ser Asp Ile Ala Val Glu Trp Glu Ser Asn Gly Gln Pro

180 185 190

Glu Asn Asn Tyr Lys Thr Thr Pro Pro Val Leu Asp Ser Asp Gly Ser

195 200 205

Phe Phe Leu Tyr Ser Lys Leu Thr Val Asp Lys Ser Arg Trp Gln Gln

210 215 220

Gly Asn Val Phe Ser Cys Ser Val Met His Glu Ala Leu His Asn His

225 230 235 240

Tyr Thr Gln Lys Ser Leu Ser Leu Ser Pro Gly Lys Glu Arg Lys Cys

245 250 255

Cys Val Glu Cys Pro Pro Cys Pro

260

<210> 42

<211> 264

<212> Белок

<213> Homo sapiens

<400> 42

Met Glu Thr Asp Thr Leu Leu Leu Trp Val Leu Leu Leu Trp Val Pro

1 5 10 15

Gly Ser Thr Gly Glu Pro Lys Ser Cys Asp Lys Thr His Thr Cys Pro

20 25 30

Pro Cys Pro Ala Pro Pro Leu Leu Arg Gly Pro Ser Val Phe Leu Phe

35 40 45

Pro Pro Lys Pro Lys Asp Thr Leu Met Ile Ser Arg Thr Pro Glu Val

50 55 60

Thr Cys Val Val Val Asp Val Lys Phe Glu Asp Pro Glu Val Lys Phe

65 70 75 80

Asn Trp Tyr Val Asp Gly Val Glu Val His Asn Ala Lys Thr Lys Pro

85 90 95

Arg Glu Glu Gln Tyr Asn Ser Thr Tyr Arg Val Val Ser Val Leu Thr

100 105 110

Val Leu His Gln Asp Trp Leu Asn Gly Lys Glu Tyr Lys Cys Lys Val

115 120 125

Thr Asn Lys Ala Leu Pro Ala Pro Ile Glu Lys Thr Ile Ser Lys Ala

130 135 140

Lys Gly Gln Pro Arg Glu Pro Gln Val Tyr Thr Leu Pro Pro Ser Arg

145 150 155 160

Asp Glu Leu Thr Lys Asn Gln Val Ser Leu Thr Cys Leu Val Lys Gly

165 170 175

Phe Tyr Pro Ser Asp Ile Ala Val Glu Trp Glu Ser Asn Gly Gln Pro

180 185 190

Glu Asn Asn Tyr Lys Thr Thr Pro Pro Val Leu Asp Ser Asp Gly Ser

195 200 205

Phe Phe Leu Tyr Ser Lys Leu Thr Val Asp Lys Ser Arg Trp Gln Gln

210 215 220

Gly Asn Val Phe Ser Cys Ser Val Met His Glu Ala Leu His Asn His

225 230 235 240

Tyr Thr Gln Lys Ser Leu Ser Leu Ser Pro Gly Lys Glu Arg Lys Cys

245 250 255

Cys Val Glu Cys Pro Pro Cys Pro

260

<210> 43

<211> 264

<212> Белок

<213> Homo sapiens

<400> 43

Met Glu Thr Asp Thr Leu Leu Leu Trp Val Leu Leu Leu Trp Val Pro

1 5 10 15

Gly Ser Thr Gly Glu Pro Lys Ser Cys Asp Lys Thr His Thr Cys Pro

20 25 30

Pro Cys Pro Ala Pro Pro Leu Leu Arg Gly Pro Ser Val Phe Leu Phe

35 40 45

Pro Pro Lys Pro Lys Asp Thr Leu Met Ile Ser Arg Thr Pro Glu Val

50 55 60

Thr Cys Val Val Val Asp Val Gln Phe Glu Asp Pro Glu Val Lys Phe

65 70 75 80

Asn Trp Tyr Val Asp Gly Val Glu Val His Asn Ala Lys Thr Lys Pro

85 90 95

Arg Glu Glu Gln Tyr Asn Ser Thr Tyr Arg Val Val Ser Val Leu Thr

100 105 110

Val Leu His Gln Asp Trp Leu Asn Gly Lys Glu Tyr Lys Cys Lys Val

115 120 125

Thr Asn Lys Ala Leu Pro Ala Pro Ile Glu Lys Thr Ile Ser Lys Ala

130 135 140

Lys Gly Gln Pro Arg Glu Pro Gln Val Tyr Thr Leu Pro Pro Ser Arg

145 150 155 160

Asp Glu Leu Thr Lys Asn Gln Val Ser Leu Thr Cys Leu Val Lys Gly

165 170 175

Phe Tyr Pro Ser Asp Ile Ala Val Glu Trp Glu Ser Asn Gly Gln Pro

180 185 190

Glu Asn Asn Tyr Lys Thr Thr Pro Pro Val Leu Asp Ser Asp Gly Ser

195 200 205

Phe Phe Leu Tyr Ser Lys Leu Thr Val Asp Lys Ser Arg Trp Gln Gln

210 215 220

Gly Asn Val Phe Ser Cys Ser Val Met His Glu Ala Leu His Asn His

225 230 235 240

Tyr Thr Gln Lys Ser Leu Ser Leu Ser Pro Gly Lys Glu Arg Lys Cys

245 250 255

Cys Val Glu Cys Pro Pro Cys Pro

260

<210> 44

<211> 264

<212> Белок

<213> Homo sapiens

<400> 44

Met Glu Thr Asp Thr Leu Leu Leu Trp Val Leu Leu Leu Trp Val Pro

1 5 10 15

Gly Ser Thr Gly Glu Pro Lys Ser Cys Asp Lys Thr His Thr Cys Pro

20 25 30

Pro Cys Pro Ala Pro Pro Leu Leu Asp Gly Pro Ser Val Phe Leu Phe

35 40 45

Pro Pro Lys Pro Lys Asp Thr Leu Met Ile Ser Arg Thr Pro Glu Val

50 55 60

Thr Cys Val Val Val Asp Val Lys Phe Glu Asp Pro Glu Val Lys Phe

65 70 75 80

Asn Trp Tyr Val Asp Gly Val Glu Val His Asn Ala Lys Thr Lys Pro

85 90 95

Arg Glu Glu Gln Tyr Asn Ser Thr Tyr Arg Val Val Ser Val Leu Thr

100 105 110

Val Leu His Gln Asp Trp Leu Asn Gly Lys Glu Tyr Lys Cys Lys Val

115 120 125

Thr Asn Lys Ala Leu Pro Ala Pro Ile Glu Lys Thr Ile Ser Lys Ala

130 135 140

Lys Gly Gln Pro Arg Glu Pro Gln Val Tyr Thr Leu Pro Pro Ser Arg

145 150 155 160

Asp Glu Leu Thr Lys Asn Gln Val Ser Leu Thr Cys Leu Val Lys Gly

165 170 175

Phe Tyr Pro Ser Asp Ile Ala Val Glu Trp Glu Ser Asn Gly Gln Pro

180 185 190

Glu Asn Asn Tyr Lys Thr Thr Pro Pro Val Leu Asp Ser Asp Gly Ser

195 200 205

Phe Phe Leu Tyr Ser Lys Leu Thr Val Asp Lys Ser Arg Trp Gln Gln

210 215 220

Gly Asn Val Phe Ser Cys Ser Val Met His Glu Ala Leu His Asn His

225 230 235 240

Tyr Thr Gln Lys Ser Leu Ser Leu Ser Pro Gly Lys Glu Arg Lys Cys

245 250 255

Cys Val Glu Cys Pro Pro Cys Pro

260

<210> 45

<211> 264

<212> Белок

<213> Homo sapiens

<400> 45

Met Glu Thr Asp Thr Leu Leu Leu Trp Val Leu Leu Leu Trp Val Pro

1 5 10 15

Gly Ser Thr Gly Glu Pro Lys Ser Cys Asp Lys Thr His Thr Cys Pro

20 25 30

Pro Cys Pro Ala Pro Pro Leu Leu His Gly Pro Ser Val Phe Leu Phe

35 40 45

Pro Pro Lys Pro Lys Asp Thr Leu Met Ile Ser Arg Thr Pro Glu Val

50 55 60

Thr Cys Val Val Val Asp Val Gln Phe Glu Asp Pro Glu Val Lys Phe

65 70 75 80

Asn Trp Tyr Val Asp Gly Val Glu Val His Asn Ala Lys Thr Lys Pro

85 90 95

Arg Glu Glu Gln Tyr Asn Ser Thr Tyr Arg Val Val Ser Val Leu Thr

100 105 110

Val Leu His Gln Asp Trp Leu Asn Gly Lys Glu Tyr Lys Cys Lys Val

115 120 125

Thr Asn Lys Ala Leu Pro Ala Pro Ile Glu Lys Thr Ile Ser Lys Ala

130 135 140

Lys Gly Gln Pro Arg Glu Pro Gln Val Tyr Thr Leu Pro Pro Ser Arg

145 150 155 160

Asp Glu Leu Thr Lys Asn Gln Val Ser Leu Thr Cys Leu Val Lys Gly

165 170 175

Phe Tyr Pro Ser Asp Ile Ala Val Glu Trp Glu Ser Asn Gly Gln Pro

180 185 190

Glu Asn Asn Tyr Lys Thr Thr Pro Pro Val Leu Asp Ser Asp Gly Ser

195 200 205

Phe Phe Leu Tyr Ser Lys Leu Thr Val Asp Lys Ser Arg Trp Gln Gln

210 215 220

Gly Asn Val Phe Ser Cys Ser Val Met His Glu Ala Leu His Asn His

225 230 235 240

Tyr Thr Gln Lys Ser Leu Ser Leu Ser Pro Gly Lys Glu Arg Lys Cys

245 250 255

Cys Val Glu Cys Pro Pro Cys Pro

260

<210> 46

<211> 264

<212> Белок

<213> Homo sapiens

<400> 46

Met Glu Thr Asp Thr Leu Leu Leu Trp Val Leu Leu Leu Trp Val Pro

1 5 10 15

Gly Ser Thr Gly Glu Pro Lys Ser Cys Asp Lys Thr His Thr Cys Pro

20 25 30

Pro Cys Pro Ala Pro Pro Leu Leu Gln Gly Pro Ser Val Phe Leu Phe

35 40 45

Pro Pro Lys Pro Lys Asp Thr Leu Met Ile Ser Arg Thr Pro Glu Val

50 55 60

Thr Cys Val Val Val Asp Val Arg Phe Glu Asp Pro Glu Val Lys Phe

65 70 75 80

Asn Trp Tyr Val Asp Gly Val Glu Val His Asn Ala Lys Thr Lys Pro

85 90 95

Arg Glu Glu Gln Tyr Asn Ser Thr Tyr Arg Val Val Ser Val Leu Thr

100 105 110

Val Leu His Gln Asp Trp Leu Asn Gly Lys Glu Tyr Lys Cys Lys Val

115 120 125

Thr Asn Lys Ala Leu Pro Ala Pro Ile Glu Lys Thr Ile Ser Lys Ala

130 135 140

Lys Gly Gln Pro Arg Glu Pro Gln Val Tyr Thr Leu Pro Pro Ser Arg

145 150 155 160

Asp Glu Leu Thr Lys Asn Gln Val Ser Leu Thr Cys Leu Val Lys Gly

165 170 175

Phe Tyr Pro Ser Asp Ile Ala Val Glu Trp Glu Ser Asn Gly Gln Pro

180 185 190

Glu Asn Asn Tyr Lys Thr Thr Pro Pro Val Leu Asp Ser Asp Gly Ser

195 200 205

Phe Phe Leu Tyr Ser Lys Leu Thr Val Asp Lys Ser Arg Trp Gln Gln

210 215 220

Gly Asn Val Phe Ser Cys Ser Val Met His Glu Ala Leu His Asn His

225 230 235 240

Tyr Thr Gln Lys Ser Leu Ser Leu Ser Pro Gly Lys Glu Arg Lys Cys

245 250 255

Cys Val Glu Cys Pro Pro Cys Pro

260

<210> 47

<211> 264

<212> Белок

<213> Homo sapiens

<400> 47

Met Glu Thr Asp Thr Leu Leu Leu Trp Val Leu Leu Leu Trp Val Pro

1 5 10 15

Gly Ser Thr Gly Glu Pro Lys Ser Cys Asp Lys Thr His Thr Cys Pro

20 25 30

Pro Cys Pro Ala Pro Pro Leu Leu Lys Gly Pro Ser Val Phe Leu Phe

35 40 45

Pro Pro Lys Pro Lys Asp Thr Leu Met Ile Ser Arg Thr Pro Glu Val

50 55 60

Thr Cys Val Val Val Asp Val Lys Phe Glu Asp Pro Glu Val Lys Phe

65 70 75 80

Asn Trp Tyr Val Asp Gly Val Glu Val His Asn Ala Lys Thr Lys Pro

85 90 95

Arg Glu Glu Gln Tyr Asn Ser Thr Tyr Arg Val Val Ser Val Leu Thr

100 105 110

Val Leu His Gln Asp Trp Leu Asn Gly Lys Glu Tyr Lys Cys Lys Val

115 120 125

Thr Asn Lys Ala Leu Pro Ala Pro Ile Glu Lys Thr Ile Ser Lys Ala

130 135 140

Lys Gly Gln Pro Arg Glu Pro Gln Val Tyr Thr Leu Pro Pro Ser Arg

145 150 155 160

Asp Glu Leu Thr Lys Asn Gln Val Ser Leu Thr Cys Leu Val Lys Gly

165 170 175

Phe Tyr Pro Ser Asp Ile Ala Val Glu Trp Glu Ser Asn Gly Gln Pro

180 185 190

Glu Asn Asn Tyr Lys Thr Thr Pro Pro Val Leu Asp Ser Asp Gly Ser

195 200 205

Phe Phe Leu Tyr Ser Lys Leu Thr Val Asp Lys Ser Arg Trp Gln Gln

210 215 220

Gly Asn Val Phe Ser Cys Ser Val Met His Glu Ala Leu His Asn His

225 230 235 240

Tyr Thr Gln Lys Ser Leu Ser Leu Ser Pro Gly Lys Glu Arg Lys Cys

