СОЕДИНЕНИЯ Российский патент 2025 года по МПК C07D413/04 C07D413/12 C07D417/12 C07D261/20 A61K31/423 A61P35/00 

Описание патента на изобретение RU2838187C2

Настоящее изобретение относится к соединениям, которые действуют как ингибиторы лизинацетилтрансферазы (KAT) семейства MYST.

Предпосылки создания изобретения

Семейство MYST является самым большим семейством KAT и названо в честь представителей дрожжей и млекопитающих, у которых они были впервые обнаружены: MOZ, Ybf2/ Sas3, Sas2 и TIP60 (Dekker 2014). Белки MYST опосредуют многие биологические функции, включая регуляцию генов, репарацию ДНК, регуляцию клеточного цикла и развитие (Avvakumov 2007; Voss 2009). Белки KAT семейства MYST играют ключевую роль в посттрансляционной модификации гистонов и, таким образом, оказывают серьезное влияние на структуру хроматина в ядре эукариотов (Avvakumov 2007). В настоящее время семейство включает пять KAT млекопитающих: TIP60 (KAT5; HTATIP; MIM 601409), MOZ (KAT6A; MIM 601408; MYST3), MORF (KAT6b; QKF; MYST4), HBO (KAT8; HBO1; MYST2) и MOF (KAT8; MYST1) (Voss 2009). Эти пять членов семейства MYST присутствуют у людей, и известно, что нарушение функционирования белков MYST связано с онкологическими заболеваниями (Avvakumov 2007). Наиболее часто используемые названия представителей семейства MYST:

Общее название Название MYST Систематическое название MOF MYST1 KAT8 HBO MYST2 KAT7 MOZ MYST3 KAT6A MORF MYST4 KAT6B TIP60 KAT5

Функциональные домены MYST

Белки MYST функционируют в мультисубъединичных белковых комплексах, включающих адаптеры, такие как белки ING, которые опосредуют связывание ДНК (Avvakumov 2007). Например, TIP60 связан с мультибелковым комплексом NuA4 (который включает более 16 членов) (Zhang 2017). Однако, также было сделано несколько сообщений о ДНК-связывающем мотиве «спираль-поворот-спираль» в пределах структуры самого белка MOZ (Holbert 2007), что свидетельствует о способности связываться непосредственно с ДНК.

На ацетилтрансферазную активность белков MYST влияет домен MYST (каталитический домен). Домен MYST содержит мотив связывания ацетил-коэнзима А, который структурно консервативен с другими HAT, и необычный цинковый палец C2HC-типа (Voss 2009). Высококонсервативный домен MYST, включающий ацетил-КоA-связывающий мотив и цинковый палец, считается определяющим признаком этого семейства ферментов (Avvakumov 2007).

Роль белков MYST

Ацетилирование остатков гистонов обычно связано с активацией транскрипции. Однако в некоторых случаях белкам MYST также приписывают угнетение транскрипции (Voss 2009). Известно, что отдельные представители семейства MYST участвуют в широком спектре важных биохимических взаимодействий:

HBO1 активирует инициацию репликации ДНК (Avvakumov 2007; Aggarwal 2004; Doyon 2006; Iizuka 2006) посредством ацетилирования гистоновых субстратов, что, по-видимому, приводит к более доступной конформации хроматина (Avvakumov 2007, Iizuka 2006). Также известно, что HBO1 играет роль в патогенезе рака молочной железы, способствуя обогащению раковых клеток, подобных стволовым (Duong 2013), и дестабилизируя эстрогеновый рецептор α (ERα) посредством убиквитинирования, которое происходит за счет гистон-ацетилирующей активности HBO1 (Iizuka 2013). HBO1 также участвует в развитии острого миелоидного лейкоза (ОМЛ) (Shi 2015).

TIP60 (KAT5) является наиболее изученным представителем семейства MYST. TIP60 играет важную роль не только в регуляции транскрипции, но и в процессе репарации повреждений ДНК, особенно двухцепочечных разрывов ДНК (DSB) (Gil 2017). TIP60 может ацетилировать p53, ATM и c-Myc. TIP60 и MOF специфически ацетилируют лизин 120 (K120) в р53 при повреждении ДНК (Avvakumov 2007). TIP60 также играет важную роль в биологии регуляторных Т-клеток (Treg). FOXP3 является главным регулятором в развитии и функции Treg, и было показано, что ацетилирование FOXP3 посредством TIP60 необходимо для активности FOXP3 (Li 2007, Xiao 2014). Подчеркивая это, условная делеция TIP60 у мышей приводит к летальному аутоиммунному заболеванию, похожему на цингу, имитирующему фенотип, наблюдаемый у мышей с нокаутом гена FOXP3 (Xiao 2014). При злокачественном новообразовании клетки Treg могут способствовать прогрессированию опухоли, подавляя адаптивный противоопухолевый иммунитет.

MOF (белок «males absent on the first») первоначально был идентифицирован как один из компонентов дозовой компенсации у дрозофилы и был классифицирован как представитель семейства MYST на основании функциональных исследований и анализа секвенирования (Su 2016). Ортолог человека демонстрирует значительное сходство с MOF дрозофилы; он содержит сайт связывания ацетил-КоA, хромодомен (который связывает гистоны) и цинковый палец C2HC-типа (Su 2016). MOF является ключевым ферментом для ацетилирования гистона H4K16, а комплексы, содержащие MOF, участвуют в различных основных функциях клетки и связаны со злокачественными новообразованиями (Su 2016). Помимо глобального снижения ацетилирования гистонов, истощение MOF в клетках млекопитающих может привести к аномальной транскрипции генов, в частности, вызывая аномальную экспрессию определенных генов-супрессоров опухолей или онкогенов, что дает возможность предположить критическую роль MOF в онкогенезе (Su 2016). Например, было показано, что KAT-активность MOF необходима для поддержания лейкоза MLL-AF9 и может быть важной для множества подтипов ОМЛ (Valerio 2017).

KAT6B (Querkopf) был впервые идентифицирован при скрининге мутаций генов, регулирующих баланс между пролиферацией и дифференцировкой во время эмбрионального развития (Thomas 2000). Мыши, гомозиготные по мутантному аллелю KAT6B, имеют серьезные дефекты в развитии коры головного мозга, возникающие в результате серьезного снижения как пролиферации, так и дифференцировки, в частности, в популяции корковых предшественников во время эмбрионального развития. KAT6B необходим для поддержания популяции нервных стволовых клеток у взрослых и является частью системы, регулирующей дифференцировку стволовых клеток в нейроны (Merson 2006). KAT6B также мутирует при редких формах лейкозов (Vizmanos 2003).

Локус MOZ занимает 12-е место среди наиболее часто амплифицируемых областей среди всех типов злокачественных новообразований (Zack 2013). MOZ находится внутри ампликона 8p11-p12, который обнаруживается с частотой около 10-15% при различных злокачественных новообразованиях, особенно при раке молочной железы и яичников (Turner-Ivey 2014). MOZ был впервые идентифицирован как партнер слияния CREB-связывающего белка (CBP) во время исследования специфической хромосомной транслокации при остром миелоидном лейкозе (ОМЛ) (Avvakumov 2007; Borrow 1996). Активность MOZ KAT необходима для стимуляции экспрессии белков MEIS1 и HOXa9, которые обычно сверхэкспрессируются при некоторых лимфомах и лейкозах. Наблюдается повышенная выживаемость MOZ+/- гетерозиготных мышей в трансгенной модели B-клеточной лимфомы Eμ-Myc, где потеря одного аллеля MOZ приводит к биологически значимому снижению уровней Meis1 и Hoxa9 в предшественниках B-клеток (Sheikh 2015).

Известны ингибиторы некоторых MYST. Например, сообщается, что следующее производное анакардовой кислоты (Ghizzoni 2012) ингибирует TIP60 (IC50=74 мкM) и MOF (IC50=47 мкM):

Другие известные ингибиторы включают (Zhang 2017):

В свете установленной роли KAT в целом и MYST в частности при таких заболеваниях, как злокачественные новообразования, существует потребность в новых ингибиторах этих белков.

Раскрытие изобретения

В настоящем изобретении предложены соединения, ингибирующие активность одного или более KAT из семейства MYST, т. е. TIP60, KAT6B, MOZ, HBO1 и MOF.

В первом аспекте настоящего изобретения предложено соединение формулы (I) или его фармацевтически приемлемая соль для применения в способе терапии:

(I)

где:

R1, R2, R3 и R4 независимо выбраны из:

(i) H;

(ii) C1-3 алкила, необязательно замещенного:

гидрокси,

C1-2 алкокси, необязательно замещенного одной или более фторогруппами,

NH2,

фенилом,

C5-6 гетероарилом,

C1-4 алкилкарбамоилом,

ациламидо или

одной или более фторогруппами;

(iii) C1-3 алкокси, необязательно замещенного C3-6 циклоалкилом или одной или более фторогруппами;

(iv) C3-6 циклоалкила;

(v) галогена;

(vi) CORC, где RC выбран из NRN1RN2, где RN1 и RN2 независимо выбраны из H и метила;

(vii) циано, NH2 или NO2; и

(viii) фенила или C5-6 гетероарила, необязательно замещенного метилом, циано, гидрокси или метокси;

Ar представляет собой фенильную, нафтильную или C5-10 гетероарильную группу, причем группы необязательно замещены одной или более группами, выбранными из:

(i) C1-4 алкила, необязательно замещенного гидрокси, C1-2 алкокси, NH2, C1-4 алкилкарбамоилом или одной или более фторогруппами;

(ii) C3-6 циклоалкила;

(iii) гидрокси; циано; NRN3RN4, где RN3 и RN4 независимо выбраны из H и метила; или ациламидо;

(iv) галогена;

(v) C1-3 алкокси, необязательно замещенного гидрокси, C(O)NH2, C3-6 циклоалкилом, фенилом, C5-6 гетероарилом или одной или более фторогруппами;

(vi) фенокси, необязательно замещенного фтором;

(vii) фенила или C5-6 гетероарила;

(viii) SF5 или SO2CH3;

(ix) -(CH2)n-Y-, где Y представляет собой O или CH2 и n равно 2 или 3; или

(x) сложного эфира C1-4 алкила.

В первом аспекте также предложена фармацевтическая композиция, содержащая соединение формулы (I) или его фармацевтически приемлемую соль согласно представленному определению, и фармацевтически приемлемое вспомогательное вещество.

Во втором аспекте настоящего изобретения предложен способ лечения онкологического заболевания, включающий введение пациенту, нуждающемуся в лечении, соединения или его фармацевтически приемлемой соли согласно определению, представленному в первом аспекте изобретения, или фармацевтической композиции по первому аспекту изобретения. Во втором аспекте настоящего изобретения также предложено применение соединения или его фармацевтически приемлемой соли согласно определению, представленному в первом аспекте изобретения, в производстве лекарственного средства для лечения онкологического заболевания, и соединения или его фармацевтически приемлемой соли, согласно определению, представленному в первом аспекте изобретения, или их фармацевтической композиции для применения в лечении онкологического заболевания.

Как описано ниже, при лечении онкологического заболевания соединение согласно определению, представленному в первом аспекте, можно вводить одновременно или последовательно с лучевой терапией и/или химиотерапией.

В третьем аспекте изобретения предложено соединение формулы (I) или его фармацевтически приемлемая соль:

(I)

где:

R1, R2, R3 и R4 независимо выбраны из:

(i) H;

(ii) C1-3 алкила, необязательно замещенного:

гидрокси,

C1-2 алкокси, необязательно замещенного одной или более фторогруппами,

NH2,

фенилом,

C5-6 гетероарилом,

C1-4 алкилкарбамоилом,

ациламидо или

одной или более фторогруппами;

(iii) C1-3 алкокси, необязательно замещенного C3-6 циклоалкилом или одной или более фторогруппами;

(iv) C3-6 циклоалкила;

(v) галогена;

(vi) CORC, где RC выбран из NRN1RN2, где RN1 и RN2 независимо выбраны из H и метила;

(vii) циано, NH2 или NO2; и

(viii) фенила или C5-6 гетероарила, необязательно замещенного метилом, циано, гидрокси или метокси;

Ar представляет собой фенильную, нафтильную или C5-10 гетероарильную группу, причем группы необязательно замещены одной или более группами, выбранными из:

(i) C1-4 алкила, необязательно замещенного гидрокси, C1-2 алкокси, NH2, C1-4 алкилкарбамоилом или одной или более фторогруппами;

(ii) C3-6 циклоалкила;

(iii) гидрокси; циано; NRN3RN4, где RN3 и RN4 независимо выбраны из H и метила; или ациламидо;

(iv) галогена;

(v) C1-3 алкокси, необязательно замещенного гидрокси, C(O)NH2, C3-6 циклоалкилом, фенилом, C5-6 гетероарилом или одной или более фторогруппами;

(vi) фенокси, необязательно замещенного фтором;

(vii) фенила или C5-6 гетероарила;

(viii) SF5 или SO2CH3;

(ix) -(CH2)n-Y-, где Y представляет собой O или CH2 и n равно 2 или 3; или

(x) сложного эфира C1-4 алкила;

при условии, что:

(a) по меньшей мере один из R1, R2, R3 и R4 не представляет собой H, и необязательно, что R3 не представляет собой CF3; или

(b) R4 представляет собой OMe; или

(c) R4 представляет собой Cl, и либо R1, R2 и R3 представляют собой H, либо R2 представляет собой C1-3 алкил или бром, и R1 и R3 представляют собой H; или

(d) R3 представляет собой C1-3 алкил, и R1, R2 и R4 представляют собой H.

В четвертом аспекте настоящего изобретения предложен синтез соединений согласно определению, представленному в первом или третьем аспектах изобретения, как описано ниже.

Определения

Если не указано иное, термин «замещенный» в контексте настоящего документа относится к исходной группе, которая имеет один или более заместителей. Термин «заместитель» используется в настоящем документе в общепринятом смысле и относится к химическому фрагменту, который ковалентно присоединен к исходной группе или, при необходимости, конденсирован с ней. Фраза «необязательно замещенная» в контексте настоящего документа относится к исходной группе, которая может быть незамещенной или может быть замещенной.

C5-12 гетероарил: термин «C5-12 гетероарил» в контексте настоящего документа относится к одновалентному фрагменту, полученному посредством удаления атома водорода из ароматической структуры, имеющей от 5 до 12 атомов в кольце, из которых от 1 до 3 атомов в кольце представляют собой гетероатомы. Термин «ароматическая структура» используется для обозначения одиночного кольца или конденсированных кольцевых систем, обладающих ароматическими свойствами, а термин «кольцевой гетероатом» относится к атому азота, кислорода или серы.

В этом контексте приставки (например C5-12, C5-6 и т. п.) обозначают количество атомов, составляющих ароматическую структуру, или диапазон количества атомов, составляющих ароматическую структуру, будь то атомы углерода или гетероатомы.

Примеры структур C5-12 гетероарила включают, без ограничений, полученные из:

N1: пиррола (азола) (C5), пиридина (азина) (C6); пиридона (C6); индола (C9); хинолина (C10);

O1: фурана (оксола) (C5);

S1: тиофена (тиола) (C5);

N1O1: оксазола (C5), изоксазола (C5), изоксазина (C6);

N2O1: оксадиазола (фуразана) (C5);

N1S1: тиазола (C5), изотиазола (C5);

N2S1: тиадиазола (C5)

N2: имидазола (1,3-диазола) (C5), пиразола (1,2-диазола) (C5), пиридазина (1,2-диазина) (C6), пиримидина (1,3-диазина) (C6) (например, цитозина, тимина, урацила), пиразина (1,4-диазина) (C6); бензимидазола (C9)

N3: триазола (C5), триазина (C6).

Галоген: термин «галоген» в контексте настоящего документа, относится к группе выбранной из фтора, хлора, брома и йода.

Циано: термин «циано» в контексте настоящего документа относится к группе -C≡N.

Гидрокси: термин «гидроксил» в контексте настоящего документа относится к группе -OH.

Фенил: термин «фенил» в контексте настоящего документа относится к одновалентному фрагменту, полученному посредством удаления атома водорода из единственной ароматической кольцевой структуры, содержащей 6 атомов углерода в кольце (-C6H5).

Фенокси: термин «фенокси» в контексте настоящего документа относится к одновалентному фрагменту, полученному посредством удаления атома водорода от атома кислорода в феноле (-O-C6H5).

C1-4 алкил: термин «C1-4 алкил» в контексте настоящего документа относится к одновалентному фрагменту, полученному посредством удаления атома водорода от атома углерода насыщенного углеводородного соединения, содержащего от 1 до 4 атомов углерода.

Примеры насыщенных алкильных групп включают, без ограничений, метил (C1), этил (C2), пропил (C3) и бутил (C4).

Примеры насыщенных линейных алкильных групп включают, без ограничений, метил (C1), этил (C2), н-пропил (C3) и н-бутил (C4).

Примеры насыщенных разветвленных алкильных групп включают изо-пропил (C3), изо-бутил (C4), втор-бутил (C4) и трет-бутил (C4).

C3-6 циклоалкил: термин «C3-6 циклоалкил» в контексте настоящего документа относится к одновалентному фрагменту, полученному посредством удаления атома водорода от атома углерода насыщенного циклического углеводородного соединения, содержащего от 3 до 6 атомов углерода. Примеры групп C3-6 циклоалкила включают, без ограничений, циклопропил (C3), циклобутил (C4), циклопентил (C5) и циклогексил (C6).

C1-4 алкокси: термин «C1-4 алкокси» в контексте настоящего документа относится к одновалентному фрагменту, полученному посредством удаления атома водорода от атома кислорода насыщенного спиртового соединения, содержащего от 1 до 4 атомов углерода. Он может быть представлен как -O-C1-4 алкил. Примеры групп C1-4 алкокси включают, без ограничений, метокси (C1), этокси (C2), пропилокси (C3) и бутилокси (C4).

C1-4 алкилкарбамоил: -NHC(=O)OR, где R представляет собой C1-4 алкильную группу согласно определению, представленному выше. Примеры C1-4 алкилкарбамоила включают, без ограничений, -N(H)C(=O)OCH3, -N(H)C(=O)OCH2CH3 и -N(H)C(=O)OC(CH3)3.

Ациламидо: -NR(C=O)R’, где R и R’ независимо выбраны из H и C1-4 алкила согласно определению, представленному выше. R и R’ могут также представлять собой -(CH2)n-, где n равно 3 или 4. Примеры группы ациламидо включают, без ограничений, -N(H)C(=O)CF3, N(H)C(=O)Me, и:

Сложный эфир C1-4 алкила: термин «сложный эфир C1-4 алкила» в контексте настоящего документа относится к одновалентному фрагменту, полученному посредством удаления атома водорода от атома кислорода насыщенного соединения карбоновой кислоты, имеющего от 1 до 5 атомов углерода. Он может быть представлен как -O-C(O)-C1-4 алкил. Примеры групп сложного эфира C1-4 алкила включают, без ограничений, ацетокси (-O-C(O)-CH3), пропаноилокси (-O-C(O)-CH2CH3), бутаноилокси (-O-C(O)-CH2CH2CH3) и пентаноилокси (-O-C(O)-CH2CH2CH2CH3).

Включение других форм

Если не указано иное, в приведенное выше описание включены хорошо известные ионные, солевые, сольватные и защищенные формы этих заместителей. Например, ссылка на карбоновую кислоту (-COOH) также включает анионную (карбоксилатную) форму (-COO-), ее соль или сольват, а также обычные защищенные формы. Подобным образом ссылка на аминогруппу включает протонированную форму (-N+HR1R2), соль или сольват аминогруппы, например, гидрохлоридную соль, а также обычные защищенные формы аминогруппы. Подобным образом ссылка на гидроксильную группу также включает анионную форму (-O-), ее соль или сольват, а также обычные защищенные формы.

Соли

Может быть удобным или желательным получить, очистить и/или использовать соответствующую соль активного соединения, например фармацевтически приемлемую соль. Примеры фармацевтически приемлемых солей описаны в публикации Berge 1977.

Например, если соединение является анионным или имеет функциональную группу, которая может быть анионной (например, -COOH может представлять собой -COO-), то соль может быть образована с подходящим катионом. Примеры подходящих неорганических катионов включают, без ограничений, ионы щелочных металлов, такие как Na+ и K+, катионы щелочноземельных металлов, такие как Ca2+ и Mg2+ и другие катионы, такие как Al+3. Примеры подходящих органических катионов включают, без ограничений, ион аммония (т. е. NH4+) и замещенные ионы аммония (например NH3R+, NH2R2+, NHR3+, NR4+). Примерами некоторых подходящих замещенных ионов аммония являются ионы, полученные из: этиламина, диэтиламина, дициклогексиламина, триэтиламина, бутиламина, этилендиамина, этаноламина, диэтаноламина, пиперазина, бензиламина, фенилбензиламина, холина, меглумина и трометамина, а также аминокислот, таких как лизин и аргинин. Примером обычного иона четвертичного аммония является N(CH3)4+.

Если соединение является катионным или имеет функциональную группу, которая может быть катионной (например -NH2 может представлять -NH3+), то соль может быть образована с подходящим анионом. Примеры подходящих неорганических анионов включают, без ограничений, анионы, полученные из следующих неорганических кислот: хлористоводородная, бромистоводородная, йодистоводородная, серная, сернистая, азотная, азотистая, фосфорная и фосфористая.

Примеры подходящих органических анионов включают, без ограничений, соли, полученные из следующих органических кислот: 2-ацетилоксибензойной, уксусной, аскорбиновой, аспарагиновой, бензойной, камфорсульфоновой, коричной, лимонной, эдетовой, этандисульфоновой, этансульфоновой, фумаровой, глюкогептоновой, глюконовой, глутаминовой, гликолевой, гидроксималеиновой, гидроксинафталинкарбоновой, изэтионовой, молочной, лактобионовой, лауриновой, малеиновой, яблочной, метансульфоновой, муциновой, олеиновой, щавелевой, пальмитиновой, памовой, пантотеновой, фенилуксусной, фенилсульфоновой, пропионовой, пировиноградной, салициловой, стеариновой, янтарной, сульфаниловой, винной, толуолсульфоновой трифторуксусной кислоты и валериановой. Примеры подходящих полимерных органических анионов включают, без ограничений, полученные из следующих полимерных кислот: дубильной кислоты, карбоксиметилцеллюлозы.

Сольваты

Может быть удобным или желательным получить, очистить и/или использовать соответствующий сольват активного соединения. Термин «сольват» используется в настоящем документе в обычном смысле для обозначения комплекса растворенного вещества (например, активного соединения, соли активного соединения) и растворителя. Если растворителем является вода, сольват можно удобно называть гидратом, например моногидратом, дигидратом, тригидратом и т. д.

Изомеры

Некоторые соединения по изобретению могут существовать в одной или более конкретных геометрических, оптических, энантиомерных, диастериомерных, эпимерных, атроповых, стереоизомерных, таутомерных, конформационных или аномерных формах, включая, без ограничений, цис- и транс-формы; Е- и Z-формы; с-, t-, и r- формы; эндо- и экзо-формы; R-, S- и мезо-формы; D- и L-формы; d- и I-формы; (+) и (-) формы; кето-, енольные и енолатные формы; син- и анти-формы; синклинальные и антиклинальные формы; α- и β-формы; акасиальные и экваториальные формы; формы ванны, кресла, твист-форма, форма конверта и полукресла; и их комбинации, которые далее в настоящем документе обозначаются общим термином «изомеры» (или «изомерные формы»).

Термин «хиральный» относится к молекулам, которые обладают свойством неналожения зеркального изображения партнера, тогда как термин «ахиральный» относится к молекулам, которые являются налагающимися на зеркальное изображение их партнера.

Термин «стереоизомер» относится к соединениям, которые имеют одинаковый химический состав, но отличаются расположением атомов или групп в пространстве.

«Диастереомер» относится к стереоизомеру с двумя или более центрами хиральности, молекулы которого не являются зеркальными изображениями друг друга. Диастереомеры имеют разные физические свойства, например, температуры плавления, температуры кипения, спектральные свойства и реакционные способности. Смеси диастереомеров можно разделить в ходе аналитических процедур с высоким разрешением, таких как электрофорез и хроматография.

«Энантиомеры» относятся к двум стереоизомерам соединения, которые являются неналагающимися зеркальными изображениями друг друга.

Стереохимические определения и обозначения, используемые в данном документе, как правило применяют согласно публикации S. P. Parker, Ed., McGraw-Hill Dictionary of Chemical Terms (1984) McGraw-Hill Book Company, New York; и Eliel, E. and Wilen, S., “Stereochemistry of Organic Compounds”, John Wiley & Sons, Inc., New York, 1994. Соединения по изобретению могут содержать центры асимметрии или хиральные центры, и, следовательно, существуют в разных стереоизомерных формах. Предполагается, что все стереоизомерные формы соединений по изобретению, включая, без ограничений, диастереомеры, энантиомеры и атропоизомеры, а также их смеси, такие как рацемические смеси, являются частью настоящего изобретения. Многие органические соединения существуют в оптически активных формах, т. е. они обладают способностью вращать плоскость плоскополяризованного света. При описании оптически активного соединения приставки D и L, или R и S, используют для обозначения абсолютной конфигурации молекулы относительно ее хирального (-ых) центра (-ов). Приставки d и I или (+) и (-) используют для обозначения знака направления вращения плоскополяризованного света соединением, причем (-) или I означает, что соединение является левовращающим. Соединение с приставкой (+) или d является правовращающим. Для приведенной химической структуры эти стереоизомеры являются одинаковыми за исключением того, что они представляют собой зеркальные изображения друг друга. Также конкретный стереоизомер может называться энантиомером, и смесь таких изомеров часто называется энантиомерной смесью. Смесь энантиомеров в соотношении 50 : 50 называется рацемической смесью или рацематом, и она может встречаться в химической реакции или способе, когда отсутствует стереоселективность или стереоспецифичность. Термины «рацемическая смесь» и «рацемат» относятся к эквимолярной смеси двух энантиомерных соединений без оптической активности.

В настоящем изобретении атом углерода, с которым связаны R1 и Cy может быть стереохимическим центром, т. е. когда, R1 не представляет собой H, а R1 и Cy различны. Соединения по настоящему изобретению могут представлять собой рацемическую смесь или могут быть в энантиомерном избытке или по существу энантиомерно чистыми.

Следует отметить, что, за исключением случаев, описанных ниже для таутомерных форм, специально исключенных из термина «изомеры», используемого в настоящем документе, они являются структурными (или конституционными) изомерами (то есть изомерами, которые различаются связями между атомами, а не просто положением атомов в пространстве). Например, ссылку на метоксигруппу -OCH3 не следует толковать как ссылку на ее структурный изомер, гидроксиметильную группу, -CH2OH. Подобным образом, ссылку на орто-хлорфенил не следует рассматривать как ссылку на его структурный изомер, мета-хлорфенил. Однако ссылка на класс структур может включать структурно изомерные формы, попадающие в этот класс (например, C1-7 алкил включает н-пропил и изопропил; бутил включает н-, изо-, втор- и трет-бутил; метоксифенил включает орто-, мета- и пара-метоксифенил).

Вышеупомянутое исключение не относится к таутомерным формам, например, кетоформам, енольным и енолятным формам, как, например, в следующих таутомерных парах: кето/енол (показаны ниже), имин/енамин, амид/иминоспирт, амидин/амидин, нитрозо/оксим, тиокетон/ентиол, N-нитрозо /гироксиазо и нитро/аци-нитро.

Термин «таутомер» или «таутомерная форма» относится к структурным изомерам разных энергий, которые являются взаимопревращаемыми при переходе через низкоэнергетический барьер. Например, протонные таутомеры (также известные как прототропные таутомеры) включают взаимопревращения в ходе перемещения протона, такие как кето-енольные и имин-енаминовые изомеризации. Валентные таутомеры включают взаимопревращения в ходе перегруппировки некоторых из связывающих электронов.

Следует отметить, что в термин «изомер» специально включены соединения с одним или более изотопными замещениями. Например, H может быть в любой изотопной форме, включая 1H, 2H (D) и 3H (T); C может быть в любой изотопной форме, включая 12C, 13C и 14C; O может быть в любой изотопной форме, включая 16O и 18O; и т. п.

Примеры изотопов, которые могут быть включены в соединения по изобретению, включают изотопы водорода, углерода, азота, кислорода, фосфора, фтора и хлора, такие как, без ограничений, 2H (дейтерий, D), 3H (тритий), 11C, 13C, 14C, 15N, 18F, 31P, 32P, 35S, 36Cl и 125I. Включены различные меченые изотопами соединения по настоящему изобретению, например те, в которые встроены такие радиоактивные изотопы, как 3H, 13C и 14C. Такие меченые изотопами соединения могут быть полезны в метаболических исследованиях, в исследованиях кинетики реакций, в методах обнаружения или визуализации, таких как позитронно-эмиссионная томография (ПЭТ) или однофотонная эмиссионная компьютерная томография (ОФЭКТ), включающих анализы тканевого распределения лекарственного средства или субстрата, или при лучевой терапии пациентов. Терапевтические соединения по изобретению, меченые или замещенные дейтерием, могут обладать улучшенными свойствами DMPK (метаболизма и фармакокинетики лекарственных веществ), относящимися к всасыванию, распределению, метаболизму и выведению (ADME). Замещение более тяжелыми изотопами, такими как дейтерий, может дать некоторые терапевтические преимущества вследствие большей метаболической стабильности соединений, например большего периода полувыведения in vivo или сниженной необходимой дозировки. Соединение, меченое 18F, может быть полезным для исследований ПЭТ или ОФЭКТ. Соединения настоящего изобретения, меченые изотопами, и их пролекарства могут быть по существу приготовлены путем проведения процедур согласно схемам или примерам и способам приготовления, описанным ниже, путем замены реагента, не содержащего меченных изотопами атомов, на доступный реагент с меченными изотопами атомами. Кроме того, замещение более тяжелыми изотопами (т. е. 2H или D) может дать некоторые терапевтические преимущества вследствие большей метаболической стабильности соединений, например большего периода полувыведения in vivo, или сниженной необходимой дозы, или улучшенного терапевтического индекса. Понятно, что дейтерий в этом контексте рассматривается как заместитель. Концентрация такого более тяжелого изотопа, в частности дейтерия, может определяться коэффициентом изотопного обогащения. В соединениях по настоящему изобретению любой атом, специально не обозначенный как конкретный изотоп, означает любой стабильный изотоп этого атома.

Если не указано иное, ссылка на конкретное соединение включает все такие изомерные формы, включая (полностью или частично) их рацемические и другие смеси. Способы получения (например, асимметричный синтез) и разделения (например, фракционная кристаллизация и хроматографические методы) таких изомерных форм либо известны в данной области, либо их легко реализовать, адаптируя известным способом методы, описанные в данном документе, или известные методы.

Ингибирование

Соединения по настоящему изобретению ингибируют активность одного или более KAT из семейства MYST, т. е. TIP60, KAT6B, MOZ, HBO1 и MOF.

Ингибирующая активность соединений по настоящему изобретению, вероятно, будет меняться в зависимости от KAT из семейства MYST.

Соединения по настоящему изобретению могут избирательно ингибировать активность одного или более KAT из семейства MYST по сравнению с другими KAT из семейства MYST, т. е. ингибирующая активность соединения может быть выше для одного или более KAT из семейства MYST по сравнению с одним или более других KAT из семейства MYST.

Соединения по настоящему изобретению могут (избирательно) ингибировать активность одного KAT из семейства MYST. Соединения по настоящему изобретению могут ингибировать активность TIP60, MORF, MOZ, HBO1 или MOF.

Соединения по настоящему изобретению могут ингибировать активность двух KAT из семейства MYST, например MOZ и MORF.

Соединения по настоящему изобретению могут ингибировать активность трех KAT из семейства MYST, например MOZ, MORF и HBO1.

Соединения по настоящему изобретению могут ингибировать активность четырех KAT из семейства MYST, например MOZ, MORF, HBO1 и TIP60.

Соединения по настоящему изобретению могут ингибировать активность всех пяти KAT из семейства MYST, таким образом, соединения могут ингибировать активность TIP60, MORF, MOZ, HBO1 и MOF.

Соединения по настоящему изобретению могут, в частности, ингибировать активность MOZ, и/или KAT6B, и/или HBO1, и/или TIP60.

Показания к применению

Раскрытые в настоящем документе соединения могут обеспечивать терапевтическое преимущество при ряде расстройств, в частности, при лечении или профилактике злокачественных новообразований.

Онкологические заболевания

Ингибиторы посттрансляционного ацетилирования лизина, опосредованного KAT из семейства MYST, считаются многообещающими противоопухолевыми средствами и, следовательно, могут быть полезными терапевтическими агентами, например для использования при лечении онкологического заболевания. Такие агенты также могут быть полезны в качестве терапевтических агентов для лечения злокачественных новообразований, которые демонстрируют сверхэкспрессию белков MYST.

«Онкологическое заболевание» может быть любой формой злокачественного новообразования. В частности, онкологическое заболевание может включать любое одно или более из следующих: лейкоз, острый лимфолейкоз (ОЛЛ), острый миелоидный лейкоз (ОМЛ), хронический лимфоцитарный лейкоз (ХЛЛ), хронический миелоидный лейкоз (ХМЛ), неходжкинская лимфома, болезнь Ходжкина, рак предстательной железы, рак легких, меланома, рак молочной железы, рак толстой и прямой кишки, рак толстой кишки, плоскоклеточный рак и рак желудка.

Альтернативно, онкологическое заболевание может представлять собой рак надпочечников, рак ануса, рак мочевого пузыря, гемобластоз, рак костей, опухоль головного мозга, рак органов женской половой системы, рак органов мужской половой системы, лимфому центральной нервной системы, рак шейки матки, рабдомиосаркому, встречающуюся в детском возрасте, саркому, встречающуюся в детском возрасте, рак эндометрия, саркому эндометрия, рак пищевода, рак глаз, рак желчного пузыря, рак желудочно-кишечного тракта, волосатоклеточный лейкоз, рак головы и шеи, гепатоцеллюлярный рак, рак гортани, саркома Капоши, рак почки, рак гортани, рак печени, злокачественную фиброзную гистиоцитому, злокачественную тимому, мезотелиому, множественную миелому, миелому, рак полости носа и придаточных пазух носа, рак носоглотки, рак нервной системы, нейробластому, рак полости рта, рак ротоглотки, остеосаркому, рак яичников, рак поджелудочной железы, рак паращитовидной железы, рак полового члена, рак глотки, опухоль гипофиза, новообразование плазматических клеток, первичную лимфому ЦНС, рак прямой кишки, дыхательных путей, ретинобластому, рак слюнной железы, рак кожи, рак тонкой кишки, саркому мягких тканей, рак желудка, рак желудка, рак яичек, рак щитовидной железы, рак мочевыделительной системы, саркома матки, рак влагалища, сосудистой системы, макроглобулинемию Вальденстрема и/или опухоль Вильмса.

Злокачественные опухоли могут относиться к определенному типу. Примеры типов злокачественных новообразований включают лимфому, меланому, карциному (например, аденокарциному, гепатоцеллюлярную карциному, медуллярную карциному, папиллярную карциному, плоскоклеточную карциному), астроцитому, глиому, медуллобластому, миелому, менингиому, нейробластому, саркому (например, ангиосаркому хондросаркому, остеосаркому).

Злокачественное новообразование может сверхэкспрессировать MYST. Злокачественное новообразование может сверхэкспрессировать белок MYST по сравнению с незлокачественной тканью. В некоторых случаях злокачественное новообразование производит в избыточном количестве мРНК MYST по сравнению с незлокачественной тканью. Сверхэкспрессированный белок MYST или мРНК MYST могут представлять любой один KAT из семейства MYST, то есть может быть любым из TIP60, KAT6B, MOZ, HBO1 и MOF. В некоторых вариантах осуществления злокачественное новообразование может сверхэкспрессировать более одного KAT из семейства MYST, например два или более выбранных из группы, состоящей из TIP60, KAT6B, MOZ, HBO1 и MOF. Злокачественное новообразование может быть таким, которое уклоняется от иммунного распознавания, например через опухоль-ассоциированные Treg-клетки.

Альтернативно или дополнительно злокачественное новообразование может сверхэкспрессировать бромодомен: злокачественная клетка может сверхэкспрессировать один или более белков, содержащих бромодомен (в настоящем документе называемых «белками бромодомена»), по сравнению с незлокачественной тканью. Оно может чрезмерно продуцировать одну или более мРНК бромодомена по сравнению с незлокачественной тканью. В некоторых случаях уровень белка бромодомена и/или мРНК в клетке находится на уровне, приблизительно эквивалентном уровню в незлокачественной клетке. Злокачественное новообразование может сверхэкспрессировать один или более белков бромодомена, выбранных из группы, состоящей из: белка бромодомена (а именно BRD2, BRD3, BRD4, BRD7, BRD8, BRD9 и BRDT), TAF1/TAF1L, TFIID, SMARC2 (также называемого BRM) и SMARC4 (также называемого BRG1). Например, некоторые виды рака толстой кишки сверхэкспрессируют BRD8. Некоторые клетки острого миелоидного лейкоза сверхэкспрессируют BRD4.

Treg-клетки как мишень для злокачественного новообразования

Клетки Treg - это иммуносупрессивные клетки, которые предотвращают аутоиммунитет в здоровой иммунной системе млекопитающих. Однако некоторые виды злокачественных новообразований активизируют активность Treg, чтобы уклониться от иммунной системы хозяина. Инфильтрация Treg во многих типах опухолей коррелирует с плохим прогнозом для пациентов, а истощение Treg-клеток в моделях опухолей демонстрирует усиление противоопухолевых иммунных ответов (Melero 2015). Сообщалось о связанном с опухолью подавлении Treg иммунной системы хозяина при раке легких (Joshi 2015), (Tso 2012), молочной железы (Gobert 2009; Yan 2011), предстательной железы (Miller 2006) и поджелудочной железы (Wang X 2016). FOXP3 считается главным регулятором дифференцировки, развития и функционирования Treg-клеток.

Несколько исследований продемонстрировали, что ацетилирование FOXP3 играет решающую роль в стабильности белка FOXP3 и в регулировании его способности получать доступ к ДНК; и ацетилирование FOXP3 опосредуется KAT (Dhuban 2017). Было показано, что снижение опосредованного TIP60 ацетилирования FOXP3 ослабляет развитие Treg, что указывает на дополнительный механизм, с помощью которого может быть использовано ингибирование ацетилирующей активности белков MYST для вмешательства в такие заболевания, как злокачественные новообразования.

Комбинированная терапия

Описанные в настоящем документе агенты могут использоваться в комбинации с другими противораковыми методами лечения. Они могут действовать синергетически с химио- или лучевой терапией и/или с таргетными терапевтическими средствами, включая, без ограничений, ингибиторы FGFR1 и терапевтические средства, нацеленные на ядерные гормональные рецепторы. Например, описанные в настоящем документе агенты могут использоваться в комбинации с лекарственными средствами, нацеленными на бромодомен, включая ингибиторы BET. Ингибиторы BET обратимо связываются с бромодоменами белков BET: BRD2, BRD3, BRD4 и BRDT.

Вероятно, ингибирование белков KAT из семейства MYST для уменьшения степени ацетилирования лизина гистонов (и других ядерных белков, описанных в настоящем документе) повысит чувствительность опухолевых клеток к химио- и лучевой терапии за счет ослабления процесса восстановления повреждений ДНК, например восстановления двухцепочечных разрывов ДНК (DSB), что увеличивает частоту гибели злокачественных клеток, вызванной химио- и лучевой терапией. Следовательно, вероятно, что ингибирование белков KAT из семейства MYST будет хорошо синергетически сочетаться с низкодозовой химио- или лучевой терапией.

Таким образом, в некоторых случаях антагонист белка MYST, описанный в настоящем документе, можно вводить в сочетании со схемой лучевой терапии или химиотерапии. Его можно вводить одновременно или последовательно с лучевой терапией и/или химиотерапией. Подходящие химиотерапевтические агенты и протоколы лучевой терапии будут легко понятны специалисту в данной области. В частности, соединение, описанное в настоящем документе, можно комбинировать с низкодозовой химиотерапией или лучевой терапией. Подходящие дозы для «низкодозовой» химиотерапии или лучевой терапии будут легко понятны квалифицированному практикующему врачу.

В частности, когда соединения по настоящей заявке используются для устранения подавления Treg, они могут быть объединены с ингибиторами контрольных точек иммунного ответа (Melero 2015, Wang L 2016). Кроме того, соединения по настоящему изобретению, которые устраняют подавление Treg, можно использовать в сочетании с лучевой терапией, для уменьшения истощения функции Treg в опухолях (Persa 2015, Jeong 2016)

Способы лечения

Соединения по настоящему изобретению можно применять в способе терапии. Также предложен способ лечения, включающий введение субъекту, нуждающемуся в лечении, терапевтически эффективное количество соединения по изобретению. Термин «терапевтически эффективное количество» означает количество, достаточное для того, чтобы оно принесло пользу для пациента. Такая польза может заключаться по меньшей мере в улучшении хотя бы одного симптома. Фактическое вводимое количество, а также частота и продолжительность введения будут зависеть от природы и тяжести заболевания, которое лечат. Назначение лечения, например принятие решения о дозе, входит в компетенцию терапевтов и других врачей.

Как описано выше, в лечении злокачественных новообразований, определенном в данном описании, можно применять монотерапию или можно, помимо введения соединения по изобретению, включать проведение стандартных хирургических операций, лучевую терапию или химиотерапию. Такая химиотерапия может включать одну или более из следующих категорий противоопухолевых агентов:

(i) другие антипролиферативные/противоопухолевые препараты и их комбинации, используемые в медицинской онкологии, такие как алкилирующие агенты (например, цисплатин, оксалиплатин, карбоплатин, циклофосфамид, хлорметин, мелфалан, хлорамбуцил, бусульфан, темозоламид и нитрозомочевины); антиметаболиты (например, гемцитабин и антифолаты, такие как фторпиримидины, такие как 5-фторурацил и тегафур, ралтитрексед, метотрексат, цитозина арабинозид и гидроксимочевина); противоопухолевые антибиотики (например, антрациклины, такие как адриамицин, блеомицин, доксорубицин, дауномицин, эпирубицин, идарубицин, митомицин-С, дактиномицин и митрамицин); антимитотические средства (например, алкалоиды барвинка, такие как винкристин, винбластин, виндезин и винорелбин, и таксоиды, такие как таксол и доцетаксел (таксотер), и ингибиторы полокиназы); и ингибиторы топоизомеразы (например, эпиподофиллотоксины, такие как этопозид и тенипозид, амсакрин, топотекан и камптотецин);

(ii) цитостатические агенты, такие как антиэстрогены (например, тамоксифен, фулвестрант, торемифен, ралоксифен, дролоксифен и йодоксифен), антиандрогены (например, бикалутамид, флутамид, нилутамид и ацетат ципротерона), антагонисты LHRH или агонисты LHRH (например, гозерелин, лейпрорелин и бусерелин), прогестагены (например, мегестрол ацетат), ингибиторы ароматазы (например, анастрозол, летрозол, воразол и экземестан) и ингибиторы 5*-редуктазы, такие как финастерид;

(iii) агенты против инвазии (например, ингибиторы семейства киназы c-Src, такие как 4-(6-хлор-2,3-метилендиоксианилино)-7-[2-(4-метилпиперазин-1-ил)этокси]-5-тетрагидропиран-4-илоксихиназолин (AZD0530; международная заявка на патент WO 01/94341), N-(2-хлор-6-метилфенил)-2-{6-[4-(2-гидроксиэтил)пиперазин-1-ил]-2-метилпиримидин-4-иламино}тиазол-5-карбоксамид (дазатиниб, BMS-354825; J. Med. Chem., 2004, 47, 6658-6661 и 4-((2,4-дихлор-5-метоксифенил)амино)-6-метокси-7-(3-(4-метилпиперазин-1-ил)пропокси)хинолин-3-карбонитрил (босутиниб, SKI-606; Cancer research (2003), 63(2), 375-81) и ингибиторы металлопротеиназы, такие как маримастат, ингибиторы урокиназной функции рецептора активатора плазминогена или антитела к гепараназе);

(iv) ингибиторы функции факторов роста; например, такие ингибиторы включают антитела к факторам роста или рецепторам факторов роста (например, антитело к erbB2 тастузумаб [Герцептин T], антитело к EGFR панитумумаб, антитело к erbB1 цетуксимаб [Эрбиткус, C225] и любые антитела к факторам роста или рецепторам факторов роста, раскрытые в публикации Stern 2005; такие ингибиторы также включают ингибиторы тирозинкиназы, например, ингибиторы семейства эпидермальных факторов роста (например, ингибиторы тирозинкиназы семейства EGFR, такие как N-(3-хлор-4-фторфенил)-7-метокси-6-(3-морфолинопропокси)хиназолин-4-амин (гефитиниб, ZD1839), N-(3-этинилфенил)-6,7-бис(2-метоксиэтокси)хиназолин-4-амин (эрлотиниб, OSI-774) и 6-акриламидо-N-(3-хлор-4-фторфенил)-7-(3-морфолинопропокси)хиназолин-4-амин (CI 1033), ингибиторы тирозинкиназы erbB2, такие как лапатиниб; ингибиторы семейства факторов роста гепатоцитов; ингибиторы семейства тромбоцитарных факторов роста, такие как иматиниб; ингибиторы серин/треонинкиназ (например, ингибиторы передачи сигналов Ras/Raf, такие как ингибиторы фарнезилтрансферазы, например, сорафениб (BAY 43-9006)), ингибиторы клеточного сигналинга через MEK и/или киназы AKT, ингибиторы семейства факторов роста гепатоцитов, ингибиторы c-kit, ингибиторы abl-киназы, ингибиторы киназы IGF-рецептора (инсулиноподобного фактора роста); ингибиторы авроракиназы (например, AZD1152, PH739358, VX-680, MLN8054, R763, MP235, MP529, VX-528 и AX39459) и ингибиторы циклинзависимой киназы, такие как ингибиторы CDK2 и/или CDK4;

(v) антиангиогенные и антилимфангиогенные агенты, такие как те, которые ингибируют действие фактора роста эндотелия сосудов [например, антитело к фактору А роста эндотелиальных клеток сосудов (VEGFA) бевацизумаб (Авастин T), антитело к фактору А роста эндотелиальных клеток сосудов (VEGFA) ранибизумаб, аптамер к VEGF пегаптаниб, антитело к рецептору 3 фактора роста эндотелия сосудов (VEGFR3) IMC-3C5, антитело к фактору С роста эндотелиальных клеток сосудов (VEGFC) VGX-100, антитело к фактору D роста эндотелиальных клеток сосудов (VEGFD) VGX-200, растворимая форма рецептора 3 фактора роста эндотелия сосудов (VEGFR3) VGX-300 и ингибиторы тирозинкиназы рецептора VEGF, такие как 4-(4-бром-2-фторанилино)-6-метокси-7-(1-метилпиперидин-4-илметокси)хиназолин (вандетаниб; ZD6474; пример 2 в WO 01/32651), 4-(4-фтор-2-метилиндол-5-илокси)-6-метокси-7-(3-пирролидин-1-илпропокси)хиназолин (седираниб; AZD2171; пример 240 в WO 00/47212), ваталаниб (PTK787; WO 98/35985), пазопаниб (GW786034), акситиниб (AG013736), сорафениб и сунитиниб (SU11248; WO 01/60814), такие соединения как те, что раскрыты в международных заявках на патенты WO97/22596, WO 97/30035, WO 97/32856 и WO 98/13354 и соединения с другими механизмами действия (например линомид, ингибиторы функции интегрина avb3 и ангиостатин)];

(vi) агенты, повреждающие сосуды, такие как комбретастатин A4, и соединения раскрытые в международных заявках на патенты WO 99/02166, WO 00/40529, WO 00/41669, WO 01/92224, WO 02/04434 и WO 02/08213;

(vii) антисмысловые терапевтические средства, например, те, которые направлены на цели, перечисленные выше, такие как ISIS 2503, антисмысловой анти-ras;

(viii) подходы генной терапии, включая примеры подходов для замены аберрантных генов, таких как аберрантные р53 или аберрантные подходы BRCA1, или BRCA2, GDEPT (генно-направленная ферментная медикаментозная терапия), такие как с использованием цитозиндеаминазы, тимидинкиназы или фермента бактериальной нитроредуктазы, и подходы с целью повысить терпимость пациента к химиотерапии или лучевой терапии, такой как генная терапия с множественной лекарственной устойчивостью; и

(ix) иммунотерапевтические подходы, включая, например, подходы ex vivo и in vivo для повышения иммуногенности опухолевых клеток пациента, такие как трансфекция цитокинами, такими как интерлейкин 2, интерлейкин 4 или колониестимулирующий фактор гранулоцитов-макрофагов, подходы к снижению анергии Т-клеток, подходы с использованием трансфицированных иммунных клеток, таких как цитокин-трансфицированные дендритные клетки, подходы с использованием трансфицированных цитокинами опухолевых клеточных линий и подходы с использованием антиидиотипических антител

Введение

Активное соединение или фармацевтическую композицию, содержащую активное соединение, можно вводить субъекту любым удобным путем введения, системно/периферически или в месте желаемого действия, включая, без ограничений, такие пути: пероральный (например, прием внутрь); местный (включая, например, трансдермальный, интраназальный, глазной, буккальный и сублингвальный); легочный (например, путем ингаляционной или инсуффляционной терапии с использованием, например аэрозоля, например, через рот или нос); ректальный; вагинальный; парентеральный, например, путем инъекции, включая подкожную, внутрикожную, внутримышечную, внутривенную, внутриартериальную, внутрисердечную, интратекальную, интраспинальную, внутрикапсульную, подкапсульную, внутриглазничную, внутрибрюшинную, интратрахеальную, субкутикулярную, внутрисуставную, субарахноидальную, интравитреальную и внутригрудинную инъекцию; путем имплантации депо, например подкожно, интравитреально или внутримышечно. Субъект может представлять собой эукариота, животное, позвоночное животное, млекопитающее, грызуна (например, морскую свинку хомяка, крысу, мышь), представителя семейства мышиных (например, мышь), представителя семейства собачьих (например, собаку), представителя семейства кошачьих (например, кошку), представителя семейства лошадиных (например, лошадь), примата, представителя рода обезьян (например, мартышку или человекообразную обезьяну), обезьяну (например, игрунку, бабуина), человекообразную обезьяну (например, гориллу, шимпанзе, орангутанга, гиббона) или человека.

Препараты

Хотя вполне возможно, чтобы активное соединение вводили отдельно, желательно, чтобы оно было представлено в виде фармацевтической композиции (например, препарата), содержащей по меньшей мере одно активное соединение, описанное выше, вместе с одним или более другими фармацевтически приемлемыми носителями, адъювантами, вспомогательными веществами, разбавителями, наполнителями, буферами, стабилизаторами, консервантами, смазывающими средствами или другими материалами, хорошо известными специалистам в данной области, и необязательно другими терапевтическими или профилактическими агентами.

Таким образом, настоящее изобретение дополнительно относится к фармацевтическим композициям, как определено выше, и способам получения фармацевтических композиций, содержащих смесь по меньшей мере одного активного соединения, описанного выше, вместе с одним или более другими фармацевтически приемлемыми носителями, вспомогательными веществами, буферами, адъювантами, стабилизаторами или другими материалами, описанными в настоящем документе.

Термин «фармацевтически приемлемый», как он используется в настоящем документе относится к соединениям, материалам, композициям и/или дозированным формам, которые в рамках медицинского суждения подходят для использования при контакте с тканями субъекта (например, человека) без чрезмерной токсичности, раздражения, аллергической реакции или других проблем или осложнений, с разумным соотношением польза/риск. Каждый носитель, вспомогательное вещество и т. д. должны также быть «приемлемыми» в том смысле, чтобы быть совместимыми с другими ингредиентами препарата.

Описание подходящих носителей, вспомогательных веществ и т. д. можно найти в обычных фармацевтических текстах, например, Remington’s Pharmaceutical Sciences, 18-е издание, Mack Publishing Company, Easton, Pa., 1990.

Препараты могут быть удобно представлены в виде стандартной лекарственной формы и могут быть получены любыми способами, хорошо известными в области фармации. Такое способы включают стадию приведения активного соединения в объединение с носителем, который составляет один или более дополнительных ингредиентов. Обычно препараты получают путем равномерного и тщательного перемешивания активного соединения с жидкими носителями или тонко измельченными твердыми носителями или теми и другими, и далее придания формы продукту, если это необходимо.

Препараты могут быть представлены в виде жидкостей, растворов, суспензий, эмульсий, эликсиров, сиропов, таблеток, леденцов, гранул, порошков, капсул, облаток, пилюль, ампул, суппозиториев, пессариев, мазей, гелей, паст, кремов, спреев, туманов, пенок, лосьонов, масел, болюсов, лекарственных кашек или аэрозолей.

Препараты, пригодные для перорального введения (например, для приема внутрь), могут быть представлены в виде дискретных единиц, таких как капсулы, облатки или таблетки, каждая из которых содержит заданное количество активного соединения; в виде порошка или гранул; в виде раствора или суспензии в водной или неводной жидкости или в виде жидкой эмульсии типа «масло в воде» или жидкой эмульсии типа «вода в масле», в виде болюса, лекарственной кашки или пасты.

Таблетки можно получать обычными способам, например, путем прессования или формовки, необязательно, с одним или более вспомогательными ингредиентами. Прессованные таблетки можно изготовить прессованием в соответствующем аппарате активного соединения в свободнотекучей форме, такой как порошок или гранулы, необязательно смешанные с одним или более связующими веществами (например, повидоном, желатином, аравийской камедью, сорбитом, трагакантом, гидроксипропилметилцеллюлозой); наполнителями или разбавителями (например, лактозой, микрокристаллической целлюлозой, гидрофосфатом кальция); смазывающими веществами (например, стеаратом магния, тальком, диоксидом кремния); дезинтегрирующими агентами (например, натрийгликолятом крахмала, сшитым повидоном, сшитой натрийкарбоксиметилцеллюлозой); поверхностно-активными или диспергирующими или смачивающими агентами (например, лаурилсульфатом натрия); и консервантами (например, метил-пара-гидроксибензоатом, пропил-пара-гидроксибензоатом, сорбиновой кислотой). Формованные таблетки могут быть изготовлены формованием в соответствующем аппарате смеси порошкообразного соединения, увлажненного инертным жидким разбавителем. Таблетки необязательно могут быть покрыты оболочкой, или на них могут быть сделаны насечки, или они могут быть составлены так, чтобы обеспечить медленное или контролируемое высвобождение из них активного соединения, используя, например, гидроксипропилметилцеллюлозу в разных соотношениях для достижения желаемого профиля высвобождения. Таблетки могут быть необязательно покрыты энтеросолюбильными оболочками для обеспечения высвобождения в областях пищеварительного тракта, иных, чем желудок.

Препараты, подходящие для местного применения (например, трансдермального, интраназального, глазного, буккального и сублингвального), могут быть составлены в виде мази, крема, суспензии, лосьона, порошка, раствора, пасты, геля, спрея, аэрозоля или масла. Альтернативно, препарат может представлять собой пластырь или повязку, такую как повязка или адгезивный пластырь, пропитанные активным соединением и, необязательно, одним или более вспомогательными веществами или разбавителями.

Препараты, пригодные для местного введения в ротовую полость, включают леденцы, содержащие активное соединение в ароматизированной основе, обычно сахарозе и гуммиарабике или трагаканте; пастилки, содержащие активное соединение в инертной основе, такой как желатин и глицерин или сахароза и гуммиарабик; и средства для полоскания рта, содержащие активное соединение в подходящем жидком носителе.

Препараты, подходящие для местного глазного введения, включают глазные капли, в которых активное соединение растворено или суспендировано в подходящим носителе, особенно в водном растворителе для данного активного соединения.

Препараты, пригодные для назального введения, в которых носитель является твердым веществом, включают грубые порошки с размером частиц, например, в диапазоне от около 20 до около 500 мкм, вводимые путем вдыхания, например при быстрой ингаляции через носовой ход, из контейнера с порошком при его поднесении близко к носу. Приемлемые препараты, в которых носитель является жидкостью для введения, например, в виде назального спрея, назальных капель или средства для аэрозольного введения с помощью небулайзера, включают водные или масляные растворы активного соединения.

Препарата, подходящие для введения посредством ингаляции включают те, которые представлены в форме аэрозольного спрея в упаковке под давлением, с применением подходящего пропеллента, такого как дихлордифторметан, трихлорфторметан, дихлортетрафторэтан, диоксид углерода или другие подходящие газы.

Препараты, подходящие для местного нанесения на кожу, включают мази, кремы и эмульсии. При приготовлении мази активное соединение вводят в состав необязательно с использованием парафиновой или смешивающейся с водой мазевой основы. Альтернативно, активные соединения могут быть введены в состав крема с применением кремовой основы типа «масло в воде». Если желательно, водная фаза основы для крема может включать, например, по меньшей мере, около 30 масс.% многоатомного спирта, то есть спирта, содержащего две или более гидроксильные группы, такого как пропиленгликоль, бутан-1,3-диол, маннит, сорбит, глицерин и полиэтиленгликоль и их смеси. Препараты для местного применения, при желании, могут включать соединение, которое повышает абсорбцию или проницаемость активного соединения через кожу или другие области воздействия. Примеры таких усилителей кожной проницаемости включают диметилсульфоксид и родственные аналоги.

При введении в состав эмульсии для местного применения, масляная фаза необязательно может содержать только лишь эмульсификатор (иначе известный как эмульгатор), или может содержать смесь из по меньшей мере, одного эмульсификатора с жиром или маслом или одновременно и с жиром, и с маслом. Предпочтительно, гидрофильный эмульгатор включен вместе с липофильным эмульгатором, который действует как стабилизатор. Предпочтительным является также включение как масла, так и жира. Эмульгатор (-ы) вместе с стабилизатором (-ами) или без стабилизатора (-ов) составляют так называемый эмульгирующий воск, и воск вместе с маслом и/или жиром образуют так называемую эмульгирующую основу мази, которая создает масляную дисперсионную фазу кремового препарата.

Подходящие эмульгаторы и стабилизаторы эмульсий включают Твин 60, Span 80, цетостеариловый спирт, миристиловый спирт, глицерилмоностеарат и натрия лаурилсульфат. Выбор подходящих масел или жиров для препарата основывается на достижении желаемых косметических свойств, поскольку растворимость активного соединения в большинстве масел, которые вероятно будут использоваться в фармацевтических эмульсионных препаратах, может быть очень низкой. Таким образом, крем должен быть, предпочтительно, нежирным, не оставляющим пятен и смываемым препаратом с подходящей консистенцией, чтобы избежать вытекания из тюбиков или других контейнеров. Могут быть использованы моно- или двухосновные алкиловые сложные эфиры с прямой или разветвленной цепью, такие как диизоадипат, изоцетилстеарат, диэфир пропиленгликоля и кокосовые жирные кислоты, изопропилмиристат, децилолеат, изопропилпальмитат, бутилстеарат, 2-этилгексилпальмитат или смесь сложных эфиров с разветвленной цепью, известная как Crodamol CAP, причем последние три являются предпочтительными сложными эфирами. Они могут быть использованы отдельно или в комбинации, в зависимости от требуемых свойств.

Альтернативно, могут быть использованы липиды с высокой температурой плавления, такие как белый мягкий парафин и/или жидкий парафин, или другие минеральные масла.

Препараты, подходящие для ректального введения, могут быть представлены в виде суппозитория с подходящей основой, содержащей, например, масло какао или салицилат.

Препараты, пригодные для вагинального введения, могут быть представлены в виде пессариев, тампонов, кремов, гелей, паст, пенок и аэрозолей, содержащих вдобавок к активному соединению такие носители, которые, как известно в данной области, будут подходящими для этих случаев.

Препараты, подходящие для парентерального введения (например, путем инъекции, включая кожные, подкожные, внутримышечные, внутривенные и внутрикожные), включают водные или неводные, изотонические, апирогенные, стерильные растворы для инъекций, которые могут содержать антиоксиданты, буферы, консерванты, стабилизаторы, бактериостатические агенты и растворяемые вещества, которые делают препарат изотоничным крови предполагаемого реципиента; и водные и неводные стерильные суспензии, которые могут включать суспендирующие агенты и загустители, а также липосомы или другие системы микрочастиц, которые предназначены для нацеливания соединения на компоненты крови или один или более органов. Примеры подходящих изотонических носителей для применения в таких препаратах включают хлорид натрия для инъекций, раствор Рингера или лактатный раствор Рингера для инъекций. Обычно концентрация активного соединения в растворе составляет от приблизительно 1 нг/мл до приблизительно 10 мкг/мл, например, от приблизительно 10 нг/мл до приблизительно 1 мкг/мл. Составы могут быть представлены в закрытых контейнерах, содержащих одну дозу или множество доз, например, ампулах и флаконах, и могут храниться в сублимированном (лиофилизированном) состоянии, требующем только добавления стерильного жидкого носителя, например, воды для инъекций, непосредственно перед применением. Экстемпоральные инъекционные растворы и суспензии могут быть получены из стерильных порошков, гранул и таблеток. Препараты могут быть в форме липосом или других систем микрочастиц, которые предназначены для нацеливания активного соединения на компоненты крови или один или более органов.

Дозировка

Для специалиста в данной области понятно, что соответствующие дозировки соединения и композиций, содержащих соединение, могут быть различными для разных пациентов. Определение оптимальной дозы обычно включает уравновешивание уровня терапевтической пользы относительно любого риска или нежелательных побочных эффектов. Выбранный уровень дозы будет зависеть от различных факторов, включая, без ограничений, активность конкретного соединения, путь введения, время введения, скорость выведения соединения, продолжительность лечения, другие лекарственные средства, соединения, и/или материалы, применяемые в комбинации, тяжесть состояния, и вид, пол, возраст, масса тела, патологическое состояние, общее состояние здоровья и предыдущая медицинская история пациента. Количество соединения и путь введения в конечном счете определяются суждением врача, ветеринара или клинициста, хотя в целом дозу выбирают таким образом чтобы обеспечивать местные концентрации в месте действия, которые обеспечивают желаемый эффект, не вызывая значительных вредных или опасных побочных эффектов.

Введение можно осуществлять одной дозой, непрерывно или с перерывами (например, дробными дозами с соответствующими интервалами) на протяжении курса лечения. Способы определения наиболее эффективных средств и доз для введения хорошо известны специалистам в соответствующей области, и варьируют в зависимости от препаратов, применяемых для терапии, цели терапии, клетки (клеток)-мишени (-ей) лечения и субъекта, подлежащего лечению. Однократное или многократные введения могут осуществляться с применением уровня дозы и схемы введения, выбранных лечащим врачом, ветеринаром или клиницистом.

В целом, подходящая доза активного соединения находится в диапазоне от приблизительно 100 нг до приблизительно 25 мг (в более типичном случае: от приблизительно 1 мкг до приблизительно 10 мг) на килограмм массы тела субъекта в сутки. В случае, когда активное соединение представляет собой соль, сложный эфир, амид, пролекарство и т. п., вводимое количество рассчитывают по исходному соединению таким образом, чтобы пропорционально увеличить фактически применяемую массу.

В одном варианте осуществления активное соединение вводят пациенту-человеку в соответствии со следующей схемой лечения: приблизительно 100 мг 3 раза в сутки.

В одном варианте осуществления активное соединение вводят пациенту-человеку в соответствии со следующей схемой лечения: приблизительно 150 мг 2 раза в сутки.

В одном варианте осуществления активное соединение вводят пациенту-человеку в соответствии со следующей схемой лечения: приблизительно 200 мг 2 раза в сутки.

Однако в одном варианте осуществления активное соединение вводят пациенту-человеку в соответствии со следующей схемой лечения: приблизительно 50 или приблизительно 75 мг 3 или 4 раза в сутки.

В одном варианте осуществления активное соединение вводят пациенту-человеку в соответствии со следующей схемой лечения: приблизительно 100 или приблизительно 125 мг 2 раза в сутки.

Лечение

Термин «лечение», используемый в настоящем документе в контексте лечения состояния, относится в целом к лечению и терапии человека или животного (например, к ветеринарному применению), при которых достигается некоторый желаемый терапевтический эффект, например, подавление прогрессирования состояния, и включает снижение скорости прогрессирования, торможение скорости прогрессирования, регрессирование состояния, облегчение состояния и излечение состояния. Также включено лечение в качестве профилактической меры (т. е. профилактика, предотвращение).

Термин «терапевтически эффективное количество» в контексте настоящего документа относится к количеству активного соединения или материала, композиции или лекарственной формы, содержащих активное соединение, которое эффективно для достижения некоторого желательного терапевтического эффекта, связано с разумным соотношением польза/риск при введении в соответствии с назначенной схемой лечения.

Подобным образом, термин «профилактически эффективное количество» в контексте настоящего документа относится к количеству активного соединения или материала, композиции или лекарственной формы, содержащих активное соединение, которое эффективно для достижения некоторого желательного профилактического эффекта, связано с разумным соотношением польза/риск при введении в соответствии с назначенной схемой лечения.

Субъект/пациент

Субъект/пациент может представлять собой животное, млекопитающее, плацентарное млекопитающее, сумчатое (например, кенгуру, вомбат), одноапертурное (например, утконос), грызуна (например, морскую свинку, хомяка, крысу, мышь), представителя семейства мышиных (например, мышь), зайцеобразное (например, кролика), птицу (например, птицу), представителя семейства собачьих (например, собаку), представителя семейства кошачьих (например, кошку), представителя семейства лошадиных (например, лошадь), представителя семейства свиней (например, свинью), представителя овечьих (например, овцу), жвачное животное (например, корову), примата, представителя рода обезьян (например, мартышку или человекообразную обезьяну), обезьяну (например, игрунку, бабуина), человекообразную обезьяну (например, гориллу, шимпанзе, орангутанга, гиббона) или человека.

Кроме того, субъект/пациент может находиться на любой стадии развития, например, представлять собой плод. В одном предпочтительном варианте осуществления субъект/пациент представляет собой человека.

Общие способы синтеза

Соединения по изобретению можно получить, используя следующие общие способы и процедуры, подробно описанные для примеров. Упомянутые условия реакции являются иллюстративными и неограничивающими, например, для синтеза желаемых соединений специалист в данной области может использовать широкий спектр способов синтеза, таких как, без ограничений, способов, описанных в литературе (например, без ограничений, в March's Advanced Organic Chemistry: Reactions, Mechanisms, and Structure, 7-е издание или Larock’s Comprehensive Organic Transformations: Comprehensive Organic Transformations: A Guide to Functional Group Preparations).

Соединения формулы (l), описанные выше, могут быть получены с помощью стратегий синтеза, изложенных ниже, к которым применимы приведенные выше определения.

Общий синтез 1

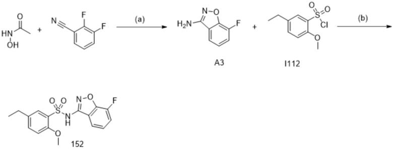
На схеме 1A проиллюстрировано образование сульфонамидной связи с образованием соединений со структурой I путем связывания соответствующего сульфонилхлоридного соединения со структурой G2 с первичным или вторичным амином, таким как бензизоксазоламин G3.

Схема 1A

Способы образования таких сульфонамидов будут очевидны специалистам в данной области, но включают, например, использование подходящего основания, такого как, без ограничений, пиридин, LiHMDS, n-BuLi или NaH, и использование активированных форм сульфоновой кислоты, таких как соответствующий сульфонилгалогенид. Образование сульфонилхлоридов со структурой G2 из соответствующих кислот со структурой G1 может быть достигнуто, например, с использованием тионилхлорида или хлорангидрида циануровой кислоты.

Альтернативно, активированная форма сульфоновой кислоты, такая как, без ограничений, сложный эфир пентафторфенилсульфоната или сложный эфир трихлорфенилсульфоната со структурой G5, может быть соединена с соответствующим первичным или вторичным амином, таким как бензизоксазоламин G3 (схема 1B).

Схема 1B

Образование сульфонатного сложного эфира в форме G5 из соответствующего сульфонилхлорида G2 и соответствующего фенола (R5 может представлять собой, например, пентафторфенил или трихлорфенил) может быть достигнуто с использованием подходящего основания, такого как, без ограничений, пиридин или триэтиламин. Способы образования сульфонамидов в I будут очевидны специалистам в данной области, но включают, например, использование подходящего основания, такого как, но не ограничиваясь этим, LiHMDS.

Общий синтез 2

На схеме 2A проиллюстрировано образование сульфонилхлорида, такого как G2, в качестве заместителя, являющегося частью Ar.

Схема 2A

Это может быть достигнуто путем взаимодействия соответствующего арильного соединения со структурой G6, например, без ограничений, с хлорсульфоновой кислотой. В качестве альтернативы, арильное соединение G6 может быть последовательно обработано основанием, таким как, без ограничений, nBuLi, и диоксидом серы, чтобы получить арилсульфинат лития, который дополнительно окисляется, например, сульфурилхлоридом с получением желаемого сульфонилхлорида в структуре G2. Продукт G2 может быть выделен способами, известными специалистам в данной области, или может быть получен in situ и сразу же использован на последующей стадии.

Кроме того, сульфонилхлорид в структуре G2 может быть образован из арилтиола в структуре G8, показанной на схеме 2B.

Схема 2B

Способы образования G2 включают, например, использование подходящего окислителя, такого как пероксид водорода и нитрат калия, но не ограничиваясь ими, в присутствии источника хлорида, такого как, без ограничений, хлортриметилсилан или тионилхлорид. Тиольная структура G8 может быть синтезирована из соединения со структурой G7, где (X) может быть галогеном, способами, известными специалистам в данной области, включая, без ограничений, нуклеофильное замещение в присутствии или в отсутствие переходного металла.

Альтернативно, сульфирование арильного соединения, такого как G6, может обеспечить получение соответствующей сульфоновой кислоты со структурой G1. Это может быть достигнуто с помощью любого подходящего реагента, известного специалистам в данной области, например триоксида серы или серной кислоты.

Схема 2C

Сульфоновая кислота G1 может быть превращена в сульфонилхлорид G2 способами, приведенными на схеме 1А общего синтеза 1.

Общий синтез 3

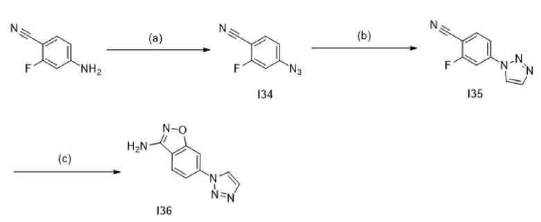
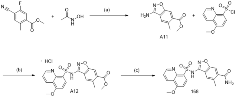
На схеме 3A проиллюстрировано образование бензизоксазоламина, такого как G3, из арилнитрила с орто-заместителем X, таким как структура G9. Группа (X) может представлять собой, без ограничений, галоген, такой как группа хлора или фтора, и ее выбирают так, чтобы она подходила для используемой реакции.

Схема 3A

Например, исходный материал G9 может вступать в реакцию с оксимом, таким как, без ограничений, оксим ацетона или, например, ацетогидроксамовая кислота, в присутствии подходящего основания, такого как, без ограничений, трет-бутоксид калия, с образованием бензизоксазоламина G3.

Общий синтез 4

Схема 4A

На схеме 4A проиллюстрировано добавление группы R7 к соединению со структурой G10 (где R6 представляет собой H или подходящую защитную группу, включая, без ограничений, 2,4-диметоксибензил (ДМБ); способы удаления указанных защитных групп известны специалистам в данной области (например Greene's Protective Groups in Organic Synthesis, 4-е издание)), в качестве заместителя, являющегося частью Ar. Это может быть достигнуто с использованием любой подходящей реакции сочетания, известной специалисту в данной области, например реакции сочетания Сузуки. Группы R7B1 и X выбраны так, чтобы они подходили для используемой реакции сочетания. Например, в случае реакции сочетания Сузуки (X) может быть галогеном, трифлатом или другой подходящей группой, а B1 представляет собой подходящее соединение бора, включая, без ограничений, бороновую кислоту или сложный эфир бороната.

Примеры B1, которые можно использовать в реакции сочетания Сузуки, включают, без ограничений, показанные ниже.

Типы соединений R7B1, которые можно использовать в реакции сочетания Сузуки, включают, без ограничений, показанные ниже.

В дополнение к схеме 4A, положение (X) и (B1) можно поменять на противоположное, как показано ниже на схеме 4B, с получением того же конечного соединения G11. Подобно схеме 2A, группы, обозначенные как R7X и B1, выбраны так, чтобы они подходили для используемой реакции сочетания. Например, в случае реакции сочетания Сузуки (X) может быть галогеном, трифлатом или другой подходящей группой, а B1 представляет собой подходящее соединение бора, включая, без ограничений, бороновую кислоту или сложный эфир бороната.

Схема 4B

Для введения группы R7 можно использовать различные реакции сочетания, кроме сочетания Сузуки, такие как, например, реакции сочетания, катализируемые переходными металлами, или, например, соединениями олова (реакция Стилле) и цинка (реакция Негиши). Кроме того, когда, например, группа (X) представляет собой, без ограничений, фенол (O-H) или первичный или вторичный амин (R’R’’N-H), можно использовать сочетание типа Чана -Лама.

Превращения, представленные на схемах 4A и 4B, также могут быть выполнены с заместителем R1, R2, R3 или R4 в бензизоксазольном фрагменте в структуре G13, представленной на схеме 4C ниже.

Схема 4C

Кроме того, заместитель R7 может быть введен до образования сульфонамида и бензизоксазола на предшественнике нитрила G9 (где R1, или R2, или R3, или R4=X или B1), как показано на схеме 3D общего синтеза 3.

Общий синтез 5

На схеме 5A проиллюстрировано добавление связанной с азотом группы R8 в качестве заместителя, который является частью Ar, или на бензизоксазольный фрагмент, с получением соединения со структурой G16. Это может быть достигнуто с использованием любой подходящей реакции сочетания, известной специалисту в данной области, например путем замещения SnAr или с помощью реакции сочетания Бухвальда. Группа, обозначенная как (X), может представлять собой, без ограничений, галоген, и ее выбирают так, чтобы она подходила для используемой реакции сочетания.

Схема 5A

В качестве альтернативы для синтеза соединений, связанных простым эфиром, можно использовать аналогичную стратегию, как показано на схеме 5B. Это может быть достигнуто с использованием любой подходящей реакции сочетания, известной специалисту в данной области, например путем вытеснения SnAr или с помощью реакции сочетания Ульмана, с получением соединений со структурой G17.

Схема 5B

Обе указанные выше связи также могут быть изменены на обратные, так что добавляемая группа представляет собой R8-X.

Кроме того, заместитель OR8 или NHR8 может быть введен до образования сульфонамида и бензизоксазола на предшественнике нитрила G9 (где R1, или R2, или R3, или R4=X), как показано на схеме 3D общего синтеза 3.

Общий синтез 6

Схема 6A

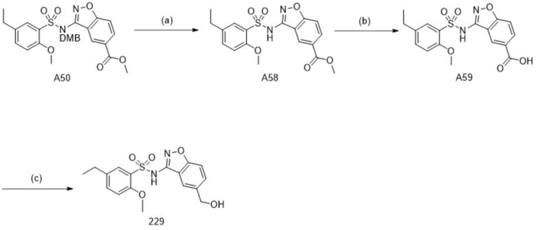
На схеме 6A проиллюстрировано добавление амина (HNR10R11) с образованием соответствующего амида в качестве заместителя, который является частью Ar, или на бензизоксазольный фрагмент, с получением соединения со структурой G19. Это может быть достигнуто путем сочетания соответствующей карбоновой кислоты с первичным амином или вторичным амином NHR10R11. Способы образования таких амидов будут очевидны специалистам в данной области, но включают, например, использование таких реагентов, как HATU, HBTU, T3P и EDCI/HOBt, и использование активированных форм карбоновой кислоты, таких как соответствующий ацилгалогенид, смешанный ангидрид или сложный эфир N-гидроксисукцинимида. Амид G19 также может быть синтезирован непосредственно из сложноэфирного соединения (когда R12=Alk, например, без ограничений, метил или этил). Образование карбоновой кислоты (когда R12=H) из соответствующего сложного эфира может быть достигнуто, например, путем гидролиза с основанием, таким как гидроксид щелочного металла, или кислотой, например водным раствором хлористоводородной кислоты.

Из амидного соединения G19 могут быть осуществлены дальнейшие превращения, такие как, без ограничений, восстановление амида с образованием амина или дегидратация амида с образованием нитрила. Способы выполнения такого преобразования будут известны специалистам в данной области.

Кроме того, амид CONR10R11 может быть введен до образования сульфонамида и бензизоксазола на предшественнике нитрила G9 (где R1, или R2, или R3, или R4=CO2R12, R12=Alk или H), как показано на схеме 3D общего синтеза 3.

Общий синтез 7

Превращение (X) в структуре G20 на схеме 7A в сложный эфир в структуре G18 (R12=алкил, такой как метил или этил) будет очевидно для специалистов в данной области, но включает, например, реакцию карбонилирования, которая может быть достигнута с помощью использования монооксида углерода в присутствии катализатора на основе переходного металла, такого как, без ограничений, PdCl2dppf⋅ДХМ; и спиртового растворителя, такого как, без ограничения, метанол или этанол. Образование карбоновой кислоты в структуре G18 (R=H) может быть достигнуто, например, путем гидролиза с основанием, таким как гидроксид щелочного металла, или кислотой, например водным раствором хлористоводородной кислоты.

Схема 7A

Сложный эфир или кислота G18 на схеме 7A может быть восстановлена до гидроксильного соединения, такого как структура G21. Способы такого превращения известны специалистам в данной области, но включают, например, использование восстанавливающих агентов, таких как алюмогидрид лития (для сложного эфира и карбоновой кислоты) и бороводород (для карбоновой кислоты).

Из гидроксильного соединения G21 могут быть осуществлены дальнейшие превращения, такие как, без ограничений, реакции Мицунобу или нуклеофильного замещения. Способы выполнения такого преобразования будут известны специалистам в данной области.

Кроме того, сложноэфирая группа может быть введена до образования сульфонамида и бензизоксазола на предшественнике нитрила G9 (где R1, или R2, или R3, или R4=X), как показано на схеме 3D общего синтеза 3.

Общий синтез 8

На схеме 8A проиллюстрировано восстановление нитрогруппы в структуре G22 с образованием соответствующего амина в структуре G23 в качестве заместителя, который является частью Ar, или на бензизоксазольном фрагменте.

Схема 8A

Восстановление нитрогруппы до первичного амина G23 будет очевидно для специалистов в данной области и включает, без ограничений, использование таких условий восстановления, как применение переходного металла (Fe, In, Zn) в присутствии HCl, гидрогенизацию в присутствии переходного металла или катализатора переходного металла.

Из аминного соединения G23 могут быть осуществлены дальнейшие превращения, такие как, без ограничений, образование амидной связи. Способы выполнения такого преобразования аналогичны описанным для общего синтеза 6.

Кроме того, аминная группа может быть введена до образования сульфонамида и бензизоксазола на предшественнике нитрила G9 (где R1, или R2, или R3, или R4=NO2), как показано на схеме 3D общего синтеза 3.

Общий синтез 9

На схеме 9A проиллюстрировано введение нитрильной группы в структуру G25 в качестве заместителя, который является частью Ar, или на бензизоксазольном фрагменте.

Схема 9A

Способ такого превращения будет очевиден специалистам в данной области и включает без ограничений замещение SnAr или катализируемое переходным металлом сочетание с подходящим цианидным реагентом. Группа, обозначенная как (X), в структуре G24 может представлять собой, без ограничений, галоген, трифлат или мезилат, и ее выбирают так, чтобы она подходила для используемой реакции.

Дополнительные предпочтения

Описанные ниже предпочтения могут применяться ко всем аспектам изобретения, описанным выше, или могут относиться к одному аспекту. Предпочтения можно сочетать в любой комбинации.

R1, R2, R3 и R4

В некоторых вариантах осуществления по меньшей мере один из R1, R2, R3 и R4 может представлять собой H. В некоторых из этих вариантов осуществления один из R1, R2, R3 и R4 представляют собой H. В других из этих вариантов осуществления два из R1, R2, R3 и R4 представляют собой H. В других из этих вариантов осуществления три из R1, R2, R3 и R4 представляют собой H.

В некоторых вариантах осуществления по меньшей мере один из R1, R2, R3 и R4 не представляет собой H.

В некоторых вариантах осуществления по меньшей мере один из R1, R2, R3 и R4 может представлять собой C1-3 алкил, необязательно замещенный:

гидрокси,

C1-2 алкокси, необязательно замещенный одной или более фторогруппами;

NH2,

фенилом,

C5-6 гетероарилом,

C1-4 алкилкарбамоилом,

ациламидо или

одной или более фторогруппами.

В этих вариантах осуществления по меньшей мере один из R1, R2, R3 и R4 может представлять собой C1-3 алкил. Кроме того, в этих вариантах осуществления группа C1-3 алкила может представлять собой метил, этил или пропил. Эти группы могут быть незамещенными. Эти группы могут быть замещены одной или более фторогруппами и могут быть перфторированными, например CF3, C2F5. Эти группы могут быть замещены одной, двумя, тремя, четырьмя или пятью фторгруппами. В некоторых вариантах осуществления эти группы могут быть замещены одной; одной или двумя; или одной, двумя или тремя фторгруппами.

Если алкильная группа замещена, заместитель может быть выбран из:

(i) гидрокси; или

(ii) незамещенного C1-2 алкокси, т. е. метокси, этокси; или C1-2 алкокси, замещенного одной или более фторогруппами, например -OCH2F, -OCH2CF3; или

(iii) NH2; или

(iv) фенила; или

(v) C5-6 гетероарила, например N-пиразолила; или

(vi) C1-4 алкилкарбамоила, например NHC(O)Me; илит

(vii) ациламидо, например NHCO2Me.

В некоторых вариантах осуществления по меньшей мере один из R1, R2, R3 и R4 может представлять собой C1-3 алкокси, необязательно замещенный C3-6 циклоалкилом или одной или более фторогруппами. В этих вариантах осуществления группа C1-3 алкокси может представлять собой метокси, этокси или пропилокси. Эти группы могут быть незамещенными. Эти группы могут быть замещены одной или более фторогруппами и могут быть перфторированными, например OCF3, OC2F5. Эти группы могут быть замещены одной, двумя, тремя, четырьмя или пятью фторгруппами. В некоторых вариантах осуществления эти группы могут быть замещены одной; одной или двумя; или одной, двумя или тремя фторгруппами. Алкоксигруппа может быть замещена C3-6 циклоалкилом, например циклопропилом. Таким образом, вся группа может представлять собой OCH2(циклопропил).

В некоторых вариантах осуществления по меньшей мере один из R1, R2, R3 и R4 может представлять собой C3-6 циклоалкил. В этих вариантах осуществления группа C3-6 циклоалкила может представлять собой циклопропил, циклобутил, циклопентил или циклогексил. В частности, группа C3-6 циклоалкила может представлять собой циклопропил.

