СПОСОБ ПОВЫШЕНИЯ ИММУНОГЕННОСТИ БЕЛКОВОГО/ПЕПТИДНОГО АНТИГЕНА Российский патент 2024 года по МПК A61K39/00 A61P31/06 C07K16/12 

Описание патента на изобретение RU2830627C1

ОБЛАСТЬ ТЕХНИКИ

Настоящее изобретение относится к области иммуногенных композиций и более конкретно к способу улучшения иммуногенности белкового/пептидного антигена путем конъюгации белкового/пептидного антигена с сахаридом, что приводит к получению конъюгата гликопротеинового/пептидного антигена с повышенной иммуногенностью по сравнению с неконъюгированным белковым/пептидным антигеном. Более конкретно, он включает конъюгацию патогена, такого как антиген вирусного поверхностного белка или его фрагмент, с полисахаридом, в частности капсулярным полисахаридом Streptococcus pneumoniae. Конъюгат с повышенной иммуногенностью может использоваться для профилактики или лечения заболеваний, вызванных патогенами, в частности вызванных коронавирусами.

УРОВЕНЬ ТЕХНИКИ

Когда индивидуума подтипа позвоночного иммунизируют вакциной, в которой в качестве антигенных компонентов используют инфекционный микроорганизм, токсин, вирус или их субъединицы, вышеупомянутый антигенный компонент, экзогенное вещество для указанного индивидуума, будет вызывать или стимулировать иммунный ответ памяти против экзогенной молекулы в этом индивидууме, тем самым защищая индивидуума вторичным иммунным ответом от повреждения при повторном воздействии экзогенной молекулы.

Термин «антиген» означает экзогенное вещество, которое распознается (специфически связывается) антителом или рецептором Т-клеток, но не обязательно вызывает иммунный ответ. Экзогенное вещество, которое может распознаваться (специфически связываться) антителом или рецептором Т-клетки. и могут вызывать специфический иммунитет, называются «иммуногенными антигенами» или «иммуногенами».

Вакцины, в которых в качестве антигенов используют субъединицы инфекционных микроорганизмов, токсины, вирусы, т.е. клеточные структуры (бактерии или грибы) или части вирусов, являются неживыми вакцинами и широко используются из-за их безопасности. Однако способность субъединиц вызывать специфический иммунный ответ слаба, т.е. антиген слабо иммуногенен.

Традиционным средством повышения иммуногенности является добавление иммунных адъювантов. Новые средства усиления иммунного ответа все еще изучаются в идущих в настоящее время исследованиях. Одним из важных инструментов является повышение иммуногенности слабоиммуногенных антигенов путем конъюгации их с экзогенными макромолекулами-носителями, что успешно используется в течение десятилетий, например, вакцина против широко распространенного энцефалита, вакцина против Haemophilus influenzae b и вакцина против пневмонии, в которых очищенный капсульный полисахарид (капсульный полимер) объединяли с белком-носителем для получения более эффективной иммуногенной композиции (Schneerson и др. (1984) Infect. Immun. 45: 582-591). Обычно используемыми белками-носителями являются столбнячный токсоид, фрагмент С столбнячного токсоида, нетоксичные мутанты столбнячного токсоида, дифтерийный токсоид, CRM 197, другие нетоксичные мутанты дифтерийного токсоида [например, CRM176, CRM197, CRM228, CRM45 (Uchida и др. J. Biol. Chem. 218; 3838 3844, 1973); CRM9, CRM45, CRM02, CRM103 и CRM107, и другие мутанты. Эти полисахаридные антигены являются независимыми от тимоцитов антигенами, которые не вызывают клеточного иммунного ответа, поэтому не могут создать иммунную память, они не могут образовывать защитные антитела у детей или людей с ослабленным иммунитетом. Полисахаридный антиген конъюгируется с Т-клеточным эпитопом, несущим белок-носитель, затем конъюгат подвергается эндоцитозу и процессингу антигенпрезентирующими клетками или В-клетками, пептидный фрагмент белка-носителя экспонируется на клеточной поверхности, активируя хелперные Т-клетки и вызывая серию иммунных реакций для выработки защитных антител и создания иммунной памяти.