245 250 255

Cys Val Glu Cys Pro Pro Cys Pro

260

<210> 48

<211> 264

<212> Белок

<213> Homo sapiens

<400> 48

Met Glu Thr Asp Thr Leu Leu Leu Trp Val Leu Leu Leu Trp Val Pro

1 5 10 15

Gly Ser Thr Gly Glu Pro Lys Ser Cys Asp Lys Thr His Thr Cys Pro

20 25 30

Pro Cys Pro Ala Pro Pro Leu Leu Lys Gly Pro Ser Val Phe Leu Phe

35 40 45

Pro Pro Lys Pro Lys Asp Thr Leu Met Ile Ser Arg Thr Pro Glu Val

50 55 60

Thr Cys Val Val Val Asp Val Asn Phe Glu Asp Pro Glu Val Lys Phe

65 70 75 80

Asn Trp Tyr Val Asp Gly Val Glu Val His Asn Ala Lys Thr Lys Pro

85 90 95

Arg Glu Glu Gln Tyr Asn Ser Thr Tyr Arg Val Val Ser Val Leu Thr

100 105 110

Val Leu His Gln Asp Trp Leu Asn Gly Lys Glu Tyr Lys Cys Lys Val

115 120 125

Thr Asn Lys Ala Leu Pro Ala Pro Ile Glu Lys Thr Ile Ser Lys Ala

130 135 140

Lys Gly Gln Pro Arg Glu Pro Gln Val Tyr Thr Leu Pro Pro Ser Arg

145 150 155 160

Asp Glu Leu Thr Lys Asn Gln Val Ser Leu Thr Cys Leu Val Lys Gly

165 170 175

Phe Tyr Pro Ser Asp Ile Ala Val Glu Trp Glu Ser Asn Gly Gln Pro

180 185 190

Glu Asn Asn Tyr Lys Thr Thr Pro Pro Val Leu Asp Ser Asp Gly Ser

195 200 205

Phe Phe Leu Tyr Ser Lys Leu Thr Val Asp Lys Ser Arg Trp Gln Gln

210 215 220

Gly Asn Val Phe Ser Cys Ser Val Met His Glu Ala Leu His Asn His

225 230 235 240

Tyr Thr Gln Lys Ser Leu Ser Leu Ser Pro Gly Lys Glu Arg Lys Cys

245 250 255

Cys Val Glu Cys Pro Pro Cys Pro

260

<210> 49

<211> 264

<212> Белок

<213> Homo sapiens

<400> 49

Met Glu Thr Asp Thr Leu Leu Leu Trp Val Leu Leu Leu Trp Val Pro

1 5 10 15

Gly Ser Thr Gly Glu Pro Lys Ser Cys Asp Lys Thr His Thr Cys Pro

20 25 30

Pro Cys Pro Ala Pro Pro Leu Leu Asn Gly Pro Ser Val Phe Leu Phe

35 40 45

Pro Pro Lys Pro Lys Asp Thr Leu Met Ile Ser Arg Thr Pro Glu Val

50 55 60

Thr Cys Val Val Val Asp Val Glu Phe Glu Asp Pro Glu Val Lys Phe

65 70 75 80

Asn Trp Tyr Val Asp Gly Val Glu Val His Asn Ala Lys Thr Lys Pro

85 90 95

Arg Glu Glu Gln Tyr Asn Ser Thr Tyr Arg Val Val Ser Val Leu Thr

100 105 110

Val Leu His Gln Asp Trp Leu Asn Gly Lys Glu Tyr Lys Cys Lys Val

115 120 125

Thr Asn Lys Ala Leu Pro Ala Pro Ile Glu Lys Thr Ile Ser Lys Ala

130 135 140

Lys Gly Gln Pro Arg Glu Pro Gln Val Tyr Thr Leu Pro Pro Ser Arg

145 150 155 160

Asp Glu Leu Thr Lys Asn Gln Val Ser Leu Thr Cys Leu Val Lys Gly

165 170 175

Phe Tyr Pro Ser Asp Ile Ala Val Glu Trp Glu Ser Asn Gly Gln Pro

180 185 190

Glu Asn Asn Tyr Lys Thr Thr Pro Pro Val Leu Asp Ser Asp Gly Ser

195 200 205

Phe Phe Leu Tyr Ser Lys Leu Thr Val Asp Lys Ser Arg Trp Gln Gln

210 215 220

Gly Asn Val Phe Ser Cys Ser Val Met His Glu Ala Leu His Asn His

225 230 235 240

Tyr Thr Gln Lys Ser Leu Ser Leu Ser Pro Gly Lys Glu Arg Lys Cys

245 250 255

Cys Val Glu Cys Pro Pro Cys Pro

260

<210> 50

<211> 264

<212> Белок

<213> Homo sapiens

<400> 50

Met Glu Thr Asp Thr Leu Leu Leu Trp Val Leu Leu Leu Trp Val Pro

1 5 10 15

Gly Ser Thr Gly Glu Pro Lys Ser Cys Asp Lys Thr His Thr Cys Pro

20 25 30

Pro Cys Pro Ala Pro Pro Leu Leu Asn Gly Pro Ser Val Phe Leu Phe

35 40 45

Pro Pro Lys Pro Lys Asp Thr Leu Met Ile Ser Arg Thr Pro Glu Val

50 55 60

Thr Cys Val Val Val Asp Val Lys Phe Glu Asp Pro Glu Val Lys Phe

65 70 75 80

Asn Trp Tyr Val Asp Gly Val Glu Val His Asn Ala Lys Thr Lys Pro

85 90 95

Arg Glu Glu Gln Tyr Asn Ser Thr Tyr Arg Val Val Ser Val Leu Thr

100 105 110

Val Leu His Gln Asp Trp Leu Asn Gly Lys Glu Tyr Lys Cys Lys Val

115 120 125

Thr Asn Lys Ala Leu Pro Ala Pro Ile Glu Lys Thr Ile Ser Lys Ala

130 135 140

Lys Gly Gln Pro Arg Glu Pro Gln Val Tyr Thr Leu Pro Pro Ser Arg

145 150 155 160

Asp Glu Leu Thr Lys Asn Gln Val Ser Leu Thr Cys Leu Val Lys Gly

165 170 175

Phe Tyr Pro Ser Asp Ile Ala Val Glu Trp Glu Ser Asn Gly Gln Pro

180 185 190

Glu Asn Asn Tyr Lys Thr Thr Pro Pro Val Leu Asp Ser Asp Gly Ser

195 200 205

Phe Phe Leu Tyr Ser Lys Leu Thr Val Asp Lys Ser Arg Trp Gln Gln

210 215 220

Gly Asn Val Phe Ser Cys Ser Val Met His Glu Ala Leu His Asn His

225 230 235 240

Tyr Thr Gln Lys Ser Leu Ser Leu Ser Pro Gly Lys Glu Arg Lys Cys

245 250 255

Cys Val Glu Cys Pro Pro Cys Pro

260

<210> 51

<211> 264

<212> Белок

<213> Homo sapiens

<400> 51

Met Glu Thr Asp Thr Leu Leu Leu Trp Val Leu Leu Leu Trp Val Pro

1 5 10 15

Gly Ser Thr Gly Glu Pro Lys Ser Cys Asp Lys Thr His Thr Cys Pro

20 25 30

Pro Cys Pro Ala Pro Pro Leu Leu Arg Gly Pro Ser Val Phe Leu Phe

35 40 45

Pro Pro Lys Pro Lys Asp Thr Leu Met Ile Ser Arg Thr Pro Glu Val

50 55 60

Thr Cys Val Val Val Asp Val Asn Phe Glu Asp Pro Glu Val Lys Phe

65 70 75 80

Asn Trp Tyr Val Asp Gly Val Glu Val His Asn Ala Lys Thr Lys Pro

85 90 95

Arg Glu Glu Gln Tyr Asn Ser Thr Tyr Arg Val Val Ser Val Leu Thr

100 105 110

Val Leu His Gln Asp Trp Leu Asn Gly Lys Glu Tyr Lys Cys Lys Val

115 120 125

Thr Asn Lys Ala Leu Pro Ala Pro Ile Glu Lys Thr Ile Ser Lys Ala

130 135 140

Lys Gly Gln Pro Arg Glu Pro Gln Val Tyr Thr Leu Pro Pro Ser Arg

145 150 155 160

Asp Glu Leu Thr Lys Asn Gln Val Ser Leu Thr Cys Leu Val Lys Gly

165 170 175

Phe Tyr Pro Ser Asp Ile Ala Val Glu Trp Glu Ser Asn Gly Gln Pro

180 185 190

Glu Asn Asn Tyr Lys Thr Thr Pro Pro Val Leu Asp Ser Asp Gly Ser

195 200 205

Phe Phe Leu Tyr Ser Lys Leu Thr Val Asp Lys Ser Arg Trp Gln Gln

210 215 220

Gly Asn Val Phe Ser Cys Ser Val Met His Glu Ala Leu His Asn His

225 230 235 240

Tyr Thr Gln Lys Ser Leu Ser Leu Ser Pro Gly Lys Glu Arg Lys Cys

245 250 255

Cys Val Glu Cys Pro Pro Cys Pro

260

<210> 52

<211> 264

<212> Белок

<213> Homo sapiens

<400> 52

Met Glu Thr Asp Thr Leu Leu Leu Trp Val Leu Leu Leu Trp Val Pro

1 5 10 15

Gly Ser Thr Gly Glu Pro Lys Ser Cys Asp Lys Thr His Thr Cys Pro

20 25 30

Pro Cys Pro Ala Pro Glu Leu Leu Gly Gly Pro Ser Val Phe Leu Phe

35 40 45

Pro Pro Lys Pro Lys Asp Thr Leu Met Ile Ser Arg Thr Pro Glu Val

50 55 60

Thr Cys Val Val Val Asp Val Ser Phe Glu Asp Pro Glu Val Lys Phe

65 70 75 80

Asn Trp Tyr Val Asp Gly Val Glu Val His Asn Ala Lys Thr Lys Pro

85 90 95

Arg Glu Glu Gln Tyr Asn Ser Ala Tyr Arg Val Val Ser Val Leu Thr

100 105 110

Val Leu His Gln Asp Trp Leu Asn Gly Lys Glu Tyr Lys Cys Lys Val

115 120 125

Thr Asn Lys Ala Leu Pro Ala Pro Ile Glu Lys Thr Ile Ser Lys Ala

130 135 140

Lys Gly Gln Pro Arg Glu Pro Gln Val Tyr Thr Leu Pro Pro Ser Arg

145 150 155 160

Asp Glu Leu Thr Lys Asn Gln Val Ser Leu Thr Cys Leu Val Lys Gly

165 170 175

Phe Tyr Pro Ser Asp Ile Ala Val Glu Trp Glu Ser Asn Gly Gln Pro

180 185 190

Glu Asn Asn Tyr Lys Thr Thr Pro Pro Val Leu Asp Ser Asp Gly Ser

195 200 205

Phe Phe Leu Tyr Ser Lys Leu Thr Val Asp Lys Ser Arg Trp Gln Gln

210 215 220

Gly Asn Val Phe Ser Cys Ser Val Met His Glu Ala Leu His Asn His

225 230 235 240

Tyr Thr Gln Lys Ser Leu Ser Leu Ser Pro Gly Lys Glu Arg Lys Cys

245 250 255

Cys Val Glu Cys Pro Pro Cys Pro

260

<210> 53

<211> 264

<212> Белок

<213> Homo sapiens

<400> 53

Met Glu Thr Asp Thr Leu Leu Leu Trp Val Leu Leu Leu Trp Val Pro

1 5 10 15

Gly Ser Thr Gly Glu Pro Lys Ser Cys Asp Lys Thr His Thr Cys Pro

20 25 30

Pro Cys Pro Ala Pro Glu Leu Leu Gly Gly Pro Ser Val Phe Leu Phe

35 40 45

Pro Pro Lys Pro Lys Asp Thr Leu Met Ile Ser Arg Thr Pro Glu Val

50 55 60

Thr Cys Val Val Val Asp Val Arg Phe Glu Asp Pro Glu Val Lys Phe

65 70 75 80

Asn Trp Tyr Val Asp Gly Val Glu Val His Asn Ala Lys Thr Lys Pro

85 90 95

Arg Glu Glu Gln Tyr Asn Ser Ala Tyr Arg Val Val Ser Val Leu Thr

100 105 110

Val Leu His Gln Asp Trp Leu Asn Gly Lys Glu Tyr Lys Cys Lys Val

115 120 125

Thr Asn Lys Ala Leu Pro Ala Pro Ile Glu Lys Thr Ile Ser Lys Ala

130 135 140

Lys Gly Gln Pro Arg Glu Pro Gln Val Tyr Thr Leu Pro Pro Ser Arg

145 150 155 160

Asp Glu Leu Thr Lys Asn Gln Val Ser Leu Thr Cys Leu Val Lys Gly

165 170 175

Phe Tyr Pro Ser Asp Ile Ala Val Glu Trp Glu Ser Asn Gly Gln Pro

180 185 190

Glu Asn Asn Tyr Lys Thr Thr Pro Pro Val Leu Asp Ser Asp Gly Ser

195 200 205

Phe Phe Leu Tyr Ser Lys Leu Thr Val Asp Lys Ser Arg Trp Gln Gln

210 215 220

Gly Asn Val Phe Ser Cys Ser Val Met His Glu Ala Leu His Asn His

225 230 235 240

Tyr Thr Gln Lys Ser Leu Ser Leu Ser Pro Gly Lys Glu Arg Lys Cys

245 250 255

Cys Val Glu Cys Pro Pro Cys Pro

260

<210> 54

<211> 264

<212> Белок

<213> Homo sapiens

<400> 54

Met Glu Thr Asp Thr Leu Leu Leu Trp Val Leu Leu Leu Trp Val Pro

1 5 10 15

Gly Ser Thr Gly Glu Pro Lys Ser Cys Asp Lys Thr His Thr Cys Pro

20 25 30

Pro Cys Pro Ala Pro Glu Leu Leu Gly Gly Pro Ser Val Phe Leu Phe

35 40 45

Pro Pro Lys Pro Lys Asp Thr Leu Met Ile Ser Arg Thr Pro Glu Val