В некоторых вариантах осуществления по меньшей мере один из R1, R2, R3 и R4 может представлять собой галоген. В этих вариантах осуществления группа галогена может представлять собой фтор, хлор, бром или йод.

В некоторых вариантах осуществления по меньшей мере один из R1, R2, R3 и R4 может представлять собой CORC, где RC выбран из NRN1RN2, где RN1 и RN2 независимо выбраны из H и метила. В этих вариантах осуществления группа может быть выбрана из C(O)NH2, C(O)NHCH3 и C(O)N(CH3)2.

В некоторых вариантах осуществления по меньшей мере один из R1, R2, R3 и R4 может представлять собой циано, NH2, NO2. В некоторых из этих вариантов осуществления по меньшей мере один из R1, R2, R3 и R4 может представлять собой циано. В других из этих вариантов осуществления по меньшей мере один из R1, R2, R3 и R4 может представлять собой NH2. В других из этих вариантов осуществления по меньшей мере один из R1, R2, R3 и R4 может представлять собой NO2.

В некоторых вариантах осуществления по меньшей мере один из R1, R2, R3 и R4 может представлять собой фенил или C5-6 гетероарил, причем эти группы необязательно замещены метилом, циано, гидрокси или метокси. В некоторых из этих вариантов осуществления по меньшей мере один из R1, R2, R3 и R4 может представлять собой фенил. В других из этих вариантов осуществления по меньшей мере один из R1, R2, R3 и R4 может представлять собой C5-6 гетероарил, например оксазолил, пиразолил, триазолил, пиридил и пиримидинил. Фенильная C5-6 гетероарильная группа может быть незамещенной. В некоторых вариантах осуществления фенильная группа может быть замещена метилом, циано или метокси. В некоторых вариантах осуществления C5-6 гетероарильная группа может быть замещена одной или более метильными группами таким образом, что вся группа представляет собой, например, диметилпиразолил или N-метилпиразолил.

В некоторых вариантах осуществления R4 представляет собой метокси.

В некоторых вариантах осуществления R4 представляет собой метокси, R2 представляет собой CH2OCH3 или CH2OCH2CH3 и R1 и R3 представляют собой H.

В некоторых вариантах осуществления R4 представляет собой метокси, R2 представляет собой фенил, необязательно замещенный метилом или метокси, и R1 и R3 представляют собой H.

В некоторых вариантах осуществления R4 представляет собой метокси, R2 представляет собой C5-6 гетероарил, необязательно замещенный метилом.

В некоторых вариантах осуществления R4 представляет собой метокси, и R1, R2 и R3 представляют собой H.

В некоторых вариантах осуществления R4 представляет собой хлор, R2 представляет собой C1-3 алкил или бром, и R1 и R3 представляют собой H.

В некоторых вариантах осуществления R4 представляет собой хлор, и R1, R2 и R4 представляют собой H.

В некоторых вариантах осуществления R3 представляет собой C1-3 алкил, и R1, R2 и R4 представляют собой H.

Ar

Ar выбран из фенила, нафтила и C5-10 гетероарильных групп, которые могут быть незамещенными или замещенными.

В некоторых вариантах осуществления Ar представляет собой фенил.

В некоторых вариантах осуществления Ar представляет собой нафтил.

В некоторых вариантах осуществления Ar представляет собой C5-10 гетероарильную группу. C5-10 гетероарильная группа может быть выбрана из: хинолинила, бензотиазолила, хиноксалинила, бензооксадиазолила, бензотиадиазолила, бензофурана и бензотриазолила. В некоторых из этих вариантов осуществления Ar представляет собой хинолинил или бензотиазолил.

В некоторых вариантах осуществления Ar представляет собой группу:

.

В некоторых вариантах осуществления заместителем Ar является C1-4 алкил, необязательно замещенный гидрокси, C1-2 алкокси, NH2, C1-4 алкилкарбамоилом или одной или более фторогруппами. В этих вариантах осуществления группа C1-4 алкила может представлять собой метил, этил, пропил или бутил. Эти группы могут быть незамещенными. Эти группы могут быть замещены одной или более фторогруппами и могут быть перфторированными, например CF3, C2F5. Если алкильная группа замещена, заместитель может быть выбран из:

(i) гидрокси; или

(ii) C1-2 алкокси, т. е. метокси, этокси; или

(iii) NH2; или

(iv) C1-4 алкилкарбамоила, например NHC(O)CH3.

В некоторых вариантах осуществления заместителем Ar является C3-6 циклоалкил. В этих вариантах осуществления группа C3-6 циклоалкила может представлять собой циклопропил, циклобутил, циклопентил или циклогексил. В частности, группа C3-6 циклоалкила может представлять собой циклогексил.

В некоторых вариантах осуществления заместителем Ar является гидрокси; циано; NRN3RN4, где RN3 и RN4 независимо выбраны из H и метила; или ациламидо. В некоторых из этих вариантов осуществления заместитель может представлять собой гидрокси. В других из этих вариантов осуществления заместитель может представлять собой циано. В других из этих вариантов осуществления заместитель может представлять собой NRN3RN4, где RN3 и RN4 независимо выбраны из H и метила, таким образом, заместитель может представлять собой NH2, NHCH3 или N(CH3)2. В других из этих вариантов осуществления заместитель может представлять собой ациламидо, например, NHCO2CH3.

В некоторых вариантах осуществления заместителем Ar является галоген. В этих вариантах осуществления группа галогена может представлять собой фтор, хлор, бром или йод.

В некоторых вариантах осуществления заместителем Ar является C1-3 алкокси, необязательно замещенный гидрокси, C(O)NH2, C3-6 циклоалкилом, фенилом, C5-6 гетероарилом или одной или более фторогруппами. В этих вариантах осуществления группа C1-3 алкокси может представлять собой метокси, этокси или пропилокси. Эти группы могут быть незамещенными. Эти группы могут быть замещены одной или более фторогруппами и могут быть перфторированными, например OCF3, OC2F5. Алкоксигруппа может быть замещена гидроксилом таким образом, что вся группа представляет собой, например, OC2H4OH. Алкоксигруппа может быть замещена C(O)NH2 таким образом, что вся группа представляет собой, например, OCH2C(O)NH2. Алкоксигруппа может быть замещена C3-6 циклоалкилом, например циклопропилом таким образом, что вся группа представляет собой, например, OCH2(циклопропил). Алкоксигруппа может быть замещена фенилом таким образом, что вся группа представляет собой, например, бензилокси. Алкоксигруппа может быть замещена C5-6 гетероарилом, например пиридилом, пиразолилом таким образом, что вся группа представляет собой, например, OCH2(N-метилпиразолил) или OCH2(метоксипиридил).

В некоторых вариантах осуществления заместителем Ar является фенокси, необязательно замещенный фтором. В некоторых из этих вариантов осуществления заместитель может представлять собой фенокси. В других из этих вариантов осуществления заместитель может представлять собой OC6H4F.

В некоторых вариантах осуществления заместителем Ar является фенил или C5-6 гетероарил. В некоторых из этих вариантов осуществления заместитель представляет собой фенил. В других из этих вариантов осуществления, заместитель может представлять собой C5-6 гетероарил, такой как оксазолил или N-пиразолил.

В некоторых вариантах осуществления заместителем Ar является SF5 или SO2CH3. В некоторых из этих вариантов осуществления заместитель представляет собой SF5. В других из этих вариантов осуществления заместитель представляет собой SO2Me.

В некоторых вариантах осуществления заместителем Ar является -(CH2)n-Y-, где Y представляет собой O или CH2 и n равно 2 или 3. Этот заместитель особенно важен, когда Ar представляет собой фенил, и образует частично ненасыщенное конденсированное кольцо с фенилом. Таким образом, Ar может представлять собой тетралинил (т. е. конденсированный циклогексан), инданил (т. е. конденсированный циклопентан), хроманил (т. е. конденсированный тетрагидропиран) или дигидробензофуранил.

В некоторых вариантах осуществления заместителем Ar является C1-4 алкильный сложный эфир. В некоторых из этих вариантов осуществления заместитель представляет собой C(O)OCH3. В других из этих вариантов осуществления заместитель представляет собой C(O)OC(CH3)3.

Некоторые варианты осуществления Ar могут быть представлены формулой (Ar-1):

(Ar-1)

где Y представляет собой N или C-RA4, и Z представляет собой N или C-RA5; и

RA1, RA2, RA3, RA4 (если присутствует) и RA5 (если присутствует) независимо выбраны из H и необязательных заместителей Ar.

В некоторых вариантах осуществления RA2 представляет собой этил.

В некоторых вариантах осуществления RA3 выбран из циклоалкила; фенокси; фенила; C5-6 гетероарила; SF5; и SO2CH3.

В некоторых вариантах осуществления Ar представляет собой 5-этил-2-метоксифенил.

В некоторых вариантах осуществления Ar представляет собой 5-CF3-2-метоксифенил.

В некоторых вариантах осуществления Ar представляет собой 2,6-диметоксифенил.

В некоторых вариантах осуществления Ar представляет собой хинолинил. Эти соединения могут проявлять избирательную активность в отношении HBO1.

В некоторых вариантах осуществления R4 представляет собой метокси, R2 выбран из CH2O CH3, CH2O CH2CH3 и необязательно замещенного фенила, и Ar представляет собой 2,6-диметоксибензол. Эти соединения могут проявлять особую активность в отношении MOZ и MORF. Соединения, в которых R2 выбран из CH2OCH3 и CH2OCH2CH3, могут проявлять избирательную активность в отношении MOZ и MORF.

В некоторых вариантах осуществления для соединений, в которых R1, R2, R3 и R4 представляют собой H, Ar не является 4-аминофенилом.

В некоторых вариантах осуществления для соединений, в которых R1, R2, R3 и R4 представляют собой H, Ar не является 2,4,6-триметилфенилом.

В некоторых вариантах осуществления для соединений, в которых R1, R2 и R4 представляют собой H и R3 представляет собой CF3, Ar не является 2-(дифторметокси)фенилом.

В некоторых вариантах осуществления для соединений, в которых R1, R2, R3 и R4 представляют собой H, Ar не является 4-фтор-3-метилфенилом.

В некоторых вариантах осуществления для соединений, в которых R1, R2 и R3 представляют собой H и R4 представляет собой метокси, Ar не является незамещенным нафтилом.

Соединения, представляющие особый интерес, включают соединения из примеров.

ПРИМЕРЫ

Следующие ниже примеры предоставлены исключительно для иллюстрации настоящего изобретения и не предназначены для ограничения объема изобретения, описанного в настоящем документе.

Сокращения

Для удобства многие химические фрагменты представлены с использованием хорошо известных сокращений, включая, без ограничений, метил (Me), этил (Et), N-пропил (nPr), изопропил (iPr), N-бутил (nBu), трет-бутил (tBu), фенил (Ph), бензил (Bn), метокси (MeO), этокси (EtO), триметилсилил (ТМС) и ацетил (Ac).

Для удобства многие химические соединения представлены с использованием хорошо известных сокращений, включая, без ограничений, метанол (MeOH), дейтерированный метанол (метанол-d4) этанол (EtOH), изопропанол (i-PrOH), этилацетат (EtOAc), уксусную кислоту (AcOH), ацетонитрил (MeCN или АЦН), дихлорметан (метиленхлорид, ДХМ), трифторуксусную кислоту (ТФК), N, N-диметилформамид (ДМФ), тетрагидрофуран (ТГФ), диметилсульфоксид (ДМСО), N-метил-2-пирролидон (NMP), дейтерированный ацетон (ацетон-d6), дейтерированный хлороформ (CDCl3), дейтерированный диметилсульфоксид (ДМСО-d6), 1,1'-бис(дифенилфосфино)ферроцен (dppf), триэтиламин (Et3N или TEA), N, N-диизопропилэтиламин (ДИПЭА или ДИЭА), 1,1'-бис(дифенилфосфино)ферроцен дихлорпалладий (II) (PdCl2(dppf)), транс-дихлорбис(трифенилфосфин)палладий(II) (PdCl2(PPh3)2), трис(дибензилиденацетон) дипалладий(0) (Pd2(dba)3), тетракис(трифенилфосфин)палладий(0) (Pd(PPh3)4), 2,4-диметоксибензил (ДМБ), петролейный эфир (петр. эфир), лития бис(триметилсилил)амид (LHMDS или LiHMDS), калия бис(триметилсилил)амид (KHMDS), натрия бис(триметилсилил)амид (NaHMDS), н-бутиллитий (n-BuLi), N-бромсукцинимид (NBS), N-хлорсукцинимид (NCS), пиридиния п-толуолсульфонат (ППТС), азобисизобутиронитрил (АИБН), тетраметилэтилендиамин (ТМЭДА), трет-бутилдиметилсилил хлорид (ТБС-Cl), тетра-н-бутиламмония фторид (ТБАФ) и диизопропилазодикарбоксилат (ДИАД).

Кроме того, ТСХ относится к тонкослойной хроматографии.

Другие сокращения: время удерживания (вр. уд. или Вр. уд.), минута (-ы) (мин), час (-ы) (ч), комнатная температура (к. т.), концентрированный (конц.), атмосфера (атм), водный (водн.), насыщенный (нас.), экв (эквивалент (-ы)).

Общие детали экспериментов

Если не указано иное, применяются следующие обобщения. Спектр 1H ЯМР регистрировали на аппарате Bruker Ultrashield Plus (400 MГц) или Bruker AVANCE III (400 MГц). Кратность сигнала обозначается следующими аббревиатурами: с: синглет; д: дублет; т: триплет; к: квартет; п: пентет; дд: дуплет дублетов; дт: дуплет триплетов; тт: триплет триплетов; шир.: широкий; м, мультиплет. Все наблюдаемые константы связывания, J, выражены в герцах (Гц). Обменные протоны наблюдаются не всегда.

Данные ЖХМС были получены с использованием следующего оборудования: Agilent 6100 серии Single Quad (ЖХМС-A), Agilent 1260 Infinity серии СПЖХ/МС (ЖХМС-B), Agilent 1200 (ЖХМС-C и ЖХМС-D), Waters 2695 alliance (ЖХМС-E), Agilent 6120 Single Quad (ЖХМС-F) или ВЭЖХ-МС с разделением по массе. Изотопы хлора указаны как 35Cl, изотопы брома указаны либо как79Br, либо как 81Br, либо как оба 79Br/81Br.

ЖХМС, метод A (ЖХМС-A):

Аппарат: Agilent 6100 серии Single Quad ЖХ/МС

Agilent 1200 серии ВЭЖХ

Насос: четырехканальный насос 1200 серии G1311A

Автоматический пробоотборник: автоматический пробоотборник 1200 серии G1329A с термостатированием

Детектор: детектор с изменяемой длиной волны 1200 серии G1314B

Условия ЖХ:

Анализ посредством обращенно-фазовой ВЭЖХ

Колонка: Luna C8 (2) 5 мкм 50 × 4,6 мм 100 Å

Температура колонки: 30 °C

Объем вводимой пробы: 5 мкл

Растворитель A: вода, 0,1% муравьиная кислота

Растворитель B: MeCN, 0,1% муравьиная кислота

Градиент: 5-100% растворителя B за 10 мин

Детектирование: 254 нм или 214 нм

Условия МС:

Источник ионов: квадрупольный

Режим регистрации ионов: многорежимный с ионизацией электрораспылением (ES)

Температура газа-осушителя: 300 °C

Температура испарителя: 200 °C

Капиллярное напряжение (В): 2000 (положительн.)

Капиллярное напряжение (В): 4000 (отрицат.)

Диапазон сканирования: 100-1000

Размер шага: 0,1 с

Время обнаружения: 10 мин

ЖХМС, метод B (ЖХМС-B):

Аппарат: Agilent 1260 Infinity серии СПЖХ/МС

Насос: двухканальный насос 1260 Infinity G1312B

Автоматический пробоотборник: 1260 Infinity G1367E 1260 HiP ALS

Детектор: диодноматричный (DAD) 1290 Infinity G4212A 1290

Условия ЖХ:

Анализ посредством обращенно-фазовой ВЭЖХ

Колонка: Poroshell 120 EC-C18 2,7 мкм 50 × 3,0 мм

Температура колонки: 35 °C

Объем вводимой пробы: 1 мкл

Растворитель A: вода, 0,1% муравьиная кислота

Растворитель B: MeCN, 0,1% муравьиная кислота

Градиент: 5-100% растворителя B за 3,8 мин

Детектирование: отслеживание при 254 нм и 214 нм

Условия МС:

Источник ионов: квадрупольный

Режим регистрации ионов: ионизация электрораспылением при атмосферном давлении (API-ES)

Температура газа-осушителя: 350 °C

Капиллярное напряжение (В): 3000 (положительн.)

Капиллярное напряжение (В): 3000 (отрицат.)

Диапазон сканирования: 100-1000

Размер шага: 0,1 с

Время обнаружения: 5 мин

ЖХМС, метод C (ЖХМС-C):

Модель хроматографа ЖХ: Agilent 1200

(Тип насоса: двухканальный насос, тип детектора: DAD)

Модель МС: Agilent G6110A Quadrupole

Условия ЖХ:

Колонка: Xbridge-C18, 2,5 мкм, 2,1 × 30 мм

Температура колонки: 30 °C

Обнаружение длины волны: 214 нм, 254 нм

Подвижная фаза: A: 0,07% водный раствор HCOOH, B: MeOH

Условия МС:

МС: источник ионов: ES+ (или ES-) МС диапазон: 50-900 m/z

Фрагментор: 60 Скорость потока газа-осушителя: 10 л/мин

Давление распылителя: 35 фунтов/кв. дюйм Температура газа-осушителя: 350 °C

Vcap: 3,5 кВ.

Таблица градиентов:

Скорость потока (мл/мин) T (мин) A (%) B (%) 0,5 0,0 70 30 0,5 0,2 70 30 0,5 1,8 5 95 0,5 2,4 5 95 0,5 2,6 70 30 0,5 3,5 70 30

Подготовка образца:

Образец растворяли в метаноле, концентрация около 0,11-1 мг/мл, затем фильтровали через шприцевой фильтр 0,22 мкм. (Объем вводимой пробы: 1-10 мкл)

ЖХМС, метод D (ЖХМС-D):

Модель хроматографа ЖХ: Agilent 1200

(Тип насоса: двухканальный насос, тип детектора: DAD)

Модель МС: Agilent G6110A Quadrupole

Условия ЖХМС:

ЖХ: колонка: Xbridge-C18, 2,5 мкм, 2,1 × 30 мм

Температура колонки: 30 °C

Обнаружение длины волны: 214 нм, 254 нм

Подвижная фаза: A: 0,07% водный раствор HCOOH, B: MeOH

Условия МС:

МС: источник ионов: ES+ (или ES-) МС диапазон: 50-900 m/z

Фрагментор: 60 Скорость потока газа-осушителя: 10 л/мин

Давление распылителя: 35 фунтов/кв. дюйм Температура газа-осушителя: 350 °C

Vcap: 3,5 кВ.

Таблица градиентов:

Скорость потока (мл/мин) T (мин) A (%) B (%) 0,5 0,0 70 30 0,5 0,3 70 30 0,5 0,6 50 50 0,5 0,9 40 60 0,5 1,2 30 70 0,5 3,2 5 95 0,5 3,5 5 95 0,5 4,0 70 30 0,5 5,0 70 30

Подготовка образца:

Образец растворяли в метаноле, концентрация около 0,11-1 мг/мл, затем фильтровали через шприцевой фильтр 0,22 мкм. (Объем вводимой пробы: 1-10 мкл)

ЖХМС, метод E (ЖХМС-E):

Информация по оборудованию:

Модель ЖХ: Waters 2695 alliance

(Тип насоса: четырехканальный насос, Детектор: фотодиодноматричный детектор 2996)

Модель МС: Micromass ZQ

Условия ЖХ:

ЖХ: колонка: Xbridge-C18, 3,5 мкм, 2,1 × 50 мм

Температура колонки: 30 °C

Обнаружение длины волны: 214 нм, 254 нм

Подвижная фаза: A: 0,07% водный раствор HCOOH, B: MeOH

Условия МС:

МС: источник ионов: ES+ (или ES-) МС диапазон: 50-900 m/z

Капилляр: 3 кВ Конус: 3 В Экстрактор: 3 В

Скорость потока газа-осушителя: 600 л/ч Конус: 50 л/ч

Температура десольватации: 300 °C

Температура источника: 100 °C.

Таблица градиентов:

Скорость потока (мл/мин) T (мин) A (%) B (%) 0,3 0,0 80 20 0,3 0,5 80 20 0,3 0,8 50 50 0,3 1,2 35 65 0,3 2,0 20 80 0,3 4,0 5 95 0,3 5,0 5 95 0,3 5,8 15 85 0,3 6,2 80 20 0,3 8,0 80 20

Подготовка образца:

Образец растворяли в метаноле, концентрация около 0,11-1 мг/мл, затем фильтровали через шприцевой фильтр 0,22 мкм. (Объем вводимой пробы: 1-10 мкл)

ЖХМС, метод F (ЖХМС-F)

Аппарат: Agilent 6120 серии Single Quad ЖХ/МС

Agilent 1200 серии ВЭЖХ

Насос: четырехканальный насос 1200 серии G1311A

Автоматический пробоотборник: автоматический пробоотборник 1200 серии G1329A с термостатированием

Детектор: детектор с изменяемой длиной волны 1200 серии G1314B

Условия ЖХ:

Анализ посредством обращенно-фазовой ВЭЖХ

Колонка: Luna C8 (2) 5 мкм 50 × 4,6 мм 100 Å

Температура колонки: 30 °C

Объем вводимой пробы: 1-10 мкл

Растворитель A: вода, 0,1% муравьиная кислота

Растворитель B: MeCN, 0,1% муравьиная кислота

Градиент: 0-95% растворителя B за 10 мин

Детектирование: 254 нм или 214 нм

Условия МС:

Источник ионов: квадрупольный

Режим регистрации ионов: многорежимный с ES и APCI

Температура газа-осушителя: 250 °C

Температура испарителя: 200 °C

Капиллярное напряжение (В): 4000 (положительн.)

Капиллярное напряжение (В): 4000 (отрицат.)

Диапазон сканирования: 100-1000

Размер шага: 0,1 с

Время обнаружения: 10 мин

Препаративная ВЭЖХ с разделением по массе

Аппарат:

Waters ZQ 3100 - детектор масс

Waters 2545 - насос

Waters SFO - организатор пневмогидроструйной системы

Waters 2996 - диодноматричный детектор

Waters 2767 - система управления образцами

Условия ЖХ:

Анализ посредством обращенно-фазовой ВЭЖХ

Колонка: XBridge TM C18 5 мкм 19 × 50 мм

Объем вводимой пробы 500 мкл

Растворитель A: вода, 0,1% муравьиная кислота

Растворитель B: ацетонитрил, 0,1% муравьиная кислота

Градиент: 25-100% B за 10 мин

Скорость потока: 19 мл/мин

Детектирование: 100-600 нм

Условия МС:

Источник ионов: одиночный-квадрупольный

Режим регистрации ионов: ES-положительн.

Температура источника: 150 °C

Температура десольватации: 350 °C

Детектирование: подсчет ионов

Капилляр (KВ)-3,00

Конус (В): 30

Экстрактор (В): 3

РЧ линза (В): 0,1

Диапазон сканирования: 100-1000 а. е. м.

Время сканирования: 0,5 с

Время обнаружения: 10 мин

Поток газа

Десольватация, л/ч - 650

Конус, л/ч - 100

Препаративная ВЭЖХ (преп. ВЭЖХ)

Тип аппарата: серия Varian 940-LC;

Тип насоса: четырехканальный насос;

Тип детектора: диодноматричный детектор.

Условия ВЭЖХ:

Waters Sunfire prep C18 OBD, колонка 5 мкм 19 × 100 мм, элюирование с градиентом MeOH в воде, с 0,07% ТФК со скоростью потока 15 мл/мин. Обнаружение длины волны: 214 нм, 254 нм.

Аналитическую тонкослойную хроматографию выполняли на пластинах с силикагелем 60 F254 Merck с алюминиевой подложкой, которые визуализировали с помощью гашения флуоресценции в УФ-свете или с помощью погружения в основной KMnO4 или в нингидрин.

Препаративную тонкослойную хроматографию (препаративная ТСХ или преп. ТСХ) выполняли с использованием Tklst (Китай), grand-класса: (ВЭТСХ): 8 ± 2 мкм >80%; (ТСХ): 10-40 мкм. Тип: GF254. Соединения визуализировали УФ (254 нм).

Колоночную хроматографию выполняли с использованием системы очистки Biotage Isolera с использованием картриджей с силикагелем Grace или RediSep® или силикагелем Tklst (Китай) grand-класса с размером частиц 100-200 меш.

Микроволновое облучение осуществляли с использованием микроволнового реактора CEM Explorer SP.

При необходимости приобретали безводные растворители в компании Sigma-Aldrich или высушивали обычными методами.

Если не указано иное, подкисление проводили концентрированным или водным раствором HCl.

Дополнительные использованные картриджи:

Разделитель фаз:

Производитель: Biotage

Изделие: разделитель фаз ISOLUTE® (если не указано иное, 3 мл)

Силикагелевые картриджи модифицированные амином:

Производитель: Biotage

Изделие: Isolute® NH2, 1 г/6 мл

или

Производитель: Silicycle

Изделие: силикагель с амином, 500 мг или 1 г

Синтез промежуточных соединений

i) 6-(Метоксиметил)-5-метилбензо[d]изоксазол-3-амин I4

a) метил 4-циано-5-фтор-2-метилбензоат I1

Смесь 4-бром-2-фтор-5-метилбензонитрила (3,5 г, 16,4 ммоль), Pd(dppf)Cl2⋅ДХМ (668 мг, 0,82 ммоль) и Et3N (5,0 г, 49,1 ммоль) в MeOH (80 мл) нагревали при 100°C в атмосфере CO (0,2 МПа) в течение ночи. Добавляли дополнительный Pd(dppf)Cl2⋅ДХМ (340 мг, 0,4 ммоль) и продолжали нагревание в атмосфере CO (0,2 МПа) в течение ночи. Катализатор удаляли путем фильтрации, промывали с использованием MeOH, и концентрировали фильтрат при пониженном давлении. Остаток очищали с помощью колоночной хроматографии (петр. эфир/EtOAc=от 20/1 до 10/1 до 5/1) с получением указанного в заголовке соединения (2,4 г, 74%) в виде твердого вещества желтого цвета. ЖХМС-D: вр. уд. 2,48 мин; m/z 216,1 [M+Na]+.

b) 2-Фтор-4-(гидроксиметил)-5-метилбензонитрил I2

К раствору метил 4-циано-5-фтор-2-метилбензоат I1 (2,4 г, 12,4 ммоль) в безводном ТГФ (20 мл) при к. т. в атмосфере N2 добавляли по каплям LiBH4 (2,0 M раствор в ТГФ, 12,4 мл, 24,8 ммоль) и нагревали смесь при температуре кипения с обратным холодильником в течение 2 ч. Реакцию гасили водой (80 мл) и экстрагировали смесь с использованием EtOAc (90 мл × 3). Объединенные органические экстракты промывали водой (100 мл × 3), насыщенным солевым раствором, сушили над безводным Na2SO4, фильтровали и концентрировали при пониженном давлении. Остаток очищали с помощью колоночной хроматографии (петр. эфир/EtOAc=от 20/1 до 10/1 до 5/1) с получением указанного в заголовке соединения (1,6 г, 79%) в виде твердого вещества желтого цвета. ЖХМС-D: вр. уд. 1,43 мин; m/z 166,1 [M+H]+, 188,1 [M+Na]+.

c) 2-Фтор-4-(метоксиметил)-5-метилбензонитрил I3

К раствору 2-фтор-4-(гидроксиметил)-5-метилбензонитрила I2 (800 мг, 8,8 ммоль) и йодметана (3,4 г, 24,2 ммоль) в ДМФ (12 мл) при 0°C добавляли NaH (60 масс.% дисперсия в масле, 379 мг, 9,7 ммоль) и перемешивали смесь при 0°C в течение 30 мин. Добавляли воду и экстрагировали смесь с использованием EtOAc (50 мл × 3). Объединенные органические экстракты промывали насыщенным солевым раствором, сушили над безводным Na2SO4, фильтровали и концентрировали при пониженном давлении. Остаток очищали с помощью колоночной хроматографии (петр. эфир/EtOAc=от 20/1 до 10/1 до 5/1) с получением указанного в заголовке соединения (660 мг, 76%) в виде твердого вещества желтого цвета. ЖХМС-D: вр. уд. 2,44 мин; m/z 180,1 [M+H]+, 202,1,1 [M+Na]+.

d) 6-(Метоксиметил)-5-метилбензо[d]изоксазол-3-амин I4

К раствору ацетогидроксамовой кислоты (792 мг, 10,6 ммоль) в безводном ДМФ (20 мл) при 0°C добавляли трет-бутоксид калия (1,2 г, 10,6 ммоль) и перемешивали смесь при к. т. в течение 2 ч. Затем добавляли 2-фтор-4-(метоксиметил)-5-метилбензонитрил I3 (630 мг, 3,5 ммоль) и нагревали смесь при 60°C в течение ночи. Добавляли воду и экстрагировали смесь с использованием EtOAc (80 мл × 3). Объединенные органические экстракты промывали насыщенным солевым раствором, сушили над безводным Na2SO4, фильтровали и концентрировали при пониженном давлении. Остаток очищали с помощью колоночной хроматографии (ДХМ/MeOH=от 20/1 до 10/1) с получением указанного в заголовке соединения (1,0 г, 77%) в виде твердого вещества желтого цвета. ЖХМС-D: вр. уд. 1,75 мин; m/z 193,1 [M+H]+.

ii) 4-Метокси-6-(метоксиметил)бензо[d]изоксазол-3-амин I9

a) 4-Бром-2-фтор-6-метоксибензонитрил I5

К раствору 4-бром-2,6-дифторбензонитрила (6,0 г, 27,5 ммоль) п ТГФ (100 мл) добавляли метанолат натрия (1,5 г, 55,0 ммоль) и перемешивали смесь при к. т. в течение 48 ч. Добавляли воду и экстрагировали смесь с использованием EtOAc (150 мл × 3). Объединенные органические экстракты промывали насыщенным солевым раствором, сушили над безводным Na2SO4, фильтровали и концентрировали при пониженном давлении. Остаток очищали с помощью колоночной хроматографии (петр. эфир/EtOAc=от 300/1 до 200/1) с получением указанного в заголовке соединения (4,3 г, 68%) в виде твердого вещества белого цвета. ЖХМС-D: вр. уд. 2,53 мин; m/z 251,8/253,8 [M+Na]+.

b) Метил 4-циано-3-фтор-5-метоксибензоат I6

Смесь 4-бром-2-фтор-6-метоксибензонитрила I5 (4,3 г, 18,7 ммоль), Pd(dppf)Cl2⋅ДХМ (768 мг, 0,94 ммоль) и Et3N (5,7 г, 56,1 ммоль) в MeOH (50 мл) нагревали при 100°C в атмосфере CO (0,2 МПа) в течение ночи. Катализатор удаляли путем фильтрации, промывали с использованием MeOH, и концентрировали фильтрат при пониженном давлении. Остаток очищали с помощью колоночной хроматографии (петр. эфир/EtOAc=от 200/1 до 50/1) с получением указанного в заголовке соединения (2,9 г, 74%) в виде твердого вещества белого цвета. ЖХМС-D: вр. уд. 2,41 мин; m/z 210,0 [M+H]+, 232,0 [M+Na]+.

c) 2-Фтор-4-(гидроксиметил)-6-метоксибензонитрил I7

К раствору LiBH4 (2,0 M раствор в ТГФ, 13,9 мл, 27,8 ммоль) в безводном ТГФ (60 мл) при к. т. в атмосфере N2 по каплям добавляли раствор метил 4-циано-3-фтор-5-метоксибензоата I6 (2,9 г, 13,9 ммоль) в безводном ТГФ (10 мл) и нагревали смесь при температуре кипения с обратным холодильником в течение 1 ч. Реакцию гасили с использованием 1 M водн. раствора HCl и экстрагировали с использованием EtOAc (100 мл × 3). Объединенные органические экстракты промывали водой (100 мл × 3), насыщенным солевым раствором, сушили над безводным Na2SO4, фильтровали и концентрировали с получением указанного в заголовке соединения (2,5 г, 100%) в виде твердого вещества белого цвета. ЖХМС-D: вр. уд. 2,31 мин; m/z 182,1 [M+H]+, 204,1 [M+Na]+.

d) 2-Фтор-6-метокси-4-(метоксиметил)бензонитрил I8

К раствору 2-фтор-4-(гидроксиметил)-6-метоксибензонитрил I7 (2,7 г, 14,9 ммоль) и йодметана (10,6 г, 74,5 ммоль) в ДМФ (100 мл) при 0°C небольшими порциями добавляли NaH (60 масс.% дисперсия в масле, 1,2 г, 29,8 ммоль) и перемешивали смесь при к. т. в течение 30 мин. Добавляли воду и экстрагировали смесь с использованием EtOAc (100 мл × 3). Объединенные органические экстракты промывали насыщенным солевым раствором, сушили над безводным Na2SO4, фильтровали и концентрировали при пониженном давлении. Остаток очищали с помощью колоночной хроматографии (петр. эфир/EtOAc=от 100/1 до 5/1) с получением указанного в заголовке соединения (2,2 г, 76%) в виде твердого вещества желтого цвета. ЖХМС-D: вр. уд. 2,22 мин; m/z 218,0 [M+Na]+.

e) 4-Метокси-6-(метоксиметил)бензо[d]изоксазол-3-амин I9

К раствору ацетогидроксамовой кислоты (2,3 г, 30,8 ммоль) в безводном ДМФ (1500 мл) при к. т. добавляли трет-бутоксид калия (3,5 г, 30,8 ммоль) и перемешивали смесь при к. т. в течение 1 ч. Затем добавляли 2-фтор-6-метокси-4-(метоксиметил)бензонитрил I8 (2,0 г, 10,3 ммоль) и продолжали перемешивание при к. т. в течение ночи. Добавляли воду и экстрагировали смесь с использованием EtOAc. Объединенные органические экстракты сушили над безводным Na2SO4, фильтровали и концентрировали при пониженном давлении. Остаток очищали с помощью колоночной хроматографии (ДХМ/MeOH=от 20/1 до 10/1 до 3/1) с получением указанного в заголовке соединения (580 мг, 27%) в виде твердого вещества желтого цвета. 1H ЯМР (400 MГц, ДМСО-d6) δ 6,92 (д, J=0,8 Гц, 1H), 6,65 (с, 1H), 5,91 (с, 2H), 4,48 (с, 2H), 3,90 (с, 3H), 3,32 (с, 3H, скрыто водным пиком). ЖХМС-D: вр. уд. 1,33 мин; m/z 209,0 [M+H]+.

iii) 4-Нитробензо[d]изоксазол-3-амин I10

К раствору 2-фтор-6-нитробензонитрила (1,0 г, 6,17 ммоль) в ДМФ/H2O (32 мл/32 мл) добавляли ацетогидроксамовую кислоту (2,78 г, 37,0 ммоль) и K2CO3 (10,23 г, 74,0 ммоль) и нагревали смесь при 70°C в течение 19 ч. Добавляли воду (200 мл) и экстрагировали смесь с использованием EtOAc (100 мл × 3). Объединенные органические экстракты промывали водой, насыщенным солевым раствором, сушили над безводным Na2SO4, фильтровали и концентрировали при пониженном давлении. Остаток очищали с помощью колоночной хроматографии (петр. эфир/EtOAc=от 30/1 до 1/1) с получением указанного в заголовке соединения (380 мг, 35%) в виде твердого вещества желтого цвета. ЖХМС-D: вр. уд. 2,82 мин; m/z 180,1 [M+H]+.

iv) 4-Метокси-6-(1-метоксиэтил)бензо[d]изоксазол-3-амин I15

a) 4-(1-Этоксивинил)-2-фтор-6-метоксибензонитрил I11

К раствору 4-бром-2-фтор-6-метоксибензонитрила I5 (2,0 г, 8,7 ммоль) в ТГФ (40 мл) добавляли трибутил(1-этоксивинил)станнан (3,4 г, 9,6 ммоль), Pd(PPh3)4 (201 мг, 0,174 ммоль) и LiCl (1,15 г, 27,0 ммоль) и нагревали смесь при температуре кипения с обратным холодильником в атмосфере N2 в течение 48 ч. Смесь разбавляли с использованием EtOAc и промывали последовательно водой, 5% водным раствором гидроксида аммония и насыщенным солевым раствором. Органический слой сушили над безводным Na2SO4, фильтровали и концентрировали при пониженном давлении. Остаток очищали с помощью колоночной хроматографии (петр. эфир/EtOAc=200/1) с получением указанного в заголовке соединения (1,6 г, 84%) в виде твердого вещества светло-желтого цвета. ЖХМС-C: вр. уд. 2,41 мин; m/z 222,0 [M+H]+.

b) 4-Ацетил-2-фтор-6-метоксибензонитрил I12

К раствору 4-(1-этоксивинил)-2-фтор-6-метоксибензонитрила I11 (1,0 г, 4,5 ммоль) в ТГФ (10 мл) добавляли 2 M водн. раствор HCl (6,0 мл) и перемешивали смесь при к. т. в течение 3 ч. Смесь разбавляли диэтиловым эфиром и промывали насыщенным водным раствором NaHCO3 и водой. Органический слой сушили над безводным Na2SO4, фильтровали и концентрировали при пониженном давлении с получением указанного в заголовке соединения (710 мг, 81%) в виде твердого вещества белого цвета. ЖХМС-C: вр. уд. 1,42 мин; m/z 194,0 [M+H]+.

c) 2-Фтор-4-(1-гидроксиэтил)-6-метоксибензонитрил I13

К раствору 4-ацетил-2-фтор-6-метоксибензонитрила I12 (700 мг, 3,6 ммоль) в ТГФ (30 мл) добавляли борогидрид натрия (206 мг, 5,4 ммоль) и перемешивали смесь при к. т. в течение ночи. Добавляли воду и экстрагировали смесь с использованием EtOAc (30 мл × 3). Объединенные органические экстракты сушили над безводным Na2SO4, фильтровали и концентрировали при пониженном давлении с получением указанного в заголовке соединения (675 мг, 95%) в виде бесцветного масла. ЖХМС-C: вр. уд. 0,98 мин; m/z 196,0 [M+H]+.

d) 2-Фтор-6-метокси-4-(1-метоксиэтил)бензонитрил I14

К раствору 2-фтор-4-(1-гидроксиэтил)-6-метоксибензонитрил I13 (670 мг, 3,4 ммоль) и йодметана (1,5 г, 10,3 ммоль) в ДМФ (20 мл) при 0°C небольшими порциями добавляли NaH (60 масс.% дисперсия в масле, 274 мг, 6,8 ммоль) и перемешивали смесь при 0°C в течение 2 ч. Добавляли воду и экстрагировали смесь с использованием EtOAc (40 мл × 3). Объединенные органические экстракты сушили над безводным Na2SO4, фильтровали и концентрировали при пониженном давлении с получением указанного в заголовке соединения (650 мг, 90%) в виде твердого вещества светло-желтого цвета. ЖХМС-C: вр. уд. 1,95 мин; m/z 210,0 [M+H]+.

e) 4-Метокси-6-(1-метоксиэтил)бензо[d]изоксазол-3-амин I15

К раствору ацетогидроксамовой кислоты (698 мг, 9,3 ммоль) в безводном ДМФ (20 мл) при 0°C добавляли трет-бутоксид калия (1,04 г, 9,3 ммоль) и перемешивали смесь при к. т. в течение 1 ч. Затем добавляли по каплям раствор 2-фтор-6-метокси-4-(1-метоксиэтил)бензонитрила I14 (650 мг, 3,1 ммоль) в безводном ДМФ (10 мл) и перемешивали смесь при к. т. в течение ночи. Добавляли воду и экстрагировали смесь с использованием EtOAc (50 мл × 3). Объединенные органические экстракты сушили над безводным Na2SO4, фильтровали и концентрировали при пониженном давлении. Остаток очищали с помощью колоночной хроматографии (ДХМ/MeOH=от 300/1 до 200/1) с получением указанного в заголовке соединения (130 мг, 19%) в виде твердого вещества желтого цвета. 1H ЯМР (400 MГц, ДМСО-d6) δ 6,90 (с, 1H), 6,64 (с, 1H), 5,92 (с, 2H), 4,39 (к, J=6,4 Гц, 1H), 3,90 (с, 3H), 3,15 (с, 3H), 1,36 (д, J=6,4 Гц, 3H). ЖХМС-C: вр. уд. 0,73 мин; m/z 223,0 [M+H]+.

v) 4-Метокси-6-фенилбензо[d]изоксазол-3-амин I17

a) 3-Фтор-5-метокси-[1,1'-бифенил]-4-карбонитрил I16

К раствору 4-бром-2-фтор-6-метоксибензонитрила I5 (6,0 г, 26,1 ммоль) и фенилбороновой кислоты (6,36 г, 52,2 ммоль) в 1,4-диоксане (200 мл) и воде (50 мл) в атмосфере N2 добавляли Pd(PPh3)4 (2,99 г, 2,66 ммоль) и Na2CO3 (8,29 г, 78,2 ммоль) и нагревали смесь при 100°C в течение ночи. Добавляли воду и экстрагировали смесь с использованием EtOAc. Объединенные органические экстракты промывали насыщенным солевым раствором, сушили над безводным Na2SO4, фильтровали и концентрировали при пониженном давлении. Остаток очищали с помощью колоночной хроматографии (петр. эфир/EtOAc=от 100/1 до 50/1) с получением указанного в заголовке соединения (5,45 г, 93%) в виде твердого вещества желтого цвета. ЖХМС-C: вр. уд. 2,48 мин; m/z 228,0 [M+H]+.

b) 4-Метокси-6-фенилбензо[d]изоксазол-3-амин I17

К раствору ацетогидроксамовой кислоты (8,15 г, 23,98 ммоль) в безводном ДМФ (200 мл) при 0°C добавляли трет-бутоксид калия (5,5 г, 24,0 ммоль) и перемешивали смесь при к. т. в течение 1 ч. Затем добавляли 3-фтор-5-метокси-[1,1'-бифенил]-4-карбонитрил I16 (5,45 г, 7,99 ммоль) и нагревали смесь при 60°C в течение 4 ч. Добавляли воду и экстрагировали смесь с использованием EtOAc. Объединенные органические экстракты промывали насыщенным солевым раствором, сушили над безводным Na2SO4, фильтровали и концентрировали при пониженном давлении. Остаток очищали с помощью колоночной хроматографии (петр. эфир/EtOAc=от 10/1 до 8/1 до 6/1) с получением указанного в заголовке соединения (2,2 г, 38%) в виде твердого вещества желтого цвета. 1H ЯМР (400 MГц, ДМСО-d6) δ 7,79-7,74 (м, 2H), 7,52-7,46 (м, 2H), 7,45-7,39 (м, 1H), 7,26 (д, J=1,1 Гц, 1H), 6,95 (с, 1H), 5,97 (с, 2H), 4,00 (с, 3H). ЖХМС-C: вр. уд. 2,15 мин; m/z 241,0 [M+H]+

vi) 3-(3-Амино-4-метоксибензо[d]изоксазол-6-ил)фенол I19

a) 3-Фтор-3'-гидрокси-5-метокси-[1,1'-бифенил]-4-карбонитрил I18

К раствору 4-бром-2-фтор-6-метоксибензонитрила I5 (650 мг, 2,8 ммоль) и (3-гидроксифенил)бороновой кислоты (1,2 г, 5,6 ммоль) в 1,4-диоксане (40 мл) и воде (10 мл) в атмосфере N2 добавляли Pd(PPh3)4 (327 мг, 0,28 ммоль) и Na2CO3 (899 мг, 8,5 ммоль) и нагревали смесь при 100°C в течение ночи. Добавляли воду и экстрагировали смесь с использованием EtOAc. Объединенные органические экстракты промывали насыщенным солевым раствором, сушили над безводным Na2SO4, фильтровали и концентрировали при пониженном давлении. Остаток очищали с помощью колоночной хроматографии (петр. эфир/EtOAc=3/1) с получением указанного в заголовке соединения (687 мг, 94%) в виде твердого вещества желтого цвета. ЖХМС-C: вр. уд. 2,07 мин; m/z 244,0 [M+H]+.

b) 3-(3-Амино-4-метоксибензо[d]изоксазол-6-ил)фенол I19

К раствору ацетогидроксамовой кислоты (636 мг, 8,5 ммоль) в безводном ДМФ (60 мл) при 0°C добавляли трет-бутоксид калия (952 мг, 8,5 ммоль) и перемешивали смесь при к. т. в течение 1 ч. Затем добавляли 3-фтор-3'-гидрокси-5-метокси-[1,1'-бифенил]-4-карбонитрил I18 (687 мг, 2,8 ммоль) и нагревали смесь при 60°C в течение 4 ч. Добавляли воду и экстрагировали смесь с использованием EtOAc. Объединенные органические экстракты промывали насыщенным солевым раствором, сушили над безводным Na2SO4, фильтровали и концентрировали при пониженном давлении. Остаток очищали с помощью колоночной хроматографии (петр. эфир/EtOAc=1/1) с получением указанного в заголовке соединения (282 мг, 39%) в виде твердого вещества желтого цвета. ЖХМС-C: вр. уд. 2,3 мин; m/z 257,0 [M+H]+.

vii) 6-(Этоксиметил)-4-метоксибензо[d]изоксазол-3-амин I21

a) 4-(Этоксиметил)-2-фтор-6-метоксибензонитрил I20

К раствору 2-фтор-4-(гидроксиметил)-6-метоксибензонитрила I7 (1,15 г, 6,4 ммоль) и йодэтана (5,0 г, 31,7 ммоль) в ДМФ (40 мл) при 0°C небольшими порциями добавляли NaH (60 масс.% дисперсия в масле, 508 мг, 12,7 ммоль) и перемешивали смесь при к. т. в течение 30 мин. Добавляли воду и экстрагировали смесь с использованием EtOAc (100 мл × 3). Объединенные органические экстракты промывали насыщенным солевым раствором, сушили над безводным Na2SO4, фильтровали и концентрировали при пониженном давлении. Остаток очищали с помощью колоночной хроматографии (петр. эфир/EtOAc=2/1) с получением указанного в заголовке соединения (1,0 г, 79%) в виде твердого вещества желтого цвета. ЖХМС-C: вр. уд. 2,15 мин; m/z 210,0 [M+H]+.

b) 6-(Этоксиметил)-4-метоксибензо[d]изоксазол-3-амин I21

К раствору ацетогидроксамовой кислоты (1,1 г, 14,3 ммоль) в безводном ДМФ (50 мл) при к. т. добавляли трет-бутоксид калия (1,6 г, 14,3 ммоль) и перемешивали смесь при к. т. в течение 1 ч. Затем добавляли 4-(этоксиметил)-2-фтор-6-метоксибензонитрил I20 (1,0 г, 4,8 ммоль) и перемешивали смесь при к. т. в течение ночи. Добавляли воду и экстрагировали смесь с использованием EtOAc. Органические экстракты сушили над безводным Na2SO4, фильтровали и концентрировали при пониженном давлении. Остаток очищали с помощью колоночной хроматографии (ДХМ/MeOH=от 20/1 до 10/1 до 3/1) с получением указанного в заголовке соединения (650 мг, 61%) в виде масла желтого цвета. 1H ЯМР (400 MГц, ДМСО-d6) δ 6,92 (с, 1H), 6,65 (с, 1H), 5,91 (с, 2H), 4,53 (с, 2H), 3,89 (с, 3H), 3,51 (к, J=7,0 Гц, 2H), 1,17 (т, J=7,0 Гц, 3H). ЖХМС-C: вр. уд. 0,82 мин; m/z 223,0 [M+H]+.

viii) 6-Бром-4-метоксибензо[d]изоксазол-3-амин I22

К раствору ацетогидроксамовой кислоты (2,0 г, 26,1 ммоль) в безводном ДМФ (100 мл) при к. т. добавляли трет-бутоксид калия (2,9 г, 26,1 ммоль) и перемешивали смесь при к. т. в течение 1 ч. Затем добавляли 4-бром-2-фтор-6-метоксибензонитрил I5 (2,0 г, 8,7 ммоль) и перемешивали смесь при к. т. в течение ночи. Добавляли воду и экстрагировали смесь с использованием EtOAc. Органические экстракты сушили над безводным Na2SO4, фильтровали и концентрировали при пониженном давлении. Остаток очищали с помощью колоночной хроматографии (петр. эфир/EtOAc=2/1) с получением указанного в заголовке соединения (296 мг, 14%) в виде твердого вещества белого цвета. 1H ЯМР (400 MГц, ДМСО-d6) δ 7,32 (д, J=1,2 Гц, 1H), 6,90 (д, J=1,2 Гц, 1H), 6,04 (с, 2H), 3,92 (с, 3H). ЖХМС-C: вр. уд. 1,4 мин; m/z 244,0 [M+H]+.

ix) 7-Этоксибензо[d]изоксазол-3-амин I26

a) 2-Фтор-3-(4,4,5,5-тетраметил-1,3,2-диоксаборолан-2-ил)бензонитрил I23

Смесь 3-бром-2-фторбензонитрила (3,0 г, 15,0 ммоль), 4,4,4',4',5,5,5',5'-октаметил-2,2'-би(1,3,2-диоксаборолана) (11,4 г, 45 ммоль), ацетата калия (5,9 г, 60,0 ммоль) и Pd(dppf)Cl2 (2,2 г, 3,0 ммоль) в ДМСО (45 мл) и 1,4-диоксане (15 мл) нагревали при 105°C в атмосфере N2 в течение 3 ч. Смесь разбавляли с использованием EtOAc (30 мл) и промывали водой (30 мл × 3). Органический слой сушили над безводным Na2SO4, фильтровали, концентрировали при пониженном давлении и очищали остаток с помощью колоночной хроматографии (петр. эфир/EtOAc=20/1) с получением указанного в заголовке соединения (3,9 г, >100%) в виде твердого вещества белого цвета, которое использовали непосредственно на следующей стадии.

b) 2-Фтор-3-гидроксибензонитрил I24

К раствору 2-фтор-3-(4,4,5,5-тетраметил-1,3,2-диоксаборолан-2-ил)бензонитрила I23 (1,9 г, 7,6 моль) в AcOH (19 мл) в атмосфере N2 добавляли по каплям H2O2 (30% водный раствор, 1,9 мл) и перемешивали смесь при к. т. в течение 2 ч затем выливали в смесь EtOAc и избытка водного раствора Na2SO3. После этого слои разделяли, и органический слой промывали водой, насыщенным солевым раствором, сушили над безводным Na2SO4, фильтровали, концентрировали при пониженном давлении с получением указанного в заголовке соединения (650 мг, 62%) в виде воскообразного твердого вещества грязно-белого цвета. ЖХМС-D: вр. уд. 0,93 мин; m/z 138,1 [M+H]+.

c) 3-Этокси-2-фторбензонитрил I25

К раствору 2-фтор-3-гидроксибензонитрила I24 (360 мг, 2,6 ммоль) в ДМФ (30 мл) добавляли Cs2CO3 (4,3 г, 13,1 ммоль) и йодэтан (1,0 г, 6,6 ммоль) и перемешивали смесь при к. т. в течение ночи. Смесь разбавляли с использованием EtOAc (80 мл) и промывали водой (50 мл × 3). Органический слой сушили над безводным Na2SO4, фильтровали, концентрировали при пониженном давлении с получением указанного в заголовке соединения (220 мг, 51%) в виде твердого вещества желтого цвета. ЖХМС-D: вр. уд. 2,31 мин; m/z 166,1 [M+H]+.

d) 7-Этоксибензо[d]изоксазол-3-амин I26

К раствору ацетогидроксамовой кислоты (300 мг, 4,0 ммоль) в ДМФ (15 мл) при 0°C в атмосфере N2 добавляли трет-бутоксид калия (450 мг, 4,0 ммоль) и нагревали смесь при 30°C в течение 1 ч. Добавляли раствор 3-этокси-2-фторбензонитрила I25 (220 мг, 1,3 ммоль) в ДМФ (10 мл) и нагревали смесь при 30°C в течение ночи. Добавляли EtOAc (80 мл) и промывали смесь водой (50 мл × 3). Органический слой сушили над безводным Na2SO4, фильтровали, концентрировали при пониженном давлении с получением указанного в заголовке соединения (170 мг, 70%) в виде твердого вещества желтого цвета. ЖХМС-D: вр. уд. 1,68 мин; m/z 179,1 [M+H]+.

x) 7-(Циклопропилметокси)бензо[d]изоксазол-3-амин I28

a) 3-(Циклопропилметокси)-2-фторбензонитрил I27

К раствору 2-фтор-3-гидроксибензонитрила I24 (360 мг, 2,6 ммоль) в ДМФ (30 мл) добавляли Cs2CO3 (4,3 г, 13,1 ммоль), KI (87 мг, 0,5 ммоль) и (бромметил)циклопропан (880 мг, 6,6 ммоль), и перемешивали смесь при к. т. в течение ночи. Добавляли EtOAc (80 мл) и промывали смесь водой (50 мл × 3). Органический слой сушили над безводным Na2SO4, фильтровали, концентрировали при пониженном давлении с получением указанного в заголовке соединения (150 мг, 30%) в виде твердого вещества красного цвета. ЖХМС-D: вр. уд. 2,54 мин; m/z 192,1 [M+H]+.

b) 7-(Циклопропилметокси)бензо[d]изоксазол-3-амин I28

Получали из 3-(циклопропилметокси)-2-фторбензонитрила I27 в соответствии с процедурой, описанной для 7-этоксибензо[d]изоксазол-3-амина I26, стадия d. ЖХМС-D: вр. уд. 2,23 мин; m/z 205,1 [M+H]+.

xi) 6-Этоксибензо[d]изоксазол-3-амин I32

a) 2-Фтор-4-((тетрагидро-2H-пиран-2-ил)окси)бензонитрил I29

К раствору 2-фтор-4-гидроксибензонитрила (20 г, 145,9 ммоль) и ППТС (733 мг, 2,9 ммоль) в ДХМ (500 мл) в атмосфере N2 добавляли 3,4-дигидро-2H-пиран (24,5 г, 292 ммоль) и перемешивали смесь при к. т. в течение ночи. Растворитель удаляли при пониженном давлении, и остаток очищали с помощью колоночной хроматографии (петр. эфир/EtOAc=от 100/0 до 100/2) с получением указанного в заголовке соединения (27 г, 83%) в виде твердого вещества белого цвета, которое использовали непосредственно на следующей стадии.

b) 6-((Тетрагидро-2H-пиран-2-ил)окси)бензо[d]изоксазол-3-амин I30

К раствору ацетогидроксамовой кислоты (13,7 г, 182,3 ммоль) в ДМФ (60 мл) при 0°C в атмосфере N2 добавляли трет-бутоксид калия (20,4 г, 182,3 ммоль) и перемешивали смесь при к. т. в течение 1 ч. Затем добавляли 2-фтор-4-((тетрагидро-2H-пиран-2-ил)окси)бензонитрил I29 (13,4 г, 60,8 ммоль) и перемешивали смесь при к. т. в течение ночи. Добавляли EtOAc (500 мл) и промывали смесь водой (100 мл × 5). Органический слой сушили над безводным Na2SO4, фильтровали и концентрировали при пониженном давлении. Остаток очищали с помощью колоночной хроматографии (петр. эфир/EtOAc=от 100/1 до 5/1) с получением указанного в заголовке соединения (12,1 г, 85%) в виде твердого вещества белого цвета. ЖХМС-D: вр. уд. 2,31 мин; m/z 235,1 [M+H]+.

c) 3-Аминобензо[d]изоксазол-6-ол I31

К раствору 6-((тетрагидро-2H-пиран-2-ил)окси)бензо[d]изоксазол-3-амина I30 (3,5 г, 15 ммоль) в ТГФ (50 мл) добавляли 2 M водн. раствор HCl (20 мл) и перемешивали смесь при к. т. в течение 3 ч. Смесь разбавляли с использованием EtOAc (300 мл) и промывали водой (2 раза). Органический слой сушили над безводным Na2SO4, фильтровали, концентрировали при пониженном давлении с получением указанного в заголовке соединения (2,1 г, 94%) в виде твердого вещества белого цвета, которое использовали непосредственно на следующей стадии.

d) 6-Этоксибензо[d]изоксазол-3-амин I32

Смесь 3-аминобензо[d]изоксазол-6-ола I31 (300 мг, 2 ммоль), Cs2CO3 (2,0 г, 6 ммоль), KI (66 мг, 0,4 ммоль) и бромэтана (436 мг, 4 ммоль) в ДМФ (30 мл) нагревали при 50°C в атмосфере N2 в течение ночи. Смесь разбавляли с использованием EtOAc (300 мл) и промывали водой (100 мл × 5). Органический слой сушили над безводным Na2SO4, фильтровали и концентрировали при пониженном давлении. Остаток очищали с помощью колоночной хроматографии (петр. эфир/EtOAc=от 100/1 до 5/1) с получением указанного в заголовке соединения (270 мг, 76%) в виде твердого вещества белого цвета. ЖХМС-D: вр. уд. 0,37 мин; m/z 179,0 [M+H]+.

xii) 6-(Циклопропилметокси)бензо[d]изоксазол-3-амин I33

Получали из 3-аминобензо[d]изоксазол-6-ола I31 в соответствии с процедурой, описанной для 6-этоксибензо[d]изоксазол-3-амина I32, стадия d (395 мг, 97%). ЖХМС-D: вр. уд. 2,27 мин; m/z 205,1 [M+H]+.

xiii) 6-(1H-1,2,3-Триазол-1-ил)бензо[d]изоксазол-3-амин I36

a) 4-Азидо-2-фторбензонитрил I34

Смесь 4-амино-2-фторбензонитрила (2,0 г, 14,7 ммоль) в воде (4 мл), АЦН (32 мл) и концентрированную HCl (10 мл) перемешивали при к. т. в атмосфере N2 в течение ночи. Затем добавляли порциями NaNO2 (2,0 г, 29,4 ммоль) и продолжали перемешивание при к. т. в течение 2 ч. Смесь охлаждали до 0 °C, добавляли порциями NaN3 (1,9 г, 29,4 ммоль) и продолжали перемешивание при к. т. в течение 2 ч. Добавляли воду (50 мл), и удаляли большую часть органического растворителя при пониженном давлении. После этого оставшуюся водную смесь экстрагировали с использованием ДХМ (50 мл × 4), а объединенные органические экстракты промывали водой, насыщенным солевым раствором, сушили над безводным Na2SO4, фильтровали и концентрировали при пониженном давлении. Остаток очищали с помощью колоночной хроматографии (петр. эфир/EtOAc=от 100/0 до 20/1) с получением указанного в заголовке соединения (1,5 г, 62%) в виде твердого вещества желтого цвета, которое использовали непосредственно на следующей стадии.

b) 2-Фтор-4-(1H-1,2,3-триазол-1-ил)бензонитрил I35

Смесь 4-азидо-2-фторбензонитрила I34 (500 мг, 3,1 ммоль), этинилтриметилсилана (454 мг, 4,6 ммоль) и CuI (704 мг, 3,7 ммоль) в ТГФ (50 мл) нагревали при 50°C в атмосфере N2 в течение 24 ч. Добавляли дополнительный этинилтриметилсилан (454 мг, 4,6 ммоль) и нагревали смесь при 50°C еще в течение 24 ч, после чего концентрировали при пониженном давлении. Остаток очищали с помощью колоночной хроматографии (петр. эфир/EtOAc=от 100/1 до 10/1) с получением 2-фтор-4-(5-(триметилсилил)-1H-1,2,3-триазол-1-ил)бензонитрила (410 мг), который растворяли в 1 M растворе ТБАФ в ТГФ (50 мл) и нагревали при 45°C в атмосфере N2 в течение ночи. Растворитель удаляли при пониженном давлении и очищали остаток с помощью колоночной хроматографии (петр. эфир/EtOAc=от 50/1 до 2/1) с получением указанного в заголовке соединения (200 мг, 34%) в виде твердого вещества белого цвета, которое использовали непосредственно на следующей стадии.

c) 6-(1H-1,2,3-Триазол-1-ил)бензо[d]изоксазол-3-амин I36

К раствору ацетогидроксамовой кислоты (239 мг, 3,16 ммоль) в ДМФ (25 мл) при 0°C в атмосфере N2 добавляли трет-бутоксид калия (357 мг, 3,18 ммоль) и перемешивали смесь при к. т. в течение 2 ч. Затем добавляли раствор 2-фтор-4-(1H-1,2,3-триазол-1-ил)бензонитрила I35 (200 мг, 1,06 ммоль) в ДМФ (15 мл) и продолжали перемешивание при к. т. в течение ночи. Добавляли EtOAc (100 мл) и промывали смесь водой (5 раз). Органический слой сушили над безводным Na2SO4, фильтровали и концентрировали при пониженном давлении. Остаток очищали с помощью колоночной хроматографии (петр. эфир/EtOAc=от 100/1 до 2/1) с получением указанного в заголовке соединения (150 мг, 70%) в виде твердого вещества белого цвета. ЖХМС-D: вр. уд. 0,47 мин; m/z 202,1 [M+H]+.

xiv) 6-(Пиримидин-2-ил)бензо[d]изоксазол-3-амин I39

a) 2-Фтор-4-(4,4,5,5-тетраметил-1,3,2-диоксаборолан-2-ил)бензонитрил I37

Смесь 4-бром-2-фторбензонитрила (1,0 г, 5,0 ммоль), 4,4,4',4',5,5,5',5'-октаметил-2,2'-би(1,3,2-диоксаборолана) (1,3 г, 5,0 ммоль), ацетата калия (5,9 г, 20,0 ммоль) и Pd(dppf)Cl2 (2,0 г, 1,0 ммоль) в ДМСО (50 мл) и 1,4-диоксане (10 мл) нагревали при 105°C в атмосфере N2 в течение 3 ч. Смесь разбавляли с использованием EtOAc (200 мл) и промывали водой (100 мл × 3). Органический слой сушили над безводным Na2SO4, фильтровали, концентрировали при пониженном давлении и очищали остаток с помощью колоночной хроматографии (петр. эфир/EtOAc= от 100/0 до 50/1) с получением указанного в заголовке соединения (1,1 г, 89%) в виде твердого вещества белого цвета, которое использовали непосредственно на следующей стадии.

b) 2-Фтор-4-(пиримидин-2-ил)бензонитрил I38

К раствору 2-фтор-4-(4,4,5,5-тетраметил-1,3,2-диоксаборолан-2-ил)бензонитрила I37 (464 мг, 2 ммоль) и 2-бромпиримидина (736 мг, 4 ммоль) в воде (40 мл), толуола (40 мл) и i-PrOH (10 мл) в атмосфере N2 добавляли Pd(dppf)Cl2 (146 мг, 0,2 ммоль) и K3PO4·3H2O (1,33 г, 5,0 ммоль) и нагревали смесь при 85°C в течение 4 ч. Смесь разбавляли с использованием EtOAc (200 мл) и промывали водой (50 мл). Органический слой сушили над безводным Na2SO4, фильтровали, концентрировали при пониженном давлении и очищали остаток с помощью колоночной хроматографии (петр. эфир/ EtOAc=от 50/1 до 2/1) с получением указанного в заголовке соединения (270 мг, 68%) в виде твердого вещества белого цвета. ЖХМС-D: вр. уд. 2,38 мин; m/z 200,1 [M+H]+.

c) 6-(Пиримидин-2-ил)бензо[d]изоксазол-3-амин I39

К раствору ацетогидроксамовой кислоты (306 мг, 4,07 ммоль) в ДМФ (20 мл) при 0°C в атмосфере N2 добавляли трет-бутоксид калия (457 мг, 4,07 ммоль) и нагревали смесь при 30°C в течение 1 ч. Затем добавлял раствор 2-фтор-4-(пиримидин-2-ил)бензонитрила I38 (270 мг, 1,36 ммоль) в ДМФ (10 мл) и продолжали нагревание при 30°C в течение ночи. Смесь разбавляли с использованием EtOAc (100 мл) и промывали водой (50 мл × 3). Органический слой сушили над безводным Na2SO4, фильтровали, концентрировали при пониженном давлении и очищали остаток с помощью колоночной хроматографии (петр. эфир/ EtOAc=от 50/1 до 2/1) с получением указанного в заголовке соединения (200 мг, 69%) в виде твердого вещества белого цвета. ЖХМС-D: вр. уд. 0,38 мин; m/z 213,1 [M+H]+, 235,1 [M+Na]+.

xv) 5-Бромбензо[d]изоксазол-3-амин I40

К раствору ацетогидроксамовой кислоты (23,7 г, 0,315 моль) в ДМФ (800 мл) при 0°C в атмосфере N2 добавляли t-BuOK (35,4 г, 0,315 моль) и перемешивали смесь при 15°C в течение 2 ч. Затем добавляли 5-бром-2-фторбензонитрил (21,0 г, 0,105 моль) и перемешивали смесь при к. т. в течение ночи. Смесь разбавляли с использованием EtOAc (1,5 л) и промывали водой (400 мл × 4). Органический слой промывали насыщенным солевым раствором, сушили над безводным Na2SO4, фильтровали, концентрировали при пониженном давлении. Остаток очищали с помощью колоночной хроматографии (петр. эфир/EtOAc=от 50/1 до 3/1) с получением указанного в заголовке соединения (19 г, 86%) в виде твердого вещества белого цвета. ЖХМС-D: вр. уд. 2,13 мин; m/z 212,9/214,9 [M+H]+.

xvi) 4-Бромбензо[d]изоксазол-3-амин I41

К раствору ацетогидроксамовой кислоты (11,25 г, 0,15 моль) в ДМФ (220 мл) при 0°C в атмосфере N2 добавляли t-BuOK (16,8 г, 0,15 моль) и перемешивали смесь при 25°C в течение 1 ч. Затем по каплям добавляли раствор 2-бром-6-фторбензонитрила (10,0 г, 0,05 моль) вДМФ (80 мл) и продолжали перемешивание при 25°C в течение ночи.Смесь разбавляли водой (200 мл) и экстрагировали с использованием EtOAc (400 мл). Органический экстракт промывали водой (400 мл × 3), сушили над безводным Na2SO4, фильтровали и концентрировали при пониженном давлении с получением указанного в заголовке соединения (7,0 г, 66%) в виде твердого вещества светло-красного цвета. ЖХМС-D: вр. уд. 2,05 мин; m/z 212,9/214,9 [M+H]+.

xvii) 4-(Трифторметил)бензо[d]изоксазол-3-амин I42

К раствору ацетогидроксамовой кислоты (2,25 г, 30 ммоль) в ДМФ (80 мл) при 0°C в атмосфере N2 добавляли t-BuOK (3,37 г, 30 ммоль) и нагревали смесь при 30°C в течение 1 ч. Затем добавляли раствор 2-фтор-6-(трифторметил)бензонитрила (1,89 г, 10 ммоль) в ДМФ (20 мл) и продолжали нагревание при 30°C в течение ночи. Смесь разделяли между EtOAc (300 мл) и водой (100 мл), разделяли слои и промывали органический слой водой (100 мл × 3), насыщенным солевым раствором, сушили над безводным Na2SO4, фильтровали и концентрировали при пониженном давлении. Остаток очищали с помощью колоночной хроматографии (петр. эфир/ EtOAc=от 50/1 до 1/1) с получением указанного в заголовке соединения (1,3 г, 64%) в виде твердого вещества белого цвета. ЖХМС-D: вр. уд. 2,19 мин; m/z 203,0 [M+H]+.

xviii) 5-Бром-4-хлорбензо[d]изоксазол-3-амин I44

a) 3-Бром-2-хлор-6-фторбензонитрил I43

К раствору 2-хлор-6-фторбензонитрила (1,0 г, 6,4 ммоль) в трифторметансульфоновой кислоте (10 мл) при 0°C в атмосфере N2 добавляли NBS (1,1 г, 6,4 ммоль) и перемешивали смесь при к. т. в течение ночи. Смесь выливали на лед и экстрагировали с использованием EtOAc (30 мл × 2). Объединенные органические экстракты сушили над безводным Na2SO4, фильтровали и концентрировали при пониженном давлении. Остаток очищали с помощью колоночной хроматографии (петр. эфир/EtOAc=от 200/1 до 100/1) с получением указанного в заголовке соединения (705 мг, 47%) в виде твердого вещества белого цвета, которое использовали непосредственно на следующей стадии.

b) 5-Бром-4-хлорбензо[d]изоксазол-3-амин I44

К раствору ацетогидроксамовой кислоты (5,1 г, 67,8 ммоль) в ДМФ (150 мл) при 0°C в атмосфере N2 добавляли t-BuOK (7,6 г, 6,4 ммоль) и перемешивали смесь при к. т. в течение 2 ч. Затем добавляли 3-бром-2-хлор-6-фторбензонитрил I43 (5,3 г, 22,6 ммоль) и перемешивали смесь при к. т. в течение ночи. Смесь разбавляли с использованием EtOAc (500 мл) и промывали водой (3 раза), насыщенным солевым раствором, сушили над безводным Na2SO4, фильтровали и концентрировали при пониженном давлении. Остаток очищали с помощью колоночной хроматографии (петр. эфир/EtOAc=от 50/1 до 2/1) с получением указанного в заголовке соединения (3,1 г, 52%) в виде твердого вещества белого цвета, которое использовали непосредственно на следующей стадии.

xix) 5-Бром-4-метоксибензо[d]изоксазол-3-амин I48

a) 3-Бром-6-фтор-2-метоксибензойная кислота I45

К раствору диизопропиламина (5,4 г, 53,7 ммоль) в ТГФ (150 мл) при -78°C в атмосфере N2 по каплям добавляли n-BuLi (2,5 M раствор в гексанах, 23,4 мл, 58,5 ммоль) и перемешивали смесь при -78°C в течение 1 ч. Полученную смесь добавляли по каплям К раствору 1-бром-4-фтор-2-метоксибензола (10,0 г, 48,8 ммоль) в ТГФ (50 мл) при -78°C и продолжали перемешивание в течение 90 мин. Через смесь в течение 20 мин барботировали CO2 при перемешивании при -78 °C, затем оставляли нагреться до к. т. и перемешивали в течение 15 мин. Уровень pH реакционной смеси доводили до pH=1 с использованием HCl, смесь разбавляли водой и экстрагировали с использованием ДХМ (500 мл). Объединенные органические экстракты промывали насыщенным солевым раствором, сушили над безводным Na2SO4, фильтровали и концентрировали при пониженном давлении. Остаток очищали с помощью колоночной хроматографии (ДХМ/MeOH=от 100/1 до 30/1) с получением указанного в заголовке соединения (8,0 г, 66%) в виде бесцветного масла. ЖХМС-D: вр. уд. 2,12 мин; m/z 248,9/250,9 [M+H]+.

b) 3-Бром-6-фтор-2-метоксибензамид I46

Смесь 3-бром-6-фтор-2-метоксибензойной кислоты I45 (8,0 г, 32,1 ммоль) и SOCl2 (30 мл) нагревали при 85°C в течение 3 ч. Смесь концентрировали при пониженном давлении, остаток растворяли в ДХМ (5 мл) и добавляли по каплям к конц. NH4OH (20 мл) при 0 °C. Смесь оставляли нагреться до к. т., перемешивали в течение 20 мин, после чего экстрагировали с использованием ДХМ (50 мл × 3). Объединенные органические экстракты промывали водой, насыщенным солевым раствором, сушили над безводным Na2SO4, фильтровали и концентрировали при пониженном давлении. Остаток очищали с помощью колоночной хроматографии (петр. эфир/EtOAc=от 50/1 до 1/1) с получением указанного в заголовке соединения (6,8 г, 80%) в виде твердого вещества белого цвета. ЖХМС-E: вр. уд. 2,24 мин; m/z 247,8/249,8 [M+H]+

c) 3-Бром-6-фтор-2-метоксибензонитрил I47

Смесь 3-бром-6-фтор-2-метоксибензамида I46 (6,8 г, 25,6 ммоль) и SOCl2 (30 мл) нагревали при 80°C в течение ночи, после чего концентрировали при пониженном давлении. Остаток разделяли между водой и EtOAc, разделяли фазы и промывали органический слой водой, насыщенным солевым раствором, сушили над безводным Na2SO4, фильтровали и концентрировали при пониженном давлении. Остаток очищали с помощью колоночной хроматографии (петр. эфир/EtOAc=от 100/1 до 20/1) с получением указанного в заголовке соединения (3,5 г, 55%) в виде бесцветного масла, которое использовали непосредственно на следующей стадии.

d) 5-Бром-4-метоксибензо[d]изоксазол-3-амин I48

К раствору ацетогидроксамовой кислоты (3,4 г, 45,7 ммоль) в ДМФ (150 мл) при 0°C в атмосфере N2 добавляли t-BuOK (5,1 г, 45,7 ммоль) и перемешивали смесь при к. т. в течение 90 мин. Затем добавляли раствор 3-бром-6-фтор-2-метоксибензонитрила I47 (3,5 г, 15,2 ммоль) в ДМФ (30 мл) и нагревали смесь при 70°C в течение ночи. Смесь разбавляли с использованием EtOAc (1000 мл) и промывали водой (3 раза), насыщенным солевым раствором, сушили над безводным Na2SO4, фильтровали и концентрировали при пониженном давлении. Остаток очищали с помощью колоночной хроматографии (петр. эфир/EtOAc=от 50/1 до 3/1) с получением указанного в заголовке соединения (3,2 г, 86%) в виде твердого вещества белого цвета. ЖХМС-D: вр. уд. 2,24 мин; m/z 243,0/244,9 [M+H]+.

xx) 4-(Метоксиметил)бензо[d]изоксазол-3-амин I51

a) 2-(Бромметил)-6-хлорбензонитрил I49

Смесь 2-хлор-6-метилбензонитрила (2,0 г, 13,2 ммоль), NBS (2,5 г, 13,8 ммоль) и АИБН (660 мг, 4,0 ммоль) в CCl4 (60 мл) нагревали при 85°C в атмосфере N2 в течение ночи. Смесь концентрировали при пониженном давлении и очищали остаток с помощью колоночной хроматографии (петр. эфир/ EtOAc=от 100/1 до 50/1) с получением указанного в заголовке соединения (1,7 г, 37%) в виде твердого вещества белого цвета, которое использовали непосредственно на следующей стадии.

b) 2-Хлор-6-(метоксиметил)бензонитрил I50

Натрий металлический (115 мг, 4,8 ммоль) растворяли в MeOH (5 мл) и ТГФ (5 мл) и перемешивали смесь при к. т. в течение 20 мин. Затем добавляли 2-(бромметил)-6-хлорбензонитрил I49 (560 мг, 2,4 ммоль) и перемешивали смесь при к. т. в течение 5 ч. Растворитель удаляли при пониженном давлении и очищали остаток с помощью колоночной хроматографии (петр. эфир/EtOAc=50/1) с получением указанного в заголовке соединения (340 мг, 77%) в виде бесцветного масла. 1H ЯМР (400 MГц, ДМСО-d6) δ 7,75-7,70 (м, 3H), 4,82 (с, 2H), 3,35 (с, 3H).

c) 4-(Метоксиметил)бензо[d]изоксазол-3-амин I51

К раствору ацетогидроксамовой кислоты (422 мг, 5,6 ммоль) в ДМФ (25 мл) при -78°C в атмосфере N2 добавляли t-BuOK (630 мг, 5,6 ммоль) и перемешивали смесь при 0°C в течение 1 ч. Затем добавляли 2-хлор-6-(метоксиметил)бензонитрил I50 (340 мг, 1,9 ммоль) и перемешивали смесь при к. т. в течение ночи, после чего нагревали при 85°C в течение ночи. Смесь разбавляли водой (70 мл) и экстрагировали с использованием EtOAc (100 мл × 2). Объединенные органические экстракты промывали водой (200 мл × 3), сушили над Na2SO4, фильтровали и концентрировали при пониженном давлении. Остаток очищали с помощью колоночной хроматографии (петр. эфир/EtOA=от 5/1 до 3/1) с получением указанного в заголовке соединения (105 мг, 31%) в виде масла светло-желтого цвета. ЖХМС-D: вр. уд. 1,57 мин; m/z 179,1 [M+H]+.

xxi) 4-Этоксибензо[d]изоксазол-3-амин I53

a) 2-Этокси-6-фторбензонитрил I52

Смесь 2-фтор-6-гидроксибензонитрила (2,0 г, 14,6 ммоль), K2CO3 (6,04 г, 43,8 ммоль) и бромэтана (2,38 г, 21,9 ммоль) в ДМФ (4 мл) перемешивали при к. т. в атмосфере N2 в течение ночи. Смесь разбавляли с использованием EtOAc (300 мл), промывали водой (100 мл × 5), насыщенным солевым раствором, сушили над Na2SO4, фильтровали и концентрировали при пониженном давлении. Остаток очищали с помощью колоночной хроматографии (петр. эфир/EtOAc=от 100/1 до 5/1) с получением указанного в заголовке соединения (1,6 г, 67%) в виде твердого вещества белого цвета. ЖХМС-E: вр. уд. 5,24 мин; m/z 166,1 [M+H]+.

b) 4-Этоксибензо[d]изоксазол-3-амин I53

К раствору ацетогидроксамовой кислоты (2,18 г, 29 ммоль) в ДМФ (40 мл) при 0°C в атмосфере N2 добавляли t-BuOK (3,26 г, 29 ммоль) и перемешивали смесь при к. т. в течение 1 ч. Затем добавляли 2-этокси-6-фторбензонитрил I52 (1,6 г, 9,7 ммоль) и перемешивали смесь при к. т. в течение ночи. Смесь разбавляли с использованием ДХМ (80 мл), промывали водой (60 мл × 4), сушили над Na2SO4, фильтровали и концентрировали при пониженном давлении. Остаток очищали с помощью колоночной хроматографии (петр. эфир/EtOAc=5/1) с получением указанного в заголовке соединения (240 мг, 15%) в виде твердого вещества белого цвета. ЖХМС-E: вр. уд. 5,05 мин; m/z 179,0 [M+H]+.

xxii) 5-Метоксибензо[d]изоксазол-3-амин I54

К раствору ацетогидроксамовой кислоты (1,49 мг, 19,8 ммоль) в ДМФ (35 мл) при 0°C в атмосфере N2 добавляли t-BuOK (2,23 мг, 19,8 ммоль) и нагревали смесь при 30°C в течение 1 ч. Затем добавляли раствор 2-фтор-5-метоксибензонитрила (1,0 г, 6,6 ммоль) в ДМФ (5 мл) и нагревали смесь при 30°C в течение ночи. Смесь разбавляли водой (70 мл) и экстрагировали с использованием EtOAc (100 мл × 3). Объединенные органические экстракты промывали водой (200 мл × 3), после чего сушили над безводным Na2SO4, фильтровали и концентрировали при пониженном давлении с получением указанного в заголовке соединения (110 мг, 11%) в виде твердого вещества желтого цвета, которое использовали непосредственно на следующей стадии.

xxiii) 5-Этоксибензо[d]изоксазол-3-амин I57

a) 2-Фтор-5-гидроксибензонитрил I55

Смесь 2-фтор-5-метоксибензонитрила (1,7 г, 1,2 ммоль) и пиридина·HCl (17 г) нагревали при 80°C в атмосфере N2 в течение 5 ч, а затем разбавляли ДХМ (40 мл) м промывали с использованием 2 M водн. раствора HCl (8 мл) и воды (2 × 40 мл). Органический слой экстрагировали с использованием водного раствора K2CO3 (50 мл × 2), объединенные водные экстракты промывали ДХМ (70 мл × 2), затем доводили уровень pH до 3-4 с использованием 2 M водн. раствора HCl и экстрагировали с использованием ДХМ (80 мл × 3). Объединенные органические экстракты сушили над безводным Na2SO4, фильтровали и концентрировали при пониженном давлении с получением указанного в заголовке соединения (430 мг, 28%) в виде твердого вещества грязно-белого цвета, которое использовали непосредственно на следующей стадии.

b) 5-Этокси-2-фторбензонитрил I56

К раствору 2-фтор-5-гидроксибензонитрила I55 (430 мг, 3,1 ммоль) в ДМФ (15 мл) добавляли K2CO3 (1,3 г, 9,4 ммоль) и перемешивали смесь при к. т. в атмосфере N2 в течение 30 мин. Затем добавляли бромэтан (512 мг, 4,7 ммоль) и продолжали перемешивание при к. т. в течение ночи. Смесь разбавляли водой (70 мл) и экстрагировали с использованием EtOAc (100 мл × 2). Объединенные органические экстракты промывали водой (200 мл × 3), сушили над безводным Na2SO4, фильтровали и концентрировали при пониженном давлении. Остаток очищали с помощью хроматографии на силикагеле (петр. эфир/EtOAc=от 30/1 до 20/1) с получением указанного в заголовке соединения (480 мг, 92%) в виде твердого вещества белого цвета. ЖХМС-D: вр. уд. 2,44 мин; m/z 166,0 [M+H]+ 188,0 [M+Na]+.

c) 5-Этоксибензо[d]изоксазол-3-амин I57

К раствору ацетогидроксамовой кислоты (645 мг, 8,7 ммоль) в ДМФ (35 мл) при 0°C в атмосфере N2 добавляли t-BuOK (978 мг, 8,7 ммоль) и нагревали смесь при 30°C в течение 1 ч. Затем добавляли раствор 5-этокси-2-фторбензонитрила I56 (480 мг, 2,9 ммоль) в ДМФ (5 мл) и нагревали смесь при 30°C в течение ночи. Смесь разбавляли водой (60 мл) и экстрагировали с использованием EtOAc (80 мл × 2). Объединенные органические экстракты промывали водой (150 мл × 2), сушили над безводным Na2SO4, фильтровали и концентрировали при пониженном давлении с получением указанного в заголовке соединения (400 мг, 77%) в виде твердого вещества светло-желтого цвета. ЖХМС-D: вр. уд. 2,02 мин; m/z 179,1 [M+H]+.

xxiv) 6-(3,5-Диметил-1H-пиразол-1-ил)бензо[d]изоксазол-3-амин I59

a) 2-Хлор-4-(3,5-диметил-1H-пиразол-1-ил) бензонитрил I58

Смесь 3,5-диметил-1H-пиразола (5 г, 0,052 моль), NaH (60% дисперсия в масле, 2,6 г, 0,065 моль) в ДМФ (50 мл) перемешивали при к. т. в течение 1 ч. Затем добавляли раствор 2-хлор-4-фторбензонитрила (6,74 г, 0,043 моль) в ДМФ (50 мл) и продолжали перемешивание при к. т. в течение 1 ч. Реакцию гасили водой и экстрагировали смесь с использованием EtOAc. Органический экстракт концентрировали при пониженном давлении с получением указанного в заголовке соединения (11,0 г, 92%) в виде твердого вещества желтого цвета. ЖХМС-D: вр. уд. 2,58 мин; m/z 232,1 [M+H]+.