50 55 60

Thr Cys Val Val Val Asp Val Lys Phe Glu Asp Pro Glu Val Lys Phe

65 70 75 80

Asn Trp Tyr Val Asp Gly Val Glu Val His Asn Ala Lys Thr Lys Pro

85 90 95

Arg Glu Glu Gln Tyr Asn Ser Ala Tyr Arg Val Val Ser Val Leu Thr

100 105 110

Val Leu His Gln Asp Trp Leu Asn Gly Lys Glu Tyr Lys Cys Lys Val

115 120 125

Thr Asn Lys Ala Leu Pro Ala Pro Ile Glu Lys Thr Ile Ser Lys Ala

130 135 140

Lys Gly Gln Pro Arg Glu Pro Gln Val Tyr Thr Leu Pro Pro Ser Arg

145 150 155 160

Asp Glu Leu Thr Lys Asn Gln Val Ser Leu Thr Cys Leu Val Lys Gly

165 170 175

Phe Tyr Pro Ser Asp Ile Ala Val Glu Trp Glu Ser Asn Gly Gln Pro

180 185 190

Glu Asn Asn Tyr Lys Thr Thr Pro Pro Val Leu Asp Ser Asp Gly Ser

195 200 205

Phe Phe Leu Tyr Ser Lys Leu Thr Val Asp Lys Ser Arg Trp Gln Gln

210 215 220

Gly Asn Val Phe Ser Cys Ser Val Met His Glu Ala Leu His Asn His

225 230 235 240

Tyr Thr Gln Lys Ser Leu Ser Leu Ser Pro Gly Lys Glu Arg Lys Cys

245 250 255

Cys Val Glu Cys Pro Pro Cys Pro

260

<210> 55

<211> 264

<212> Белок

<213> Homo sapiens

<400> 55

Met Glu Thr Asp Thr Leu Leu Leu Trp Val Leu Leu Leu Trp Val Pro

1 5 10 15

Gly Ser Thr Gly Glu Pro Lys Ser Cys Asp Lys Thr His Thr Cys Pro

20 25 30

Pro Cys Pro Ala Pro Glu Leu Leu Gly Gly Pro Ser Val Phe Leu Phe

35 40 45

Pro Pro Lys Pro Lys Asp Thr Leu Met Ile Ser Arg Thr Pro Glu Val

50 55 60

Thr Cys Val Val Val Asp Val Asn Phe Glu Asp Pro Glu Val Lys Phe

65 70 75 80

Asn Trp Tyr Val Asp Gly Val Glu Val His Asn Ala Lys Thr Lys Pro

85 90 95

Arg Glu Glu Gln Tyr Asn Ser Ala Tyr Arg Val Val Ser Val Leu Thr

100 105 110

Val Leu His Gln Asp Trp Leu Asn Gly Lys Glu Tyr Lys Cys Lys Val

115 120 125

Thr Asn Lys Ala Leu Pro Ala Pro Ile Glu Lys Thr Ile Ser Lys Ala

130 135 140

Lys Gly Gln Pro Arg Glu Pro Gln Val Tyr Thr Leu Pro Pro Ser Arg

145 150 155 160

Asp Glu Leu Thr Lys Asn Gln Val Ser Leu Thr Cys Leu Val Lys Gly

165 170 175

Phe Tyr Pro Ser Asp Ile Ala Val Glu Trp Glu Ser Asn Gly Gln Pro

180 185 190

Glu Asn Asn Tyr Lys Thr Thr Pro Pro Val Leu Asp Ser Asp Gly Ser

195 200 205

Phe Phe Leu Tyr Ser Lys Leu Thr Val Asp Lys Ser Arg Trp Gln Gln

210 215 220

Gly Asn Val Phe Ser Cys Ser Val Met His Glu Ala Leu His Asn His

225 230 235 240

Tyr Thr Gln Lys Ser Leu Ser Leu Ser Pro Gly Lys Glu Arg Lys Cys

245 250 255

Cys Val Glu Cys Pro Pro Cys Pro

260

<210> 56

<211> 264

<212> Белок

<213> Homo sapiens

<400> 56

Met Glu Thr Asp Thr Leu Leu Leu Trp Val Leu Leu Leu Trp Val Pro

1 5 10 15

Gly Ser Thr Gly Glu Pro Lys Ser Cys Asp Lys Thr His Thr Cys Pro

20 25 30

Pro Cys Pro Ala Pro Glu Leu Leu Gly Gly Pro Ser Val Phe Leu Phe

35 40 45

Pro Pro Lys Pro Lys Asp Thr Leu Met Ile Ser Arg Thr Pro Glu Val

50 55 60

Thr Cys Val Val Val Asp Val Ser Phe Glu Asp Pro Glu Val Lys Phe

65 70 75 80

Asn Trp Tyr Val Asp Gly Val Glu Val His Asn Ala Lys Thr Lys Pro

85 90 95

Arg Glu Glu Gln Tyr Ala Ser Thr Tyr Arg Val Val Ser Val Leu Thr

100 105 110

Val Leu His Gln Asp Trp Leu Asn Gly Lys Glu Tyr Lys Cys Lys Val

115 120 125

Thr Asn Lys Ala Leu Pro Ala Pro Ile Glu Lys Thr Ile Ser Lys Ala

130 135 140

Lys Gly Gln Pro Arg Glu Pro Gln Val Tyr Thr Leu Pro Pro Ser Arg

145 150 155 160

Asp Glu Leu Thr Lys Asn Gln Val Ser Leu Thr Cys Leu Val Lys Gly

165 170 175

Phe Tyr Pro Ser Asp Ile Ala Val Glu Trp Glu Ser Asn Gly Gln Pro

180 185 190

Glu Asn Asn Tyr Lys Thr Thr Pro Pro Val Leu Asp Ser Asp Gly Ser

195 200 205

Phe Phe Leu Tyr Ser Lys Leu Thr Val Asp Lys Ser Arg Trp Gln Gln

210 215 220

Gly Asn Val Phe Ser Cys Ser Val Met His Glu Ala Leu His Asn His

225 230 235 240

Tyr Thr Gln Lys Ser Leu Ser Leu Ser Pro Gly Lys Glu Arg Lys Cys

245 250 255

Cys Val Glu Cys Pro Pro Cys Pro

260

<210> 57

<211> 264

<212> Белок

<213> Homo sapiens

<400> 57

Met Glu Thr Asp Thr Leu Leu Leu Trp Val Leu Leu Leu Trp Val Pro

1 5 10 15

Gly Ser Thr Gly Glu Pro Lys Ser Cys Asp Lys Thr His Thr Cys Pro

20 25 30

Pro Cys Pro Ala Pro Glu Leu Leu Gly Gly Pro Ser Val Phe Leu Phe

35 40 45

Pro Pro Lys Pro Lys Asp Thr Leu Met Ile Ser Arg Thr Pro Glu Val

50 55 60

Thr Cys Val Val Val Asp Val Lys Phe Glu Asp Pro Glu Val Lys Phe

65 70 75 80

Asn Trp Tyr Val Asp Gly Val Glu Val His Asn Ala Lys Thr Lys Pro

85 90 95

Arg Glu Glu Gln Tyr Ala Ser Thr Tyr Arg Val Val Ser Val Leu Thr

100 105 110

Val Leu His Gln Asp Trp Leu Asn Gly Lys Glu Tyr Lys Cys Lys Val

115 120 125

Thr Asn Lys Ala Leu Pro Ala Pro Ile Glu Lys Thr Ile Ser Lys Ala

130 135 140

Lys Gly Gln Pro Arg Glu Pro Gln Val Tyr Thr Leu Pro Pro Ser Arg

145 150 155 160

Asp Glu Leu Thr Lys Asn Gln Val Ser Leu Thr Cys Leu Val Lys Gly

165 170 175

Phe Tyr Pro Ser Asp Ile Ala Val Glu Trp Glu Ser Asn Gly Gln Pro

180 185 190

Glu Asn Asn Tyr Lys Thr Thr Pro Pro Val Leu Asp Ser Asp Gly Ser

195 200 205

Phe Phe Leu Tyr Ser Lys Leu Thr Val Asp Lys Ser Arg Trp Gln Gln

210 215 220

Gly Asn Val Phe Ser Cys Ser Val Met His Glu Ala Leu His Asn His

225 230 235 240

Tyr Thr Gln Lys Ser Leu Ser Leu Ser Pro Gly Lys Glu Arg Lys Cys

245 250 255

Cys Val Glu Cys Pro Pro Cys Pro

260

<210> 58

<211> 264

<212> Белок

<213> Homo sapiens

<400> 58

Met Glu Thr Asp Thr Leu Leu Leu Trp Val Leu Leu Leu Trp Val Pro

1 5 10 15

Gly Ser Thr Gly Glu Pro Lys Ser Cys Asp Lys Thr His Thr Cys Pro

20 25 30

Pro Cys Pro Ala Pro Glu Leu Leu Gly Gly Pro Ser Val Phe Leu Phe

35 40 45

Pro Pro Lys Pro Lys Asp Thr Leu Met Ile Ser Arg Thr Pro Glu Val

50 55 60

Thr Cys Val Val Val Asp Val Arg Phe Glu Asp Pro Glu Val Lys Phe

65 70 75 80

Asn Trp Tyr Val Asp Gly Val Glu Val His Asn Ala Lys Thr Lys Pro

85 90 95

Arg Glu Glu Gln Tyr Ala Ser Thr Tyr Arg Val Val Ser Val Leu Thr

100 105 110

Val Leu His Gln Asp Trp Leu Asn Gly Lys Glu Tyr Lys Cys Lys Val

115 120 125

Thr Asn Lys Ala Leu Pro Ala Pro Ile Glu Lys Thr Ile Ser Lys Ala

130 135 140

Lys Gly Gln Pro Arg Glu Pro Gln Val Tyr Thr Leu Pro Pro Ser Arg

145 150 155 160

Asp Glu Leu Thr Lys Asn Gln Val Ser Leu Thr Cys Leu Val Lys Gly

165 170 175

Phe Tyr Pro Ser Asp Ile Ala Val Glu Trp Glu Ser Asn Gly Gln Pro

180 185 190

Glu Asn Asn Tyr Lys Thr Thr Pro Pro Val Leu Asp Ser Asp Gly Ser

195 200 205

Phe Phe Leu Tyr Ser Lys Leu Thr Val Asp Lys Ser Arg Trp Gln Gln

210 215 220

Gly Asn Val Phe Ser Cys Ser Val Met His Glu Ala Leu His Asn His

225 230 235 240

Tyr Thr Gln Lys Ser Leu Ser Leu Ser Pro Gly Lys Glu Arg Lys Cys

245 250 255

Cys Val Glu Cys Pro Pro Cys Pro

260

<210> 59

<211> 264

<212> Белок

<213> Homo sapiens

<400> 59

Met Glu Thr Asp Thr Leu Leu Leu Trp Val Leu Leu Leu Trp Val Pro

1 5 10 15

Gly Ser Thr Gly Glu Pro Lys Ser Cys Asp Lys Thr His Thr Cys Pro

20 25 30

Pro Cys Pro Ala Pro Glu Leu Leu Gly Gly Pro Ser Val Phe Leu Phe

35 40 45

Pro Pro Lys Pro Lys Asp Thr Leu Met Ile Ser Arg Thr Pro Glu Val

50 55 60

Thr Cys Val Val Val Asp Val Asp Phe Glu Asp Pro Glu Val Lys Phe

65 70 75 80

Asn Trp Tyr Val Asp Gly Val Glu Val His Asn Ala Lys Thr Lys Pro

85 90 95

Arg Glu Glu Gln Tyr Ala Ser Thr Tyr Arg Val Val Ser Val Leu Thr

100 105 110

Val Leu His Gln Asp Trp Leu Asn Gly Lys Glu Tyr Lys Cys Lys Val

115 120 125

Thr Asn Lys Ala Leu Pro Ala Pro Ile Glu Lys Thr Ile Ser Lys Ala

130 135 140

Lys Gly Gln Pro Arg Glu Pro Gln Val Tyr Thr Leu Pro Pro Ser Arg

145 150 155 160

Asp Glu Leu Thr Lys Asn Gln Val Ser Leu Thr Cys Leu Val Lys Gly

165 170 175

Phe Tyr Pro Ser Asp Ile Ala Val Glu Trp Glu Ser Asn Gly Gln Pro

180 185 190

Glu Asn Asn Tyr Lys Thr Thr Pro Pro Val Leu Asp Ser Asp Gly Ser

195 200 205

Phe Phe Leu Tyr Ser Lys Leu Thr Val Asp Lys Ser Arg Trp Gln Gln

210 215 220

Gly Asn Val Phe Ser Cys Ser Val Met His Glu Ala Leu His Asn His

225 230 235 240

Tyr Thr Gln Lys Ser Leu Ser Leu Ser Pro Gly Lys Glu Arg Lys Cys

245 250 255

Cys Val Glu Cys Pro Pro Cys Pro

260

<210> 60

<211> 264

<212> Белок

<213> Homo sapiens

<400> 60

Met Glu Thr Asp Thr Leu Leu Leu Trp Val Leu Leu Leu Trp Val Pro

1 5 10 15

Gly Ser Thr Gly Glu Pro Lys Ser Cys Asp Lys Thr His Thr Cys Pro

20 25 30

Pro Cys Pro Ala Pro Glu Leu Leu Gly Gly Pro Ser Val Phe Leu Phe

35 40 45

Pro Pro Lys Pro Lys Asp Thr Leu Met Ile Ser Arg Thr Pro Glu Val

50 55 60

Thr Cys Val Val Val Asp Val Gln Phe Glu Asp Pro Glu Val Lys Phe

65 70 75 80

Asn Trp Tyr Val Asp Gly Val Glu Val His Asn Ala Lys Thr Lys Pro

85 90 95

Arg Glu Glu Gln Tyr Ala Ser Thr Tyr Arg Val Val Ser Val Leu Thr

100 105 110

Val Leu His Gln Asp Trp Leu Asn Gly Lys Glu Tyr Lys Cys Lys Val

115 120 125