b) 6-(3,5-Диметил-1H-пиразол-1-ил)бензо[d]изоксазол-3-амин I59

К раствору ацетогидроксамовой кислоты (972 мг, 12,9 ммоль) в ДМФ (20 мл) при 0°C в атмосфере N2 добавляли t-BuOK (1,45 г, 12,9 ммоль) и нагревали смесь при 30°C в течение 1 ч. Затем добавляли 2-хлор-4-(3,5-диметил-1H-пиразол-1-ил) бензонитрил I58 (1 г, 4,3 ммоль) и нагревали смесь при 60°C в течение 5 ч. Смесь разбавляли водой и экстрагировали с использованием EtOAc. Органический экстракт сушили над безводным Na2SO4, фильтровали и концентрировали при пониженном давлении. Остаток очищали с помощью препаративной ТСХ (MeOH/ДХМ=1/20) с получением указанного в заголовке соединения (150 мг, 15%) в виде твердого вещества белого цвета. ЖХМС-D: вр. уд. 2,22 мин; m/z 229,1 [M+H]+.

xxv) 5-Метилбензо[d]изоксазол-3-амин I60

К раствору ацетогидроксамовой кислоты (8,33 г, 0,11 моль) в ДМФ (200 мл) добавляли t-BuOK (12,5 г, 0,11 моль) и перемешивали смесь при к. т. в течение 1 часа. Затем добавляли 2-фтор-5-метилбензонитрил (5 г, 0,37 моль) и нагревали смесь при 60°C в течение ночи. Смесь разбавляли водой и экстрагировали с использованием EtOAc. Органический экстракт концентрировали при пониженном давлении и очищали остаток с помощью хроматографии на силикагеле (ДХМ/MeOH=от 200/1 до 50/1) с получением указанного в заголовке соединения (3,0 г, 55%) в виде твердого вещества белого цвета. ЖХМС-D: вр. уд. 1,75 мин, m/z 149,0 [M+H]+.

xxvi) 6-(Метоксиметил)бензо[d]изоксазол-3-амин I62

a) 2-Фтор-4-(метоксиметил)бензонитрил I61

Смесь MeI (2,0 г, 13,2 ммоль) и NaH (60% суспензия в масле, 790 мг, 19,8 ммоль) в ТГФ (50 мл) перемешивали при 0°C в течение 10 мин, а затем добавляли 2-фтор-4-(гидроксиметил)бензонитрил (2,0 г, 13,2 ммоль) и перемешивали смесь при к. т. в течение 2 ч. Реакцию гасили водой и экстрагировали смесь с использованием EtOAc. Органический экстракт концентрировали при пониженном давлении и очищали остаток с помощью хроматографии на силикагеле (петр. эфир/EtOAc=от 100/1 до 20/1) с получением указанного в заголовке соединения (1,7 г, 78%) в виде твердого вещества белого цвета. ЖХМС-D: вр. уд. 2,01 мин; m/z 166,0 [M+H]+ 187,9 [M+Na]+.

b) 6-(Метоксиметил)бензо[d]изоксазол-3-амин I62

К раствору ацетогидроксамовой кислоты (1,5 г, 9,1 ммоль) в ДМФ (50 мл) добавляли t-BuOK (3,06 г, 27,2 ммоль) и перемешивали смесь при к. т. в течение 1 ч. Затем добавляли 2-фтор-4-(метоксиметил)бензонитрил I61 (1,5 г, 9,1 ммоль) и нагревали смесь при 40°C в течение ночи. Смесь разбавляли водой и экстрагировали с использованием EtOAc. Органический экстракт концентрировали при пониженном давлении и очищали остаток с помощью хроматографии на силикагеле (петр. эфир/EtOAc=от 100/1 до 10/1) с получением указанного в заголовке соединения (1 г, 62%) в виде твердого вещества желтого цвета. ЖХМС-D: вр. уд. 0,95 мин, m/z 179,0 [M+H]+.

xxvii) 5-(Трифторметокси)бензо[d]изоксазол-3-амин I63

К раствору ацетогидроксамовой кислоты (2,2 г, 0,029 моль) в ДМФ (50 мл) добавляли t-BuOK (3,28 г, 0,029 моль) и перемешивали смесь при к. т. в течение 1 часа. Затем добавляли 2-фтор-5-(трифторметокси)бензонитрил (2 г, 9,75 ммоль) и нагревали смесь при 60°C в течение ночи. Смесь разбавляли водой и экстрагировали с использованием EtOAc. Органический экстракт концентрировали при пониженном давлении с получением указанного в заголовке соединения (1,6 г, 75%) в виде твердого вещества желтого цвета. ЖХМС-D: вр. уд. 2,43 мин; m/z 219,0 [M+H]+.

xxviii) 5-Метил-6-(оксазол-2-ил)бензо[d]изоксазол-3-амин I65

a) 2-Фтор-5-метил-4-(оксазол-2-ил)бензонитрил I64

К раствору оксазола (90 мг, 1,31 ммоль) в ТГФ (10 мл) при -70°C в атмосфере N2 добавляли n-BuLi (2,5 M раствор в гексане, 1,1 мл, 2,66 ммоль) и перемешивали смесь в течение 10 мин. Добавляли твердый ZnCl2 (380 мг, 2,79 ммоль) и оставляли смесь нагреться до к. т. Добавляли 4-бром-2-фтор-5-метилбензонитрил (200 мг, 0,93 ммоль) и нагревали смесь при 60°C в течение ночи. Растворитель удаляли при пониженном давлении и очищали остаток с помощью хроматографии на силикагеле (петр. эфир/EtOAc 10/1) с получением указанного в заголовке соединения (50 мг, 27%) в виде твердого вещества белого цвета. ЖХМС-D: вр. уд. 2,51 мин; m/z 203,0 [M+H]+.

b) 5-Метил-6-(оксазол-2-ил)бензо[d]изоксазол-3-амин I65

К раствору ацетогидроксамовой кислоты (189 мг, 2,52 ммоль) в ДМФ (10 мл) при 0°C в атмосфере N2 добавляли t-BuOK (377 мг, 3,26 ммоль) и перемешивали смесь при 0°C в течение 1 ч. Затем добавляли 2-фтор-5-метил-4-(оксазол-2-ил)бензонитрил I64 (170 мг, 0,84 ммоль) и нагревали смесь при 50°C в течение ночи. Смесь разбавляли водой и экстрагировали с использованием EtOAc. Органический экстракт сушили над безводным Na2SO4, фильтровали и концентрировали при пониженном давлении. Остаток очищали с помощью препаративной ТСХ (ДХМ/MeOH=10/1) с получением указанного в заголовке соединения (90 мг, 50%) в виде твердого вещества белого цвета. ЖХМС-D: вр. уд. 2,10 мин; m/z 216,0 [M+H]+.

xxix) 7-Бромбензо[d]изоксазол-3-амин I66

К раствору ацетогидроксамовой кислоты (3,75 г, 0,05 моль) в ДМФ (60 мл) при 0°C добавляли t-BuOK (5,6 г, 0,05 моль) и перемешивали смесь при к. т. в течение 1 ч. Затем добавляли по каплям раствор 3-бром-2-фторбензонитрила (5,0 г, 0,025 моль) в ДМФ (90 мл) и продолжали перемешивание при к. т. в течение ночи. Смесь разбавляли с использованием ДХМ (300 мл), промывали водой (250 мл × 4), насыщенным солевым раствором, сушили над безводным Na2SO4, фильтровали и концентрировали при пониженном давлении с получением указанного в заголовке соединения (4,0 г, 63%) в виде твердого вещества белого цвета. ЖХМС-D: вр. уд. 2,09 мин, m/z 213,0/215,0 [M+H]+.

xxx) 7-(Пиримидин-2-ил)бензо[d]изоксазол-3-амин I68

a) 2-Фтор-3-(пиримидин-2-ил)бензонитрил I67

Смесь 2-фтор-3-(4,4,5,5-тетраметил-1,3,2-диоксаборолан-2-ил)бензонитрила I23 (1,5 г, 6,1 ммоль), 2-бромпиримидина (1,9 г, 12,0 ммоль), Pd(dppf)Cl2 (1,3 г, 1,8 ммоль) и K3PO4 (6,5 г, 24,2 ммоль) в воде (60 мл), толуоле (60 мл) и i-PrOH (15 мл) нагревали при 85°C в атмосфере N2 в течение 4 ч. Смесь разбавляли с использованием EtOAc (50 мл) и промывали водой (80 мл × 3). Органический слой сушили над безводным Na2SO4, фильтровали, концентрировали при пониженном давлении и очищали остаток с помощью колоночной хроматографии (петр. эфир/EtOAc=4/1) с получением указанного в заголовке соединения (450 мг, 38%) в виде твердого вещества светло-желтого цвета. ЖХМС-E: вр. уд. 4,82 мин; m/z 199,9 [M+H]+.

b) 7-(Пиримидин-2-ил)бензо[d]изоксазол-3-амин I68

К раствору ацетогидроксамовой кислоты (243 мг, 3,2 ммоль) в ДМФ (15 мл) при 0°C в атмосфере N2 добавляли t-BuOK (363 мг, 3,2 ммоль) и перемешивали смесь в течение 1 ч. Затем добавляли по каплям раствор 2-фтор-3-(пиримидин-2-ил)бензонитрила I67 (400 мг, 1,6 ммоль) в ДМФ (5 мл) и перемешивали смесь при к. т. в течение ночи. Смесь разбавляли с использованием EtOAc (80 мл) и промывали водой (60 мл × 3). Органический слой сушили над безводным Na2SO4, фильтровали и концентрировали при пониженном давлении с получением указанного в заголовке соединения (230 мг, 67%) в виде твердого вещества желтого цвета. ЖХМС-D: вр. уд. 0,80 мин, m/z 213,1 [M+H]+.

xxxi) 6-(1H-Пиразол-1-ил)бензо[d]изоксазол-3-амин I70

a) 2-фтор-4-(1H-пиразол-1-ил)бензонитрил I69

Смесь 4-бром-2-фторбензонитрила (400 мг, 2,0 ммоль), 1H-пиразола (177 мг, 2,6 ммоль), CuI (381 мг, 2,0 ммоль), K3PO4 (849 мг, 4,0 ммоль) и (1S,2S)-N1,N2-диметилциклогексан-1,2-диамина (28 мг, 0,2 ммоль) в ДМФ (20 мл) нагревали при 100°C в микроволновом реакторе в течение 1 ч. Смесь разделяли между EtOAc (200 мл) и водой (100 мл), разделяли слои и промывали органический слой водой (3 раза), насыщенным солевым раствором, сушили над безводным Na2SO4, фильтровали и концентрировали при пониженном давлении. Остаток очищали с помощью колоночной хроматографии (петр. эфир/ EtOAc=от 100/1 до 20/1) с получением указанного в заголовке соединения (120 мг, 32%) в виде твердого вещества белого цвета. ЖХМС-D: вр. уд. 2,20 мин, m/z 188,1 [M+H]+.

b) 6-(1H-Пиразол-1-ил)бензо[d]изоксазол-3-амин I70

К раствору ацетогидроксамовой кислоты (215 мг, 2,9 ммоль) в ДМФ (25 мл) при 0°C добавляли t-BuOK (322 мг, 2,9 ммоль) и нагревали смесь при 30°C в течение 2 ч. Затем добавляли 2-фтор-4-(1H-пиразол-1-ил)бензонитрил I69 (120 мг, 0,64 ммоль) и нагревали смесь при 30°C в течение ночи. Смесь разделяли между EtOAc (100 мл) и водой (50 мл), разделяли слои и промывали органический слой водой (3 раза), насыщенным солевым раствором, сушили над безводным Na2SO4, фильтровали и концентрировали при пониженном давлении. Остаток очищали с помощью колоночной хроматографии (петр. эфир/EtOAc=от 50/1 до 2/1) с получением указанного в заголовке соединения (72 мг, 57%) в виде твердого вещества белого цвета, которое использовали непосредственно на следующей стадии.

xxxii) 6-(2H-1,2,3-Триазол-2-ил)бензо[d]изоксазол-3-амин I72

a) 2-Хлор-4-(2H-1,2,3-триазол-2-ил)бензонитрил I71

Смесь 2H-1,2,3-триазола (553 мг, 8,0 ммоль) и NaH (60% дисперсия в масле, 192 мг, 4,8 ммоль) в ДМФ (20 мл) перемешивали при 0°C в течение 30 мин, после чего добавляли раствор 2-хлор-4-фторбензонитрила (622 мг, 4,0 ммоль) в ДМФ (10 мл). Смесь перемешивали при 0°C в течение 2 ч, после чего оставляли нагреться до к. т. и перемешивали в течение 2 ч. Смесь разделяли между EtOAc (300 мл) и водой (100 мл), разделяли слои и промывали органический слой водой (3 раза), насыщенным солевым раствором, сушили над безводным Na2SO4, фильтровали и концентрировали при пониженном давлении. Остаток очищали с помощью колоночной хроматографии (петр. эфир/EtOAc=от 100/1 до 20/1) с получением указанного в заголовке соединения (200 мг, 24%) в виде твердого вещества белого цвета. 1H ЯМР (400 MГц, ДМСО-d6) δ 8,31-8,28 (м, 3H), 8,19-8,14 (м, 2H).

b) 6-(2H-1,2,3-Триазол-2-ил)бензо[d]изоксазол-3-амин I72

К раствору ацетогидроксамовой кислоты (221 мг, 2,9 ммоль) в ДМФ (25 мл) при 0°C добавляли t-BuOK (330 мг, 2,9 ммоль) и нагревали смесь при 30°C в течение 2 ч. Затем добавляли 2-хлор-4-(2H-1,2,3-триазол-2-ил)бензонитрил I71 (200 мг, 0,98 ммоль) и нагревали смесь при 30°C в течение ночи. Смесь разделяли между EtOAc (100 мл) и водой (50 мл), разделяли слои и промывали органический слой водой (3 раза), насыщенным солевым раствором, сушили над безводным Na2SO4, фильтровали и концентрировали при пониженном давлении. Остаток очищали с помощью колоночной хроматографии (петр. эфир/EtOAc=от 50/1 до 2/1) с получением указанного в заголовке соединения (90 мг, 46%) в виде твердого вещества белого цвета. ЖХМС-D: вр. уд. 1,93 мин, m/z 202,1 [M+H]+.

xxxiii) 6-(Пиридин-2-ил)бензо[d]изоксазол-3-амин I74

a) 2-Фтор-4-(пиридин-2-ил)бензонитрил I73

Смесь 2-фтор-4-(4,4,5,5-тетраметил-1,3,2-диоксаборолан-2-ил)бензонитрила I37 (494 мг, 2,0 ммоль), 2-бромпиридина (948 мг, 6,0 ммоль), Pd(dppf)Cl2 (293 мг, 0,4 ммоль) и K3PO4·3H2O (2,66 г, 10,0 ммоль) в H2O (40 мл), толуоле (40 мл) и i-PrOH (10 мл) нагревали при 85°C в атмосфере N2 в течение 4 ч. Смесь разделяли между EtOAc (200 мл) и водой (30 мл), разделяли слои и промывали органический слой водой, насыщенным солевым раствором, сушили над безводным Na2SO4, фильтровали и концентрировали при пониженном давлении. Остаток очищали с помощью колоночной хроматографии (петр. эфир/EtOAc=от 30/1 до 10/1) с получением указанного в заголовке соединения (190 мг, 48%) в виде твердого вещества белого цвета. ЖХМС-D: вр. уд. 2,32 мин, m/z 199,1 [M+H]+.

b) 6-(Пиридин-2-ил)бензо[d]изоксазол-3-амин I74

К раствору ацетогидроксамовой кислоты (216 мг, 2,88 ммоль) в ДМФ (50 мл) при 0°C добавляли t-BuOK (323 мг, 2,88 ммоль) и перемешивали смесь при к. т. в течение 1 ч. Затем добавляли раствор 2-фтор-4-(пиридин-2-ил)бензонитрила I73 (190 мг, 0,96 ммоль) в ДМФ (10 мл) и перемешивали смесь при к. т. в течение ночи. Смесь разделяли между EtOAc (200 мл) и водой (50 мл), разделяли слои и промывали органический слой водой (50 мл × 3), насыщенным солевым раствором, сушили над безводным Na2SO4, фильтровали и концентрировали при пониженном давлении. Остаток очищали с помощью колоночной хроматографии (ДХМ/MeOH=от 100/0 до 100/1) с получением указанного в заголовке соединения (105 мг, 52%) в виде твердого вещества белого цвета. ЖХМС-D: вр. уд. 0,83 мин, m/z 212,1 [M+H]+.

xxxiv) 6-Бромбензо[d]изоксазол-3-амин I75

К раствору ацетогидроксамовой кислоты (13,7 г, 182 ммоль) в ДМФ (60 мл) при 0°C добавляли t-BuOK (20,5 г, 182 ммоль) и перемешивали смесь при 0°C в течение 1 ч. Затем добавляли раствор 4-бром-2-фторбензонитрила (12,2 г, 60,8 ммоль) в ДМФ (30 мл) и перемешивали смесь при к. т. в течение ночи. Смесь разделяли между EtOAc (500 мл) и водой (200 мл), разделяли слои и промывали органический слой водой (2 раза), насыщенным солевым раствором, сушили над безводным Na2SO4, фильтровали и концентрировали при пониженном давлении. Остаток очищали с помощью колоночной хроматографии (петр. эфир/EtOAc=от 100/1 до 30/1) с получением указанного в заголовке соединения (8,1 г, 63%) в виде твердого вещества белого цвета. ЖХМС-D: вр. уд. 2,34 мин; m/z 213,0 /215,0 [M+H]+.

xxxv) 4-Метокси-6-(пиридин-2-ил)бензо[d]изоксазол-3-амин I77

a) 2-Фтор-6-метокси-4-(пиридин-2-ил)бензонитрил I76

Смесь 4-бром-2-фтор-6-метоксибензонитрила I5 (244 мг, 1,06 ммоль), пиридин-2-илбороновой кислоты (195 мг, 1,59 ммоль), CuCl (105 мг, 1,06 ммоль), Pd(OAc)2 (24 мг, 0,106 ммоль), XPhos (100 мг, 0,212 ммоль) и Cs2CO3 (1,38 г, 4,24 ммоль) в ДМФ (10,6 мл) нагревали в атмосфере азота при 100°C в герметично закрытой пробирке на 20 мл в течение 16 ч. Реакцию повторяли еще три раза в том же масштабе, и четыре реакции гасили насыщенным водным раствором NH4Cl, объединяли и экстрагировали с использованием EtOAc (80 мл × 3). Объединенные органические экстракты промывали водой, сушили над безводным Na2SO4, фильтровали и концентрировали при пониженном давлении. Остаток очищали с помощью колоночной хроматографии (петр. эфир/EtOAc=от 10/1 до 5/1) с получением указанного в заголовке соединения (190 мг, 20%) в виде твердого вещества желтого цвета. ЖХМС-C: вр. уд. 2,13 мин; m/z 229,0 [M+H]+.

b) 4-Метокси-6-(пиридин-2-ил)бензо[d]изоксазол-3-амин I77

К раствору ацетогидроксамовой кислоты (178 мг, 2,37 ммоль) в безводном ДМФ (20 мл) при 0°C добавляли трет-бутоксид калия (266 мг, 2,37 ммоль) и перемешивали смесь при 0°C в течение 1 ч. Затем добавляли 2-фтор-6-метокси-4-(пиридин-2-ил)бензонитрил I76 (180 мг, 0,79 ммоль) и нагревали смесь при 40°C в течение ночи. Добавляли воду и экстрагировали смесь с использованием EtOAc. Объединенные органические экстракты сушили над безводным Na2SO4, фильтровали и концентрировали при пониженном давлении. Остаток очищали с помощью колоночной хроматографии (ДХМ/MeOH=от 200/1 до 100/1 до 60/1) с получением указанного в заголовке соединения (70 мг, 37%) в виде твердого вещества желтого цвета. ЖХМС-C: вр.уд. 0,52 мин; m/z 242,0 [M+H]+. 1H ЯМР (400 MГц, ДМСО-d6) δ 8,73-8,68 (м, 1H), 8,14-8,09 (м, 1H), 7,95-7,88 (м, 1H), 7,70 (д, J=1,0 Гц, 1H), 7,46 (с, 1H), 7,44-7,38 (м, 1H), 6,01 (с, 2H), 4,01 (с, 3H).

xxxvi) 4-Метокси-7-фенилбензо[d]изоксазол-3-амин I80

a) 3-Бром-2-фтор-6-метоксибензонитрил I78

Раствор Br2 (507 мг, 3,2 ммоль) в CCl4 (4,0 мл) добавляли к раствору 2-фтор-6-метоксибензонитрила (480 мг, 3,2 ммоль) и Fe (8,0 мг, 0,1 ммоль) в CCl4 (4,0 мл) при -10°C в течение периода 30 мин, после чего смесь оставляли нагреться до к. т. и перемешивали в течение ночи. Смесь разделяли между водой и EtOAc, разделяли слои и промывали органический слой насыщенным водным раствором Na2SO3 (2 раза), насыщенным солевым раствором, сушили над безводным Na2SO4, фильтровали и концентрировали с получением указанного в заголовке соединения (580 мг, 80%) в виде твердого вещества белого цвета. ЖХМС-C: вр. уд. 2,12 мин; m/z 229,9 [M+H]+.

b) 2-Фтор-4-метокси-[1,1'-бифенил]-3-карбонитрил I79

К раствору 3-бром-2-фтор-6-метоксибензонитрила I78 (600 мг, 2,6 ммоль), фенилбороновой кислоты (636 мг, 5,2 ммоль) и Na2CO3 (829 мг, 7,8 ммоль) в 1,4-диоксане (40 мл) и воде (10 мл) в атмосфере N2 добавляли Pd(PPh3)4 (300 мг, 0,26 ммоль) и нагревали смесь при 100°C в течение ночи. Смесь разделяли между водой и EtOAc, разделяли слои и промывали органический слой водой, насыщенным солевым раствором, сушили над безводным Na2SO4, фильтровали и концентрировали при пониженном давлении. Остаток очищали с помощью колоночной хроматографии (петр. эфир/EtOAc=от 10/1 до 3/1) с получением указанного в заголовке соединения (538 мг, 90%) в виде твердого вещества белого цвета. ЖХМС-C: вр. уд. 2,43 мин; m/z 228,0 [M+H]+.

c) 4-Метокси-7-фенилбензо[d]изоксазол-3-амин I80

К раствору ацетогидроксамовой кислоты (533 мг, 7,11 ммоль) в безводном ДМФ (30 мл) при к. т. добавляли трет-бутоксид калия (797 мг, 7,11 ммоль) и перемешивали смесь при к. т. в течение 1 ч. Затем добавляли 2-фтор-4-метокси-[1,1'-бифенил]-3-карбонитрил I79 (538 мг, 2,37 ммоль) и нагревали смесь при 60°C в течение ночи. Добавляли воду и экстрагировали смесь с использованием EtOAc (30 мл × 3). Объединенные органические экстракты сушили над безводным Na2SO4, фильтровали и концентрировали при пониженном давлении. Остаток очищали с помощью колоночной хроматографии (петр. эфир/EtOAc=от 10/1 до 5/1) с получением указанного в заголовке соединения (413 мг, 72%) в виде твердого вещества оранжевого цвета. ЖХМС-C: вр.уд. 1,33 мин; m/z 209,0 [M+H]+. 1H ЯМР (400 MГц, CDCl3) δ 7,84-7,79 (м, 2H), 7,61 (д, J=8,1 Гц, 1H), 7,46 (т, J=7,7 Гц, 2H), 7,38-7,32 (м, 1H), 6,67 (д, J=8,2 Гц, 1H), 4,00 (с, 3H).

xxxvii) 4-Метокси-7-(1-метил-1H-пиразол-4-ил)бензо[d]изоксазол-3-амин I82

a) 2-Фтор-6-метокси-3-(1-метил-1H-пиразол-4-ил)бензонитрил I81

К раствору 3-бром-2-фтор-6-метоксибензонитрила I78 (720 мг, 3,31 ммоль), 1-метил-4-(4,4,5,5-тетраметил-1,3,2-диоксаборолан-2-ил)-1H-пиразола (1,30 г, 6,26 ммоль) и Na2CO3 (995 мг, 9,39 ммоль) в 1,4-диоксане (50 мл) и воде (10 мл) в атмосфере N2 добавляли Pd(PPh3)4 (358 мг, 0,30 ммоль) и нагревали смесь при 100°C в течение ночи. Добавляли воду и экстрагировали смесь с использованием EtOAc. Объединенные органические экстракты промывали насыщенным солевым раствором, сушили над безводным Na2SO4, фильтровали и концентрировали при пониженном давлении. Остаток очищали с помощью колоночной хроматографии (ДХМ/MeOH=100/1) с получением указанного в заголовке соединения (485 мг, 63%) в виде твердого вещества белого цвета. ЖХМС-C: вр. уд. 1,26 мин; m/z 232,0 [M+H]+.

b) 4-Метокси-7-(1-метил-1H-пиразол-4-ил)бензо[d]изоксазол-3-амин I82

К раствору ацетогидроксамовой кислоты (474 мг, 6,24 ммоль) в безводном ДМФ (20 мл) при к. т. добавляли трет-бутоксид калия (700 мг, 6,24 ммоль) и перемешивали смесь при к. т. в течение 1 ч. Затем добавляли 2-фтор-6-метокси-3-(1-метил-1H-пиразол-4-ил)бензонитрил I81 (485 мг, 2,04 ммоль) и нагревали смесь при 60°C в течение ночи. Добавляли воду и экстрагировали смесь с использованием EtOAc (30 мл × 3). Объединенные органические экстракты сушили над безводным Na2SO4, фильтровали и концентрировали при пониженном давлении. Остаток очищали с помощью колоночной хроматографии (ДХМ/MeOH=50/1) с получением указанного в заголовке соединения (225 мг, 45%) в виде твердого вещества желтого цвета. ЖХМС-C: вр.уд. 0,46 мин; m/z 245,0 [M+H]+. 1H ЯМР (400 MГц, ДМСО-d6) δ 8,19 (с, 1H), 7,95 (с, 1H), 7,69 (д, J=8,2 Гц, 1H), 6,74 (д, J=8,2 Гц, 1H), 6,00 (с, 2H), 3,91 (с, 3H), 3,90 (с, 3H).

xxxviii) 5-Хлор-4-метокси-6-(метоксиметил)бензо[d]изоксазол-3-амин I83

К раствору 4-метокси-6-(метоксиметил)бензо[d]изоксазол-3-амина I9 (300 мг, 1,4 ммоль) в ДМФ (10 мл) добавляли NCS (192 мг, 1,4 ммоль) и нагревали смесь при 50°C в течение 2 ч. Смесь разбавляли с использованием EtOAc (100 мл) и промывали H2O (40 мл × 3). Органический слой сушили над безводным Na2SO4, фильтровали и концентрировали при пониженном давлении. Остаток очищали с помощью колоночной хроматографии (петр. эфир/EtOAc=от 7/1 до 5/1) с получением указанного в заголовке соединения (190 мг, 54%) в виде твердого вещества белого цвета. ЖХМС-C: вр.уд. 1,21 мин; m/z 242,9 [M+H]+. 1H ЯМР (400 MГц, ДМСО-d6) δ 7,32 (с, 1H), 6,19 (с, 2H), 4,55 (с, 2H), 3,93 (с, 3H), 3,41 (с, 3H).

xxxix) 4-Метокси-6-(оксазол-2-ил)бензо[d]изоксазол-3-амин I86

a) 2-(Трибутилстаннил)оксазол I84

К раствору оксазола (500 мг, 7,25 ммоль) в ТГФ (15 мл) при -78°C в атмосфере N2 по каплям добавляли n-BuLi (2,5 M раствор в гексанах, 2,9 мл, 7,32 ммоль) и перемешивали смесь при -78°C в течение 30 мин. Затем добавляли трибутилхлорстаннан (1,96 мл, 7,25 ммоль), оставляли смесь нагреться до к. т. и перемешивали в течение 1 ч. Растворитель удаляли при пониженном давлении, и остаток переносили в гексаны (50 мл). Полученный осадок удаляли путем фильтрации и концентрировали фильтрат при пониженном давлении с получением указанного в заголовке соединения (2,0 г, 77%) в виде бесцветного масла. 1H ЯМР (400 MГц, ДМСО-d6) δ 8,20 (с, 1H), 7,20 (с, 1H), 1,59-1,49 (м, 6H), 1,31-1,26 (м, 6H), 1,16-1,10 (м, 6H), 0,83 (т, J=7,3 Гц, 9H).

b) 2-Фтор-6-метокси-4-(оксазол-2-ил)бензонитрил I85

К раствору 4-бром-2-фтор-6-метоксибензонитрила I5 (305 мг, 1,33 ммоль) в 1,4-диоксане (25 мл) добавляли 2-(трибутилстаннил)оксазол I84 (1,43 г, 3,98 ммоль) и Pd(PPh3)4 (154 мг, 0,133 ммоль) и нагревали смесь при 90°C в течение ночи. Смесь разбавляли водой и экстрагировали с использованием EtOAc. Объединенные органические экстракты промывали водой, насыщенным солевым раствором, сушили над безводным Na2SO4, фильтровали и концентрировали. Остаток очищали с помощью колоночной хроматографии (петр. эфир/EtOAc= 8/1) с получением указанного в заголовке соединения (370 мг, 96%) в виде твердого вещества белого цвета. ЖХМС-C: вр. уд. 1,86 мин; m/z 218,9 [M+H]+.

c) 4-Метокси-6-(оксазол-2-ил)бензо[d]изоксазол-3-амин I86

К раствору ацетогидроксамовой кислоты (382 мг, 5,09 ммоль) в ДМФ (25 мл) при 0°C добавляли трет-бутоксид калия (570 мг, 5,09 ммоль) и перемешивали смесь при к. т. в течение 1 ч. Затем добавляли 2-фтор-6-метокси-4-(оксазол-2-ил)бензонитрил I85 (370 мг, 1,7 ммоль) и нагревали смесь при 60°C в течение 2 ч. Смесь разбавляли с использованием EtOAc и промывали водой, насыщенным солевым раствором, сушили над безводным Na2SO4, фильтровали и концентрировали с получением указанного в заголовке соединения (100 мг, 26%) в виде твердого вещества желтого цвета. ЖХМС-C: вр.уд 0,57 мин; m/z 232,0 [M+H]+. 1H ЯМР (400 MГц, ДМСО-d6) δ 8,29 (с, 1H), 7,56 (с, 1H), 7,47-7,42 (м, 1H), 7,27 (с, 1H), 6,09 (с, 2H), 4,00 (с, 3H).

xl) 6-(Оксазол-2-ил)бензо[d]изоксазол-3-амин I90

a) 4-Циано-3-фторбензоилхлорид I87

К раствору 4-циано-3-фторбензойной кислоты (1,0 г, 6,1 ммоль) в ДХМ (20 мл) при 0°C по каплям добавляли ДМФ (0,1 мл) и оксалилхлорид (1,86 г, 12,1 ммоль) и перемешивали смесь при к. т. в течение ночи. Растворитель удаляли при пониженном давлении с получением указанного в заголовке соединения (1,2 г) в виде твердого вещества белого цвета, которое использовали непосредственно на следующей стадии без дополнительной очистки.

b) 4-Циано-N-(2,2-диметоксиэтил)-3-фторбензамид I88

К раствору 4-циано-3-фторбензоилхлорида I87 (1,1 г, 6,06 ммоль) и Et3N (1,84 г, 18 ммоль) в ДХМ (20 мл) при 0°C добавляли 2,2-диметоксиэтанамин (955 мг, 9,1 ммоль) и перемешивали смесь в течение 2 ч. Смесь выливали в воду и экстрагировали с использованием EtOAc. Органический экстракт промывали водой и насыщенным солевым раствором, сушили над безводным Na2SO4, фильтровали и концентрировали при пониженном давлении. Остаток очищали с помощью колоночной хроматографии (петр. эфир/EtOAc=1/1, об./об.) с получением указанного в заголовке соединения (1,2 г, 78%) в виде твердого вещества белого цвета. ЖХМС-D: вр. уд. 1,55 мин, m/z 274,9 [M+Na]+.

c) 3-Амино-N-(2,2-диметоксиэтил)бензо[d]изоксазол-6-карбоксамид I89

К раствору ацетогидроксамовой кислоты (448 мг, 5,95 ммоль) в ДМФ (30 мл) при 0°C порциями добавляли t-BuOK (889 мг, 7,92 ммоль) и перемешивали смесь в течение 1 ч. Затем добавляли 4-циано-N-(2,2-диметоксиэтил)-3-фторбензамид I88 (500 мг, 1,98 ммоль) и нагревали смесь при 40°C в течение ночи. Смесь выливали в воду и экстрагировали с использованием EtOAc. Органический слой промывали водой и насыщенным солевым раствором, сушили над безводным Na2SO4, фильтровали и концентрировали при пониженном давлении. Остаток очищали с помощью колоночной хроматографии (петр. эфир/EtOAc=1/1, об./об.) с получением указанного в заголовке соединения (380 мг, 72%) в виде твердого вещества желтого цвета. ЖХМС-D: вр. уд. 0,59 мин, m/z 287,9 [M+Na]+.

d) 6-(Оксазол-2-ил)бензо[d]изоксазол-3-амин I90

Смесь 3-амино-N-(2,2-диметоксиэтил)бензо[d]изоксазол-6-карбоксамида I89 (240 мг, 0,9 ммоль) и P2O5 (193 мг, 1,36 ммоль) в метансульфоновой кислоте (10 мл) нагревали при 150°C в условиях микроволнового облучения в течение 30 мин. Смесь выливали в воду, подщелачивали водным раствором KOH и экстрагировали с использованием EtOAc. Органический экстракт промывали насыщенным солевым раствором, сушили над безводным Na2SO4, фильтровали и концентрировали при пониженном давлении. Остаток очищали с помощью преп. ТСХ (ДХМ/MeOH=10/1, об./об.) с получением указанного в заголовке соединения (50 мг, 28%) в виде твердого вещества. ЖХМС-D: вр. уд. 1,57 мин, m/z 201,9 [M+H]+.

xli) 5-Этил-1-метил-2-оксо-1,2-дигидропиридин-3-сульфонилхлорид I94

a) 5-Этил-2-метоксипиридин I91

К раствору 5-бром-2-метоксипиридина (10,2 г, 54,25 ммоль) в ТГФ (200 мл) при -78°C в атмосфере N2 по каплям добавляли n-BuLi (2,5 M раствор в гексане, 24,0 мл, 60,0 ммоль) и перемешивали смесь при -78°C в течение 1,5 ч. Затем добавляли по каплям йодэтан (12,7 г, 81,4 ммоль) и перемешивали смесь при -78°C в течение 20 мин, после чего нагревали до к. т. и перемешивали в течение 30 мин. Реакцию гасили водой (5 мл) и удаляли растворитель при пониженном давлении. Остаток растворяли в ДХМ, промывали водой, насыщенным солевым раствором, сушили над безводным Na2SO4, фильтровали и концентрировали при пониженном давлении. Остаток очищали с помощью колоночной хроматографии (петр. эфир/EtOAc=от 100/1 до 5/1) с получением указанного в заголовке соединения (2,8 г, 38%) в виде бесцветного масла. ЖХМС-D: вр. уд. 1,80 мин; m/z 138,1 [M+H]+.

b) 5-Этилпиридин-2(1H)-он I92

Раствор 5-этил-2-метоксипиридина I91 (1,6 г, 11,66 ммоль) в конц. растворе HCl (30 мл) нагревали при 100°C в течение ночи. Смесь концентрировали при пониженном давлении и очищали остаток с помощью колоночной хроматографии (ДХМ/MeOH=20/1) с получением указанного в заголовке соединения (800 мг, 56%) в виде твердого вещества белого цвета, которое использовали непосредственно на следующей стадии.

c) 5-Этил-1-метилпиридин-2(1H)-он I93

Смесь 5-этилпиридин-2(1H)-она I92 (800 мг, 6,5 ммоль), K2CO3 (1,8 г, 13 ммоль) и йодметана (1,85 г, 13 ммоль) в MeOH (20 мл) нагревали при 50°C в атмосфере N2 в течение ночи. Растворитель удаляли при пониженном давлении, остаток растворяли в ДХМ (100 мл), промывали водой, насыщенным солевым раствором, сушили над безводным Na2SO4, фильтровали и концентрировали при пониженном давлении. Остаток очищали с помощью колоночной хроматографии (ДХМ/MeOH=40/1) с получением указанного в заголовке соединения (500 мг, 56%) в виде бесцветного масла. ЖХМС-D: вр. уд. 0,68 мин; m/z 138,1 [M+H]+.

d) 5-Этил-1-метил-2-оксо-1,2-дигидропиридин-3-сульфонилхлорид I94

Смесь хлорсульфоновой кислоты (6 мл) и 5-этил-1-метилпиридин-2(1H)-она I93 (0,6 г, 4,37 ммоль) нагревали при 150°C в атмосфере N2 в течение 3 ч, после чего оставляли охладиться до к. т. и выливали на лед (100 г). Смесь экстрагировали с использованием ДХМ (50 мл × 3), объединенные органические экстракты промывали два раза ледяной водой, сушили над безводным Na2SO4, фильтровали и концентрировали при пониженном давлении. Остаток очищали с помощью колоночной хроматографии (ДХМ/MeOH=от 100/1 до 20/1) с получением указанного в заголовке соединения (200 мг, 12%) в виде твердого вещества желтого цвета. 1H ЯМР (400 MГц, ДМСО-d6) δ 7,87-7,84 (м, 1H), 7,71 (с, 1H), 3,47 (с, 3H), 2,39 (к, J=7,6 Гц, 2H), 1,09 (т, J=7,5 Гц, 3H). ЖХМС-D: вр. уд. 1,58 мин; m/z 236,0 [M+H]+.

xlii) 5-Бром-2,3-дигидробензофуран-7-сульфонилхлорид I95

К хлорсульфоновой кислоте (6 мл) при -5°C медленно добавляли 5-бром-2,3-дигидробензофуран (2,0 г, 10 ммоль) и перемешивали смесь при -5°C в течение 30 мин. Смесь выливали в ледяную воду (100 мл) и экстрагировали с использованием EtOAc (180 мл × 2). Объединенные органические экстракты промывали водой (250 мл × 3), сушили над безводным Na2SO4, фильтровали и концентрировали при пониженном давлении. Остаток очищали с помощью колоночной хроматографии (петр. эфир/EtOAc=15/1) с получением указанного в заголовке соединения (1,45 г, 48%) в виде твердого вещества белого цвета. 1H ЯМР (400 MГц, CDCl3) δ 7,80-7,76 (м, 1H), 7,63-7,58 (м, 1H), 4,91 (м, 2H), 3,35 (м, 2H). ЖХМС-D: вр. уд. 2,74 мин; m/z 318,8/320,8 [M+Na]+.

xliii) 4,6-Диметокси-2,3-дигидро-1H-инден-5-сульфонилхлорид I98

a) 5,7-Диметокси-2,3-дигидро-1H-инден-1-он I96

Смесь 3-(3,5-диметоксифенил)пропановой кислоты (5 г, 23,8 ммоль) и метансульфоновой кислоты (24 мл) нагревали при 90°C в течение 10 мин, после чего оставляли охладиться до к. т. и выливали в воду. Уровень pH смеси доводили до 9 с использованием 10 M водн. раствора KOH и экстрагировали с использованием EtOAc (5 раз). Объединенные органические экстракты промывали водой, насыщенным солевым раствором, сушили над безводным Na2SO4, фильтровали и концентрировали при пониженном давлении с получением указанного в заголовке соединения (3,5 г, 76%) в виде твердого вещества белого цвета. ЖХМС-D: вр. уд. 1,76 мин; m/z 193,1 [M+H]+.

b) 4,6-Диметокси-2,3-дигидро-1H-инден I97

Смесь 5,7-диметокси-2,3-дигидро-1H-инден-1-она I96 (3,0 г, 15,6 ммоль) и триэтилсилана (7,3 г, 62,4 ммоль) в ТФК (20 мл) перемешивали при к. т. в атмосфере N2 в течение 11 ч. Смесь концентрировали при пониженном давлении и очищали остаток с помощью колоночной хроматографии (петр. эфир/EtOAc=20/1) с получением указанного в заголовке соединения (2,0 г, 72%) в виде твердого вещества белого цвета. 1H ЯМР (400 MГц, CDCl3) δ 6,42 (с, 1H), 6,29 (д, J=2,0 Гц, 1H), 3,81 (с, 3H), 3,80 (с, 3H), 2,89 (т, J=7,5 Гц, 2H), 2,80 (т, J=7,3 Гц, 2H), 2,13-2,02 (м, 2H).

c) 4,6-Диметокси-2,3-дигидро-1H-инден-5-сульфонилхлорид I98

К раствору 4,6-диметокси-2,3-дигидро-1H-индена I97 (1 г, 5,6 ммоль) и ТМЭДА (0,72 г, 6,17 ммоль) в н-гексане (20 мл) при -70°C по каплям добавляли n-BuLi (2,5 M в гексане, 2,5 мл, 6,17 ммоль), оставляли смесь нагреться до 0°C и перемешивали в течение 2 ч. Смесь повторно охлаждали до -65 °C, барботировали газообразным SO2 в течение 20 мин, а затем оставляли медленно нагреться до 10 °C. Полученный осадок собирали с помощью фильтрации и промывали сухим диэтиловым эфиром. Твердое вещество суспендировали в н-гексане (20 мл), охлаждали до 0°C и добавляли по каплям SO2Cl2 (0,83 г, 6,2 ммоль). Смесь перемешивали при 0°C в атмосфере N2 в течение 1 ч, после чего фильтровали. Осадок на фильтре растворяли в диэтиловом эфире и промывали водой, насыщенным солевым раствором, сушили над безводным Na2SO4, фильтровали и концентрировали при пониженном давлении с получением указанного в заголовке соединения (550 мг, 35%) в виде твердого вещества белого цвета. 1H ЯМР (400 MГц, CDCl3) δ 6,72 (с, 1H), 3,95 (с, 3H), 3,94 (с, 3H), 2,96 (к, J=7,6 Гц, 4H), 2,18-2,08 (м, 2H).

xliv) 2-Метокси-5-феноксибензолсульфонилхлорид I100

a) 2-Метокси-5-феноксибензолсульфоновая кислота I99

К раствору 1-метокси-4-феноксибензола (2 г, 10 ммоль) в ДХМ (15 мл) при 0°C по каплям добавляли раствор хлорсульфоновой кислоты (0,35 мл) в ДХМ (10 мл) и перемешивали смесь при 0°C в течение 15 мин. Смесь медленно выливали в ледяную воду (100 мл), после чего концентрировали при пониженном давлении. Остаток промывали с использованием ДХМ (100 мл × 2) и сушили с получением указанного в заголовке соединения (560 мг, 40%) в виде твердого вещества грязно-белого цвета. ЖХМС-D: вр. уд. 0,62 мин; m/z 281,0 [M+H]+.

b) 2-Метокси-5-феноксибензолсульфонилхлорид I100

Смесь 2-метокси-5-феноксибензолсульфоновой кислоты I99 (250 мг, 0,9 ммоль) и PCl5 (284 мг, 1,3 ммоль) в POCl3 (3 мл) нагревали при 90°C в атмосфере N2 в течение 1 ч. Затем смесь медленно добавляли в ледяную воду (20 мл) и экстрагировали с использованием ДХМ (15 мл × 2). Объединенные органические экстракты промывали насыщенным солевым раствором, сушили над безводным Na2SO4, фильтровали и концентрировали при пониженном давлении с получением указанного в заголовке соединения (51 мг, 18%) в виде масла желтого цвета. ЖХМС-D: вр. уд. 2,72 мин; m/z 295,0 [M-Cl+OCH3]+, 317,0 [M-Cl+OCH3+Na]+.

xlv) 2,6-Диметокси-3-(трифторметил)бензолсульфонилхлорид I102

a) 2,4-Диметокси-1-(трифторметил)бензол I101

К смеси (2,4-диметоксифенил)бороновой кислоты (3,0 г, 16,5 ммоль), CF3SO2Na (18,0 г, 115,4 ммоль), Cu(OAc)2 (748 мг, 4,1 ммоль), имидазола (281 мг, 4,1 ммоль), 2,4,6-коллидина (3,0 г, 33,0 ммоль) и NH4Cl (11,3 г, 206,0 ммоль) в воде (16,5 мл) и ДХМ (100 мл) при 0°C по каплям добавляли t-BuOOH (3,6 мл, 4,1 ммоль) и перемешивали смесь при к. т. в течение 16 ч. После этого слои разделяли и экстрагировали водный слой с использованием ДХМ. Объединенные органические слои сушили над безводным Na2SO4, фильтровали и концентрировали при пониженном давлении. Остаток очищали с помощью колоночной хроматографии (петр. эфир) с получением указанного в заголовке соединения (900 мг, 27%) в виде масла. 1H ЯМР (400 MГц, CDCl3) δ 7,42-7,36 (м, 1H), 6,45-6,37 (м, 2H), 3,79 (с, 3H), 3,76 (с, 3H).

b) 2,6-Диметокси-3-(трифторметил)бензолсульфонилхлорид I102

К раствору 2,4-диметокси-1-(трифторметил)бензола I101 (1,5 г, 7,3 ммоль) и ТМЭДА (0,93 г, 8,0 ммоль) в н-гексане (30 мл) при -78°C в атмосфере N2 по каплям добавляли n-BuLi (2,5 M в гексане, 3,2 мл, 8,0 ммоль) и перемешивали смесь при 0°C в течение 1 ч. Смесь барботировали газообразным SO2 при -78°C в течение 20 минут, после чего оставляли нагреться до 0°C и перемешивали в течение 1 ч. Полученный осадок собирали с помощью фильтрации и промывали гексаном. Осадок на фильтре суспендировали в н-гексане (30 мл), охлаждали до 0°C и добавляли по каплям SO2Cl2 (1,1 г, 8,0 ммоль). Смесь перемешивали при 0°C в течение 1 ч, твердые вещества собирали путем фильтрации и промывали холодным н-гексаном. Осадок на фильтре растворяли в простом эфире и промывали водой. Водную фазу экстрагировали с использованием простого эфира, объединенные органические слои сушили над безводным Na2SO4, фильтровали и концентрировали при пониженном давлении. Остаток очищали с помощью колоночной хроматографии (петр. эфир/EtOAc=5/1) с получением указанного в заголовке соединения (1,5 г, 68%) в виде твердого вещества желтого цвета. 1H ЯМР (400 MГц, CDCl3) δ 7,90-7,84 (м, 1H), 6,98-6,92 (м, 1H), 4,09 (с, 3H), 4,04 (с, 3H).

xlvi) 3-Этил-2,6-диметоксибензолсульфонилхлорид I106

a) 2,4-Диметокси-1-винилбензол I103

Суспензию 1-бром-2,4-диметоксибензола (4,0 г, 18,4 ммоль), 4,4,5,5-тетраметил-2-винил-1,3,2-диоксаборолана (3,4 г, 22,1 ммоль), Pd(dppf)Cl2⋅ДХМ (753 мг, 0,92 ммоль) и K2CO3 (7,6 г, 55,2 ммоль) в 1,4-диоксане (40 мл) и воде (10 мл) нагревали при 90°C в атмосфере N2 в течение ночи. Смесь фильтровали через слой целита и промывали EtOAc. Фильтрат разбавляли водой и экстрагировали с использованием EtOAc (60 мл × 3). Объединенные органические экстракты промывали насыщенным солевым раствором, сушили над безводным Na2SO4, фильтровали и концентрировали при пониженном давлении. Остаток очищали с помощью колоночной хроматографии (петр. эфир) с получением указанного в заголовке соединения (2,6 г, 86%) в виде масла желтого цвета. ЖХМС-D: вр. уд. 2,28 мин; m/z 165,0 [M+H]+.

b) Этил-2,4-диметоксибензол I104

К раствору 2,4-диметокси-1-винилбензола I103 (2,6 г, 15,8 ммоль) в EtOAc (50 мл) добавляли 10% Pd/C (300 мг) и перемешивали смесь в атмосфере H2 при к. т. в течение ночи. Катализатор удаляли путем фильтрации через целит и промывали с использованием EtOAc. Концентрировали фильтрат при пониженном давлении с получением указанного в заголовке соединения (2,0 г, 83%) в виде масла желтого цвета. ЖХМС-D: вр. уд. 2,39 мин; m/z 167,1 [M+H]+.

c) 3-Этил-2,6-диметоксибензолсульфоновая кислота I105

Получали из этил-2,4-диметоксибензола I104 в соответствии с процедурой, описанной для 2,6-диметоксибензолсульфонилхлорида I111. Было обнаружено, что полученный продукт представляет собой в основном 3-этил-2,6-диметоксибензолсульфоновую кислоту. ЖХМС-D: вр. уд. 2,36 мин; m/z 247,0 [M+H]+.

d) 3-Этил-2,6-диметоксибензолсульфонилхлорид I106

Смесь 3-этил-2,6-диметоксибензолсульфоновой кислоты I105 (300 мг, 1,22 ммоль) и тионилхлорида (6 мл) нагревали при 95°C в течение 3 ч, а затем концентрировали при пониженном давлении с получением указанного в заголовке соединения (322 мг, 100%) в виде коричневого масла, которое использовали непосредственно на следующей стадии.

xlvii) 7-Метоксихинолин-8-сульфонилхлорид I107

К 7-метоксихинолину (500 мг, 3,14 ммоль) при 0°C добавляли по каплям хлорсульфоновую кислоту (1,8 г, 15,7 ммоль) и нагревали смесь при 100°C в течение 1 ч. Смесь оставляли охладиться до к. т., выливали на лед, после чего нейтрализовали с помощью насыщенного водного раствора NaHCO3. Смесь экстрагировали с использованием EtOAc (30 мл × 3), объединенные органические экстракты промывали насыщенным солевым раствором, сушили над безводным Na2SO4, фильтровали и концентрировали при пониженном давлении с получением указанного в заголовке соединения (280 мг, 34%) в виде твердого вещества желтого цвета. ЖХМС-D: вр. уд. 0,27 мин; m/z 239,9 [M-Cl+H2O]+

xlviii) 6-Метокси-2,3-дигидро-1H-инден-5-сульфонилхлорид I108

К раствору 5-метокси-2,3-дигидро-1H-индена (3,1 г, 20,9 ммоль) в ДХМ (40 мл) при -5°C в атмосфере N2 по каплям добавляли хлорсульфоновую кислоту (6,5 г, 62,8 ммоль) и перемешивали смесь при -5°C в течение 40 мин. Реакцию гасили ледяной водой (20 мл) и экстрагировали смесь с использованием EtOAc (30 мл × 2). Объединенные органические экстракты промывали водой (50 мл × 3), сушили над безводным Na2SO4, фильтровали и концентрировали при пониженном давлении. Остаток очищали с помощью колоночной хроматографии (петр. эфир/EtOAc=20/1) с получением указанного в заголовке соединения (3,1 г, 60%) в виде твердого вещества белого цвета, которое использовали непосредственно на следующей стадии. 1H ЯМР (400 MГц, CDCl3) δ 7,77 (д, J=1,1 Гц, 1H), 6,98 (с, 1H), 4,02 (с, 3H), 2,99 (т, J=7,5 Гц, 2H), 2,91 (т, J=7,4 Гц, 2H), 2,19-2,10 (м, 2H).

xlix) 3-Метокси-5,6,7,8-тетрагидронафталин-2-сульфонилхлорид I109

Получали из 6-метокси-1,2,3,4-тетрагидронафталина и хлорсульфоновой кислоты в соответствии с процедурой, описанной для 6-метокси-2,3-дигидро-1H-инден-5-сульфонилхлорида I108, и использовали непосредственно на следующей стадии без очистки.

l) 4-Бром-2-метоксибензолсульфонилхлорид I110

К хлорсульфоновой кислоте (16 мл) при -5°C медленно добавляли 1-бром-3-метоксибензол (15,0 г, 80 ммоль) и перемешивали смесь при -5°C в течение 5 мин. Смесь выливали в ледяную воду (50 мл) и экстрагировали с использованием EtOAc (80 мл × 2). Объединенные органические экстракты промывали водой (150 мл × 3), сушили над безводным Na2SO4, фильтровали и концентрировали при пониженном давлении. Остаток очищали с помощью колоночной хроматографии (петр. эфир/EtOAc=50/1) с получением указанного в заголовке соединения (2,6 г, 17%) в виде твердого вещества желтого цвета, которое использовали непосредственно на следующей стадии.

li) 2,6-Диметоксибензолсульфонилхлорид I111

К раствору 1,3-диметоксибензола (5,0 г, 36 ммоль) и ТМЭДА (4,6 г, 39,8 ммоль) в н-гексане (100 мл) при 0°C в атмосфере N2 по каплям добавляли n-BuLi (2,5 M раствор в гексанах, 16,0 мл, 39,8 ммоль) при сохранении внутренней температуры реакции ниже 5 °C. Смесь перемешивали при 0°C в течение 20 мин, после чего охлаждали до -78°C и барботировали газообразным SO2 в течение 20 мин. После этого смесь оставляли медленно нагреваться до 10 °C, собирали полученный осадок с помощью фильтрации и промывали сухим диэтиловым эфиром. Твердое вещество суспендировали в н-гексане (100 мл), охлаждали до 0°C и добавляли по каплям раствор SO2Cl2 (4,9 г, 36 ммоль) в н-гексане (20 мл) при сохранении внутренней температуры ниже 3 °C. После этого смесь перемешивали при 0°C в течение 1 ч, твердые вещества собирали путем фильтрации и промывали холодным н-гексаном. Затем твердые вещества разделяли между диэтиловым эфиром и водой, разделяли слои и дополнительно экстрагировали водный слой диэтиловым эфиром. Объединенные органические экстракты сушили над безводным Na2SO4, фильтровали и концентрировали при пониженном давлении с получением указанного в заголовке соединения (4,0 г, 47%) в виде твердого вещества белого цвета. 1H ЯМР (400 MГц, CDCl3) δ 7,54 (т, J=8,4 Гц, 1H), 6,66 (д, J=8,4 Гц, 2H), 3,97 (с, 6H).

lii) 5-Этил-2-метоксибензолсульфонилхлорид I112

К хлорсульфоновой кислоте (20 мл) при 0°C добавляли по каплям 1-этил-4-метоксибензол (5,0 г, 37 ммоль), перемешивали смесь при к. т. в течение 2 ч, после чего выливали на лед и экстрагировали с использованием EtOAc (50 мл × 3). Объединенные органические экстракты сушили над безводным Na2SO4, фильтровали и концентрировали при пониженном давлении. Остаток очищали с помощью колоночной хроматографии (петр. эфир/EtOAc=от 100/1 до 30/1) с получением указанного в заголовке соединения (4,6 г, 53%) в виде твердого вещества белого цвета. ЖХМС-D: вр. уд. 2,70 мин; m/z 256,9 [M+Na]+.

liii) 2,4-Диметокси-[1,1'-бифенил]-3-сульфонилхлорид I114

a) 2,4-Диметокси-1,1'-бифенил I113

Суспензию 1-бром-2,4-диметоксибензола (5,0 г, 23,0 ммоль), фенилбороновой кислоты (3,4 г, 27,6 ммоль), Pd(PPh3)4 (1,3 г, 1,15 ммоль) и карбоната калия (7,3 г, 69,0 ммоль) в 1,4-диоксане (30 мл) и воде (6 мл) нагревали при 90°C в атмосфере N2 в течение 16 ч. Смесь фильтровали через слой целита и промывали EtOAc. Фильтрат разбавляли водой и экстрагировали с использованием EtOAc (30 мл × 3). Объединенные органические экстракты сушили над Na2SO4, фильтровали и концентрировали при пониженном давлении. Остаток очищали с помощью колоночной хроматографии (петр. эфир/EtOAc=от 100/1 до 10/1) с получением указанного в заголовке соединения (2,8 г, 57%) в виде масла желтого цвета. ЖХМС-D: вр. уд. 2,46 мин; m/z 215,0 [M+H]+.

b) 2,4-Диметокси-[1,1'-бифенил]-3-сульфонилхлорид I114

К раствору 2,4-диметокси-1,1'-бифенил I113 (1,0 г, 4,70 ммоль) и ТМЭДА (601 мг, 5,20 ммоль) в н-гексане (40 мл) при 0°C в атмосфере N2 по каплям добавляли n-BuLi (2,5 M раствор в гексанах, 2,1 мл, 5,20 ммоль) при сохранении внутренней температуры реакции ниже 5 °C. Смесь перемешивали при 0°C в течение 20 мин, после чего охлаждали до -70°C и барботировали газообразным SO2 в течение 20 мин. После этого смесь оставляли медленно нагреваться до 10 °C, собирали полученный осадок с помощью фильтрации и промывали сухим диэтиловым эфиром. Твердое вещество суспендировали в н-гексане (40 мл), охлаждали до 0°C и добавляли по каплям раствор SO2Cl2 (634 мг, 4,7 ммоль) в н-гексане (5 мл) при сохранении внутренней температуры ниже 3 °C. После этого смесь перемешивали при 0°C в течение 1 ч, твердые вещества собирали путем фильтрации и промывали холодным н-гексаном. Затем твердые вещества разделяли между диэтиловым эфиром и водой, разделяли слои и дополнительно экстрагировали водный слой диэтиловым эфиром. Объединенные органические экстракты сушили над Na2SO4, фильтровали и концентрировали при пониженном давлении с получением указанного в заголовке соединения (590 мг, 40%) в виде твердого вещества белого цвета. 1H ЯМР (400 MГц, ДМСО-d6) δ 7,48-7,35 (м, 4H), 7,34-7,21 (м, 2H), 6,87 (м, 1H), 3,76 (с, 3H), 3,29 (с, 3H).

liv) 3,5-Диметокси-[1,1'-бифенил]-4-сульфонилхлорид I116

a) 3,5-Диметокси-1,1'-бифенил I115

Суспензию 1-бром-3,5-диметоксибензола (5,0 г, 23,0 ммоль), фенилбороновой кислоты (2,8 г, 23,0 ммоль), Pd(dppf)Cl2 (0,57 г, 0,69 ммоль) и карбоната калия (4,8 г, 34,6 ммоль) в 1,4-диоксане (80 мл) и воде (20 мл) нагревали при 90°C в атмосфере N2 в течение 4 ч. Смесь разбавляли водой, экстрагировали с использованием EtOAc, объединенные органические экстракты сушили над Na2SO4, фильтровали и концентрировали при пониженном давлении. Остаток очищали с помощью колоночной хроматографии (петр. эфир/EtOAc=от 500/1 до 200/1 до 100/1) с получением указанного в заголовке соединения (5,2 г, 100%) в виде твердого вещества белого цвета. ЖХМС-C: вр. уд. 2,47 мин; m/z 215,0 [M+H]+.

b) 3,5-Диметокси-[1,1'-бифенил]-4-сульфонилхлорид I116

Получали из 3,5-диметокси-1,1'-бифенила I115 в соответствии с процедурой, описанной для 2,4-диметокси-[1,1'-бифенил]-3-сульфонилхлорида I114, 1H ЯМР (400 MГц, CDCl3) δ 7,62-7,55 (м, 2H), 7,54-7,44 (м, 3H), 6,81 (с, 2H), 4,04 (с, 6H).

lv) 4-Метокси-6-((2,2,2-трифторэтокси)метил)бензо[d]изоксазол-3-амин I118

a) 2-Фтор-6-метокси-4-((2,2,2-трифторэтокси)метил)бензонитрил I117

К раствору 2-фтор-4-(гидроксиметил)-6-метоксибензонитрила I7 (500 мг, 2,76 ммоль) в сухом ТГФ (50 мл) при 0°C в атмосфере N2 добавляли NaH (60 масс.% дисперсия в масле, 331 мг, 8,28 ммоль) с последующим добавлением 2,2,2-трифторэтил трифторметансульфоната (1,9 г, 8,28 ммоль) и перемешивали смесь при 0°C в течение 1 ч, после чего оставляли нагреться до к. т. и перемешивали в течение ночи. Смесь разбавляли водой и экстрагировали с использованием EtOAc. Органический экстракт промывали насыщенным солевым раствором, сушили над Na2SO4, фильтровали и концентрировали при пониженном давлении. Реакцию повторяли два раза с использованием 2-фтор-4-(гидроксиметил)-6-метоксибензонитрила I7 (100 мг, 0,55 ммоль), три партии объединяли и очищали с помощью колоночной хроматографии (петр. эфир/EtOAc=от 5/1 до 2/1) с получением указанного в заголовке соединения (577 мг, 57%) в виде твердого вещества белого цвета. ЖХМС-C: вр. уд. 2,43 мин; m/z 263,9 [M+H]+.

b) 4-Метокси-6-((2,2,2-трифторэтокси)метил)бензо[d]изоксазол-3-амин I118

Суспензию ацетогидроксамовой кислоты (86 мг, 1,14 ммоль) и t-BuOK (128 мг, 1,14 ммоль) в безводном ДМФ (10 мл) перемешивали при к. т. в течение 1 ч. Затем добавляли 2-фтор-6-метокси-4-((2,2,2-трифторэтокси)метил)бензонитрил I117 (100 мг, 0,38 ммоль) и перемешивали смесь при к. т. в течение ночи. Смесь разбавляли водой и экстрагировали с использованием EtOAc. Органический экстракт промывали насыщенным солевым раствором, сушили над Na2SO4, фильтровали и концентрировали при пониженном давлении. Соответственно изменяли масштаб реакции с использованием 2-фтор-6-метокси-4-((2,2,2-трифторэтокси)метил)бензонитрила I117 (400 мг, 1,52 ммоль), две партии объединяли и очищали с помощью колоночной хроматографии (петр. эфир/EtOAc=20/1 to 5/1) с получением указанного в заголовке соединения (350 мг, 67%) в виде твердого вещества желтого цвета. ЖХМС-C: вр.уд 2,08 мин; m/z 277,0 [M+H]+. 1H ЯМР (400 MГц, ДМСО-d6) δ 6,96 (с, 1H), 6,68 (с, 1H), 5,94 (с, 2H), 4,74 (с, 2H), 4,13 (к, J=9,4 Гц, 2H), 3,90 (с, 3H).

lvi) 6-(Дифторметокси)-4-метоксибензо[d]изоксазол-3-амин I121

a) 4-(Дифторметокси)-2,6-дифторбензонитрил I119

К суспензии KOH (22,0 г, 392 ммоль) в ацетонитриле (30 мл) и воде (30 мл) при -20°C порциями добавляли 2,6-дифтор-4-гидроксибензонитрил (3,1 г, 20,0 ммоль) с последующим добавлением диэтил (бромдифторметил)фосфоната (10,0 г, 37,4 ммоль), и перемешивали смесь при к. т. в течение ночи. Добавляли воду и экстрагировали смесь с использованием EtOAc (50 мл × 3). Объединенные органические экстракты промывали насыщенным солевым раствором, сушили над Na2SO4, фильтровали и концентрировали при пониженном давлении с получением указанного в заголовке соединения (4,0 г, 97%) в виде бесцветного масла. ЖХМС-C: вр. уд. 2,11 мин; m/z 205,9 [M+H]+.

b) 4-(Дифторметокси)-2-фтор-6-метоксибензонитрил I120

К раствору 4-(дифторметокси)-2,6-дифторбензонитрила I119 (2,52 г, 12,3 ммоль) в сухом ТГФ (30 мл) добавляли порциями NaOMe (1,32 г, 24,57 ммоль) и нагревали смесь при 40°C в течение ночи. Добавляли воду и экстрагировали смесь с использованием EtOAc (30 мл × 3). Объединенные органические экстракты промывали насыщенным солевым раствором, сушили над Na2SO4, фильтровали и концентрировали при пониженном давлении. Остаток очищали с помощью колоночной хроматографии (петр. эфир/EtOAc=от 10/1 до 5/1) с получением указанного в заголовке соединения (663 мг, 25%) в виде твердого вещества белого цвета. ЖХМС-C: вр. уд. 2,11 мин; m/z 217,9 [M+H]+.

c) 6-(Дифторметокси)-4-метоксибензо[d]изоксазол-3-амин I121

Суспензию ацетогидроксамовой кислоты (680 мг, 9,15 ммоль) и t-BuOK (1,03 г, 9,15 ммоль) в безводном ДМФ (50 мл) перемешивали при к. т. в течение 1 ч. Затем добавляли 5-(дифторметокси)-1-фтор-2-изоциано-3-метоксибензол I120 (663 мг, 3,05 ммоль) и перемешивали смесь при к. т. в течение ночи. Смесь разбавляли водой и экстрагировали с использованием EtOAc (30 мл × 3). Объединенные органические экстракты промывали насыщенным солевым раствором, сушили над Na2SO4, фильтровали и концентрировали при пониженном давлении. Остаток очищали с помощью колоночной хроматографии (петр. эфир/EtOAc=от 10/1 до 8/1) с получением указанного в заголовке соединения (186 мг, 26%) в виде твердого вещества светло-оранжевого цвета. ЖХМС-C: вр. уд. 1,14 мин; m/z 231,0 [M+H]+.

lviii) 5-Метил-6-(пиридин-2-ил)бензо[d]изоксазол-3-амин I124

a)2-Фтор-5-метил-4-(4,4,5,5-тетраметил-1,3,2-диоксаборолан-2-ил)бензонитрил I122

Смесь 4-бром-2-фтор-5-метилбензонитрила (500 мг, 2,34 ммоль), 4,4,4',4',5,5,5',5'-октаметил-2,2'-би(1,3,2-диоксаборолана) (1,78 г, 2,34 ммоль), ацетата калия (918 мг, 9,36 ммоль) и Pd(dppf)Cl2 (188 мг, 0,23 ммоль) в 1,4-диоксане (20 мл) нагревали при температуре кипения с обратным холодильником в атмосфере N2 в течение 3 ч. Смесь разбавляли водой, экстрагировали с использованием EtOAc (300 мл), промывали органический слой водой (50 мл × 3), сушили над Na2SO4, фильтровали и концентрировали при пониженном давлении с получением указанного в заголовке соединения (1,56 г, 88%), которое использовали на следующей стадии без дополнительной очистки. ЖХМС-C: вр. уд. 2,75 мин; m/z 262,0 [M+H]+.

b) 2-Фтор-5-метил-4-(пиридин-2-ил)бензонитрил I123

К раствору 2-фтор-5-метил-4-(4,4,5,5-тетраметил-1,3,2-диоксаборолан-2-ил)бензонитрила I122 (1,32 г, 5,1 ммоль) и 2-бромпиридина (1,69 г, 7,65 ммоль) в 1,4-диоксане (50 мл) и воде (10 мл) в атмосфере N2 добавляли Pd(PPh3)4 (589 мг, 0,5 ммоль) и Na2CO3 (2,16 г, 20,4 ммоль) и нагревали смесь при 100°C в течение 3 ч. Добавляли воду и экстрагировали смесь с использованием EtOAc. Объединенные органические экстракты промывали насыщенным солевым раствором, сушили над безводным Na2SO4, фильтровали и концентрировали при пониженном давлении. Остаток очищали с помощью колоночной хроматографии (петр. эфир/EtOAc=8/1 to 3/1) с получением указанного в заголовке соединения (440 мг, 88%) в виде твердого вещества красного цвета. ЖХМС-C: вр. уд. 1,09 мин; m/z 213,0 [M+H]+.

c) 5-Метил-6-(пиридин-2-ил)бензо[d]изоксазол-3-амин I124

Суспензию ацетогидроксамовой кислоты (255 мг, 3,39 ммоль) и t-BuOK (381 мг, 3,39 ммоль) в безводном ДМФ (30 мл) перемешивали при 0°C в течение 1 ч. Затем добавляли 2-фтор-5-метил-4-(пиридин-2-ил)бензонитрил I123 (240 мг, 1,13 ммоль), смесь оставляли нагреться до к. т. и перемешивали в течение ночи. Добавляли воду и экстрагировали смесь с использованием EtOAc (50 мл × 3). Объединенные органические экстракты промывали насыщенным солевым раствором, сушили над Na2SO4, фильтровали и концентрировали при пониженном давлении. Остаток очищали с помощью колоночной хроматографии (петр. эфир/EtOAc=от 8/1 до 3/1) с получением указанного в заголовке соединения (180 мг, 73%) в виде твердого вещества белого цвета. ЖХМС-C: вр. уд. 0,50 мин; m/z 226,0 [M+H]+.

lix) 7-Бром-5-метилбензо[d]изоксазол-3-амин I129

a) 3-Бром-2-фтор-5-метилбензойная кислота I125

К раствору 2-бром-1-фтор-4-метилбензола (10,0 г, 53 ммоль) и диизопропиламина (5,9 г, 58 ммоль) в безводном ТГФ (200 мл) при -78°C в атмосфере N2 по каплям добавляли n-BuLi (2,5 M раствор в гексанах, 25,6 мл, 64,0 ммоль) и перемешивали смесь при -78°C в течение 1 ч. Добавляли избыток твердого CO2 (сухой лед) и продолжали перемешивание при -78°C в течение 3 ч. Смесь разбавляли водой (500 мл) и экстрагировали с использованием EtOAc (500 мл). Органический слой промывали насыщенным солевым раствором, сушили над Na2SO4, фильтровали и концентрировали при пониженном давлении с получением указанного в заголовке соединения (12,3 г, 100%) в виде твердого вещества коричневого цвета, которое использовали на следующей стадии без дополнительной очистки. ЖХМС-C: вр. уд. 2,03 мин; m/z 232,8 [M+H]+.

b) 3-Бром-2-фтор-5-метилбензоилхлорид I126

К раствору 3-бром-2-фтор-5-метилбензойной кислоты I125 (12,3 г, 53 ммоль) и ДМФ (4 капли) в ДХМ (100 мл) при к. т. в атмосфере N2 по каплям добавляли оксалилхлорид (13,0 г, 106 ммоль) и перемешивали смесь в течение 2 ч. Смесь концентрировали при пониженном давлении с получением указанного в заголовке соединения (14,0 г, 100%) в виде твердого вещества коричневого цвета, которое использовали на следующей стадии без дополнительной очистки.

c) 3-Бром-2-фтор-5-метилбензамид I127

Раствор 3-бром-2-фтор-5-метилбензоилхлорида I126 (14,0 г, 53 ммоль) в ДХМ (100 мл) добавляли по каплям в 30% водный раствор гидроксида аммония (100 мл) и перемешивали смесь в течение 2 ч. Смесь разбавляли с использованием EtOAc (200 мл), промывали водой (200 мл × 3) и насыщенным солевым раствором, органический слой сушили над Na2SO4, фильтровали и концентрировали при пониженном давлении с получением указанного в заголовке соединения (12,0 г, 97%) в виде твердого вещества коричневого цвета, которое использовали на следующей стадии без дополнительной очистки. ЖХМС-C: вр. уд. 1,01 мин; m/z 231,9 [M+H]+.

d) 3-Бром-2-фтор-5-метилбензонитрил I128

Раствор 3-бром-2-фтор-5-метилбензамида I127 (10,0 г, 43,0 ммоль) и тионилхлорида (15,4 г, 129 ммоль) в ДМФ (100 мл) нагревали при 100°C в течение 3 ч. Смесь разбавляли с использованием EtOAc (200 мл), промывали водой (400 мл × 5) и насыщенным солевым раствором, органический слой сушили над Na2SO4, фильтровали и концентрировали при пониженном давлении с получением указанного в заголовке соединения (5,0 г, 54%) в виде твердого вещества коричневого цвета, которое использовали на следующей стадии без дополнительной очистки. ЖХМС-C: вр. уд. 2,50 мин; m/z 213,9 [M+H]+.

e) 7-Бром-5-метилбензо[d]изоксазол-3-амин I129

Суспензию ацетогидроксамовой кислоты (5,27 г, 70,2 ммоль) и t-BuOK (7,88 г, 70,2 ммоль) в безводном ДМФ (200 мл) перемешивали при 0°C в течение 1 ч. Затем добавляли 3-бром-2-фтор-5-метилбензонитрил I128 (5,0 г, 23,4 ммоль), оставляли смесь нагреться до к. т. и перемешивали в течение ночи. Смесь разбавляли с использованием EtOAc (300 мл), промывали водой (600 мл × 4) и насыщенным солевым раствором, органический слой сушили над Na2SO4, фильтровали и концентрировали при пониженном давлении. Остаток очищали с помощью колоночной хроматографии (петр. эфир/EtOAc=10/1) с получением указанного в заголовке соединения (2,8 г, 52%) в виде твердого вещества желтого цвета. ЖХМС-C: вр. уд. 0,50 мин; m/z 226,9 [M+H]+.

Синтез соединений по примерам

Примеры 1-45 (таблица A):

Метод AA

К раствору 4-хлорбензо[d]изоксазол-3-амина (50 мг, 0,297 ммоль) в ТГФ (3 мл) добавляли LiHMDS (1 M в ТГФ, 445 мкл, 0,445 ммоль) и перемешивали при комнатной температуре в течение 10 минут. Добавляли сульфонилхлорид (0,445 ммоль) и перемешивали реакцию в течение 16 часов при комнатной температуре. Объем летучих компонентов уменьшали приблизительно до 1 мл, после чего добавляли ДХМ (3 мл) и воду (3 мл) и перемешивали смесь в течение 10 минут. Смесь пропускали через фазоразделитель, затем загружали органическую фракцию в силикагелевый картридж, модифицированный амином 1 г (Biotage), промывали картридж с использованием MeOH (6 мл), после чего элюировали продукт раствором HCl (2 M, 1:1 метанол:1,4-диоксан 6 мл). Затем смывы HCl упаривали в вакууме с получением желаемого продукта.

Метод AB

К раствору 4-хлорбензо[d]изоксазол-3-амина (50 мг, 0,297 ммоль) в ТГФ (3 мл) добавляли LiHMDS (1 M в ТГФ, 445 мкл, 0,445 ммоль) и перемешивали при комнатной температуре в течение 10 минут. Добавляли сульфонилхлорид (0,445 ммоль) и перемешивали реакцию в течение 16 часов при комнатной температуре. Объем летучих компонентов уменьшали приблизительно до 1 мл, после чего добавляли ДХМ (3 мл) и воду (3 мл) и перемешивали смесь в течение 10 минут. Смесь пропускали через фазоразделитель, затем загружали органическую фракцию в силикагелевый картридж, модифицированный амином 1 г (Biotage), промывали картридж с использованием MeOH (6 мл), после чего элюировали продукт раствором HCl (2 M, 1:1 метанол:1,4-диоксан 6 мл). Затем смывы HCl упаривали в вакуумес получением неочищенного продукта, который загружали на силикагель и очищали с помощью колоночной хроматографии на силикагеле (Biotage Isolera, картридж SiO2, 0-100% EtOAc в петролейном бензине, 40-60 °C) с получением желаемого продукта.

Метод AC

К раствору 4-хлорбензо[d]изоксазол-3-амина (50 мг, 0,297 ммоль) в ТГФ (3 мл) добавляли LiHMDS (1 M в ТГФ, 445 мкл, 0,445 ммоль) и перемешивали при комнатной температуре в течение 10 минут. Добавляли сульфонилхлорид (0,445 ммоль) и перемешивали реакцию в течение 16 часов при комнатной температуре. Объем летучих компонентов уменьшали приблизительно до 1 мл, после чего добавляли ДХМ (3 мл) и воду (3 мл) и перемешивали смесь в течение 10 минут. Смесь пропускали через фазоразделитель, затем загружали органическую фракцию в силикагелевый картридж, модифицированный амином 1 г (Biotage), промывали картридж с использованием MeOH (10 мл), после чего элюировали продукт раствором HCl в метаноле (~1,25 M, 10 мл). Затем смывы HCl упаривали в вакууме с получением желаемого продукта.

Метод AD

Раствор 4-хлорбензо[d]изоксазол-3-амина (50 мг, 0,298 ммоль) и сульфонилхлорида (2 экв., 0,595 ммоль) в пиридине (1,5 мл) облучали в микроволновом реакторе в течение 2 часов при 100 °C. После охлаждения реакционную смесь загружали на силикагель и очищали с помощью колоночной хроматографии на силикагеле (Biotage Isolera, картридж SiO2 24 г, 0-100% EtOAc в петролейном бензине, 40-60 °C) с получением желаемого продукта.

Метод AE

Суспензию сульфонилхлорида (2 экв., 1,19 ммоль) и 4-хлорбензо[d]изоксазол-3-амина (100 мг, 0,593 ммоль) в пиридине (1,5 мл) облучали в микроволновом реакторе в течение 2 часов при 100 °C. После охлаждения смесь загружали на силикагель и очищали с помощью колоночной хроматографии на силикагеле (Biotage Isolera, картридж SiO2 24 г, 0-100% EtOAc в петролейном бензине, 40-60 °C, затем 0-40% MeOH в EtOAc) с получением желаемого продукта.

Метод AF

Суспензию сульфонилхлорида (2 экв., 1,19 ммоль) и 4-хлорбензо[d]изоксазол-3-амина (100 мг, 0,593 ммоль) в пиридине (1 мл) облучали в микроволновом реакторе в течение 1 часа при 80 °C. После охлаждения смесь загружали на силикагель и очищали с помощью колоночной хроматографии на силикагеле (Biotage Isolera, картридж SiO2 24 г, 0-100% EtOAc в петролейном бензине, 40-60 °C) с получением желаемого продукта.

Таблица A

Структура Название Аналити-ческие данные Метод 1 N-(4-хлорбензо [d]изоксазол-3-ил)-2-(метоксиметил) бензолсульфонамид ЖХМС-A: вр. уд. 6,538 мин, m/z 352,1 [M-H]- Метод AB 2 N-(4-хлорбензо
[d]изоксазол-3-ил)-3-(метоксиметил)
бензолсульфонамид
ЖХМС-A: вр. уд. 6,374 мин, m/z 353,1 [M+H]+ Метод AA
3 3,4-дихлор-N-(4-хлорбензо[d]изоксазол-3-ил)-2-метокси бензолсульфонамид ЖХМС-A: вр. уд. 6,751 мин, m/z 409,0 [M+H]+ Метод AA 4 N-(4-хлорбензо [d]изоксазол-3-ил)-2-феноксибензол сульфонамид ЖХМС-A: вр. уд. 6,745 мин, m/z 401,1 [M+H]+ Метод AA 5 N-(4-хлорбензо [d]изоксазол-3-ил)-5-фтор-2-метоксибензол сульфонамид ЖХМС-A: вр. уд. 6,360 мин, m/z 357,1 [M+H]+ Метод AA 6 N-(4-хлорбензо [d]изоксазол-3-ил)-2-метил-2H-бензо[d][1,2,3]триазол-4-сульфонамид ЖХМС-A: вр. уд. 6,200 мин, m/z 364,1 [M+H]+ Метод AA 7 N-(4-хлорбензо
[d]изоксазол-3-ил)бензо[c][1,2,5] тиадиазол-4-сульфонамид
ЖХМС-A: вр. уд. 6,346 мин, m/z 367,0 [M+H]+ Метод AA
8 N-(4-хлорбензо [d]изоксазол-3-ил)-2-гидроксибензо[d]оксазол-6-сульфонамид ЖХМС-A: вр. уд. 5,856 мин, m/z 364,0 [M-H]- Метод AA 9 4-(бензилокси)-N-(4-хлорбензо[d]изоксазол-3-ил)бензолсульфонамид ЖХМС-A: вр. уд. 6,764 мин, m/z 415,1 [M+H]+ Метод AA 10 N-(4-хлорбензо [d]изоксазол-3-ил)-2,5-бис(2,2,2-трифторэтокси) бензолсульфонамид ЖХМС-A: вр. уд. 6,785 мин, m/z 505,0 [M+H]+ Метод AA 11 N-(4-хлорбензо [d]изоксазол-3-ил)-2-(оксазол-5-ил)бензолсульфонамид ЖХМС-A: вр. уд. 6,322 мин, m/z 376,1 [M+H]+ Метод AA 12 метил 2-(N-(4-хлорбензо[d]изоксазол-3-ил)сульфамоил)бензоат ЖХМС-A: вр. уд. 6,484 мин, m/z 367,1 [M+H]+ Метод AA 13 N-(4-хлорбензо [d]изоксазол-3-ил)-3-метил-2-оксо-2,3-дигидробензо[d]оксазол-6-сульфонамид ЖХМС-A: вр. уд. 6,103 мин, m/z 378,0 [M-H]- Метод AA 14 N-(4-хлорбензо [d]изоксазол-3-ил)-3,4-дигидро-2H-бензо[b][1,4]диоксепин-7-сульфонамид ЖХМС-A: вр. уд. 6,362 мин, m/z 381,1 [M+H]+ Метод AA 15 N-(4-хлорбензо [d]изоксазол-3-ил)бензо [d]тиазол-4-сульфонамид ЖХМС-A: вр. уд. 6,212 мин, m/z 366,0 [M+H]+ Метод AA 16 N-(4-хлорбензо [d]изоксазол-3-ил)бензо[c][1,2,5] оксадиазол-4-сульфонамид ЖХМС-A: вр. уд. 6,973 мин, m/z 351,0 [M+H]+ Метод AA 17 N-(4-хлорбензо[d]изоксазол-3-ил)-4-(4-фторфенокси) бензолсульфонамид ЖХМС-A: вр. уд. 6,781 мин, m/z 419,1 [M+H]+ Метод AA 18 N-(4-хлорбензо [d]изоксазол-3-ил)-2-метил-5-(2-метилоксазол-5-ил)бензолсульфонамид ЖХМС-A: вр. уд. 6,410 мин, m/z 404,1 [M+H]+ Метод AA 19 N-(4-хлорбензо [d]изоксазол-3-ил)-5-(изоксазол-5-ил)-2-метилбензолсульфонамид ЖХМС-A: вр. уд. 6,542 мин, m/z 390,1 [M+H]+ Метод AA 20 N-(4-хлорбензо [d]изоксазол-3-ил)-2-метил-5-(1H-пиразол-1-ил)бензолсульфонамид ЖХМС-A: вр. уд. 6,493 мин, m/z 389,1 [M+H]+ Метод AA 21 N-(4-хлорбензо [d]изоксазол-3-ил)-4-(метилсульфонил) бензолсульфонамид ЖХМС-A: вр. уд. 6,317 мин, m/z 385,0 [M-H]- Метод AA 22 N-(4-хлорбензо [d]изоксазол-3-ил)-4-изопропилбензол сульфонамид ЖХМС-A: вр. уд. 6,745 мин, m/z 351,1 [M+H]+ Метод AA 23 N-(4-хлорбензо [d]изоксазол-3-ил)-4-(трифторметокси)бензолсульфонамид ЖХМС-A: вр. уд. 6,763 мин, m/z 391,0 [M-H]- Метод AA 24 N-(4-хлорбензо [d]изоксазол-3-ил)-4-изопропоксибензолсульфонамид ЖХМС-A: вр. уд. 6,620 мин, m/z 367,1 [M+H]+ Метод AA 25 4-(трет-бутил)-N-(4-хлорбензо[d]изоксазол-3-ил)бензолсульфонамид ЖХМС-A: вр. уд. 6,826 мин, m/z 365,1 [M+H]+ Метод AA 26 4-хлор-N-(4-хлорбензо[d]изоксазол-3-ил)бензолсульфонамид ЖХМС-A: вр. уд. 6,614 мин, m/z 343,0, 345,0 [M+H]+ Метод AA 27 N-(4-хлорбензо [d]изоксазол-3-ил)-4-метилбензолсульфонамид ЖХМС-A: вр. уд. 6,447 мин, m/z 321,0 [M-H]- Метод AC 28 N-(4-хлорбензо [d]изоксазол-3-ил)-4-(1H-пиразол-1-ил)бензолсульфонамид ЖХМС-A: вр. уд. 6,321 мин, m/z 375,1 [M+H]+ Метод AC 29 N-(4-хлорбензо [d]изоксазол-3-ил)-2,6-дифторбензол сульфонамид ЖХМС-A: вр. уд. 6,657 мин, m/z 343,0 [M-H]- Метод AC 30 N-(4-хлорбензо [d]изоксазол-3-ил)-2-фторбензолсульфонамид ЖХМС-A: вр. уд. 6,389 мин, m/z 327,0 [M+H]+ Метод AC 31 3-хлор-N-(4-хлорбензо[d]изоксазол-3-ил)-4-метилбензолсульфонамид ЖХМС-A: вр. уд. 6,808 мин, m/z 355,0, 357,0 [M-H]- Метод AC 32 4-бром-N-(4-хлорбензо[d]изоксазол-3-ил)-2-(трифторметокси) бензолсульфонамид ЖХМС-A: вр. уд. 7,440 мин, m/z 468,9, 470,9 [M-H]- Метод AC 33 N-(4-хлорбензо [d]изоксазол-3-ил)-2-метокси-4,5-диметилбензолсульфонамид ЖХМС-A: вр. уд. 6,538 мин, m/z 367,1 [M+H]+ Метод AC 34 N-(4-хлорбензо [d]изоксазол-3-ил)-4-(дифторметокси) бензолсульфонамид ЖХМС-A: вр. уд. 6,487 мин, m/z 373,0 [M-H]- Метод AC 35 N-(4-хлорбензо [d]изоксазол-3-ил)-4-(пентафтор-λ6-сульфанил)бензол сульфонамид ЖХМС-A: вр. уд. 7,021 мин; m/z 435,0 [M+H]+ Метод AD 36 N-(4-хлорбензо [d]изоксазол-3-ил)-3-(пентафтор-λ6-сульфанил)бензол сульфонамид ЖХМС-A: вр. уд. 7,219 мин; m/z 435,0 [M+H]+ Метод AD 37 N-(4-хлорбензо [d]изоксазол-3-ил)-5-изопропил-2-метокси-4-метилбензолсульфонамид ЖХМС-A: вр. уд. 7,537 мин; m/z 395,1 [M+H]+ Метод AD 38 N-(4-хлорбензо [d]изоксазол-3-ил)-2-(дифторметокси) бензолсульфонамид ЖХМС-A: вр. уд. 6,695 мин; m/z 375,0 [M+H]+ Метод AD 39 N-(4-хлорбензо [d]изоксазол-3-ил)-2,3-дигидробензо[b][1,4] диоксин-5-сульфонамид ЖХМС-A: вр. уд. 6,620 мин; m/z 367,0 [M+H]+ Метод AD 40 5-(трет-бутил)-N-(4-хлорбензо[d]изоксазол-3-ил)-2-метоксибензолсульфонамид ЖХМС-B: вр. уд. 3,876 мин, m/z 395,2 [M+H]+ Метод AD 41 N-(4-хлорбензо [d]изоксазол-3-ил)-5-изопропил-2-метоксибензолсульфонамид ЖХМС-A: вр. уд. 6,684 мин, m/z 381,1 [M+H]+ Метод AD 42 N-(4-хлорбензо [d]изоксазол-3-ил)-5,6,7,8-тетрагидронафталин-2-сульфонамид ЖХМС-B: вр. уд. 3,859 мин, m/z 363,1 [M+H]+ Метод AD 43 N-(4-хлорбензо [d]изоксазол-3-ил)-[1,1'-бифенил]-3-сульфонамид ЖХМС-B: вр. уд. 3,823 мин, m/z 385,1 [M+H]+ Метод AD 44 N-(4-хлорбензо [d]изоксазол-3-ил)-2,3-дигидро-1H-инден-5-сульфонамид ЖХМС-B: вр. уд. 3,785 мин, m/z 349,1 [M+H]+ Метод AE 45 5-бром-N-(4-хлорбензо[d]изоксазол-3-ил)-2-метоксибензолсульфонамид ЖХМС-B: вр. уд. 3,752 мин, m/z 417,0, 419,0 [M+H]+ Метод AF

Примеры 46-71 (таблица D):

Метод BA

Смесь бензо[d]изоксазол-3-амина и сульфонилхлорида в пиридине (1 мл) перемешивали при комнатной температуре в течение 16 часов. Реакционную смесь концентрировали, разводили 5% водным раствором HCl (1 мл) и обрабатывали ультразвуком в течение минимум 30 минут. Полученный осадок собирали с помощью фильтрации или экстрагирования с использованием ДХМ (2 × 1 мл) и очищали с помощью колоночной хроматографии на силикагеле (градиент EtOAc/петролейный бензин 40-60 °C) или препаративной ВЭЖХ с разделением по массе с получением желаемого продукта. Информацию о компонентах реакции и используемых количествах, а также об условия очистки см. в таблице B.

Метод BB

Смесь бензо[d]изоксазол-3-амина и сульфонилхлорида в пиридине (0,5 мл) перемешивали при комнатной температуре в течение 64 часов. Реакционную смесь концентрировали, разводили 5% водным раствором HCl (1 мл) и обрабатывали ультразвуком в течение минимум 30 минут. Полученный осадок собирали с помощью фильтрации, и часть неочищенного материала (50 мг или менее) очищали с помощью препаративной ВЭЖХ с разделением по массе с получением желаемого продукта. Информацию о компонентах реакции и используемых количествах см. в таблице B.

Метод BC

Смесь бензо[d]изоксазол-3-амина и сульфонилхлорида в пиридине (0,5 мл) перемешивали при комнатной температуре в течение 16 часов. Реакционную смесь концентрировали, разводили 5% водным раствором HCl (1 мл) и обрабатывали ультразвуком в течение минимум 30 минут. Полученный осадок собирали с помощью фильтрации, и часть неочищенного материала (50 мг или менее) очищали с помощью препаративной ВЭЖХ с разделением по массе с получением желаемого продукта. Информацию о компонентах реакции и используемых количествах см. в таблице B.

Таблица B

Продукт Бензолсульфонилхлорид Бензо[d] изоксазол-3-амин Метод/обра-ботка/метод очистки Структура и название Масса (г) Моли (ммоль) Масса (г) Моли (ммоль) 46 0,143 0,602 0,030 0,23 Метод BA/фильтрация/колоночная хроматография, градиент 0-45% 47 0,150 0,682 0,031 0,23 Метод BA/фильтрация/колоночная хроматография, градиент 0-40% 48 0,148 0,563 0,033 0,25 Метод BA/фильтрация/колоночная хроматография, градиент 0-40% 49 0,140 0,561 0,031 0,23 Метод BA/фильтрация/
колоночная хроматография, градиент 0-40%
50 0,142 0,535 0,030 0,22 Метод BA/фильтрация/
колоночная хроматография, градиент 0-100%
51 0,156 0,611 0,033 0,24 Метод BA/фильтрация/
колоночная хроматография, градиент 0-100%
52 0,036 0,180 0,028 0,21 Метод BA/ДХМ экстракция/колоночная хроматография, градиент 0-50% 53 0,074 0,360 0,032 0,24 Метод BA/ДХМ экстракция/колоночная хроматография, градиент 0-50% 54 0,148 0,54 0,034 0,25 Метод BA/фильтрация/
колоночная хроматография, градиент 0-100%
55 0,158 0,58 0,030 0,22 Метод BA/фильтрация/
колоночная хроматография, градиент 0-100%
56 0,063 0,27 0,030 0,22 Метод BA/ДХМ экстракция/колоночная хроматография, градиент 0-100% 57 0,170 0,68 0,027 0,20 Метод BA/фильтрация/
колоночная хроматография, градиент 0-40%. Растертое минимальное количество ацетона, продукт содержал ок. 10% побочного продукта сульфоновой кислоты
58 0,101 0,488 0,029 0,21 Метод BA/фильтрация/ВЭЖХ с разделением по массе 59 0,105 0,466 0,033 0,25 Метод BB 60 0,171 0,698 0,032 0,24 Метод BB 61 0,100 0,640 0,032 0,24 Метод BB 62 0,170 0,694 0,031 0,23 Метод BB 63 0,107 0,454 0,033 0,25 Метод BC 64 0,120 0,553 0,029 0,22 Метод BC 65 0,103 0,447 0,032 0,24 Метод BC 66 0,111 0,490 0,030 0,23 Метод BC 67 0,1025 0,396 0,033 0,25 Метод BC 68 0,111 0,432 0,033 0,25 Метод BB

Метод CA

Смесь бензо[d]изоксазол-3-амина и сульфонилхлорида в пиридине (1 мл) перемешивали при комнатной температуре в течение 16 часов, после чего добавляли вторую часть бензолсульфонилхлорида и перемешивали еще дополнительно 64 часа. Реакционную смесь концентрировали, разводили 5% водным раствором HCl (1 мл) и обрабатывали ультразвуком в течение минимум 30 минут. Полученный осадок собирали с помощью фильтрации и очищали либо с помощью препаративной ВЭЖХ с разделением по массе (до 50 мг неочищенного материала) или с помощью колоночной хроматографии на силикагеле (0-40% EtOAc/петролейный бензин, 40-60 °C) с получением желаемого продукта. Информацию о компонентах реакции и используемых количествах, а также об условия очистки см. в таблице C.

Таблица C

Продукт Бензолсульфонилхлорид (добавляли 2 частями) Бензо[d] изоксазол-3-амин Метод/метод очистки Структура и название Часть Масса (г) Моли (ммоль) Масса (г) Моли (ммоль) 69 1-я 0,117 0,463 0,060 0,45 Метод CA/ ВЭЖХ с разделением по массе 2-я 0,103 0,408 70 1-я 0,092 0,36 0,052 0,39 Метод CA/колоночная хроматография 2-я 0,088 0,35 71 1-я 0,103 0,398 0,065 0,48 Метод CA/колоночная хроматография 2-я 0,101 0,390

Таблица D

Структура Название Аналитические данные 46 N-(бензо[d]изоксазол-3-ил)-2,5-диметоксибензол-сульфонамид ЖХМС-B: вр. уд. 3,560 мин; m/z 335,1 [M+H]+; 1H ЯМР (400 MГц, ацетон-d6) δ 10,01 (шир. с, 1H), 8,14-8,06 (м, 1H), 7,64 (ддд, J=8,3, 7,0, 1,2 Гц, 1H), 7,55 (дт, J=8,5, 0,8 Гц, 1H), 7,43-7,36 (м, 2H), 7,17 (дд, J=9,1, 2,9 Гц, 1H), 7,13 (д, J=8,8 Гц, 1H), 3,82 (с, 3H), 3,77 (с, 3H) 47 N-(бензо[d]изоксазол-3-ил)-2-метокси-5-метилбензолсульфонамид ЖХМС-B: вр. уд. 3,585 мин; m/z 319,1 [M+H]+; 1H ЯМР (400 MГц, ацетон-d6) δ 9,94 (шир. с, 1H), 8,14-8,06 (м, 1H), 7,70-7,65 (м, 1H), 7,63 (ддд, J=8,3, 7,0, 1,2 Гц, 1H), 7,54 (дт, J=8,5, 0,8 Гц, 1H), 7,43-7,36 (м, 2H), 7,08 (д, J=8,5 Гц, 1H), 3,84 (с, 3H), 2,28 (с, 3H). 48 N-(бензо[d]изоксазол-3-ил)-5-(трет-бутил)-2-метоксибензолсульфонамид ЖХМС-B: вр. уд. 3,806 мин; m/z 361,2 [M+H]+; 1H ЯМР (400 MГц, ацетон-d6) δ 10,00 (шир. с, 1H), 8,13-8,08 (м, 1H), 7,91 (д, J=2,5 Гц, 1H), 7,66-7,60 (м, 2H), 7,55-7,51 (м, 1H), 7,38 (ддд, J=8,0, 7,0, 0,9 Гц, 1H), 7,10 (д, J=8,7 Гц, 1H), 3,83 (с, 3H), 1,26 (с, 9H) 49 N-(бензо[d]изоксазол-3-ил)-5-изопропил-2-метоксибензолсульфонамид ЖХМС-B: вр. уд. 3,744 мин; m/z 347,2 [M+H]+; 1H ЯМР (400 MГц, ацетон-d6) δ 9,97 (шир. с, 1H), 8,12-8,08 (м, 1H), 7,75 (д, J=2,4 Гц, 1H), 7,63 (ддд, J=8,4, 7,0, 1,2 Гц, 1H), 7,53 (дт, J=8,5, 0,9 Гц, 1H), 7,48 (ддд, J=8,5, 2,4, 0,6 Гц, 1H), 7,38 (ддд, J=8,0, 7,0, 0,9 Гц, 1H), 7,10 (д, J=8,6 Гц, 1H), 3,84 (с, 3H), 2,95-2,87 (м, 1H), 1,18 (д, J=6,9 Гц, 6H) 50 метил 3-(N-(бензо[d] изоксазол-3-ил)сульфамоил)-4-метокси бензоат ЖХМС-A: вр. уд. 6,024 мин; m/z 363,1 [M+H]+; 1H ЯМР (400 MГц, ацетон-d6) δ 10,24 (шир. с, 1H), 8,55 (д, J=2,2 Гц, 1H), 8,24 (дд, J=8,8, 2,2 Гц, 1H), 8,09 (дт, J=8,1, 1,0 Гц, 1H), 7,66 (ддд, J=8,4, 7,0, 1,2 Гц, 1H), 7,57 (дт, J=8,5, 0,8 Гц, 1H), 7,42 (ддд, J=8,0, 7,0, 0,9 Гц, 1H), 7,35 (д, J=8,8 Гц, 1H), 4,00 (с, 3H), 3,89 (с, 3H) 51 N-(бензо[d]изоксазол-3-ил)-5-хлор-2-метокси-4-метилбензолсульфонамид ЖХМС-B: вр. уд. 3,738 мин; m/z 353,1/355,1 [M+H]+; 1H ЯМР (400 MГц, ацетон-d6) δ 8,10-8,06 (м, 1H), 7,81 (с, 1H), 7,65 (ддд, J=8,3, 7,0, 1,2 Гц, 1H), 7,58-7,54 (м, 1H), 7,43-7,37 (м, 1H), 7,21 (с, 1H), 3,87 (с, 3H), 2,38 (с, 3H) 52 N-(бензо[d]изоксазол-3-ил)-3-этилбензол сульфонамид ЖХМС-B: вр. уд. 3,707 мин; m/z 303,2 [M+H]+; 1H ЯМР (400 MГц, ацетон-d6) δ 8,02-7,97 (м, 1H), 7,85-7,82 (м, 1H), 7,82-7,78 (м, 1H), 7,68-7,62 (м, 1H), 7,59-7,55 (м, 1H), 7,54-7,45 (м, 2H), 7,41-7,35 (м, 1H), 2,70 (к, J=7,6 Гц, 2H)*, 1,19 (т, J=7,6 Гц, 3H). * Частично перекрывается с водным пиком 53 N-(бензо[d]изоксазол-3-ил)-4-этилбензолсульфонамид ЖХМС-B: вр. уд. 3,690 мин; m/z 303,1 [M+H]+; 1H ЯМР (400 MГц, ацетон-d6) δ 8,03-7,98 (м, 1H), 7,93-7,89 (м, 2H), 7,65 (ддд, J=8,2, 7,0, 1,1 Гц, 1H), 7,60-7,55 (м, 1H), 7,46-7,41 (м, 2H), 7,41-7,36 (м, 1H), 2,71 (к, J=7,6 Гц, 2H)*, 1,21 (т, J=7,6 Гц, 3H). * Частично перекрывается с водным пиком 54 N-(бензо[d]изоксазол-3-ил)-2-метокси-5-(1H-пиразол-1-ил)бензол сульфонамид ЖХМС-B: вр. уд. 3,554 мин; m/z 371,1 [M+H]+; 1H ЯМР (400 MГц, ацетон-d6) δ 8,36 (д, J=2,8 Гц, 1H), 8,33-8,31 (м, 1H), 8,13-8,07 (м, 1H), 8,05 (дд, J=9,0, 2,8 Гц, 1H), 7,68-7,61 (м, 2H), 7,56-7,52 (м, 1H), 7,40 (ддд, J=8,0, 7,1, 0,8 Гц, 1H), 7,33 (д, J=9,0 Гц, 1H), 6,49 (дд, J=2,5, 1,7 Гц, 1H), 3,93 (с, 3H). 55 N-(бензо[d]изоксазол-3-ил)-5-(изоксазол-5-ил)-2-метоксибензолсульфонамид ЖХМС-B: вр. уд. 3,516 мин; m/z 372,1 [M+H]+; 1H ЯМР (400 MГц, ацетон-d6) δ 8,46 (д, J=1,9 Гц, 1H), 8,36 (д, J=2,3 Гц, 1H), 8,13-8,07 (м, 2H), 7,63 (ддд, J=8,3, 7,1, 1,2 Гц, 1H), 7,56-7,52 (м, 1H), 7,43-7,36 (м, 2H), 6,90 (д, J=1,9 Гц, 1H), 3,97 (с, 3H) 56 N-(бензо[d]изоксазол-3-ил)-2,5-диэтилбензолсульфонамид ЖХМС-B: вр. уд. 3,801 мин; m/z 331,2 [M+H]+; 1H ЯМР (400 MГц, ацетон-d6) δ 8,01-7,97 (м, 1H), 7,95-7,92 (м, 1H), 7,66-7,61 (м, 1H), 7,57-7,52 (м, 1H), 7,45-7,41 (м, 1H), 7,40-7,34 (м, 2H), 3,10 (к, J=7,5 Гц, 2H)*, 2,66 (к, J=7,5 Гц, 2H)*, 1,22 (т, J=7,5 Гц, 3H), 1,17 (т, J=7,6 Гц, 3H). * Частично перекрывается с водным пиком 57 N-(бензо[d]изоксазол-3-ил)-2-этокси-5-этилбензолсульфонамид ЖХМС-B: вр. уд. 3,763 мин; m/z 347,2 [M+H]+; 1H ЯМР (400 MГц, ацетон-d6) δ 9,78 (шир. с, 1H), 8,13-8,08 (м, 1H), 7,74 (д, J=2,3 Гц, 1H), 7,63 (ддд, J=8,3, 7,0, 1,2 Гц, 1H), 7,56-7,52 (м, 1H), 7,44-7,41 (м, 1H), 7,38 (ддд, J=8,0, 7,1, 0,8 Гц, 1H), 7,09 (д, J=8,5 Гц, 1H), 4,16 (к, J=7,0 Гц, 2H), 1,29 (т, J=7,0 Гц, 3H), 1,16 (т, J=7,6 Гц, 3H). NB: около 10% примесей сульфоновой кислоты 58 N-(бензо[d]изоксазол-3-ил)-2-метоксибензолсульфонамид ВЭЖХ-МС: вр. уд. 5,11 мин; m/z 305,2 [M+H]+; 1H ЯМР (400 MГц, ацетон-d6) δ 10,35-9,70 (шир. с, 1H), 8,12-8,08 (м, 1H), 7,90-7,86 (дд, J=7,9, 1,7 Гц, 1H), 7,66-7,58 (м, 2H), 7,56-7,52 (м, 1H), 7,41-7,36 (ддд, J=8,0, 7,0, 0,9 Гц, 1H), 7,21-7,17 (дд, J=8,4, 0,8 Гц, 1H), 7,09-7,03 (м, 1H), 3,90-3,87 (с, 3H). 59 N-(бензо[d]изоксазол-3-ил)-3-хлор-2-метилбензолсульфонамид ВЭЖХ-МС: вр. уд. 6,38 мин; m/z 323,22/325,17 [M+H]+; 1H ЯМР (400 MГц, ацетон-d6) δ 11,10-10,01 (шир. с, 1H), 8,15-8,10 (дд, J=8,0, 1,0 Гц, 1H), 8,02-7,97 (м, 1H), 7,74-7,69 (м, 1H), 7,68-7,62 (ддд, J=8,3, 7,0, 1,2 Гц, 1H), 7,59-7,54 (м, 1H), 7,46-7,41 (м, 1H), 7,41-7,37 (ддд, J=8,0, 7,0, 0,9 Гц, 1H), 2,77-2,74 (с, 3H) 60 N-(бензо[d]изоксазол-3-ил)-2,3-дихлорбензолсульфонамид ВЭЖХ-МС: вр. уд. 6,27 мин; m/z 343,13/345,15/347,10 [M+H]+;1H ЯМР (400 MГц, ацетон-d6) δ 8,25-8,22 (дд, J=8,0, 1,5 Гц, 1H), 8,06-8,02 (м, 1H), 7,93-7,90 (дд, J=8,1, 1,5 Гц, 1H), 7,69-7,64 (ддд, J=8,3, 7,0, 1,2 Гц, 1H), 7,64-7,59 (м, 1H), 7,59-7,55 (м, 1H), 7,44-7,38 (ддд, J=8,0, 7,0, 0,9 Гц, 1H) 61 N-(бензо[d]изоксазол-3-ил)-3,4-дихлорбензолсульфонамид ВЭЖХ-МС: вр. уд. 6,62 мин; m/z 343,13/345,15/347,10 [M+H]+;1H ЯМР (400 MГц, ацетон-d6) δ 8,19-8,17 (д, J=2,1 Гц, 1H), 7,99-7,94 (м, 2H), 7,85-7,82 (д, J=8,5 Гц, 1H), 7,70-7,65 (ддд, J=8,2, 7,0, 1,2 Гц, 1H), 7,62-7,58 (м, 1H), 7,43-7,37 (ддд, J=8,0, 7,0, 0,9 Гц, 1H) 62 N-(бензо[d]изоксазол-3-ил)-2,4-дихлорбензолсульфонамид ВЭЖХ-МС: вр. уд. 6,42 мин; m/z 343,13/345,15/347,16 [M+H]+;1H ЯМР (400 MГц, ацетон-d6) δ 8,26-8,22 (д, J=8,6 Гц, 1H), 8,06-8,02 (м, 1H), 7,75-7,72 (д, J=2,0 Гц, 1H), 7,70-7,63 (м, 2H), 7,60-7,56 (м, 1H), 7,44-7,38 (ддд, J=8,0, 7,0, 0,9 Гц, 1H) 63 N-(бензо[d]изоксазол-3-ил)-5-этил-2-метоксибензолсульфонамид ВЭЖХ-МС: вр. уд. 5,39 мин; m/z 333,2 [M+H]+;1H ЯМР (400 MГц, ацетон-d6) δ 10,19-9,73 (шир. с, 1H), 8,13-8,08 (ддд, J=8,1, 1,0, 1,0 Гц, 1H), 7,73-7,69 (д, J=2,3 Гц, 1H), 7,66-7,60 (ддд, J=8,3, 7,0, 1,2 Гц, 1H), 7,56-7,52 (ддд, J=8,5, 0,8, 0,8 Гц, 1H), 7,47-7,42 (дд, J=8,5, 2,3 Гц, 1H), 7,42-7,36 (ддд, J=8,0, 7,0, 0,9 Гц, 1H), 7,13-7,07 (д, J=8,5 Гц, 1H), 3,86-3,82 (с, 3H), 2,65-2,56 (к, J=7,6 Гц, 2H), 1,18-1,12 (т, J=7,6 Гц, 3H) 64 N-(бензо[d]изоксазол-3-ил)-2,3-дигидро-1H-инден-5-сульфонамид ВЭЖХ-МС: вр. уд. 5,45 мин; m/z 315,2 [M+H]+;1H ЯМР (400 MГц, ацетон-d6) δ 10,80-9,43 (шир. с, 1H), 8,04-7,99 (ддд, J=8,1, 1,0, 1,0 Гц, 1H), 7,84-7,80 (м, 1H), 7,78-7,73 (м, 1H), 7,68-7,62 (ддд, J=8,3, 7,0, 1,2 Гц, 1H), 7,60-7,54 (ддд, J=8,5, 0,8, 0,8 Гц, 1H), 7,42-7,35 (м, 2H), 2,97-2,88 (т, J=7,5 Гц, 4H), 2,12-2,05 (дд, J=15,0, 7,6 Гц, 2H). 65 N-(бензо[d]изоксазол-3-ил)-5,6,7,8-тетрагидронафталин-2-сульфонамид ВЭЖХ-МС: вр. уд. 5,57 мин; m/z 329,5 [M+H]+;1H ЯМР (400 MГц, ацетон-d6) δ 10,44-9,90 (шир. с, 1H), 8,03-7,98 (ддд, J=8,1, 1,1, 1,1 Гц, 1H), 7,69-7,63 (м, 3H), 7,60-7,55 (ддд, J=8,5, 0,8, 0,8 Гц, 1H), 7,42-7,36 (ддд, J=8,0, 7,0, 0,9 Гц, 1H), 7,25-7,20 (д, J=8,3 Гц, 1H), 2,81-2,76 (м, 4H), 1,83-1,73 (м, 4H). 66 N-(бензо[d]изоксазол-3-ил)нафталин-2-сульфонамид ВЭЖХ-МС: вр. уд. 5,46 мин; m/z 325,1 [M+H]+;1H ЯМР (400 MГц, ацетон-d6) δ 11,03-9,58 (шир. с, 1H), 8,66-8,62 (м, 1H), 8,15-8,11 (м, 1H), 8,11-8,08 (д, J=8,9 Гц, 1H), 8,04-7,98 (м, 3H), 7,73-7,60 (м, 3H), 7,56-7,52 (ддд, J=8,5, 0,8, 0,8 Гц, 1H), 7,41-7,35 (ддд, J=8,0, 7,0, 0,9 Гц, 1H). 67 N-(бензо[d]изоксазол-3-ил)-3-(5-метил-1,3,4-оксадиазол-2-ил)бензолсульфонамид ВЭЖХ-МС: вр. уд. 5,00 мин; m/z 357,7 [M+H]+;1H ЯМР (400 MГц, ацетон-d6) δ 8,62-8,61 (дд, J=1,6, 1,6 Гц, 1H), 8,29-8,26 (ддд, J=7,8, 1,4, 1,4 Гц, 1H), 8,23-8,19 (ддд, J=8,0, 1,8, 1,1 Гц, 1H), 7,99-7,96 (ддд, J=8,1, 0,9, 0,9 Гц, 1H), 7,85-7,80 (дд, J=7,9, 7,9 Гц, 1H), 7,67-7,63 (ддд, J=8,3, 7,0, 1,2 Гц, 1H), 7,58-7,55 (м, 1H), 7,41-7,36 (ддд, J=7,9, 7,0, 0,8 Гц, 1H), 2,63-2,60 (с, 3H). 68 N-(бензо[d]изоксазол-3-ил)-5-бромпиридин-2-сульфонамид ЖХМС-B: вр. уд. 3,583 мин; m/z 354/356 [M+H]+;1H ЯМР (400 MГц, ацетон-d6) δ 11,19-10,23 (шир. с, 1H), 8,81-8,78 (дд, J=2,3, 0,7 Гц, 1H), 8,38-8,34 (дд, J=8,4, 2,3 Гц, 1H), 8,15-8,10 (дд, J=8,4, 0,7 Гц, 1H), 8,06-8,01 (ддд, J=8,1, 1,0, 1,0 Гц, 1H), 7,69-7,64 (ддд, J=8,3, 7,0, 1,2 Гц, 1H), 7,59-7,56 (ддд, J=8,5, 0,8, 0,8 Гц, 1H), 7,43-7,38 (ддд, J=8,0, 7,0, 0,9 Гц, 1H). 69 N-(бензо[d]изоксазол-3-ил)-[1,1'-бифенил]-4-сульфонамид ВЭЖХ-МС: вр. уд. 6,62 мин; m/z 351,19 [M+H]+;1H ЯМР (400 MГц, ацетон-d6) δ 8,11-8,06 (м, 2H), 8,04-8,00 (м, 1H), 7,90-7,85 (м, 2H), 7,76-7,68 (м, 2H), 7,66 (ддд, J=8,3, 7,0, 1,2 Гц, 1H), 7,58 (дт, J=8,5, 0,8 Гц, 1H), 7,53-7,47 (м, 2H), 7,46-7,37 (м, 2H). 70 N-(бензо[d]изоксазол-3-ил)-[1,1'-бифенил]-3-сульфонамид ЖХМС-B: вр. уд. 3,754 мин; m/z 351,1 [M+H]+;1H ЯМР (400 MГц, ацетон-d6) δ 8,29-8,26 (м, 1H), 8,03-8,00 (м, 1H), 7,97 (дддд, J=9,0, 7,8, 1,8, 0,9 Гц, 2H), 7,72-7,63 (м, 4H), 7,58 (дт, J=8,5, 0,8 Гц, 1H), 7,54-7,48 (м, 2H), 7,46-7,37 (м, 2H) 71 N-(бензо[d]изоксазол-3-ил)-4-циклогексил бензолсульфонамид ЖХМС-B: вр. уд. 3,999 мин; m/z 357,1 [M+H]+;1H ЯМР (400 MГц, ацетон-d6) δ 8,02-7,98 (м, 1H), 7,93-7,89 (м, 2H), 7,65 (ддд, J=8,3, 7,0, 1,2 Гц, 1H), 7,59-7,55 (м, 1H), 7,47-7,43 (м, 2H), 7,38 (ддд, J=8,0, 7,0, 0,9 Гц, 1H), 2,66-2,58 (м, 2H), 1,85-1,78 (м, 4H), 1,76-1,69 (м, 1H), 1,50-1,34 (м, 4H), 1,32-1,24 (м, 1H).

Примеры 72-88 (таблица E):

Метод EA

К раствору 4-метоксибензо[d]изоксазол-3-амина (50 мг, 0,305 ммоль) в ТГФ (3,0 мл) добавляли NaH (60% в минеральном масле, 49 мг, 1,22 ммоль) и перемешивали при комнатной температуре в течение 10 минут. Добавляли сульфонилхлорид (1 экв., 0,305 ммоль) и перемешивали реакцию в течение 16 часов. Объем летучих компонентов уменьшали приблизительно до 1 мл, после чего добавляли ДХМ (3 мл) и воду (3 мл) и перемешивали смесь в течение 10 минут. Смесь пропускали через фазоразделитель, затем загружали органическую фракцию в силикагелевый картридж, модифицированный амином 1 г (Biotage), промывали картридж с использованием MeOH (6 мл), после чего элюировали продукт раствором HCl (1,25 M в метаноле, 6 мл). Смывы HCl упаривали в вакууме с получением желаемого продукта.

Метод EB

К раствору 4-метоксибензо[d]изоксазол-3-амина (50 мг, 0,305 ммоль) в ДМФ (3,0 мл) добавляли NaH (60% в минеральном масле, 61 мг, 1,52 ммоль) и перемешивали при комнатной температуре в течение 10 минут. Добавляли сульфонилхлорид (1 экв., 0,305 ммоль) и перемешивали реакцию в течение 16 часов. Полученную смесь загружали на силикагель и очищали с помощью колоночной хроматографии (0-100% петролейный бензин 40-60 °C, затем 0-60% MeOH в EtOAc) с получением желаемого продукта.

Метод EC

К раствору 4-метоксибензо[d]изоксазол-3-амина (50 мг, 0,305 ммоль) в ДМФ (5 мл) добавляли NaH (60% в минеральном масле, 22 мг, 0,914 ммоль) и перемешивали при комнатной температуре в течение 10 минут. Добавляли сульфонилхлорид (1 экв., 0,305 ммоль) и перемешивали реакцию в течение 16 часов. Полученную смесь гасили водой (3 мл), перемешивали в течение 10 минут при комнатной температуре, после чего загружали на силикагель и очищали с помощью колоночной хроматографии (0-100% петролейный бензин 40-60 °C, затем 0-60% MeOH в EtOAc) с получением желаемого продукта.

Метод ED

К раствору 4-метоксибензо[d]изоксазол-3-амина (100 мг, 0,609 ммоль) в ТГФ (5,0 мл) добавляли NaH (60% в минеральном масле, 5 или 10 экв.) и перемешивали при комнатной температуре в течение 10 минут. Добавляли сульфонилхлорид (1 экв., 0,609 ммоль) и перемешивали реакцию в течение 16 часов. Полученную смесь загружали на силикагель и очищали с помощью колоночной хроматографии (0-100% петролейный бензин 40-60 °C, затем 0-60% MeOH в EtOAc) с получением желаемого продукта.

Метод EF

К раствору 4-метоксибензо[d]изоксазол-3-амина (100 мг, 0,609 ммоль) в ТГФ (5,0 мл) добавляли NaH (60% в минеральном масле, 122 мг, 3,05 ммоль) и перемешивали при комнатной температуре в течение 10 минут. Добавляли сульфонилхлорид (1 экв., 0,609 ммоль) и перемешивали реакцию в течение 16 часов. Полученную смесь загружали на силикагель и очищали с помощью колоночной хроматографии (0-100% петролейный бензин 40-60 °C, затем 0-60% MeOH в EtOAc), выделенные твердые вещества обрабатывали ультразвуком в MeOH (1 мл) и собирали с помощью фильтрации с получением желаемого продукта.

Метод EG

К раствору 4-метоксибензо[d]изоксазол-3-амина (100 мг, 0,609 ммоль) в ТГФ (5,0 мл) добавляли NaH (60% в минеральном масле, 122 мг, 3,05 ммоль) и перемешивали при комнатной температуре в течение 10 минут. Добавляли сульфонилхлорид (1 экв., 0,609 ммоль) и перемешивали реакцию в течение 16 часов при комнатной температуре. Объем летучих компонентов уменьшали приблизительно до 1 мл, после чего осторожно добавляли ДХМ (3 мл) и воду (3 мл) и перемешивали в течение 10 минут. Смесь пропускали через фазоразделитель, затем загружали органическую фракцию в силикагелевый картридж, модифицированный амином 1 г (Biotage), промывали картридж с использованием MeOH (6 мл), после чего элюировали продукт раствором HCl (2 M, 1:1 метанол:1,4-диоксан, 6 мл). Затем смывы HCl упаривали в вакууме с получением желаемого продукта.

Метод EH

Суспензию 4-метоксибензо[d]изоксазол-3-амина (48 мг, 0,29 ммоль) и NaH (60% в минеральном масле, 0,117 мг, 2,93 ммоль) в ДМФ (10 мл) перемешивали при комнатной температуре в течение 10 минут, после чего охлаждали до -78 °C. К этой охлажденной смеси добавляли сульфонилхлорид (1,5 экв., 0,439 ммоль) и перемешивали смесь при -78°C в течение 1 часа, после чего нагревали до комнатной температуры и перемешивали в течение 16 часов. Реакционную смесь загружали на силикагель и очищали с помощью колоночной хроматографии (Biotage Isolera, картридж SiO2 24 г, 0-100% EtOAc в петролейном бензине 40-60 °C, затем 0-40% MeOH в EtOAc) с получением твердого вещества, которое суспендировали в диэтиловом эфире (25 мл) и обрабатывали ультразвуком в течение 5 минут. Твердое вещество собирали с помощью фильтрации и сушили на воздухе с получением желаемого продукта.

Метод EI

Смесь 4-метоксибензо[d]изоксазол-3-амина (0,035 г, 0,21 ммоль) и сульфонилхлорида (1,05 экв., 0,22 ммоль) в пиридине (1 мл) перемешивали при комнатной температуре в течение 16 часов. Реакционную смесь концентрировали, разводили 5% водным раствором HCl (1 мл) и обрабатывали ультразвуком в течение минимум 30 минут. Экстрагирование с использованием ДХМ (2 × 1 мл) и очистка с помощью колоночной хроматографии на силикагеле (0-100% EtOAc в петролейном бензине 40-60 °C) обеспечивали получение желаемого продукта.

Метод EJ

К раствору 4-метоксибензо[d]изоксазол-3-амина (1 экв.) в ТГФ (3 мл) добавляли LiHMDS (1M в ТГФ, 1,5 экв.). После 10 минут перемешивания добавляли сульфонилхлорид (1,5 экв.), и реакционную смесь оставляли перемешиваться на 17 часов на открытом воздухе. ТГФ удаляли в вакууме, после чего добавляли ДХМ (3 мл) и воду (3 мл) и перемешивали в течение 10 минут. После разделения слоев органическую фракцию загружали в силикагелевый картридж, модифицированный амином 1 г (Biotage). Картридж промывали с использованием MeOH (6 мл), после чего десорбировали с использованием 1,25 M HCl в MeOH (6 мл). Затем смывы HCl упаривали в вакууме с получением желаемого продукта.

Таблица E

Структура и выход (если применимо) Название Аналитические данные Метод 72
15 мг, 13%
2-метокси-N-(4-метоксибензо[d] изоксазол-3-ил)-4,6-диметилбензол сульфонамид ЖХМС-A: вр. уд. 6,474 мин, m/z 363,1 [M+H]+; 1H ЯМР (400 MГц, ДМСО-d6) δ 9,51-9,42 (с, 1H), 7,61-7,51 (т, J=8,2 Гц, 1H), 7,19-7,10 (д, J=8,4 Гц, 1H), 6,90-6,87 (с, 1H), 6,87-6,82 (д, J=8,0 Гц, 1H), 6,80-6,74 (с, 1H), 3,99-3,93 (с, 3H), 3,84-3,78 (с, 3H), 2,58-2,54 (с, 3H), 2,31-2,25 (с, 3H). Метод EA
73
10 мг, 8%
N-(4-метокси бензо[d]изоксазол-3-ил)-3-метил хинолин-8-сульфонамид ЖХМС-A: вр. уд. 6,469 мин, m/z=370,1 [M+H]+; 1H ЯМР (400 MГц, ДМСО-d6) δ=8,94 (д, J=2,1 Гц, 1H), 8,37 (дд, J=7,3, 1,3 Гц, 1H), 8,33 (с, 1H), 8,25 (д, J=8,0 Гц, 1H), 7,76 (т, J=7,8 Гц, 1H), 7,50 (т, J=8,2 Гц, 1H), 7,10 (д, J=8,4 Гц, 1H), 6,79 (д, J=8,1 Гц, 1H), 3,89 (с, 3H), 2,52 (с, 3H). Метод EB
74
35 мг, 29%
5-метокси-N-(4-метоксибензо[d] изоксазол-3-ил)хинолин-8-сульфонамид ЖХМС-A: вр. уд. 6,461 мин, m/z 386,1 [M+H]+; 1H ЯМР (400 MГц, ДМСО-d6) δ=9,08 (дд, J=4,3, 1,7 Гц, 1H), 8,62 (дд, J=8,5, 1,7 Гц, 1H), 8,42 (д, J=8,4 Гц, 1H), 7,67 (дд, J=8,5 Гц, 4,3, 1H), 7,49 (т, J=8,2 Гц, 1H), 7,22 (д, J=8,5 Гц, 1H), 7,08 (д, J=8,4 Гц, 1H), 6,78 (д, J=8,0 Гц, 1H), 4,08 (с, 3H), 3,94 (с, 3H) Метод EC
75
29 мг, 24%
4-метокси-N-(4-метоксибензо[d]изоксазол-3-ил)хинолин-8-сульфонамид ЖХМС-A: вр. уд. 6,253 мин, m/z 386,1 [M+H]+; 1H ЯМР (400 MГц, ДМСО-d6) δ=8,93 (д, J=5,4 Гц, 1H), 8,52-8,37 (м, 2H), 7,75 (т, J=7,8 Гц, 1H), 7,50 (т, J=8,3 Гц, 1H), 7,22 (д, J=5,3 Гц, 1H), 7,10 (д, J=8,6 Гц, 1H), 6,80 (д, J=8,1 Гц, 1H), 4,08 (с, 3H), 3,93 (с, 3H) Метод EC
76
59 мг, 26%
2,4-диметокси-N-(4-метоксибензо [d]изоксазол-3-ил)бензолсульфонамид ЖХМС-A: вр. уд. 6,188 мин, m/z=365,1 [M+H]+; 1H ЯМР (400 MГц, ДМСО-d6) δ=9,76 (с, 1H), 7,80-7,73 (м, 1H), 7,55 (т, J=8,2 Гц, 1H), 7,15 (д, J=8,4 Гц, 1H), 6,84 (д, J=8,0 Гц, 1H), 6,73-6,62 (м, 2H), 3,92 (с, 3H), 3,84 (с, 3H), 3,79 (с, 3H) Метод ED Использовали 10 экв. NaH
77
68 мг, 30%
N-(4-метокси бензо[d]изоксазол-3-ил)-7-метилхинолин-8-сульфонамид ЖХМС-A: вр. уд. 6,419 мин, m/z=370,2 [M+H]+ Метод EF
78
4 мг, 2%
N-(4-метокси бензо[d]изоксазол-3-ил)-6-метилхинолин-8-сульфонамид ЖХМС-A: вр. уд. 6,332 мин, m/z=370,1 [M+H]+ Метод ED Использовали 5 экв. NaH
79
15 мг, 7%
N-(4-метокси бензо[d]изоксазол-3-ил)-4-метилхинолин-8-сульфонамид ЖХМС-A: вр. уд. 6,325 мин, m/z=370,1 [M+H]+ Метод ED Использовали 5 экв. NaH
80
50 мг, 22%
N-(4-метокси бензо[d]изоксазол-3-ил)-2-метилхинолин-8-сульфонамид ЖХМС-A: вр. уд. 6,349 мин, m/z=370,1 [M+H]+ Метод ED Использовали 5 экв. NaH
81
38 мг, 18%
N-(4-метокси бензо[d]изоксазол-3-ил)бензофуран-7-сульфонамид ЖХМС-A: вр. уд. 6,225 мин, m/z=345,1 [M+H]+ Метод EG
82
44 мг, 20%
N-(4-метокси бензо[d]изоксазол-3-ил)хроман-8-сульфонамид ЖХМС-A: вр. уд. 6,282 мин, m/z=361,1 [M+H]+ Метод EG
83
10 мг, 9%
N-(4-метокси бензо[d]изоксазол-3-ил)хинолин-8-сульфонамид ЖХМС-A: вр. уд. 6,198 мин; m/z=356,2 [M+H]+; 1H ЯМР (400 MГц, ДМСО-d6) δ=9,08 (дд, J=4,3, 1,7 Гц, 1H), 8,57 (дд, J=8,4, 1,6 Гц, 1H), 8,46 (дд, J=7,4, 1,4 Гц, 1H), 8,36 (д, J=8,0 Гц, 1H), 7,81 (т, J=7,8 Гц, 1H), 7,73 (дд, J=8,3, 4,3 Гц, 1H), 7,50 (т, J=8,2 Гц, 1H), 7,10 (д, J=8,4 Гц, 1H), 6,78 (д, J=8,0 Гц, 1H), 3,88 (с, 3H) Метод EH
84
9 мг, 12%
N-(4-метокси бензо[d]изоксазол-3-ил)-5,6,7,8-тетрагидронафталин-2-сульфонамид ЖХМС-A: вр. уд. 6,955 мин; m/z 359,1 [M+H]+; 1H ЯМР (400 MГц, ацетон-d6) δ 7,81-7,76 (м, 2H), 7,55-7,49 (м, 1H), 7,23 (д, J=7,7 Гц, 1H), 7,06 (д, J=8,4 Гц, 1H), 6,79 (д, J=8,0 Гц, 1H), 3,96 (с, 3H), 1,81-1,77 (м, 4H). NB: растворитель скрывает алифатический 2xCH2 Метод EI
85 2,4,6-триметокси-N-(4-метокси бензо[d]изоксазол-3-ил)бензол сульфонамид ЖХМС-A: вр. уд. 6,095 мин; m/z 395,1 [M+H]+ Метод EJ 86 2,6-диметокси-N-(4-метокси бензо[d]изоксазол-3-ил)бензолсульфонамид ЖХМС-A: вр. уд. 5,991 мин; m/z 365,1 [M+H]+ Метод EJ 87 2-метокси-N-(4-метоксибензо[d]изоксазол-3-ил)-5-(трифторметил)бензолсульфонамид ЖХМС-B: вр. уд. 3,379 мин; m/z 403,0 [M+H]+ Метод EJ 88 N-(4-метокси бензо[d]изоксазол-3-ил)-2-(метокси метил)бензолсульфонамид ЖХМС-B: вр. уд. 3,344 мин; m/z 349,1 [M+H]+ Метод EJ

Примеры 89-147 (таблица F)

Метод EJ

К раствору амина (0,5 ммоль, 1,0 экв.) в безводном ТГФ (10 мл) при -78°C в атмосфере N2 по каплям добавляли LiHMDS (1 M раствор в ТГФ, 3 экв.) и перемешивали смесь при -78°C в течение 30 мин. Затем добавляли по каплям раствор сульфонилхлорида (1,5 экв.) в безводном ТГФ (2,0 мл), оставляли смесь нагреться до к. т. и перемешивали в течение ночи. Добавляли воду и экстрагировали смесь с использованием EtOAc. Объединенные органические экстракты промывали насыщенным солевым раствором, сушили над безводным Na2SO4, фильтровали и концентрировали при пониженном давлении. Остаток очищали с помощью колоночной хроматографии или преп. ТСХ с получением указанного в заголовке соединения. Вариации вышеуказанных условий отмечены в таблице F.

Метод FB

К раствор амина (0,3 ммоль, 1,0 экв.) в пиридине (5 мл) в атмосфере N2 добавляли сульфонилхлорид (2,0 экв.) и нагревали смесь при 100°C в течение ночи. Реакцию гасили с использованием 1 M водн. раствора Hcl, после чего добавляли воду и экстрагировали смесь с использованием EtOAc. Объединенные органические экстракты промывали насыщенным солевым раствором, безводным Na2SO4, фильтровали и концентрировали при пониженном давлении. Остаток очищали с помощью колоночной хроматографии или преп. ТСХ с получением указанного в заголовке соединения. Вариации вышеуказанных условий отмечены в таблице F.

Метод FC

К раствору амина (0,5 ммоль, 1,0 экв.) в безводном ТГФ (10 мл) при -20°C в атмосфере N2 по каплям добавляли n-BuLi (2,5 M в гексанах, 1,5 экв.) и перемешивали смесь при -20°C в течение 1 ч. Затем добавляли по каплям раствор сульфонилхлорида (1,5 экв.) в безводном ТГФ (2,0 мл), оставляли смесь нагреться до к. т. и перемешивали в течение ночи. Добавляли воду и экстрагировали смесь с использованием EtOAc. Объединенные органические экстракты промывали насыщенным солевым раствором, сушили над безводным Na2SO4, фильтровали и концентрировали при пониженном давлении. Остаток очищали с помощью преп. ТСХ (ДХМ/MeOH=20/1) с получением указанного в заголовке соединения.

Метод FD

К раствору амина (0,5 ммоль, 1,0 экв.) в безводном ТГФ (10 мл) при -78°C в атмосфере N2 по каплям добавляли KHMDS (1 M раствор в ТГФ, эквиваленты указаны в таблице F) и перемешивали смесь при -78°C или 0°C в течение периода от 30 мин до 1 ч (указано в таблице F). Затем добавляли по каплям раствор сульфонилхлорида (эквиваленты указаны в таблице F) в безводном ТГФ (2,0 мл), оставляли смесь нагреться до к. т. и перемешивали в течение ночи. Добавляли воду и экстрагировали смесь с использованием EtOAc. Объединенные органические экстракты промывали насыщенным солевым раствором, сушили над безводным Na2SO4, фильтровали и концентрировали при пониженном давлении. Остаток очищали с помощью колоночной хроматографии или преп. ТСХ с получением указанного в заголовке соединения.

Таблица F

Название и структура Аналитические данные Промежу-точные соединения (если применимо) Метод Примечания 89
N-(6-Бром-4-метоксибензо[d]изоксазол-3-ил)-2,6-диметоксибензолсульфонамид
ЖХМС-C: вр. Уд. 2,18 мин, m/z 442,9 [M+H]+; 1H ЯМР (400 MГц, ДМСО-d6) δ 9,80 (с, 1H), 7,54-7,48 (м, 2H), 7,05 (с, 1H), 6,78 (д, J=8,4 Гц, 2H), 3,92 (с, 3H), 3,76 (с, 6H). 2,6-Диметоксибензолсульфонилхлорид I111
6-Бром-4-метоксибензо[d]изоксазол-3-амин I22
FA Использовали 4 экв. LiHMDS
Преп. ТСХ (ДХМ/MeOH=100/1)
90
N-(4-Метоксибензо[d]изоксазол-3-ил)бензолсульфонамид
ЖХМС-C: вр. уд. 1,97 мин, m/z 304,9 [M+H]+; 1H ЯМР (400 MГц, CDCl3) δ 8,21 (д, J=7,2 Гц, 2H), 7,82 (с, 1H), 7,61-7,54 (м, 3H), 7,43 (т, J=8,0 Гц, 1H), 7,02 (д, J=8,0 Гц, 1H), 6,59 (д, J=7,6 Гц, 1H), 3,91 (с, 3H). FA Перед добавлением сульфонилхлорида перемешивали в течение 2 ч.
Преп. ТСХ (ДХМ/MeOH=100/1)
91
3,5-Диметокси-N-(4-метокси-6-(метоксиметил)бензо[d]изоксазол-3-ил)-[1,1'-бифенил]-4-сульфонамид
ЖХМС-C: вр. уд. 2,33 мин, m/z 485,0 [M+H]+; 1H ЯМР (400 MГц, CDCl3) δ 8,26 (с, 1H), 7,52 (д, J=6,8 Гц, 2H), 7,46-7,42 (м, 3H), 6,98 (с, 1H), 6,73 (с, 2H), 6,65 (с, 1H), 4,51 (с, 2H), 4,04 (с, 3H), 3,94 (с, 6H), 3,41 (с, 3H). 3,5-Диметокси-[1,1'-бифенил]-4-сульфонилхлорид I116
4-Метокси-6-(метоксиметил)бензо[d]изоксазол-3-амин I9
FA Использовали 5 экв. LiHMDS, перед добавлением сульфонилхлорида перемешивали в течение 2 ч.
Колоночная хроматография (петр. эфир/EtOAc=2/1)
92
N-(6-(3-Гидроксифенил)-4-метоксибензо[d]изоксазол-3-ил)-2,6-диметоксибензолсульфонамид
ЖХМС-C: вр. уд. 2,19 мин, m/z 457,0 [M+H]+; 1H ЯМР (400 MГц, ДМСО-d6) δ 9,64 (с, 1H), 9,62 (с, 1H), 7,53 (т, J=8,8 Гц, 1H), 7,35 (с, 1H), 7,30 (т, J=8,0 Гц, 1H), 7,19 (д, J=7,6 Гц, 1H), 7,12 (с, 1H), 7,01 (с, 1H), 6,85-6,78 (м, 3H), 4,01 (с, 3H), 3,79 (с, 6H). 2,6-Диметоксибензолсульфонилхлорид I111
3-(3-Амино-4-метоксибензо[d]изоксазол-6-ил)фенол I19
FA Использовали 8 экв. LiHMDS, перед добавлением сульфонилхлорида перемешивали в течение 1 ч.
Преп. ТСХ (ДХМ/MeOH=30/1)
93
2,6-Диметокси-N-(4-метокси-6-(1-метоксиэтил)бензо[d]изоксазол-3-ил)бензолсульфонамид
ЖХМС-C: вр. уд. 1,94 мин, m/z 423,0 [M+H]+; 1H ЯМР (400 MГц, ДМСО-d6) δ 9,56 (с, 1H), 7,51 (т, J=8,4 Гц, 1H), 7,08 (с, 1H), 6,80 (д, J=8,4 Гц, 2H), 6,78 (с, 1H), 4,45 (к, J=6,4 Гц, 1H), 3,92 (с, 3H), 3,78 (с, 6H), 3,17 (с, 3H), 1,37 (д, J=6,4 Гц, 3H). 2,6-Диметоксибензолсульфонилхлорид I111
4-Метокси-6-(1-метоксиэтил)бензо[d]изоксазол-3-амин I15
FA Перед добавлением сульфонилхлорида перемешивали в течение 2 ч.
Преп. ТСХ (ДХМ/MeOH=75/1)
94
3-Этил-2,6-диметокси-N-(4-метоксибензо[d]изоксазол-3-ил)бензолсульфонамид
ЖХМС-C: вр. уд. 2,31 мин, m/z 393,0 [M+H]+; 1H ЯМР (400 MГц, ДМСО-d6) δ 9,57 (с, 1H), 7,57 (т, J=8,0 Гц, 1H), 7,46 (д, J=8,8 Гц, 1H), 7,16 (д, J=8,8 Гц, 1H), 6,93 (д, J=8,8 Гц, 1H), 6,85 (д, J=8,0 Гц, 1H), 3,92 (с, 3H), 3,78 (с, 3H), 3,75 (с, 3H), 2,60 (к, J=7,2 Гц, 2H), 1,15 (т, J=7,2 Гц, 3H). 3-Этил-2,6-диметоксибензолсульфонилхлорид I106 FA Перед добавлением сульфонилхлорида перемешивали в течение 3 ч.
Преп. ТСХ (ДХМ/MeOH=75/1)
95
3,5-Диметокси-N-(4-метоксибензо[d]изоксазол-3-ил)-[1,1'-бифенил]-4-сульфонамид
ЖХМС-C: вр. уд. 2,34 мин, m/z 441,0 [M+H]+; 1H ЯМР (400 MГц, ДМСО-d6) δ 9,60 (с, 1H), 7,79 (д, J=6,8 Гц, 2H), 7,58-7,44 (м, 4H), 7,17 (д, J=8,0 Гц, 1H), 6,99 (с, 2H), 6,87 (д, J=7,6 Гц, 1H), 3,95 (с, 3H), 3,88 (с, 6H). 3,5-Диметокси-[1,1'-бифенил]-4-сульфонилхлорид I116 FA Использовали 3,3 экв. LiHMDS, перед добавлением 1,8 экв. сульфонилхлорида перемешивали при -70°C в течение 3 ч.
Очистка: осаждали из ДХМ с использованием петр. эфира
96
2,4-Диметокси-N-(4-метоксибензо[d]изоксазол-3-ил)-[1,1'-бифенил]-3-сульфонамид
ЖХМС-C: вр. уд. 2,42 мин, m/z 441,0 [M+H]+;1H ЯМР (400 MГц, ДМСО-d6) δ 9,84 (с, 1H), 7,59-7,54 (м, 2H), 7,48-7,42 (м, 4H), 7,39-7,35 (м, 1H), 7,18 (д, J=8,0 Гц, 1H), 7,07 (д, J=8,8 Гц, 1H), 6,87 (д, J=8,0 Гц, 1H), 3,91 (с, 3H), 3,81 (с, 3H), 3,34 (с, 3H). 2,4-Диметокси-[1,1'-бифенил]-3-сульфонилхлорид I114 FA Использовали 2 экв. LiHMDS и
перед добавлением сульфонилхлорида перемешивали в течение 3 ч.
Преп. ТСХ (ДХМ/MeOH=50/1)
97
2,6-Диметокси-N-(6-(метоксиметил)-5-метилбензо[d]изоксазол-3-ил)бензолсульфонамид
ЖХМС-D: вр. уд. 2,38 мин, m/z 393,1 [M+H]+; 1H ЯМР (400 MГц, ДМСО-d6) δ 11,3 (с, 1H), 7,81 (с, 1H), 7,48-7,45 (м, 2H), 6,75-6,73 (м, 2H), 4,51 (с, 2H), 3,73 (с, 6H), 3,35 (с, 3H), 2,31 (с, 3H). 2,6-Диметоксибензолсульфонилхлорид I111
6-(Метокси
метил)-5-метилбензо[d]изоксазол-3-амин I4
FA Использовали 2 экв. LiHMDS, перед добавлением 3 экв. сульфонилхлорида перемешивали в течение 2,5 ч.
Очищали с помощью преп. ВЭЖХ
98
7-Метокси-N-(4-метоксибензо[d]изоксазол-3-ил)хинолин-8-сульфонамид
ЖХМС-D: вр. уд. 1,79 мин, m/z 385,8 [M+H]+; 1H ЯМР (400 MГц, ДМСО-d6) δ 10,6 (с, 1H), 8,98 (дд, J=4,4, 1,6 Гц, 1H), 8,46 (дд, J=8,0, 1,6 Гц, 1H), 8,31 (д, J=5,6 Гц, 1H), 7,55 (дд, J=8,0, 4,0 Гц, 1H), 7,52 (д, J=6,0 Гц, 1H), 7,50 (т, J=8,0 Гц, 1H), 7,08 (д, J=8,4 Гц, 1H), 6,81 (д, J=8,0 Гц, 1H), 4,06 (с, 3H), 3,99 (с, 3H). 7-Метокси хинолин-8-сульфонилхлорид I107 FA При -60°C добавляли LiHMDS и перед добавлением сульфонилхлорида перемешивали при 0°C в течение 1 ч.
Преп. ТСХ (ДХМ/MeOH=20/1)
99
2-Метокси-N-(4-метоксибензо[d]изоксазол-3-ил)-5-феноксибензолсульфонамид
ЖХМС-D: вр. уд. 2,91 мин, m/z 427,1 [M+H]+; 1H ЯМР (400 MГц, ДМСО-d6) δ 7,79 (д, J=8,8 Гц, 2H), 7,56 (т, J=8,4 Гц, 1H), 7,15-6,99 (м, 7H), 6,82 (д, J=8,0 Гц, 1H), 3,90 (с, 3H), 3,76 (с, 3H). 2-Метокси-5-феноксибензолсульфонилхлорид I100 FA Использовали 1,1 экв. LiHMDS и 1,05 экв. сульфонилхлорида.
Продукт не очищали
100
2,6-Диметокси-N-(5-(трифторметокси)бензо[d]изоксазол-3-ил)бензолсульфонамид
ЖХМС-D: вр. уд. 2,61 мин, m/z 419,0 [M+H]+; 1H ЯМР (400 MГц, метанол-d4) δ 8,01 (д, J=0,8 Гц, 1H), 7,59-7,42 (м, 3H), 6,71 (д, J=8,8 Гц, 2H), 3,82 (с, 6H). 2,6-Диметоксибензолсульфонилхлорид I111
5-(Трифторметокси)бензо[d]изоксазол-3-амин I63
FA При -60°C добавляли LiHMDS и перед добавлением сульфонилхлорида перемешивали при 0°C в течение 1 ч.
Преп. ТСХ (петр. эфир/EtOAc=5/1)
101
2,6-Диметокси-N-(4-метоксибензо[d]изоксазол-3-ил)-3-(трифторметил)бензолсульфонамид
ЖХМС-D: вр. уд. 2,64 мин, m/z 433,1 [M+H]+; 1H ЯМР (400 MГц, ДМСО-d6) δ 10,5 (с, 1H), 7,92 (д, J=8,8 Гц, 1H), 7,59 (т, J=8,0 Гц, 1H), 7,20-7,14 (м, 2H), 6,85 (д, J=8,4 Гц, 1H), 3,87 (с, 6H), 3,85 (с, 3H). 2,6-Диметокси -3-(трифтор метил)бензолсульфонилхлорид I102 FA Добавляли 2 экв. LiHMDS при 0 °C.
Преп. ТСХ (петр. эфир/EtOAc=1/1)
102
2,6-Диметокси-N-(5-метил-6-(оксазол-2-ил)бензо[d]изоксазол-3-ил)бензолсульфонамид
ЖХМС-D: вр. уд. 2,42 мин, m/z 415,9 [M+H]+; 1H ЯМР (400 MГц, ДМСО-d6) δ 11,5 (с, 1H), 8,32 (с, 1H), 7,07 (т, J=8,4 Гц, 2H), 7,50-7,30 (м, 2H), 6,76 (д, J=8,4 Гц, 2H), 3,75 (с, 6H), 2,70 (с, 3H). 2,6-Диметоксибензолсульфонилхлорид I111
5-Метил-6-(оксазол-2-ил)бензо[d]изоксазол-3-амин I65
FA Использовали 1,5 экв. LiHMDS
Преп. ТСХ (петр. эфир/EtOAc=1/2)
103
2,6-Диметокси-N-(6-(метоксиметил)бензо[d]изоксазол-3-ил)бензолсульфонамид
ЖХМС-D: вр. уд. 2,22 мин, m/z 378,9 [M+H]+; 1H ЯМР (400 MГц, ДМСО-d6) δ 11,4 (с, 1H), 8,04 (д, J=8,4 Гц, 1H), 7,50-7,45 (м, 2H), 7,31 (д, J=8,4 Гц, 1H), 6,75 (д, J=8,8 Гц, 2H), 4,55 (с, 2H), 3,73 (с, 6H), 3,32 (с, 3H). 2,6-Диметоксибензолсульфонилхлорид I111
6-(Метокси метил)бензо[d]изоксазол-3-амин I62
FA При -78°C добавляли LiHMDS и перед добавлением сульфонилхлорида перемешивали при 0°C в течение 30 мин.
Преп. ТСХ (петр. эфир/EtOAc=2/1)
104
2,6-Диметокси-N-(5-метилбензо[d]изоксазол-3-ил)бензолсульфонамид
ЖХМС-D: вр. уд. 2,40 мин, m/z 348,9 [M+H]+; 1H ЯМР (400 MГц, ДМСО-d6) δ 11,3 (с, 1H), 7,83 (с, 1H), 7,49-7,44 (м, 3H), 6,75 (д, J=8,4 Гц, 2H), 3,74 (с, 6H), 2,40 (с, 3H). 2,6-Диметоксибензолсульфонилхлорид I111
5-Метилбензо[d]изоксазол-3-амин I60
FA При -60°C добавляли LiHMDS и перед добавлением сульфонилхлорида перемешивали при 0°C в течение 1 ч.
Преп. ТСХ (ДХМ/MeOH=20/1)
105
N-(6-(3,5-Диметил-1H-пиразол-1-ил)бензо[d]изоксазол-3-ил)-2,6-диметоксибензолсульфонамид
ЖХМС-D: вр. уд. 2,44 мин, m/z 429,1 [M+H]+; 1H ЯМР (400 MГц, ДМСО-d6) δ 11,5 (с, 1H), 8,16 (д, J=8,8 Гц, 1H), 7,74 (д, J=1,6 Гц, 1H), 7,57 (дд, J=8,8, 2,0 Гц, 1H), 7,48 (т, J=8,8 Гц, 1H), 6,75 (д, J=8,4 Гц, 2H), 6,13 (с, 1H), 3,75 (с, 6H), 2,36 (с, 3H), 2,19 (с, 3H). 2,6-Диметоксибензолсульфонилхлорид I111
6-(3,5-Диметил-1H-пиразол-1-ил)бензо[d]изоксазол-3-амин I59
FC
106
4,6-Диметокси-N-(4-метоксибензо[d]изоксазол-3-ил)-2,3-дигидро-1H-инден-5-сульфонамид
ЖХМС-D: вр. уд. 2,58 мин, m/z 405,1 [M+H]+;1H ЯМР (400 MГц, ДМСО-d6) δ 9,40 (с, 1H), 7,58 (т, J=8,0 Гц, 1H), 7,16 (д, J=8,0 Гц, 1H), 6,86-6,84 (м, 2H), 3,96 (с, 3H), 3,80 (с, 3H), 3,75 (с, 3H), 2,88-2,84 (м, 4H), 2,02-1,99 (м, 2H). 4,6-Диметокси- 2,3-дигидро-1H-инден-5-сульфонилхлорид I98 FA Добавляли 1,33 экв. LiHMDS при -78°C и перед добавлением 0,67 экв. сульфонилхлорида перемешивали при 0°C в течение 1 ч.
Колоночная хроматография (петр. эфир/EtOAc=1/1)
107
N-(4-Хлорбензо[d]изоксазол-3-ил)-5-этил-1-метил-2-оксо-1,2-дигидропиридин-3-сульфонамид
ЖХМС-D: вр. уд. 2,34 мин, m/z 368,0 [M+H]+; 1H ЯМР (400 MГц, ДМСО-d6) δ 10,5 (с, 1H), 7,98 (с, 2H), 7,70-7,62 (м, 2H), 7,45 (д, J=7,2 Гц, 1H), 3,50 (с, 3H), 2,46 (к, J=7,2 Гц, 2H), 1,13 (т, J=7,2 Гц, 3H). 5-Этил-1-метил-2-оксо-1,2-дигидропиридин-3-сульфонилхлорид I94 FA Добавляли 2,1 экв. LiHMDS при -78°C и перед добавлением 2 экв. сульфонилхлорида перемешивали при 0°C в течение 1 ч.
Колоночная хроматография (ДХМ/MeOH=50/1)
108
N-(5-Бром-4-метоксибензо[d]изоксазол-3-ил)-5-этил-2-метоксибензолсульфонамид
ЖХМС-D: вр. уд. 2,82 мин, m/z 441,0 [M+H]+; 1H ЯМР (400 MГц, ДМСО-d6) δ 10,8 (с, 1H), 7,86 (д, J=8,8 Гц, 1H), 7,62 (д, J=1,2 Гц, 1H), 7,50-7,43 (м, 2H), 7,17 (д, J=8,8 Гц, 1H), 3,91 (с, 3H), 3,79 (с, 3H), 2,64 (к, J=7,6 Гц, 2H), 1,17 (т, J=7,6 Гц, 3H). 5-Этил-2-метоксибензолсульфонилхлорид I112
5-Бром-4-метоксибензо[d]изоксазол-3-амин I48
FD Добавляли 2 экв. KHMDS, перед добавлением 2 экв. сульфонилхлорида перемешивали при 0°C в течение 1 ч.
Колоночная хроматография (петр. эфир/EtOAc=от 50/1 до 3/1)
109
N-(5-Этоксибензо[d]изоксазол-3-ил)-5-этил-2-метоксибензолсульфонамид
ЖХМС-D: вр. уд. 2,78 мин, m/z 377,1 [M+H]+; 1H ЯМР (400 MГц, ДМСО-d6) δ 11,5 (с, 1H), 7,69 (д, J=2,0 Гц, 1H), 7,50-7,44 (м, 3H), 7,20 (дд, J=9,8, 2,4 Гц, 1H), 7,10 (д, J=8,8 Гц, 1H), 4,06 (к, J=7,4 Гц, 2H), 3,74 (с, 3H), 2,63 (к, J=7,6 Гц, 2H), 1,38 (т, J=6,8 Гц, 3H), 1,16 (т, J=7,6 Гц, 3H). 5-Этил-2-метоксибензолсульфонилхлорид I112
5-Этокси бензо[d]изоксазол-3-амин I57
FB Колоночная хроматография (петр. эфир/EtOAc=от 4/1 до 3/1)
110
5-Этил-2-метокси-N-(4-(метоксиметил)бензо[d]изоксазол-3-ил)бензолсульфонамид
ЖХМС-D: вр. уд. 2,66 мин, m/z 377,1 [M+H]+; 5-Этил-2-метоксибензолсульфонилхлорид I112
4-(Метоксиметил)бензо[d]изоксазол-3-амин I51
FB Преп. ТСХ (петр. эфир/EtOAc=2/1)
111
5-Этил-2-метокси-N-(5-метоксибензо[d]изоксазол-3-ил)бензолсульфонамид
ЖХМС-D: вр. уд. 2,65 мин, m/z 363,1 [M+H]+; 1H ЯМР (400 MГц, ДМСО-d6) δ 11,5 (с, 1H), 7,69 (д, J=2,0 Гц, 1H), 7,52-7,44 (м, 3H), 7,23 (дд, J=9,8, 2,4 Гц, 1H), 7,10 (д, J=8,8 Гц, 1H), 3,79 (с, 3H), 3,75 (с, 3H), 2,63 (к, J=7,6 Гц, 2H), 1,16 (т, J=7,6 Гц, 3H). 5-Этил-2-метоксибензолсульфонилхлорид I112
5-Метоксибензо[d]изоксазол-3-амин I54
FB Преп. ТСХ
112
N-(4-Этоксибензо[d]изоксазол-3-ил)-5-этил-2-метоксибензолсульфонамид
ЖХМС-E: вр. уд. 5,57 мин m/z 376,7 [M+H]+; 1H ЯМР (400 MГц, ДМСО-d6) δ 9,68 (с, 1H), 7,67 (д, J=2,0 Гц, 1H), 7,56-7,45 (м, 2H), 7,16-7,08 (м, 2H), 6,83 (д, J=8,0 Гц, 1H), 4,19 (к, J=7,2 Гц, 2H), 3,63 (с, 3H), 2,64 (к, J=7,6 Гц, 2H), 1,31 (т, J=7,4 Гц, 3H), 1,17 (т, J=7,6 Гц, 3H). 5-Этил-2-метоксибензолсульфонилхлорид I112
4-Этокси бензо[d]изоксазол-3-амин I53
FA Добавляли 1,5 экв. LiHMDS при -78°C и перед добавлением 1,5 экв. сульфонилхлорида перемешивали при 0°C в течение 1 ч.
Колоночная хроматография (петр. эфир/EtOAc=3/1)
113
N-(5-Бромбензо[d]изоксазол-3-ил)-3-метокси-5,6,7,8-тетрагидронафталин-2-сульфонамид
ЖХМС-D: вр. уд. 3,07 мин, m/z 437,0 [M+H]+; 1H ЯМР (400 MГц, ДМСО-d6) δ 11,6 (с, 1H), 8,25 (с, 1H), 7,78 (дд, J=8,8, 2,0 Гц, 1H), 7,62-7,56 (м, 2H), 6,85 (с, 1H), 3,69 (с, 3H), 2,73-2,69 (м, 4H), 1,71 (м, 4H). 3-Метокси-5,6,7,8-тетрагидронафталин-2-сульфонилхлорид I109
5-Бром
бензо[d]изоксазол-3-амин I40
FA Добавляли 2 экв. LiHMDS при -78°C и перед добавлением 2 экв. сульфонилхлорида перемешивали при 0°C в течение 1 ч.
Колоночная хроматография (ДХМ/MeOH=от 200/1 до 100/1)
114
5-Бром-N-(4-хлорбензо[d]изоксазол-3-ил)-2-метилбензолсульфонамид
ЖХМС-D: вр. уд. 2,82 мин, m/z 401,0 [M+H]+; 1H ЯМР (400 MГц, ДМСО-d6) δ 8,02 (д, J=2,0 Гц, 1H), 7,73-7,76 (м, 3H), 7,43-7,35 (м, 2H), 2,49 (с, 3H). FA Добавляли 1 экв. LiHMDS при -78°C и перед добавлением 0,67 экв. сульфонилхлорида перемешивали при 0°C в течение 1 ч.
Колоночная хроматография (петр. эфир/EtOAc=6/1)
115
Метил 4-хлор-2-(N-(4-хлорбензо[d]изоксазол-3-ил)сульфамоил)бензоат
ЖХМС-D: вр. уд. 2,78 мин, m/z 401,0 [M+H]+; 1H ЯМР (400 MГц, ДМСО-d6) δ 8,09 (д, J=2,0 Гц, 1H), 7,88 (д, J=8,4 Гц, 1H), 7,74-7,65 (м, 3H), 7,48 (д, J=7,6 Гц, 1H), 3,64 (с, 3H). FD Добавляли 0,67 экв. KHMDS, перед добавлением 0,67 экв. сульфонилхлорида перемешивали при 0°C в течение 1 ч.
Колоночная хроматография (петр. эфир/EtOAc=1/1)
116
5-Этил-2-метокси-N-(4-метоксибензо[d]изоксазол-3-ил)бензолсульфонамид
ЖХМС-D: вр. уд. 2,56 мин, m/z 363,1 [M+H]+; 1H ЯМР (400 MГц, ДМСО-d6) δ 9,96 (с, 1H), 7,66 (д, J=1,6 Гц, 1H), 7,57 (т, J=8,0 Гц, 1H), 7,48-7,46 (м, 1H), 7,12-7,11 (м, 2H), 6,84 (д, J=8,0 Гц, 1H), 3,87 (с, 3H), 3,75 (с, 3H), 2,64 (к, J=7,6 Гц, 2H), 1,17 (т, J=7,6 Гц, 3H). 5-Этил-2-метоксибензолсульфонилхлорид I112 FA Добавляли 2 экв. LiHMDS при -78°C и перед добавлением 2 экв. сульфонилхлорида перемешивали при 0°C в течение 1 ч.
Колоночная хроматография (ДХМ/MeOH=30/1)
117
N-(4-Хлорбензо[d]изоксазол-3-ил)-2,3,4-трифторбензолсульфонамид
ЖХМС-D: вр. уд. 2,59 мин, m/z 363,0 [M+H]+; 1H ЯМР (400 MГц, ДМСО-d6) δ 7,74-7,69 (м, 1H), 7,54-7,40 (м, 3H), 7,31 (д, J=7,0 Гц, 1H). FA Добавляли 1 экв. LiHMDS при -78°C и перед добавлением 1 экв. сульфонилхлорида перемешивали при 0°C в течение 1 ч.
Колоночная хроматография (ДХМ/MeOH=от 100/1 до 30/1)
118
N-(4-Хлорбензо[d]изоксазол-3-ил)-3-метилхинолин-8-сульфонамид
ЖХМС-D: вр. уд. 2,62 мин, m/z 374,1 [M+H]+; 1H ЯМР (400 MГц, ДМСО-d6) δ 8,81 (д, J=2,4 Гц, 1H), 8,34-8,25 (м, 3H), 7,76-7,61 (м, 3H), 7,43 (д, J=8,8 Гц, 1H), 2,50 (с, 3H). FA Добавляли 1,5 экв. LiHMDS при -78°C и перед добавлением 1,5 экв. сульфонилхлорида перемешивали при 0°C в течение 1 ч.
Колоночная хроматография (ДХМ/MeOH=20/1)
119
N-(4-Хлорбензо[d]изоксазол-3-ил)-6-метокси-2,3-дигидро-1H-инден-5-сульфонамид
ЖХМС-D: вр. уд. 2,69 мин, m/z 379,0 [M+H]+; 1H ЯМР (400 MГц, ДМСО-d6) δ 10,4 (с, 1H), 7,75-7,63 (м, 2H), 7,58 (с, 1H), 7,47 (д, J=7,2 Гц, 1H), 7,11 (с, 1H), 3,69 (с, 3H), 2,93 (т, J=7,2 Гц, 2H), 2,84 (т, J=7,2 Гц, 2H), 2,07-2,00 (м, 2H). 6-Метокси-2,3-дигидро-1H-инден-5-сульфонилхлорид I108 FD Добавляли 0,67 экв. KHMDS, перед добавлением 0,67 экв. сульфонилхлорида перемешивали при 0°C в течение 1 ч.
Колоночная хроматография (петр. эфир/EtOAc=1/1)
120
N-(4-Хлорбензо[d]изоксазол-3-ил)-3-метокси-5,6,7,8-тетрагидронафталин-2-сульфонамид
ЖХМС-D: вр. уд. 2,86 мин, m/z 393,1 [M+H]+; 1H ЯМР (400 MГц, ДМСО-d6) δ 10,4 (с, 1H), 7,73-7,64 (м, 2H), 7,48 (д, J=7,6 Гц, 1H), 7,45 (с, 1H), 6,91 (с, 1H), 3,67 (с, 3H), 2,78 (м, 2H), 2,67 (м, 2H), 1,72 (м, 4H). 3-Метокси-5,6,7,8-тетрагидронафталин-2-сульфонилхлорид I109 FA Добавляли 1 экв. LiHMDS при -78°C и перед добавлением 1 экв. сульфонилхлорида перемешивали при 0°C в течение 1 ч.
Колоночная хроматография (петр. эфир/EtOAc=от 50/1 до 2/1)
121
5-Этил-2-метокси-N-(4-(трифторметил)бензо[d]изоксазол-3-ил)бензолсульфонамид
ЖХМС-D: вр. уд. 2,74 мин, m/z 401,1 [M+H]+; 1H ЯМР (400 MГц, ДМСО-d6) δ 10,3 (с, 1H), 8,14 (т, J=6,4 Гц, 1H), 7,91-7,88 (м, 2H), 7,55 (д, J=2,4 Гц, 1H), 7,51 (дд, J=8,8, 2,4 Гц, 1H), 7,20 (д, J=8,4 Гц, 1H), 3,82 (с, 3H), 2,63 (к, J=7,6 Гц, 2H), 1,17 (т, J=7,6 Гц, 3H). 5-Этил-2-метоксибензолсульфонилхлорид I112
4-(Трифторметил)бензо[d]изоксазол-3-амин I42
FA Добавляли 2 экв. LiHMDS при -78°C и перед добавлением 2 экв. сульфонилхлорида перемешивали при 0°C в течение 1 ч.
Колоночная хроматография (ДХМ/MeOH=20/1)
122
N-(4-Хлорбензо[d]изоксазол-3-ил)хиноксалин-5-сульфонамид
ЖХМС-D: вр. уд. 2,30 мин, m/z 361,0 [M+H]+; 1H ЯМР (400 MГц, ДМСО-d6) δ 11,0 (с, 1H), 9,09 (д, J=1,4 Гц, 1H), 9,08 (д, J=1,4 Гц, 1H), 8,47-8,43 (м, 2H), 8,05 (т, J=8,0 Гц, 1H), 7,72-7,62 (м, 2H), 7,42 (д, J=7,8 Гц, 1H). FA Использовали 2 экв. LiHMDS
Очистка: растворяли в 2 M водн. растворе NaOH, промывали EtOAc, а затем подкисляли до pH 2 и экстрагировали с использованием ДХМ
123
N-(4-Хлорбензо[d]изоксазол-3-ил)хинолин-8-сульфонамид
ЖХМС-D: вр. уд. 2,41 мин, m/z 360,0 [M+H]+;1H ЯМР (400 MГц, ДМСО-d6) δ 8,93 (дд, J=4,3, 1,8 Гц, 1H), 8,58 (дд, J=8,4, 1,8 Гц, 1H), 8,40-8,35 (м, 2H), 7,79 (т, J=7,8 Гц, 1H), 7,73-7,60 (м, 3H), 7,41 (д, J=7,4 Гц, 1H). FA Использовали 2 экв. LiHMDS
Очистка: растворяли в 2 M водн. растворе NaOH, промывали EtOAc, затем подкисляли до pH 2 и экстрагировали с использованием ДХМ
124
N-(4-Хлорбензо[d]изоксазол-3-ил)нафталин-1-сульфонамид
ЖХМС-D: вр. уд. 2,60 мин, m/z 359,0 [M+H]+; 1H ЯМР (400 MГц, ДМСО-d6) δ 8,73 (т, J=8,4 Гц, 1H), 8,31-8,24 (м, 2H), 8,14 (д, J=7,8 Гц, 1H), 7,74-7,63 (м, 5H), 7,46 (д, J=7,2 Гц, 1H). FA Использовали 2 экв. LiHMDS
Колоночная хроматография (петр. эфир/EtOAc=от 50/1 до 2/1
125
N-(6-(1H-1,2,3-Триазол-1-ил)бензо[d]изоксазол-3-ил)-5-этил-2-метоксибензолсульфонамид
ЖХМС-D: вр. уд. 2,48 мин, m/z 400,1 [M+H]+;1H ЯМР (400 MГц, ДМСО-d6) δ 11,9 (с, 1H), 8,96 (с, 1H), 8,26-8,23 (м, 2H), 8,04-8,01 (м, 2H), 7,73 (д, J=2,0 Гц, 1H), 7,49 (дд, J=8,4, 2,0 Гц, 1H), 7,11 (д, J=8,4 Гц, 1H), 3,73 (с, 3H), 2,65 (к, J=8,0 Гц, 2H), 1,23 (т, J=8,0 Гц, 3H). 5-Этил-2-метоксибензолсульфонилхлорид I112
6-(1H-1,2,3-Триазол-1-ил)бензо[d]изоксазол-3-амин I36
FB Колоночная хроматография (ДХМ/MeOH=от 100/0 до 50/1)
126
5-Этил-2-метокси-N-(6-(пиримидин-2-ил)бензо[d]изоксазол-3-ил)бензолсульфонамид
ЖХМС-D: вр. уд. 2,65 мин, m/z 411,1 [M+H]+;1H ЯМР (400 MГц, ДМСО-d6) δ 11,8 (с, 1H), 8,98 (д, J=4,8 Гц, 2H), 8,43 (д, J=8,4 Гц, 1H), 8,48 (с, 1H), 8,20 (д, J=8,4 Гц, 1H), 7,73 (д, J=2,0 Гц, 1H), 7,55 (т, J=4,8 Гц, 1H), 7,48 (дд, J=8,4, 2,0 Гц, 1H), 7,11 (д, J=8,8 Гц, 1H), 3,72 (с, 3H), 2,65 (к, J=7,2 H, 2H), 1,17 (т, J=7,2 Гц, 3H). 5-Этил-2-метоксибензолсульфонилхлорид I112
6-(Пиримидин-2-ил)бензо[d]изоксазол-3-амин I39
FB Преп. ТСХ (ДХМ/MeOH=50/1)
127
5-Бром-N-(4-хлорбензо[d]изоксазол-3-ил)-2,3-дигидробензофуран-7-сульфонамид
ЖХМС-D: вр. уд. 2,66 мин,
m/z 428,9 [M+H]+; 1H ЯМР (400 MГц, ДМСО-d6) δ 11,2 (с, 1H), 7,75-7,65 (м, 3H), 7,58 (д, J=2,0 Гц, 1H), 7,48 (д, J=7,2 Гц, 1H), 4,57 (т, J=8,8 Гц, 2H), 3,26 (т, J=8,8 Гц, 2H).
5-Бром-2,3-дигидробензофуран-7-сульфонилхлорид I95 FA При -78°C добавляли LiHMDS и перед добавлением сульфонилхлорида перемешивали при 0°C в течение 1 ч.
Колоночная хроматография (петр. эфир/EtOAc=5/1)
128
N-(5-Бром-4-хлорбензо[d]изоксазол-3-ил)-5-этил-2-метоксибензолсульфонамид
ЖХМС-E: вр. уд. 5,81 мин, m/z 444,7 [M+H]+; 1H ЯМР (400 MГц, ДМСО-d6) δ 10,7 (с, 1H), 8,02 (д, J=8,8 Гц, 1H), 7,74 (д, J=8,8 Гц, 1H), 7,60 (д, J=2,4 Гц, 1H), 7,50-7,48 (м, 1H), 7,16 (д, J=8,4 Гц, 1H), 3,66 (с, 3H), 2,63 (к, J=7,6 Гц, 2H), 1,17 (т, J=7,6 Гц, 3H). 5-Этил-2-метоксибензолсульфонилхлорид I112
5-Бром-4-хлорбензо[d]изоксазол-3-амин I44
FD Добавляли 1 экв. KHMDS, перемешивали при -78°C в течение 30 мин, после чего добавляли 2 экв. сульфонилхлорида.
Колоночная хроматография (петр. эфир/EtOAc=от 50/1 до 2/1)
129
N-(4-Бромбензо[d]изоксазол-3-ил)-5-этил-2-метоксибензолсульфонамид
ЖХМС-D: вр. уд. 2,69 мин, m/z 410,9 [M+H]+; 1H ЯМР (400 MГц, ДМСО-d6) δ 10,4 (с, 1H), 7,78 (д, J=8,0 Гц, 1H), 7,65-7,56 (м, 3H), 7,49 (дд, J=8,4, 2,4 Гц, 1H), 7,15 (д, J=8,4 Гц, 1H), 3,68 (с, 3H), 2,60 (к, J=7,6 Гц, 2H), 1,16 (т, J=7,6 Гц, 3H). 5-Этил-2-метоксибензолсульфонилхлорид I112
4-Бромбензо[d]изоксазол-3-амин I41
FA Использовали 1,5 экв. LiHMDS
Колоночная хроматография (петр. эфир/EtOAc=от 2/1 до 1/1)
130
N-(6-(2H-1,2,3-Триазол-2-ил)бензо[d]изоксазол-3-ил)-5-этил-2-метоксибензолсульфонамид
ЖХМС-D: вр. уд. 2,77 мин, m/z 400,1 [M+H]+; 1H ЯМР (400 MГц, ДМСО-d6) δ 11,9 (с, 1H), 8,24-8,17 (м, 3H), 8,12-8,10 (м, 2H), 7,70 (с, 1H), 7,48 (д, J=8,4 Гц, 1H), 7,11 (д, J=8,4 Гц, 1H), 3,76 (с, 3H), 2,65 (к, J=7,6 Гц, 2H), 1,17 (т, J=7,6 Гц, 3H). 5-Этил-2-метоксибензолсульфонилхлорид I112
6-(2H-1,2,3-Триазол-2-ил)бензо[d]изоксазол-3-амин I72
FB Использовали 3 экв. сульфонилхлорида.
Преп. ТСХ (ДХМ/MeOH=50/1)
131
N-(6-(1H-Пиразол-1-ил)бензо[d]изоксазол-3-ил)-5-этил-2-метоксибензолсульфонамид
ЖХМС-D: вр. уд. 2,61 мин, m/z 399,1 [M+H]+; 1H ЯМР (400 MГц, ДМСО-d6) δ 11,8 (с, 1H), 8,66 (д, J=2,4 Гц, 1H), 8,15 (д, J=8,4 Гц, 1H), 8,07 (д, J=2,0 Гц, 1H), 7,97 (дд, J=8,8, 2,0 Гц, 1H), 7,83 (д, J=1,2 Гц, 1H), 7,72 (д, J=2,0 Гц, 1H), 7,48 (дд, J=8,4, 2,0 Гц, 1H), 7,11 (д, J=8,4 Гц, 1H), 6,62 (д, J=1,2 Гц, 1H), 3,73 (с, 3H), 2,65 (к, J=7,6 Гц, 2H), 1,18 (т, J=7,6 Гц, 3H). 5-Этил-2-метоксибензолсульфонилхлорид I112
6-(1H-Пиразол-1-ил)бензо [d]изоксазол-3-амин I70
FB Использовали 3 экв. сульфонилхлорида.
Колоночная хроматография (ДХМ/MeOH=50/1)
132
N-(7-Этоксибензо[d]изоксазол-3-ил)-5-этил-2-метоксибензолсульфонамид
ЖХМС-D: вр. уд. 2,67 мин, m/z 377,1 [M+H]+; 1H ЯМР (400 MГц, ДМСО-d6) δ 11,6 (с, 1H), 7,69 (д, J=2,0 Гц, 1H), 7,57 (д, J=7,6 Гц, 1H), 7,46 (дд, J=8,8, 2,0 Гц, 1H), 7,26 (д, J=8,0 Гц, 1H), 7,15 (д, J=8,0 Гц, 1H), 7,08 (д, J=8,4 Гц, 1H), 4,21 (к, J=6,8 Гц, 2H), 3,72 (с, 3H), 3,62 (к, J=7,6 Гц, 2H), 1,36 (т, J=6,8 Гц, 3H), 1,16 (т, J=7,6 Гц, 3H). 5-Этил-2-метоксибензолсульфонилхлорид I112
7-Этоксибензо [d]изоксазол-3-амин I26
FB Колоночная хроматография (петр. эфир/EtOAc=5/1)
133
N-(7-(Циклопропилметокси)бензо[d]изоксазол-3-ил)-5-этил-2-метоксибензолсульфонамид
ЖХМС-D: вр. уд. 2,87 мин, m/z 403,1 [M+H]+; 1H ЯМР (400 MГц, ДМСО-d6) δ 11,6 (с, 1H), 7,69 (д, J=1,6 Гц, 1H), 7,56 (д, J=8,0 Гц, 1H), 7,46 (д, J=8,0 Гц, 1H), 7,24 (т, J=8,0 Гц, 1H), 7,14 (д, J=7,6 Гц, 1H), 7,09 (д, J=8,4 Гц, 1H), 3,99 (д, J=7,2 Гц, 2H), 3,72 (с, 3H), 2,63 (к, J=7,6 Гц, 2H), 1,30 (м, 1H), 1,16 (т, J=7,6 H, 3H), 0,59-0,54 (м, 2H), 0,35-0,30 (м, 2H). 5-Этил-2-метоксибензолсульфонилхлорид I112
7-(Циклопропилметокси)бензо[d]изоксазол-3-амин I28
FB Колоночная хроматография (ДХМ/MeOH=200/1)
134
N-(6-(Циклопропилметокси) бензо[d]изоксазол-3-ил)-5-этил-2-метоксибензолсульфонамид
ЖХМС-D: вр. уд. 2,89 мин, m/z 403,1 [M+H]+; 1H ЯМР (400 MГц, ДМСО-d6) δ 11,5 (с, 1H), 7,87 (д, J=8,8 Гц, 1H), 7,68 (д, J=2,4 Гц, 1H), 7,46 (дд, J=8,4, 2,0 Гц, 1H), 7,09-7,07 (м, 2H), 6,96 (дд, J=8,8, 2,0 Гц, 1H), 3,88 (д, J=6,8 Гц, 2H), 3,73 (с, 3H), 2,63 (к, J=7,6 Гц, 2H), 1,30 (м, 1H), 1,16 (т, J=7,6 Гц, 3H), 0,60-0,55 (м, 2H), 0,25-0,22 (м, 2H). 5-Этил-2-метоксибензолсульфонилхлорид I112
6-(Циклопропил метокси)бензо[d]изоксазол-3-амин I33
FB Очищали с помощью преп. ВЭЖХ
135
N-(5-Бромбензо[d]изоксазол-3-ил)-5-этил-2-метоксибензолсульфонамид
ЖХМС-D: вр. уд. 2,83 мин, m/z 410,9 [M+H]+; 1H ЯМР (400 MГц, ДМСО-d6) δ 11,8 (с, 1H), 8,25 (с, 1H), 8,78 (д, J=8,8 Гц, 1H), 7,71 (с, 1H), 7,62 (д, J=8,8 Гц, 1H), 7,48 (д, J=8,0 Гц, 1H), 7,11 (д, J=8,4 Гц, 1H), 3,72 (с, 3H), 3,64 (к, J=7,2 Гц, 2H), 1,17 (т, J=7,2 Гц, 3H). 5-Этил-2-метоксибензолсульфонилхлорид I112
5-Бром
бензо[d]изоксазол-3-амин I40
FA Использовали 2 экв. LiHMDS и 2 экв. сульфонилхлорида.
Преп. ТСХ (петр. эфир/EtOAc=2/1)
136
5-Этил-2-метокси-N-(7-(пиримидин-2-ил)бензо[d]изоксазол-3-ил)бензолсульфонамид
ЖХМС-D: вр. уд. 2,52 мин, m/z 411,1 [M+H]+; 1H ЯМР (400 MГц, метанол-d4/CDCl3) δ 8,87 (д, J=4,8 Гц, 2H), 8,51 (д, J=7,6 Гц, 1H), 8,15-8,13 (м, 1H), 7,76 (д, J=2,4 Гц, 1H), 7,49 (т, J=8,0 Гц, 1H), 7,37-7,33 (м, 2H), 6,95 (д, J=8,8 Гц, 1H), 3,81 (с, 3H), 2,61 (к, J=7,6 Гц, 2H), 1,18 (т, J=7,6 Гц, 3H). 5-Этил-2-метоксибензолсульфонилхлорид I112
7-(Пиримидин-2-ил)бензо[d]изоксазол-3-амин I68
FB Преп. ТСХ (петр. эфир/EtOAc=1/1)
137
N-(7-Бромбензо[d]изоксазол-3-ил)-5-этил-2-метоксибензолсульфонамид
ЖХМС-D: вр. уд. 2,85 мин, m/z 411,0 [M+H]+; 1H ЯМР (400 MГц, ДМСО-d6) δ 11,9 (с, 1H), 8,08 (д, J=8,0 Гц, 1H), 7,89 (д, J=7,2 Гц, 1H), 7,71 (д, J=2,0 Гц, 1H), 7,48 (д, J=8,4 Гц, 1H), 7,34 (д, J=7,6 Гц, 1H), 7,10 (д, J=8,4 Гц, 1H), 3,71 (с, 3H), 2,64 (к, J=7,6 Гц, 2H), 1,17 (т, J=7,6 Гц, 3H). 5-Этил-2-метоксибензолсульфонилхлорид I112
7-Бромбензо [d]изоксазол-3-амин I66
FB Использовали 3 экв. сульфонилхлорида.
Преп. ТСХ (петр. эфир/EtOAc=5/1)
138
N-(6-Бромбензо[d]изоксазол-3-ил)-5-этил-2-метоксибензолсульфонамид
ЖХМС-D: вр. уд. 2,93 мин, m/z 411,0 [M+H]+; 1H ЯМР (400 MГц, ДМСО-d6) δ 11,8 (с, 1H), 8,08-7,99 (м, 2H), 7,70 (д, J=2,0 Гц, 1H), 7,58 (дд, J=8,8, 1,6 Гц, 1H), 7,48 (дд, J=8,8, 2,0 Гц, 1H), 7,10 (д, J=8,4 Гц, 1H), 3,71 (с, 3H), 2,64 (к, J=7,6 Гц, 2H), 1,17 (т, J=7,6 Гц, 3H). 5-Этил-2-метоксибензолсульфонилхлорид I112
6-Бромбензо
[d]изоксазол-3-амин I75
FB Использовали 1,8 экв. сульфонилхлорида.
Колоночная хроматография (петр. эфир/EtOAc=от 100/0 до 5/1)
139
N-(6-Этоксибензо[d]изоксазол-3-ил)-5-этил-2-метоксибензолсульфонамид
ЖХМС-D: вр. уд. 2,76 мин, m/z 377,1 [M+H]+; 1H ЯМР (400 MГц, ДМСО-d6) δ 11,5 (с, 1H), 7,88 (д, J=8,8 Гц, 1H), 7,66 (д, J=2,0 Гц, 1H), 7,47-7,44 (м, 1H), 7,11-7,08 (м, 1H), 6,94 (дд, J=8,8, 2,0 Гц, 1H), 4,11 (к, J=7,2 Гц, 2H), 3,73 (с, 3H), 2,63 (к, J=7,6 Гц, 2H), 1,36 (т, J=7,2 Гц, 3H), 1,17 (т, J=7,6 Гц, 3H). 5-Этил-2-метоксибензолсульфонилхлорид I112
6-Этокси бензо[d]изоксазол-3-амин I32
FB Колоночная хроматография (петр. эфир/EtOAc=от 100/0 до 5/1)
140
5-Этил-2-метокси-N-(6-(пиридин-2-ил)бензо[d]изоксазол-3-ил)бензолсульфонамид
ЖХМС-D: вр. уд. 2,63 мин, m/z 410,1 [M+H]+; 1H ЯМР (400 MГц, ДМСО-d6) δ 11,8 (с, 1H), 8,74-8,69 (м, 1H), 8,26 (с, 1H), 8,18-8,09 (м, 3H), 7,98-7,90 (м, 1H), 7,72 (д, J=2,3 Гц, 1H), 7,50-7,39 (м, 2H), 7,13-7,06 (м, 1H), 3,73 (с, 3H), 2,61 (к, J=7,6 Гц, 2H), 1,15 (т, J=7,6 Гц, 3H). 5-Этил-2-метоксибензолсульфонилхлорид I112
6-(Пиридин-2-ил)бензо[d]изоксазол-3-амин I74
FB Колоночная хроматография (ДХМ/MeOH=от 100/0 до 100/1)
141
N-(Бензо[d]изоксазол-3-ил)-4-бром-2-метоксибензолсульфонамид
ЖХМС-D: вр. уд. 2,58 мин, m/z 382,9 [M+H]+; 4-Бром-2-метоксибензолсульфонилхлорид I110 FB Использовали 1,2 экв. сульфонилхлорида.
Колоночная хроматография (петр. эфир/EtOAc=от 5/1 до 2/1)
142
2,6-Диметокси-N-(4-метокси-7-фенилбензо[d]изоксазол-3-ил)бензолсульфонамид
ЖХМС-C: вр. уд. 2,39 мин, m/z 441,0 [M+H]+; 1H ЯМР (400 MГц, ДМСО-d6) δ 9,62 (с, 1H), 7,90-7,69 (м, 3H), 7,59-7,32 (м, 4H), 6,97 (д, J=8,4 Гц, 1H), 6,86-6,73 (м, 2H), 3,98 (с, 3H), 3,79 (с, 6H). 2,6-Диметоксибензолсульфонилхлорид I111
4-Метокси-7-фенилбензо[d]изоксазол-3-амин I80
FA Использовали 4 экв. LiHMDS, перед добавлением сульфонилхлорида перемешивали в течение 2 ч.
Преп. ТСХ (ДХМ/MeOH=100/1)
143
2,6-Диметокси-N-(4-метокси-7-(1-метил-1H-пиразол-4-ил)бензо[d]изоксазол-3-ил)бензолсульфонамид
ЖХМС-C: вр. уд. 1,89 мин, m/z 445,0 [M+H]+; 1H ЯМР (400 MГц, ДМСО-d6) δ 9,58 (с, 1H), 8,22 (с, 1H), 7,96 (с, 1H), 7,80 (д, J=8,2 Гц, 1H), 7,50 (т, J=8,5 Гц, 1H), 6,88 (д, J=8,3 Гц, 1H), 6,78 (д, J=8,5 Гц, 2H), 3,95 (с, 3H), 3,88 (с, 3H), 3,79 (с, 6H). 2,6-Диметоксибензолсульфонилхлорид I111
4-Метокси-7-(1-метил-1H-пиразол-4-ил)бензо[d]изоксазол-3-амин I82
FA Использовали 4 экв. LiHMDS, перед добавлением сульфонилхлорида перемешивали в течение 2 ч.
Преп. ТСХ (ДХМ/MeOH=30/1)
144
2,6-Диметокси-N-(4-метокси-6-(оксазол-2-ил)бензо[d]изоксазол-3-ил)бензолсульфонамид
ЖХМС-C: вр. уд. 1,81 мин, m/z 431,9 [M+H]+; 1H ЯМР (400 MГц, ДМСО-d6) δ 9,81 (с, 1H), 8,33 (д, J=0,9 Гц, 1H), 7,73 (д, J=0,9 Гц, 1H), 7,51 (т, J=8,5 Гц, 1H), 7,48 (д, J=0,8 Гц, 1H), 7,38 (д, J=1,0 Гц, 1H), 6,79 (д, J=8,5 Гц, 2H), 4,01 (с, 3H), 3,78 (с, 6H). 2,6-Диметоксибензолсульфонилхлорид I111
4-Метокси-6-(оксазол-2-ил)бензо[d]изоксазол-3-амин I86
FA Перед добавлением сульфонилхлорида перемешивали в течение 2 ч.
Преп. ТСХ (ДХМ/MeOH=75/1)
145
N-(5-Хлор-4-метокси-6-(метоксиметил)бензо[d]изоксазол-3-ил)-2,6-диметоксибензолсульфонамид
ЖХМС-C: вр. уд. 2,27 мин, m/z 442,9 [M+H]+; 1H ЯМР (400 MГц, ДМСО-d6) δ 10,4 (с, 1H), 7,56-7,49 (м, 2H), 6,80 (д, J=8,5 Гц, 2H), 4,58 (с, 2H), 3,93 (с, 3H), 3,78 (с, 6H), 3,41 (с, 3H). 2,6-Диметоксибензолсульфонилхлорид I111
5-Хлор-4-метокси-6-(метоксиметил)бензо[d]изоксазол-3-амин I83
FA Использовали 1,5 экв. LiHMDS, перед добавлением 2 экв. сульфонилхлорида перемешивали в течение 2 ч.
Преп. ТСХ (ДХМ/MeOH=100/1)
146
2,6-Диметокси-N-(4-метокси-6-(пиридин-2-ил)бензо[d]изоксазол-3-ил)бензолсульфонамид
ЖХМС-C: вр. уд. 1,89 мин, m/z 442,0 [M+H]+; 1H ЯМР (400 MГц, ДМСО-d6) δ 9,67 (с, 1H), 8,75-8,68 (м, 1H), 8,15 (д, J=8,0 Гц, 1H), 7,98-7,90 (м, 1H), 7,86 (с, 1H), 7,59 (с, 1H), 7,51 (т, J=8,5 Гц, 1H), 7,47-7,41 (м, 1H), 6,79 (д, J=8,6 Гц, 2H), 4,02 (с, 3H), 3,79 (с, 6H). 2,6-Диметоксибензолсульфонилхлорид I111
4-Метокси-6-(пиридин-2-ил)бензо[d]изоксазол-3-амин I77
FA Использовали 4 экв. LiHMDS и перед добавлением сульфонилхлорида перемешивали в течение 1 ч.
Преп. ТСХ (ДХМ/MeOH=50/1)
147
2,6-Диметокси-N-(6-(оксазол-2-ил)бензо[d]изоксазол-3-ил)бензолсульфонамид
ЖХМС-D: вр. уд. 2,31 мин, m/z 401,8 [M+H]+; 1H ЯМР (400 MГц, ДМСО-d6) δ 11,6 (с, 1H), 8,32 (с, 1H), 8,19-8,18 (м, 1H), 8,07 (с, 1H), 7,96 (д, J=8,4 Гц, 1H), 7,45-7,40 (м, 2H), 6,73 (д, J=8,4 Гц, 2H), 3,71 (с, 6H). 2,6-Диметоксибензолсульфонилхлорид I111
6-(Оксазол-2-ил)бензо[d]изоксазол-3-амин I90
FB Преп. ТСХ (петр. эфир/EtOAc=1/1)