Thr Asn Lys Ala Leu Pro Ala Pro Ile Glu Lys Thr Ile Ser Lys Ala

130 135 140

Lys Gly Gln Pro Arg Glu Pro Gln Val Tyr Thr Leu Pro Pro Ser Arg

145 150 155 160

Asp Glu Leu Thr Lys Asn Gln Val Ser Leu Thr Cys Leu Val Lys Gly

165 170 175

Phe Tyr Pro Ser Asp Ile Ala Val Glu Trp Glu Ser Asn Gly Gln Pro

180 185 190

Glu Asn Asn Tyr Lys Thr Thr Pro Pro Val Leu Asp Ser Asp Gly Ser

195 200 205

Phe Phe Leu Tyr Ser Lys Leu Thr Val Asp Lys Ser Arg Trp Gln Gln

210 215 220

Gly Asn Val Phe Ser Cys Ser Val Met His Glu Ala Leu His Asn His

225 230 235 240

Tyr Thr Gln Lys Ser Leu Ser Leu Ser Pro Gly Lys Glu Arg Lys Cys

245 250 255

Cys Val Glu Cys Pro Pro Cys Pro

260

<210> 61

<211> 264

<212> Белок

<213> Homo sapiens

<400> 61

Met Glu Thr Asp Thr Leu Leu Leu Trp Val Leu Leu Leu Trp Val Pro

1 5 10 15

Gly Ser Thr Gly Glu Pro Lys Ser Cys Asp Lys Thr His Thr Cys Pro

20 25 30

Pro Cys Pro Ala Pro Glu Leu Leu Arg Gly Pro Ser Val Phe Leu Phe

35 40 45

Pro Pro Lys Pro Lys Asp Thr Leu Met Ile Ser Arg Thr Pro Glu Val

50 55 60

Thr Cys Val Val Val Asp Val Ser His Glu Asp Pro Glu Val Lys Phe

65 70 75 80

Asn Trp Tyr Val Asp Gly Val Glu Val His Asn Ala Lys Thr Lys Pro

85 90 95

Arg Glu Glu Gln Tyr Asn Ser Thr Tyr Arg Val Val Ser Val Leu Thr

100 105 110

Val Leu His Gln Asp Trp Leu Asn Gly Lys Glu Tyr Lys Cys Lys Val

115 120 125

Ser Asn Lys Ala Leu Pro Ala Pro Ile Glu Lys Thr Ile Ser Lys Ala

130 135 140

Lys Gly Gln Pro Arg Glu Pro Gln Val Tyr Thr Leu Pro Pro Ser Arg

145 150 155 160

Asp Glu Leu Thr Lys Asn Gln Val Ser Leu Thr Cys Leu Val Lys Gly

165 170 175

Phe Tyr Pro Ser Asp Ile Ala Val Glu Trp Glu Ser Asn Gly Gln Pro

180 185 190

Glu Asn Asn Tyr Lys Thr Thr Pro Pro Val Leu Asp Ser Asp Gly Ser

195 200 205

Phe Phe Leu Tyr Ser Lys Leu Thr Val Asp Lys Ser Arg Trp Gln Gln

210 215 220

Gly Asn Val Phe Ser Cys Ser Val Met His Glu Ala Leu His Asn His

225 230 235 240

Tyr Thr Gln Lys Ser Leu Ser Leu Ser Pro Gly Lys Glu Arg Lys Cys

245 250 255

Cys Val Glu Cys Pro Pro Cys Pro

260

<210> 62

<211> 264

<212> Белок

<213> Homo sapiens

<400> 62

Met Glu Thr Asp Thr Leu Leu Leu Trp Val Leu Leu Leu Trp Val Pro

1 5 10 15

Gly Ser Thr Gly Glu Pro Lys Ser Cys Asp Lys Thr His Thr Cys Pro

20 25 30

Pro Cys Pro Ala Pro Pro Val Ala Gly Gly Pro Ser Val Phe Leu Phe

35 40 45

Pro Pro Lys Pro Lys Asp Thr Leu Met Ile Ser Arg Thr Pro Glu Val

50 55 60

Thr Cys Val Val Val Asp Val Glu Phe Glu Asp Pro Glu Val Lys Phe

65 70 75 80

Asn Trp Tyr Val Asp Gly Val Glu Val His Asn Ala Lys Thr Lys Pro

85 90 95

Arg Glu Glu Gln Tyr Asn Ser Thr Tyr Arg Val Val Ser Val Leu Thr

100 105 110

Val Leu His Gln Asp Trp Leu Asn Gly Lys Glu Tyr Lys Cys Lys Val

115 120 125

Thr Asn Lys Ala Leu Pro Ala Pro Ile Glu Lys Thr Ile Ser Lys Ala

130 135 140

Lys Gly Gln Pro Arg Glu Pro Gln Val Tyr Thr Leu Pro Pro Ser Arg

145 150 155 160

Asp Glu Leu Thr Lys Asn Gln Val Ser Leu Thr Cys Leu Val Lys Gly

165 170 175

Phe Tyr Pro Ser Asp Ile Ala Val Glu Trp Glu Ser Asn Gly Gln Pro

180 185 190

Glu Asn Asn Tyr Lys Thr Thr Pro Pro Val Leu Asp Ser Asp Gly Ser

195 200 205

Phe Phe Leu Tyr Ser Lys Leu Thr Val Asp Lys Ser Arg Trp Gln Gln

210 215 220

Gly Asn Val Phe Ser Cys Ser Val Met His Glu Ala Leu His Asn His

225 230 235 240

Tyr Thr Gln Lys Ser Leu Ser Leu Ser Pro Gly Lys Glu Arg Lys Cys

245 250 255

Cys Val Glu Cys Pro Pro Cys Pro

260

<210> 63

<211> 264

<212> Белок

<213> Homo sapiens

<400> 63

Met Glu Thr Asp Thr Leu Leu Leu Trp Val Leu Leu Leu Trp Val Pro

1 5 10 15

Gly Ser Thr Gly Glu Pro Lys Ser Cys Asp Lys Thr His Thr Cys Pro

20 25 30

Pro Cys Pro Ala Pro Glu Ala Ala Gly Gly Pro Ser Val Phe Leu Phe

35 40 45

Pro Pro Lys Pro Lys Asp Thr Leu Met Ile Ser Arg Thr Pro Glu Val

50 55 60

Thr Cys Val Val Val Asp Val Glu Phe Glu Asp Pro Glu Val Lys Phe

65 70 75 80

Asn Trp Tyr Val Asp Gly Val Glu Val His Asn Ala Lys Thr Lys Pro

85 90 95

Arg Glu Glu Gln Tyr Asn Ser Thr Tyr Arg Val Val Ser Val Leu Thr

100 105 110

Val Leu His Gln Asp Trp Leu Asn Gly Lys Glu Tyr Lys Cys Lys Val

115 120 125

Thr Asn Lys Ala Leu Pro Ala Pro Ile Glu Lys Thr Ile Ser Lys Ala

130 135 140

Lys Gly Gln Pro Arg Glu Pro Gln Val Tyr Thr Leu Pro Pro Ser Arg

145 150 155 160

Asp Glu Leu Thr Lys Asn Gln Val Ser Leu Thr Cys Leu Val Lys Gly

165 170 175

Phe Tyr Pro Ser Asp Ile Ala Val Glu Trp Glu Ser Asn Gly Gln Pro

180 185 190

Glu Asn Asn Tyr Lys Thr Thr Pro Pro Val Leu Asp Ser Asp Gly Ser

195 200 205

Phe Phe Leu Tyr Ser Lys Leu Thr Val Asp Lys Ser Arg Trp Gln Gln

210 215 220

Gly Asn Val Phe Ser Cys Ser Val Met His Glu Ala Leu His Asn His

225 230 235 240

Tyr Thr Gln Lys Ser Leu Ser Leu Ser Pro Gly Lys Glu Arg Lys Cys

245 250 255

Cys Val Glu Cys Pro Pro Cys Pro

260

<210> 64

<211> 264

<212> Белок

<213> Homo sapiens

<400> 64

Met Glu Thr Asp Thr Leu Leu Leu Trp Val Leu Leu Leu Trp Val Pro

1 5 10 15

Gly Ser Thr Gly Glu Arg Lys Cys Cys Val Glu Cys Pro Pro Cys Pro

20 25 30

Glu Pro Lys Ser Cys Asp Lys Thr His Thr Cys Pro Pro Cys Pro Ala

35 40 45

Pro Glu Leu Leu Gly Gly Pro Ser Val Phe Leu Phe Pro Pro Lys Pro

50 55 60

Lys Asp Thr Leu Met Ile Ser Arg Thr Pro Glu Val Thr Cys Val Val

65 70 75 80

Val Asp Val Glu Phe Glu Asp Pro Glu Val Lys Phe Asn Trp Tyr Val

85 90 95

Asp Gly Val Glu Val His Asn Ala Lys Thr Lys Pro Arg Glu Glu Gln

100 105 110

Tyr Asn Ser Thr Tyr Arg Val Val Ser Val Leu Thr Val Leu His Gln

115 120 125

Asp Trp Leu Asn Gly Lys Glu Tyr Lys Cys Lys Val Thr Asn Lys Ala

130 135 140

Phe Pro Ala Pro Ile Glu Lys Thr Ile Ser Lys Ala Lys Gly Gln Pro

145 150 155 160

Arg Glu Pro Gln Val Tyr Thr Leu Pro Pro Ser Arg Asp Glu Leu Thr

165 170 175

Lys Asn Gln Val Ser Leu Thr Cys Leu Val Lys Gly Phe Tyr Pro Ser

180 185 190

Asp Ile Ala Val Glu Trp Glu Ser Asn Gly Gln Pro Glu Asn Asn Tyr

195 200 205

Lys Thr Thr Pro Pro Val Leu Asp Ser Asp Gly Ser Phe Phe Leu Tyr

210 215 220

Ser Lys Leu Thr Val Asp Lys Ser Arg Trp Gln Gln Gly Asn Val Phe

225 230 235 240

Ser Cys Ser Val Met His Glu Ala Leu His Asn His Tyr Thr Gln Lys

245 250 255

Ser Leu Ser Leu Ser Pro Gly Lys

260

<210> 65

<211> 264

<212> Белок

<213> Homo sapiens

<400> 65

Met Glu Thr Asp Thr Leu Leu Leu Trp Val Leu Leu Leu Trp Val Pro

1 5 10 15

Gly Ser Thr Gly Glu Pro Lys Ser Cys Asp Lys Thr His Thr Cys Pro

20 25 30

Pro Cys Pro Ala Pro Pro Leu Leu Glu Gly Pro Ser Val Phe Leu Phe

35 40 45

Pro Pro Lys Pro Lys Asp Thr Leu Met Ile Ser Arg Thr Pro Glu Val

50 55 60

Thr Cys Val Val Val Asp Val Ser Phe Glu Asp Pro Glu Val Lys Phe

65 70 75 80

Asn Trp Tyr Val Asp Gly Val Glu Val His Asn Ala Lys Thr Lys Pro

85 90 95

Arg Glu Glu Gln Tyr Asn Ser Thr Tyr Arg Val Val Ser Val Leu Thr

100 105 110

Val Leu His Gln Asp Trp Leu Asn Gly Lys Glu Tyr Lys Cys Lys Val

115 120 125

Thr Asn Lys Ala Leu Pro Ala Pro Ile Glu Lys Thr Ile Ser Lys Ala

130 135 140

Lys Gly Gln Pro Arg Glu Pro Gln Val Tyr Thr Leu Pro Pro Ser Arg

145 150 155 160

Asp Glu Leu Thr Lys Asn Gln Val Ser Leu Thr Cys Leu Val Lys Gly

165 170 175

Phe Tyr Pro Ser Asp Ile Ala Val Glu Trp Glu Ser Asn Gly Gln Pro

180 185 190

Glu Asn Asn Tyr Lys Thr Thr Pro Pro Val Leu Asp Ser Asp Gly Ser

195 200 205

Phe Phe Leu Tyr Ser Lys Leu Thr Val Asp Lys Ser Arg Trp Gln Gln

210 215 220

Gly Asn Val Phe Ser Cys Ser Val Met His Glu Ala Leu His Asn His

225 230 235 240

Tyr Thr Gln Lys Ser Leu Ser Leu Ser Pro Gly Lys Glu Arg Lys Cys

245 250 255

Cys Val Glu Cys Pro Pro Cys Pro

260

<210> 66

<211> 264

<212> Белок

<213> Homo sapiens

<400> 66

Met Glu Thr Asp Thr Leu Leu Leu Trp Val Leu Leu Leu Trp Val Pro

1 5 10 15

Gly Ser Thr Gly Glu Pro Lys Ser Cys Asp Lys Thr His Thr Cys Pro

20 25 30

Pro Cys Pro Ala Pro Pro Leu Leu Asp Gly Pro Ser Val Phe Leu Phe

35 40 45

Pro Pro Lys Pro Lys Asp Thr Leu Met Ile Ser Arg Thr Pro Glu Val

50 55 60

Thr Cys Val Val Val Asp Val Ser Phe Glu Asp Pro Glu Val Lys Phe

65 70 75 80

Asn Trp Tyr Val Asp Gly Val Glu Val His Asn Ala Lys Thr Lys Pro

85 90 95

Arg Glu Glu Gln Tyr Asn Ser Thr Tyr Arg Val Val Ser Val Leu Thr

100 105 110

Val Leu His Gln Asp Trp Leu Asn Gly Lys Glu Tyr Lys Cys Lys Val

115 120 125

Thr Asn Lys Ala Leu Pro Ala Pro Ile Glu Lys Thr Ile Ser Lys Ala

130 135 140

Lys Gly Gln Pro Arg Glu Pro Gln Val Tyr Thr Leu Pro Pro Ser Arg

145 150 155 160

Asp Glu Leu Thr Lys Asn Gln Val Ser Leu Thr Cys Leu Val Lys Gly

165 170 175

Phe Tyr Pro Ser Asp Ile Ala Val Glu Trp Glu Ser Asn Gly Gln Pro

180 185 190

Glu Asn Asn Tyr Lys Thr Thr Pro Pro Val Leu Asp Ser Asp Gly Ser

195 200 205