Пример 148: N-(бензо[d]изоксазол-3-ил)-2,4-диметоксибензолсульфонамид 148

Раствор 2,4-диметоксибензолсульфонилхлорида (0,18 г, 0,75 ммоль) и бензо[d]изоксазол-3-амина (0,10 г, 0,75 ммоль) в пиридине (1 мл) облучали в микроволновом реакторе при 110°C в течение 2 часов. Полученную смесь загружали на силикагель и дважды очищали продукт с помощью колоночной хроматографии (картридж SiO2 4 г, 0-45% EtOAc в петролейном бензине 40-60 °C, затем картридж SiO2 4 г, 0-35% EtOAc в петролейном бензине 40-60 °C) с получением двух партий (78 мг и 5 мг) указанного в заголовке соединения (общая масса 83 мг, выход 33%) в виде твердых веществ белого цвета. 1H ЯМР (400 MГц, CDCl3) δ 8,11 (д, J=8,05 Гц, 1H), 7,79 (с, 1H), 7,70 (д, J=8,81 Гц, 1H), 7,57-7,50 (м, 1H), 7,47-7,40 (м, 1H), 7,37-7,29 (м, 1H), 6,50 (д, J=2,27 Гц, 1H), 6,42 (дд, J=2,25, 8,81 Гц, 1H), 3,98 (с, 3H), 3,81 (с, 3H). ЖХМС-B: вр. уд. 3,20 мин, m/z=356,8 [M+Na]+, 334,8 [M+H]+.

Пример 149: N-(бензо[d]изоксазол-3-ил)-2,6-диметоксибензолсульфонамид 149

Раствор 2,6-диметоксибензол-1-сульфонилхлорида I111 (0,088 г, 0,37 ммоль) и бензо[d]изоксазол-3-амина (0,050 г, 0,37 ммоль) в пиридине (1 мл) облучали в микроволновом реакторе при 110°C в течение 2 часов, а затем при 120°C в течение 2 часов. Реакционную смесь загружали на силикагель и очищали с помощью колоночной хроматографии (картридж SiO2 12 г, 0-35% EtOAc в петролейном бензине 40-60 °C) с получением указанного в заголовке соединения (3,9 мг, выход 3,1%) в виде твердого вещества белого цвета. 1H ЯМР (400 MГц, CDCl3) δ 8,30 (с, 1H), 8,17 (дт, J=1,04, 8,15 Гц, 1H), 7,55-7,47 (м, 1H), 7,47-7,34 (м, 2H), 7,34-7,28 (м, 1H), 6,60 (д, J=8,52 Гц, 2H), 3,91 (с, 6H). ЖХМС-B: вр. уд. 3,13 мин, m/z=334,8 [M+H]+.

Пример 150: N-(5-хлорбензо[d]изоксазол-3-ил)-5-этил-2-метоксибензолсульфонамид 150

a) 5-Хлорбензо[d]изоксазол-3-амин A1

К суспензии ацетогидроксамовой кислоты (531 мг, 7,07 ммоль) в ДМФ (10 мл) добавляли трет-бутоксид калия (793 мг, 7,07 ммоль) и перемешивали при комнатной температуре в течение 30 минут. Добавляли 5-хлор-2-фторбензонитрил (1,00 г, 6,43 ммоль) и нагревали реакционную смесь до 50°C в течение 1 часа. После охлаждения реакционную смесь разбавляли водным насыщенным раствором NaCl (15 мл), водный слой экстрагировали с использованием EtOAc (3 × 100 мл), органические слои объединяли, сушили (Na2SO4), фильтровали и удаляли летучие вещества в вакууме. Остаток загружали на силикагель и очищали продукт с помощью колоночной хроматографии (Biotage Isolera, картридж SiO2 40 г, 0-40% EtOAc в петролейном бензине 40-60 °C) с получением указанного в заголовке соединение в виде твердого вещества белого цвета (507 мг, 47%). 1H ЯМР (400 MГц, ДМСО-d6) δ=7,94 (дд, J=2,1, 0,6, 1H), 7,59-7,48 (м, 1H), 6,51 (с, 1H).

b) N-(5-хлорбензо[d]изоксазол-3-ил)-5-этил-2-метоксибензолсульфонамид 150

Суспензию 5-этил-2-метоксибензол-1-сульфонилхлорида (150 мг, 0,639 ммоль) и 5-хлорбензо[d]изоксазол-3-амина A1 (108 мг, 0,639 ммоль) в пиридине (1,5 мл) облучали в микроволновом реакторе при 110°C в течение 2 часов. Добавляли 10 M водный раствор KOH (1 мл) и перемешивали полученную смесь в течение 4 часов при комнатной температуре. Реакционную смесь загружали на силикагель и очищали продукт с помощью колоночной хроматографии (0-100% EtOAc в петролейном бензине 40-60 °C) с получением указанного в заголовке соединения в виде твердого вещества белого цвета (53 мг, 23%). 1H ЯМР (400 MГц, ДМСО-d6) δ=8,11 (т, J=1,4, 1H), 7,71 (д, J=2,3, 1H), 7,68 (д, J=1,4, 2H), 7,48 (дд, J=8,5, 2,3, 1H), 7,10 (д, J=8,6, 1H), 3,72 (с, 3H), 2,62 (к, J=7,6, 2H), 1,16 (т, J=7,6, 3H). ЖХМС-A: вр. уд. 6,637 мин; m/z 367,0 [M+H]+.

Пример 151: N-(4-хлорбензо[d]изоксазол-3-ил)бензолсульфонамид 151

a) N-(4-хлорбензо[d]изоксазол-3-ил)-N-(фенилсульфонил)бензолсульфонамид A2

Раствор 4-хлорбензо[d]изоксазол-3-амина (50 мг, 0,298 ммоль) и бензолсульфонилхлорида (2 экв., 0,595 ммоль) в пиридине (1,5 мл) облучали в микроволновом реакторе в течение 2 часов при 100 °C. После охлаждения загружали реакционную смесь на силикагель и очищали с помощью колоночной хроматографии на силикагеле (Biotage Isolera, картридж SiO2 24 г, 0-100% EtOAc в петролейном бензине 40-60 °C) с получением указанного в заголовке соединения. 1H ЯМР (400 MГц, ДМСО-d6) δ=7,97 (д, J=8,6, 1H), 7,90-7,77 (м, 6H), 7,71-7,64 (м, 7H), 7,57 (д, J=7,7, 1H).

b) N-(4-хлорбензо[d]изоксазол-3-ил)бензолсульфонамид 151

Суспензию N-(4-хлорбензо[d]изоксазол-3-ил)-N-(фенилсульфонил)бензолсульфонамида A2 (50 мг, 0,11 ммоль) в ТГФ (10 мл) и 10 M водный раствор KOH (1 мл) перемешивали при комнатной температуре в течение 16 часов. Реакционную смесь разбавляли водой (25 мл), водный слой экстрагировали с использованием EtOAc (3 × 50 мл), объединенные органические слои промывали насыщенным солевым раствором (25 мл) сушили (Na2SO4), фильтровали и концентрировали при пониженном давлении. Полученную камедь растворяли в минимальном количестве ацетона, после чего добавляли петролейный бензин 40-60 °C (50 мл), фильтровали осадок и сушили на воздухе с получением указанного в заголовке соединения в виде твердого вещества желтовато-коричневого цвета (10 мг, 29%). 1H ЯМР (400 MГц, ДМСО-d6) δ=7,89-7,80 (м, 2H), 7,41-7,30 (м, 4H), 7,26 (дд, J=8,3, 0,8, 1H), 7,10 (дд, J=7,5, 0,8, 1H). ЖХМС-A: вр. уд. 6,334 мин, m/z 307,0 [M-H]-.

Пример 152: 5-этил-N-(7-фторбензо[d]изоксазол-3-ил)-2-метоксибензолсульфонамид 152

a) 7-фторбензо[d]изоксазол-3-амин A3

К суспензии ацетогидроксамовой кислоты (594 мг, 7,91 ммоль) в ДМФ (10 мл) добавляли трет-бутоксид калия (887 мг, 7,91 ммоль) и перемешивали реакционную смесь при комнатной температуре в течение 30 минут. Добавляли 2,3-дифторбензонитрил (1,00 г, 7,19 ммоль) и нагревали реакционную смесь до 50°C в течение 1 часа. После охлаждения реакционную смесь разбавляли водным насыщенным раствором NaCl (15 мл), водный слой экстрагировали с использованием EtOAc (3 × 100 мл) органические слои объединяли, сушили (Na2SO4), фильтровали и удаляли летучие вещества в вакууме. Полученную камедь загружали на силикагель и очищали с помощью колоночной хроматографии (Biotage Isolera, картридж SiO2 24 г, 0-100% EtOAc в петролейном бензине 40-60 °C) с получением указанного в заголовке соединения в виде твердого вещества белого цвета (303 мг, 27%). 1H ЯМР (400 MГц, CDCl3) δ=7,33 (дд, J=7,6, 1,3, 1H), 7,30-7,26 (м, 1H), 7,26-7,19 (м, 1H), 4,45 (с, 2H). ЖХМС-B: вр. уд. 3,371 мин, m/z 153,2 [M+H]+.

b) 5-Этил-N-(7-фторбензо[d]изоксазол-3-ил)-2-метоксибензолсульфонамид 152

Раствор 7-фторбензо[d]изоксазол-3-амина A3 (100 мг, 0,657 ммоль) и 2-метокси-5-этилсульфонилхлорида I112 (154 мг, 0,657 ммоль) в пиридине (2 мл) облучали в микроволновом реакторе в течение 2 часов при 100 °C. После охлаждения загружали реакционную смесь на силикагель и очищали с помощью колоночной хроматографии (Biotage Isolera, картридж SiO2 24 г, 0-100% EtOAc в петролейном бензине 40-60 °C) с получением указанного в заголовке соединения в виде твердого вещества белого цвета (127 мг, 55%). 1H ЯМР (400 MГц, ДМСО-d6) δ=7,91 (дд, J=8,1, 0,8, 1H), 7,73 (д, J=2,3, 1H), 7,57 (дд, J=11,9, 8,0, 1H), 7,48 (дд, J=8,5, 2,3, 1H), 7,38 (тд, J=8,0, 4,1, 1H), 7,10 (д, J=8,6, 1H), 3,73 (с, 3H), 2,63 (к, J=7,6, 2H), 1,16 (т, J=7,6, 3H). ЖХМС-A: вр. уд. 6,429 мин, m/z 351,1 [M+H]+.

Пример 153: N-(4-хлор-5-метилбензо[d]изоксазол-3-ил)-5-этил-2-метоксибензолсульфонамид 153

a) 4-Хлор-5-метилбензо[d]изоксазол-3-амин A4

К суспензии ацетогидроксамовой кислоты (487 мг, 6,49 ммоль) в ДМФ (10 мл) добавляли трет-бутоксид калия (728 мг, 6,49 ммоль) и перемешивали при комнатной температуре в течение 30 минут. Добавляли 2-хлор-6-фтор-3-метилбензонитрил (1,00 г, 5,90 ммоль) и нагревали реакционную смесь до 50°C в течение 1 часа. После охлаждения реакционную смесь разбавляли водным насыщенным раствором NaCl (15 мл), водный слой экстрагировали с использованием EtOAc (3 × 100 мл), органические слои объединяли, сушили (Na2SO4), фильтровали и удаляли летучие вещества в вакууме. Полученное твердое вещество обрабатывали ультразвуком в ацетоне (10 мл), после чего добавляли петролейный бензин 40-60 °C (50 мл), осадок собирали с помощью фильтрации сушили на воздухе с получением продукта в виде твердого вещества белого цвета (524 мг, 49%). 1H ЯМР (400 MГц, ДМСО-d6) δ=7,51 (д, J=8,5, 1H), 7,38 (д, J=8,5, 1H), 6,15 (с, 2H), 2,38 (с, 3H). ЖХМС-B: вр. уд. 3,562 мин, m/z 183,1 [M+H]+.

b) N-(4-Хлор-5-метилбензо[d]изоксазол-3-ил)-5-этил-2-метоксибензолсульфонамид 153

Раствор 4-хлор-5-метилбензо[d]изоксазол-3-амина A4 (100 мг, 0,548 ммоль) и 2-метокси-5-этилсульфонилхлорида I112 (129 мг, 0,548 ммоль) в пиридине (2 мл) облучали в микроволновом реакторе в течение 2 часов при 100 °C. После охлаждения, реакционную смесь добавляли в воду, удаляли осадок путем фильтрации, загружали фильтрат на силикагель и очищали с помощью колоночной хроматографии (Biotage Isolera, картридж SiO2 24 г, 0-100% EtOAc в петролейном бензине 40-60 °C) с получением указанного в заголовке соединения в виде твердого вещества белого цвета (33 мг, 16%). 1H ЯМР (400 MГц, ДМСО-d6) δ=10,48 (с, 1H), 7,69-7,57 (м, 3H), 7,48 (дд, J=8,5, 2,3, 1H), 7,15 (д, J=8,5, 1H), 3,68 (с, 3H), 2,60 (к, J=7,5, 2H), 2,42 (с, 3H), 1,15 (т, J=7,6, 3H). ЖХМС-A: вр. уд. 6,665 мин, m/z 381,1 [M+H]+.

Пример 154: N-(4-хлорбензо[d]изоксазол-3-ил)-5-этил-2-метоксибензолсульфонамид 154

Смесь 5-этил-2-метоксибензолсульфонилхлорида I112 (0,414 г, 1,77 ммоль) и 4-хлорбензо[d]изоксазол-3-амина (0,225 г, 1,34 ммоль) в пиридине (2,0 мл) перемешивали при 30°C в течение 40 часов в атмосфере азота. Реакционную смесь концентрировали, после чего обрабатывали ультразвуком в течение 2 часов с использованием водного раствора HCl (5%) и собирали полученный осадок. Осадок очищали с помощью колоночной хроматографии на силикагеле (0-100% этилацетат/петролейном бензине 40-60 °C) с получением указанного в заголовке соединения в виде двух фракций (A и B) с общим выходом 0,060 г, выход 12%.

Фракция A: выход 0,038 г. 1H ЯМР (400 MГц, ацетон-d6) δ 8,88 (шир. с, 1H), 7,75 (д, J=2,3 Гц, 1H), 7,66 (дд, J=8,5, 7,6 Гц, 1H), 7,57 (дд, J=8,5, 0,6 Гц, 1H), 7,49 (дд, J=8,5, 2,3 Гц, 1H), 7,42 (дд, J=7,6, 0,6 Гц, 1H), 7,14 (д, J=8,5 Гц, 1H), 3,91 (с, 3H), 2,66 (к, J=7,6 Гц, 2H), 1,21 (т, J=7,6 Гц, 3H). ЖХМС-B: вр. уд. 3,766 мин; m/z 367,1/369,1 [M+H]+.

Фракция B: выход 0,021 г. 1H ЯМР (400 MГц, ацетон-d6) δ 8,88 (шир. с, 1H), 7,75 (д, J=2,3 Гц, 1H), 7,65 (дд, J=8,5, 7,6 Гц, 1H), 7,59-7,55 (м, 1H), 7,49 (дд, J=8,5, 2,3 Гц, 1H), 7,44-7,40 (м, 1H), 7,14 (д, J=8,5 Гц, 1H), 3,90 (с, 3H), 2,66 (к, J=7,6 Гц, 2H), 1,21 (т, J=7,6 Гц, 3H). ЖХМС-B: вр. уд. 3,755 мин; m/z 367,1/369,1 [M+H]+

Пример 155: N-(4-хлорбензо[d]изоксазол-3-ил)-2-метоксибензолсульфонамид 155

Смесь 4-хлорбензо[d]изоксазол-3-амина (0,034 г, 0,200 ммоль) и 2-метоксибензолсульфонилхлорида (0,092 г, 0,450 ммоль) в пиридине (1,0 мл) и триэтиламине (0,1 мл) перемешивали при комнатной температуре в течение 16 часов. Реакционную смесь концентрировали, разводили 5% водным раствором HCl (1 мл) и обрабатывали ультразвуком в течение минимум 30 минут. Полученный осадок собирали с помощью фильтрации и очищали с помощью препаративной ВЭЖХ с разделением по массе с получением указанного в заголовке соединения. 1H ЯМР (400 MГц, ацетон-d6) δ 7,94-7,91 (дд, J=7,8, 1,7 Гц, 1H), 7,69-7,63 (м, 2H), 7,60-7,57 (дд, J=8,5, 0,7 Гц, 1H), 7,44-7,42 (дд, J=7,6, 0,7 Гц, 1H), 7,25-7,22 (м, 1H), 7,16-7,11 (м, 1H), 3,94-3,94 (с, 3H). ВЭЖХ-МС: вр. уд. 6,02 мин; m/z 339,16/341,18 [M+H]+.

Пример 156: N-(4-фторбензо[d]изоксазол-3-ил)-2-метоксибензолсульфонамид 156

Смесь 4-фторбензо[d]изоксазол-3-амина (0,032 г, 0,21 ммоль) и 2-метоксибензолсульфонилхлорида (0,109 г, 0,529 ммоль) в пиридине (1,0 мл) и триэтиламине (0,1 мл) перемешивали при комнатной температуре в течение 16 часов. Реакционную смесь концентрировали, разводили 5% водным раствором HCl (1 мл) и обрабатывали ультразвуком в течение минимум 30 минут. Полученный осадок собирали с помощью фильтрации и очищали с помощью препаративной ВЭЖХ с разделением по массе с получением указанного в заголовке соединения. 1H ЯМР (400 MГц, ацетон-d6) δ 9,73-9,45 (шир. с, 1H), 7,92-7,88 (дд, J=7,9, 1,7 Гц, 1H), 7,70-7,61 (м, 2H), 7,44-7,40 (д, J=8,5 Гц, 1H), 7,25-7,21 (д, J=8,3 Гц, 1H), 7,13-7,07 (м, 2H), 3,95-3,91 (с, 3H). ВЭЖХ-МС: вр. уд. 5,72 мин; m/z 323,16 [M+H]+.

Пример 157: N-(6-бромбензо[d]изоксазол-3-ил)-2-метоксибензолсульфонамид 157

Смесь 6-бромбензо[d]изоксазол-3-амина I75 (0,039 г, 0,180 ммоль) и 2-метоксибензолсульфонилхлорида (0,101 г, 0,490 ммоль) в пиридине (1,0 мл) и триэтиламине (0,1 мл) перемешивали при комнатной температуре в течение 16 часов. Реакционную смесь концентрировали, разводили 5% водным раствором HCl (1 мл) и обрабатывали ультразвуком в течение минимум 30 минут. Полученный осадок собирали с помощью фильтрации и очищали с помощью препаративной ВЭЖХ с разделением по массе с получением указанного в заголовке соединения. 1H ЯМР (400 MГц, ацетон-d6) δ 8,06-8,02 (дд, J=8,6, 0,5 Гц, 1H), 7,90-7,87 (дд, J=7,9, 1,7 Гц, 1H), 7,85-7,83 (дд, J=1,6, 0,5 Гц, 1H), 7,64-7,59 (ддд, J=8,4, 7,4, 1,8 Гц, 1H), 7,58-7,54 (дд, J=8,6, 1,6 Гц, 1H), 7,21-7,18 (дд, J=8,4, 0,8 Гц, 1H), 7,10-7,05 (м, 1H), 3,88-3,85 (с, 3H). ВЭЖХ-МС: вр. уд. 6,32 мин; m/z 383,1/385,2 [M+H]+.

Пример 158: N-(6-хлорбензо[d]изоксазол-3-ил)-2-метоксибензолсульфонамид 158

Смесь 6-хлорбензо[d]изоксазол-3-амина (0,033 г, 0,200 ммоль) и 2-метоксибензолсульфонилхлорида (0,095 г, 0,460 ммоль) перемешивали в пиридине (1,0 мл) и триэтиламине (0,1 мл) при комнатной температуре в течение 16 часов. Реакционную смесь концентрировали и разбавляли 5% водным раствором HCl (1 мл) и обрабатывали ультразвуком в течение минимум 30 мин. Полученный осадок собирали с помощью фильтрации и очищали с помощью препаративной ВЭЖХ с разделением по массе с получением указанного в заголовке соединения. 1H ЯМР (400 MГц, ацетон-d6) δ 8,12-8,07 (дд, J=8,6, 0,5 Гц, 1H), 7,91-7,87 (дд, J=7,9, 1,7 Гц, 1H), 7,68-7,65 (дд, J=1,7, 0,5 Гц, 1H), 7,64-7,58 (ддд, J=8,4, 7,4, 1,8 Гц, 1H), 7,44-7,39 (дд, J=8,6, 1,7 Гц, 1H), 7,21-7,17 (м, 1H), 7,10-7,05 (м, 1H), 3,88-3,86 (с, 3H). ВЭЖХ-МС: вр. уд. 6,26 мин; m/z 339,16/341,18 [M+H]+.

Пример 159: N-(4-хлорбензо[d]изоксазол-3-ил)изохинолин-8-сульфонамид 159

Раствор 4-хлорбензо[d]изоксазол-3-амина (0,050 г, 0,30 ммоль) в безводном ТГФ (2 мл) охлаждали до -78°C в атмосфере азота. Осторожно добавляли раствор бис(триметилсилил)амида лития (1,0 M в ТГФ, 0,59 мл, 0,59 ммоль), после чего смесь перемешивали при 0°C в течение 1 часа. Смесь охлаждали до -78 °C, добавляли раствор 8-​изохинолинсульфонилхлорида (0,068 г, 0,30 ммоль) в безводном ТГФ (1 мл) и оставляли смесь нагреться до комнатной температуры. После перемешивания в течение 3 часов результаты ТСХ показали только присутствие исходного материала. Смесь охлаждали до -78 °C, добавляли гидрид натрия (60% дисперсия в минеральном масле, 0,059 г, 1,5 ммоль), давали смеси снова нагреться до комнатной температуры и перемешивали в течение ночи. Добавляли воду (10 мл) и доводили pH до ~3 с использованием водн. раствора HCl (2 M). Водную фазу экстрагировали с использованием ДХМ (3 × 20 мл), органические слои объединяли, сушили (MgSO4) и удаляли растворитель в вакууме. Твердый остаток очищали с помощью колоночной хроматографии (Biotage Isolera, картридж SiO2 12 г, 0-100% EtOAc в петролейном бензине 40-60 °C, затем 0-40% MeOH в EtOAc) с получением указанного в заголовке соединения в виде твердого вещества белого цвета (0,026 г, 24%). 1H ЯМР (400 MГц, ДМСО-d6) δ 10,31 (с, 1H), 8,53 (д, J=5,8 Гц, 1H), 8,28-8,21 (м, 1H), 8,09 (д, J=8,2 Гц, 1H), 7,92 (д, J=5,7 Гц, 1H), 7,89-7,82 (м, 1H), 7,39 (т, J=7,9 Гц, 1H), 7,31 (д, J=8,3 Гц, 1H), 7,17 (д, J=7,5 Гц, 1H). ЖХМС-A: вр. уд. 5,43 мин; m/z 360,1 [M+H]+.

Пример 160: N-(7-йод-4-метокси-6-(метоксиметил)бензо[d]изоксазол-3-ил)-2,6-диметоксибензолсульфонамид 160

a) 7-йод-4-метокси-6-(метоксиметил)бензо[d]изоксазол-3-амин A5

Часть 4-метокси-6-(метоксиметил)бензо[d]изоксазол-3-амина I9 (0,121 г, 0,581 ммоль) растворяли в N, N-диметилформамиде (2 мл), после чего добавляли N-йодсукцинимид (0,131 г, 0,581 ммоль). После завершения добавления реакционную смесь нагревали при 50°C в течение 2 ч. По завершении этого периода реакционную смесь выливали на лед, после чего разбавляли с использованием EtOAc (15 мл). Полученную смесь промывали H2O (3 × 8 мл) и насыщенным солевым раствором (8 мл), сушили над Na2SO4 и фильтровали. Летучие вещества удаляли при пониженном давлении и дважды очищали остаток с помощью колоночной хроматографии (картридж SiO2 12 г, 0-35% EtOAc в петролейном бензине 40-60 °C, затем картридж SiO2 12 г, 0-25% EtOAc в петролейном бензине 40-60 °C) с получением указанного в заголовке соединения (0,038 г, 20% выход) в виде твердого вещества грязно-белого цвета. 1H ЯМР (400 MГц, CDCl3) δ 6,78 (с, 1H), 4,73 (с, 2H), 4,54 (с, 2H), 3,96 (с, 3H), 3,50 (с, 3H). ЖХМС-A: вр. уд. 3,26 мин, m/z 334,7 [M+H]+.

b) N-(7-йод-4-метокси-6-(метоксиметил)бензо[d]изоксазол-3-ил)-2,6-диметоксибензолсульфонамид 160

Раствор 7-йод-4-метокси-6-(метоксиметил)бензо[d]изоксазол-3-амина A5 (0,024 г, 0,099 ммоль) и 2,6-диметоксибензолсульфонилхлорида I111 (0,023 г, 0,099 ммоль) в пиридине (0,5 мл) облучали в микроволновом реакторе при 110°C в течение 2 ч. Реакционную смесь охлаждали до комнатной температуры и загружали во влажном состоянии на картридж с силикагелем. Остаток очищали с помощью колоночной хроматографии (картридж SiO2 12 г, 0-70% EtOAc в петролейном бензине 40-60 °C) с получением указанного в заголовке соединения (0,032 г, выход 53%) в виде твердого вещества белого цвета. 1H ЯМР (400 MГц, CDCl3) δ 7,38 (т, J=8,5 Гц, 1H), 6,86 (с, 1H), 6,58 (д, J=8,5 Гц, 2H), 4,52 (с, 2H), 4,04 (с, 3H), 3,88 (с, 6H), 3,51 (с, 3H). ЖХМС-A: вр. уд. 5,86 мин, m/z 534,6 [M+H]+.

Пример 161: N-(7-хлор-4-метокси-6-(метоксиметил)бензо[d]изоксазол-3-ил)-2,6-диметоксибензолсульфонамид 161

a) 7-Хлор-4-метокси-6-(метоксиметил)бензо[d]изоксазол-3-амин A6

4-Метокси-6-(метоксиметил)бензо[d]изоксазол-3-амин I9 (0,150 г, 0,720 ммоль) растворяли в N, N-диметилформамид е(2 мл), после чего добавляли N-хлорсукцинимид (96 мг, 0,72 ммоль). После завершения добавления реакционную смесь нагревали при 50°C в течение 2 часов. По завершении этого периода реакционную смесь выливали на лед, после чего разбавляли с использованием EtOAc (15 мл). Полученную смесь промывали H2O (3 × 8 мл) и насыщенным солевым раствором (8 мл), сушили над Na2SO4 и фильтровали. Летучие вещества удаляли при пониженном давлении и очищали остаток с помощью колоночной хроматографии (картридж SiO2 12 г, 0-40% EtOAc в петролейном бензине 40-60 °C) с получением указанного в заголовке соединения (0,0240 г, 14% выход) в виде твердого вещества белого цвета. 1H ЯМР (400 MГц, CDCl3) δ 6,77 (с, 1H), 4,63 (д, J=0,6 Гц, 2H), 3,97 (с, 3H), 3,49 (с, 3H).

b) N-(7-хлор-4-метокси-6-(метоксиметил)бензо[d]изоксазол-3-ил)-2,6-диметоксибензол-сульфонамид 161

Раствор 7-хлор-4-метокси-6-(метоксиметил)бензо[d]изоксазол-3-амина A6 (0,024 г, 0,099 ммоль) и 2,6-диметоксибензолсульфонилхлорида I111 (0,023 г, 0,099 ммоль) в пиридине (0,5 мл) облучали в микроволновом реакторе при 110°C в течение 2 часов. Реакционную смесь охлаждали до комнатной температуры и загружали во влажном состоянии на картридж с силикагелем. Остаток очищали с помощью колоночной хроматографии (картридж SiO2 12 г, 0-100% EtOAc в петролейном бензине 40-60 °C) с получением указанного в заголовке соединения (0,0094 г, выход 21%) в виде твердого вещества белого цвета. 1H ЯМР (400 MГц, CDCl3) δ 8,20 (с, 1H), 7,39 (т, J=8,5 Гц, 1H), 6,85 (с, 1H), 6,59 (д, J=8,5 Гц, 2H), 4,61 (д, J=0,6 Гц, 2H), 4,04 (с, 3H), 3,88 (с, 6H), 3,49 (с, 3H). ЖХМС-F: вр. уд. 6,39 мин, m/z 442,8 [M+H]+.

Пример 162: 5-метокси-N-(4-метокси-6-(метоксиметил)бензо[d]изоксазол-3-ил)хинолин-8-сульфонамид 162

Раствор 4-метокси-6-(метоксиметил)бензо[d]изоксазол-3-амина I9 (0,0500 г, 0,240 ммоль) и 5-метоксихинолин-8-сульфонилхлорида (0,0619 г, 0,240 ммоль) в пиридине (0,500 мл) облучали в микроволновом реакторе при 110°C в течение 2 часов. Реакционную смесь охлаждали до комнатной температуры и добавляли в ДХМ (10 мл). Органический слой промывали с использованием 0,5 M HCl (10 мл) и разделяли слои с помощью картриджа для разделения фаз. Собранные органические слои сушили в вакууме и очищали остаток с помощью колоночной хроматографии (картридж SiO2 12 г, 0-80% EtOAc в петролейном бензине 40-60 °C) с получением указанного в заголовке соединения (0,0110 г, выход 11%) в виде твердого вещества грязно-белого цвета. 1H ЯМР (400 MГц, CDCl3) δ 8,98 (дд, J=4,3, 1,8 Гц, 1H), 8,64-8,53 (м, 2H), 7,45 (дд, J=8,5, 4,3 Гц, 1H), 6,91 (д, J=8,4 Гц, 1H), 6,87 (д, J=0,9 Гц, 1H), 6,54 (с, 1H), 4,44 (с, 2H), 4,05 (с, 3H), 4,03 (с, 3H), 3,36 (с, 3H). ЖХМС-B: вр. уд. 3,49 мин, m/z=429,8 [M+H]+.

Пример 163: 2-гидрокси-6-метокси-N-(4-метокси-6-(метоксиметил)бензо[d]изоксазол-3-ил)бензолсульфонамид 163

Раствор 4-метокси-6-(метоксиметил)бензо[d]изоксазол-3-амина I9 (0,0440 г, 0,211 ммоль) и 2,6-диметоксибензолсульфонилхлорида I111 (0,0500 г, 0,211 ммоль) в пиридине (0,500 мл) облучали в микроволновом реакторе при 120°C в течение 2 часов, а затем при 120°C в течение 1 часа. Реакционную смесь охлаждали до комнатной температуры и добавляли в ДХМ (10 мл). Органические слои промывали с использованием 1M HCl (2 × 10 мл), после чего сушили над MgSO4. Неочищенный материал дважды очищали с помощью хроматографии на силикагеле (картридж SiO2 24 г, 0-85% EtOAc в петролейном бензине 40-60 °C, затем картридж SiO2 12 г, 0-75% EtOAc в петролейном бензине 40-60 °C) с получением указанного в заголовке соединения (1,5 мг). 1H ЯМР (400 MГц, CDCl3) δ 9,62 (с, 1H), 8,14 (с, 1H), 7,33 (т, J=8,4 Гц, 1H), 6,99 (к, J=0,9 Гц, 1H), 6,70-6,61 (м, 2H), 6,37 (дд, J=8,3, 1,0 Гц, 1H), 4,51 (с, 1H), 4,03 (с, 3H), 3,87 (с, 3H), 3,42 (с, 3H). ЖХМС-A: вр. уд. 3,54 мин, m/z 394,8 [M+H]+

Пример 164: 6-метокси-N-(6-(метоксиметил)-5-метилбензо[d]изоксазол-3-ил)пиридин-3-сульфонамид 164

Раствор 6-метоксипиридин-3-сульфонилхлорида (0,0540 г, 0,260 ммоль) и 6-(метоксиметил)-5-метилбензо[d]изоксазол-3-амина I4 (0,050 г, 0,26 ммоль) в пиридине (0,500 мл) облучали в микроволновом реакторе при 120°C в течение 2 часов. Реакционную смесь охлаждали до комнатной температуры, после чего переносили в ДХМ и промывали (2 раза) с использованием 1M HCl. Органический слой сушили в вакууме, затем загружали во влажном состоянии на силикагель и очищали продукт с помощью колоночной хроматографии (картридж SiO2 24 г, 0-80% EtOAc в петролейном бензине 40-60 °C) с получением указанного в заголовке соединения (15,6 мг, выход 17%) в виде бесцветного масла. 1H ЯМР (400 MГц, CDCl3) δ 8,63 (дд, J=0,71, 2,62 Гц, 1H), 7,99-7,89 (м, 2H), 7,72 (с, 1H), 7,55 (с, 1H), 6,75 (дд, J=0,71, 8,94 Гц, 1H), 4,54 (с, 2H), 3,95 (с, 3H), 3,50 (с, 3H), 2,39 (с, 3H). ЖХМС-F: вр. уд. 6,39 мин, m/z 348,1 [M+H]+.

Пример 165: N-(6-(метоксиметил)-5-метилбензо[d]изоксазол-3-ил)пиридин-3-сульфонамид 165

Раствор пиридин-3-сульфонилхлорида (0,0462 г, 0,260 ммоль) и 6-(метоксиметил)-5-метилбензо[d]изоксазол-3-амина I4 (0,050 г, 0,26 ммоль) в пиридине (0,500 мл) облучали в микроволновом реакторе при 120°C в течение 2 часов. Реакционную смесь охлаждали до комнатной температуры, после чего загружали во влажном состоянии на силикагель и очищали продукт с помощью колоночной хроматографии (картридж SiO2 24 г, 0-80% EtOAc в петролейном бензине 40-60 °C) с получением указанного в заголовке соединения (0,0220 г, выход 25%) в виде твердого вещества желтого цвета. 1H ЯМР (400 MГц, CDCl3) δ 9,09 (с, 1H), 8,83 (с, 1H), 8,18 (д, J=8,09 Гц, 1H), 7,70 (с, 1H), 7,57 (с, 1H), 7,46 (с, 1H), 4,54 (с, 2H), 3,50 (с, 3H), 2,40 (с, 3H). ЖХМС-F: вр. уд. 6,12 мин m/z 334,1 [M+H]+, 332,0 [M-H]-.

Пример 166: 2,4-диметокси-N-(6-(метоксиметил)-5-метилбензо[d]изоксазол-3-ил)бензолсульфонамид 166

Раствор 2,4-диметоксибензолсульфонилхлорида (0,052 г, 0,22 ммоль) и 6-(метоксиметил)-5-метилбензо[d]изоксазол-3-амина I4 (0,042 г, 0,22 ммоль) в пиридине (0,500 мл) облучали в микроволновом реакторе при 110°C в течение 2 часов. Полученную смесь загружали на силикагель и очищали продукт с помощью колоночной хроматографии (картридж SiO2 4 г, 0-45% EtOAc в петролейном бензине 40-60 °C) с получением указанного в заголовке соединения (0,0413 г, выход 48%) в виде твердого вещества белого цвета. 1H ЯМР (400 MГц, CDCl3) δ 7,96 (с, 1H), 7,83 (с, 1H), 7,71 (д, J=8,33 Гц, 1H), 7,47 (с, 1H), 6,48 (д, J=1,82 Гц, 1H), 6,42 (д, J=8,36 Гц, 1H), 4,50 (с, 2H), 3,95 (с, 3H), 3,80 (с, 3H), 3,47 (с, 3H), 2,37 (с, 3H). ЖХМС-A: вр. уд. 5,78 мин, m/z=392,8 [M+H]+, 414,7 [M+Na]+.

Пример 167: N-(6-(гидроксиметил)бензо[d]изоксазол-3-ил)-2,4-диметоксибензолсульфонамид 167

a) Метил 3-аминобензо[d]изоксазол-6-карбоксилат A9

К раствору этангидроксамовой кислоты (0,629 г, 8,37 ммоль) в ДМФ (5 мл) добавляли 2-метилпропан-2-олат калия (0,94 г, 8,4 ммоль) и перемешивали реакционную смесь в течение 30 минут. Добавляли метил 4-циано-3-фторбензоат (1,0 г, 5,6 ммоль), а затем ДМФ (2 мл), и перемешивали реакционную смесь в течение дополнительных 2 часов при комнатной температуре. Реакционную смесь разбавляли этилацетатом (50 мл) и водой (50 мл), водный слой экстрагировали с использованием этилацетата, объединенные органические слои промывали водой, сушили, фильтровали и концентрировали. Неочищенный материал очищали с помощью хроматографии на силикагеле (картридж SiO2 12 г, 0-50% EtOAc в петролейном бензине 40-60 °C) с получением указанного в заголовке соединения (0,55 г, выход 51%) в виде твердого вещества белого цвета. 1H ЯМР (400 MГц, CDCl3) δ 8,12 (д, J=1,02 Гц, 1H), 7,96 (дд, J=1,24, 8,29 Гц, 1H), 7,59 (дд, J=0,77, 8,25 Гц, 1H), 3,98 (с, 3H). ЖХМС: вр. уд. 2,97 мин, m/z 193,0 [M+H]+.

b) Метил 3-((2,4-диметоксифенил)сульфонамидо)бензо[d]изоксазол-6-карбоксилат A10

Раствор 2,4-диметоксибензол-1-сульфонилхлорида (0,67 г, 2,8 ммоль) и метил 3-аминобензо[d]изоксазол-6-карбоксилата A9 (0,55 г, 2,8 ммоль) в пиридине (4 мл) облучали в микроволновом реакторе при 130°C в течение 3 часов. Реакционную смесь охлаждали до комнатной температуры и разводили ДХМ (40 мл). Органические слои промывали с использованием 1M HCl (40 мл), водный слой еще раз экстрагировали с использованием ДХМ (2 × 40 мл). Объединенные органические слои сушили в вакууме, дважды очищали остаток с помощью колоночной хроматографии (картридж SiO2 24 г, 0-35% EtOAc в петролейном бензине 40-60 °C) с получением двух партий указанного в заголовке соединения (0,369 г неочищенного и выход 0,0310 г, 2,8% с чистотой > 95%) в виде твердых веществ белого цвета. 1H ЯМР (400 MГц, метанол-d4) δ 8,13-8,06 (м, 2H), 7,97 (дд, J=1,25, 8,47 Гц, 1H), 7,86-7,80 (м, 1H), 6,58 (дк, J=2,29, 4,60 Гц, 2H), 3,95 (с, 3H), 3,83 (с, 3H), 3,79 (с, 3H). ЖХМС: вр. уд. 3,26 мин, m/z 392,8 [M+H]+, 415,8 [M+Na]+.

c) N-(6-(гидроксиметил)бензо[d]изоксазол-3-ил)-2,4-диметоксибензолсульфонамид 167

К суспензии порошка алюмогидрида лития (0,0758 г, 2,00 ммоль) в безводном ТГФ (4 мл) в атмосфере азота добавляли раствор метил 3-((2,4-диметоксифенил)сульфонамидо)бензо [d]изоксазол-6-карбоксилата A10 (неочищенный, 0,392 г, 0,500 ммоль) в ТГФ (8 мл). Смесь перемешивали в течение ночи при комнатной температуре. Реакцию гасили в атмосфере азота добавлением по каплям влажного ТГФ с последующим добавлением 1 мл воды. После прекращения выделения газа добавляли 0,5 M водный раствор Hcl и экстрагировали водный слой этилацетатом (3 × 20 мл). Объединенные органические слои промывали водой, насыщенным солевым раствором, сушили над MgSO4 и удаляли растворитель в вакууме. Неочищенный остаток очищали с помощью колоночной хроматографии (картридж SiO2 24 г, 0-100% EtOAc в петролейном бензине 40-60 °C) с получением указанного в заголовке соединения (0,191 г, выход 100%) в виде твердого вещества белого цвета. 1H ЯМР (400 MГц, CDCl3) δ 8,08 (дд, J=0,78, 8,30 Гц, 1H), 7,77 (с, 1H), 7,69 (д, J=8,82 Гц, 1H), 7,47 (т, J=1,03 Гц, 1H), 7,30 (дд, J=1,34, 8,29 Гц, 1H), 6,49 (д, J=2,26 Гц, 1H), 6,42 (дд, J=2,30, 8,79 Гц, 1H), 4,84 (с, 2H), 3,98 (с, 3H), 3,80 (с, 3H). ЖХМС-B: вр. уд. 3,02 мин, m/z 364,8 [M+H]+, 386,8 [M+Na]+.

Пример 168: 3-((5-метоксихинолин)-8-сульфонамидо)-5-метилбензо[d]изоксазол-6-карбоксамид 168

a) Метил 3-амино-5-метилбензо[d]изоксазол-6-карбоксилат A11

К раствору этангидроксамовой кислоты (0,126 г, 1,69 ммоль) в ДМФ (2 мл) добавляли 2-метилпропан-2-олат калия (0,19 г, 1,7 ммоль) и перемешивали реакционную смесь в течение 30 минут. Добавляли метил 4-циано-5-фтор-2-метилбензоат (0,22 г, 1,1 ммоль), а затем ДМФ (3 мл), и перемешивали реакционную смесь в течение дополнительных 2 часов при 40 °C. Реакционную смесь разбавляли этилацетатом (50 мл) и водой (50 мл). Водный слой экстрагировали с использованием этилацетата, объединенные органические слои промывали водой, сушили, фильтровали и концентрировали. Неочищенный материал очищали с помощью хроматографии на силикагеле (картридж SiO2 12 г, 0-50% EtOAc в петролейном бензине 40-60 °C) с получением указанного в заголовке соединения (0,11 г, выход 48%) в виде твердого вещества белого цвета. 1H ЯМР (400 MГц, метанол-d4) δ 7,85 (с, 1H), 7,64 (т, J=0,79 Гц, 1H), 3,92 (с, 3H), 2,62 (д, J=0,85 Гц, 3H). ЖХМС: вр. уд. 3,02 мин, m/z 207,0 [M+H]+.

b) Соль метил 3-((5-метоксихинолин)-8-сульфонамидо)-5-метилбензо[d]изоксазол-6-карбоксилат гидрохлорида A12

Раствор 5-метоксихинолин-8-сульфонилхлорида (0,12 г, 0,48 ммоль) и метил 3-амино-5-метилбензо[d]изоксазол-6-карбоксилата A11 (0,10 г, 0,48 ммоль) в пиридине (3 мл) облучали в микроволновом реакторе при 110°C в течение 2 часов. Реакционную смесь облучали в микроволновом реакторе при 110°C в течение дополнительных 1,5 часа. Полученную смесь загружали на силикагель и очищали продукт с помощью колоночной хроматографии (картридж SiO2 4 г, 0-45% EtOAc в петролейном бензине 40-60 °C). Продукт дополнительно очищали твердофазной экстракцией (1 г, Si-амин, 3 пустых объема MeOH, а затем 4 пустых объема метанольной HCl). Кислые элюаты собирали и сушили в вакууме с получением указанного в заголовке соединения (17,7 мг, 7,9% выход) в виде твердого вещества бледно-желтого цвета. 1H ЯМР (400 MГц, метанол-d4) δ 9,40-9,33 (м, 2H), 8,77 (д, J=8,66 Гц, 1H), 8,14-8,05 (м, 1H), 7,91 (с, 1H), 7,80-7,73 (м, 1H), 7,47 (д, J=8,73 Гц, 1H), 4,23 (с, 3H), 3,91 (с, 3H), 2,62 (с, 3H). ЖХМС: вр. уд. 3,35 мин, m/z 427,8 [M+H]+.

c) 3-((5-Метоксихинолин)-8-сульфонамидо)-5-метилбензо[d]изоксазол-6-карбоксамид 168

В толстостенную пробирку на 15 мл для проведения реакций под давлением, оборудованную магнитной мешалкой, в атмосфере азота добавляли гидрохлоридную соль метил 3-((5-метоксихинолин)-8-сульфонамидо)-5-метилбензо[d]изоксазол-6-карбоксилата A12 (15,0 мг, 0,0323 ммоль), раствор аммиака (2,0 M в метаноле, 0,50 мл, 1,0 ммоль) и дихлорид кальция (3,59 мг, 0,0323 ммоль). Реакционный сосуд герметично закрывали и нагревали при 80°C в течение 3 дней. Растворитель удаляли в потоке воздуха и добавляли раствор аммиака (7,0 M в метаноле, 0,50 мл, 3,5 ммоль) и дихлорида кальция (3,6 мг, 0,032 ммоль). Реакционный сосуд герметично закрывали и нагревали при 80°C в течение 24 часов. Реакционную смесь охлаждали до комнатной температуры и удаляли растворитель в вакууме. Соединение очищали с помощью колоночной хроматографии (картридж SiO2 4 г, 0-100% EtOAc в петролейном бензине 40-60 °C) с получением указанного в заголовке соединения (0,00180 г, выход 13%) в виде твердого вещества белого цвета. 1H ЯМР (400 MГц, метанол-d4) δ 9,01 (дд, J=1,78, 4,24 Гц, 1H), 8,65 (дд, J=1,78, 8,52 Гц, 1H), 8,43 (д, J=8,47 Гц, 1H), 7,73 (д, J=12,46 Гц, 2H), 7,57 (дд, J=4,28, 8,54 Гц, 1H), 7,08 (д, J=8,50 Гц, 1H), 4,09 (с, 3H), 2,57 (с, 3H). ЖХМС-B: вр. уд. 3,15 мин, m/z 413,8 [M+H]+.

Пример 169: N-(6-циано-5-метилбензо[d]изоксазол-3-ил)-2,4-диметоксибензолсульфонамид 169

a) 3-Амино-5-метилбензо[d]изоксазол-6-карбонитрил A13

К раствору этангидроксамовой кислоты (0,176 г, 2,34 ммоль) в ДМФ (5 мл) добавляли 2-метилпропан-2-олат калия (0,26 г, 2,3 ммоль) и перемешивали реакционную смесь в течение 30 минут. Добавляли 2-фтор-5-метил-терефтгалогеннитрил (0,25 г, 1,6 ммоль), а затем ДМФ (3 мл) и перемешивали реакционную смесь в течение ночи при комнатной температуре. Реакционную смесь разбавляли этилацетатом (50 мл) и водой (50 мл), водный слой экстрагировали с использованием этилацетата, объединенные органические слои промывали водой, сушили, фильтровали и концентрировали. Неочищенный материал очищали с помощью хроматографии на силикагеле (картридж SiO2 12 г, 0-50% EtOAc в петролейном бензине 40-60 °C) с получением указанного в заголовке соединения (0,16 г, выход 59%) в виде твердого вещества грязно-белого цвета. 1H ЯМР (400 MГц, CDCl3) δ 7,72 (с, 1H), 7,47 (т, J=0,86 Гц, 1H), 2,65 (д, J=0,86 Гц, 3H). ЖХМС-B: вр. уд. 2,90 мин, m/z 174,0 [M+H]+.

b) N-(6-циано-5-метилбензо[d]изоксазол-3-ил)-2,4-диметоксибензолсульфонамид 169

Раствор 2,4-диметоксибензол-1-сульфонилхлорида (0,22 г, 0,92 ммоль) и 3-амино-5-метил-1,2-бензоксазол-6-карбонитрила A13 (0,16 г, 0,92 ммоль) в пиридине (2,5 мл) облучали в микроволновом реакторе при 130°C в течение 2 часов. Реакцию проводили при комнатной температуре в течение 50 минут, а затем реакционную смесь облучали в микроволновом реакторе при 130°C в течение дополнительных 2 часов. Реакционную смесь охлаждали до комнатной температуры и разводили ДХМ (40 мл). Органические слои промывали с использованием 1 M HCl (40 мл), водный слой дважды экстрагировали с использованием ДХМ (2 × 40 мл). Объединенные органические слои сушили в вакууме, загружали остаток на силикагель и очищали продукт с помощью колоночной хроматографии (картридж SiO2 24 г, 0-45% EtOAc в петролейном бензине 40-60 °C) с получением твердого вещества желтого цвета. Твердое вещество растворяли в теплом MeOH и ДХМ, очищали твердофазной экстракцией (1 г Si-амин, 3 пустых объема MeOH, а затем 3 пустых объема ~1,25 M метанольного аммиака). Кислый элюат сушили в вакууме с получением твердого вещества белого цвета. Твердое вещество переносили в MeOH и удаляли MeOH в вакууме (повторяли 3 раза). Остаток повторно очищали с помощью колоночной хроматографии (картридж SiO2 24 г, 45% EtOAc в петролейном бензине 40-60 °C) с получением двух партий указанного в заголовке соединения (22 и 78 мг, общая масса 100 мг, выход 29%) в виде твердого вещества грязно-белого цвета. 1H ЯМР (400 MГц, CDCl3) δ 8,09 (с, 1H), 7,82 (с, 1H), 7,72 (с, 1H), 7,66 (д, J=8,80 Гц, 1H), 6,52 (д, J=2,25 Гц, 1H), 6,44 (дд, J=2,24, 8,85 Гц, 1H), 3,98 (с, 3H), 3,82 (с, 3H), 2,67 (с, 3H). ЖХМС-B: вр. уд. 3,30 мин, m/z=373,8 [M+H]+, 371,9 [M-H]-.

Пример 170: 2,4-диметокси-N-(5-метилбензо[d]изоксазол-3-ил)бензолсульфонамид 170

Раствор 2,4-диметоксибензол-1-сульфонилхлорида (0,0799 г, 0,337 ммоль) и 5-метилбензо[d]изоксазол-3-амина I60 (0,050 г, 0,34 ммоль) в пиридине (1 мл) облучали в микроволновом реакторе при 110°C в течение 2 часов. Полученную смесь загружали на силикагель и очищали продукт с помощью колоночной хроматографии (картридж SiO2 12 г, 0-45% EtOAc в петролейном бензине 40-60 °C) с получением указанного в заголовке соединения (55,0 мг, выход 42%) в виде твердого вещества белого цвета. 1H ЯМР (400 MГц, CDCl3) δ 7,86-7,82 (м, 1H), 7,72 (д, J=8,81 Гц, 1H), 7,37-7,28 (м, 2H), 6,49 (д, J=2,26 Гц, 1H), 6,43 (дд, J=2,29, 8,82 Гц, 1H), 3,96 (с, 3H), 3,80 (с, 3H), 2,47 (с, 3H). ЖХМС-A: вр. уд. 5,66 мин, m/z 348,8 [M+H]+, 347,1 [M-H]-.

Пример 171: N-(6-бром-5-метилбензо[d]изоксазол-3-ил)-2,4-диметоксибензолсульфонамид 171

a) 6-Бром-5-метилбензо[d]изоксазол-3-амин A14

К раствору этангидроксамовой кислоты (0,263 г, 3,50 ммоль) в N, N-диметилформамиде (5 мл) добавляли t-BuOK (393 мг, 3,50 ммоль) и перемешивали реакционную смесь в течение 30 минут. К реакционной смеси добавляли 4-бром-2-фтор-5-метилбензонитрил (0,50 г, 2,3 ммоль) и перемешивали в течение дополнительных 2 часов при комнатной температуре. Реакционную смесь разбавляли этилацетатом (50 мл) и водой (50 мл), водный слой экстрагировали с использованием этилацетата, объединенные органические слои промывали водой, сушили, фильтровали и концентрировали. Неочищенный материал очищали с помощью хроматографии на силикагеле (картридж SiO2 12 г, 0-50% EtOAc в петролейном бензине 40-60 °C) с получением указанного в заголовке соединения (0,30 г, выход 56%) в виде твердого вещества белого цвета. 1H ЯМР (400 MГц, CDCl3) δ 7,68 (с, 1H), 7,37 (с, 1H), 4,35 (шир. с, 2H), 2,49 (с, 3H). ЖХМС-B: вр. уд. 3,18 мин, m/z 229,8 [M+H]+.

b) N-(6-бром-5-метилбензо[d]изоксазол-3-ил)-2,4-диметоксибензолсульфонамид 171

Раствор 2,4-диметоксибензолсульфонилхлорида (0,052 г, 0,22 ммоль) и 6-бром-5-метилбензо[d]изоксазол-3-амина A14 (0,050 г, 0,22 ммоль) в пиридине (1 мл) дважды облучали в микроволновом реакторе при 110°C в течение 2 часов, а затем при 130°C в течение 2 часов. Полученную смесь загружали на силикагель и очищали продукт с помощью колоночной хроматографии (картридж SiO2 4 г, 0-45% EtOAc в петролейном бензине 40-60 °C) с получением указанного в заголовке соединения (количественный выход 102 мг) в виде твердого вещества белого цвета. 1H ЯМР (400 MГц, CDCl3) δ 7,98-7,94 (м, 1H), 7,70-7,65 (м, 2H), 6,50 (д, J=2,24 Гц, 1H), 6,43 (дд, J=2,26, 8,82 Гц, 1H), 3,97 (с, 3H), 3,81 (с, 3H), 2,51 (д, J=0,87 Гц, 4H). ЖХМС-A: вр. уд. 6,08 мин, m/z 426,9 [M+H]+.

Пример 172: N-(6-(этоксиметил)-4-метоксибензо[d]изоксазол-3-ил)-2,6-диметоксибензолсульфонамид 172

К раствору 6-(этоксиметил)-4-метоксибензо[d]изоксазол-3-амина I21 (250 мг, 1,13 ммоль) в безводном ТГФ (25 мл) при -78°C в атмосфере N2 по каплям добавляли LiHMDS (1 M раствор в ТГФ, 4,5 мл, 4,5 ммоль) и перемешивали смесь при -78°C в течение 2 ч. Затем добавляли по каплям раствор 2,6-диметоксибензолсульфонилхлорида I111 (400 мг, 1,69 ммоль) в безводном ТГФ (2 мл), оставляли смесь нагреться до к. т. и перемешивали в течение ночи. Смесь подкисляли до pH 4-5 с помощью 2 M водного раствора HCl и экстрагировали с использованием EtOAc. Объединенные органические экстракты промывали водой, насыщенным солевым раствором, сушили над безводным Na2SO4, фильтровали и концентрировали при пониженном давлении. Остаток очищали с помощью преп. ТСХ (ДХМ/MeOH=100/1) с получением указанного в заголовке соединения (170 мг, 96% чистоты) в виде твердого вещества белого цвета. Дополнительная очистка методом преп. ВЭЖХ обеспечивала получение указанного в заголовке соединения (60 мг, чистота 100%, выход 13%). ЖХМС-C: вр. уд. 2,08 мин; m/z 423,0 [M+H]+; 1H ЯМР (400 MГц, ДМСО-d6) δ 9,53 (с, 1H), 7,51 (т, J=8,4 Гц, 1H), 7,09 (с, 1H), 6,78-6,76 (м, 3H), 4,55 (с, 2H), 3,91 (с, 3H), 3,77 (с, 6H), 3,54 (к, J=6,8 Гц, 2H), 1,19 (т, J=6,8 Гц, 3H).

Пример 173: 2,6-диметокси-N-(4-метокси-6-(метоксиметил)бензо[d]изоксазол-3-ил)бензолсульфонамид 173

К раствору 4-метокси-6-(метоксиметил)бензо[d]изоксазол-3-амина I9 (3,0 г, 14,4 ммоль) в безводном ТГФ (200 мл) при -78°C в атмосфере N2 по каплям добавляли LiHMDS (1 M раствор в ТГФ, 43,2 мл, 43,2 ммоль) и перемешивали смесь при -78°C в течение 2 ч. Затем добавляли по каплям раствор 2,6-диметоксибензолсульфонилхлорида I111 (5,1 г, 21,6 ммоль) в безводном ТГФ (10 мл), оставляли смесь нагреться до к. т. и перемешивали в течение ночи. Смесь подкисляли до pH 4-5 с помощью 2 M водного раствора HCl и экстрагировали с использованием EtOAc. Объединенные органические экстракты промывали водой, насыщенным солевым раствором, сушили над безводным Na2SO4, фильтровали и концентрировали при пониженном давлении. Реакцию повторяли с использованием 4-метокси-6-(метоксиметил)бензо[d]изоксазол-3-амина I9 (2,0 г, 9,6 ммоль) в 150 мл ТГФ, две партии объединяли и очищали с помощью колоночной хроматографии (петр. эфир/EtOAc=от 8/1 до 2/1) с получением указанного в заголовке соединения (4,1 г, 42%) в виде твердого вещества белого цвета. ЖХМС-C: вр. уд. 1,96 мин; m/z 409,0 [M+H]+; 1H ЯМР (400 MГц, ДМСО-d6) δ 9,58 (с, 1H), 7,52 (т, J=8,4 Гц, 1H), 7,09 (с, 1H), 6,78 (д, J=8,4 Гц, 2H), 6,76 (с, 1H), 4,51 (с, 2H), 3,91 (с, 3H), 3,77 (с, 6H), 3,33 (с, 3H).

Пример 174: 2,6-диметокси-N-(4-метокси-6-фенилбензо[d]изоксазол-3-ил)бензолсульфонамид 174

К раствору 4-метокси-6-фенилбензо[d]изоксазол-3-амина I17 (2,5 г, 10,4 ммоль) в безводном ТГФ (60 мл) при -78°C в атмосфере N2 по каплям добавляли LiHMDS (1 M раствор в ТГФ, 31,0 мл, 31,0 ммоль) и перемешивали смесь при -78°C в течение 2 ч. Затем добавляли по каплям раствор 2,6-диметоксибензолсульфонилхлорида I111 (3,7 г, 15,6 ммоль) в безводном ТГФ (20 мл), оставляли смесь нагреться до 0°C и перемешивали в течение ночи. Добавляли воду и промывали смесь с использованием EtOAc (50 мл × 2). Водный слой подкисляли до pH 3 с помощью 1 M водного раствора HCl и экстрагировали с использованием EtOAc (50 мл × 3). Объединенные органические экстракты промывали насыщенным солевым раствором, сушили над безводным Na2SO4, фильтровали и концентрировали при пониженном давлении. Остаток очищали с помощью колоночной хроматографии (ДХМ/MeOH=300/1) и дополнительно очищали с помощью колоночной хроматографии (ДХМ/MeOH=200/1) с получением указанного в заголовке соединения (1,5 г, 33%) в виде твердого вещества белого цвета. 1H ЯМР (400 MГц, ДМСО-d6) δ 9,61 (с, 1H), 7,80 (д, J=7,2 Гц, 2H), 7,50-7,44 (м, 5H), 7,09 (с, 1H), 6,80 (д, J=8,8 Гц, 2H), 4,02 (с, 3H), 3,79 (с, 6H); ЖХМС-C: вр. уд. 2,46 мин; m/z 441,0 [M+H]+.

Пример 175: 3-хлор-2,6-диметокси-N-(4-метокси-6-(метоксиметил)бензо[d]изоксазол-3-ил)бензолсульфонамид 175

К раствору 2,6-диметокси-N-(4-метокси-6-(метоксиметил)бензо[d]изоксазол-3-ил)бензолсульфонамида 173 (50 мг, 0,123 ммоль) в ДМФ (10 мл) добавляли NCS (14 мг, 0,123 ммоль) и нагревали смесь при 50°C в течение 2 ч. Затем смесь разбавляли с использованием EtOAc (150 мл) и промывали водой, насыщенным солевым раствором, сушили над безводным Na2SO4, фильтровали и концентрировали при пониженном давлении. Остаток очищали с помощью препаративной ТСХ (ДХМ/MeOH=120/1) с получением указанного в заголовке соединения (15 мг, 27%) в виде твердого вещества белого цвета. ЖХМС-C: вр. уд. 2,21 мин; m/z 441,0 [M+H]+. 1H ЯМР (400 MГц, метанол-d4) δ 7,56 (д, J=9,1 Гц, 1H), 7,01 (с, 1H), 6,91 (д, J=9,1 Гц, 1H), 6,76 (с, 1H), 4,55 (с, 2H), 3,99 (с, 6H), 3,76 (с, 3H), 3,41 (с, 3H).

Пример 176: 2,6-диметокси-N-(4-метокси-6-(2-метоксифенил)бензо[d]изоксазол-3-ил)бензолсульфонамид 176

Смесь N-(6-бром-4-метоксибензо[d]изоксазол-3-ил)-2,6-диметоксибензолсульфонамида 89 (30 мг, 0,068 ммоль), (2-метоксифенил)бороновой кислоты (21 мг, 0,135 ммоль), Pd(PPh3)4 (9 мг, 0,007 ммоль) и Na2CO3 (22 мг, 0,203 ммоль) в 1,4-диоксане (4 мл) и воде (1 мл) нагревали при 100°C в атмосфере N2 в течение ночи. Смесь разбавляли водой и экстрагировали с использованием EtOAc. Объединенные органические экстракты промывали насыщенным солевым раствором, сушили над безводным Na2SO4, фильтровали и концентрировали при пониженном давлении. Остаток очищали с помощью преп. ТСХ (петр. эфир/ EtOAc=1/2) с получением указанного в заголовке соединения (10 мг, 31%) в виде твердого вещества белого цвета. ЖХМС-C: вр. уд. 2,36 мин, m/z 471,0 [M+H]+. 1H ЯМР (400 MГц, ДМСО-d6) δ 9,60 (с, 1H), 7,51 (т, J=8,5 Гц, 1H), 7,44-7,37 (м, 2H), 7,22 (с, 1H), 7,16 (д, J=8,8 Гц, 1H), 7,05 (т, J=7,4 Гц, 1H), 6,90 (с, 1H), 6,79 (д, J=8,6 Гц, 2H), 3,94 (с, 3H), 3,81 (с, 6H), 3,79 (с, 3H).

Пример 177: 2,6-диметокси-N-(4-метокси-6-(3-метоксифенил)бензо[d]изоксазол-3-ил)бензолсульфонамид 177

Смесь N-(6-бром-4-метоксибензо[d]изоксазол-3-ил)-2,6-диметоксибензолсульфонамида 89 (50 мг, 0,113 ммоль), (3-метоксифенил)бороновой кислоты (35 мг, 0,226 ммоль), Pd(PPh3)4 (14 мг, 0,011 ммоль) и Na2CO3 (36 мг, 0,339 ммоль) в 1,4-диоксане (8 мл) и воде (2 мл) нагревали при 100°C в атмосфере N2 в течение ночи. Смесь оставляли охладиться до к. т., доводили уровень pH до 4-5, после чего разбавляли водой и экстрагировали с использованием EtOAc. Объединенные органические экстракты промывали насыщенным солевым раствором, сушили над безводным Na2SO4, фильтровали и концентрировали при пониженном давлении. Остаток очищали с помощью преп. ТСХ (ДХМ/MeOH=50/1) с получением указанного в заголовке соединения (8 мг, 15%) в виде твердого вещества белого цвета. ЖХМС-C: вр. уд. 2,35 мин; m/z 471,0 [M+H]+. 1H ЯМР (400 MГц, ДМСО-d6) δ 9,63 (с, 1H), 7,51 (т, J=8,5 Гц, 1H), 7,46 (д, J=1,0 Гц, 1H), 7,41 (т, J=7,9 Гц, 1H), 7,37-7,29 (м, 2H), 7,07 (с, 1H), 7,03-6,98 (м, 1H), 6,79 (д, J=8,5 Гц, 2H), 4,02 (с, 3H), 3,84 (с, 3H), 3,79 (с, 6H).

Пример 178: 5-этил-2-метокси-N-(7-фенилбензо[d]изоксазол-3-ил)бензолсульфонамид 178

Суспензию N-(7-бромбензо[d]изоксазол-3-ил)-5-этил-2-метоксибензолсульфонамида 137 (100 мг, 0,24 ммоль), фенилбороновую кислоту (60 мг, 0,48 ммоль), Pd(dppf)Cl2 (18 мг, 0,024 ммоль) и K3PO4·3H2O (260 мг, 0,97 ммоль) в толуоле (5 мл), изопропаноле (2 мл) и воде (5 мл) нагревали при 100°C в атмосфере N2 в течение 2 ч. Смесь оставляли охладиться до к. т., разбавляли EtOAc и промывали водой (25 мл × 3). Органический слой сушили над безводным Na2SO4, фильтровали и концентрировали при пониженном давлении. Остаток очищали с помощью препаративной ТСХ (петр. эфир/EtOAc=2/1) с получением указанного в заголовке соединения (55 мг, 55%) в виде твердого вещества белого цвета. ЖХМС-D: вр. уд. 3,06 мин; m/z 409,1 [M+H]+. 1H ЯМР (400 MГц, ДМСО-d6) δ 11,8 (с, 1H), 8,08-8,02 (м, 1H), 7,89-7,78 (м, 3H), 7,72 (д, J=2,3 Гц, 1H), 7,55-7,40 (м, 5H), 7,13-7,08 (м, 1H), 3,75 (с, 3H), 2,61 (к, J=7,5 Гц, 2H), 1,15 (т, J=7,5 Гц, 3H).

Пример 179: 5-этил-2-метокси-N-(6-фенилбензо[d]изоксазол-3-ил)бензолсульфонамид 179

Смесь N-(6-бромбензо[d]изоксазол-3-ил)-5-этил-2-метоксибензолсульфонамида 138 (120 мг, 0,3 ммоль), Pd(dppf)Cl2 (45 мг, 0,06 ммоль), фенилбороновой кислоты (150 мг, 1,2 ммоль) и K3PO4·3H2O (399 мг, 1,5 ммоль) в воде (10 мл), толуоле (10 мл) и изопропаноле (5 мл) нагревали при 85°C в атмосфере N2 в течение 4 ч. Смесь оставляли охладиться до к. т., разбавляли водой (200 мл) и экстрагировали с использованием диэтилового эфира (200 мл × 3). Объединенные органические экстракты промывали водой, насыщенным солевым раствором, сушили над безводным Na2SO4, фильтровали и концентрировали при пониженном давлении. Остаток очищали с помощью колоночной хроматографии (петр. эфир/EtOAc=от 100/1 до 5/1) с получением указанного в заголовке соединения (60 мг, 50%) в виде твердого вещества белого цвета. ЖХМС-D: вр. уд. 3,10 мин; m/z 409,1 [M+H]+. 1H ЯМР (400 MГц, ДМСО-d6) δ 11,7 (с, 1H), 8,14-8,08 (м, 1H), 7,87 (с, 1H), 7,79-7,74 (м, 2H), 7,73-7,67 (м, 2H), 7,54-7,39 (м, 4H), 7,12-7,07 (м, 1H), 3,74 (с, 3H), 2,61 (к, J=7,5 Гц, 2H), 1,15 (т, J=7,6 Гц, 3H).

Пример 180: N-(4-хлорбензо[d]изоксазол-3-ил)-2,3-дигидробензофуран-7-сульфонамид 180

К раствору 5-бром-N-(4-хлорбензо[d]изоксазол-3-ил)-2,3-дигидробензофуран-7-сульфонамида 127 (100 мг, 0,23 ммоль) в ТГФ (10 мл) добавляли 10% Pd/C (20 мг) и KOAc (20 мг, 0,28 ммоль) и перемешивали смесь при 40°C в атмосфере H2 в течение 2 ч, а затем при к. т. в течение ночи. Смесь фильтровали и концентрировали фильтрат при пониженном давлении. Остаток очищали с помощью преп. ТСХ (ДХМ/MeOH=30/1) с получением указанного в заголовке соединения (22 мг 27%) в виде твердого вещества светло-желтого цвета. ЖХМС-D: вр. уд. 2,32 мин; m/z 351,0 [M+H]+. 1H ЯМР (400 MГц, ДМСО-d6) δ 10,9 (с, 1H), 7,76-7,62 (м, 2H), 7,53-7,43 (м, 3H), 6,96 (т, J=7,7 Гц, 1H), 4,50 (т, J=8,8 Гц, 2H), 3,22 (т, J=8,8 Гц, 2H).

Пример 181: N-(4-хлорбензо[d]изоксазол-3-ил)-5-этил-2,3-дигидробензофуран-7-сульфонамид 181

a) N-(4-Хлорбензо[d]изоксазол-3-ил)-5-винил-2,3-дигидробензофуран-7-сульфонамид A15

К раствору 5-бром-N-(4-хлорбензо[d]изоксазол-3-ил)-2,3-дигидробензофуран-7-сульфонамида 127 (200 мг, 0,47 ммоль) в 1,4-диоксане (20 мл), EtOH (10 мл) и H2O (10 мл) добавляли K2CO3 (206 мг, 1,86 ммоль), 4,4,5,5-тетраметил-2-винил-1,3,2- диоксаборолан (140 мг, 0,93 ммоль) и Pd(PPh3)4 (54 мг, 0,047 ммоль) и нагревали смесь при 90°C в атмосфере N2 в течение ночи. Растворители удаляли при пониженном давлении и остаток разделяли между ДХМ (50 мл), водой (45 мл) и 2 M водн. раствором HCl (5 мл). Разделяли слои и промывали органический слой насыщенным солевым раствором, сушили над безводным Na2SO4, фильтровали и концентрировали при пониженном давлении. Остаток очищали с помощью колоночной хроматографии на силикагеле (петр. эфир/EtOAc=3/1) с получением указанного в заголовке соединения (120 мг 70%) в виде твердого вещества желтого цвета. ЖХМС-D: вр. уд. 0,40 мин; m/z 377,0 [M+H]+.

b) N-(4-хлорбензо[d]изоксазол-3-ил)-5-этил-2,3-дигидробензофуран-7-сульфонамид 181

К раствору N-(4-хлорбензо[d]изоксазол-3-ил)-5-винил-2,3-дигидробензофуран-7- сульфонамида A15 (120 мг, 0,32 ммоль) в MeOH (15 мл) добавляли 10% Pd/C (24 мг) и перемешивали смесь при к. т. в атмосфере H2 в течение ночи. Смесь фильтровали и концентрировали фильтрат при пониженном давлении. Остаток очищали с помощью преп. ТСХ (ДХМ/MeOH=30/1) с получением указанного в заголовке соединения (33 мг, 27%) в виде твердого вещества белого цвета. ЖХМС-D: вр. уд. 2,59 мин; m/z 379,1 [M+H]+. 1H ЯМР (400 MГц, ДМСО-d6) δ 10,8 (с, 1H), 7,75-7,70 (м, 1H), 7,69-7,63 (м, 1H), 7,47-7,43 (м, 1H), 7,37 (с, 1H), 7,29 (с, 1H), 4,46 (т, J=8,7 Гц, 2H), 3,18 (т, J=8,7 Гц, 2H), 2,56 (к, J=7,6 Гц, 2H), 1,13 (т, J=7,6 Гц, 3H).

Пример 182: N-(бензо[d]изоксазол-3-ил)-4-этил-2-метоксибензолсульфонамид 182

a) N-(Бензо[d]изоксазол-3-ил)-2-метокси-4-винилбензолсульфонамид A16

К раствору N-(бензо[d]изоксазол-3-ил)-4-бром-2-метоксибензолсульфонамида 141 (200 мг, 0,52 ммоль) в толуоле (16 мл), воде (8 мл) и изопропаноле (8 мл) добавляли K2CO3 (288 мг, 2,09 ммоль), 4,4,5,5-тетраметил-2-винил-1,3,2-диоксаборолан (160 мг, 1,04 ммоль) и Pd(PPh3)4 (60 мг, 0,052 ммоль) и нагревали смесь при 90°C в атмосфере N2 в течение 2 ч. Смесь разбавляли водой (50 мл), 2 M водн. раствором HCl (20 мл) и экстрагировали с использованием EtOAc (80 мл × 2). Объединенные органические экстракты промывали насыщенным солевым раствором, сушили над безводным Na2SO4, фильтровали и концентрировали при пониженном давлении. Остаток очищали с помощью хроматографии на силикагеле (петр. эфир/EtOAc=5/1) с получением указанного в заголовке соединения (150 мг, 76%) в виде твердого вещества светло-желтого цвета. ЖХМС-D: вр. уд. 2,47 мин; m/z 331,0 [M+H]+, 353,0 [M+Na]+.

b) N-(Бензо[d]изоксазол-3-ил)-4-этил-2-метоксибензолсульфонамид 182

К раствору N-(бензо[d]изоксазол-3-ил)-2-метокси-4-винилбензолсульфонамида A16 (80 мг, 0,24 ммоль) в MeOH (10 мл) добавляли 10% Pd/C (16 мг) и перемешивали смесь при 25°C в течение ночи в атмосфере H2. Смесь фильтровали и концентрировали фильтрат при пониженном давлении. Остаток очищали с помощью преп. ТСХ (петр. эфир/EtOAc=5/1) с получением указанного в заголовке соединения (20 мг, 25%) в виде твердого вещества светло-желтого цвета. ЖХМС-D: вр. уд. 2,55 мин; m/z 333,1 [M+H]+. 1H ЯМР (400 MГц, ДМСО-d6) δ 11,7 (с, 1H), 8,07 (д, J=8,0 Гц, 1H), 7,79 (д, J=8,0 Гц, 1H), 7,66-7,55 (м, 2H), 7,44-7,31 (м, 1H), 7,01 (с, 1H), 6,96 (д, J=8,4 Гц, 1H), 3,76 (с, 3H), 2,63 (к, J=7,6 Гц, 2H), 1,17 (т, J=7,6 Гц, 3H).

Пример 183: N-(Бензо[d]изоксазол-3-ил)-3-метокси-[1,1'-бифенил]-4-сульфонамид 183

К раствору N-(бензо[d]изоксазол-3-ил)-4-бром-2-метоксибензолсульфонамид 141 (100 мг, 0,26 ммоль) в толуоле (7 мл), воде (7 мл) и изопропаноле (2,5 мл) добавляли K2CO3 (144 мг, 10 ммоль), фенилбороновую кислоту (64 мг, 0,52 ммоль) и Pd(PPh3)4 (30 мг, 0,026 ммоль) и нагревали смесь при 90°C в атмосфере N2 в течение 2 ч. Смесь разбавляли водой (50 мл), 2 M водн. раствором HCl (10 мл) и экстрагировали с использованием EtOAc (70 мл × 2). Объединенные органические экстракты промывали насыщенным солевым раствором, сушили над безводным Na2SO4, фильтровали и концентрировали при пониженном давлении. Остаток очищали с помощью хроматографии на силикагеле (петр. эфир/EtOAc=от 100/1 до 5/1) с получением указанного в заголовке соединения (55 мг, 46%) в виде твердого вещества светло-желтого цвета. ЖХМС-D: вр. уд. 2,79 мин; m/z 381,0 [M+H]+. 1H ЯМР (400 MГц, ДМСО-d6) δ 11,9 (с, 1H), 8,10 (д, J=8,0 Гц, 1H), 7,98 (д, J=8,0 Гц, 1H), 7,79-7,72 (м, 2H), 7,66-7,58 (м, 2H), 7,54-7,35 (м, 6H), 3,89 (с, 3H).

Пример 184: 3-(5-этил-2-метоксифенилсульфонамидо)-N-метилбензо[d]изоксазол-7-карбоксамид 184

a) N-(7-Бромбензо[d]изоксазол-3-ил)-N-((2,4-диметоксибензил)окси)-5-этил-2-метоксибензолсульфонамид A17

К раствору N-(7-бромбензо[d]изоксазол-3-ил)-5-этил-2-метоксибензолсульфонамида 137 (2,3 г, 5,5 ммоль), (2,4-диметоксифенил)метанола (1,4 г, 8,4 ммоль) и PPh3 (3,6 г, 14,2 ммоль) в ТГФ (400 мл) при 0°C в атмосфере N2 добавляли ДИАД (3,3 г, 16,4 ммоль) и перемешивали смесь при к. т. В течение выходных дней. Смесь концентрировали при пониженном давлении и очищали остаток с помощью хроматографии на силикагеле (петр. эфир/EtOAc=5/1) с получением указанного в заголовке соединения (1,0 г, 32%) в виде твердого вещества голубого цвета. ЖХМС-D: вр. уд. 3,35 мин; m/z 583,1/585,1 [M+Na]+.

b) Метил 3-(N-((2,4-диметоксибензил)окси)-5-этил-2-метоксифенилсульфонамидо) бензо[d]изоксазол-7-карбоксилат A18

К раствору N-(7-бромбензо[d]изоксазол-3-ил)-N-((2,4-диметоксибензил)окси)-5-этил-2-метоксибензолсульфонамида A17 (250 мг, 1,34 ммоль) в MeOH (5 мл) и ДМФ (45 мл) добавляли Et3N (675 мг, 6,68 ммоль) и Pd(dppf)Cl2 (98 мг, 0,13 ммоль) и нагревали смесь при 80°C в атмосфере CO в течение ночи. Растворитель удаляли при пониженном давлении, остаток разбавляли с использованием EtOAc (50 мл), промывали водой (50 мл × 3), насыщенным солевым раствором, сушили над безводным Na2SO4, фильтровали и концентрировали при пониженном давлении. Остаток очищали с помощью хроматографии на силикагеле (петр. эфир/EtOAc=4/1) с получением указанного в заголовке соединения (210 мг, 31%) в виде твердого вещества белого цвета. ЖХМС-D: вр. уд. 3,10 мин; m/z 541,2 [M+H]+.

c) 3-(N-((2,4-Диметоксибензил)окси)-5-этил-2-метоксифенилсульфонамидо)-N-метилбензо[d]изоксазол-7-карбоксамид A19

Смесь метил 3-(N-((2,4-диметоксибензил)окси)-5-этил-2-метоксифенилсульфонамидо) бензо[d]изоксазол-7-карбоксилата A18 (20 мг, 0,037 ммоль) и CH3NH2 (33% раствор в EtOH, 4 мл) нагревали при 100°C в герметично закрытой пробирке в течение 30 мин. Растворитель удаляли при пониженном давлении с получением указанного в заголовке соединения (20 мг, 100%), которое использовали на следующей стадии без дополнительной очистки. ЖХМС-D: вр. уд. 2,86 мин; m/z 540,2 [M+H]+.

d) 3-(5-Этил-2-метоксифенилсульфонамидо)-N-метилбензо[d]изоксазол-7-карбоксамид 184

Смесь 3-(N-((2,4-диметоксибензил)окси)-5-этил-2-метоксифенил сульфонамидо)-N-метилбензо[d]изоксазол-7-карбоксамида A19 (40 мг, 0,07 ммоль) и ТФК (2 мл) перемешивали при к. т. в течение 3 ч, а затем концентрировали при пониженном давлении. Остаток очищали с помощью препаративной ТСХ с получением указанного в заголовке соединения (18 мг, 64%) в виде твердого вещества белого цвета. ЖХМС-D: вр. уд. 2,35 мин; m/z 390,1 [M+H]+. 1H ЯМР (400 MГц, ДМСО-d6) δ 11,9 (с, 1H), 8,31-8,11 (м, 2H), 8,00-7,90 (м, 1H), 7,72 (с, 1H), 7,52-7,41 (м, 2H), 7,14-7,04 (м, 1H), 3,73 (с, 3H), 2,81 (с, 3H), 2,62 (к, J=8,0, 7,6 Гц, 2H), 1,15 (т, J=7,9 Гц, 3H).

Пример 185: 3-(5-этил-2-метоксифенилсульфонамидо)-N, N-диметилбензо[d]изоксазол-7-карбоксамид 185

a) Метил 3-(5-этил-2-метоксифенилсульфонамидо)бензо[d]изоксазол-7-карбоксилат A20

Смесь метил 3-(N-((2,4-диметоксибензил)окси)-5-этил-2-метоксифенилсульфонамидо) бензо[d]изоксазол-7-карбоксилата A18 (150 мг, 0,28 ммоль) и ТФК (5 мл) перемешивали при к. т. в течение 3 ч, а затем концентрировали при пониженном давлении. Остаток очищали с помощью хроматографии на силикагеле (петр. эфир/EtOAc=3/1) с получением указанного в заголовке соединения (80 мг, 74%) в виде твердого вещества белого цвета. ЖХМС-D: вр. уд. 2,63 мин; m/z 391,1 [M+H]+, 413,1 [M+Na]+. 1H ЯМР (400 MГц, ДМСО-d6) δ 11,9 (с, 1H), 8,39-8,32 (м, 1H), 8,19-8,12 (м, 1H), 7,72 (д, J=2,2 Гц, 1H), 7,56-7,44 (м, 2H), 7,12-7,05 (м, 1H), 3,89 (с, 3H), 3,71 (с, 3H), 2,62 (к, J=7,5 Гц, 2H), 1,16 (т, J=7,6 Гц, 3H).

b) 3-((5-Этил-2-метоксифенил)сульфонамидо)бензо[d]изоксазол-7-карбоновая кислота A21

К суспензии метил 3-(5-этил-2-метоксифенилсульфонамидо) бензо[d]изоксазол-7-карбоксилата A20 (200 мг, 0,5 ммоль) в MeOH (10 мл) и ТГФ (10 мл) добавляли 2 M водн. раствор NaOH (1,28 мл) и перемешивали смесь при к. т. в течение ночи. Растворитель удаляли при пониженном давлении, остаток разбавляли водой и доводили уровень pH до 2-3. Полученный осадок собирали с помощью фильтрации с получением указанного в заголовке соединения (144 мг, 75%) в виде твердого вещества грязно-белого цвета. ЖХМС-D: вр. уд. 2,43 мин; m/z 377,1 [M+H]+. 1H ЯМР (400 MГц, ДМСО-d6) δ 13,5 (с, 1H), 11,8 (с, 1H), 8,35-8,29 (м, 1H), 8,15-8,09 (м, 1H), 7,72 (д, J=2,3 Гц, 1H), 7,53-7,44 (м, 2H), 7,12-7,05 (м, 1H), 3,71 (с, 3H), 2,62 (к, J=7,6 Гц, 2H), 1,16 (т, J=7,6 Гц, 3H).

c) 3-(5-Этил-2-метоксифенилсульфонамидо)бензо[d]изоксазол-7-карбонилхлорид A22

Смесь 3-((5-этил-2-метоксифенил)сульфонамидо)бензо[d]изоксазол-7-карбоновой кислоты A21 (30 мг, 0,08 ммоль) и SOCl2 (5 мл) нагревали при 85°C в атмосфере N2 в течение 3 ч, а затем концентрировали при пониженном давлении с получением указанного в заголовке соединения (31 мг, 100%), которое использовали непосредственно на следующей стадии без дополнительной очистки.

d) 3-(5-Этил-2-метоксифенилсульфонамидо)-N, N-диметилбензо[d]изоксазол-7-карбоксамид 185

К раствору 3-(5-этил-2-метоксифенилсульфонамидо)бензо[d]изоксазол-7-карбонилхлорида A22 (31 мг, 0,08 ммоль) в ТГФ (1 мл) по каплям добавляли диметиламин (40% раствор в воде, 2 мл) и перемешивали смесь при к. т. в течение 1 ч. Смесь концентрировали при пониженном давлении, остаток разбавляли водой, доводили уровень pH до 2-3 и экстрагировали с использованием ДХМ (30 мл × 3). Объединенные органические экстракты промывали насыщенным солевым раствором, сушили над безводным Na2SO4, фильтровали и концентрировали при пониженном давлении. Остаток очищали с помощью преп. ТСХ с получением указанного в заголовке соединения (18 мг, 56%) в виде твердого вещества белого цвета. ЖХМС-D: вр. уд. 2,36 мин; m/z 404,1 [M+H]+. 1H ЯМР (400 MГц, ДМСО-d6) δ 11,9 (с, 1H), 8,21-8,06 (м, 1H), 7,78-7,56 (м, 2H), 7,45 (с, 2H), 7,17-6,97 (м, 1H), 3,71 (с, 3H), 3,01 (с, 3H), 2,80 (с, 3H), 2,61 (м, 2H), 1,15 (м, 3H).

Пример 186: 5-этил-N-(7-(гидроксиметил)бензо[d]изоксазол-3-ил)-2-метоксибензолсульфонамид 186

Смесь 3-(5-этил-2-метоксифенилсульфонамидо)бензо[d]изоксазол-7-карбоновой кислоты A21 (30 мг, 0,08 ммоль) и BH3⋅ТГФ (1 M раствор в ТГФ, 3 мл, 3 ммоль) перемешивали при к. т. в атмосфере N2 в течение 5 ч. Реакцию гасили водой, и большую часть ТГФ удаляли при пониженном давлении. Уровень pH остатка доводили до 2-3 и экстрагировали с использованием ДХМ (15 мл × 3). Объединенные органические экстракты сушили над безводным Na2SO4, фильтровали и концентрировали при пониженном давлении. Остаток очищали с помощью хроматографии на силикагеле (ДХМ/MeOH=30/1) с получением указанного в заголовке соединения (20 мг, 71%) в виде твердого вещества светло-красного цвета. ЖХМС-D: вр. уд. 2,35 мин; m/z 363,1 [M+H]+. 1H ЯМР (400 MГц, ДМСО-d6) δ 11,7 (с, 1H), 7,96-7,89 (м, 1H), 7,70 (д, J=2,3 Гц, 1H), 7,61-7,55 (м, 1H), 7,46 (дд, J=8,5, 2,3 Гц, 1H), 7,34 (т, J=7,6 Гц, 1H), 7,12-7,05 (м, 1H), 5,39 (т, J=5,7 Гц, 1H), 4,70 (д, J=5,4 Гц, 2H), 3,73 (с, 3H), 2,61 (к, J=7,2 Гц, 2H), 1,16 (т, J=7,6 Гц, 3H).

Пример 187: 5-этил-2-метокси-N-(7-метилбензо[d]изоксазол-3-ил)бензолсульфонамид 187

К суспензии N-(7-бромбензо[d]изоксазол-3-ил)-5-этил-2-метоксибензолсульфонамида 137 (150 мг, 0,36 ммоль) в 1,4-диоксане (18 мл) и воде (4,5 мл) добавляли K2CO3 (150 мг, 1,09 ммоль), метилбороновую кислоту (45 мг, 0,73 ммоль) и Pd(dppf)Cl2 (27 мг, 0,036 ммоль) и нагревали смесь при 90°C в атмосфере N2 в течение 4 ч. Смесь концентрировали при пониженном давлении, остаток разделяли между EtOAc (50 мл), водой (40 мл) и 1 M водн. раствором HCl (15 мл). Разделяли слои, промывали органический слой 0,5 M водн. раствором HCl (40 мл × 2), насыщенным солевым раствором, сушили над безводным Na2SO4, фильтровали и концентрировали при пониженном давлении. Остаток очищали с помощью препаративной ВЭЖХ с получением указанного в заголовке соединения (20 мг, 16%) в виде твердого вещества белого цвета. ЖХМС-D: вр. уд. 2,25 мин; m/z 347,1 [M+H]+, 369,1 [M+Na]+. 1H ЯМР (400 MГц, ДМСО-d6) δ 11,7 (с, 1H), 7,89-7,82 (м, 1H), 7,70 (д, J=2,3 Гц, 1H), 7,50-7,38 (м, 2H), 7,25 (т, J=7,6 Гц, 1H), 7,12-7,04 (м, 1H), 3,73 (с, 3H), 2,60 (к, J=7,6 Гц, 2H), 2,39 (с, 3H), 1,15 (т, J=7,6 Гц, 3H).

Пример 188: 5-этил-N-(7-этилбензо[d]изоксазол-3-ил)-2-метоксибензолсульфонамид 188

a) N-((2,4-диметоксибензил)окси)-5-этил-2-метокси-N-(7-винилбензо[d]изоксазол-3-ил)бензолсульфонамид A23

К суспензии N-(7-бромбензо[d]изоксазол-3-ил)-N-((2,4-диметоксибензил)окси)-5-этил-2-метоксибензолсульфонамида A17 (200 мг, 0,36 ммоль) в 1,4-диоксане (15 мл) и воде (3 мл) добавляли 4,4,5,5-тетраметил-2-винил-1,3,2-диоксаборолан (110 мг, 0,71 ммоль), K2CO3 (148 мг, 1,07 ммоль) и Pd(dppf)Cl2 (26 мг, 0,036 ммоль) и нагревали смесь при 90°C в атмосфере N2 в течение 4 ч. Смесь концентрировали при пониженном давлении, остаток разбавляли с использованием EtOAc (30 мл) и промывали водой (25 мл × 3). Органический слой сушили над безводным Na2SO4, фильтровали и концентрировали при пониженном давлении. Остаток очищали с помощью хроматографии на силикагеле (петр. эфир/EtOAc=2/1) с получением указанного в заголовке соединения (95 мг, 52%) в виде твердого вещества белого цвета. ЖХМС-D: вр. уд. 3,28 мин; m/z 509,0 [M+H]+.

b) 5-Этил-2-метокси-N-(7-винилбензо[d]изоксазол-3-ил)бензолсульфонамид A24

Смесь N-((2,4-диметоксибензил)окси)-5-этил-2-метокси-N- (7-винилбензо[d]изоксазол-3-ил)бензолсульфонамида A23 (95 мг, 0,18 ммоль) и ТФК (4 мл) перемешивали при к. т. в течение 3 ч, а затем концентрировали при пониженном давлении. Остаток очищали с помощью хроматографии на силикагеле (петр. эфир/EtOAc=2/1) с получением указанного в заголовке соединения (40 мг, 61%) в виде твердого вещества белого цвета. ЖХМС-D: вр. уд. 2,78 мин; m/z 359,1 [M+H]+

c) 5-Этил-N-(7-этилбензо[d]изоксазол-3-ил)-2-метоксибензолсульфонамид 188

К раствору 5-этил-2-метокси-N-(7-винилбензо[d]изоксазол-3-ил)бензолсульфонамида A24 (35 мг, 0,098 ммоль) в EtOAc (5 мл) добавляли 10% Pd/C (7 мг) и перемешивали смесь при к. т. в атмосфере H2 в течение ночи. Смесь фильтровали, концентрировали фильтрат и очищали остаток с помощью хроматографии на силикагеле (петр. эфир/EtOAc=4/1) с получением указанного в заголовке соединения (30 мг, 85%) в виде твердого вещества белого цвета. ЖХМС-D: вр. уд. 2,83 мин; m/z 361,1 [M+H]+. 1H ЯМР (400 MГц, ДМСО-d6) δ 11,7 (с, 1H), 7,90-7,83 (м, 1H), 7,70 (д, J=2,3 Гц, 1H), 7,50-7,40 (м, 2H), 7,28 (т, J=7,6 Гц, 1H), 7,12-7,05 (м, 1H), 3,73 (с, 3H), 2,80 (к, J=7,5 Гц, 2H), 2,61 (к, J=7,6 Гц, 2H), 1,22 (т, J=7,5 Гц, 3H), 1,15 (т, J=7,6 Гц, 3H).

Пример 189: N-(7-циклопропилбензо[d]изоксазол-3-ил)-5-этил-2-метоксибензолсульфонамид 189

a) N-(7-циклопропилбензо[d]изоксазол-3-ил)-N-((2,4-диметоксибензил)окси)-5-этил-2-метоксибензолсульфонамид A25

К суспензии N-(7-бромбензо[d]изоксазол-3-ил)-N-((2,4-диэтилбензил)окси)-5-этил-2- метоксибензолсульфонамида A17 (200 мг, 0,36 ммоль) в 1,4-диоксане (15 мл) и H2O (3 мл) добавляли циклопропилбороновую кислоту (61 мг, 0,71 ммоль), K2CO3 (148 мг, 1,07 ммоль) и Pd(dppf)Cl2 (26 мг, 0,036 ммоль) и нагревали смесь при 90°C в атмосфере N2 в течение 4 ч. Смесь концентрировали при пониженном давлении, остаток разбавляли с использованием EtOAc (30 мл) и промывали водой (25 мл × 3). Органический слой сушили над безводным Na2SO4, фильтровали и концентрировали при пониженном давлении. Остаток очищали с помощью хроматографии на силикагеле (петр. эфир/EtOAc=3/1) с получением указанного в заголовке соединения (140 мг, 75%) в виде твердого вещества белого цвета. ЖХМС-D: вр. уд. 3,34 мин; m/z 523,2 [M+H]+.

b) N-(7-Циклопропилбензо[d]изоксазол-3-ил)-5-этил-2-метоксибензолсульфонамид 189

Смесь N-(7-циклопропилбензо[d]изоксазол-3-ил)-N-((2,4-диметоксибензил)окси)-5-этил-2-метоксибензолсульфонамида A25 (140 мг, 0,27 ммоль) и ТФК (6 мл) перемешивали при к. т. в течение 3 ч, а затем концентрировали при пониженном давлении. Остаток очищали с помощью хроматографии на силикагеле (петр. эфир/EtOAc=2/1) с получением указанного в заголовке соединения (80 мг, 81%) в виде твердого вещества белого цвета. ЖХМС-D: вр. уд. 2,86 мин; m/z 373,1 [M+H]+. 1H ЯМР (400 MГц, ДМСО-d6) δ 11,7 (с, 1H), 7,81 (дд, J=7,0, 2,1 Гц, 1H), 7,70 (д, J=2,3 Гц, 1H), 7,50-7,43 (м, 1H), 7,27-7,19 (м, 2H), 7,12-7,06 (м, 1H), 3,73 (с, 3H), 2,61 (к, J=7,6 Гц, 2H), 2,17-2,10 (м, 1H), 1,15 (т, J=7,5 Гц, 3H), 1,04-0,97 (м, 2H), 0,90-0,84 (м, 2H).

Пример 190: N-(7-циклогексилбензо[d]изоксазол-3-ил)-5-этил-2-метоксибензолсульфонамид 190

a) N-(7-(циклогекс-1-ен-1-ил)бензо[d]изоксазол-3-ил)-N-(2,4-диметоксибензил)-5-этил-2-метоксибензолсульфонамид A26

К суспензии N-(7-бромбензо[d]изоксазол-3-ил)-N-(2,4-диметоксибензил)-5-этил-2-

метоксибензолсульфонамида A17 (200 мг, 0,36 ммоль) в 1,4-диоксане (15 мл) и воде (3 мл) добавляли циклогекс-1-ен-1-илбороновую кислоту (90 мг, 0,71 ммоль), Pd(dppf)Cl2 (26 мг, 0,036 ммоль) и K2CO3 (148 мг, 1,07 ммоль) и нагревали смесь при 90°C в атмосфере N2 в течение 4 ч. Смесь концентрировали при пониженном давлении, остаток разбавляли с использованием EtOAc (30 мл) и промывали водой (25 мл × 3). Органический слой сушили над безводным Na2SO4, фильтровали и концентрировали при пониженном давлении. Остаток очищали с помощью колоночной хроматографии (петр. эфир/EtOAc=3/1) с получением указанного в заголовке соединения (150 мг, 75%) в виде твердого вещества белого цвета, которое использовали непосредственно на следующей стадии.

b) N-(7-(Циклогекс-1-ен-1-ил)бензо[d]изоксазол-3-ил)-5-этил-2-метоксибензолсульфонамид A27

Смесь N-(7-(циклогекс-1-ен-1-ил)бензо[d]изоксазол-3-ил)-N-(2,4-диметоксибензил)- 5-этил-2-метоксибензолсульфонамида A26 (150 мг, 0,26 ммоль) и ТФК (7 мл) перемешивали при к. т. в течение 3 ч, а затем концентрировали при пониженном давлении. Остаток очищали с помощью хроматографии на силикагеле (петр. эфир/EtOAc=2/1) с получением указанного в заголовке соединения (65 мг, 60%) в виде твердого вещества белого цвета. ЖХМС-D: вр. уд. 3,64 мин; m/z 413 [M+H]+.

c) N-(7-Циклогексилбензо[d]изоксазол-3-ил)-5-этил-2-метоксибензолсульфонамид 190

Смесь N-(7-(циклогекс-1-ен-1-ил)бензо[d]изоксазол-3-ил)-5-этил-2- метоксибензолсульфонамида A27 (65 мг, 0,15 ммоль) и 10% Pd/C (13 мг) в EtOAc (10 мл) перемешивали при к. т. в атмосфере H2 в течение 3 ч. Смесь фильтровали и концентрировали фильтрат при пониженном давлении с получением указанного в заголовке соединения (40 мг, 61%) в виде твердого вещества белого цвета. ЖХМС-D: вр. уд. 3,34 мин; m/z 415,2 [M+H]+. 1H ЯМР (400 MГц, ДМСО-d6) δ 11,7 (с, 1H), 7,87-7,82 (м, 1H), 7,70 (д, J=2,3 Гц, 1H), 7,49-7,41 (м, 2H), 7,28 (т, J=7,6 Гц, 1H), 7,12-7,06 (м, 1H), 3,72 (с, 3H), 2,62 (к, J=7,6 Гц, 2H), 1,85-1,75 (м, 4H), 1,75-1,67 (м, 1H), 1,61-1,48 (м, 2H), 1,44-1,20 (м, 4H), 1,15 (т, J=7,6 Гц, 3H).

Пример 191: 5-этил-2-метокси-N-(7-(1-метил-1H-пиразол-4-ил)бензо[d]изоксазол-3-ил)бензолсульфонамид 191

a) N-((2,4-Диметоксибензил)окси)-5-этил-2-метокси-N-(7-(1-метил-1H-пиразол-4-ил)бензо[d]изоксазол-3-ил)бензолсульфонамид A29

К смеси N-(7-бромбензо[d]изоксазол-3-ил)-N-((2,4-диметоксибензил)окси)-5-этил-2-метоксибензолсульфонамида A17 (150 мг, 0,27 ммоль) в 1,4-диоксане (15 мл) и H2O (3 мл) добавляли K2CO3 (110 мг, 0,80 ммоль), (1-метил-1H-пиразол-4-ил)бороновую кислоту (67 мг, 0,33 ммоль) и Pd(dppf)Cl2 (20 мг, 0,027 ммоль) и нагревали смесь при 90°C в атмосфере N2 в течение ночи. Смесь разбавляли с использованием 0,5 M водн. раствора HCl (30 мл) и удаляли большую часть органического растворителя при пониженном давлении. Оставшуюся водную смесь экстрагировали с использованием ДХМ (40 мл × 3), объединенные органические экстракты сушили над безводным Na2SO4, фильтровали и концентрировали при пониженном давлении. Остаток очищали с помощью хроматографии на силикагеле (ДХМ/MeOH=100/1) с получением указанного в заголовке соединения (80 мг, 53%) в виде твердого вещества светло-желтого цвета, которое использовали непосредственно на следующей стадии.

b) 5-Этил-2-метокси-N-(7-(1-метил-1H-пиразол-4-ил)бензо[d]изоксазол-3-ил)бензолсульфонамид 191

Смесь N-((2,4-диметоксибензил)окси)-5-этил-2-метокси-N-(7-(1-метил-1H-пиразол- 4-ил)бензо[d]изоксазол-3-ил)бензолсульфонамида A29 (80 мг, 0,14 ммоль) и ТФК (3 мл) перемешивали при к. т. в течение 3 ч, а затем концентрировали при пониженном давлении. Остаток очищали с помощью хроматографии на силикагеле (ДХМ/MeOH=80/1) с получением указанного в заголовке соединения (50 мг, 86%) в виде твердого вещества светло-желтого цвета. ЖХМС-D: вр. уд. 2,59 мин; m/z 413,1 [M+H]+. 1H ЯМР (400 MГц, ДМСО-d6) δ 11,8 (с, 1H), 8,34 (с, 1H), 8,06 (с, 1H), 7,91-7,84 (м, 2H), 7,72 (д, J=2,3 Гц, 1H), 7,50-7,43 (м, 1H), 7,41-7,32 (м, 1H), 7,13-7,06 (м, 1H), 3,90 (с, 3H), 3,74 (с, 3H), 2,62 (к, J=7,6 Гц, 2H), 1,16 (т, J=7,5 Гц, 3H).

Пример 192: 5-Этил-2-метокси-N-(7-(пиримидин-5-ил)бензо[d]изоксазол-3-ил)бензолсульфонамид 192

К суспензии N-(7-бромбензо[d]изоксазол-3-ил)-5-этил-2-метоксибензолсульфонамида 137 (200 мг, 0,49 ммоль) в толуоле (16 мл), воде (8 мл) и изопропаноле (8 мл) добавляли пиримидин-5-илбороновую кислоту (181 мг, 1,46 ммоль), K3PO4 (518 мг, 1,95 ммоль) и Pd(dppf)Cl2 (36 мг, 0,049 ммоль) и нагревали смесь при 90°C в атмосфере N2 в течение ночи. Уровень pH смеси доводили до 5-6 и экстрагировали с использованием EtOAc (20 мл × 3). Объединенные органические экстракты сушили над безводным Na2SO4, фильтровали и концентрировали при пониженном давлении. Остаток очищали с помощью хроматографии на силикагеле (ДХМ/MeOH=40/1) с получением указанного в заголовке соединения (18 мг, 9%) в виде твердого вещества коричневого цвета. ЖХМС-D: вр. уд. 2,49 мин; m/z 411,1 [M+H]+. 1H ЯМР (400 MГц, ДМСО-d6) δ 11,9 (с, 1H), 9,34-9,18 (м, 2H), 8,17 (д, J=8,1 Гц, 1H), 8,06 (д, J=7,4 Гц, 1H), 7,73 (с, 1H), 7,62-7,42 (м, 3H), 7,17-7,06 (м, 1H), 3,75 (с, 3H), 2,62 (к, J=7,6 Гц, 2H), 1,16 (т, J=7,6 Гц, 3H).

Пример 193: 5-этил-2-метокси-N-(6-метилбензо[d]изоксазол-3-ил)бензолсульфонамид 193

a) N-(6-Бромбензо[d]изоксазол-3-ил)-N-(2,4-диметоксибензил)-5-этил-2-метоксибензолсульфонамид A30

К раствору N-(6-бромбензо[d]изоксазол-3-ил)-5-этил-2-метоксибензолсульфонамида 138 (4,1 г, 10,0 ммоль), (2,4-диметоксифенил)метанола (2,5 г, 15,0 ммоль) и PPh3 (6,6 г, 25,0 ммоль) в ТГФ (100 мл) при 0°C в атмосфере N2 добавляли ДИАД (4,0 г, 20,0 ммоль) и перемешивали смесь при к. т. в течение ночи. Смесь концентрировали при пониженном давлении и очищали остаток с помощью хроматографии на силикагеле (петр. эфир/EtOAc=от 50/1 до 5/1) с получением указанного в заголовке соединения (4,0 г, 71%) в виде твердого вещества белого цвета, которое использовали непосредственно на следующей стадии.

b) N-(2,4-Диметоксибензил)-5-этил-2-метокси-N-(6-метилбензо[d]изоксазол-3-ил)бензолсульфонамид A31

Смесь N-(6-бромбензо[d]изоксазол-3-ил)-N-(2,4-диметоксибензил)-5-этил-2-метоксибензолсульфонамида A30 (120 мг, 0,214 ммоль), CH3B(OH)2 (64 мг, 1,07 ммоль), Pd(dppf)Cl2 (31 мг, 0,428 ммоль) и K2CO3 (148 мг, 1,07 ммоль) в 1,4-диоксане (10 мл) и воде (2 мл) нагревали при 90°C в атмосфере N2 в течение ночи. Растворитель удаляли при пониженном давлении и очищали остаток с помощью колоночной хроматографии (петр. эфир/EtOAc=от 50/1 до 5/1) с получением указанного в заголовке соединения (72 мг, 68%) в виде твердого вещества белого цвета, которое использовали непосредственно на следующей стадии.

c) 5-Этил-2-метокси-N-(6-метилбензо[d]изоксазол-3-ил)бензолсульфонамид 193

Смесь N-(2,4-диметоксибензил)-5-этил-2-метокси-N-(6-метилбензо[d]изоксазол-3-ил)бензолсульфонамида A31 (72 мг, 0,145 ммоль) и ТФК (3 мл) перемешивали при к. т. в течение 3 ч, а затем концентрировали при пониженном давлении. Остаток очищали с помощью колоночной хроматографии (петр. эфир/EtOAc=от 50/1 до 3/1) с получением указанного в заголовке соединения (45 мг, 90%) в виде твердого вещества белого цвета. ЖХМС-D: вр. уд. 2,76 мин; m/z 347,1 [M+H]+. 1H ЯМР (400 MГц, ДМСО-d6) δ 11,6 (с, 1H), 7,94-7,87 (м, 1H), 7,68 (д, J=2,3 Гц, 1H), 7,49-7,42 (м, 1H), 7,39 (с, 1H), 7,23-7,16 (м, 1H), 7,13-7,05 (м, 1H), 3,72 (с, 3H), 2,60 (к, J=7,5 Гц, 2H), 2,43 (с, 3H), 1,14 (т, J=7,5 Гц, 3H).

Пример 194: 5-этил-N-(6-этилбензо[d]изоксазол-3-ил)-2-метоксибензолсульфонамид 194

a) N-(2,4-Диметоксибензил)-5-этил-N-(6-этилбензо[d]изоксазол-3-ил)-2-метоксибензолсульфонамид A32

Смесь N-(6-бромбензо[d]изоксазол-3-ил)-N-(2,4-диметоксибензил)-5-этил-2-метоксибензолсульфонамида A30 (200 мг, 0,356 ммоль), этилбороновой кислоты (132 мг, 1,78 ммоль), Pd(dppf)Cl2 (52 мг, 0,071 ммоль) и K2CO3 (246 мг, 1,78 ммоль) в 1,4-диоксане (20 мл) и воде (4 мл) нагревали при 90°C в атмосфере N2 в течение ночи. Растворитель удаляли при пониженном давлении, а остаток разделяли между ДХМ (200 мл) и водой (50 мл). Разделяли слои, промывали органический слой водой, насыщенным солевым раствором, сушили над безводным Na2SO4, фильтровали и концентрировали при пониженном давлении. Остаток очищали с помощью колоночной хроматографии (петр. эфир/EtOAc=от 100/1 до 5/1) с получением указанного в заголовке соединения (120 мг, 67%) в виде твердого вещества белого цвета, которое использовали непосредственно на следующей стадии.

b) 5-Этил-N-(6-этилбензо[d]изоксазол-3-ил)-2-метоксибензолсульфонамид 194

Смесь N-(2,4-диметоксибензил)-5-этил-N-(6-этилбензо[d]изоксазол-3-ил)-2- метоксибензолсульфонамида A32 (120 мг, 0,24 ммоль) и ТФК (5 мл) перемешивали при к. т. в течение ночи, а затем концентрировали при пониженном давлении. Остаток очищали с помощью колоночной хроматографии (петр. эфир/EtOAc=от 50/1 до 3/1) с получением указанного в заголовке соединения (80 мг, 94%) в виде твердого вещества белого цвета. ЖХМС-D: вр. уд. 2,84 мин; m/z 361,1 [M+H]+. 1H ЯМР (400 MГц, ДМСО-d6) δ 11,6 (с, 1H), 7,97-7,90 (м, 1H), 7,69 (д, J=2,3 Гц, 1H), 7,49-7,37 (м, 2H), 7,26-7,19 (м, 1H), 7,11-7,04 (м, 1H), 3,72 (с, 3H), 2,73 (к, J=7,6 Гц, 2H), 2,60 (к, J=7,6 Гц, 2H), 1,20 (т, J=7,6 Гц, 3H), 1,14 (т, J=7,6 Гц, 3H).

Пример 195: N-(6-циклопропилбензо[d]изоксазол-3-ил)-5-этил-2-метоксибензолсульфонамид 195

Смесь N-(6-бромбензо[d]изоксазол-3-ил)-5-этил-2-метоксибензолсульфонамида 138 (206 мг, 0,5 ммоль), циклопропилбороновой кислоты (215 мг, 2,5 ммоль), Pd(dppf)Cl2 (73 мг, 0,1 ммоль) и K2CO3 (345 мг, 2,5 ммоль) в 1,4-диоксане (20 мл) и воде (4 мл) нагревали при 90°C в атмосфере N2 в течение ночи. Растворитель удаляли при пониженном давлении и очищали остаток с помощью колоночной хроматографии (петр. эфир/EtOAc=от 50/1 до 3/1) с получением указанного в заголовке соединения (80 мг, 43%) в виде твердого вещества белого цвета. ЖХМС-D: вр. уд. 2,86 мин; m/z 373,1 [M+H]+. 1H ЯМР (400 MГц, ДМСО-d6) δ 11,6 (с, 1H), 7,91-7,85 (м, 1H), 7,68 (д, J=2,3 Гц, 1H), 7,48-7,42 (м, 1H), 7,27 (с, 1H), 7,12-7,04 (м, 2H), 3,72 (с, 3H), 2,60 (к, J=7,6 Гц, 2H), 2,10-2,00 (м, 1H), 1,14 (т, J=7,5 Гц, 3H), 1,07-0,99 (м, 2H), 0,83-0,75 (м, 2H).

Пример 196: 5-этил-2-метокси-N-(6-(1-метил-1H-пиразол-4-ил)бензо[d]изоксазол-3-ил)бензолсульфонамид 196

a) N-(2,4-диметоксибензил)-5-этил-2-метокси-N-(6-(1-метил-1H-пиразол-4-ил)бензо[d]изоксазол-3-ил)бензолсульфонамид A33

Смесь N-(6-бромбензо[d]изоксазол-3-ил)-N-(2,4-диметоксибензил)-5-этил-2-метоксибензолсульфонамида A30 (120 мг, 0,214 ммоль), (1-метил-1H-пиразол-4-ил)бороновой кислоты (54 мг, 0,428 ммоль), Pd(dppf)Cl2 (31 мг, 0,043 ммоль) и K2CO3 (148 мг, 1,07 ммоль) в 1,4-диоксане (10 мл) и воде (2 мл) нагревали при 90°C в атмосфере N2 в течение ночи. Растворитель удаляли при пониженном давлении, а остаток разделяли между ДХМ (150 мл) и водой (50 мл). Разделяли слои, промывали органический слой водой, насыщенным солевым раствором, сушили над безводным Na2SO4, фильтровали и концентрировали при пониженном давлении. Остаток очищали с помощью колоночной хроматографии (петр. эфир/EtOAc=от 50/1 до 5/1) с получением указанного в заголовке соединения (90 мг, 75%) в виде твердого вещества коричневого цвета. ЖХМС-D: вр. уд. 3,05 мин; m/z 563,0 [M+H]+.

b) 5-Этил-2-метокси-N-(6-(1-метил-1H-пиразол-4-ил)бензо[d]изоксазол-3-ил)бензолсульфонамид 196

Смесь N-(2,4-диметоксибензил)-5-этил-2-метокси-N-(6-(1-метил-1H-пиразол-4-ил) бензо[d]изоксазол-3-ил)бензолсульфонамида A33 (90 мг, 0,16 ммоль) и ТФК (5 мл) перемешивали при к. т. в течение ночи, а затем концентрировали при пониженном давлении. Остаток очищали с помощью колоночной хроматографии (петр. эфир/EtOAc=от 50/1 до 5/1) с получением указанного в заголовке соединения (30 мг, 46%) в виде твердого вещества коричневого цвета. ЖХМС-D: вр. уд. 2,57 мин; m/z 413,2 [M+H]+. 1H ЯМР (400 MГц, ДМСО-d6) δ 11,6 (с, 1H), 8,29 (с, 1H), 8,06-7,95 (м, 2H), 7,78 (с, 1H), 7,70 (д, J=2,3 Гц, 1H), 7,64-7,56 (м, 1H), 7,50-7,42 (м, 1H), 7,13-7,05 (м, 1H), 3,87 (с, 3H), 3,71 (с, 3H), 2,61 (к, J=7,6 Гц, 2H), 1,15 (т, J=7,5 Гц, 3H).

Пример 197: 5-Этил-2-метокси-N-(6-(пиримидин-5-ил)бензо[d]изоксазол-3-ил)бензолсульфонамид 197

Смесь N-(6-бромбензо[d]изоксазол-3-ил)-5-этил-2-метоксибензолсульфонамида 138 (100 мг, 0,24 ммоль), пиримидин-5-илбороновой кислоты (45 мг, 0,36 ммоль), Pd(PPh3)4 (28 мг, 0,024 ммоль) и K2CO3 (166 мг, 1,2 ммоль) в толуоле (8 мл), воде (8 мл) и изопропаноле (2 мл) нагревали при 90°C в атмосфере N2 в течение 4 ч. Добавляли 2 M водн. раствор NaOH (15 мл) и перемешивали смесь при к. т. в течение 20 мин. Смесь промывали с использованием EtOAc (20 мл × 2), а затем доводили уровень pH до 2 с использованием конц. раствора HCl и экстрагировали с использованием ДХМ (50 мл × 2). Объединенные органические экстракты промывали водой, насыщенным солевым раствором, сушили над безводным Na2SO4, фильтровали и концентрировали при пониженном давлении. Остаток очищали с помощью хроматографии на силикагеле (ДХМ/MeOH=30/1) с получением указанного в заголовке соединения (15 мг, 15%) в виде твердого вещества белого цвета. ЖХМС-D: вр. уд. 2,97 мин; m/z 411,0 [M+H]+. 1H ЯМР (400 MГц, ДМСО-d6) δ 11,8 (с, 1H), 9,24 (с, 3H), 8,21-8,15 (м, 1H), 8,11 (с, 1H), 7,85-7,78 (м, 1H), 7,72 (д, J=2,3 Гц, 1H), 7,49-7,42 (м, 1H), 7,13-7,05 (м, 1H), 3,73 (с, 3H), 2,61 (к, J=7,6 Гц, 2H), 1,15 (т, J=7,6 Гц, 3H).

Пример 198: 5-этил-2-метокси-N-(4-метилбензо[d]изоксазол-3-ил)бензолсульфонамид 198

a) N-(4-Бромбензо[d]изоксазол-3-ил)-N-((2,4-диметоксибензил)окси)-5-этил-2-метоксибензолсульфонамид A34

К раствору N-(4-бромбензо[d]изоксазол-3-ил)-5-этил-2-метоксибензолсульфонамида 129 (2,1 г, 5,1 ммоль), (2,4-диметоксифенил)метанола (1,3 г, 7,7 ммоль) и PPh3 (3,35 г, 12,8 ммоль) в ТГФ (200 мл) при 0°C в атмосфере N2 добавляли ДИАД (3,1 г, 15,3 ммоль) и перемешивали смесь при 0°C в течение 1 ч, а затем оставляли нагреться до к. т. и перемешивали в течение ночи. Смесь концентрировали при пониженном давлении и очищали остаток с помощью колоночной хроматографии (петр. эфир/EtOAc=5/1) с получением указанного в заголовке соединения (1,2 г, 42%) в виде твердого вещества белого цвета. ЖХМС-D: вр. уд. 3,40 мин; m/z 583,0 [M+H]+.

b) N((2,4-Диметоксибензил)окси)-5-этил-2-метокси-N-(4-метилбензо[d]изоксазол-3-ил)бензолсульфонамид A35

Смесь N-(4-бромбензо[d]изоксазол-3-ил)-N-((2,4-диметоксибензил)окси)-5-этил-2-метоксибензолсульфонамида A34 (200 мг, 0,36 ммоль), метилбороновой кислоты (43 мг, 0,71 ммоль), K2CO3 (148 мг, 1,07 ммоль) и Pd(dppf)Cl2 (26 мг, 0,036 ммоль) в 1,4-диоксане (15 мл) и воде (3 мл) нагревали при 90°C в атмосфере N2 в течение 4 ч. Уровень pH смеси доводили до 2-3, и удаляли большую часть растворителя при пониженном давлении. Остаток разбавляли водой (10 мл) и экстрагировали с использованием ДХМ (25 мл × 3). Объединенные органические слои сушили над безводным Na2SO4, фильтровали и концентрировали при пониженном давлении. Остаток очищали с помощью колоночной хроматографии (петр. эфир/EA=5/1) с получением указанного в заголовке соединения (125 мг, 71%) в виде твердого вещества белого цвета, которое использовали непосредственно на следующей стадии.

c) 5-Этил-2-метокси-N-(4-метилбензо[d]изоксазол-3-ил)бензолсульфонамид 198

Смесь N-((2,4-диметоксибензил)окси)-5-этил-2-метокси-N-(4-метил бензо[d]изоксазол-3-ил)бензолсульфонамида A35 (125 мг, 0,26 ммоль) и ТФК (3 мл) перемешивали при к. т. в течение 3 ч, затем разбавляли ДХМ (100 мл), промывали водой, сушили над безводным Na2SO4, фильтровали и концентрировали при пониженном давлении. Остаток очищали с помощью колоночной хроматографии (петр. эфир/EtOAc=3/1) с получением указанного в заголовке соединения (85 мг, 92%) в виде твердого вещества белого цвета. ЖХМС-D: вр. уд. 2,69 мин m/z 347,1 [M+H]+. 1H ЯМР (400 MГц, ДМСО-d6) δ 10,6 (с, 1H), 7,58-7,56 (м, 1H), 7,52-7,46 (м, 3H), 7,18-7,14 (м, 2H), 3,73 (с, 3H), 2,62-2,56 (м, 5H), 1,14 (т, J=7,6 Гц, 3H)

Пример 199: 5-этил-N-(4-этилбензо[d]изоксазол-3-ил)-2-метоксибензолсульфонамид 199

a) N-(2,4-Диметоксибензил)-5-этил-N-(4-этилбензо[d]изоксазол-3-ил)-2-метоксибензолсульфонамид A36

Смесь N-(4-бромбензо[d]изоксазол-3-ил)-N-((2,4-диметоксибензил)окси)-5-этил- 2-метоксибензолсульфонамида A34 (200 мг, 0,36 ммоль), этилбороновой кислоты (53 мг, 0,71 ммоль), K2CO3 (148 мг, 1,07 ммоль) и Pd(dppf)Cl2 (26 мг, 0,036 ммоль) в 1,4-диоксане (15 мл) и H2O (3 мл) нагревали при 90°C в атмосфере N2 в течение 4 ч. Уровень pH смеси доводили до 2-3, и удаляли большую часть растворителя при пониженном давлении. Остаток разбавляли водой (15 мл) и экстрагировали с использованием ДХМ (20 мл × 3). Объединенные органические слои сушили над безводным Na2SO4, фильтровали и концентрировали при пониженном давлении. Остаток очищали с помощью колоночной хроматографии (петр. эфир/EtOAc=5/1) с получением указанного в заголовке соединения (120 мг, 66%) в виде твердого вещества белого цвета, которое использовали непосредственно на следующей стадии.

b) 5-Этил-N-(4-этилбензо[d]изоксазол-3-ил)-2-метоксибензолсульфонамид 199

Смесь N-(2,4-диметоксибензил)-5-этил-N-(4-этилбензо[d]изоксазол-3-ил)-2- метоксибензолсульфонамида A36 (120 мг, 0,23 ммоль) и ТФК (3 мл) перемешивали при комнатной температуре в атмосфере N2 в течение 3 ч, затем разбавляли ДХМ (100 мл), промывали водой, сушили над безводным Na2SO4, фильтровали и концентрировали при пониженном давлении. Остаток очищали с помощью колоночной хроматографии (петр. эфир/EtOAc=3/1) с получением указанного в заголовке соединения (75 мг, 89%) в виде твердого вещества белого цвета. ЖХМС-D: вр. уд. 2,80 мин 361,1 [M+H]+. 1H ЯМР (400 MГц, ДМСО-d6) δ 10,5 (с, 1H), 7,60-7,49 (м, 4H), 7,22-7,18 (м, 2H), 3,81 (с, 3H), 8,09 (к, J=7,6 Гц, 2H), 2,59 (к, J=7,6 Гц, 2H), 1,25 (т, J=7,6 Гц, 3H), 1,14 (т, J=7,6 Гц, 3H).

Пример 200: N-(4-циклопропилбензо[d]изоксазол-3-ил)-5-этил-2-метоксибензолсульфонамид 200

a) N-(4-Циклопропилбензо[d]изоксазол-3-ил)-N-(2,4-диметоксибензил)-5-этил-2-метоксибензолсульфонамид A37

Смесь N-(4-бромбензо[d]изоксазол-3-ил)-N-((2,4-диметоксибензил)окси)-5-этил- 2-метоксибензолсульфонамида A34 (200 мг, 0,36 ммоль), циклопропилбороновой кислоты (61 мг, 0,71 ммоль), K2CO3 (148 мг, 1,07 ммоль) и Pd(dppf)Cl2 (26 мг, 0,036 ммоль) в 1,4-диоксане (15 мл) и H2O (3 мл) нагревали при 90°C в атмосфере N2 в течение 4 ч. Уровень pH смеси доводили до 2-3, и удаляли большую часть растворителя при пониженном давлении. Остаток разбавляли водой (15 мл) и экстрагировали с использованием ДХМ (20 мл × 3). Объединенные органические экстракты сушили над безводным Na2SO4, фильтровали и концентрировали при пониженном давлении. Остаток очищали с помощью колоночной хроматографии (петр. эфир/EtOAc=5/1) с получением указанного в заголовке соединения (120 мг, 66%) в виде твердого вещества желтого цвета, которое использовали непосредственно на следующей стадии.

b) N-(4-Циклопропилбензо[d]изоксазол-3-ил)-5-этил-2-метоксибензолсульфонамид 200

Смесь N-(4-циклопропилбензо[d]изоксазол-3-ил)-N-(2,4-диметоксибензил)-5-этил- 2-метоксибензолсульфонамида A37(130 мг, 0,25 ммоль) и ТФК (3 мл) перемешивали при к. т. в атмосфере N2 в течение 3 ч, а затем концентрировали при пониженном давлении. Остаток очищали с помощью колоночной хроматографии (петр. эфир/EtOAc=3/1) с получением указанного в заголовке соединения (85 мг, 92%) в виде твердого вещества желтого цвета. ЖХМС-D: вр. уд. 2,81 мин, 373,1 [M+H]+. 1H ЯМР (400 MГц, ДМСО-d6) δ 10,6 (с, 1H), 7,58-7,57 (д, J=2,0 Гц, 1H), 7,53-7,42 (м, 3H), 7,18-7,16 (м, 1H), 6,86-6,84 (м, 1H), 3,74 (с, 3H), 2,72 (м, 1H), 2,60 (к, J=7,6 Гц, 2H), 1,14 (т, J=7,6 Гц, 3H), 1,02-0,98 (м, 2H), 0,82-0,78 (м, 2H).

Пример 201: N-(4-циклогексилбензо[d]изоксазол-3-ил)-5-этил-2-метоксибензолсульфонамид 201

a) N-(4-(Циклогекс-1-ен-1-ил)бензо[d]изоксазол-3-ил)-N-(2,4-диметоксибензил)-5-этил-2-метоксибензолсульфонамид A38

Смесь N-(4-бромбензо[d]изоксазол-3-ил)-N-((2,4-диметоксибензил)окси)-5-этил-2-метоксибензолсульфонамида A34 (200 мг, 0,36 ммоль), циклогекс-1-ен-1-илбороновой кислоты (90 мг, 0,71 ммоль), K2CO3 (148 мг, 1,07 ммоль) и Pd(dppf)Cl2 (26 мг, 0,036 ммоль) в 1,4-диоксане (15 мл) и H2O (3 мл) нагревали при 90°C в атмосфере N2 в течение 4 ч. Большую часть растворителя удаляли при пониженном давлении, остаток разбавляли водой (30 мл), доводили уровень pH до 1-2 и экстрагировали с использованием ДХМ (35 мл × 3). Объединенные органические экстракты сушили над безводным Na2SO4, фильтровали и концентрировали при пониженном давлении. Остаток очищали с помощью колоночной хроматографии (ДХМ/MeOH=100/1) с получением указанного в заголовке соединения (150 мг, 75%) в виде твердого вещества белого цвета, которое использовали непосредственно на следующей стадии.

b) N-(4-(Циклогекс-1-ен-1-ил)бензо[d]изоксазол-3-ил)-5-этил-2-метоксибензолсульфонамид A39

Смесь N-(4-(циклогекс-1-ен-1-ил)бензо[d]изоксазол-3-ил)-N-(2,4-диметоксибензил)-5- этил-2-метоксибензолсульфонамида A38 (150 мг, 0,27 ммоль) и ТФК (3 мл) перемешивали при к. т. в атмосфере N2 в течение 3 ч, а затем концентрировали при пониженном давлении. Остаток очищали с помощью колоночной хроматографии (петр. эфир/EtOAc=2/1) с получением указанного в заголовке соединения (80 мг, 73%) в виде твердого вещества белого цвета, которое использовали непосредственно на следующей стадии.

c) N-(4-Циклогексилбензо[d]изоксазол-3-ил)-5-этил-2-метоксибензолсульфонамид 201

Смесь N-(4-(циклогекс-1-ен-1-ил)бензо[d]изоксазол-3-ил)-5-этил-2-метоксибензолсульфонамида A39 (80 мг, 0,19 ммоль) и 10% Pd/C (16 мг) в EtOAc (10 мл) перемешивали при к. т. в атмосфере H2 в течение 3 ч. Смесь фильтровали и концентрировали фильтрат при пониженном давлении с получением указанного в заголовке соединения (75 мг, 94%) в виде твердого вещества белого цвета. ЖХМС-D: вр. уд. 3,24 мин, 415,2 [M+H]+. 1H ЯМР (400 MГц, ДМСО-d6) δ 10,5 (с, 1H), 7,58-7,48 (м, 4H), 7,26 (д, J=7,2 Гц, 1H), 7,19 (д, J=8,8 Гц, 1H), 3,80 (с, 3H), 3,62-3,56 (м, 1H), 2,59 (к, J=7,6 Гц, 2H), 1,91-1,71 (м, 5H), 1,45-1,23 (м, 5H), 1,15 (т, J=7,6 Гц, 3H).

Пример 202: 5-этил-2-метокси-N-(4-(1-метил-1H-пиразол-4-ил)бензо[d]изоксазол-3-ил)бензолсульфонамид 202

a) N-(2,4-диметоксибензил)-5-этил-2-метокси-N-(4-(1-метил-1H-пиразол-4-ил)бензо[d]изоксазол-3-ил)бензолсульфонамид A40

Смесь N-(4-бромбензо[d]изоксазол-3-ил)-N-((2,4-диметоксибензил)окси)-5-этил-2-метоксибензолсульфонамида A34 (200 мг, 0,36 ммоль), (1-метил-1H-пиразол-4-ил)бороновой кислоты (90 мг, 0,71 ммоль), K2CO3 (148 мг, 1,07 ммоль) и Pd(dppf)Cl2 (26 мг, 0,036 ммоль) в 1,4-диоксане (15 мл) и H2O (3 мл) нагревали при 90°C в атмосфере N2 в течение 4 ч. Большую часть растворителя удаляли при пониженном давлении, остаток разбавляли водой (30 мл), доводили уровень pH до 1-2 и экстрагировали с использованием ДХМ (35 мл × 3). Объединенные органические экстракты сушили над безводным Na2SO4, фильтровали и концентрировали при пониженном давлении. Остаток очищали с помощью колоночной хроматографии (ДХМ/MeOH=100/1) с получением указанного в заголовке соединения (105 мг, 53%) в виде твердого вещества желтого цвета, которое использовали непосредственно на следующей стадии.

b) 5-Этил-2-метокси-N-(4-(1-метил-1H-пиразол-4-ил)бензо[d]изоксазол-3-ил)бензолсульфонамид 202

Смесь N-(2,4-диметоксибензил)-5-этил-2-метокси-N-(4-(1-метил-1H-пиразол-4-ил) бензо[d]изоксазол-3-ил)бензолсульфонамида A40 (105 мг, 0,19 ммоль) и ТФК (2 мл) перемешивали при к. т. в атмосфере N2 в течение 3 ч, а затем концентрировали при пониженном давлении. Остаток очищали с помощью колоночной хроматографии (ДХМ/MeOH=80/1) с получением указанного в заголовке соединения (60 мг, 79%) в виде твердого вещества желтого цвета. ЖХМС-D: вр. уд. 2,587 мин, m/z 413,1 [M+H]+. 1H ЯМР (400 MГц, ДМСО-d6) δ 10,2 (с, 1H), 8,12 (с, 1H), 7,90 (с, 1H), 7,66-7,45 (м, 4H), 7,39 (д, J=7,2 Гц, 1H), 7,13 (д, J=8,4 Гц, 1H), 3,88 (с, 3H), 3,75 (с, 3H), 2,58 (к, J=7,6 Гц, 2H), 1,15 (т, J=7,6 Гц, 3H).

Пример 203: 5-Этил-2-метокси-N-(4-(пиримидин-5-ил)бензо[d]изоксазол-3-ил)бензолсульфонамид 203

a) N-(2,4-диметоксибензил)-5-этил-2-метокси-N-(4-(пиримидин-5-ил)бензо[d]изоксазол-3-ил)бензолсульфонамид A41

Смесь N-(4-бромбензо[d]изоксазол-3-ил)-N-((2,4-диметоксибензил)окси)-5-этил- 2-метоксибензолсульфонамида A34 (200 мг, 0,36 ммоль), пиримидин-5-илбороновой кислоты (43 мг, 0,71 ммоль), K2CO3 (148 мг, 1,07 ммоль) и Pd(dppf)Cl2 (26 мг, 0,036 ммоль) в 1,4-диоксане (15 мл) и H2O (3 мл) нагревали при 90°C в атмосфере N2 в течение 4 ч. Большую часть растворителя удаляли при пониженном давлении, остаток разбавляли водой (30 мл), доводили уровень pH до 1-2 и экстрагировали с использованием ДХМ (35 мл × 3). Объединенные органические экстракты сушили над безводным Na2SO4, фильтровали и концентрировали при пониженном давлении. Остаток очищали с помощью колоночной хроматографии (ДХМ/MeOH=60/1) с получением указанного в заголовке соединения (95 мг, 47%) в виде твердого вещества желтого цвета, которое использовали непосредственно на следующей стадии.

b) 5-Этил-2-метокси-N-(4-(пиримидин-5-ил)бензо[d]изоксазол-3-ил)бензолсульфонамид 203

Смесь N-(2,4-диметоксибензил)-5-этил-2-метокси-N-(4-(пиримидин-5-ил) бензо[d]изоксазол-3-ил)бензолсульфонамида A41 (95 мг, 0,17 ммоль) и ТФК (2 мл) перемешивали при к. т. в атмосфере N2 в течение 3 ч, а затем концентрировали при пониженном давлении. Остаток очищали с помощью колоночной хроматографии (ДХМ/MeOH=40/1) с получением указанного в заголовке соединения (45 мг, 65%) в виде твердого вещества красного цвета. ЖХМС-D: вр. уд. 2,50 мин, m/z 411,1 [M+H]+. 1H ЯМР (400 MГц, ДМСО-d6) δ 10,5 (с, 1H), 9,24 (с, 1H), 8,97 (с, 2H), 7,86-7,79 (м, 2H), 7,53-7,38 (м, 3H), 7,13-7,11 (м, 1H), 3,75 (с, 3H), 2,55 (т, J=7,6 Гц, 2H), 1,11 (т, J=7,6 Гц, 3H).

Пример 204: N-(5-этилбензо[d]изоксазол-3-ил)-3-метокси-5,6,7,8-тетрагидронафталин-2-сульфонамид 204

Смесь N-(5-бромбензо[d]изоксазол-3-ил)-3-метокси-5,6,7,8- тетрагидронафталин-2-сульфонамида 113 (219 мг, 0,5 ммоль), этилбороновой кислоты (185 мг, 2,5 ммоль), Pd(dppf)Cl2 (73 мг, 0,1 ммоль) и K2CO3 (345 мг, 2,5 ммоль) в 1,4-диоксане (20 мл) и воде (20 мл) нагревали при 90°C в атмосфере N2 в течение ночи. После этого уровень pH смеси доводили до 1 и удаляли большую часть растворителя при пониженном давлении. Остаток разбавляли водой (50 мл) и экстрагировали с использованием ДХМ (100 мл). Органический экстракт промывали водой, насыщенным солевым раствором, сушили над безводным Na2SO4, фильтровали и концентрировали при пониженном давлении. Остаток очищали с помощью хроматографии на силикагеле (петр. эфир/EtOAc=от 10/1 до 2/1) с последующей препаративной ТСХ (петр. эфир/EtOAc=1/1) с получением указанного в заголовке соединения (52 мг, 27%) в виде твердого вещества белого цвета. ЖХМС-D: вр. уд. 3,06 мин, m/z 387,1 [M+H]+. 1H ЯМР (400 MГц, ДМСО-d6) δ 11,4 (с, 1H), 7,83 (с, 1H), 7,54 (с, 1H), 7,51-7,43 (м, 2H), 6,84 (с, 1H), 3,71 (с, 3H), 2,77-2,65 (м, 6H), 1,75-1,66 (м, 4H), 1,24 (т, J=7,6 Гц, 3H).

Пример 205: N-(5-циклопропилбензо[d]изоксазол-3-ил)-3-метокси-5,6,7,8-тетрагидронафталин-2-сульфонамид 205

Смесь N-(5-бромбензо[d]изоксазол-3-ил)-3-метокси-5,6,7,8- тетрагидронафталин-2-сульфонамида 113 (219 мг, 0,5 ммоль), циклопропилбороновой кислоты (215 мг, 2,5 ммоль), Pd(dppf)Cl2 (73 мг, 0,1 ммоль) и K2CO3 (345 мг, 2,5 ммоль) в 1,4-диоксане (20 мл) и воде (4 мл) нагревали при 90°C в атмосфере N2 в течение ночи. После этого уровень pH смеси доводили до 1 с использованием конц. HCl, и большую часть растворителя удаляли при пониженном давлении. Остаток разбавляли водой (30 мл) и экстрагировали с использованием ДХМ (100 мл). Органический экстракт промывали водой, насыщенным солевым раствором, сушили над безводным Na2SO4, фильтровали и концентрировали при пониженном давлении. Остаток очищали с помощью хроматографии на силикагеле (петр. эфир/EtOAc=от 10/1 до 2/1) с последующей препаративной ТСХ (петр. эфир/EtOAc=1/1) с получением указанного в заголовке соединения (50 мг, 25%) в виде твердого вещества белого цвета. ЖХМС-D: вр. уд. 3,07 мин, m/z 399,1 [M+H]+. 1H ЯМР (400 MГц, ДМСО-d6) δ 11,4 (с, 1H), 7,68 (с, 1H), 7,54 (с, 1H), 7,47-7,43 (м, 1H), 7,40-7,35 (м, 1H), 6,84 (с, 1H), 3,71 (с, 3H), 2,77-2,65 (м, 4H), 2,08-2,00 (м, 1H), 1,74-1,66 (м, 4H), 1,04-0,96 (м, 2H), 0,68-0,61 (м, 2H).

Пример 206: N-(4-хлор-5-этилбензо[d]изоксазол-3-ил)-5-этил-2-метоксибензолсульфонамид 206

Смесь N-(5-бром-4-хлорбензо[d]изоксазол-3-ил)-5-этил-2-метокси бензолсульфонамида 128 (200 мг, 0,449 ммоль), этилбороновой кислоты (166 мг, 2,244 ммоль), Pd(dppf)Cl2 (66 мг, 0,09 ммоль) и K2CO3 (310 мг, 2,244 ммоль) в 1,4-диоксане (20 мл) и воде (4 мл) нагревали при 90°C в атмосфере N2 в течение ночи. После этого уровень pH смеси доводили до 2 с использованием 1 M водн. раствора HCl, и большую часть растворителя удаляли при пониженном давлении. Остаток разбавляли водой и экстрагировали с использованием ДХМ. Органический экстракт промывали водой, насыщенным солевым раствором, сушили над безводным Na2SO4, фильтровали и концентрировали при пониженном давлении. Остаток очищали с помощью хроматографии на силикагеле (петр. эфир/EtOAc=от 50/1 до 2/1) с последующей препаративной ТСХ (ДХМ/MeOH=10/1) с получением указанного в заголовке соединения (15 мг, 9%) в виде твердого вещества белого цвета. ЖХМС-D: вр. уд. 2,89 мин, m/z 395,1 [M+H]+. 1H ЯМР (400 MГц, ДМСО-d6) δ 10,4 (с, 1H), 7,64 (с, 2H), 7,61-7,57 (м, 1H), 7,49-7,44 (м, 1H), 7,15-7,10 (м, 1H), 3,66 (с, 3H), 2,80 (к, J=7,6 Гц, 2H), 2,60 (к, J=7,6 Гц, 2H), 1,21-1,11 (м, 6H).

Пример 207: N-(4-хлор-5-циклопропилбензо[d]изоксазол-3-ил)-5-этил-2-метоксибензолсульфонамид 207

Смесь N-(5-бром-4-хлорбензо[d]изоксазол-3-ил)-5-этил-2-метокси бензолсульфонамида 128 (200 мг, 0,449 ммоль), циклопропилбороновой кислоты (193 мг, 2,244 ммоль), Pd(dppf)Cl2 (66 мг, 0,09 ммоль) и K2CO3 (310 мг, 2,244 ммоль) в 1,4-диоксане (20 мл) и воде (4 мл) нагревали при 90°C в атмосфере N2 в течение ночи. После этого уровень pH смеси доводили до 2 с использованием 1 M водн. раствора HCl, и большую часть растворителя удаляли при пониженном давлении. Остаток разбавляли водой и экстрагировали с использованием ДХМ. Органический экстракт промывали водой, насыщенным солевым раствором, сушили над безводным Na2SO4, фильтровали и концентрировали при пониженном давлении. Остаток очищали с помощью хроматографии на силикагеле (петр. эфир/EtOAc=от 50/1 до 3/1) с последующей препаративной ТСХ (ДХМ/MeOH=100/1) с получением указанного в заголовке соединения (20 мг, 11%) в виде твердого вещества белого цвета. ЖХМС-D: вр. уд. 2,91 мин, m/z 407,1 [M+H]+. 1H ЯМР (400 MГц, ДМСО-d6) δ 10,4 (с, 1H), 7,64-7,56 (м, 2H), 7,52-7,44 (м, 1H), 7,34-7,27 (м, 1H), 7,17-7,11 (м, 1H), 3,67 (с, 3H), 2,60 (к, J=7,6 Гц, 2H), 2,27-2,17 (м, 1H), 1,15 (т, J=7,6 Гц, 3H), 1,08-1,00 (м, 2H), 0,78-0,70 (м, 2H).

Пример 208: N-(5-циклопропил-4-метоксибензо[d]изоксазол-3-ил)-5-этил-2-метоксибензолсульфонамид 208

Смесь N-(5-бром-4-метоксибензо[d]изоксазол-3-ил)-5-этил-2-метокси бензолсульфонамида 108 (100 мг, 0,227 ммоль), циклопропилбороновой кислоты (97 мг, 1,133 ммоль), Pd(dppf)Cl2 (33 мг, 0,046 ммоль) и K2CO3 (156 мг, 1,133 ммоль) в 1,4-диоксане (20 мл) и воде (4 мл) нагревали при 90°C в атмосфере N2 в течение ночи. После этого уровень pH смеси доводили до 2 с использованием 1 M водн. раствора HCl, и большую часть растворителя удаляли при пониженном давлении. Остаток разбавляли водой и экстрагировали с использованием ДХМ. Органический экстракт промывали водой, насыщенным солевым раствором, сушили над безводным Na2SO4, фильтровали и концентрировали при пониженном давлении. Остаток очищали с помощью хроматографии на силикагеле (петр. эфир/EtOAc=от 50/1 до 3/1) с последующей препаративной ТСХ (ДХМ/MeOH=100/1) с получением указанного в заголовке соединения (30 мг, 33%) в виде твердого вещества белого цвета. ЖХМС-D: вр. уд 2,87 мин; m/z 403,1 [M+H]+. 1H ЯМР (400 MГц, ДМСО-d6) δ 10,4 (с, 1H), 7,63 (д, J=2,3 Гц, 1H), 7,50-7,45 (м, 1H), 7,32-7,26 (м, 1H), 7,19-7,12 (м, 2H), 3,92 (с, 3H), 3,81 (с, 3H), 2,61 (к, J=7,6 Гц, 2H), 2,22-2,15 (м, 1H), 1,15 (т, J=7,5 Гц, 3H), 1,03-0,94 (м, 2H), 0,76-0,64 (м, 2H).

Примеры 209, 210 и 211

a) трет-Бутил((3,5-диметоксибензил)окси)диметилсилан A42

К раствору (3,5-диметоксифенил)метанола (10 г, 0,059 моль) и имидазола (6,07 г, 0,089 моль) в ДМФ (100 мл) при к. т. добавляли ТБС-Cl (9,86 г, 0,065 моль) и перемешивали смесь в течение ночи. Добавляли воду и экстрагировали смесь с использованием EtOAc. Органический экстракт промывали водой, концентрировали при пониженном давлении и очищали остаток с помощью колоночной хроматографии (петр. эфир/EtOAc=от 20/1 до 10/1) с получением указанного в заголовке соединения (13 г, 77%) в виде бесцветного масла, которое использовали непосредственно на следующей стадии.

b) Литий 4-(((трет-бутилдиметилсилил)окси)метил)-2,6-диметоксибензолсульфинат A43

К раствору трет-бутил((3,5-диметоксибензил)окси)диметилсилана A42 (5 г, 0,018 моль) и ТМЭДА (2,26 г, 0,020 моль) в н-гексане (100 мл) при -70°C добавляли n-BuLi (2,5 M раствор в гексанах, 7,8 мл, 0,020 моль) и перемешивали смесь при 0°C в течение 1 ч. Смесь повторно охлаждали до -60°C и барботировали газообразным SO2 в течение 30 мин. Полученный осадок собирали с помощью фильтрации и промывали н-гексаном с получением указанного в заголовке соединения (6,2 г, 100%), которое использовали непосредственно на следующей стадии.

c) 4-(((трет-Бутилдиметилсилил)окси)метил)-2,6-диметоксибензолсульфонилхлорид A44

К смеси 4-(((трет-бутилдиметилсилил)окси)метил)-2,6-диметокси бензолсульфината лития A43 (6,2 г, 0,018 моль) в н-гексане (100 мл) при 0°C добавляли SO2Cl2 (2,39 г, 0,018 моль) и перемешивали смесь при 0°C в течение 1 ч. Твердые вещества собирали путем фильтрации, промывали н-гексаном, а затем растворяли в EtOAc и промывали водой. Органический слой концентрировали при пониженном давлении и очищали остаток с помощью колоночной хроматографии (петр. эфир/EtOAc=от 20/1 до 5/1) с получением указанного в заголовке соединения (2,4 г, 36%) в виде твердого вещества желтого цвета, которое использовали непосредственно на следующей стадии.

d) 4-(((трет-Бутилдиметилсилил)окси)метил)-2,6-диметокси-N-(4-метоксибензо[d]изоксазол-3-ил)бензолсульфонамид A45

К раствору 4-метоксибензо[d]изоксазол-3-амина (819 мг, 4,99 ммоль) в ТГФ (20 мл) при -78°C добавляли LiHMDS (1 M раствор в ТГФ, 5,98 мл, 5,98 ммоль) и перемешивали смесь при 0°C в течение 30 мин, а затем охлаждали до -60 °C. Добавляли раствор 4-(((трет-бутилдиметилсилил)окси)метил)-2,6-диметоксибензолсульфонилхлорида A44 (1,9 г, 4,99 ммоль) в ТГФ (20 мл) и перемешивали смесь при к. т. в течение ночи. Уровень pH смеси доводили до 5 с использованием 1 M водн. раствора HCl и экстрагировали с использованием EtOAc. Органический экстракт концентрировали при пониженном давлении и очищали остаток с помощью колоночной хроматографии (петр. эфир/EtOAc=от 100/1 до 20/1) с получением указанного в заголовке соединения (170 мг, 7%) в виде твердого вещества желтого цвета. ЖХМС-D: вр. уд. 3,33 мин, m/z 509,0 [M+H]+.

e) 4-(Гидроксиметил)-2,6-диметокси-N-(4-метоксибензо[d]изоксазол-3-ил)бензолсульфонамид 209

К раствору 4-(((трет-бутилдиметилсилил)окси)метил)-2,6-диметокси-N- (4-метоксибензо[d]изоксазол-3-ил)бензолсульфонамида A45 (170 мг, 0,334 ммоль) в ТГФ (10 мл) добавляли ТБАФ (175 мг, 0,668 ммоль), и перемешивали смесь при к. т. в течение 3 ч. Реакцию гасили с использованием 1 M водн. раствора HCl и экстрагировали смесь с использованием EtOAc. Органический экстракт концентрировали при пониженном давлении и очищали остаток с помощью препаративной ТСХ (ДХМ/MeOH=от 100/1 до 50/1) с получением указанного в заголовке соединения (30 мг, 23%) в виде твердого вещества белого цвета. ЖХМС-D: вр. уд. 1,93 мин, m/z 394,9 [M+H]+. 1H ЯМР (400 MГц, ДМСО-d6) δ 9,40 (с, 1H), 7,55 (т, J=8,2 Гц, 1H), 7,18-7,12 (м, 1H), 6,89-6,82 (м, 1H), 6,72 (с, 2H), 5,39 (т, J=5,8 Гц, 1H), 4,49 (д, J=5,8 Гц, 2H), 3,95 (с, 3H), 3,77 (с, 6H).

f) 4-(Бромметил)-2,6-диметокси-N-(4-метоксибензо[d]изоксазол-3-ил)бензолсульфонамид A46

Раствор 4-(гидроксиметил)-2,6-диметокси-N-(4-метоксибензо[d]изоксазол-3-ил) бензолсульфонамида 209 (1,0 г, 2,53 ммоль), CBr4 (2,52 г, 7,60 ммоль) и PPh3 (1,99 г, 7,60 ммоль) в ДХМ (20 мл) перемешивали при к. т. в течение ночи. Смесь концентрировали при пониженном давлении и очищали остаток с помощью колоночной хроматографии (ДХМ/MeOH=от 50/1 до 10:1) с получением указанного в заголовке соединения (600 мг, 52%) в виде твердого вещества желтого цвета, которое использовали непосредственно на следующей стадии.

g) 4-(Азидометил)-2,6-диметокси-N-(4-метоксибензо[d]изоксазол-3-ил)бензолсульфонамид A47

Раствор 4-(бромметил)-2,6-диметокси-N-(4-метоксибензо[d]изоксазол-3-ил) бензолсульфонамида A46 (200 мг, 0,44 ммоль) и NaN3 (85 мг,1,31 ммоль) в ДМФ (5 мл) нагревали при 50°C в течение 3 ч. Смесь выливали в воду, а осадок собирали с помощью фильтрации. Осадок на фильтре промывали водой и сушили с получением указанного в заголовке соединения (100 мг, 54%) в виде твердого вещества серого цвета. ЖХМС-D: вр. уд. 2,45 мин, m/z 420,1 [M+H]+.

h) 4-(Аминометил)-2,6-диметокси-N-(4-метоксибензо[d]изоксазол-3-ил)бензолсульфонамид гидрохлорид 210

Раствор 4-(азидометил)-2,6-диметокси-N-(4-метоксибензо[d]изоксазол-3-ил) бензолсульфонамида A47 (300 мг, 0,716 ммоль) и PPh3 (207 мг, 0,788 ммоль) в ТГФ (8 мл) и EtOH (6 мл) перемешивали при к. т. в течение 3 ч. Добавляли воду (2 мл) и концентрированную HCl (2 мл), и нагревали смесь при 55°C в течение 3 ч. Большую часть органических растворителей удаляли при пониженном давлении, и водный остаток промывали с использованием ДХМ. Водную фазу концентрировали при пониженном давлении с получением указанного в заголовке соединения (150 мг, 53%) в виде твердого вещества желтого цвета. ЖХМС-D: вр. уд. 0,38 мин, m/z 394,1 [M+H]+. 1H ЯМР (400 MГц, метанол-d4) δ 7,54 (т, J=8,2 Гц, 1H), 7,06-7,01 (м, 1H), 6,87 (с, 2H), 6,86-6,82 (м, 1H), 4,12 (с, 2H), 4,07 (с, 3H), 3,89 (с, 6H).

i) N-(3,5-диметокси-4-(N-(4-метоксибензо[d]изоксазол-3-ил)сульфамоил)бензил)ацетамид 211

Смесь 4-(аминометил)-2,6-диметокси-N-(4-метоксибензо[d]изоксазол-3-ил) бензолсульфонамид гидрохлорида 210 (130 мг, 0,33 ммоль), NaHCO3 (83 мг, 0,99 ммоль) и уксусного ангидрида (101 мг, 0,99 ммоль) в ТГФ (5 мл) перемешивали при к. т. в течение 3 ч, а затем концентрировали при пониженном давлении. Остаток очищали с помощью препаративной ТСХ с получением указанного в заголовке соединения (50 мг, 34%) в виде твердого вещества желтого цвета. ЖХМС-D: вр. уд. 1,93 мин, m/z 436,1 [M+H]+. 1H ЯМР (400 MГц, ДМСО-d6) δ 9,47 (с, 1H), 8,36 (т, J=5,8 Гц, 1H), 7,55 (м, 1H), 7,18-7,12 (м, 1H), 6,89-6,81 (м, 1H), 6,66 (с, 2H), 4,24 (д, J=5,9 Гц, 2H), 3,94 (с, 3H), 3,76 (с, 6H), 1,88 (с, 3H).