Phe Phe Leu Tyr Ser Lys Leu Thr Val Asp Lys Ser Arg Trp Gln Gln

210 215 220

Gly Asn Val Phe Ser Cys Ser Val Met His Glu Ala Leu His Asn His

225 230 235 240

Tyr Thr Gln Lys Ser Leu Ser Leu Ser Pro Gly Lys Glu Arg Lys Cys

245 250 255

Cys Val Glu Cys Pro Pro Cys Pro

260

<210> 67

<211> 264

<212> Белок

<213> Homo sapiens

<400> 67

Met Glu Thr Asp Thr Leu Leu Leu Trp Val Leu Leu Leu Trp Val Pro

1 5 10 15

Gly Ser Thr Gly Glu Pro Lys Ser Cys Asp Lys Thr His Thr Cys Pro

20 25 30

Pro Cys Pro Ala Pro Pro Leu Leu Gly Gly Pro Ser Val Phe Leu Phe

35 40 45

Pro Pro Lys Pro Lys Asp Thr Leu Met Ile Ser Arg Thr Pro Glu Val

50 55 60

Thr Cys Val Val Val Asp Val Gln Phe Glu Asp Pro Glu Val Lys Phe

65 70 75 80

Asn Trp Tyr Val Asp Gly Val Glu Val His Asn Ala Lys Thr Lys Pro

85 90 95

Arg Glu Glu Gln Tyr Asn Ser Thr Tyr Arg Val Val Ser Val Leu Thr

100 105 110

Val Leu His Gln Asp Trp Leu Asn Gly Lys Glu Tyr Lys Cys Lys Val

115 120 125

Thr Asn Lys Ala Leu Pro Ala Pro Ile Glu Lys Thr Ile Ser Lys Ala

130 135 140

Lys Gly Gln Pro Arg Glu Pro Gln Val Tyr Thr Leu Pro Pro Ser Arg

145 150 155 160

Asp Glu Leu Thr Lys Asn Gln Val Ser Leu Thr Cys Leu Val Lys Gly

165 170 175

Phe Tyr Pro Ser Asp Ile Ala Val Glu Trp Glu Ser Asn Gly Gln Pro

180 185 190

Glu Asn Asn Tyr Lys Thr Thr Pro Pro Val Leu Asp Ser Asp Gly Ser

195 200 205

Phe Phe Leu Tyr Ser Lys Leu Thr Val Asp Lys Ser Arg Trp Gln Gln

210 215 220

Gly Asn Val Phe Ser Cys Ser Val Met His Glu Ala Leu His Asn His

225 230 235 240

Tyr Thr Gln Lys Ser Leu Ser Leu Ser Pro Gly Lys Glu Arg Lys Cys

245 250 255

Cys Val Glu Cys Pro Pro Cys Pro

260

<210> 68

<211> 264

<212> Белок

<213> Homo sapiens

<400> 68

Met Glu Thr Asp Thr Leu Leu Leu Trp Val Leu Leu Leu Trp Val Pro

1 5 10 15

Gly Ser Thr Gly Glu Pro Lys Ser Cys Asp Lys Thr His Thr Cys Pro

20 25 30

Pro Cys Pro Ala Pro Pro Leu Leu Gly Gly Pro Ser Val Phe Leu Phe

35 40 45

Pro Pro Lys Pro Lys Asp Thr Leu Met Ile Ser Arg Thr Pro Glu Val

50 55 60

Thr Cys Val Val Val Asp Val Asp Phe Glu Asp Pro Glu Val Lys Phe

65 70 75 80

Asn Trp Tyr Val Asp Gly Val Glu Val His Asn Ala Lys Thr Lys Pro

85 90 95

Arg Glu Glu Gln Tyr Asn Ser Thr Tyr Arg Val Val Ser Val Leu Thr

100 105 110

Val Leu His Gln Asp Trp Leu Asn Gly Lys Glu Tyr Lys Cys Lys Val

115 120 125

Thr Asn Lys Ala Leu Pro Ala Pro Ile Glu Lys Thr Ile Ser Lys Ala

130 135 140

Lys Gly Gln Pro Arg Glu Pro Gln Val Tyr Thr Leu Pro Pro Ser Arg

145 150 155 160

Asp Glu Leu Thr Lys Asn Gln Val Ser Leu Thr Cys Leu Val Lys Gly

165 170 175

Phe Tyr Pro Ser Asp Ile Ala Val Glu Trp Glu Ser Asn Gly Gln Pro

180 185 190

Glu Asn Asn Tyr Lys Thr Thr Pro Pro Val Leu Asp Ser Asp Gly Ser

195 200 205

Phe Phe Leu Tyr Ser Lys Leu Thr Val Asp Lys Ser Arg Trp Gln Gln

210 215 220

Gly Asn Val Phe Ser Cys Ser Val Met His Glu Ala Leu His Asn His

225 230 235 240

Tyr Thr Gln Lys Ser Leu Ser Leu Ser Pro Gly Lys Glu Arg Lys Cys

245 250 255

Cys Val Glu Cys Pro Pro Cys Pro

260

<210> 69

<211> 264

<212> Белок

<213> Homo sapiens

<400> 69

Met Glu Thr Asp Thr Leu Leu Leu Trp Val Leu Leu Leu Trp Val Pro

1 5 10 15

Gly Ser Thr Gly Glu Pro Lys Ser Cys Asp Lys Thr His Thr Cys Pro

20 25 30

Pro Cys Pro Ala Pro Pro Leu Leu Gly Gly Pro Ser Val Phe Leu Phe

35 40 45

Pro Pro Lys Pro Lys Asp Thr Leu Met Ile Ser Arg Thr Pro Glu Val

50 55 60

Thr Cys Val Val Val Asp Val His Phe Glu Asp Pro Glu Val Lys Phe

65 70 75 80

Asn Trp Tyr Val Asp Gly Val Glu Val His Asn Ala Lys Thr Lys Pro

85 90 95

Arg Glu Glu Gln Tyr Asn Ser Thr Tyr Arg Val Val Ser Val Leu Thr

100 105 110

Val Leu His Gln Asp Trp Leu Asn Gly Lys Glu Tyr Lys Cys Lys Val

115 120 125

Thr Asn Lys Ala Leu Pro Ala Pro Ile Glu Lys Thr Ile Ser Lys Ala

130 135 140

Lys Gly Gln Pro Arg Glu Pro Gln Val Tyr Thr Leu Pro Pro Ser Arg

145 150 155 160

Asp Glu Leu Thr Lys Asn Gln Val Ser Leu Thr Cys Leu Val Lys Gly

165 170 175

Phe Tyr Pro Ser Asp Ile Ala Val Glu Trp Glu Ser Asn Gly Gln Pro

180 185 190

Glu Asn Asn Tyr Lys Thr Thr Pro Pro Val Leu Asp Ser Asp Gly Ser

195 200 205

Phe Phe Leu Tyr Ser Lys Leu Thr Val Asp Lys Ser Arg Trp Gln Gln

210 215 220

Gly Asn Val Phe Ser Cys Ser Val Met His Glu Ala Leu His Asn His

225 230 235 240

Tyr Thr Gln Lys Ser Leu Ser Leu Ser Pro Gly Lys Glu Arg Lys Cys

245 250 255

Cys Val Glu Cys Pro Pro Cys Pro

260

<210> 70

<211> 264

<212> Белок

<213> Homo sapiens

<400> 70

Met Glu Thr Asp Thr Leu Leu Leu Trp Val Leu Leu Leu Trp Val Pro

1 5 10 15

Gly Ser Thr Gly Glu Pro Lys Ser Cys Asp Lys Thr His Thr Cys Pro

20 25 30

Pro Cys Pro Ala Pro Pro Leu Leu Gly Gly Pro Ser Val Phe Leu Phe

35 40 45

Pro Pro Lys Pro Lys Asp Thr Leu Met Ile Ser Arg Thr Pro Glu Val

50 55 60

Thr Cys Val Val Val Asp Val Glu Phe Glu Asp Pro Glu Val Lys Phe

65 70 75 80

Asn Trp Tyr Val Asp Gly Val Glu Val His Asn Ala Lys Thr Lys Pro

85 90 95

Arg Glu Glu Gln Tyr Asn Ser Thr Tyr Arg Val Val Ser Val Leu Thr

100 105 110

Val Leu His Gln Asp Trp Leu Asn Gly Lys Glu Tyr Lys Cys Lys Val

115 120 125

Thr Asn Lys Ala Leu Pro Ala Pro Ile Glu Lys Thr Ile Ser Lys Ala

130 135 140

Lys Gly Gln Pro Arg Glu Pro Gln Val Tyr Thr Leu Pro Pro Ser Arg

145 150 155 160

Asp Glu Leu Thr Lys Asn Gln Val Ser Leu Thr Cys Leu Val Lys Gly

165 170 175

Phe Tyr Pro Ser Asp Ile Ala Val Glu Trp Glu Ser Asn Gly Gln Pro

180 185 190

Glu Asn Asn Tyr Lys Thr Thr Pro Pro Val Leu Asp Ser Asp Gly Ser

195 200 205

Phe Phe Leu Tyr Ser Lys Leu Thr Val Asp Lys Ser Arg Trp Gln Gln

210 215 220

Gly Asn Val Phe Ser Cys Ser Val Met His Glu Ala Leu His Asn His

225 230 235 240

Tyr Thr Gln Lys Ser Leu Ser Leu Ser Pro Gly Lys Glu Arg Lys Cys

245 250 255

Cys Val Glu Cys Pro Pro Cys Pro

260

<210> 71

<211> 264

<212> Белок

<213> Homo sapiens

<400> 71

Met Glu Thr Asp Thr Leu Leu Leu Trp Val Leu Leu Leu Trp Val Pro

1 5 10 15

Gly Ser Thr Gly Glu Pro Lys Ser Cys Asp Lys Thr His Thr Cys Pro

20 25 30

Pro Cys Pro Ala Pro Pro Leu Leu Asp Gly Pro Ser Val Phe Leu Phe

35 40 45

Pro Pro Lys Pro Lys Asp Thr Leu Met Ile Ser Arg Thr Pro Glu Val

50 55 60

Thr Cys Val Val Val Asp Val Gln Phe Glu Asp Pro Glu Val Lys Phe

65 70 75 80

Asn Trp Tyr Val Asp Gly Val Glu Val His Asn Ala Lys Thr Lys Pro

85 90 95

Arg Glu Glu Gln Tyr Asn Ser Thr Tyr Arg Val Val Ser Val Leu Thr

100 105 110

Val Leu His Gln Asp Trp Leu Asn Gly Lys Glu Tyr Lys Cys Lys Val

115 120 125

Thr Asn Lys Ala Leu Pro Ala Pro Ile Glu Lys Thr Ile Ser Lys Ala

130 135 140

Lys Gly Gln Pro Arg Glu Pro Gln Val Tyr Thr Leu Pro Pro Ser Arg

145 150 155 160

Asp Glu Leu Thr Lys Asn Gln Val Ser Leu Thr Cys Leu Val Lys Gly

165 170 175

Phe Tyr Pro Ser Asp Ile Ala Val Glu Trp Glu Ser Asn Gly Gln Pro

180 185 190

Glu Asn Asn Tyr Lys Thr Thr Pro Pro Val Leu Asp Ser Asp Gly Ser

195 200 205

Phe Phe Leu Tyr Ser Lys Leu Thr Val Asp Lys Ser Arg Trp Gln Gln

210 215 220

Gly Asn Val Phe Ser Cys Ser Val Met His Glu Ala Leu His Asn His

225 230 235 240

Tyr Thr Gln Lys Ser Leu Ser Leu Ser Pro Gly Lys Glu Arg Lys Cys

245 250 255

Cys Val Glu Cys Pro Pro Cys Pro

260

<210> 72

<211> 264

<212> Белок

<213> Homo sapiens

<400> 72

Met Glu Thr Asp Thr Leu Leu Leu Trp Val Leu Leu Leu Trp Val Pro

1 5 10 15

Gly Ser Thr Gly Glu Pro Lys Ser Cys Asp Lys Thr His Thr Cys Pro

20 25 30

Pro Cys Pro Ala Pro Pro Leu Leu Gln Gly Pro Ser Val Phe Leu Phe

35 40 45

Pro Pro Lys Pro Lys Asp Thr Leu Met Ile Ser Arg Thr Pro Glu Val

50 55 60

Thr Cys Val Val Val Asp Val Asp Phe Glu Asp Pro Glu Val Lys Phe

65 70 75 80

Asn Trp Tyr Val Asp Gly Val Glu Val His Asn Ala Lys Thr Lys Pro

85 90 95

Arg Glu Glu Gln Tyr Asn Ser Thr Tyr Arg Val Val Ser Val Leu Thr

100 105 110

Val Leu His Gln Asp Trp Leu Asn Gly Lys Glu Tyr Lys Cys Lys Val

115 120 125

Thr Asn Lys Ala Leu Pro Ala Pro Ile Glu Lys Thr Ile Ser Lys Ala

130 135 140

Lys Gly Gln Pro Arg Glu Pro Gln Val Tyr Thr Leu Pro Pro Ser Arg

145 150 155 160

Asp Glu Leu Thr Lys Asn Gln Val Ser Leu Thr Cys Leu Val Lys Gly

165 170 175

Phe Tyr Pro Ser Asp Ile Ala Val Glu Trp Glu Ser Asn Gly Gln Pro

180 185 190

Glu Asn Asn Tyr Lys Thr Thr Pro Pro Val Leu Asp Ser Asp Gly Ser

195 200 205

Phe Phe Leu Tyr Ser Lys Leu Thr Val Asp Lys Ser Arg Trp Gln Gln

210 215 220

Gly Asn Val Phe Ser Cys Ser Val Met His Glu Ala Leu His Asn His

225 230 235 240

Tyr Thr Gln Lys Ser Leu Ser Leu Ser Pro Gly Lys Glu Arg Lys Cys

245 250 255

Cys Val Glu Cys Pro Pro Cys Pro

260

<210> 73

<211> 264

<212> Белок

<213> Homo sapiens

<400> 73

Met Glu Thr Asp Thr Leu Leu Leu Trp Val Leu Leu Leu Trp Val Pro