Пример 212: 2-фтор-6-метокси-N-(4-метоксибензо[d]изоксазол-3-ил)бензолсульфонамид 212

a) 2,6-Дифтор-N-(4-метоксибензо[d]изоксазол-3-ил)бензолсульфонамид A48

К раствору 4-метоксибензо[d]изоксазол-3-амина (4,0 г, 24,0 ммоль) в ТГФ (200 мл) при -78°C в атмосфере азота по каплям добавляли LiHMDS (1 M раствор в ТГФ, 31,2 мл, 31,2 ммоль) и перемешивали смесь при -78°C в течение 3 ч. Затем добавляли по каплям раствор 2,6-дифторфенилсульфонилхлорида (10,2 г, 48 ммоль) в ТГФ (20 мл), оставляли смесь медленно нагреваться до к. т. и перемешивали в течение ночи. Добавляли воду и экстрагировали смесь с использованием EtOAc (200 мл x 3). Объединенные органические экстракты промывали водой, насыщенным солевым раствором, сушили над безводным Na2SO4, фильтровали и концентрировали при пониженном давлении. Остаток очищали с помощью колоночной хроматографии (петр. эфир/EtOAc=от 6/1 до 2/1) с получением указанного в заголовке соединения (2,9 г, 35%) в виде твердого вещества белого цвета. ЖХМС-D: вр. уд. 1,94 мин, m/z 341,1 [M+H]+.

b) 2-Фтор-6-метокси-N-(4-метоксибензо[d]изоксазол-3-ил)бензолсульфонамид 212

Смесь 2,6-дифтор-N-(4-метоксибензо[d]изоксазол-3-ил)бензолсульфонамида A48 (450 мг, 1,32 ммоль) и NaOMe (428 мг, 7,92 ммоль) в MeOH (6 мл) нагревали при 120°C в течение ночи, а затем оставляли охладиться до к. т. и фильтровали. Фильтрат концентрировали при пониженном давлении и очищали остаток с помощью препаративной ТСХ (ДХМ/MeOH=50/1) с получением указанного в заголовке соединения (100 мг, 21%) в виде твердого вещества белого цвета. ЖХМС-D: вр. уд 2,22 мин, m/z 353,0 [M+H]+. 1H ЯМР (400 MГц, ДМСО-d6) δ 10,6 (с, 1H), 7,62 (м, 1H), 7,56 (т, J=8,3 Гц, 1H), 7,18 (д, J=8,4 Гц, 1H), 7,04 (д, J=8,5 Гц, 1H), 7,00-6,92 (м, 1H), 6,84 (д, J=8,0 Гц, 1H), 3,85 (с, 3H), 3,80 (с, 3H).

Пример 213: 2-гидрокси-6-метокси-N-(4-метоксибензо[d]изоксазол-3-ил)бензолсульфонамид 213

Смесь 2-фтор-6-метокси-N-(4-метоксибензо[d]изоксазол-3-ил)бензолсульфонамида 212 (20 мг, 0,06 ммоль), (6-метоксипиридин-3-ил)метанола (50,1 мг, 0,36 ммоль) и t-BuOK (20,2 мг, 0,18 ммоль) в NMP (1 мл) нагревали при 120°C в течение 16 ч. Анализ ЖХМС показал, что образовался только продукт гидролиза F. Уровень pH смеси доводили до < 4 с использованием водн. раствора HCl, разбавляли водой и экстрагировали с использованием EtOAc. Органический экстракт промывали водой, насыщенным солевым раствором, сушили над безводным Na2SO4, фильтровали и концентрировали при пониженном давлении. Процедуру повторяли с другой партией 2-фтор-6-метокси-N-(4-метоксибензо[d]изоксазол-3-ил)бензолсульфонамида 212 (52 мг, 0,15 ммоль), два неочищенных продукта объединяли и очищали с помощью преп. ТСХ (EtOAc/петр. эфир=1/13, затем ДХМ/MeOH=от 50/1 до 100/1) с получением указанного в заголовке соединения (135 мг, 19%) в виде твердого вещества белого цвета. ЖХМС-D: вр. уд 2,39 мин; m/z 350,9 [M+H]+. 1H ЯМР (400 MГц, ДМСО-d6) δ 10,2 (с, 1H), 7,57 (т, J=8,4 Гц, 1H), 7,41 (т, J=8,4 Гц, 1H), 7,16 (д, J=8,4 Гц, 1H), 6,84 (д, J=8,0 Гц, 1H), 6,60-6,56 (м, 2H), 3,91 (с, 3H), 3,75 (с, 3H).

Пример 214: 2-метокси-N-(4-метоксибензо[d]изоксазол-3-ил)-6-(метиламино)бензолсульфонамид 214

Раствор 2-фтор-6-метокси-N-(4-метоксибензо[d]изоксазол-3-ил)бензолсульфонамида 212 (30 мг, 0,085 ммоль), метиламина HCl (23 мг, 0,34 ммоль) и Et3N (52 мг, 0,51 ммоль) в этаноле (3 мл) нагревали при 120°C в герметично закрытой пробирке в течение ночи. Смесь концентрировали при пониженном давлении и очищали остаток с помощью преп. ТСХ (ДХМ) с получением указанного в заголовке соединения (4 мг, 13%) в виде твердого вещества желтого цвета. ЖХМС-D: вр. уд. 2,49 мин; m/z 364,0 [M+H]+. 1H ЯМР (400 MГц, ДМСО-d6) δ 7,56 (т, J=8,0 Гц, 1H), 7,30 (т, J=8,0 Гц, 1H), 7,14 (д, J=8,0 Гц, 1H), 6,84 (д, J=8,0 Гц, 1H), 6,33 (д, J=8,0 Гц, 1H), 6,24 (д, J=8,0 Гц, 1H), 3,94 (с, 3H), 3,70 (с, 3H), 2,79 (с, 3H).

Пример 215: 2-(циклопропилметокси)-6-метокси-N-(4-метоксибензо[d]изоксазол-3-ил)бензолсульфонамид 215

К раствору 2-фтор-6-метокси-N-(4-метоксибензо[d]изоксазол-3-ил)бензолсульфонамида 212 (30 мг, 0,08 ммоль) в ТГФ (4 мл) добавляли t-BuOK (27 мг, 0,24 ммоль) с последующим добавлением циклопропилметанола (17 мг, 0,24 ммоль) и нагревали смесь при 50°C в течение ночи. Смесь разбавляли водой и экстрагировали с использованием EtOAc (20 мл x 3). Объединенные органические экстракты промывали насыщенным солевым раствором, сушили над безводным Na2SO4, фильтровали и концентрировали при пониженном давлении. Остаток очищали с помощью преп. ТСХ (петр. эфир/EtOAc=1/1) с получением указанного в заголовке соединения (4,4 мг, 13%) в виде твердого вещества серого цвета. ЖХМС-D: вр. уд 2,54 мин, m/z 405,1 [M+H]+. 1H ЯМР (400 MГц, ДМСО-d6) δ 9,33 (с, 1H), 7,57 (т, J=8,0 Гц, 1H), 7,48 (т, J=8,0 Гц, 1H), 7,15 (д, J=8,4 Гц, 1H), 6,85 (д, J=8,0 Гц, 1H), 6,77-6,75 (м, 2H), 3,91 (с, 3H), 3,89 (д, J=6,8 Гц, 2H), 3,77 (с, 3H), 0,86-0,83 (м, 1H), 0,43-0,24 (м, 4H).

Пример 216: 2-метокси-N-(4-метоксибензо[d]изоксазол-3-ил)-6-((2-метоксипиридин-4-ил)метокси)бензолсульфонамид 216

К раствору 2-фтор-6-метокси-N-(4-метоксибензо[d]изоксазол-3-ил)бензолсульфонамида 212 (30 мг, 0,08 ммоль) в NMP (3 мл) добавляли t-BuOK (48 мг, 0,43 ммоль) с последующим добавлением (2-метоксипиридин-4-ил)метанола (118 мг, 0,85 ммоль), и перемешивали смесь при к. т. в течение 6 ч. Смесь разбавляли водой, уровень pH смеси доводили до 5-6 с использованием 1 M водн. раствора HCl и экстрагировали с использованием EtOAc (20 мл × 3). Объединенные органические экстракты промывали насыщенным солевым раствором, сушили над безводным Na2SO4, фильтровали и концентрировали при пониженном давлении. Остаток очищали с помощью преп. ТСХ (ДХМ/MeOH=40/1) с получением указанного в заголовке соединения (5 мг, 12%) в виде твердого вещества желтого цвета. ЖХМС-D: вр. уд. 2,43 мин, m/z 472,0 [M+H]+. 1H ЯМР (400 MГц, ДМСО-d6) δ 9,65 (с, 1H), 8,07 (д, J=5,2 Гц, 1H), 7,51-7,39 (м, 2H), 7,07-6,98 (м, 3H), 6,79-6,75 (м, 3H), 5,22 (с, 2H), 3,84 (с, 3H), 3,83 (с, 3H), 3,81 (с, 3H).

Примеры 217-222 (таблица G)

Таблица G. Следующие ниже примеры были синтезированы в соответствии с методами, описанными для примера 215 или 216. Варианты условий отмечены в таблице.

R-OH Название и структура Аналитические данные Метод Примечание 217 Изо-пропанол
2-Изопропокси-6-метокси-N-(4-метоксибензо[d]изоксазол-3-ил)бензолсульфонамид
ЖХМС-C: вр. уд. 2,18 мин, m/z 393,0 [M+H]+;1H ЯМР (400 MГц, ДМСО-d6) δ 9,13 (с, 1H), 7,58 (т, J=8,0 Гц, 1H), 7,49 (т, J=8,0 Гц, 1H), 7,17 (д, J=8,0 Гц, 1H), 6,87 (д, J=8,0 Гц, 1H), 6,79-6,75 (м, 2H), 4,75-4,65 (м, 1H), 3,95 (с, 3H), 3,80 (с, 3H), 1,17 (д, J=6,0 Гц, 6H). Как для при-мера 216 120 °C, 16 ч;
Соотношение фторида/ос-нования/R-OH 1:3:3
218 Этанол
2-этокси-6-метокси-N-(4-метоксибензо[d]изоксазол-3-ил)бензолсульфонамид
ЖХМС-C: вр. уд. 2,03 мин, m/z 379,0 [M+H]+;1H ЯМР (400 MГц, ДМСО-d6) δ 9,13 (с, 1H), 7,58 (т, J=8,0 Гц, 1H), 7,50 (т, J=8,0 Гц, 1H), 7,17 (д, J=8,0 Гц, 1H), 6,86 (д, J=8,0 Гц, 1H), 6,78 (д, J=8,0 Гц, 2H), 4,01 (к, J=7,2 Гц, 2H), 3,94 (с, 3H), 3,76 (с, 3H), 1,12 (т, J=7,2 Гц, 3H). Как для при-мера 216 120 °C, 16 ч;
Соотношение фторида/ос-нования/R-OH 1:3:3
219
2-(3-Метокси-2-(N-(4-метоксибензо[d]изоксазол-3-ил)сульфамоил)фенокси)ацетамид
ЖХМС-D: вр. уд. 0,31 мин, m/z 408,0 [M+H]+;1H ЯМР (400 MГц, ДМСО-d6) δ 10,0 (с, 1H), 7,61-7,45 (м, 4H), 7,15 (д, J=8,4 Гц, 1H), 7,83-6,74 (м, 3H), 4,51 (с, 2H), 3,83 (с, 3H), 3,77 (с, 3H). Как для при-мера 216 120 °C, 16 ч;
Соотношение фторида/ос-нования/R-OH 1:6:10;
Элюент: ДХМ/MeOH
= 80/1
220
2-(2-Гидроксиэтокси)-6-метокси-N-(4-метоксибензо[d]изоксазол-3-ил)бензолсульфонамид
ЖХМС-D: вр. уд. 2,11 мин, m/z 395,0 [M+H]+; 1H ЯМР (400 MГц, ДМСО-d6) δ 9,70 (с, 1H), 7,57-7,48 (м, 2H), 7,15 (д, J=8,4 Гц, 1H), 6,84-6,80 (м, 3H), 5,10 (шир. с, 1H), 4,06 (т, J=5,0 Гц, 2H), 3,90 (с, 3H), 3,80 (с, 3H), 3,63 (т, J=5,0 Гц, 2H). Как для при-мера 216 к. т. в течение ночи
затем 80 °C, 16 ч;
соотношение фторида/ос-нования/R-OH 1:6:10;
Элюент: ДХМ/MeOH
= 60/1
221
2-Метокси-N-(4-метоксибензо[d]изоксазол-3-ил)-6-((1-метил-1H-пиразол-4-ил)метокси)бензолсульфонамид
ЖХМС-D: вр. уд. 2,25 мин, m/z 445,0 [M+H]+;1H ЯМР (400 MГц, ДМСО-d6) δ 7,62 (с, 1H), 7,54 (т, J=8,4 Гц, 1H), 7,46 (т, J=8,4 Гц, 1H), 7,40 (с, 1H), 7,12 (д, J=8,4 Гц, 1H), 6,86 (д, J=8,4 Гц, 1H), 6,81 (д, J=8,0 Гц, 1H), 6,76 (д, J=8,4 Гц, 1H), 5,04 (с, 2H), 3,86 (с, 3H), 3,75 (с, 3H), 3,73 (с, 3H). Как для при-мера 215 50 °C, 16 ч;
Соотношение фторида/ос-нования/R-OH 1:3:3
222
2-(Бензилокси)-6-метокси-N-(4-метоксибензо[d]изоксазол-3-ил)бензолсульфонамид
ЖХМС-D: вр. уд. 2,67 мин, m/z 441,1 [M+H]+; 1H ЯМР (400 MГц, ДМСО-d6) δ 7,51-7,43 (м, 4H), 7,36-7,30 (м, 3H), 7,05 (д, J=8,4 Гц, 1H), 6,79-6,72 (м, 3H), 5,25 (с, 2H), 3,89 (с, 3H), 3,75 (с, 3H). Как для при-мера 215 50 °C, 16 ч;
Соотношение фторида/ос-нования/R-OH 1:3:3

Пример 223: 2,6-Диметокси-N-(4-нитробензо[d]изоксазол-3-ил)бензолсульфонамид 223

К раствору 4-нитробензо[d]изоксазол-3-амина I10 (478 мг, 2,63 ммоль) в ТГФ (9 мл) при -78°C в атмосфере азота добавляли LiHMDS (1 M раствор в ТГФ, 5,30 мл, 5,30 ммоль) и перемешивали смесь при -78°C в течение 3 ч. Затем добавляли 2,6-диметоксисульфонилхлорид I111 (1,25 г, 5,27 ммоль), оставляли смесь нагреться до к. т. и перемешивали в течение ночи. Реакцию гасили водой и экстрагировали смесь с использованием EtOAc (80 мл × 3). Объединенные органические экстракты промывали водой (100 мл × 3), насыщенным солевым раствором (50 мл × 3), сушили над безводным Na2SO4, фильтровали и концентрировали при пониженном давлении. Остаток очищали с помощью колоночной хроматографии (ДХМ/MeOH=от 1/0 до 50/1) с получением указанного в заголовке соединения (108 мг, 11%) в виде твердого вещества желтого цвета. ЖХМС-D: вр. уд. 2,23 мин; m/z 380,1 [M+H]+. 1H ЯМР (400 MГц, ДМСО-d6) δ 10,2 (с, 1H), 8,19 (д, J=8,4 Гц, 2H), 7,92 (т, J=8,4 Гц, 1H), 7,79 (д, J=8,4 Гц, 1H), 6,79 (д, J=8,4 Гц, 2H), 3,71 (с, 6H).

Пример 224: N-(4-аминобензо[d]изоксазол-3-ил)-2,6-диметоксибензолсульфонамид 224

К раствору 2,6-диметокси-N-(4-нитробензо[d]изоксазол-3-ил)бензолсульфонамида 223 (70,0 мг, 0,18 ммоль) в EtOAc (30 мл) добавляли 10% Pd/C (40,0 мг) и перемешивали смесь при к. т. в атмосфере водорода в течение ночи. Катализатор удаляли путем фильтрации, промывали с использованием EtOAc, и концентрировали фильтрат при пониженном давлении. Процедуру повторяли с дополнительной партией 2,6-диметокси-N-(4-нитробензо[d]изоксазол-3-ил)бензолсульфонамида 223 (30 мг, 0,079 ммоль), объединяли неочищенные продукты, дважды очищали с помощью преп. ТСХ (ДХМ/MeOH=50/1) и дважды с помощью преп. ВЭЖХ с получением указанного в заголовке соединения (2,5 мг, 3%) в виде твердого вещества белого цвета. ЖХМС-D: вр. уд. 2,25 мин; m/z 350,1 [M+H]+. 1H ЯМР (400 MГц, FДМСО-d6) δ 7,52 (т, J=8,4 Гц, 1H), 7,25 (т, J=8,0 Гц, 1H), 6,80 (д, J=8,4 Гц, 2H), 6,66 (д, J=8,0 Гц, 1H), 6,43 (д, J=8,0 Гц, 1H), 3,78 (с, 6H).

Пример 225: N-(5-((1H-пиразол-1-ил)метил)бензо[d]изоксазол-3-ил)-5-этил-2-метоксибензолсульфонамид 225

a) N-(5-Бромбензо[d]изоксазол-3-ил)-N-(2,4-диметоксибензил)-5-этил-2-метоксибензолсульфонамид A49

К раствору N-(5-бромбензо[d]изоксазол-3-ил)-5-этил-2-метоксибензолсульфонамида 135 (8,2 г, 19,9 ммоль), (2,4-диметоксифенил)метанола (5,03 г, 29,9 ммоль) и PPh3 (13,1 г, 49,9 ммоль) в ТГФ (400 мл) при 0°C в атмосфере азота медленно по каплям добавляли ДИАД (8,06 г, 39,9 ммоль) и перемешивали смесь при к. т. в течение ночи. Растворитель удаляли при пониженном давлении и очищали остаток с помощью колоночной хроматографии (петр. эфир/EtOAc=от 100/1 до 5/1) с получением указанного в заголовке соединения (4,7 г, 42%) в виде твердого вещества белого цвета. ЖХМС-D: вр. уд. 3,39 мин, m/z 583,1 [M+Na]+

b) Метил 3-((N-(2,4-диметоксибензил)-5-этил-2-метоксифенил)сульфонамидо)бензо[d] изоксазол-5-карбоксилат A50

Смесь N-(5-бромбензо[d]изоксазол-3-ил)-N-(2,4-диметоксибензил)-5-этил-2- метоксибензолсульфонамида A49 (1,5 г, 2,67 ммоль), Et3N (10 мл) и Pd(dppf)Cl2 (732 мг, 1 ммоль) в MeOH (150 мл) нагревали при 120°C в атмосфере монооксида углерода (20 бар) в течение 7 ч. Реакцию повторяли с использованием 1,7 г N-(5-бромбензо[d]изоксазол-3-ил)-N-(2,4-диметоксибензил)-5-этил-2- метоксибензолсульфонамида A49 и 1,5 г N-(5-бромбензо[d]изоксазол-3-ил)-N-(2,4-диметоксибензил)-5-этил-2- метоксибензолсульфонамидо A49, смеси объединяли и концентрировали при пониженном давлении. Остаток очищали с помощью колоночной хроматографии (петр. эфир/EtOAc=от 100/1 до 3/1) с получением указанного в заголовке соединения (2,2 г, 49%) в виде твердого вещества белого цвета. ЖХМС-D: вр. уд. 3,17 мин, m/z 563,1 [M+Na]+

c) 3-((N-(2,4-Диметоксибензил)-5-этил-2-метоксифенил)сульфонамидо)бензо[d]изоксазол-5-карбоновая кислота A51

К раствору метил 3-((N-(2,4-диметоксибензил)-5-этил-2-метоксифенил) сульфонамидо)бензо[d]изоксазол-5-карбоксилата A50 (2,2 г, 4,07 ммоль) в метаноле (30 мл) добавляли 3 M водн. раствора NaOH (20 мл) и перемешивали смесь при к. т. в течение ночи. Уровень pH смеси доводили до 1 с использованием водн. раствора HCl и удаляли растворитель при пониженном давлении. Остаток разбавляли водой (100 мл) и экстрагировали с использованием ДХМ (200 мл). Органический экстракт промывали водой, насыщенным солевым раствором, сушили над безводным Na2SO4, фильтровали и концентрировали при пониженном давлении с получением указанного в заголовке соединения (1,9 г, 89%) в виде твердого вещества светло-желтого цвета. ЖХМС-D: вр. уд. 2,99 мин, m/z 549,1 [M+Na]+.

d) N-(2,4-Диметоксибензил)-5-этил-N-(5-(гидроксиметил)бензо[d]изоксазол-3-ил)-2-метоксибензолсульфонамид A52

К раствору 3-((N-(2,4-диметоксибензил)-5-этил-2-метоксифенил)сульфонамидо) бензо[d]изоксазол-5-карбоновой кислоты (800 мг, 1,52 ммоль) A51 в ТГФ (5 мл) при 0°C в атмосфере азота медленно по каплям добавляли BH3⋅ТГФ (1 M раствор в ТГФ, 10 мл, 10 ммоль), оставляли смесь нагреться до к. т. и перемешивали в течение 2 ч. Смесь охлаждали до 0°C и гасили реакцию медленным добавлением метанола (20 мл). Растворитель удаляли при пониженном давлении, остаток разбавляли водой и экстрагировали с использованием ДХМ (200 мл). Органический экстракт промывали водой, насыщенным солевым раствором, сушили над безводным Na2SO4, фильтровали и концентрировали при пониженном давлении. Остаток очищали с помощью колоночной хроматографии (ДХМ/MeOH=от 100/0 до 40/1) с получением указанного в заголовке соединения (700 мг, 90%) в виде твердого вещества белого цвета. ЖХМС-D: вр. уд. 2,99 мин, m/z 513,1 [M+H]+.

e) N-(5-((1H-Пиразол-1-ил)метил)бензо[d]изоксазол-3-ил)-N-(2,4-диметоксибензил)-5-этил-2-метоксибензолсульфонамид A53

К раствору N-(2,4-диметоксибензил)-5-этил-N-(5-(гидроксиметил) бензо[d]изоксазол-3-ил)-2-метоксибензолсульфонамида A52 (200 мг, 0,39 ммоль) и Et3N (197 мг, 1,95 ммоль) в ДХМ (10 мл) при 0°C в атмосфере азота добавляли метансульфонилхлорид (89 мг, 0,78 ммоль) и перемешивали смесь при к. т. в течение 1,5 ч, а затем использовали непосредственно на следующей стадии без обработки и выделения.

К раствору пиразола (133 мг, 1,95 ммоль) в ДМФ (20 мл) при 0°C в атмосфере азота порциями добавляли t-BuOK (219 мг, 1,95 ммоль) и перемешивали смесь при к. т. в течение 1,5 ч. Затем медленно добавляли реакционную смесь, содержащую (3-((N-(2,4-диметоксибензил)-5-этил-2-метоксифенил)сульфонамидо) бензо[d]изоксазол-5-ил)метил метансульфонат (приблизительно 0,39 ммоль), и полученную смесь перемешивали при к. т. в течение 30 мин. Смесь разбавляли водой и экстрагировали с использованием EtOAc. Органический экстракт промывали водой (x 3), насыщенным солевым раствором, сушили над безводным Na2SO4, фильтровали и концентрировали при пониженном давлении. Остаток очищали с помощью колоночной хроматографии (ДХМ/MeOH=40/1) с получением указанного в заголовке соединения (60 мг, 27%) в виде твердого вещества белого цвета. ЖХМС-D: вр. уд. 3,01 мин, m/z 563,2 [M+H]+.

f) N-(5-((1H-Пиразол-1-ил)метил)бензо[d]изоксазол-3-ил)-5-этил-2-метоксибензолсульфонамид 225

Смесь N-(5-((1H-пиразол-1-ил)метил)бензо[d]изоксазол-3-ил)-N- (2,4-диметоксибензил)-5-этил-2-метоксибензолсульфонамида A53 (60 мг, 0,107 ммоль) и ТФК (5 мл) перемешивали при к. т. в течение 3 ч, а затем концентрировали при пониженном давлении. Остаток очищали с помощью колоночной хроматографии (ДХМ/MeOH=20/1) с получением указанного в заголовке соединения (30 мг, 68%) в виде твердого вещества белого цвета. ЖХМС-D: вр. уд. 6,03 мин, m/z 412,5 [M+H]+. 1H ЯМР (400 MГц, ДМСО-d6) δ 11,9 (с, 1H), 7,89 (с, 1H), 7,85 (д, J=2,0 Гц, 1H), 7,68 (д, J=2,0 Гц, 1H), 7,58-7,49 (м, 3H), 7,46 (дд, J=8,4, 2,0 Гц, 1H), 7,08 (д, J=8,8 Гц, 1H), 6,31 (т, J=2,0 Гц, 1H), 5,54 (с, 2H), 3,68 (с, 3H), 2,63 (к, J=7,6 Гц, 2H), 1,16 (т, J=7,6 Гц, 3H).

Пример 226: N-(5-(аминометил)бензо[d]изоксазол-3-ил)-5-этил-2-метоксибензолсульфонамид трифторацетат 226

a) 3-((N-(2,4-диметоксибензил)-5-этил-2-метоксифенил)сульфонамидо)бензо[d]изоксазол-5-карбоксамид A54

Смесь 3-((N-(2,4-диметоксибензил)-5-этил-2-метоксифенил)сульфонамидо) бензо[d]изоксазол-5-карбоновой кислоты A51 (600 мг, 1,14 ммоль) и тионилхлорида (5 мл) нагревали при 85°C в течение 1,5 ч, а затем концентрировали при пониженном давлении. Остаток растворяли в ДХМ (3 мл) и добавляли по каплям к конц. NH4OH (10 мл) при 0°C и перемешивали смесь при к. т. в течение 30 мин. Большую часть растворителя удаляли при пониженном давлении и остаток разбавляли водой (20 мл). Полученный осадок собирали с помощью фильтрации, промывали дважды водой и сушили с получением указанного в заголовке соединения (400 мг, 67%) в виде твердого вещества светло-желтого цвета. ЖХМС-D: вр. уд. 2,86 мин, m/z 526,2 [M+H]+.

b) N-(5-(Аминометил)бензо[d]изоксазол-3-ил)-N-(2,4-диметоксибензил)-5-этил-2-метоксибензолсульфонамид A55

Смесь 3-((N-(2,4-диметоксибензил)-5-этил-2-метоксифенил) сульфонамидо)бензо[d]изоксазол-5-карбоксамида A54 (400 мг, 0,76 ммоль) и BH3·ТГФ (1 M раствор в ТГФ, 20 мл) нагревали при 75°C в атмосфере азота в течение ночи. Затем смесь охлаждали до 0°C и гасили реакцию медленным добавлением метанола (10 мл). Растворитель удаляли при пониженном давлении, остаток разбавляли водой и экстрагировали с использованием ДХМ (100 мл). Органический экстракт промывали водой, насыщенным солевым раствором, сушили над безводным Na2SO4, фильтровали и концентрировали при пониженном давлении. Остаток очищали с помощью колоночной хроматографии (ДХМ/MeOH=от 100/1 до 10/1) с получением указанного в заголовке соединения (150 мг, 39%) в виде твердого вещества светло-желтого цвета, которое использовали непосредственно на следующей стадии.

c) N-(5-(Аминометил)бензо[d]изоксазол-3-ил)-5-этил-2-метоксибензолсульфонамид трифторацетат 226

Смесь N-(5-(аминометил)бензо[d]изоксазол-3-ил)-N- (2,4-диметоксибензил)-5-этил-2-метоксибензолсульфонамида A55 (50 мг, 0,098 ммоль) и ТФК (5 мл) перемешивали при к. т. в течение 3 ч, а затем концентрировали при пониженном давлении. Остаток очищали с помощью преп. ТСХ (ДХМ/MeOH=10/1) с получением указанного в заголовке соединения (30 мг, 86%) в виде твердого вещества белого цвета. ЖХМС-D: вр. уд. 1,93 мин, m/z 362,1[M+H]+. 1H ЯМР (400 MГц, ДМСО-d6) δ 11,8 (шир. с, 1H), 8,53 (шир. с, 3H), 8,11 (с, 1H), 7,83 (д, J=8,4 Гц, 1H), 7,70-7,68 (м, 2H), 7,48 (д, J=8,0 Гц, 1H), 7,12 (д, J=8,8 Гц, 1H), 4,13 (с, 2H), 3,71 (с, 3H), 2,64 (к, J=7,6 Гц, 2H), 1,17 (т, J=7,6 Гц, 3H).

Пример 227: метил ((3-((5-этил-2-метоксифенил)сульфонамидо)бензо[d]изоксазол-5-ил)метил) карбамат 227

a) Метил ((3-((N-(2,4-диметоксибензил)-5-этил-2-метоксифенил)сульфонамидо)бензо[d] изоксазол-5-ил)метил) карбамат A56

К раствору N-(5-(аминометил)бензо[d]изоксазол-3-ил)-N-(2,4-диметоксибензил)- 5-этил-2-метоксибензолсульфонамида A55 (70 мг, 0,137 ммоль) и Et3N (69 мг, 0,685 ммоль) в ДХМ (20 мл) при 0°C по каплям добавляли метилхлороформат (39 мг, 0,411 ммоль) и перемешивали смесь при к. т. в течение 20 мин. Растворитель удаляли при пониженном давлении, остаток разбавляли водой и экстрагировали с использованием ДХМ. Органический экстракт промывали водой, насыщенным солевым раствором, сушили над безводным Na2SO4, фильтровали и концентрировали при пониженном давлении. Остаток очищали с помощью колоночной хроматографии (ДХМ/MeOH=от 100/0 до 40/1) с получением указанного в заголовке соединения (30 мг, 43%) в виде твердого вещества белого цвета, которое использовали непосредственно на следующей стадии.

b) Метил ((3-((5-этил-2-метоксифенил)сульфонамидо)бензо[d]изоксазол-5-ил)метил) карбамат 227

Смесь метил ((3-((N-(2,4-диметоксибензил)-5-этил-2-метоксифенил)сульфонамидо) бензо[d]изоксазол-5-ил)метил)карбамата A56 (30 мг, 0,0558 ммоль) и ТФК (3 мл) перемешивали при к. т. в течение 3 ч, а затем концентрировали при пониженном давлении. Остаток очищали с помощью колоночной хроматографии (ДХМ/MeOH=40/1) с получением указанного в заголовке соединения (15 мг, 64%) в виде твердого вещества белого цвета. ЖХМС-D: вр. уд. 2,45 мин, m/z 420,1 [M+H]+. 1H ЯМР (400 MГц, ДМСО-d6) δ 11,7 (с, 1H), 7,91 (с, 1H), 7,79 (т, J=5,6 Гц, 1H), 7,69 (д, J=2,0 Гц, 1H), 7,55-7,43 (м, 3H), 7,09 (д, J=8,4 Гц, 1H), 4,29 (д, J=6,0 Гц, 2H), 3,73 (с, 3H), 3,58 (с, 3H), 2,63 (к, J=7,6 Гц, 2H), 1,16 (т, J=7,6 Гц, 3H).

Пример 228: N-((3-((5-этил-2-метоксифенил)сульфонамидо)бензо[d]изоксазол-5-ил)метил)ацетамид 228

a) N-((3-((N-(2,4-Диметоксибензил)-5-этил-2-метоксифенил)сульфонамидо)бензо[d]изоксазол-5-ил)метил)ацетамид A57

К раствору N-(5-(аминометил)бензо[d]изоксазол-3-ил)-N-(2,4-диметоксибензил)- 5-этил-2-метоксибензолсульфонамида A55 (100 мг, 0,195 ммоль) и Et3N (98 мг, 0,975 ммоль) в ДХМ (10 мл) при 0°C в атмосфере азота добавляли ацетилхлорид (31 мг, 0,391 ммоль) и перемешивали смесь при к. т. в течение 30 мин. Смесь разбавляли водой и экстрагировали с использованием ДХМ. Органический экстракт промывали водой, насыщенным солевым раствором, сушили над безводным Na2SO4, фильтровали и концентрировали при пониженном давлении. Остаток очищали с помощью преп. ТСХ (ДХМ/MeOH=30/1) с получением указанного в заголовке соединения (60 мг, 56%) в виде твердого вещества белого цвета, которое использовали непосредственно на следующей стадии.

b) N-((3-((5-Этил-2-метоксифенил)сульфонамидо)бензо[d]изоксазол-5-ил)метил)ацетамид 228

Смесь N-((3-((N-(2,4-диметоксибензил)-5-этил-2-метоксифенил)сульфонамидо) бензо[d]изоксазол-5-ил)метил)ацетамида A57 (60 мг, 0,108 ммоль) и ТФК (5 мл) перемешивали при к. т. в течение 3 ч, а затем концентрировали при пониженном давлении. Остаток очищали с помощью колоночной хроматографии (ДХМ/MeOH=40/1) с получением указанного в заголовке соединения (30 мг, 68%) в виде твердого вещества белого цвета. ЖХМС-D: вр. уд. 2,35 мин, m/z 404,1 [M+H]+. 1H ЯМР (400 MГц, ДМСО-d6) δ 11,7 (шир. с, 1H), 8,55 (шир. с, 1H), 7,85 (с, 1H), 7,69 (с, 1H), 7,47-7,39 (м, 3H), 7,06 (д, J=7,2 Гц, 1H), 4,33 (д, J=3,6 Гц, 2H), 3,72 (с, 3H), 2,60 (к, J=6,8 Гц, 2H), 1,91 (с, 3H), 1,17 (т, J=6,8 Гц, 3H).

Пример 229: 5-этил-N-(5-(гидроксиметил)бензо[d]изоксазол-3-ил)-2-метоксибензолсульфонамид 229

a) Метил 3-((5-этил-2-метоксифенил)сульфонамидо)бензо[d]изоксазол-5-карбоксилат A58

Смесь метил 3-((N-(2,4-диметоксибензил)-5-этил-2-метоксифенил)сульфонамидо) бензо[d]изоксазол-5-карбоксилата A50 (435 мг, 0,8 ммоль) и ТФК (9 мл) перемешивали при к. т. в течение 3 ч, а затем концентрировали при пониженном давлении. Остаток очищали с помощью колоночной хроматографии (петр. эфир/EtOAc=2/1) с получением указанного в заголовке соединения (200 мг, 89%) в виде твердого вещества светло-желтого цвета. ЖХМС-D: вр. уд. 2,69 мин, m/z 391,1 [M+H]+. 1H ЯМР (400 MГц, ДМСО-d6) δ 11,9 (шир. с, 1H), 8,82 (с, 1H), 8,18 (дд, J=9,2, 1,6 Гц, 1H), 7,72-7,70 (м, 2H), 7,48 (дд, J=8,8, 2,0 Гц, 1H), 7,10 (д, J=8,8 Гц, 1H), 3,90 (с, 3H), 3,71 (с, 3H), 2,64 (к, J=7,6 Гц, 2H), 1,16 (т, J=7,6 Гц, 3H).

b) 3-((5-Этил-2-метоксифенил)сульфонамидо)бензо[d]изоксазол-5-карбоновая кислота A59

К раствору метил 3-((5-этил-2-метоксифенил)сульфонамидо)бензо[d]изоксазол- 5-карбоксилата A58 (220 мг, 0,56 ммоль) в ТГФ/MeOH (10 мл/10 мл) добавляли 2 M водн. раствор NaOH (1,4 мл, 2,8 ммоль) и перемешивали смесь при к. т. в течение ночи. Растворитель удаляли при пониженном давлении, остаток растворяли в воде (10 мл) и pH раствора доводили до уровня 2-3. Полученный осадок собирали с помощью фильтрации с получением указанного в заголовке соединения (180 мг, 85%) в виде твердого вещества светло-желтого цвета. ЖХМС-D: вр. уд. 2,51 мин, m/z 377,2 [M+H]+. 1H ЯМР (400 MГц, ДМСО-d6) δ 13,2 (с, 1H), 11,86 (с, 1H), 8,78 (с, 1H), 8,16 (дд, J=8,8, 1,2 Гц, 1H), 7,71-7,66 (м, 2H), 7,47 (дд, J=8,4, 1,6 Гц, 1H), 7,10 (д, J=8,4 Гц, 1H), 3,70 (с, 3H), 2,63 (к, J=7,6 Гц, 2H), 1,16 (т, J=7,6 Гц, 3H).

c) 5-Этил-N-(5-(гидроксиметил)бензо[d]изоксазол-3-ил)-2-метоксибензолсульфонамид 229

Смесь 3-((5-этил-2-метоксифенил)сульфонамидо)бензо[d]изоксазол-5-карбоновой кислоты A59 (50 мг, 0,13 ммоль) и BH3·ТГФ (1 M раствор в ТГФ, 5 мл, 5 ммоль) перемешивали при к. т. в атмосфере азота в течение 5 ч. Реакцию гасили водой (10 мл), и большую часть ТГФ удаляли при пониженном давлении. Уровень pH водного остатка доводили до 2-3 и экстрагировали с использованием ДХМ (15 мл × 3). Объединенные органические слои сушили над безводным Na2SO4, фильтровали и концентрировали при пониженном давлении. Остаток очищали с помощью колоночной хроматографии (ДХМ/MeOH=30/1) с получением указанного в заголовке соединения (30 мг, 62%) в виде твердого вещества светло-желтого цвета. ЖХМС-D: вр. уд 2,46 мин, m/z 363,1 [M+H]+. 1H ЯМР (400 MГц, ДМСО-d6) δ 11,6 (с, 1H), 7,98 (с, 1H), 7,69 (д, J=2,0 Гц, 1H), 7,53 (с, 2H), 7,46 (дд, J=8,4, 2,0 Гц, 1H), 7,10 (д, J=8,4 Гц, 1H), 5,35 (т, J=5,6 Гц, 1H), 4,59 (д, J=5,6 Гц, 2H), 3,72 (с, 3H), 2,63 (к, J=7,6 Гц, 2H), 1,16 (т, J=7,6 Гц, 3H).

Пример 230: 3-((5-этил-2-метоксифенил)сульфонамидо)-N-метилбензо[d]изоксазол-5-карбоксамид 230

Смесь метил 3-((5-этил-2-метоксифенил)сульфонамидо)бензо[d]изоксазол-5- карбоксилата A58 (50 мг, 0,13 ммоль) и метиламина (33% раствор в EtOH, 5 мл) нагревали в герметично закрытой пробирке при 90°C в течение 80 мин. Растворитель удаляли при пониженном давлении, и очищали остаток с помощью преп. ТСХ с получением желаемого продукта (18 мг, 36%) в виде твердого вещества светло-желтого цвета. ЖХМС-D: вр. уд 2,39 мин, m/z 390,2[M+H]+. 1H ЯМР (400 MГц, ДМСО-d6) δ 11,8 (с, 1H), 8,53-8,51 (м, 2H), 8,03 (д, J=8,8 Гц, 1H), 7,69 (д, J=2,0 Гц, 1H), 7,62 (д, J=8,8 Гц, 1H), 7,42 (д, J=8,0 Гц, 1H), 7,06 (д, J=8,4 Гц, 1H), 3,69 (с, 3H), 2,81 (д, J=4,4 Гц, 3H), 2,62 (к, J=7,6 Гц, 2H), 1,16 (т, J=7,6 Гц, 3H).

Пример 231: 3-((5-этил-2-метоксифенил)сульфонамидо)-N, N-диметилбензо[d]изоксазол-5-карбоксамид 231

Раствор 3-((5-этил-2-метоксифенил)сульфонамидо)бензо[d]изоксазол-5-карбоновой кислоты A59 (70 мг, 0,19 ммоль) в тионилхлориде (10 мл) нагревали при 85°C в течение 3 ч в атмосфере азота. Затем смесь концентрировали при пониженном давлении с получением 3-((5-этил-2-метоксифенил)сульфонамидо)бензо[d]изоксазол-5-карбонилхлорида, который растворяли в ТГФ (2,5 мл) и обрабатывали диметиламином (40% раствор в воде, 5 мл). Смесь перемешивали при к. т. в течение ночи. Большую часть ТГФ удаляли при пониженном давлении, и уровень pH водного остатка доводили до 2-3. Осадок собирали с помощью фильтрации с получением указанного в заголовке соединения (60 мг, 80%) в виде твердого вещества светло-желтого цвета. ЖХМС-D: вр. уд. 2,40 мин, m/z 404,2 [M+H]+. 1H ЯМР (400 MГц, ДМСО-d6) δ 8,13 (с, 1H), 7,71-7,63 (м, 3H), 7,48 (дд, J=8,8, 2,0 Гц, 1H), 7,10 (д, J=8,8 Гц, 1H), 3,70 (с, 3H), 3,01 (с, 3H), 2,96 (с, 3H), 2,63 (к, J=7,6 Гц, 2H), 1,16 (т, J=7,6 Гц, 3H).

Пример 232: 3-((5-этил-2-метоксифенил)сульфонамидо)бензо[d]изоксазол-5-карбоксамид 232

К раствору 3-((5-этил-2-метоксифенил)сульфонамидо)бензо[d]изоксазол-5-карбонилхлорида (63 мг, 0,16 ммоль), полученного в соответствии с процедурой, описанной для 3-((5-этил-2-метоксифенил)сульфонамидо)-N, N-диметилбензо[d]изоксазол-5-карбоксамида 231, в ТГФ (2,5 мл) добавляли конц. раствор NH4OH (5 мл) и перемешивали смесь при к. т. В течение выходных. Большую часть ТГФ удаляли при пониженном давлении, и уровень pH водного остатка доводили до 2-3. Полученный осадок собирали с помощью фильтрации с получением указанного в заголовке соединения (37 мг, 62%) в виде твердого вещества светло-желтого цвета. ЖХМС-D: вр. уд. 2,33 мин, m/z 376,1 [M+H]+. 1H ЯМР (400 MГц, ДМСО-d6) δ 11,8 (с, 1H), 8,49 (с, 1H), 8,04 (д, J=7,6 Гц, 2H), 7,69 (д, J=2,4 Гц, 1H), 7,54 (д, J=8,4 Гц, 2H), 7,36 (д, J=6,8 Гц, 1H), 7,02 (д, J=8,4 Гц, 1H), 3,68 (с, 3H), 2,61 (к, J=7,6 Гц, 2H), 1,16 (т, J=7,6 Гц, 3H).

Пример 233: N-(5-цианобензо[d]изоксазол-3-ил)-5-этил-2-метоксибензолсульфонамид 233

Раствор 3-((5-этил-2-метоксифенил)сульфонамидо)бензо[d]изоксазол-5-карбоксамида 232 (22 мг, 0,058 ммоль) в POCl3 нагревали при 110°C в течение ночи в атмосфере азота. Реакцию гасили ледяной водой (25 мл) и экстрагировали смесь с использованием ДХМ (35 мл × 2). Объединенные органические экстракты промывали водой (50 мл × 3), сушили над безводным Na2SO4, фильтровали и концентрировали при пониженном давлении с получением указанного в заголовке соединения (19,8 мг, 90%) в виде твердого вещества светло-желтого цвета. ЖХМС-D: вр. уд 2,61 мин, m/z 358,1 [M+H]+. 1H ЯМР (400 MГц, ДМСО-d6) δ 12,0 (с, 1H), 8,54 (с, 1H), 8,07 (д, J=8,8, 1,2 Гц, 1H), 7,86 (д, J=8,8 Гц, 1H), 7,73 (д, J=2,0 Гц, 1H), 7,49 (дд, J=8,4, 1,6 Гц, 1H), 7,11 (д, J=8,4 Гц, 1H), 3,70 (с, 3H), 2,65 (к, J=7,6 Гц, 2H), 1,17 (т, J=7,6 Гц, 3H).

Пример 234: 5-этил-2-метокси-N-(5-метилбензо[d]изоксазол-3-ил)бензолсульфонамид 234

a) N-(2,4-Диметоксибензил)-5-этил-2-метокси-N-(5-метилбензо[d]изоксазол-3-ил)бензолсульфонамид A60

Смесь N-(5-бромбензо[d]изоксазол-3-ил)-N-(2,4-диметоксибензил)-5-этил-2- метоксибензолсульфонамида A49 (112 мг, 0,2 ммоль), метилбороновой кислоты (60 мг, 1 ммоль), Pd(dppf)Cl2 (29 мг, 0,04 ммоль) и K2CO3 (138 мг, 1 ммоль) в 1,4-диоксане (10 мл) и воде (2 мл) нагревали при 90°C в атмосфере азота в течение ночи. Растворитель удаляли при пониженном давлении, остаток разбавляли водой (30 мл) и экстрагировали с использованием EtOAc (100 мл). Органический экстракт промывали водой, насыщенным солевым раствором, сушили над безводным Na2SO4, фильтровали и концентрировали при пониженном давлении. Остаток очищали с помощью преп. ТСХ (петр. эфир/EtOAc=3/1) с получением указанного в заголовке соединения (60 мг, 61%) в виде твердого вещества белого цвета. ЖХМС-D: вр. уд. 2,72 мин, m/z 347,2[M-ДМБ]+.

b) 5-Этил-2-метокси-N-(5-метилбензо[d]изоксазол-3-ил)бензолсульфонамид 234

Смесь N-(2,4-диметоксибензил)-5-этил-2-метокси-N-(5-метилбензо[d]изоксазол-3-ил) бензолсульфонамида A60 (60 мг, 0,12 ммоль) и ТФК (5 мл) перемешивали при к. т. в течение 4 ч, а затем концентрировали при пониженном давлении. Остаток очищали с помощью преп. ТСХ (петр. эфир/EtOAc=2/1) с получением указанного в заголовке соединения (30 мг, 71%) в виде твердого вещества белого цвета. ЖХМС-D: вр. уд 2,72 мин, m/z 347,2 [M+H]+. 1H ЯМР (400 MГц, ДМСО-d6) δ 7,78 (с, 1H), 7,69 (д, J=2,0 Гц, 1H), 7,49-7,44 (м, 3H), 7,10 (д, J=8,4 Гц, 1H), 3,72 (с, 3H), 2,61 (к, J=7,6 Гц, 2H), 2,40 (с, 3H), 1,16 (т, J=7,6 Гц, 3H).

Примеры 235-238 (таблица H)

Таблица H. Следующие целевые соединения получали в соответствии с процедурой, описанной для 5-этил-2-метокси-N-(5-метилбензо[d]изоксазол-3-ил)бензолсульфонамида 234

Пример Исходные материалы Название и структура ЖХМС 1H NMR 235
5-Этил-N-(5-этилбензо[d]изоксазол-3-ил)-2-метоксибензолсульфонамид
ЖХМС-D: вр. уд. 2,84 мин, m/z 361,1 [M+H]+ 1H ЯМР (400 MГц, ДМСО-d6) δ 11,6 (с, 1H), 7,83 (с, 1H), 7,69 (с, 1H), 7,51-7,44 (м, 3H), 7,10 (д, J=8,4 Гц, 1H), 3,74 (с, 3H), 2,74 (к, J=7,6 Гц, 2H), 2,63 (к, J=7,6 Гц, 2H), 1,24 (т, J=7,6 Гц, 3H), 1,16 (т, J=7,6 Гц, 3H).
236
N-(5-Циклопропилбензо[d]изоксазол-3-ил)-5-этил-2-метоксибензолсульфонамид
ЖХМС-D: вр. уд. 2,87 мин, m/z 373,1 [M+H]+ 1H ЯМР (400 MГц, ДМСО-d6) δ 11,5 (с, 1H), 7,70 (д, J=2,8 Гц, 1H), 7,69 (с, 1H), 7,47 (д, J=8,8 Гц, 2H), 7,38-7,36 (м, 1H), 7,10 (д, J=8,8 Гц, 1H), 3,74 (с, 3H), 2,63 (к, J=7,6 Гц, 2H), 2,06-2,01 (м, 1H), 1,17 (т, J=7,6 Гц, 3H), 1,02-0,96 (м, 2H), 0,68-0,64 (м, 2H).
237
5-Этил-2-метокси-N-(5-(1-метил-1H-пиразол-4-ил)бензо[d]изоксазол-3-ил)бензолсульфонамид
ЖХМС-D: вр. уд. 2,57 мин, m/z 413,1 [M+H]+ 1H ЯМР (400 MГц, ДМСО-d6) δ 11,6 (с, 1H), 8,17 (с, 1H), 8,10 (с, 1H), 7,82-7,80 (м, 2H), 7,72 (д, J=1,6 Гц, 1H), 7,60 (д, J=8,8 Гц, 1H), 7,47 (дд, J=8,4, 1,6 Гц, 1H), 7,11 (д, J=8,8 Гц, 1H), 3,90 (с, 3H), 3,75 (с, 3H), 2,64 (к, J=7,6 Гц, 2H), 1,16 (т, J=7,6 Гц, 3H).
238
5-Этил-2-метокси-N-(5-(пиримидин-5-ил)бензо[d]изоксазол-3-ил)бензолсульфонамид
ЖХМС-D: вр. уд. 2,52 мин, m/z 442,9 [M+H]+ 1H ЯМР (400 MГц, ДМСО-d6) δ 11,8 (с, 1H), 9,24 (с, 1H), 9,14 (с, 2H), 8,44 (с, 1H), 8,09 (д, J=8,8 Гц, 1H), 7,80-7,74 (м, 2H), 7,48 (д, J=7,6 Гц, 1H), 7,12 (д, J=8,8 Гц, 1H), 3,74 (с, 3H), 2,65 (к, J=7,6 Гц, 2H), 1,17 (т, J=7,6 Гц, 3H).

Примеры 239-242 (таблица I)

Метод IA:

К раствору амина (0,2 ммоль, 1,0 экв.) в пиридине (2 мл) добавляли сульфонилхлорид (1,5 экв.) и нагревали смесь при 120°C в условиях микроволнового облучения в течение 2 ч. Смесь разделяли между водой и EtOAc, разделяли слои и промывали органический слой насыщенным солевым раствором, сушили над Na2SO4, фильтровали и концентрировали при пониженном давлении. Остаток очищали с помощью преп. ТСХ с получением указанного в заголовке соединения. Вариации вышеуказанных условий отмечены в таблице I.

Таблица I. Следующие ниже примеры были синтезированы в соответствии с методом IA. Варианты условий отмечены в таблице.

Пр. Название и структура Аналити-ческие данные Промежу-точные соединения (если применимо) Метод Примечания 239
N-(7-Бром-5-метилбензо[d]изоксазол-3-ил)-2,6-диметоксибензолсульфонамид
ЖХМС-C: вр. уд. 2,45 мин; m/z 427,0, 429,0 [M+H]+; 1H ЯМР (400 MГц, ДМСО-d6) δ 11,5 (с, 1H), 7,85 (с, 1H), 7,73 (с, 1H), 7,48 (т, J=8,4 Гц, 1H), 6,75 (д, J=8,4 Гц, 2H), 3,74 (с, 6H), 2,40 (с, 3H). 2,6-Диметокси
бензолсульфон
илхлорид I111
7-Бром-5-метилбензо[d]изоксазол-3-амин I132
IA Использовали 0,2 экв. ДМАП.
Органический слой промывали с использованием 0,1 M водн. раствора HCl в ходе обработки.
Преп. ТСХ (ДХМ/MeOH, 20/1)
240
2,6-Диметокси-N-(4-метокси-6-((2,2,2-трифторэтокси)метил)бензо[d]изоксазол-3-ил)бензолсульфонамид
ЖХМС-C: вр. уд. 2,33 мин; m/z 476,9 [M+H]+; 1H ЯМР (400 MГц, ДМСО-d6) δ 9,59 (шир. с, 1H), 7,49 (с, 1H), 7,18-7,06 (м, 1H), 6,86-6,62 (м, 3H), 4,75 (с, 2H), 4,15-4,11 (м, 2H), 3,91 (с, 3H), 3,76 (с, 6H). 2,6-Диметокси
бензолсульфон
илхлорид I111
4-Метокси-6-((2,2,2-трифторэтокси)метил)бензо[d]изоксазол-3-амин I118
IA Использовали 1 мл пиридина.
Преп. ТСХ (петр. эфир/EtOAc=1/1)
241
2,6-Диметокси-N-(5-метил-6-(пиридин-2-ил)бензо[d]изоксазол-3-ил)бензолсульфонамид
ЖХМС-D: вр. уд. 3,32 мин; m/z 426,0 [M+H]+; 1H ЯМР (400 MГц, ДМСО-d6) δ 11,4 (шир. с, 1H), 8,68 (д, J=3,6 Гц, 1H), 7,96-7,90 (м, 2H), 7,59-7,43 (м, 4H), 6,76 (д, J=8,4 Гц, 2H), 3,76 (с, 6H), 2,34 (с, 3H). 2,6-Диметокси
бензолсульфон
илхлорид I111
5-Метил-6-(пиридин-2-ил)бензо[d]изоксазол-3-амин I127
IA Использовали 5 мл пиридина.
Использовали 0,1 экв. ДМАП.
Преп. ТСХ (петр. эфир/EtOAc=1/1)
242
N-(6-(Дифторметокси)-4-метоксибензо[d]изоксазол-3-ил)-2,6-диметоксибензолсульфонамид
ЖХМС-C вр. уд 2,13 мин; m/z 430,9 [M+H]+; 1H ЯМР (400 MГц, ДМСО-d6) δ 9,73 (шир. с, 1H), 7,52 (т, J=8,4 Гц, 1H), 7,40 (т, J=73,2 Гц, 1H), 7,04 (д, J=1,6 Гц, 1H), 6,78 (д, J=8,4 Гц, 2H), 6,69 (д, J=1,6 Гц, 1H), 3,91 (с, 3H), 3,76 (с, 6H). 2,6-Диметокси бензолсульфон илхлорид I111
6-(Дифторметокси)-4-метоксибензо[d]изоксазол-3-амин I121
IA нагревали в течение 1 ч.
Уровень pH водной фазы доводили до pH 5 с использованием 1 M водн. раствора HCl в ходе обработки.
Преп. ТСХ (ДХМ/MeOH=
50/1)

Пример 243: N-(6-(3-цианофенил)-4-метоксибензо[d]изоксазол-3-ил)-2,6-диметоксибензолсульфонамид 243

К раствору N-(6-бром-4-метоксибензо[d]изоксазол-3-ил)-2,6-диметоксибензолсульфонамида 89 (50 мг, 0,113 ммоль) в 1,4-диоксане (8 мл) и воде (2 мл) добавляли (3-цианофенил)бороновую кислоту (34 мг, 0,226 ммоль), Na2CO3 (36 мг, 0,339 ммоль) и Pd(PPh3)4 (14 мг, 0,011 ммоль), и нагревали смесь при температуре кипения с обратным холодильником в атмосфере N2 в течение ночи. Уровень pH смеси доводили до 4-5 с помощью 1 M водного раствора HCl и экстрагировали с использованием EtOAc. Объединенные органические экстракты промывали водой, насыщенным солевым раствором, сушили над Na2SO4, фильтровали и концентрировали при пониженном давлении. Остаток очищали с помощью преп. ТСХ (ДХМ/MeOH=100/1) с получением указанного в заголовке соединения (24 мг, 46%) в виде твердого вещества белого цвета. ЖХМС-C: вр. уд. 2,44 мин, m/z 466,0 [M+H]+. 1H ЯМР (400 MГц, ДМСО-d6) δ 9,70 (с, 1H), 8,34 (с, 1H), 8,16 (д, J=7,5 Гц, 1H), 7,90 (д, J=7,7 Гц, 1H), 7,70 (т, J=7,8 Гц, 1H), 7,57 (с, 1H), 7,51 (т, J=8,4 Гц, 1H), 7,19 (с, 1H), 6,79 (д, J=8,5 Гц, 2H), 4,03 (с, 3H), 3,78 (с, 6H).

Пример 244: 2,6-диметокси-N-(4-метокси-6-метилбензо[d]изоксазол-3-ил)бензолсульфонамид 244

К раствору N-(6-бром-4-метоксибензо[d]изоксазол-3-ил)-2,6-диметоксибензолсульфонамида 89 (50 мг, 0,113 ммоль) в 1,4-диоксане (8 мл) м воде (2 мл) добавляли метилбороновую кислоту (14 мг, 0,226 ммоль), Na2CO3 (36 мг, 0,339 ммоль) и Pd(PPh3)4 (14 мг, 0,011 ммоль) и нагревали смесь при температуре кипения с обратным холодильником в атмосфере N2 в течение ночи. Уровень pH смеси доводили до 4-5 с помощью 1 M водного раствора HCl и экстрагировали с использованием EtOAc. Объединенные органические экстракты промывали водой, насыщенным солевым раствором, сушили над Na2SO4, фильтровали и концентрировали при пониженном давлении. Остаток очищали с помощью преп. ВЭЖХ с получением указанного в заголовке соединения (8 мг, 19%) в виде твердого вещества белого цвета. ЖХМС-C: вр. уд. 2,18 мин, m/z 379,0 [M+H]+. 1H ЯМР (400 MГц, ДМСО-d6) δ 9,45 (с, 1H), 7,49 (т, J=8,5 Гц, 1H), 6,97 (с, 1H), 6,77 (д, J=8,5 Гц, 2H), 6,70 (с, 1H), 3,91 (с, 3H), 3,77 (с, 6H), 2,42 (с, 3H).

Пример 245: 2,6-диметокси-N-(4-метокси-6-(пиридин-4-ил)бензо[d]изоксазол-3-ил)бензолсульфонамид 245

К раствору N-(6-бром-4-метоксибензо[d]изоксазол-3-ил)-2,6-диметоксибензолсульфонамида 89 (50 мг, 0,113 ммоль) в 1,4-диоксане (8 мл) и воде (2 мл) добавляли пиридин-4-илбороновую кислоту (28 мг, 0,226 ммоль), Na2CO3 (36 мг, 0,339 ммоль) и Pd(PPh3)4 (14 мг, 0,011 ммоль) и нагревали смесь при температуре кипения с обратным холодильником в атмосфере N2 в течение ночи. Уровень pH смеси доводили до 4-5 с помощью 1 M водного раствора HCl и экстрагировали с использованием EtOAc. Объединенные органические экстракты промывали водой, насыщенным солевым раствором, сушили над Na2SO4, фильтровали и концентрировали при пониженном давлении. Остаток очищали с помощью преп. ТСХ (ДХМ/MeOH=30/1) с получением указанного в заголовке соединения (22 мг, 44%) в виде твердого вещества белого цвета. ЖХМС-C: вр. уд 0,58 мин, m/z 442,0 [M+H]+. 1H ЯМР (400 MГц, ДМСО-d6) δ 9,75 (с, 1H), 8,69 (д, J=5,3 Гц, 2H), 7,84 (д, J=5,3 Гц, 2H), 7,63 (с, 1H), 7,50 (т, J=8,4 Гц, 1H), 7,20 (с, 1H), 6,78 (д, J=8,5 Гц, 2H), 4,03 (с, 3H), 3,78 (с, 6H).

Пример 246: 2,6-диметокси-N-(4-метокси-6-(пиридин-3-ил)бензо[d]изоксазол-3-ил)бензолсульфонамид 246

К раствору N-(6-бром-4-метоксибензо[d]изоксазол-3-ил)-2,6-диметоксибензолсульфонамида 89 (50 мг, 0,113 ммоль) в 1,4-диоксане (8 мл) и воде (2 мл) добавляли 3-(4,4,5,5-тетраметил-1,3,2-диоксаборолан-2-ил)пиридин (47 мг, 0,226 ммоль), Na2CO3 (36 мг, 0,339 ммоль) и Pd(PPh3)4 (14 мг, 0,011 ммоль) и нагревали смесь при температуре кипения с обратным холодильником в атмосфере N2 в течение ночи. Уровень pH смеси доводили до 4-5 с помощью 1 M водного раствора HCl и экстрагировали с использованием EtOAc. Объединенные органические экстракты промывали водой, насыщенным солевым раствором, сушили над Na2SO4, фильтровали и концентрировали при пониженном давлении. Остаток очищали с помощью преп. ТСХ (ДХМ/MeOH=30/1) с получением указанного в заголовке соединения (9 мг, 18%) в виде твердого вещества белого цвета. ЖХМС-C: вр. уд. 0,77 мин, m/z 442,0 [M+H]+. 1H ЯМР (400 MГц, ДМСО-d6) δ 9,67 (с, 1H), 9,02 (д, J=2,5 Гц, 1H), 8,63 (дд, J=4,8, 1,6 Гц, 1H), 8,21 (дт, J=8,0, 2,0 Гц, 1H), 7,56 (с, 1H), 7,54-7,48 (м, 2H), 7,17 (с, 1H), 6,79 (д, J=8,5 Гц, 2H), 4,03 (с, 3H), 3,79 (с, 6H).

Пример 247: 2,6-диметокси-N-(4-метокси-6-(6-метоксипиридин-3-ил)бензо[d]изоксазол-3-ил)бензолсульфонамид 247

К раствору N-(6-бром-4-метоксибензо[d]изоксазол-3-ил)-2,6-диметоксибензолсульфонамида 89 (50 мг, 0,113 ммоль) в 1,4-диоксане (8 мл) и воде (2 мл) добавляли (6-метоксипиридин-3-ил)бороновую кислоту (35 мг, 0,226 ммоль), Na2CO3 (36 мг, 0,339 ммоль) и Pd(PPh3)4 (14 мг, 0,011 ммоль) и нагревали смесь при температуре кипения с обратным холодильником в атмосфере N2 в течение ночи. Уровень pH смеси доводили до 4-5 с помощью 1 M водного раствора HCl и экстрагировали с использованием EtOAc. Объединенные органические экстракты промывали водой, насыщенным солевым раствором, сушили над Na2SO4, фильтровали и концентрировали при пониженном давлении. Остаток очищали с помощью преп. ТСХ (ДХМ/MeOH=60/1) с получением указанного в заголовке соединения (45 мг, 85%) в виде твердого вещества белого цвета. ЖХМС-C: вр. уд. 2,33 мин, m/z 472,0 [M+H]+. 1H ЯМР (400 MГц, ДМСО-d6) δ 9,61 (с, 1H), 8,63 (д, J=2,6 Гц, 1H), 8,15 (дд, J=8,7, 2,6 Гц, 1H), 7,51 (т, J=8,5 Гц, 1H), 7,47 (с, 1H), 7,10 (с, 1H), 6,94 (д, J=8,6 Гц, 1H), 6,79 (д, J=8,5 Гц, 2H), 4,02 (с, 3H), 3,91 (с, 3H), 3,79 (с, 6H).

Пример 248: 2,6-диметокси-N-(4-метокси-6-(3-метокси-5-метилфенил)бензо[d]изоксазол-3-ил)бензолсульфонамид 248

a) 2-(3-Метокси-5-метилфенил)-4,4,5,5-тетраметил-1,3,2-диоксаборолан A61

Смесь 1-бром-3-метокси-5-метилбензола (500 мг, 2,49 ммоль), 4,4,4',4',5,5,5',5'-октаметил-2,2'-би(1,3,2-диоксаборолана) (1,9 г, 7,49 ммоль), ацетата калия (977 мг, 9,96 ммоль) и Pd(dppf)Cl2 (196 мг, 0,25 ммоль) в 1,4-диоксане (20 мл) нагревали при температуре кипения с обратным холодильником в атмосфере N2 в течение 3 ч. Смесь разбавляли с использованием EtOAc (300 мл), промывали водой (50 мл × 3), и органический слой сушили над Na2SO4, фильтровали, концентрировали при пониженном давлении. Остаток очищали с помощью колоночной хроматографии (петр. эфир/EtOAc=20/1) с получением указанного в заголовке соединения (300 мг, 49%) в виде твердого вещества белого цвета. 1H ЯМР (400 MГц, ДМСО-d6) δ 7,08 (с, 1H), 6,94 (д, J=2,6 Гц, 1H), 6,87 (с, 1H), 3,73 (с, 3H), 2,30-2,25 (м, 3H), 1,28 (с, 12H).

b) 2,6-Диметокси-N-(4-метокси-6-(3-метокси-5-метилфенил)бензо[d]изоксазол-3-ил)бензолсульфонамид 248

К раствору N-(6-бром-4-метоксибензо[d]изоксазол-3-ил)-2,6-диметоксибензолсульфонамида 89 (50 мг, 0,11 ммоль) в 1,4-диоксане (8 мл) и воде (2 мл) добавляли 2-(3-метокси-5-метилфенил)-4,4,5,5-тетраметил-1,3,2-диоксаборолан A61 (55 мг, 0,22 ммоль), K2CO3 (61 мг, 0,44 ммоль) и Pd(PPh3)4 (13 мг, 0,011 ммоль) и нагревали смесь при температуре кипения с обратным холодильником в атмосфере N2 в течение ночи. Уровень pH смеси доводили до 4-5 с помощью 1 M водного раствора HCl и экстрагировали с использованием EtOAc. Объединенные органические экстракты промывали водой, насыщенным солевым раствором, сушили над Na2SO4, фильтровали и концентрировали при пониженном давлении. Остаток очищали с помощью преп. ВЭЖХ с получением указанного в заголовке соединения (4,3 мг, 8%) в виде твердого вещества белого цвета. ЖХМС-C: вр. уд. 2,56 мин, m/z 485,3 [M+H]+. 1H ЯМР (400 MГц, ДМСО-d6) δ 9,62 (с, 1H), 7,51 (т, J=8,5 Гц, 1H), 7,43 (с, 1H), 7,18 (с, 1H), 7,10 (с, 1H), 7,05 (с, 1H), 6,83 (с, 1H), 6,79 (д, J=8,5 Гц, 2H), 4,02 (с, 3H), 3,81 (с, 3H), 3,79 (с, 6H), 2,36 (с, 3H).

Пример 249: 2,6-диметокси-N-(4-метокси-6-(2-метоксипиридин-4-ил)бензо[d]изоксазол-3-ил)бензолсульфонамид 249

К раствору N-(6-бром-4-метоксибензо[d]изоксазол-3-ил)-2,6-диметоксибензолсульфонамида 89 (50 мг, 0,11 ммоль) в 1,4-диоксане (4 мл) и воде (1 мл) добавляли (2-метоксипиридин-4-ил)бороновую кислоту (33 мг, 0,22 ммоль), Na2CO3 (35 мг, 0,33 ммоль) и Pd(PPh3)4 (13 мг, 0,011 ммоль) и нагревали смесь при температуре кипения с обратным холодильником в атмосфере N2 в течение ночи. Смесь выливали в воду и экстрагировали с использованием ДХМ. Объединенные органические экстракты сушили над Na2SO4, фильтровали и концентрировали при пониженном давлении. Остаток очищали с помощью преп. ВЭЖХ с получением указанного в заголовке соединения (5 мг, 10%) в виде твердого вещества белого цвета. ЖХМС-C: вр. уд. 2,29 мин, m/z 472,0 [M+H]+. 1H ЯМР (400 MГц, ДМСО-d6) δ 9,71 (шир. с, 1H), 8,26 (д, J=5,4 Гц, 1H), 7,59 (с, 1H), 7,50 (т, J=8,5 Гц, 1H), 7,42 (дд, J=5,4, 1,6 Гц, 1H), 7,25 (с, 1H), 7,16 (с, 1H), 6,78 (д, J=8,5 Гц, 2H), 4,02 (с, 3H), 3,90 (с, 3H), 3,78 (с, 6H).

Пример 250: 2,6-диметокси-N-(4-метокси-6-(5-метоксипиридин-3-ил)бензо[d]изоксазол-3-ил)бензолсульфонамид 250

К раствору N-(6-бром-4-метоксибензо[d]изоксазол-3-ил)-2,6-диметоксибензолсульфонамида 89 (50 мг, 0,11 ммоль) в 1,4-диоксане (4 мл) и воде (1 мл) добавляли 3-метокси-5-(4,4,5,5-тетраметил-1,3,2-диоксаборолан-2-ил)пиридин (52 мг, 0,22 ммоль), Na2CO3 (35 мг, 0,33 ммоль) и Pd(PPh3)4 (13 мг, 0,011 ммоль) и нагревали смесь при температуре кипения с обратным холодильником в атмосфере N2 атмосфера в течение ночи. Смесь выливали в воду и экстрагировали с использованием ДХМ. Объединенные органические экстракты сушили над Na2SO4, фильтровали и концентрировали при пониженном давлении. Остаток очищали с помощью преп. ВЭЖХ с получением указанного в заголовке соединения (5 мг, 10%) в виде твердого вещества белого цвета. ЖХМС-C: вр. уд. 2,25 мин, m/z 472,0 [M+H]+. 1H ЯМР (400 MГц, ДМСО-d6) δ 9,67 (с, 1H), 8,63 (с, 1H), 8,38 (д, J=2,7 Гц, 1H), 7,81-7,79 (м, 1H), 7,59 (с, 1H), 7,51 (т, J=8,5 Гц, 1H), 7,18 (с, 1H), 6,79 (д, J=8,5 Гц, 2H), 4,04 (с, 3H), 3,94 (с, 3H), 3,79 (с, 6H).

Пример 251: N-(6-(3-циано-5-метоксифенил)-4-метоксибензо[d]изоксазол-3-ил)-2,6-диметоксибензолсульфонамид 251

a) 3-Метокси-5-(4,4,5,5-тетраметил-1,3,2-диоксаборолан-2-ил)бензонитрил A62

Смесь 3-бром-5-метоксибензонитрил (500 мг, 2,35 ммоль), 4,4,4',4',5,5,5',5'-октаметил-2,2'-би(1,3,2-диоксаборолана) (1,8 г, 7,07 ммоль), ацетата калия (923 мг, 9,4 ммоль) и Pd(dppf)Cl2⋅ДХМ (196 мг,0,24 ммоль) нагревали при температуре кипения с обратным холодильником в атмосфере N2 в течение 4 ч. Добавляли воду и экстрагировали смесь с использованием EtOAc (20 мл × 3). Объединенные органические экстракты промывали насыщенным солевым раствором, сушили над Na2SO4, фильтровали и концентрировали при пониженном давлении. Остаток очищали с помощью преп. ТСХ (EtOAc/петр. эфир=1/5) с получением указанного в заголовке соединения (600 мг, 98%) в виде масла желтого цвета. ЖХМС-C: вр. уд. 2,66 мин; m/z 260,0 [M+H]+.

b) N-(6-(3-Циано-5-метоксифенил)-4-метоксибензо[d]изоксазол-3-ил)-2,6-диметоксибензолсульфонамид 251

К раствору N-(6-бром-4-метоксибензо[d]изоксазол-3-ил)-2,6-диметоксибензолсульфонамида 89 (415 мг, 0,94 ммоль) в 1,4-диоксане (80 мл) и воде (20 мл) добавляли 3-метокси-5-(4,4,5,5-тетраметил-1,3,2-диоксаборолан-2-ил)бензонитрил A62 (500 мг, 2,82 ммоль), Na2CO3 (399 мг, 3,77 ммоль) и Pd(PPh3)4 (116 мг, 0,1 ммоль) и нагревали смесь при температуре кипения с обратным холодильником в атмосфере N2 в течение ночи. Смесь разбавляли водой и экстрагировали с использованием EtOAc. Объединенные органические экстракты сушили над Na2SO4, фильтровали и концентрировали при пониженном давлении. Остаток очищали с помощью преп. ТСХ (ДХМ/MeOH=30/1) с получением указанного в заголовке соединения (40 мг, 8,6%) в виде твердого вещества белого цвета. ЖХМС-C: вр. уд 2,48 мин, m/z 495,9 [M+H]+. 1H ЯМР (400 MГц, ДМСО-d6) δ 9,69 (шир. с, 1H), 7,89 (с, 1H), 7,67 (с, 1H), 7,57 (м, 1H), 7,49 (с, 2H), 7,15 (с, 1H), 6,77 (д, J=8,5 Гц, 2H), 4,02 (с, 3H), 3,90 (с, 3H), 3,77 (с, 6H).

Пример 252: 2,6-диметокси-N-(5-метил-7-фенилбензо[d]изоксазол-3-ил)бензолсульфонамид 252

К раствору N-(7-бром-5-метилбензо[d]изоксазол-3-ил)-2,6-диметоксибензолсульфонамида 239 (50 мг, 0,117 ммоль) в 1,4-диоксане (8 мл) и воде (2 мл) добавляли фенилбороновую кислоту (22 мг, 0,176 ммоль), Na2CO3 (50 мг, 0,468 ммоль) и Pd(PPh3)4 (14 мг, 0,012 ммоль) и нагревали смесь при температуре кипения с обратным холодильником в атмосфере N2 в течение ночи. Смесь разбавляли водой и экстрагировали с использованием EtOAc (30 мл × 3). Объединенные органические экстракты промывали насыщенным солевым раствором, сушили над Na2SO4, фильтровали и концентрировали при пониженном давлении. Остаток очищали с помощью преп. ТСХ (петр. эфир/EtOAc=3/1) с получением указанного в заголовке соединения (40 мг, 80%) в виде твердого вещества белого цвета. ЖХМС-C: вр. уд. 2,49 мин; m/z 425,0 [M+H]+. 1H ЯМР (400 MГц, ДМСО-d6) δ 7,87-7,80 (м, 2H), 7,67-7,55 (м, 2H), 7,48 (т, J=7,7 Гц, 2H), 7,42-7,32 (м, 2H), 6,69 (д, J=8,4 Гц, 2H), 3,70 (с, 6H), 2,45 (с, 3H).

Анализы

Подготовка белка

KAT5

Молекулярная биология. Кодон-оптимизированная последовательность ДНК (для экспрессии в Escherichia coli), кодирующая аминокислотные остатки 2-461 (номер доступа в базе данных Uniprot Q92993-2) изоформы KAT5 человека, была синтезирована в компании GenScript USA Inc (Пискатауэй, штат Нью-Джерси, США). Ее лигировали в модифицированный экспрессионный вектор pET43a E.coli, сконструированный для кодирования N-концевой гексагистидиновой метки, за ней следовали сайт расщепления протеазой вируса гравировки табака (TEV) и последовательность KAT5. Полученная последовательность белка приведена ниже.

MGHHHHHHGTENLYFQGSAEVGEIIEGCRLPVLRRNQDNEDEWPLAEILSVKDISGRKLFYVHYIDFNKRLDEWVTHERLDLKKIQFPKKEAKTPTKNGLPGSRPGSPEREVKRKVEVVSPATPVPSETAPASVFPQNGAARRAVAAQPGRKRKSNCLGTDEDSQDSSDGIPSAPRMTGSLVSDRSHDDIVTRMKNIECIELGRHRLKPWYFSPYPQELTTLPVLYLCEFCLKYGRSLKCLQRHLTKCDLRHPPGNEIYRKGTISFFEIDGRKNKSYSQNLCLLAKCFLDHKTLYYDTDPFLFYVMTEYDCKGFHIVGYFSKEKESTEDYNVACILTLPPYQRRGYGKLLIEFSYELSKVEGKTGTPEKPLSDLGLLSYRSYWSQTILEILMGLKSESGERPQITINEISEITSIKKEDVISTLQYLNLINYYKGQYILTLSEDIVDGHERAMLKRLLRIDSKCLHFTPKDWSKRGKWAS*

Экспрессия белка. Для получения рекомбинантного белка KAT5 экспрессионную плазмиду трансформировали в штамм BL21 DE3 E. coli и выращивали при встряхивании при 37 °C в объеме 1 л бульона Terrific (TB) с добавлением 100 мкг/мл ампициллина и 50 мкМ цинка до достижения показателя ОП600 равного 0,8. Выполняли перенос культур при 18 °C, индуцировали экспрессию белка добавлением изопропил-β-D-1-тиогалактопиранозида до конечной концентрации 0,5 мМ, и культуры встряхивали в течение ночи на протяжении следующих 16 часов. После экспрессии клеточные культуры центрифугировали при 5000 x g в течение 20 мин и клеточный осадок хранили замороженными при -20 °C.

Очистка белка. Очистку белка начинали с размораживания клеточного осадка (масса во влажном состоянии 25 г) в буфере для лизиса (50 мМ гепес pH 7,4, 500 мМ NaCl, 5 мМ имидазола, 5% [об./об.] глицерина, 0,1% [масс./об.] CHAPS, 2 мМ 2-меркаптоэтанола, 3 мМ MgCl2, 0,5 мг/мл лизозима, бензоназная эндонуклеаза [EMD Millipore], 1 мМ PMSF, таблетки полного ингибитора протеазы без ЭДТА [Roche]) с использованием соотношения 6 мл буфера на 1 г клеток. Клетки подвергали дополнительному лизису с помощью обработки ультразвуком с использованием аппарата Misonix Liquid Processor (6 импульсов по 30 секунд, амплитуда 60 [70 Вт]), а затем центрифугировали при 48000 x g при 4 °C. Супернатант (клеточный лизат) смешивали с 20 мл смолы Q-Sepharose FF (GE Healthcare), предварительно уравновешенной Q-буфером (20 мМ гепес pH 7,4, 1 М NaCl). Несвязавшуюся фракцию Q-Sepharose FF затем инкубировали с 5 мл смолы для очистки cOmplete His-Tag Purification Resin (Roche), предварительно уравновешенной промывочным буфером IMAC (20 мМ гепес pH 7,4, 500 мМ NaCl, 35 мМ имидазола). Смолу промывали промывочным буфером IMAC, и связанный KAT5 элюировали буфером для элюирования IMAC (20 мМ гепес, pH 7,4, 500 мМ NaCl, 300 мМ имидазола). Сразу же проводили обессоливание белка, элюированного IMAC, в буфере для хранения (50 мМ цитрата натрия, pH 6,5, 500 мМ NaCl, 5% [об./об.] глицерина), используя последовательно 2 колонки для обессоливания HiPrep 26/10 (GE Healthcare). Обессоленный белок дополнительно очищали пропусканием через колонку HiLoad 26/60 Superdex 75, предварительно уравновешенную в буфере для хранения. Наконец, белок KAT5 концентрировали до 1,5 мг/мл с использованием центробежного фильтрующего устройства Amicon Ultra (Utra-15 MWCO 10 кДа), мгновенно замораживали в жидком азоте и хранили в морозильной камере с температурой -70 °C.

KAT6A

Молекулярная биология. Последовательность ДНК, кодирующую аминокислотные остатки 507-778 (номер доступа в базе данных Uniprot Q92794-1) человеческого KAT6A, амплифицировали с помощью ПЦР и лигировали в модифицированный вектор экспрессии pET E.coli, предназначенный для кодирования метки растворимости NusA, за которой следует гексагистидиновая метка, сайт расщепления протеазой вируса гравировки табака (TEV) и последовательность KAT6A. Полученная последовательность белка приведена ниже.

MNKEILAVVEAVSNEKALPREKIFEALESALATATKKKYEQEIDVRVQIDRKSGDFDTFRRWLVVDEVTQPTKEITLEAARYEDESLNLGDYVEDQIESVTFDRITTQTAKQVIVQKVREAERAMVVDQFREHEGEIITGVVKKVNRDNISLDLGNNAEAVILREDMLPRENFRPGDRVRGVLYSVRPEARGAQLFVTRSKPEMLIELFRIEVPEIGEEVIEIKAAARDPGSRAKIAVKTNDKRIDPVGACVGMRGARVQAVSTELGGERIDIVLWDDNPAQFVINAMAPADVASIVVDEDKHTMDIAVEAGNLAQAIGRNGQNVRLASQLSGWELNVMTVDDLQAKHQAEAHAAIDTFTKYLDIDEDFATVLVEEGFSTLEELAYVPMKELLEIEGLDEPTVEALRERAKNALATIAQAQEESLGDNKPADDLLNLEGVDRDLAFKLAARGVCTLEDLAEQGIDDLADIEGLTDEKAGALIMAARNICWFGDEATSGSGHHHHHHSAGENLYFQGAMGRCPSVIEFGKYEIHTWYSSPYPQEYSRLPKLYLCEFCLKYMKSRTILQQHMKKCGWFHPPVNEIYRKNNISVFEVDGNVSTIYCQNLCLLAKLFLDHKTLYYDVEPFLFYVLTQNDVKGCHLVGYFSKEKHCQQKYNVSCIMILPQYQRKGYGRFLIDFSYLLSKREGQAGSPEKPLSDLGRLSYMAYWKSVILECLYHQNDKQISIKKLSKLTGICPQDITSTLHHLRMLDFRSDQFVIIRREKLIQDHMAKLQLNLRPVDVDPECLRWTP

Экспрессия белка. Для получения рекомбинантного белка KAT6A экспрессионную плазмиду трансформировали в штамм BL21 DE3 E. coli и выращивали при встряхивании при 37 °C в объеме 1 л бульона Terrific (TB) с добавлением 100 мкг/мл ампициллина до достижения показателя ОП600 равного 0,8. Выполняли перенос культур при 18 °C, индуцировали экспрессию белка добавлением изопропил-β-D-1-тиогалактопиранозида до конечной концентрации 0,5 мМ, и культуры встряхивали в течение ночи на протяжении следующих 16 часов. После экспрессии клеточные культуры центрифугировали при 5000 x g в течение 20 мин и клеточный осадок хранили замороженными при -20 °C.