1 5 10 15

Gly Ser Thr Gly Glu Pro Lys Ser Cys Asp Lys Thr His Thr Cys Pro

20 25 30

Pro Cys Pro Ala Pro Pro Leu Leu Asp Gly Pro Ser Val Phe Leu Phe

35 40 45

Pro Pro Lys Pro Lys Asp Thr Leu Met Ile Ser Arg Thr Pro Glu Val

50 55 60

Thr Cys Val Val Val Asp Val Asp Phe Glu Asp Pro Glu Val Lys Phe

65 70 75 80

Asn Trp Tyr Val Asp Gly Val Glu Val His Asn Ala Lys Thr Lys Pro

85 90 95

Arg Glu Glu Gln Tyr Asn Ser Thr Tyr Arg Val Val Ser Val Leu Thr

100 105 110

Val Leu His Gln Asp Trp Leu Asn Gly Lys Glu Tyr Lys Cys Lys Val

115 120 125

Thr Asn Lys Ala Leu Pro Ala Pro Ile Glu Lys Thr Ile Ser Lys Ala

130 135 140

Lys Gly Gln Pro Arg Glu Pro Gln Val Tyr Thr Leu Pro Pro Ser Arg

145 150 155 160

Asp Glu Leu Thr Lys Asn Gln Val Ser Leu Thr Cys Leu Val Lys Gly

165 170 175

Phe Tyr Pro Ser Asp Ile Ala Val Glu Trp Glu Ser Asn Gly Gln Pro

180 185 190

Glu Asn Asn Tyr Lys Thr Thr Pro Pro Val Leu Asp Ser Asp Gly Ser

195 200 205

Phe Phe Leu Tyr Ser Lys Leu Thr Val Asp Lys Ser Arg Trp Gln Gln

210 215 220

Gly Asn Val Phe Ser Cys Ser Val Met His Glu Ala Leu His Asn His

225 230 235 240

Tyr Thr Gln Lys Ser Leu Ser Leu Ser Pro Gly Lys Glu Arg Lys Cys

245 250 255

Cys Val Glu Cys Pro Pro Cys Pro

260

<210> 74

<211> 264

<212> Белок

<213> Homo sapiens

<400> 74

Met Glu Thr Asp Thr Leu Leu Leu Trp Val Leu Leu Leu Trp Val Pro

1 5 10 15

Gly Ser Thr Gly Glu Pro Lys Ser Cys Asp Lys Thr His Thr Cys Pro

20 25 30

Pro Cys Pro Ala Pro Glu Leu Leu Gly Gly Pro Ser Val Phe Leu Phe

35 40 45

Pro Pro Lys Pro Lys Asp Thr Leu Met Ile Ser Arg Thr Pro Glu Val

50 55 60

Thr Cys Val Val Val Asp Val Glu Phe Glu Asp Pro Glu Val Lys Phe

65 70 75 80

Asn Trp Tyr Val Asp Gly Val Glu Val His Asn Ala Lys Thr Lys Pro

85 90 95

Arg Glu Glu Gln Tyr Asn Ser Ala Tyr Arg Val Val Ser Val Leu Thr

100 105 110

Val Leu His Gln Asp Trp Leu Asn Gly Lys Glu Tyr Lys Cys Lys Val

115 120 125

Thr Asn Lys Ala Leu Pro Ala Pro Ile Glu Lys Thr Ile Ser Lys Ala

130 135 140

Lys Gly Gln Pro Arg Glu Pro Gln Val Tyr Thr Leu Pro Pro Ser Arg

145 150 155 160

Asp Glu Leu Thr Lys Asn Gln Val Ser Leu Thr Cys Leu Val Lys Gly

165 170 175

Phe Tyr Pro Ser Asp Ile Ala Val Glu Trp Glu Ser Asn Gly Gln Pro

180 185 190

Glu Asn Asn Tyr Lys Thr Thr Pro Pro Val Leu Asp Ser Asp Gly Ser

195 200 205

Phe Phe Leu Tyr Ser Lys Leu Thr Val Asp Lys Ser Arg Trp Gln Gln

210 215 220

Gly Asn Val Phe Ser Cys Ser Val Met His Glu Ala Leu His Asn His

225 230 235 240

Tyr Thr Gln Lys Ser Leu Ser Leu Ser Pro Gly Lys Glu Arg Lys Cys

245 250 255

Cys Val Glu Cys Pro Pro Cys Pro

260

<210> 75

<211> 264

<212> Белок

<213> Homo sapiens

<400> 75

Met Glu Thr Asp Thr Leu Leu Leu Trp Val Leu Leu Leu Trp Val Pro

1 5 10 15

Gly Ser Thr Gly Glu Pro Lys Ser Cys Asp Lys Thr His Thr Cys Pro

20 25 30

Pro Cys Pro Ala Pro Glu Leu Leu Gly Gly Pro Ser Val Phe Leu Phe

35 40 45

Pro Pro Lys Pro Lys Asp Thr Leu Met Ile Ser Arg Thr Pro Glu Val

50 55 60

Thr Cys Val Val Val Asp Val Gln Phe Glu Asp Pro Glu Val Lys Phe

65 70 75 80

Asn Trp Tyr Val Asp Gly Val Glu Val His Asn Ala Lys Thr Lys Pro

85 90 95

Arg Glu Glu Gln Tyr Asn Ser Ala Tyr Arg Val Val Ser Val Leu Thr

100 105 110

Val Leu His Gln Asp Trp Leu Asn Gly Lys Glu Tyr Lys Cys Lys Val

115 120 125

Thr Asn Lys Ala Leu Pro Ala Pro Ile Glu Lys Thr Ile Ser Lys Ala

130 135 140

Lys Gly Gln Pro Arg Glu Pro Gln Val Tyr Thr Leu Pro Pro Ser Arg

145 150 155 160

Asp Glu Leu Thr Lys Asn Gln Val Ser Leu Thr Cys Leu Val Lys Gly

165 170 175

Phe Tyr Pro Ser Asp Ile Ala Val Glu Trp Glu Ser Asn Gly Gln Pro

180 185 190

Glu Asn Asn Tyr Lys Thr Thr Pro Pro Val Leu Asp Ser Asp Gly Ser

195 200 205

Phe Phe Leu Tyr Ser Lys Leu Thr Val Asp Lys Ser Arg Trp Gln Gln

210 215 220

Gly Asn Val Phe Ser Cys Ser Val Met His Glu Ala Leu His Asn His

225 230 235 240

Tyr Thr Gln Lys Ser Leu Ser Leu Ser Pro Gly Lys Glu Arg Lys Cys

245 250 255

Cys Val Glu Cys Pro Pro Cys Pro

260

<210> 76

<211> 264

<212> Белок

<213> Homo sapiens

<400> 76

Met Glu Thr Asp Thr Leu Leu Leu Trp Val Leu Leu Leu Trp Val Pro

1 5 10 15

Gly Ser Thr Gly Glu Pro Lys Ser Cys Asp Lys Thr His Thr Cys Pro

20 25 30

Pro Cys Pro Ala Pro Glu Leu Leu Gly Gly Pro Ser Val Phe Leu Phe

35 40 45

Pro Pro Lys Pro Lys Asp Thr Leu Met Ile Ser Arg Thr Pro Glu Val

50 55 60

Thr Cys Val Val Val Asp Val Asp Phe Glu Asp Pro Glu Val Lys Phe

65 70 75 80

Asn Trp Tyr Val Asp Gly Val Glu Val His Asn Ala Lys Thr Lys Pro

85 90 95

Arg Glu Glu Gln Tyr Asn Ser Ala Tyr Arg Val Val Ser Val Leu Thr

100 105 110

Val Leu His Gln Asp Trp Leu Asn Gly Lys Glu Tyr Lys Cys Lys Val

115 120 125

Thr Asn Lys Ala Leu Pro Ala Pro Ile Glu Lys Thr Ile Ser Lys Ala

130 135 140

Lys Gly Gln Pro Arg Glu Pro Gln Val Tyr Thr Leu Pro Pro Ser Arg

145 150 155 160

Asp Glu Leu Thr Lys Asn Gln Val Ser Leu Thr Cys Leu Val Lys Gly

165 170 175

Phe Tyr Pro Ser Asp Ile Ala Val Glu Trp Glu Ser Asn Gly Gln Pro

180 185 190

Glu Asn Asn Tyr Lys Thr Thr Pro Pro Val Leu Asp Ser Asp Gly Ser

195 200 205

Phe Phe Leu Tyr Ser Lys Leu Thr Val Asp Lys Ser Arg Trp Gln Gln

210 215 220

Gly Asn Val Phe Ser Cys Ser Val Met His Glu Ala Leu His Asn His

225 230 235 240

Tyr Thr Gln Lys Ser Leu Ser Leu Ser Pro Gly Lys Glu Arg Lys Cys

245 250 255

Cys Val Glu Cys Pro Pro Cys Pro

260

<210> 77

<211> 264

<212> Белок

<213> Homo sapiens

<400> 77

Met Glu Thr Asp Thr Leu Leu Leu Trp Val Leu Leu Leu Trp Val Pro

1 5 10 15

Gly Ser Thr Gly Glu Pro Lys Ser Cys Asp Lys Thr His Thr Cys Pro

20 25 30

Pro Cys Pro Ala Pro Glu Leu Leu Gly Gly Pro Ser Val Phe Leu Phe

35 40 45

Pro Pro Lys Pro Lys Asp Thr Leu Met Ile Ser Arg Thr Pro Glu Val

50 55 60

Thr Cys Val Val Val Asp Val His Phe Glu Asp Pro Glu Val Lys Phe

65 70 75 80

Asn Trp Tyr Val Asp Gly Val Glu Val His Asn Ala Lys Thr Lys Pro

85 90 95

Arg Glu Glu Gln Tyr Asn Ser Ala Tyr Arg Val Val Ser Val Leu Thr

100 105 110

Val Leu His Gln Asp Trp Leu Asn Gly Lys Glu Tyr Lys Cys Lys Val

115 120 125

Thr Asn Lys Ala Leu Pro Ala Pro Ile Glu Lys Thr Ile Ser Lys Ala

130 135 140

Lys Gly Gln Pro Arg Glu Pro Gln Val Tyr Thr Leu Pro Pro Ser Arg

145 150 155 160

Asp Glu Leu Thr Lys Asn Gln Val Ser Leu Thr Cys Leu Val Lys Gly

165 170 175

Phe Tyr Pro Ser Asp Ile Ala Val Glu Trp Glu Ser Asn Gly Gln Pro

180 185 190

Glu Asn Asn Tyr Lys Thr Thr Pro Pro Val Leu Asp Ser Asp Gly Ser

195 200 205

Phe Phe Leu Tyr Ser Lys Leu Thr Val Asp Lys Ser Arg Trp Gln Gln

210 215 220

Gly Asn Val Phe Ser Cys Ser Val Met His Glu Ala Leu His Asn His

225 230 235 240

Tyr Thr Gln Lys Ser Leu Ser Leu Ser Pro Gly Lys Glu Arg Lys Cys

245 250 255

Cys Val Glu Cys Pro Pro Cys Pro

260

<210> 78

<211> 264

<212> Белок

<213> Homo sapiens

<400> 78

Met Glu Thr Asp Thr Leu Leu Leu Trp Val Leu Leu Leu Trp Val Pro

1 5 10 15

Gly Ser Thr Gly Glu Arg Lys Cys Cys Val Glu Cys Pro Pro Cys Pro

20 25 30

Glu Pro Lys Ser Cys Asp Lys Thr His Thr Cys Pro Pro Cys Pro Ala

35 40 45

Pro Glu Leu Leu Gly Gly Pro Ser Val Phe Leu Phe Pro Pro Lys Pro

50 55 60

Lys Asp Thr Leu Met Ile Ser Arg Thr Pro Glu Val Thr Cys Val Val

65 70 75 80

Val Asp Val Glu Phe Glu Asp Pro Glu Val Lys Phe Asn Trp Tyr Val

85 90 95

Asp Gly Val Glu Val His Asn Ala Lys Thr Lys Pro Arg Glu Glu Gln

100 105 110

Tyr Ala Ser Thr Tyr Arg Val Val Ser Val Leu Thr Val Leu His Gln

115 120 125

Asp Trp Leu Asn Gly Lys Glu Tyr Lys Cys Lys Val Thr Asn Lys Ala

130 135 140

Leu Pro Ala Pro Ile Glu Lys Thr Ile Ser Lys Ala Lys Gly Gln Pro

145 150 155 160

Arg Glu Pro Gln Val Tyr Thr Leu Pro Pro Ser Arg Glu Glu Met Thr

165 170 175

Lys Asn Gln Val Ser Leu Thr Cys Leu Val Lys Gly Phe Tyr Pro Ser

180 185 190

Asp Ile Ala Val Glu Trp Glu Ser Asn Gly Gln Pro Glu Asn Asn Tyr

195 200 205

Lys Thr Thr Pro Pro Val Leu Asp Ser Asp Gly Ser Phe Phe Leu Tyr

210 215 220

Ser Lys Leu Thr Val Asp Lys Ser Arg Trp Gln Gln Gly Asn Val Phe

225 230 235 240

Ser Cys Ser Val Met His Glu Ala Leu His Asn His Tyr Thr Gln Lys

245 250 255

Ser Leu Ser Leu Ser Pro Gly Lys

260

<210> 79

<211> 264

<212> Белок

<213> Homo sapiens

<400> 79

Met Glu Thr Asp Thr Leu Leu Leu Trp Val Leu Leu Leu Trp Val Pro

1 5 10 15

Gly Ser Thr Gly Glu Arg Lys Cys Cys Val Glu Cys Pro Pro Cys Pro

20 25 30

Glu Pro Lys Ser Cys Asp Lys Thr His Thr Cys Pro Pro Cys Pro Ala

35 40 45

Pro Glu Leu Leu Arg Gly Pro Ser Val Phe Leu Phe Pro Pro Lys Pro

50 55 60

Lys Asp Thr Leu Met Ile Ser Arg Thr Pro Glu Val Thr Cys Val Val

65 70 75 80

Val Asp Val Glu Phe Glu Asp Pro Glu Val Lys Phe Asn Trp Tyr Val

85 90 95

Asp Gly Val Glu Val His Asn Ala Lys Thr Lys Pro Arg Glu Glu Gln

100 105 110

Tyr Asn Ser Thr Tyr Arg Val Val Ser Val Leu Thr Val Leu His Gln

115 120 125

Asp Trp Leu Asn Gly Lys Glu Tyr Lys Cys Lys Val Thr Asn Lys Ala

130 135 140

Leu Pro Ala Pro Ile Glu Lys Thr Ile Ser Lys Ala Lys Gly Gln Pro

145 150 155 160

Arg Glu Pro Gln Val Tyr Thr Leu Pro Pro Ser Arg Asp Glu Leu Thr

165 170 175

Lys Asn Gln Val Ser Leu Thr Cys Leu Val Lys Gly Phe Tyr Pro Ser

180 185 190

Asp Ile Ala Val Glu Trp Glu Ser Asn Gly Gln Pro Glu Asn Asn Tyr

195 200 205

Lys Thr Thr Pro Pro Val Leu Asp Ser Asp Gly Ser Phe Phe Leu Tyr

210 215 220

Ser Lys Leu Thr Val Asp Lys Ser Arg Trp Gln Gln Gly Asn Val Phe

225 230 235 240

Ser Cys Ser Val Met His Glu Ala Leu His Asn His Tyr Thr Gln Lys

245 250 255

Ser Leu Ser Leu Ser Pro Gly Lys

260

<210> 80

<211> 263

<212> Белок

<213> Homo sapiens

<400> 80

Met Glu Thr Asp Thr Leu Leu Leu Trp Val Leu Leu Leu Val Pro Gly

1 5 10 15

Ser Thr Gly Glu Arg Lys Cys Cys Val Glu Cys Pro Pro Cys Pro Glu

20 25 30

Pro Lys Ser Cys Asp Lys Thr His Thr Cys Pro Pro Cys Pro Ala Pro

35 40 45

Glu Leu Leu Gly Gly Asp Ser Val Phe Leu Phe Pro Pro Lys Pro Lys

50 55 60

Asp Thr Leu Met Ile Ser Arg Thr Pro Glu Val Thr Cys Val Val Val

65 70 75 80

Asp Val Glu Phe Glu Asp Pro Glu Val Lys Phe Asn Trp Tyr Val Asp

85 90 95

Gly Val Glu Val His Asn Ala Lys Thr Lys Pro Arg Glu Glu Gln Tyr

100 105 110

Asn Ser Thr Tyr Arg Val Val Ser Val Leu Thr Val Leu His Gln Asp

115 120 125

Trp Leu Asn Gly Lys Glu Tyr Lys Cys Lys Val Thr Asn Lys Ala Leu

130 135 140

Pro Ala Pro Ile Glu Lys Thr Ile Ser Lys Ala Lys Gly Gln Pro Arg

145 150 155 160

Glu Pro Gln Val Tyr Thr Leu Pro Pro Ser Arg Glu Glu Met Thr Lys

165 170 175

Asn Gln Val Ser Leu Thr Cys Leu Val Lys Gly Phe Tyr Pro Ser Asp

180 185 190

Ile Ala Val Glu Trp Glu Ser Asn Gly Gln Pro Glu Asn Asn Tyr Lys

195 200 205

Thr Thr Pro Pro Val Leu Asp Ser Asp Gly Ser Phe Phe Leu Tyr Ser

210 215 220

Lys Leu Thr Val Asp Lys Ser Arg Trp Gln Gln Gly Asn Val Phe Ser

225 230 235 240

Cys Ser Val Met His Glu Ala Leu His Asn His Tyr Thr Gln Lys Ser

245 250 255

Leu Ser Leu Ser Pro Gly Lys

260

<210> 81

<211> 264

<212> Белок

<213> Homo sapiens

<400> 81

Met Glu Thr Asp Thr Leu Leu Leu Trp Val Leu Leu Leu Trp Val Pro

1 5 10 15

Gly Ser Thr Gly Glu Pro Lys Ser Cys Asp Lys Thr His Thr Cys Pro

20 25 30

Pro Cys Pro Ala Pro Pro Val Ala Gly Gly Pro Ser Val Phe Leu Phe

35 40 45

Pro Pro Lys Pro Lys Asp Thr Leu Met Ile Ser Arg Thr Pro Glu Val

50 55 60

Thr Cys Val Val Val Asp Val Glu Phe Glu Asp Pro Glu Val Lys Phe

65 70 75 80

Asn Trp Tyr Val Asp Gly Val Glu Val His Asn Ala Lys Thr Lys Pro

85 90 95

Arg Glu Glu Gln Tyr Ala Ser Thr Tyr Arg Val Val Ser Val Leu Thr

100 105 110

Val Leu His Gln Asp Trp Leu Asn Gly Lys Glu Tyr Lys Cys Lys Val

115 120 125

Thr Asn Lys Ala Leu Pro Ala Pro Ile Glu Lys Thr Ile Ser Lys Ala

130 135 140

Lys Gly Gln Pro Arg Glu Pro Gln Val Tyr Thr Leu Pro Pro Ser Arg

145 150 155 160

Asp Glu Leu Thr Lys Asn Gln Val Ser Leu Thr Cys Leu Val Lys Gly

165 170 175

Phe Tyr Pro Ser Asp Ile Ala Val Glu Trp Glu Ser Asn Gly Gln Pro

180 185 190

Glu Asn Asn Tyr Lys Thr Thr Pro Pro Val Leu Asp Ser Asp Gly Ser

195 200 205

Phe Phe Leu Tyr Ser Lys Leu Thr Val Asp Lys Ser Arg Trp Gln Gln

210 215 220

Gly Asn Val Phe Ser Cys Ser Val Met His Glu Ala Leu His Asn His

225 230 235 240

Tyr Thr Gln Lys Ser Leu Ser Leu Ser Pro Gly Lys Glu Arg Lys Cys

245 250 255

Cys Val Glu Cys Pro Pro Cys Pro

260

<210> 82

<211> 264

<212> Белок

<213> Homo sapiens

<400> 82

Met Glu Thr Asp Thr Leu Leu Leu Trp Val Leu Leu Leu Trp Val Pro

1 5 10 15

Gly Ser Thr Gly Glu Pro Lys Ser Cys Asp Lys Thr His Thr Cys Pro

20 25 30

Pro Cys Pro Ala Pro Pro Leu Leu Arg Gly Pro Ser Val Phe Leu Phe

35 40 45

Pro Pro Lys Pro Lys Asp Thr Leu Met Ile Ser Arg Thr Pro Glu Val

50 55 60

Thr Cys Val Val Val Ala Val Glu Phe Glu Asp Pro Glu Val Lys Phe

65 70 75 80

Asn Trp Tyr Val Asp Gly Val Glu Val His Asn Ala Lys Thr Lys Pro

85 90 95

Arg Glu Glu Gln Tyr Ala Ser Thr Tyr Arg Val Val Ser Val Leu Thr

100 105 110

Val Leu His Gln Asp Trp Leu Asn Gly Lys Glu Tyr Lys Cys Lys Val

115 120 125

Thr Asn Lys Ala Leu Pro Ala Pro Ile Glu Lys Thr Ile Ser Lys Ala

130 135 140

Lys Gly Gln Pro Arg Glu Pro Gln Val Tyr Thr Leu Pro Pro Ser Arg

145 150 155 160

Asp Glu Leu Thr Lys Asn Gln Val Ser Leu Thr Cys Leu Val Lys Gly

165 170 175

Phe Tyr Pro Ser Asp Ile Ala Val Glu Trp Glu Ser Asn Gly Gln Pro

180 185 190

Glu Asn Asn Tyr Lys Thr Thr Pro Pro Val Leu Asp Ser Asp Gly Ser

195 200 205

Phe Phe Leu Tyr Ser Lys Leu Thr Val Asp Lys Ser Arg Trp Gln Gln

210 215 220

Gly Asn Val Phe Ser Cys Ser Val Met His Glu Ala Leu His Asn His

225 230 235 240

Tyr Thr Gln Lys Ser Leu Ser Leu Ser Pro Gly Lys Glu Arg Lys Cys

245 250 255

Cys Val Glu Cys Pro Pro Cys Pro

260

<210> 83

<211> 264

<212> Белок

<213> Homo sapiens

<400> 83

Met Glu Thr Asp Thr Leu Leu Leu Trp Val Leu Leu Leu Trp Val Pro

1 5 10 15

Gly Ser Thr Gly Glu Pro Lys Ser Cys Asp Lys Thr His Thr Cys Pro

20 25 30

Pro Cys Pro Ala Pro Pro Val Ala Gly Gly Pro Ser Val Phe Leu Phe

35 40 45

Pro Pro Lys Pro Lys Asp Thr Leu Met Ile Ser Arg Thr Pro Glu Val

50 55 60

Thr Cys Val Val Val Asp Val Glu Phe Glu Asp Pro Glu Val Lys Phe

65 70 75 80

Asn Trp Tyr Val Asp Gly Val Glu Val His Asn Ala Lys Thr Lys Pro

85 90 95

Arg Glu Glu Gln Tyr Ala Ser Thr Tyr Arg Val Val Ser Val Leu Thr

100 105 110

Val Leu His Gln Asp Trp Leu Asn Gly Lys Glu Tyr Lys Cys Lys Val

115 120 125

Thr Asn Lys Ala Phe Pro Ala Pro Ile Glu Lys Thr Ile Ser Lys Ala

130 135 140

Lys Gly Gln Pro Arg Glu Pro Gln Val Tyr Thr Leu Pro Pro Ser Arg

145 150 155 160

Asp Glu Leu Thr Lys Asn Gln Val Ser Leu Thr Cys Leu Val Lys Gly

165 170 175

Phe Tyr Pro Ser Asp Ile Ala Val Glu Trp Glu Ser Asn Gly Gln Pro

180 185 190

Glu Asn Asn Tyr Lys Thr Thr Pro Pro Val Leu Asp Ser Asp Gly Ser

195 200 205

Phe Phe Leu Tyr Ser Lys Leu Thr Val Asp Lys Ser Arg Trp Gln Gln

210 215 220

Gly Asn Val Phe Ser Cys Ser Val Met His Glu Ala Leu His Asn His

225 230 235 240

Tyr Thr Gln Lys Ser Leu Ser Leu Ser Pro Gly Lys Glu Arg Lys Cys

245 250 255

Cys Val Glu Cys Pro Pro Cys Pro

260

<210> 84

<211> 264

<212> Белок

<213> Homo sapiens

<400> 84

Met Glu Thr Asp Thr Leu Leu Leu Trp Val Leu Leu Leu Trp Val Pro

1 5 10 15

Gly Ser Thr Gly Glu Pro Lys Ser Cys Asp Lys Thr His Thr Cys Pro

20 25 30

Pro Cys Pro Ala Pro Glu Leu Leu Gly Gly Asp Ser Val Phe Leu Phe

35 40 45

Pro Pro Lys Pro Lys Asp Thr Leu Met Ile Ser Arg Thr Pro Glu Val

50 55 60

Thr Cys Val Val Val Cys Val Glu Phe Glu Asp Pro Glu Val Lys Phe

65 70 75 80

Asn Trp Tyr Val Asp Gly Val Glu Val His Asn Ala Lys Thr Lys Pro

85 90 95

Arg Glu Glu Gln Tyr Asn Ser Thr Tyr Arg Val Val Ser Val Leu Thr

100 105 110

Val Leu His Gln Asp Trp Leu Asn Gly Lys Glu Tyr Lys Cys Lys Val

115 120 125

Thr Asn Lys Ala Leu Pro Ala Pro Ile Glu Lys Thr Ile Ser Lys Ala

130 135 140

Lys Gly Gln Pro Arg Glu Pro Gln Val Tyr Thr Leu Pro Pro Ser Arg

145 150 155 160

Asp Glu Leu Thr Lys Asn Gln Val Ser Leu Thr Cys Leu Val Lys Gly

165 170 175

Phe Tyr Pro Ser Asp Ile Ala Val Glu Trp Glu Ser Asn Gly Gln Pro

180 185 190

Glu Asn Asn Tyr Lys Thr Thr Pro Pro Val Leu Asp Ser Asp Gly Ser

195 200 205

Phe Phe Leu Tyr Ser Lys Leu Thr Val Asp Lys Ser Arg Trp Gln Gln

210 215 220

Gly Asn Val Phe Ser Cys Ser Val Met His Glu Ala Leu His Asn His

225 230 235 240

Tyr Thr Gln Lys Ser Leu Ser Leu Ser Pro Gly Lys Glu Arg Lys Cys

245 250 255

Cys Val Glu Cys Pro Pro Cys Pro

260

<210> 85

<211> 264

<212> Белок

<213> Homo sapiens

<400> 85

Met Glu Thr Asp Thr Leu Leu Leu Trp Val Leu Leu Leu Trp Val Pro

1 5 10 15

Gly Ser Thr Gly Glu Pro Lys Ser Cys Asp Lys Thr His Thr Cys Pro

20 25 30

Pro Cys Pro Ala Pro Glu Leu Leu Gly Gly Asp Ser Val Phe Leu Phe

35 40 45

Pro Pro Lys Pro Lys Asp Thr Leu Met Ile Ser Arg Thr Pro Glu Val

50 55 60

Thr Cys Val Val Val Pro Val Glu Phe Glu Asp Pro Glu Val Lys Phe

65 70 75 80

Asn Trp Tyr Val Asp Gly Val Glu Val His Asn Ala Lys Thr Lys Pro

85 90 95

Arg Glu Glu Gln Tyr Asn Ser Thr Tyr Arg Val Val Ser Val Leu Thr

100 105 110

Val Leu His Gln Asp Trp Leu Asn Gly Lys Glu Tyr Lys Cys Lys Val

115 120 125

Thr Asn Lys Ala Leu Pro Ala Pro Ile Glu Lys Thr Ile Ser Lys Ala

130 135 140

Lys Gly Gln Pro Arg Glu Pro Gln Val Tyr Thr Leu Pro Pro Ser Arg

145 150 155 160