Очистка белка. Очистку белка начинали с размораживания клеточного осадка (масса во влажном состоянии 40 г) в буфере для лизиса (25 мМ трис-HCl pH 7,8, 500 мМ NaCl, 5 мМ DTT, 0,01% [об./об.] тритон-X 100, 5% [об./об.] глицерина, 2 мМ MgCl2, 10 мМ имидазола, 0,5 мг/мл лизозима, бензоназная эндонуклеаза [EMD Millipore], 1 мМ PMSF, таблетки полного ингибитора протеазы без ЭДТА [Roche]) с использованием соотношения 5 мл буфера на 1 г клеток. Проводили дополнительный лизис клеток за 3 прохода (при давлении 15000 фунтов/кв.дюйм) через дробилку клеток Avestin C5, охлаждаемую льдом, и затем центрифугировали при 48000 x g при 4 °C. Супернатант (клеточный лизат) фильтровали через фильтр 5 мкм и наносили на 5 мл колонку HiTrap IMAC Sepharose FF (GE Healthcare) предварительно уравновешенную промывочным буфером IMAC (25 мМ трис-HCl pH 7,8, 500 мМ NaCl, 5 мМ DTT, 0,01% [об./об.] тритон-X 100, 5% [об./об.] глицерина, 20 мМ имидазола) с использованием системы очистки для аффинной хроматографии Profinia (Bio-Rad). Затем колонку IMAC промывали промывочным буфером IMAC, и связанный белок KAT6A элюировали буфером для элюирования IMAC (25 мМ трис-HCl pH 7,8, 500 мМ NaCl, 5% [об./об.] глицерина, 5 мМ DTT, 250 мМ имидазола). Элюированный буфером IMAC белок дополнительно очищали пропусканием через колонку HiLoad 26/60 Superdex 200, предварительно уравновешенную в буфере для хранения (25 мМ трис-HCl pH 7,8, 500 мМ NaCl, 5 мМ DTT, 5% [об./об.] глицерина). Наконец, белок KAT6A концентрировали до≤1 мг/мл с использованием центробежного фильтрующего устройства Amicon Ultra (Utra-15 MWCO 10 кДа), мгновенно замораживали в жидком азоте и хранили в морозильной камере с температурой -70 °C.

KAT6B приобретали в компании SignalChem, ИН по каталогу: K315-381BG

KAT7

Молекулярная биология. Кодон-оптимизированная последовательность ДНК, кодирующая аминокислотные остатки 325-611 (номер доступа в базе данных Uniprot O95251-1) KAT7 человека, была синтезирована в компании GenScript USA Inc (Пискатауэй, штат Нью-Джерси, США). Ее лигировали в модифицированный экспрессионный вектор pET43a E.coli, сконструированный для кодирования N-концевой гексагистидиновой метки, за ней следовали сайт расщепления протеазой вируса гравировки табака (TEV) и последовательность KAT7. Полученная последовательность белка приведена ниже.

MGHHHHHHGTENLYFQGSRLQGQITEGSNMIKTIAFGRYELDTWYHSPYPEEYARLGRLYMCEFCLKYMKSQTILRRHMAKCVWKHPPGDEIYRKGSISVFEVDGKKNKIYCQNLCLLAKLFLDHKTLYYDVEPFLFYVMTEADNTGCHLIGYFSKEKNSFLNYNVSCILTMPQYMRQGYGKMLIDFSYLLSKVEEKVGSPERPLSDLGLISYRSYWKEVLLRYLHNFQGKEISIKEISQETAVNPVDIVSTLQALQMLKYWKGKHLVLKRQDLIDEWIAKEAKRSNSNKTMDPSCLKWTPPKGTAS

Экспрессия белка. Для получения рекомбинантного белка KAT7 экспрессионную плазмиду трансформировали в штамм BL21 DE3 RIL E. coli и выращивали при встряхивании при 37 °C в объеме 1 л бульона Terrific (TB) с добавлением 100 мкг/мл ампициллина и 50 мкМ цинка до достижения показателя ОП600 равного 0,8. Выполняли перенос культур при 18 °C, индуцировали экспрессию белка добавлением изопропил-β-D-1-тиогалактопиранозида до конечной концентрации 0,5 мМ, и культуры встряхивали в течение ночи на протяжении следующих 16 часов. После экспрессии клеточные культуры центрифугировали при 5000 x g в течение 20 мин и клеточный осадок хранили замороженными при -20 °C.

Очистка белка. Очистку белка начинали с размораживания клеточного осадка (масса во влажном состоянии 10 г) в буфере для лизиса (50 мМ гепес, pH 7,5, 300 мМ NaCl, 5 мМ DTT, 5 мМ имидазола, 0,05% [об./об.] Brij 35, 10% [об./об.] глицерина, 3 мМ MgCl2, 0,5 мг/мл лизозима, бензоназная эндонуклеаза [EMD Millipore], 1 мМ PMSF, таблетки полного ингибитора протеазы без ЭДТА [Roche]) с использованием соотношения 10 мл буфера на 1 г клеток. Клетки подвергали дополнительному лизису с помощью обработки ультразвуком с использованием аппарата Misonix Liquid Processor (6 импульсов по 30 секунд, амплитуда 60 [70 Вт]), а затем центрифугировали при 48000 x g при 4 °C. Супернатант (клеточный лизат) инкубировали с 1 мл смолы для очистки cOmplete His-Tag Purification Resin (Roche), предварительно уравновешенной промывочным буфером IMAC 1 (25 мМ гепес pH 7,5, 800 мМ NaCl, 5 мМ имидазола, 10% [об./об.] глицерина, 5 мМ DTT, 0,01% [об./об.] Brij 35, 50 мМ аргинина, 50 мМ глютаминовой кислоты). Смолу последовательно промывали промывочным буфером IMAC 1 и промывочным буфером IMAC 2 (25 мМ гепес pH 7,5, 300 мМ NaCl, 20 мМ имидазола, 10% [об./об.] глицерина, 5 мМ DTT, 0,01% [об./об.] Brij 35, 50 мМ аргинина, 50 мМ глютаминовой кислоты). Связанный белок KAT7 элюировали буфером для элюирования IMAC (25 мМ гепес pH 7,5, 200 мМ NaCl, 500 мМ имидазола, 10% [об./об.] глицерина, 5 мМ DTT 0,01% [об./об.] Brij 35, 50 мМ аргинина, 50 мМ глютаминовой кислоты). Элюированный белок собирали непосредственно в 4 объема обессоливающего буфера (50 мМ цитрата Na, pH 6,5, 200 мМ NaCl, 0,01% [об./об.] Brij 35, 10% [об./об.] глицерина, 5 мМ DTT) с получением конечной концентрации имидазола до 100 мМ. Сразу же проводили обессоливание белка, элюированного IMAC, в обессоливающем буфере, используя последовательно 2 колонки для обессоливания HiPrep 26/10 (GE Healthcare). Обессоленный белок дополнительно очищали пропусканием через колонку HiLoad 26/60 Superdex 75, предварительно уравновешенную в буфере для хранения (50 мМ цитрата Na, pH 6,5, 200 мМ NaCl, 10% [об./об.] глицерина, 5 мМ DTT). Наконец, белок KAT7 концентрировали до 3,5 мг/мл с использованием центробежного фильтрующего устройства Amicon Ultra (Utra-15 MWCO 10 кДа), мгновенно замораживали в жидком азоте и хранили в морозильной камере с температурой -70 °C.

KAT8

Молекулярная биология. Кодон-оптимизированная последовательность ДНК (для экспрессии в E. coli), кодирующая аминокислотные остатки 177-447 (номер доступа в базе данных Uniprot Q9H7Z6-1) KAT8 человека была синтезирована в компании Thermo Fisher Scientific GENEART GmbH (Регенсберг, Германия). Ее лигировали в экспрессионный вектор pPROEX Hta E. coli, сконструированный для кодирования N-концевой гексагистидиновой метки, и за ней следовали сайт расщепления протеазой вируса гравировки табака (TEV) и последовательность KAT8. Полученная последовательность белка приведена ниже.

MSYYHHHHHHDYDIPTTENLYFQGAKYVDKIHIGNYEIDAWYFSPFPEDYGKQPKLWLCEYCLKYMKYEKSYRFHLGQCQWRQPPGKEIYRKSNISVYEVDGKDHKIYCQNLCLLAKLFLDHKTLYFDVEPFVFYILTEVDRQGAHIVGYFSKEKESPDGNNVACILTLPPYQRRGYGKFLIAFSYELSKLESTVGSPEKPLSDLGKLSYRSYWSWVLLEILRDFRGTLSIKDLSQMTSITQNDIISTLQSLNMVKYWKGQHVICVTPKLVEEHLKSAQYKKPPITVDSVCLKWAP*

Экспрессия белка. Для получения рекомбинантного белка KAT8 экспрессионную плазмиду трансформировали в штамм BL21 DE3 E. coli и выращивали при встряхивании при 37 °C в объеме 1 л бульона Terrific (TB) с добавлением 100 мкг/мл ампициллина до достижения показателя ОП600 равного 0,8. Выполняли перенос культур при 18 °C, индуцировали экспрессию белка добавлением изопропил-β-D-1-тиогалактопиранозида до конечной концентрации 0,5 мМ, и культуры встряхивали в течение ночи на протяжении следующих 16 часов. После экспрессии клеточные культуры центрифугировали при 5000 x g в течение 20 мин и клеточный осадок хранили замороженными при -20 °C.

Очистка белка. Очистку белка начинали с размораживания клеточного осадка (масса во влажном состоянии 34 г) в буфере для лизиса (20 мМ гепес pH 7,5, 500 мМ NaCl, 5 мМ имидазола, 5% [об./об.] глицерина, 0,01% [об./об.] тритон-Х 100, 5 мМ 2-меркаптоэтанола, 2 мМ MgCl2, 0,5 мг/мл лизозима, бензоназная эндонуклеаза [EMD Millipore], 1 мМ PMSF, таблетки полного ингибитора протеазы без ЭДТА [Roche]) с использованием соотношения 3 мл буфера на 1 г клеток. Проводили дополнительный лизис клеток за 3 прохода (при давлении 15000 фунтов/кв.дюйм) через дробилку клеток Avestin C5, охлаждаемую льдом, и затем центрифугировали при 48000 x g при 4 °C. Супернатант (клеточный лизат) фильтровали через фильтр 0,2 мкм и наносили на 5 мл колонку HiTrap IMAC Sepharose FF (GE Healthcare) предварительно уравновешенную промывочным буфером IMAC 1 (20 мМ гепес, pH 7,5, 500 мМ NaCl, 0,5 мМ TCEP, 5 мМ имидазола) с использованием системы очистки для аффинной хроматографии Profinia (Bio-Rad). Колонку IMAC последовательно промывали промывочным буфером IMAC 1 и промывочным буфером IMAC 2 (20 мМ гепес pH 7,5, 500 мМ NaCl, 0,5 мМ TCEP, 10 мМ имидазола) и элюировали связанный белок KAT8 буфером для элюирования IMAC (20 мМ гепес pH 7,5, 500 мМ NaCl, 0,5 мМ TCEP, 500 мМ имидазола). Элюированный буфером IMAC белок дополнительно очищали пропусканием через колонку HiLoad 26/60 Superdex 200, предварительно уравновешенную в буфере для хранения (20 мМ гепес pH 7,5, 500 мМ NaCl, 1 мМ TCEP). Наконец, белок KAT8 концентрировали до ≤0,2 мг/мл с использованием центробежного фильтрующего устройства Amicon Ultra (Utra-15 MWCO 10 кДа), мгновенно замораживали в жидком азоте и хранили в морозильной камере с температурой -70 °C.

Биохимический анализ ацетилтрансферазы

Для определения ингибирования ферментативной активности KAT испытываемыми соединениями проводили аналитические реакции в объеме 8 мкл в 384-луночных планшетах для анализа с низким объемом. Реакции проводили в буфере для анализа (100 мМ трис-HCl, pH 7,8, 15 мМ NaCl, 1 мМ EDTA, 0,01% твин-20, 1 мМ дитиотреитола, и 0,01% масс./об. альбумина куриного яичного белка).

Реакции проводили с использованием 1 мкМ ацетилкоэнзима А, 100 нМ полноразмерного рекомбинантного гистона, меченного ограниченным биотинилированием (KAT6A, KAT6B, KAT7: H3,1, KAT5, KAT8: H4), 10/ 5/ 8/ 40/ 20 нМ фермента KAT5/KAT6A/KAT6B/KAT7/KAT8 соответственно, и специфического антитела к ацетиллизину (H3,1: Cell Signaling Technology, H4: Abcam). Готовили 11 точечных серийных разведений испытываемых соединений в ДМСО; объем 100 нл переносили с помощью булавочного инструмента в аналитические планшеты, содержащие субстраты, после чего добавляли фермент для начала реакции. Положительные (без соединения, только ДМСО) и отрицательные (без АсСоА) контрольные реакции включали в те же планшеты и получали то же количество ДМСО, что и в лунках, обработанных соединением. После добавления всех реагентов планшеты закрывали клеящими пленками для планшетов и инкубировали 90 мин при комнатной температуре. Затем добавляли дополнительные 4 мкл буфера для анализа, содержащего гранулы акцептора белка AA lphaScreen® и гранулы донора стрептавидина (PerkinElmer, Уолтем, Массачусетс, США), до конечной концентрации 8 мкг/мл. После инкубации в течение 2 часов измеряли сигнал планшетов с использованием спектрофотометре для считывания планшетов с несколькими метками EnVision 2103 (PerkinElmer) в режиме HTS AlphaScreen®. Значения IC50 были получены из необработанных данных путем расчета процента ингибирования (% I) для каждой реакции по сравнению с контролями на том же планшете (%I=(I-CN)/(CP-CN), где CN/ CP представляют собой средние значения отрицательных/положительных реакций соответственно), затем выполняли аппроксимацию данных %I в сравнении с концентрацией соединения [I] к %I=(A+((B-A)/(1+((C/[I])^D)))), где A - нижняя асимптота, B - верхняя асимптота, C -значение IC50, а D - наклон.

Результаты представлены в таблицах 1-5 ниже:

Таблица 1 (TIP60-KAT5)

Пример IC50 (мкM) 1 > 125,000 2 > 125,000 3 = 65,106 4 = 35,221 5 = 114,325 6 = 94,934 7 > 125,000 8 > 125,000 9 = 40,976 10 = 93,664 11 > 125,000 12 > 125,000 13 = 119,896 14 > 125,000 15 = 7,294 16 = 30,179 17 = 27,659 18 = 118,055 19 = 64,983 20 = 81,458 21 > 125,000 22 = 38,877 23 = 72,865 24 > 125,000 25 = 120,445 26 > 125,000 27 > 125,000 28 > 125,000 29 > 125,000 30 > 125,000 31 > 125,000 32 = 56,003 33 = 90,452 34 > 125,000 35 = 33,836 36 = 38,979 37 > 125,000 38 = 80,086 39 > 125,000 40 = 121,024 41 = 65,079 42 = 11,568 43 = 23,002 44 = 60,208 45 = 34,341 46 > 125,000 47 = 123,081 48 = 92,895 49 = 74,577 50 > 125,000 51 = 87,660 52 > 125,000 53 > 125,000 54 > 125,000 55 > 125,000 56 > 125,000 57 > 125,000 58 > 125,000 59 > 125,000 60 > 125,000 61 = 85,401 62 > 125,000 63 > 125,000 64 > 125,000 65 > 125,000 66 = 123,371 67 = 114,876 68 > 125,000 69 = 124,236 70 = 36,766 71 = 28,431 72 > 125,000 73 = 2,161 74 = 8,132 75 = 33,535 76 = 2,578 77 = 51,770 78 > 125,000 79 = 17,451 80 = 10,913 81 = 31,488 82 = 8,247 83 = 17,898 84 = 50,464 85 = 28,466 86 = 97,635 88 > 125,000 89 = 5,785 90 = 90,684 91 = 2,183 92 = 1,387 93 = 53,063 94 = 124,242 95 = 13,967 96 = 28,640 97 = 6,181 98 = 31,286 99 = 9,699 100 = 51,711 101 = 98,204 102 = 9,330 103 = 69,326 104 = 28,112 105 > 125,000 106 = 14,254 107 = 74,084 108 = 41,946 109 = 69,262 110 > 125,000 111 = 26,608 112 = 16,494 113 = 4,836 114 = 59,355 115 = 23,660 116 = 10,463 117 > 125,000 118 = 37,082 119 = 8,726 120 = 5,781 121 = 29,010 122 = 58,591 123 = 59,355 124 = 27,879 125 > 125,000 126 = 51,346 127 = 49,699 128 = 6,301 129 = 18,536 130 > 125,000 131 = 69,740 132 = 53,030 133 = 45,717 134 = 51,523 135 = 4,788 136 > 125,000 137 = 14,209 138 = 5,115 139 = 34,292 140 = 47,841 141 > 125,000 142 = 32,183 143 > 125,000 144 = 11,487 145 = 20,967 146 = 21,951 147 > 125,000 148 > 125,000 149 > 125,000 150 = 50,012 151 > 125,000 152 = 38,945 153 = 4,055 154 = 25,313 155 = 0,672 156 > 125,000 157 > 125,000 158 > 125,000 159 > 125,000 160 = 46,217 161 > 125,000 162 = 13,954 163 > 125,000 164 > 125,000 165 > 125,000 166 = 3,093 167 = 32,157 168 = 3,415 169 = 63,197 170 = 4,826 171 = 4,374 172 = 9,070 173 = 4,050 174 = 1,833 175 = 43,215 176 = 5,670 177 = 7,082 178 = 7,535 179 = 32,129 180 = 25,476 181 = 23,827 182 = 65,635 183 = 33,231 184 > 125,000 185 > 125,000 186 = 84,702 187 = 65,279 188 = 69,912 189 = 31,983 190 = 19,884 191 = 68,651 192 = 29,888 193 = 53,125 194 = 37,844 195 = 16,708 196 = 95,399 197 > 125,000 198 = 73,654 199 = 14,892 200 = 4,733 201 = 21,848 202 = 110,730 203 = 74,251 204 = 4,565 205 = 3,729 206 = 6,361 207 = 4,605 208 = 28,461 209 = 28,674 210 > 125,000 211 = 7,931 212 = 9,302 213 > 125,000 214 > 125,000 215 > 125,000 216 = 123,671 217 > 125,000 218 > 125,000 219 > 125,000 220 > 125,000 221 > 125,000 222 = 26,758 223 > 125,000 224 > 125,000 225 > 125,000 226 = 80,348 227 > 125,000 228 = 124,363 229 > 125,000 230 > 125,000 231 > 125,000 232 > 125,000 233 > 125,000 234 = 10,877 235 = 9,044 236 = 10,055 237 > 125,000 238 > 125,000 239 = 17,373 240 = 122,168 241 = 26,350 242 = 27,314 243 = 18,076 244 = 30,172 245 = 57,554 246 = 27,066 247 = 96,592 248 = 9,331 249 = 69,187 250 = 12,220 251 = 46,983 252 = 101,708

Таблица 2 (MOZ-KAT6A)

Пример IC50 (мкM) 1 = 91,387 2 = 94,607 3 = 23,759 4 = 6,223 5 = 31,283 6 = 30,156 7 = 62,687 8 = 113,061 9 = 26,816 10 = 17,503 11 > 125,000 12 > 125,000 13 = 63,854 14 = 45,004 15 = 1,907 16 = 15,105 17 = 11,820 18 = 74,876 19 = 32,241 20 = 29,373 21 = 24,799 22 = 5,206 23 = 21,776 24 > 125,000 25 = 33,179 26 = 60,096 27 = 71,527 28 = 117,346 29 > 125,000 30 = 89,484 31 = 36,075 32 = 31,124 33 = 6,847 34 > 125,000 35 = 4,632 36 = 17,653 37 = 24,848 38 = 27,525 39 = 38,220 40 = 2,128 41 = 4,274 42 = 5,947 43 = 5,971 44 = 10,569 45 = 2,085 46 = 36,202 47 = 12,863 48 = 7,410 49 = 8,133 50 = 123,076 51 = 15,032 52 = 85,314 53 = 90,683 54 = 63,015 55 = 103,246 56 = 72,793 57 = 56,212 58 = 28,364 59 = 49,410 60 = 116,146 61 = 51,918 62 = 43,709 63 = 2,558 64 = 26,746 65 = 27,934 66 = 14,554 67 = 22,711 68 = 85,089 69 = 42,890 70 = 31,339 71 = 11,578 72 = 46,210 73 = 4,547 74 = 3,914 75 = 23,533 76 = 0,688 77 = 10,814 78 = 93,778 79 = 13,890 80 = 3,473 81 = 43,616 82 = 6,128 83 = 13,571 84 = 18,678 85 = 3,866 86 = 5,890 88 = 41,205 89 = 0,285 90 = 4,779 91 = 0,009 92 = 0,006 93 = 0,181 94 = 6,105 95 = 0,430 96 = 1,203 97 = 0,061 98 = 5,602 99 = 2,099 100 = 0,972 101 = 3,798 102 = 0,143 103 = 0,810 104 = 0,786 105 = 2,903 106 = 0,782 107 = 14,870 108 = 3,089 109 = 1,207 110 = 7,890 111 = 0,842 112 = 1,463 113 = 0,775 114 = 29,278 115 = 28,986 116 = 0,560 117 = 85,409 118 = 10,003 119 = 0,570 120 = 0,310 121 = 1,236 122 = 24,400 123 = 26,864 124 = 11,011 125 = 24,458 126 = 10,472 127 = 9,165 128 = 0,250 129 = 0,772 130 = 2,956 131 = 3,106 132 = 7,454 133 = 4,449 134 = 6,449 135 = 0,563 136 = 34,274 137 = 8,579 138 = 2,892 139 = 2,144 140 = 2,256 141 = 39,557 142 = 3,296 143 = 32,391 144 = 0,261 145 = 0,127 146 = 0,153 147 = 93,597 148 = 23,965 149 = 5,272 150 = 4,966 151 = 27,867 152 = 6,276 153 = 0,437 154 = 0,516 155 = 2,116 156 = 1,535 157 = 23,036 158 = 62,560 159 = 66,556 160 = 1,048 161 = 1,871 162 = 0,147 163 = 0,884 164 = 27,173 165 = 99,899 166 = 0,123 167 = 8,666 168 = 10,006 169 = 24,793 170 = 1,504 171 = 1,876 172 = 0,037 173 = 0,015 174 = 0,013 175 = 0,441 176 = 0,030 177 = 0,127 178 = 1,440 179 = 2,864 180 = 9,437 181 = 1,058 182 = 15,217 183 = 5,601 184 > 125,000 185 = 104,789 186 = 25,161 187 = 5,664 188 = 9,228 189 = 4,347 190 = 9,733 191 = 12,582 192 = 9,394 193 = 1,950 194 = 1,507 195 = 1,322 196 = 13,919 197 = 20,970 198 = 2,818 199 = 0,709 200 = 0,364 201 = 1,482 202 = 18,907 203 = 22,648 204 = 0,400 205 = 0,115 206 = 0,302 207 = 0,104 208 = 1,629 209 = 2,029 210 = 8,532 211 = 2,128 212 = 2,117 213 = 8,280 214 = 36,431 215 = 4,469 216 = 0,625 217 = 10,237 218 = 6,594 219 = 33,313 220 = 3,497 221 = 37,464 222 = 0,655 223 = 25,496 224 = 50,368 225 = 3,625 226 = 10,774 227 = 41,520 228 = 75,246 229 = 85,020 230 = 48,075 231 = 58,983 232 = 46,464 233 = 9,950 234 = 0,381 235 = 0,395 236 = 0,318 237 = 4,950 238 = 12,039 239 = 2,132 240 = 1,828 241 = 0,157 242 = 3,232 243 = 0,654 244 = 2,126 245 = 3,901 246 = 0,676 247 = 3,476 248 = 0,139 249 = 1,271 250 = 0,423 251 = 1,156 252 = 4,160

Таблица 3 (HBO-KAT7)

Пример IC50 (мкM) 1 = 53,948 2 = 15,521 3 = 23,243 4 = 5,168 5 = 6,011 6 = 6,277 7 = 14,175 8 > 125,000 9 = 8,418 10 = 54,053 11 = 60,488 12 = 49,922 13 = 63,834 14 = 15,174 15 = 1,456 16 = 9,635 17 = 14,575 18 = 34,064 19 = 36,094 20 = 41,258 21 = 25,506 22 = 6,300 23 = 23,893 24 = 33,854 25 = 41,948 26 = 34,465 27 = 32,121 28 = 54,786 29 = 94,098 30 = 11,481 31 = 53,590 32 = 14,923 33 = 11,409 34 = 31,493 35 = 8,748 36 = 26,267 37 = 114,461 38 = 6,698 39 = 10,116 40 = 19,929 41 = 11,845 42 = 8,384 43 = 12,914 44 = 10,794 45 = 6,833 46 = 74,439 47 = 29,419 48 = 54,767 49 = 77,831 50 > 125,000 51 = 28,277 52 > 125,000 53 > 125,000 54 > 125,000 55 > 125,000 56 > 125,000 57 > 125,000 58 = 16,607 59 > 125,000 60 > 125,000 61 > 125,000 62 = 70,618 63 = 60,060 64 = 105,707 65 = 59,720 66 = 113,991 67 > 125,000 68 > 125,000 69 = 94,149 70 = 32,029 71 = 21,593 72 = 11,413 73 = 0,508 74 = 1,665 75 = 5,748 76 = 0,937 77 = 12,022 78 > 125,000 79 = 4,059 80 = 1,129 81 = 6,726 82 = 1,496 83 = 3,792 84 = 20,038 85 = 1,769 86 = 1,981 88 = 7,509 89 = 0,168 90 = 18,889 91 = 0,079 92 = 0,060 93 = 2,799 94 = 16,059 95 = 0,754 96 = 4,265 97 = 0,444 98 = 3,411 99 = 5,739 100 = 2,240 101 = 32,782 102 = 0,568 103 = 5,928 104 = 3,132 105 = 63,160 106 = 3,977 107 = 11,732 108 = 2,038 109 = 4,067 110 = 17,497 111 = 4,536 112 = 3,014 113 = 0,914 114 = 41,609 115 = 95,520 116 = 1,435 117 > 125,000 118 = 0,852 119 = 1,146 120 = 0,503 121 = 5,211 122 = 4,122 123 = 4,198 124 = 13,017 125 = 85,834 126 = 28,884 127 = 9,487 128 = 0,618 129 = 1,318 130 = 21,712 131 = 23,780 132 = 11,785 133 = 5,342 134 = 27,644 135 = 1,426 136 = 28,316 137 = 6,558 138 = 3,683 139 = 10,043 140 = 9,895 141 = 24,336 142 = 1,165 143 = 7,883 144 = 0,286 145 = 0,259 146 = 0,511 147 > 125,000 148 = 36,783 149 = 9,432 150 = 8,039 151 = 25,571 152 = 9,866 153 = 0,507 154 = 3,128 155 = 0,248 156 = 1,975 157 = 15,514 158 = 44,862 159 = 37,620 160 = 1,577 161 = 2,506 162 = 0,969 163 = 13,103 164 = 61,638 165 = 30,654 166 = 0,328 167 = 6,854 168 = 36,401 169 = 8,646 170 = 0,982 171 = 0,292 172 = 0,426 173 = 0,169 174 = 0,031 175 = 5,949 176 = 0,138 177 = 0,021 178 = 0,482 179 = 13,481 180 = 1,759 181 = 5,137 182 = 15,608 183 = 4,480 184 = 30,983 185 = 60,714 186 = 47,092 187 = 21,961 188 = 40,080 189 = 8,016 190 = 18,459 191 = 1,576 192 = 24,230 193 = 15,518 194 = 6,872 195 = 4,963 196 = 23,280 197 = 45,687 198 = 6,951 199 = 0,632 200 = 0,678 201 = 0,773 202 = 54,375 203 = 23,360 204 = 3,045 205 = 0,936 206 = 0,626 207 = 0,257 208 = 4,654 209 = 1,054 210 = 6,539 211 = 0,917 212 = 1,048 213 = 20,519 214 > 125,000 215 = 16,630 216 = 3,106 217 = 18,406 218 = 6,444 219 = 60,688 220 = 11,008 221 = 63,721 222 = 1,422 223 = 43,526 224 > 125,000 225 = 31,135 226 = 37,985 227 = 63,139 228 > 125,000 229 = 115,218 230 = 109,417 231 > 125,000 232 > 125,000 233 = 17,872 234 = 3,739 235 = 0,820 236 = 1,070 237 = 18,016 238 = 94,180 239 = 3,003 240 = 10,198 241 = 2,510 242 = 1,785 243 = 0,720 244 = 1,113 245 = 2,761 246 = 0,478 247 = 5,897 248 = 0,375 249 = 0,889 250 = 0,050 251 = 0,473 252 = 1,303

Таблица 4 (MOF-KAT8)

Пример IC50 (мкM) 11 = 35,565 18 = 63,474 19 = 40,985 20 = 61,440 21 = 39,655 26 = 29,480 73 = 3,459 81 = 9,425 93 = 96,545 94 = 60,943 95 = 6,447 96 = 53,767 100 = 62,604 102 = 11,485 107 = 42,081 109 = 9,122 111 = 3,221 132 = 15,285 151 = 34,717 154 = 2,570 161 = 117,753 162 = 10,649 163 > 125,000 164 > 125,000 165 > 125,000 166 = 2,920 168 = 6,458 170 = 9,666 173 = 3,522 178 = 0,770 204 = 3,063 205 = 3,441 211 = 29,532 214 > 125,000 216 = 11,172 219 = 69,922 221 = 27,895 223 = 42,389 224 = 112,662 236 = 3,682

Таблица 5 (QKF-KAT6B)

Пример IC50 (мкM) 73 = 4,047 91 = 0,037 92 = 0,053 95 = 1,640 96 = 3,395 97 = 0,049 102 = 0,282 116 = 1,616 143 = 50,697 144 = 0,057 146 = 0,291 147 > 125,000 162 = 0,180 166 = 0,227 172 = 0,042 173 = 0,040 174 = 0,018 175 = 0,821 176 = 0,121 177 = 0,092 178 = 2,455 207 = 1,454

Анализ биомаркера ацетилирования гистона H3 лизина 23

Соединения испытывали на их способность ингибировать ацетилирование маркера гистона H3K23 в ходе следующего анализа:

Клеточную линию U2OS высевали с плотностью 9000 клеток на лунку в 96-луночные планшеты из материала оптического качества для культивирования тканей в среде RPMI и 10% фетальной бычьей сыворотке и оставляли для адгезии на 24 часа в стандартных условиях культивирования (37 градусов Цельсия, 5% СО2). В конце этого периода среду аспирировали. К среде добавляли разведения соединений, приготовленные в ДМСО, при этом лунки отрицательного контроля обрабатывали только ДМСО, а в лунки с положительным контролем со 100% ингибированием вносили соединение-сильный ингибитор (например cas 2055397-28-7, бензойная кислота, 3-фтор-5-(2-пиридинил)-, 2-[(2-фторфенил)сульфонил]гидразид) (Baell, J., Nguyen, H.N., Leaver, D.J., Cleary, B.L., Lagiakos, H.R., Sheikh, B.N., Thomas. T.J., Aryl sulfonohydrazides, WO2016198507A1, 2016) в концентрации 10 мкМ и переносили к клеткам 200 мкл. После инкубации в течение 24 часов клетки фиксировали 3,7% формальдегидом в забуференном фосфатом физиологическом растворе (ФБР) в течение 20 минут при комнатной температуре, промывали (5 раз по 5 минут) забуференным фосфатом физиологическим раствором, содержащим 0,1% твин 20, и блокировали блокирующим буфером Odyssey (LI-COR, Линкольн, штата Небраска, США), содержащим 0,1% TritonX100. Добавляли специфическое антитело к H3K23ac (Abcam ab177275) в блокирующем буфере Odyssey, содержащем 0,1% твин 20, и инкубировали в течение 16 часов при 4 градусах Цельсия. После промывания (как указано выше) добавляли вторичное антитело, меченное красителем Alexa 647 (Life Technologies) и Hoechst 33342 (1 мкг/мл, Sigma Aldrich), и инкубировали в течение 1 часа. Планшеты промывали, как описано ранее, и считывали на платформе для одновременной многопараметрической визуализации PerkinElmer Phenix. Используя конвейерный анализатор изображений Columbus, локализовали отдельные ядра, окрашенные красителем Hoechst 33342, и рассчитывали уровень ацетилирования по интенсивности в той же области, связанной с Alexa647. Полученную среднюю интенсивность на клетку преобразовывали непосредственно в процент ингибирования относительно контроля в том же планшете, и данные аппроксимировали с использованием четырехпараметрической логистической модели для определения концентрации 50% ингибирования (IC50).

Результаты представлены в таблице 6 ниже.

Таблица 6

Пример IC50 (мкM) 73 > 10,000 86 = 1,579 91 = 0,182 92 = 0,013 95 > 10,000 96 > 10,000 97 = 0,045 116 = 3,455 144 = 0,128 145 = 0,098 146 = 0,045 147 > 10,000 155 > 10,000 162 = 0,144 166 = 0,398 172 = 0,014 173 = 0,020 174 = 0,017 176 = 0,685 177 = 1,486 178 > 10,000 191 > 10,000 242 = 0,672 250 = 3,713

Анализ биомаркера ацетилирования гистона H3 лизина 14

Соединения испытывали на их способность ингибировать ацетилирование маркера гистона H3 лизина 14 в ходе следующего анализа:

Клеточную линию U2OS высевали с плотностью 3 000 клеток на лунку в 384-луночные планшеты из материала оптического качества для культивирования тканей в среде RPMI c добавлением 10% фетальной бычьей сыворотке и 10 мМ гепес. Клетки оставляли для адгезии на 24 часа в стандартных условиях культивирования (37 градусов Цельсия, 5% СО2). В конце этого периода клетки промывали бессывороточной средой. К бессывороточной среде добавляли разведения соединений, приготовленные в ДМСО, при этом лунки отрицательного контроля обрабатывали только ДМСО, а в лунки с положительным контролем со 100% ингибированием вносили соединение-сильный ингибитор (например (Z)-4-фтор-N-((3-гидроксифенил)сульфонил)-5-метил-[1,1'-бифенил]-3-карбогидразоновую кислоту) в концентрации 10 мкM. После инкубации в течение 24 часов клетки фиксировали 4% формальдегидом в ФБР в течение 15 минут при комнатной температуре, промывали забуференным фосфатом физиологическим раствором, содержащим 0,2% TritonX100 и 2% БСА. Добавляли специфическое антитело к H3K14ac (Cell Signalling Technologies) в блокирующем буфере и инкубировали в течение ночи при 4 градусах Цельсия. После промывания добавляли вторичное антитело, меченное красителем AlexaFluor 488 (ThermoFisher) и Hoechst 33342 (1 мкг/мл, Life Technologies), и инкубировали в течение 2 часов при комнатной температуре. Планшеты промывали и считывали на платформе для одновременной многопараметрической визуализации PerkinElmer Opera HCS. Используя конвейерный анализатор изображений Columbus, локализовали отдельные ядра, окрашенные красителем Hoechst 33342, и рассчитывали уровень ацетилирования по интенсивности в той же области, связанной с AlexaFluor 488. Полученную среднюю интенсивность на клетку преобразовывали в процент ингибирования относительно контроля в том же планшете, и данные аппроксимировали с использованием четырехпараметрической логистической модели для определения концентрации 50% ингибирования (IC50).

Результаты представлены в таблице 7 ниже.

Таблица 7

Пример IC50 (мкM) 73 = 12,451 74 = 31,675 75 > 40,000 80 = 11,511 82 = 12,600 89 = 3,957 91 = 0,874 92 = 0,703 95 = 9,089 97 = 1,093 102 = 3,686 144 = 2,954 145 = 3,383 146 = 2,304 147 > 40,000 155 = 26,130 162 = 1,527 163 = 20,356 166 = 3,686 171 = 2,574 172 = 1,453 173 = 0,533 174 = 0,068 176 = 1,071 177 = 0,135 178 = 3,068 191 = 17,835 211 > 40,000 212 = 10,347 218 > 40,000 236 > 40,000 250 = 3,482 252 = 24,719

Анализ биомаркера ацетилирования H2A.Z лизина 7

Соединения испытывали на их способность ингибировать ацетилирование маркера гистона H2A.Z лизина 7 в ходе следующего анализа:

Клеточную линию U2OS высевали с плотностью 3 000 клеток на лунку в 384-луночные планшеты из материала оптического качества для культивирования тканей в среде RPMI c добавлением 10% фетальной бычьей сыворотке и 10 мМ гепес. Клетки оставляли для адгезии на 24 часа в стандартных условиях культивирования (37 градусов Цельсия, 5% СО2). В конце этого периода клетки промывали бессывороточной средой. К бессывороточной среде добавляли разведения соединений, приготовленные в ДМСО, при этом лунки отрицательного контроля обрабатывали только ДМСО, а в лунки с положительным контролем со 100% ингибированием вносили энантиомер 1 соединения-сильного ингибитора 7-йод-N-(2-(оксазол-2-ил)-2-фенилэтил)-2H-бензо[e][1,2,4]тиадиазин-3-карбоксамид-1,1-диоксида, которое представляет собой соединение 146 из одновременно находящейся на рассмотрении патентной заявки GB1713962,7, поданной 31 августа 2018 г., в концентрации 30 мкM. После инкубации в течение 24 часов клетки фиксировали 4% формальдегидом в ФБР в течение 15 минут при комнатной температуре, промывали забуференным фосфатом физиологическим раствором, содержащим 0,2% TritonX100 и 2% БСА. Добавляли специфическое антитело к H2A.ZK7ac (Abcam) в блокирующем буфере и инкубировали в течение ночи при 4 градусах Цельсия. После промывания добавляли вторичное антитело, меченное красителем AlexaFluor 488 (ThermoFisher) и Hoechst 33342 (1 мкг/мл, Life Technologies), и инкубировали в течение 2 часов при комнатной температуре. Планшеты промывали и считывали на платформе для одновременной многопараметрической визуализации PerkinElmer Opera HCS. Используя конвейерный анализатор изображений Columbus, локализовали отдельные ядра, окрашенные красителем Hoechst 33342, и рассчитывали уровень ацетилирования по интенсивности в той же области, связанной с AlexaFluor 488. Полученную среднюю интенсивность на клетку преобразовывали в процент ингибирования относительно контроля в том же планшете, и данные аппроксимировали с использованием четырехпараметрической логистической модели для определения концентрации 50% ингибирования (IC50).

Результаты представлены в таблице 8 ниже.

Таблица 8

Пример IC50 (мкM) 73 = 36,725 89 = 19,816 91 = 8,022 92 = 4,619 95 > 40,000 97 = 27,988 102 > 40,000 144 = 18,752 145 > 40,000 146 = 15,065 147 > 40,000 155 > 40,000 162 = 29,540 166 = 33,304 168 > 40,000 172 = 29,159 173 = 26,225 174 = 1,544 176 = 7,612 177 = 1,088 178 = 5,589 191 > 40,000 234 > 40,000 236 > 40,000 250 = 13,197 252 > 40,000

Заявляется:

1. Соединение формулы (I) или его фармацевтически приемлемая соль для применения в способе терапии:

(I)

где R1, R2, R3 и R4 независимо выбраны из:

(i) H;

(ii) C1-3 алкила, необязательно замещенного:

гидрокси,

C1-2 алкокси, необязательно замещенного одной или более фторогруппами,

NH2,

фенилом,

C5-6 гетероарилом,

C1-4 алкилкарбамоилом,

ациламидо или

одной или более фторогруппами;

(iii) C1-3 алкокси, необязательно замещенного C3-6 циклоалкилом или одной или более фторогруппами;

(iv) C3-6 циклоалкила;

(v) галогена;

(vi) CORC, где RC выбран из NRN1RN2, где RN1 и RN2 независимо выбраны из H и метила;

(vii) циано, NH2 или NO2; и

(viii) фенила или C5-6 гетероарила, необязательно замещенного метилом, циано, гидрокси или метокси;

Ar представляет собой фенильную, нафтильную или C5-10 гетероарильную группу, причем группы необязательно замещены одной или более группами, выбранными из:

(i) C1-4 алкила, необязательно замещенного гидрокси, C1-2 алкокси, NH2, C1-4 алкилкарбамоилом или одной или более фторогруппами;

(ii) C3-6 циклоалкила;

(iii) гидрокси; циано; NRN3RN4, где RN3 и RN4 независимо выбраны из H и метила; или ациламидо;

(iv) галогена;

(v) C1-3 алкокси, необязательно замещенного гидрокси, C(O)NH2, C3-6 циклоалкилом, фенилом, C5-6 гетероарилом или одной или более фторогруппами;

(vi) фенокси, необязательно замещенного фтором;

(vii) фенила или C5-6 гетероарила;

(viii) SF5 или SO2CH3;

(ix) -(CH2)n-Y-, где Y представляет собой O или CH2 и n равно 2 или 3; или

(x) сложного эфира C1-4 алкила.

2. Соединение для применения по п. 1, отличающееся тем, что по меньшей мере один из R1, R2, R3 и R4 представляет собой H.

3. Соединение для применения по любому из пп. 1 или 2, отличающееся тем, что один из R1, R2, R3 и R4 представляет собой H.

4. Соединение для применения по любому из пп. 1 или 2, отличающееся тем, что два из R1, R2, R3 и R4 представляют собой H.

5. Соединение для применения по любому из пп. 1 или 2, отличающееся тем, что три из R1, R2, R3 и R4 представляют собой H.

6. Соединение для применения по любому из пп. 1 или 2, отличающееся тем, что по меньшей мере один из R1, R2, R3 и R4 не представляет собой H.

7. Соединение для применения по любому из пп. 1-6, отличающееся тем, что по меньшей мере один из R1, R2, R3 и R4 представляет собой C1-3 алкил, необязательно замещенный:

гидрокси,

C1-2 алкокси, необязательно замещенного одной или более фторогруппами,

NH2,

фенилом,

C5-6 гетероарилом,

C1-4 алкилкарбамоилом,

ациламидо или

одной или более фторогруппами.

8. Соединение для применения по п. 7, отличающееся тем, что C1-3 алкильная группа является незамещенной.

9. Соединение для применения по п. 7, отличающееся тем, что C1-3 алкильная группа является перфторированной.

10. Соединение для применения по п. 7, отличающееся тем, что C1-3 алкильная группа замещена группой, выбранной из:

(i) гидрокси;

(ii) C1-2 алкокси;

(iii) NH2;

(iv) фенила;

(v) C5-6 гетероарила;

(vi) C1-4 алкилкарбамоила; и

(vii) ациламидо.

11. Соединение для применения по любому из пп. 1-10, отличающееся тем, что по меньшей мере один из R1, R2, R3 и R4 представляет собой C1-3 алкокси, необязательно замещенный C3-6 циклоалкилом или одной или более фторогруппами.

12. Соединение для применения по п. 11, отличающееся тем, что C1-3 алкокси-группа является незамещенной.

13. Соединение для применения по п. 11, отличающееся тем, что C1-3 алкокси-группа является перфторированной.

14. Соединение для применения по п. 11, отличающееся тем, что C1-3 алкокси-группа замещена C3-6 циклоалкилом.

15. Соединение для применения по любому из пп. 1-14, отличающееся тем, что по меньшей мере один из R1, R2, R3 и R4 представляет собой C3-6 циклоалкил.

16. Соединение для применения по п. 15, отличающееся тем, что C3-6 циклоалкильная группа представляет собой циклопропил.

17. Соединение для применения по любому из пп. 1-16, отличающееся тем, что по меньшей мере один из R1, R2, R3 и R4 представляет собой галоген.

18. Соединение для применения по любому из пп. 1-17, отличающееся тем, что по меньшей мере один из R1, R2, R3 и R4 представляет собой CORC, причем RC выбран из NRN1RN2, при этом RN1 и RN2 независимо выбраны из H и метила.

19. Соединение для применения по любому из пп. 1-18, отличающееся тем, что по меньшей мере один из R1, R2, R3 и R4 выбран из циано, NH2 и NO2.

20. Соединение для применения по п. 19, отличающееся тем, что по меньшей мере один из R1, R2, R3 и R4 представляет собой циано.

21. Соединение для применения по п. 19, отличающееся тем, что по меньшей мере один из R1, R2, R3 и R4 представляет собой NH2.

22. Соединение для применения по п. 19, отличающееся тем, что по меньшей мере один из R1, R2, R3 и R4 представляет собой NO2.

23. Соединение для применения по любому из пп. 1-22, отличающееся тем, что по меньшей мере один из R1, R2, R3 и R4 представляет собой фенил или C5-6 гетероарил, необязательно замещенный метилом, циано, гидрокси или метокси.

24. Соединение для применения по п. 23, отличающееся тем, что по меньшей мере один из R1, R2, R3 и R4 представляет собой фенил, необязательно замещенный метилом или метокси.

25. Соединение для применения по п. 23, отличающееся тем, что по меньшей мере один из R1, R2, R3 и R4 представляет собой C5-6 гетероарил, необязательно замещенный одной или более метильными группами.

26. Соединение для применения по п. 1, отличающееся тем, что R4 представляет собой метокси, R2 представляет собой CH2OCH3 или CH2OCH2CH3 и R1 и R3 представляют собой H.

27. Соединение для применения по п. 1, отличающееся тем, что R4 представляет собой метокси, R2 представляет собой фенил, необязательно замещенный метилом или метокси, и R1 и R3 представляют собой H.

28. Соединение для применения по п. 1, отличающееся тем, что R4 представляет собой метокси, R2 представляет собой C5-6 гетероарил, необязательно замещенный метилом.

29. Соединение для применения по п. 1, отличающееся тем, что R4 представляет собой метокси, R2 представляет собой C6 гетероарил, необязательно замещенный метилом.

30. Соединение для применения по п. 1, отличающееся тем, что R4 представляет собой метокси, и R1, R2 и R3 представляют собой H.

31. Соединение для применения по п. 1, отличающееся тем, что R4 представляет собой хлор, R2 представляет собой C1-3 алкил или бром, и R1 и R3 представляют собой H.

32. Соединение для применения по п. 1, отличающееся тем, что R4 представляет собой хлор, и R1, R2 и R4 представляют собой H.

33. Соединение для применения по п. 1, отличающееся тем, что R3 представляет собой C1-3 алкил, и R1, R2 и R4 представляют собой H.

34. Соединение для применения по любому из пп. 1-33, отличающееся тем, что Ar представляет собой фенил, который может быть незамещенным или замещенным.

35. Соединение для применения по любому из пп. 1-33, отличающееся тем, что Ar представляет собой нафтил, который может быть незамещенным или замещенным.

36. Соединение для применения по любому из пп. 1-33, отличающееся тем, что Ar представляет собой замещенный фенил.

37. Соединение для применения по любому из пп. 1-33, отличающееся тем, что Ar представляет собой C5-10 гетероарильную группу, которая может быть незамещенной или замещенной.

38. Соединение для применения по п. 37, отличающееся тем, что C5-10 гетероарильная группа выбрана из: хинолинила, бензотиазолила, хиноксалинила, бензооксадиазолила, бензотиадиазолила, бензофурана и бензотриазолила.

39. Соединение для применения по п. 37, отличающееся тем, что C5-10 гетероарильная группа представляет собой хинолинил или бензотиазолил.

40. Соединение для применения по любому из пп. 1-33, отличающееся тем, что Ar представляет собой группу:

.

41. Соединение для применения по любому из пп. 33-39, отличающееся тем, что Ar замещен C1-4 алкилом, необязательно замещенным гидроксид, C1-2 алкокси, NH2, C1-4 алкилкарбамоилом или одной или более фторогруппами.

42. Соединение для применения по п. 41, отличающееся тем, что C1-4 алкильная группа является незамещенной.

43. Соединение для применения по п. 41, отличающееся тем, что C1-4 алкильная группа является перфторированной.

44. Соединение для применения по п. 41, отличающееся тем, что C1-4 алкильная группа замещена группой, выбранной из:

(i) гидрокси;

(ii) C1-2 алкокси;

(iii) NH2; и

(iv) C1-4 алкилкарбамоила.

45. Соединение для применения по любому из пп. 33-39, отличающееся тем, что Ar замещен C3-6 циклоалкилом.

46. Соединение для применения по п. 45, отличающееся тем, что C3-6 циклоалкильная группа представляет собой циклогексил.

47. Соединение для применения по любому из пп. 33-39, отличающееся тем, что Ar замещен гидрокси; циано; NRN3RN4, где RN3 и RN4 независимо выбраны из H и метила; или ациламидо.

48. Соединение для применения по п. 47, отличающееся тем, что заместитель представляет собой гидрокси.

49. Соединение для применения по п. 47, отличающееся тем, что заместитель представляет собой циано.

50. Соединение для применения по п. 47, отличающееся тем, что заместитель представляет собой NRN3RN4, где RN3 и RN4 независимо выбраны из H и метила.

51. Соединение для применения по п. 47, отличающееся тем, что заместитель представляет собой ациламидо.

52. Соединение для применения по любому из пп. 33-39, отличающееся тем, что Ar замещен галогеном.

53. Соединение для применения по любому из пп. 33-39, отличающееся тем, что Ar замещен C1-3 алкокси, необязательно замещенным гидрокси, C(O)NH2, C3-6 циклоалкилом, фенилом, C5-6 гетероарилом или одной или более фторогруппами.

54. Соединение для применения по п. 53, отличающееся тем, что C1-3 алкокси-группа является незамещенной.

55. Соединение для применения по п. 53, отличающееся тем, что C1-3 алкокси-группа является перфторированной.

56. Соединение для применения по п. 53, отличающееся тем, что C1-3 алкокси-группа замещена гидрокси.

57. Соединение для применения по п. 53, отличающееся тем, что C1-3 алкокси-группа замещена C(O)NH2.

58. Соединение для применения по п. 53, отличающееся тем, что C1-3 алкокси-группа замещена C3-6 циклоалкилом.

59. Соединение для применения по п. 53, отличающееся тем, что C1-3 алкокси-группа замещена фенилом.

60. Соединение для применения по п. 53, отличающееся тем, что C1-3 алкокси-группа замещена C5-6 гетероарилом.

61. Соединение для применения по любому из пп. 33-39, отличающееся тем, что Ar замещен фенокси, необязательно замещенным фтором.

62. Соединение для применения по п. 61, отличающееся тем, что Ar замещен фенокси.

63. Соединение для применения по п. 61, отличающееся тем, что Ar замещен OC6H4F.

64. Соединение для применения по любому из пп. 33-39, отличающееся тем, что Ar замещен фенилом или C5-6 гетероарилом.

65. Соединение для применения по п. 64, отличающееся тем, что Ar замещен фенилом.

66. Соединение для применения по п. 64, отличающееся тем, что Ar замещен C5-6 гетероарилом.

67. Соединение для применения по любому из пп. 33-39, отличающееся тем, что Ar замещен SF5 или SO2CH3.

68. Соединение для применения по п. 67, отличающееся тем, что Ar замещен SF5.

69. Соединение для применения по п. 67, отличающееся тем, что Ar замещен SO2CH3.

70. Соединение для применения по любому из пп. 33-39, отличающееся тем, что Ar замещен -(CH2)n-Y-, где Y представляет собой O или CH2, и n равно 2 или 3.

71. Соединение для применения по п. 70, в котором Ar представляет собой фенил.

72. Соединение для применения по любому из пп. 33-39, отличающееся тем, что Ar замещен сложным эфиром C1-4 алкила.

73. Соединение для применения по п. 72, в котором Ar замещен C(O)OCH3.

74. Соединение для применения по п. 72, в котором Ar замещен C(O)OC(CH3)3.

75. Соединение для применения по любому из пп. 1-33 и 41-74, отличающееся тем, что Ar представлен формулой (Ar-1):

(Ar-1)

где Y представляет собой N или C-RA4, и Z представляет собой N или C-RA5; и

RA1, RA2, RA3, RA4 (если присутствует) и RA5 (если присутствует) независимо выбраны из H и необязательных заместителей Ar.

76. Соединение для применения по п. 75, отличающееся тем, что RA2 представляет собой этил.

77. Соединение для применения по п. 75, отличающееся тем, что RA3 выбран из циклоалкила; фенокси; фенила; C5-6 гетероарила; SF5; и SO2CH3.

78. Соединение для применения по любому из пп. 1-33, отличающееся тем, что Ar представляет собой 5-этил-2-метоксифенил.

79. Соединение для применения по любому из пп. 1-33, отличающееся тем, что Ar представляет собой 5-CF3-2-метоксифенил.

80. Соединение для применения по любому из пп. 1-33, отличающееся тем, что Ar представляет собой 2,6-диметоксифенил.

81. Соединение для применения по п. 1 при условии, что когда:

R1, R2, R3 и R4 представляют собой H,

Ar не является 4-аминофенилом.

82. Фармацевтическая композиция, содержащая соединение согласно определению, представленному в любом из пп. 1-81, и фармацевтически приемлемое вспомогательное вещество.

83. Способ лечения онкологического заболевания, включающий введение пациенту, нуждающемуся в лечении, соединения согласно определению, представленному в любом из пп. 1-81, или фармацевтической композиции по п. 82.

84. Способ по п. 83, отличающийся тем, что соединение вводят одновременно или последовательно с лучевой терапией и/или химиотерапией.

85. Применение соединения согласно определению, представленному в любом из пп. 1-81, в производстве лекарственного средства для лечения онкологического заболевания.

86. Соединение согласно определению, представленному в любом из пп. 1-81, или фармацевтическая композиция по п. 82 для применения в лечении онкологического заболевания.

87. Соединение или фармацевтическая композиция по п. 86, отличающиеся тем, что лечение предназначено для одновременного или последовательного применения с лучевой терапией и/или химиотерапией.

88. Соединение согласно определению, представленному в любом из пп. 1-81, или его фармацевтическая соль.

89. Соединение по п. 88, отличающееся тем, что по меньшей мере один из R1, R2, R3 и R4 не представляет собой H.

90. Соединение по п. 89, отличающееся тем, что R3 не представляет собой CF3.

91. Соединение по п. 89, отличающееся тем, что R3 не представляет собой замещенный C1-3 алкил.

92. Соединение по п. 89, отличающееся тем, что R3 представляет собой этил или пропил.

93. Соединение по п. 89, отличающееся тем, что R3 не представляет собой C1-3 алкил, необязательно замещенный гидрокси, C1-2 алкокси, NH2, фенилом, C5-6 гетероарилом, C1-4 алкилкарбамоилом, ациламидо или одной или более фторогруппами.

94. Соединение по п. 88, отличающееся тем, что R4 представляет собой метокси.

95. Соединение по п. 88, отличающееся тем, что R4 представляет собой Cl, и R1, R2 и R3 представляют собой H.

96. Соединение по п. 88, отличающееся тем, что R4 представляет собой Cl, и R2 представляет собой C1-3 алкил или бром, и R1 и R3 представляют собой H.

97. Соединение по п. 88, отличающееся тем, что R3 представляет собой C1-3 алкил, и R1, R2 и R4 представляют собой H.

98. Соединение по п. 88 при условии, что когда:

R1, R2 и R3 представляют собой H и R4 представляет собой метокси,

Ar не является незамещенным нафтилом.

99. Соединение по п. 88 при условии, что когда:

R1, R2, R3 и R4 представляют собой H,

Ar не является 2,4,6-триметилфенилом.

100. Соединение по п. 88 при условии, что когда:

R1, R2 и R4 представляют собой H и R3 представляет собой CF3,

Ar не является 2-(дифторметокси)фенилом.

101. Соединение по п. 88 при условии, что когда:

R1, R2, R3 и R4 представляют собой H,

Ar не является 4-фтор-3-метилфенилом.

102. Соединение для применения по п. 88 при условии, что когда:

R1, R2, R3 и R4 представляют собой H,

Ar не является 4-аминофенилом.

103. Способ синтеза соединения согласно определению, представленному в любом из пп. 88-102.

104. Соединение для применения по п. 1, отличающееся тем, что:

R1, R2, R3 и R4 независимо выбраны из:

(i) H;

(ii) C1-3 алкила, необязательно замещенного: гидрокси, C1-2 алкокси, NH2, фенилом, C5-6 гетероарилом, C1-4 алкилкарбамоилом, ациламидо или одной или более фторогруппами;

(iii) C1-3 алкокси, необязательно замещенного C3-6 циклоалкилом или одной или более фторогруппами;

(iv) C3-6 циклоалкила;

(v) галогена;

(vi) CORC, где RC выбран из NRN1RN2, где RN1 и RN2 независимо выбраны из H и метила;

(vii) циано, NH2, NO2;

(viii) фенила или C5-6 гетероарила, необязательно замещенного метилом, гидрокси или метокси;

Ar представляет собой фенильную, нафтильную или C5-10 гетероарильную группу, причем группы необязательно замещены одной или более группами, выбранными из:

(i) C1-4 алкила, необязательно замещенного гидрокси, C1-2 алкокси, NH2, C1-4 алкилкарбамоилом или одной или более фторогруппами;

(ii) C3-6 циклоалкила;

(iii) гидрокси; циано; NRN3RN4, где RN3 и RN4 независимо выбраны из H и метила; ациламидо;

(iv) галогена;

(v) C1-3 алкокси, необязательно замещенного гидрокси, C(O)NH2, C3-6 циклоалкилом, фенилом, C5-6 гетероарилом или одной или более фторогруппами;

(vi) фенокси, необязательно замещенного фтором;

(vii) фенила, C5-6 гетероарила;

(viii) SF5, SO2CH3;

(ix) -(CH2)n-Y-, где Y представляет собой O или CH2 и n равно 2 или 3.

105. Соединение для применения по п. 104, отличающееся тем, что по меньшей мере один из R1, R2, R3 и R4 не представляет собой H.

106. Соединение для применения по любому из пп. 104 или 105, отличающееся тем, что по меньшей мере один из R1, R2, R3 и R4 представляет собой C1-3 алкил, необязательно замещенный: гидрокси, C1-2 алкокси, NH2, фенилом, C5-6 гетероарилом, C1-4 алкилкарбамоилом, ациламидо или одной или более фторогруппами.

107. Соединение для применения по любому из пп. 104-106, отличающееся тем, что по меньшей мере один из R1, R2, R3 и R4 представляет собой C1-3 алкокси, необязательно замещенный C3-6 циклоалкилом или одной или более фторогруппами.

108. Соединение для применения по любому из пп. 104-107, отличающееся тем, что по меньшей мере один из R1, R2, R3 и R4 представляет собой C3-6 циклоалкил.

109. Соединение для применения по любому из пп. 104-108, отличающееся тем, что по меньшей мере один из R1, R2, R3 и R4 представляет собой галоген.

110. Соединение для применения по любому из пп. 104-109, отличающееся тем, что по меньшей мере один из R1, R2, R3 и R4 представляет собой CORC, причем RC выбран из NRN1RN2, при этом RN1 и RN2 независимо выбраны из H и метила.

111. Соединение для применения по любому из пп. 104-110, отличающееся тем, что по меньшей мере один из R1, R2, R3 и R4 выбран из циано, NH2 и NO2.

112. Соединение для применения по любому из пп. 104-111, отличающееся тем, что по меньшей мере один из R1, R2, R3 и R4 представляет собой фенил или C5-6 гетероарил, необязательно замещенный метилом, гидрокси или метокси.

113. Соединение для применения по п. 104, отличающееся тем, что:

(a) R4 представляет собой метокси, R2 представляет собой CH2OCH3 или CH2OCH2CH3 и R1 и R3 представляют собой H;

(b) R4 представляет собой метокси, R2 представляет собой фенил, необязательно замещенный метилом или метокси, и R1 и R3 представляют собой H;

(c) R4 представляет собой метокси, R2 представляет собой C5-6 гетероарил, необязательно замещенный метилом;

(d) R4 представляет собой метокси, и R1, R2 и R3 представляют собой H;

(e) R4 представляет собой хлор, R2 представляет собой C1-3 алкил или бром, и R1 и R3 представляют собой H;

(f) R4 представляет собой хлор и R1, R2 и R4 представляют собой H; или

(g) R3 представляет собой C1-3 алкил, и R1, R2 и R4 представляют собой H.

114. Соединение для применения по любому из пп. 104-113, отличающееся тем, что Ar представляет собой:

(a) фенил, который может быть замещенным или незамещенным;

(b) нафтил, который может быть замещенным или незамещенным; или

(c) C5-10 гетероарильную группу, которая может быть замещенной или незамещенной.

115. Соединение для применения по п. 114, отличающееся тем, что Ar замещен C1-4 алкилом, необязательно замещенным гидрокси, C1-2 алкокси, NH2, C1-4 алкилкарбамоилом или одной или более фторогруппами.

116. Соединение для применения по п. 114, отличающееся тем, что Ar замещен C3-6 циклоалкилом.

117. Соединение для применения по п. 114, отличающееся тем, что Ar замещен гидрокси; циано; NRN3RN4, где RN3 и RN4 независимо выбраны из H и метила; или ациламидо.

118. Соединение для применения по п. 114, отличающееся тем, что Ar замещен галогеном.

119. Соединение для применения по п. 114, отличающееся тем, что Ar замещен C1-3 алкокси, необязательно замещенным гидрокси, C(O)NH2, C3-6 циклоалкилом, фенилом, C5-6 гетероарилом или одной или более фторогруппами.

120. Соединение для применения по п. 114, отличающееся тем, что Ar замещен фенокси, необязательно замещенным фтором.

121. Соединение для применения по п. 114, отличающееся тем, что Ar замещен фенилом или C5-6 гетероарилом.

122. Соединение для применения по п. 114, отличающееся тем, что Ar замещен SF5 или SO2CH3.

123. Соединение для применения по п. 114, отличающееся тем, что Ar замещен -(CH2)n-Y-, где Y представляет собой O или CH2, и n равно 2 или 3.

124. Соединение для применения по любому из пп. 104-113, отличающееся тем, что Ar представлен формулой (Ar-1):

(Ar-1)

где Y представляет собой N или C-RA4, и Z представляет собой N или C-RA5; и

RA1, RA2, RA3, RA4 (если присутствует) и RA5 (если присутствует) независимо выбраны из H и необязательных заместителей Ar.

125. Соединение для применения по п. 124, отличающееся тем, что:

(a) RA2 представляет собой этил; или

(b) RA3 выбран из циклоалкила; фенокси; фенила; C5-6 гетероарила; SF5 и SO2CH3.

126. Соединение для применения по любому из пп. 104-113, отличающееся тем, что Ar представляет собой:

(a) 5-этил-2-метоксифенил;

(b) 5-CF3-2-метоксифенил; или

(c) 2,6-диметоксифенил.

127. Соединение согласно определению, представленному в любом из пп. 104-126, или его фармацевтическая соль.

128. Соединение по п. 127, отличающееся тем, что:

(a) по меньшей мере один из R1, R2, R3 и R4 не представляет собой H;

(b) R3 не представляет собой CF3;

(c) R3 не представляет собой замещенный C1-3 алкил;

(d) R3 представляет собой этил или пропил;

(e) R3 не представляет собой C1-3 алкил, необязательно замещенный гидрокси, C1-2 алкокси, NH2, фенилом, C5-6 гетероарилом, C1-4 алкилкарбамоилом, ациламидо или одной или более фторогруппами;

(f) R4 представляет собой метокси;

(g) R4 представляет собой Cl, и R1, R2 и R3 представляют собой H;

(h) R4 представляет собой Cl, и R2 представляет собой C1-3 алкил или бром, и R1 и R3 представляют собой H; или

(i) R3 представляет собой C1-3 алкил, и R1, R2 и R4 представляют собой H.

Список использованной литературы

Aggarwal and Calvi, Nature, 2004, 430, 372-376 doi:10.1038/nature02694

Avvakumov et al., Oncogene, 2007, 26, 5395-5407 doi:10.1038/sj.onc.1210608

Berge et al., J. Pharm. Sci., 1977, 66, 1-19 doi:10.1002/jps.2600660104

Borrow et al., Nat. Genet., 1996, 14, 33-41 doi:10.1038/ng0996-33

Dekker et al., Drug, Discov. Today, 2014, 19, 654-660 doi:10.1016/j.drudis.2013.11.012

Doyon et al., Mol. Cell., 2006, 21, 51-64 doi:10.1016/j.molcel.2005.12.007

Dhuban et al., Sci. Immunol., 2017, 2, 9297 doi:10.1126/sciimmunol.aai9297

Duong et al., Cancer Res., 2013, 73, 5556-5568 doi:10.1158/0008-5472.CAN-13-0013

Ghizzoni et al., Eur. J. Med. Chem., 2012, 47, 337-344 doi:10.1016/j.ejmech.2011.11.001

Gil et al., J. Proteomics, 2017, 150, 297-309 doi:10.1016/j.jprot.2016.10.003

Gobert, M. et al., Cancer Research, 2009, 69, 2000-2009 doi:10.1158/0008-5472.CAN-08-2360

Holbert et al., J. Biol. Chem., 2007, 282, 36603-36613 doi:10.1074/jbc.M705812200

Iizuka et al., Mol. Cell. Biol., 2006, 26, 1098-1108 doi:10.1128/MCB.26.3.1098-1108.2006

Iizuka et al., Cancer Sci., 2013, 104, 1647-1655 doi:10.1111/cas.12303

Jeong, et al., Blood Res 2016 51(3), 152-154 doi:10.5045/br.2016.51.3.152

Joshi, et al., Immunity 2015, 43, 579-590 doi:10.1016/j.immuni.2015.08.006

Li, B. et al., PNAS, 2007, 104, 4571-4576 doi:10.1073/pnas.0700298104

Melero, et al. Nature Reviews Cancer, 2015, 15, 457-472 doi:10.1038/nrc3973

Merson et al., J. Neurosci., 2006, 26, 11359-11370 doi:10.1523/JNEUROSCI.2247-06.2006

Miller, A.M. et al. J. Immunol., 2006, 177, 7398-7405 doi:10.4049/jimmunol.177.10.7398

Persa, E. et al. Cancer Letters, 2015 368(2), 252-261 doi:10.1016/j.canlet.2015.03.003

Sheikh et al., Blood, 2015, 125(12), 1910-21 doi:10.1182/blood-2014-08-594655

Shi et al, Nature Biotech, 2015, 33, 661-667 doi:10.1038/nbt.3235

Su et al., Int. J. Mol. Sci., 2016, 17, 1-18 doi:10.3390/ijms17101594

Stern et al., Crit. Rev. Oncol. Hematol., 2005, 54, 11-29 doi:10.1016/j.critrevonc.2004.10.011

Thomas et al., Development, 2000, 127, 2537-2548 PMID:10821753

Tao, H. et al., Lung Cancer, 2012, 75, 95-101 doi:10.1016/j.lungcan.2011.06.002

Turner-Ivey et al., Neoplasia, 2014, 16(8): 644-655 doi:10.1016/j.neo.2014.07.007

Valerio et al., Cancer Research, 2017, 77(7), 1753-62 doi:10.1158/0008-5472.CAN-16-2374

Vizmanos et al., Genes Chromosomes Cancer, 2003, 36(4), 402-405 doi:10.1002/gcc.10174

Voss et al., BioEssays, 2009, 31(10), 1050-1061 doi:10.1002/bies.200900051

Wang, L., et al. EBioMedicine, 2016, 13, 99-112 doi:10.1016/j.ebiom.2016.10.018

Wang, X. et al., Oncogene, 2017, 36, 3048-3058 doi:10.1038/onc.2016.458

Xiao, Y. et al., Cell reports, 2014, 7, 1471-1480 doi:10.1016/j.celrep.2014.04.021

Yan, M. et al., Breast Cancer Research, 2011, 13, R47 doi:10.1186/bcr2869

Zack et al., Nature Genetics 2013 45, 1134-1140 doi:10.1038/ng.2760

Zhang et al., Mini. Rev. Med. Chem., 2017, 17, 1-8 doi:10.2174/1389557516666160923125031

Похожие патенты RU2838187C2

название год авторы номер документа
ИНГИБИТОРНЫЕ СОЕДИНЕНИЯ 2013
  • Хелдер Свен
  • Благг Джулиан
  • Соланки Саваде
  • Вудуард Ханнах
  • Науд Себастьен
  • Баветсиас Вассилиос
  • Шелдрейк Питер
  • Инноченти Паоло
  • Чеунг Квай-Мин Дз.
  • Атраш Бетрас
RU2673079C2
ЗАМЕЩЕННЫЕ ПРОИЗВОДНЫЕ КАРБОНУКЛЕОЗИДА, ПРИМЕНЯЕМЫЕ В КАЧЕСТВЕ ПРОТИВОРАКОВЫХ АГЕНТОВ 2017
  • Кампф Роберт Арнольд
  • Макалпайн Индраван Джеймс
  • Мактиг Мишель Энн
  • Пэтман Райан
  • Жуй Юджин Яньцзинь
  • Тэтлок Джон Ховард
  • Тран-Дьюб Мишелль Бич
  • Уайтс Мартин Джеймс
RU2712944C1
СОЕДИНЕНИЯ И СПОСОБЫ УСИЛЕНИЯ ДЕГРАДАЦИИ БЕЛКОВ-МИШЕНЕЙ И ДРУГИХ ПОЛИПЕПТИДОВ С ПОМОЩЬЮ Е3 УБИКВИТИН ЛИГАЗЫ 2013
  • Круз Крейг М.
  • Бакли Деннис
  • Чулли Алессио
  • Йергенсен Уилльям
  • Гэрисс Питер С.
  • Ван Молле Инге
  • Густафсон Джеффри
  • Тхэ Хен-Соп
  • Мишель Жюльен
  • Хойер Дентин Уэйд
  • Рот Анке Г.
  • Харлинг Джон Дэвид
  • Смит Ян Эдвард Дэвид
  • Миах Афджал Хуссейн
  • Кампо Себастьян Андре
  • Ле Жоэлль
RU2666530C2
СОЕДИНЕНИЯ И СПОСОБЫ УСИЛЕНИЯ ДЕГРАДАЦИИ БЕЛКОВ-МИШЕНЕЙ И ДРУГИХ ПОЛИПЕПТИДОВ С ПОМОЩЬЮ E3 УБИКВИТИН ЛИГАЗЫ 2013
  • Круз Крейг М.
  • Бакли Деннис
  • Чулли Алессио
  • Йергенсен Уилльям
  • Гэрисс Питер С.
  • Ван Молле Инге
  • Густафсон Джеффри
  • Тхэ Хён-Соп
  • Мишель Жюльен
  • Хойер Дентин Уэйд
  • Рот Анке Г.
  • Харлинг Джон Дэвид
  • Смит Ян Эдвард Дэвид
  • Миах Афджал Хуссейн
  • Кампо Себастьян Андре
  • Ле Жоэлль
RU2781452C2
ИНГИБИТОРЫ КИНАЗЫ 2013
  • Алькара, Лилиан
  • Панчал, Терри Аарон
  • Дженнингз, Эндрю Стефен Роберт
  • Кридлэнд, Эндрю Питер
  • Харли, Кристофер
RU2637944C2
АНИЛИДЫ АМИНОКИСЛОТ В КАЧЕСТВЕ НИЗКОМОЛЕКУЛЯРНЫХ МОДУЛЯТОРОВ IL-17 2019
  • Дэк, Кевин Нил
  • Лян, Сифу
  • Ларсен, Могенс
  • Эндрюс, Марк
  • Йессиман, Алан Стюарт
  • Бурхардт, Миа Нёрресков
  • Джонсон, Патрик Стефен
  • Андерсен, Петер
  • Йергенсен, Ларс
RU2815505C2
БИЦИКЛИЧЕСКИЕ СОЕДИНЕНИЯ В КАЧЕСТВЕ ИНГИБИТОРОВ ВЗАИМОДЕЙСТВИЯ/АКТИВАЦИИ PD1/PD-L1 2019
  • Венкатешаппа, Чандреговда
  • Д А, Джеярадж
  • Пендяла, Муралидхар
  • Сиванандхан, Дханалакшми
  • Раджагопал, Сридхаран
RU2777980C2
ПРОИЗВОДНЫЕ НАФТИРИДИНА В КАЧЕСТВЕ АНТАГОНИСТОВ АЛЬФА V БЕТА 6 ИНТЕГРИНА ДЛЯ ЛЕЧЕНИЯ, В ЧАСТНОСТИ, ФИБРОЗНЫХ ЗАБОЛЕВАНИЙ 2015
  • Андерсон Нилл Эндрю
  • Кэмпбелл Ян Бакстер
  • Кэмпбелл-Кроуфорд Мэттью Говард Джеймс
  • Хэнкок Эшли Пол
  • Лемма Сибл
  • Макдоналд Саймон Джон Фосетт
  • Притчард Джон Мартин
  • Прокопиоу Панайетис Александроу
RU2692775C2
ИНГИБИТОРЫ ТРАНСГЛУТАМИНАЗЫ 2 (TG2) 2019
  • Кэмпбелл, Дэвид
  • Чепмен, Джастин
  • Чеунг, Муи, Х.
  • Дираймондо, Томас, Р.
  • Дюрон, Серджио, Г.
RU2781370C2
ИНГИБИТОРЫ МУТАЦИИ HER2 2022
  • Эллис, Брайан Дэниел
  • Хикен, Эрик Джеймс
  • Лэйрд, Эллен Рут
  • Лаззара, Николас Чарльз
  • Ньюхаус, Брэдли Джон
  • Паджк, Спенсер Филлип
  • Роузен, Рейчел Зоуи
  • Шелп, Расселл Эндрю
RU2834124C2

Реферат патента 2025 года СОЕДИНЕНИЯ

Изобретение относится к соединению формулы (I)

или его фармацевтически приемлемая соль, где: R1, R2, R3 и R4 независимо выбраны из: (i) H; (ii) C1-3 алкила, необязательно замещенного: гидрокси, C1-2 алкокси, NH2, фенилом, C5-6 гетероарилом, C1-4 алкилкарбамоилом, или ациламидо; (iii) C1-3 алкокси, необязательно замещенного C3-6 циклоалкилом или одной или более фторогруппами; (iv) C3-6 циклоалкила; (v) галогена; (vi) CORC, где RC выбран из NRN1RN2, где RN1 и RN2 независимо выбраны из H и метила; (vii) циано, NH2 или NO2; и (viii) фенила или C5-6 гетероарила, необязательно замещенного метилом, циано, гидрокси или метокси; Ar представляет собой фенил, необязательно замещенный одной или более группами, выбранными из: (i) C1-4 алкила, необязательно замещенного гидрокси, C1-2 алкокси, NH2, C1-4 алкилкарбамоилом или одной или более фторогруппами; (ii) C3-6 циклоалкила; (iii) гидрокси; циано; NRN3RN4, где RN3 и RN4 независимо выбраны из H и метила; или ациламидо; (iv) галогена; (v) C1-3 алкокси, необязательно замещенного гидрокси, C(O)NH2, C3-6 циклоалкилом, фенилом, C5-6 гетероарилом или одной или более фторогруппами; (vi) фенокси, необязательно замещенного фтором; (vii) фенила или C5-6 гетероарила; или (viii) SF5 или SO2CH3; и, где по меньшей мере один из R1, R2, R3 и R4 не представляет собой H и где C5-6 гетероарил имеет от 5 до 6 атомов в кольце, из которых от 1 до 3 атомов в кольце представляют собой гетероатомы, выбранные из атома азота, кислорода или серы, а также фармацевтической композиции, ингибирующей лизинацетилтрансферазу (KAT). Технический результат: получены новые соединения, ингибирующие активность одного или более KAT из семейства MYST, и могут быть применимы для лечения рака. 2 н. и 12 з.п. ф-лы, 17 табл., 252 пр.

Формула изобретения RU 2 838 187 C2

1. Соединение формулы (I)

(I)

или его фармацевтически приемлемая соль, где:

R1, R2, R3 и R4 независимо выбраны из:

(i) H;

(ii) C1-3 алкила, необязательно замещенного:

гидрокси,

C1-2 алкокси,

NH2,

фенилом,

C5-6 гетероарилом,

C1-4 алкилкарбамоилом, или

ациламидо;

(iii) C1-3 алкокси, необязательно замещенного C3-6 циклоалкилом или одной или более фторогруппами;

(iv) C3-6 циклоалкила;

(v) галогена;

(vi) CORC, где RC выбран из NRN1RN2, где RN1 и RN2 независимо выбраны из H и метила;

(vii) циано, NH2 или NO2; и

(viii) фенила или C5-6 гетероарила, необязательно замещенного метилом, циано, гидрокси или метокси;

Ar представляет собой фенил, необязательно замещенный одной или более группами, выбранными из:

(i) C1-4 алкила, необязательно замещенного гидрокси, C1-2 алкокси, NH2, C1-4 алкилкарбамоилом или одной или более фторогруппами;

(ii) C3-6 циклоалкила;

(iii) гидрокси; циано; NRN3RN4, где RN3 и RN4 независимо выбраны из H и метила; или ациламидо;

(iv) галогена;

(v) C1-3 алкокси, необязательно замещенного гидрокси, C(O)NH2, C3-6 циклоалкилом, фенилом, C5-6 гетероарилом или одной или более фторогруппами;

(vi) фенокси, необязательно замещенного фтором;

(vii) фенила или C5-6 гетероарила; или

(viii) SF5 или SO2CH3; и, где

по меньшей мере один из R1, R2, R3 и R4 не представляет собой H и где C5-6 гетероарил имеет от 5 до 6 атомов в кольце, из которых от 1 до 3 атомов в кольце представляют собой гетероатомы, выбранные из атома азота, кислорода или серы.

2. Соединение или соль для применения по п. 1, отличающиеся тем, что по меньшей мере один из R1, R2, R3 и R4 представляет собой C1-3 алкил, необязательно замещенный:

гидрокси,

C1-2 алкокси,

NH2,

фенилом,

C5-6 гетероарилом,

C1-4 алкилкарбамоилом, или

ациламидо.

3. Соединение или его фармацевтически приемлемая соль по любому из пп. 1, 2, отличающиеся тем, что по меньшей мере один из R1, R2, R3 и R4 представляет собой C1-3 алкокси, необязательно замещенный C3-6 циклоалкилом или одной или более фторогруппами.

4. Соединение или его фармацевтически приемлемая соль по любому из пп. 1-3, отличающиеся тем, что по меньшей мере один из R1, R2, R3 и R4 представляет собой

а) C3-6 циклоалкил;

b) CORC, причем RC выбран из NRN1RN2, при этом RN1 и RN2 независимо выбраны из H и метила;

c) циано, NH2 или NO2;

d) фенил или C5-6 гетероарил, необязательно замещенный метилом, гидрокси или метокси.

5. Соединение или его фармацевтически приемлемая соль по п. 1, отличающиеся тем, что:

(a) R4 представляет собой метокси, R2 представляет собой CH2OCH3 или CH2OCH2CH3, и R1 и R3 представляют собой H;

(b) R4 представляет собой метокси, R2 представляет собой фенил, необязательно замещенный метилом или метокси, и R1 и R3 представляют собой H;

(c) R4 представляет собой метокси, R2 представляет собой C5-6 гетероарил, необязательно замещенный метилом;

(d) R4 представляет собой метокси, и R1, R2 и R3 представляют собой H;

(e) R4 представляет собой хлор, R2 представляет собой C1-3 алкил или бром, и R1 и R3 представляют собой H; или

(f) R3 представляет собой C1-3 алкил, и R1, R2 и R4 представляют собой H.

6. Соединение или его фармацевтически приемлемая соль по любому из пп. 1-5, отличающиеся тем, что Ar замещен C1-4 алкилом, необязательно замещенным гидрокси, C1-2 алкокси, NH2, C1-4 алкилкарбамоилом или одной или более фторогруппами.

7. Соединение или его фармацевтически приемлемая соль по любому из пп. 1-5, отличающиеся тем, что Ar замещен C1-3 алкокси, необязательно замещенным гидрокси, C(O)NH2, C3-6 циклоалкилом, фенилом, C5-6 гетероарилом или одной или более фторогруппами.

8. Соединение или его фармацевтически приемлемая соль по любому из пп. 1-5, отличающиеся тем, что Ar замещен

а) C3-6 циклоалкилом;

b) гидрокси;

c) циано;

d) NRN3RN4, где RN3 и RN4 независимо выбраны из H и метила; или ациламидо;

e) фенокси, необязательно замещенным фтором;

f) фенилом или C5-6 гетероарилом;

g) SF5 или SO2CH3.

9. Соединение или его фармацевтически приемлемая соль по любому из пп. 1-5, отличающиеся тем, что Ar представляет собой:

(a) 5-этил-2-метоксифенил;

(b) 5-CF3-2-метоксифенил; или

(c) 2,6-диметоксифенил.

10. Фармацевтическая композиция ингибирующая лизинацетилтрансферазу (KAT), включающая эффективное количество соединения по любому из пп. 1-9 или его фармацевтически приемлемую соль, и фармацевтически приемлемое вспомогательное вещество.

11. Соединение или соль согласно любому из пп. 1-9 для использования в способе терапии для ингибирования лизинацетилтрансферазы (KAT).

12. Соединение или соль согласно любому из пп. 1-9 для применения в лечении рака, связанного с ингибированием лизинацетилтрансферазы (KAT).

13. Соединение или соль для применения по п. 12, где рак выбран из лейкоза, острого лимфоцитарного лейкоза, острого миелоидного лейкоза, хронического лимфоцитарного лейкоза, хронического миелоидного лейкоза, неходжкинской лимфомы, болезни Ходжкина, рака предстательной железы, рака легкого, меланомы, рака молочной железы, рака толстой и прямой кишки, рака толстой кишки, плоскоклеточной карциномы и рака желудка.

14. Соединение или соль для применения по п. 12, где соединение вводят одновременно или последовательно с лучевой терапией и/или химиотерапией.

Документы, цитированные в отчете о поиске Патент 2025 года RU2838187C2

ZSOFIA CZUDOR et al., Novel compounds with potent CDK9 inhibitory activity for the treatment of myeloma, BIOORGANIC & MEDICINAL CHEMISTRY LETTERS, v
Видоизменение прибора с двумя приемами для рассматривания проекционные увеличенных и удаленных от зрителя стереограмм 1919
  • Кауфман А.К.
SU28A1
Очаг для массовой варки пищи, выпечки хлеба и кипячения воды 1921
  • Богач Б.И.
SU4A1
Устройство для электрического видения на расстоянии 1924
  • Чернышев А.А.
SU769A1
TEIN P D et al., Discovery and structure-activity relationships of sulfonamide ETA-selective antagonists, JOURNAL OF MEDICINAL

RU 2 838 187 C2

Авторы

Стаппл, Пол, Энтони

Лагиакос, Хелен, Рейчел

Морроу, Бенджамин, Джозеф

Фойтцик, Ричард, Чарльз

Хемли, Кэтрин, Фай

Камерино, Мишель, Энг

Бозикис, Ильва, Элизабет, Бергман

Уолкер, Скотт, Реймонд

Даты

2025-04-11Публикация

2019-06-20Подача