Asp Glu Leu Thr Lys Asn Gln Val Ser Leu Thr Cys Leu Val Lys Gly

165 170 175

Phe Tyr Pro Ser Asp Ile Ala Val Glu Trp Glu Ser Asn Gly Gln Pro

180 185 190

Glu Asn Asn Tyr Lys Thr Thr Pro Pro Val Leu Asp Ser Asp Gly Ser

195 200 205

Phe Phe Leu Tyr Ser Lys Leu Thr Val Asp Lys Ser Arg Trp Gln Gln

210 215 220

Gly Asn Val Phe Ser Cys Ser Val Met His Glu Ala Leu His Asn His

225 230 235 240

Tyr Thr Gln Lys Ser Leu Ser Leu Ser Pro Gly Lys Glu Arg Lys Cys

245 250 255

Cys Val Glu Cys Pro Pro Cys Pro

260

<210> 86

<211> 263

<212> Белок

<213> Homo sapiens

<400> 86

Met Glu Thr Asp Thr Leu Leu Leu Trp Val Leu Leu Leu Val Pro Gly

1 5 10 15

Ser Thr Gly Glu Arg Lys Cys Cys Val Glu Cys Pro Pro Cys Pro Glu

20 25 30

Pro Lys Ser Cys Asp Lys Thr His Thr Cys Pro Pro Cys Pro Ala Pro

35 40 45

Glu Leu Leu Arg Gly Pro Ser Val Phe Leu Phe Pro Pro Lys Pro Lys

50 55 60

Asp Thr Leu Met Ile Ser Arg Thr Pro Glu Val Thr Cys Val Val Val

65 70 75 80

Asp Val Glu Phe Glu Asp Pro Glu Val Lys Phe Asn Trp Tyr Val Asp

85 90 95

Gly Val Glu Val His Asn Ala Lys Thr Lys Pro Arg Glu Glu Gln Tyr

100 105 110

Asn Ser Thr Tyr Arg Val Val Ser Val Leu Thr Val Leu His Gln Asp

115 120 125

Trp Leu Asn Gly Lys Glu Tyr Lys Cys Lys Val Thr Asn Lys Ala Phe

130 135 140

Pro Ala Pro Ile Glu Lys Thr Ile Ser Lys Ala Lys Gly Gln Pro Arg

145 150 155 160

Glu Pro Gln Val Tyr Thr Leu Pro Pro Ser Arg Glu Glu Met Thr Lys

165 170 175

Asn Gln Val Ser Leu Thr Cys Leu Val Lys Gly Phe Tyr Pro Ser Asp

180 185 190

Ile Ala Val Glu Trp Glu Ser Asn Gly Gln Pro Glu Asn Asn Tyr Lys

195 200 205

Thr Thr Pro Pro Val Leu Asp Ser Asp Gly Ser Phe Phe Leu Tyr Ser

210 215 220

Lys Leu Thr Val Asp Lys Ser Arg Trp Gln Gln Gly Asn Val Phe Ser

225 230 235 240

Cys Ser Val Met His Glu Ala Leu His Asn His Tyr Thr Gln Lys Ser

245 250 255

Leu Ser Leu Ser Pro Gly Lys

260

<210> 87

<211> 264

<212> Белок

<213> Homo sapiens

<400> 87

Met Glu Thr Asp Thr Leu Leu Leu Trp Val Leu Leu Leu Trp Val Pro

1 5 10 15

Gly Ser Thr Gly Glu Pro Lys Ser Cys Asp Lys Thr His Thr Cys Pro

20 25 30

Pro Cys Pro Ala Pro Glu Leu Leu Gly Gly Asp Ser Val Phe Leu Phe

35 40 45

Pro Pro Lys Pro Lys Asp Thr Leu Met Ile Ser Arg Thr Pro Glu Val

50 55 60

Thr Cys Val Val Val Asp Val Glu Phe Glu Asp Pro Glu Val Lys Phe

65 70 75 80

Asn Trp Tyr Val Asp Gly Val Glu Val His Asn Ala Lys Thr Lys Pro

85 90 95

Arg Glu Glu Gln Tyr Asn Ser Thr Tyr Arg Val Val Ser Val Leu Thr

100 105 110

Val Leu His Gln Asp Trp Leu Asn Gly Lys Glu Tyr Lys Cys Lys Val

115 120 125

Thr Asn Lys Ala Phe Pro Ala Pro Ile Glu Lys Thr Ile Ser Lys Ala

130 135 140

Lys Gly Gln Pro Arg Glu Pro Gln Val Tyr Thr Leu Pro Pro Ser Arg

145 150 155 160

Asp Glu Leu Thr Lys Asn Gln Val Ser Leu Thr Cys Leu Val Lys Gly

165 170 175

Phe Tyr Pro Ser Asp Ile Ala Val Glu Trp Glu Ser Asn Gly Gln Pro

180 185 190

Glu Asn Asn Tyr Lys Thr Thr Pro Pro Val Leu Asp Ser Asp Gly Ser

195 200 205

Phe Phe Leu Tyr Ser Lys Leu Thr Val Asp Lys Ser Arg Trp Gln Gln

210 215 220

Gly Asn Val Phe Ser Cys Ser Val Met His Glu Ala Leu His Asn His

225 230 235 240

Tyr Thr Gln Lys Ser Leu Ser Leu Ser Pro Gly Lys Glu Arg Lys Cys

245 250 255

Cys Val Glu Cys Pro Pro Cys Pro

260

<---

Похожие патенты RU2837284C2

название год авторы номер документа
ГИБРИДНЫЕ БЕЛКИ ФРАГМЕНТОВ БЕЛКОВ ЧЕЛОВЕКА ДЛЯ СОЗДАНИЯ УПОРЯДОЧЕННО МУЛЬТИМЕРИЗОВАННЫХ КОМПОЗИЦИЙ ОБЛАСТЕЙ FC ИММУНОГЛОБУЛИНОВ С УСИЛЕННЫМ СВЯЗЫВАНИЕМ С СИСТЕМОЙ КОМПЛЕМЕНТА 2016
  • Блок, Дэвид С.
  • Олсен, Хенрик
RU2737378C2
СРЕДСТВА НА ОСНОВЕ КОНСТАНТНОЙ ОБЛАСТИ ИММУНОГЛОБУЛИНА, СВЯЗЫВАЮЩИЕ Fc-РЕЦЕПТОР 2008
  • Стром Скотт Е.
  • Шульц Дан Х.
  • Блок Дэвид С.
  • Олсен Хенрик
RU2729829C2
КОНСТРУКЦИИ СЛИТОГО БЕЛКА ДЛЯ ЗАБОЛЕВАНИЯ, СВЯЗАННОГО С КОМПЛЕМЕНТОМ 2019
  • Кёртис, Майкл Стивен
  • Сторек, Майкл
  • Вайолетт, Шелия Мари
  • Каллед, Сюзан Л.
  • Фахноу, Келли С.
  • Хуан, Чэн Жань
  • Старк, Эллен Гарбер
  • Тейлор, Фредерик Роббинс
  • Каравелла, Джастин Эндрю
  • Холерс, Вернон Майкл
RU2824402C2
УЛУЧШЕННЫЕ АНТИ-FLT3 АНТИГЕНСВЯЗЫВАЮЩИЕ БЕЛКИ 2019
  • Юнг, Гундрам
  • Залих, Хельмут
  • Фогт, Фабиан
  • Зекри-Метреф, Латифа
  • Пфлюглер, Мартин
  • Энес, Изабелле
RU2830982C2
ГИБРИДНЫЕ БЕЛКИ ВАРИАНТА sPD-1—FC 2019
  • Джачча, Амато Дж.
  • Агилера, Тодд А.
  • Кариолис, Михалис С.
  • Мяо, Юй
  • Тхаккар, Каушик
  • Чжан, Синь Эрик
RU2785993C2
ВАРИАНТЫ FC-ОБЛАСТИ С МОДИФИЦИРОВАННОЙ СПОСОБНОСТЬЮ СВЯЗЫВАТЬСЯ С FCRN И С СОХРАНЕННОЙ СПОСОБНОСТЬЮ СВЯЗЫВАТЬСЯ С БЕЛКОМ А 2015
  • Школаут Александер
  • Шлотауэр Тильман
RU2727639C2
СКОНСТРУИРОВАННЫЕ МУЛЬТИСПЕЦИФИЧЕСКИЕ АНТИТЕЛА И ДРУГИЕ МУЛЬТИМЕРНЫЕ БЕЛКИ С АСИММЕТРИЧНЫМИ МУТАЦИЯМИ В ОБЛАСТИ CH2-CH3 2018
  • Чиу, Марк
  • Зволак, Адам
RU2804031C2
СВЯЗЫВАНИЕ СЛИТОГО БЕЛКА С БЕЛКОМ CD47 И ЕГО ПРИМЕНЕНИЕ 2019
  • Лв, Мин
  • Дин, Сяожань
  • Мяо, Шивэй
  • Тань, Бинь
  • Ван, Сюэгун
RU2787521C2
ХИМЕРНЫЕ БЕЛКИ НА ОСНОВЕ TIGIT И LIGHT 2018
  • Шрейбер Тейлор
  • Фромм Джордж
  • Де Сильва Суреш
RU2775490C2
ХИМЕРНЫЕ БЕЛКИ НА ОСНОВЕ CSF1R 2018
  • Шрейбер Тейлор
  • Фромм Джордж
  • Де Сильва Суреш
RU2792239C2

Иллюстрации к изобретению RU 2 837 284 C2

Реферат патента 2025 года ГИБРИДНЫЕ БЕЛКИ ФРАГМЕНТОВ БЕЛКОВ ЧЕЛОВЕКА ДЛЯ СОЗДАНИЯ УПОРЯДОЧЕННО МУЛЬТИМЕРИЗОВАННЫХ КОМПОЗИЦИЙ ОБЛАСТЕЙ FC ИММУНОГЛОБУЛИНОВ С УСИЛЕННЫМ СВЯЗЫВАНИЕМ С СИСТЕМОЙ КОМПЛЕМЕНТА

Изобретение относится к области биотехнологии, конкретно к получению пептидных гомодимеров и мультимеров для связывания с компонентом системы комплемента C1q, и может быть использовано в медицине для лечения или предотвращения ревматоидного артрита. Сконструирован пептидный гомодимер, состоящий из двух одинаковых мономеров, при этом каждый мономер состоит, в направлении от амино- к карбоксильному концу, из домена мультимеризации шарнирной области IgG2, состоящего из аминокислотной последовательности под SEQ ID NO: 4, и домена Fc IgG1, состоящего из аминокислотной последовательности под SEQ ID NO: 2 с точечными мутациями, включающими в себя S267E, H268F и S324T на основании индекса ЕС в соответствии с Кабат. Изобретение обеспечивает получение пептидного гомодимера, который связывается с комплементом C1q и ингибирует CDC. 3 н. и 6 з.п. ф-лы, 63 ил., 12 табл., 14 пр.

Формула изобретения RU 2 837 284 C2

1. Пептидный гомодимер для связывания с компонентом системы комплемента C1q, состоящий из двух одинаковых мономеров,

при этом каждый мономер состоит, в направлении от амино- к карбоксильному концу, из домена мультимеризации шарнирной области IgG2, состоящего из аминокислотной последовательности под SEQ ID NO: 4, и домена Fc IgG1, состоящего из аминокислотной последовательности под SEQ ID NO: 2 с точечными мутациями, включающими в себя S267E, H268F и S324T на основании индекса ЕС в соответствии с Кабат.

2. Пептидный гомодимер по п. 1, где домен мультимеризации шарнирной области IgG2 создает мультимеры пептидных гомодимеров.

3. Пептидный гомодимер по п. 2, где мультимеры пептидных гомодимеров представляют собой высокоупорядоченные мультимеры.

4. Пептидный гомодимер по п. 1, где пептидный гомодимер ингибирует комплемент-зависимую цитотоксичность и сохраняет связывание с FcγRI, FcγRIIa, FcγRIIb и/или FcγRIII.

5. Пептидный гомодимер по п. 1, где пептидный гомодимер проявляет повышенное связывание с комплементом C1q по сравнению с пептидным гомодимером аналогичной структуры, который не содержит точечных мутаций в положениях S267, H268 и S324.

6. Пептидный гомодимер по п. 1, где каждый мономер пептидного гомодимера содержит аминокислоты 21-264 последовательности SEQ ID NO: 17.

7. Мультимер для связывания с компонентом системы комплемента C1q, состоящий из двух или больше пептидных гомодимеров по любому из пп. 1-6.

8. Применение пептидного гомодимера по любому из пп. 1-6 или мультимера по п. 7 для лечения или предотвращения ревматоидного артрита.

9. Применение по п. 8, где пептидный гомодимер или мультимер вводится внутривенно, подкожно, перорально, внутрибрюшинно, сублингвально, буккально, чрескожно, с помощью подкожного имплантата или внутримышечно.

Документы, цитированные в отчете о поиске Патент 2025 года RU2837284C2

WO 2012016073 А2, 02.02.2012, WO 2011091078 А2, 28.07.2011, US 2014120581 A1, 01.05.2014, SCHNEIDER S
Печь для непрерывного получения сернистого натрия 1921
  • Настюков А.М.
  • Настюков К.И.
SU1A1
et al., Engineered Fc Variant Antibodies with Enhanced Ability to Recruit Complement and

RU 2 837 284 C2

Авторы

Блок, Дэвид С.

Олсен, Хенрик

Даты

2025-03-28Публикация

2016-07-22Подача