Однако о влиянии бактериальных полисахаридов на иммуногенность белковых/пептидных антигенов сообщалось редко. В US 5192540 А описаны вакцины, содержащие иммуногенный конъюгат белка наружной мембраны Haemophilus influenzae типа В массой 38000 или 40000 дальтон и окисленного полирибозо-рибитол-фосфатного полисахаридного фрагмента Haemophilus influenzae типа В, которые могут быть созданы для иммунизации против заболеваний, вызываемых Haemophilus influenzae типа В. Однако «конъюгированные вакцины согласно настоящему изобретению обладают высокой иммуногенностью на животных моделях. Их ответы антителами на PRP были значительно выше, чем ранее сообщалось. Конъюгированные вакцины также вызывают образование антител к основному белку (белок 38K или 40K) Haemophilus influenzae типа В».

В US 9296795 В описано применение иммуногенного конъюгата полисахарид-белок, содержащего полисахаридный антиген (или его олигосахаридный фрагмент, представляющий один или несколько антигенных эпитопов), полученного из госпитального патогена, в иммуногенной композиции, причем полисахарид был конъюгирован с белком-носителем стафилококкового поверхностного адгезина для того, чтобы вызвать ответ антителами на полисахаридный антиген и стафилококковый поверхностный белок-носитель адгезина. Так, «конъюгат, описанный в настоящем изобретении, обладает уникальным преимуществом, заключающимся в индукции продукции антител против полисахаридного антигена и векторного белка поверхностной адгезии, которые оба являются факторами вирулентности, и придания иммунитета к заболеваниям, вызываемым внутрибольничными патогенами». Другими словами, поверхностные адгезиновые белки сами по себе способны придавать организму иммунитет, а не просто выступать в качестве белков-носителей полисахаридных антигенов. «Титры антитела, специфичного к поверхностному адгезину, вызванного сшитым поверхностным адгезином, были аналогичны титрам неконъюгированного поверхностного адгезина (Фиг. 17-20). Это подтверждает, что антигенный эпитоп не изменяется при связывании белка поверхностного адгезина и СР».

В вышеупомянутых двух исследованиях авторы только сообщили, что белковые/пептидные антигены, конъюгированные с полисахаридами, могут вызывать продукцию антител, но не сообщалось об усилении их иммуногенности.

Новаторское открытие авторов настоящего изобретения включало усиление иммуногенности белковых/пептидных антигенов путем их конъюгации с сахаридами и образования конъюгатов гликопротеинового/пептидного антигена.

Изобретатели предполагают, что причина этого заключается в том, что белковые агрегаты стимулируют иммунный ответ организма и продуцируют антитела с большей готовностью, чем белковые мономеры. Кроме того, большинство рецепторов распознавания структур на поверхности антигенпрезентирующих клеток в иммунной системе животных связаны с сахаридами, а сахариды, продуцируемые бактериями, являются важным сигналом для стимуляции иммунной системы. Однако настоящее изобретение не связано только этой теорией.

КРАТКОЕ ОПИСАНИЕ

Один аспект настоящего изобретения относится к способу улучшения иммуногенности белкового/пептидного антигена, включающему образование конъюгата гликопротеинового/пептидного антигена путем конъюгации белкового/пептидного антигена с сахаридом.

В конкретном варианте осуществления настоящего изобретения, сахарид выбран из полисахарида, олигосахарида или моносахарида;

предпочтительно капсульного полисахарида Neisseria encephalitis, капсульного полисахарида Haemophilus influenzae b, капсульного полисахарида Streptococcus pneumoniae, капсульного полисахарида Staphylococcus aureus группы В, декстрана, маннана, крахмал, инулина, пектина, карбоксиметилкрахмала, хитозана и их производных; более предпочтительно капсульного полисахарида Streptococcus pneumoniae; наиболее предпочтительно капсульного полисахарида Streptococcus pneumoniae серотипа 14, капсульного полисахарида Streptococcus pneumoniae серотипа 6В и капсульного полисахарида Streptococcus pneumoniae серотипа 7F,

при этом белковый/пептидный антиген выбран из ассоциированного с патогеном белкового/пептидного антигена или ассоциированного с опухолью белкового/пептидного антигена,

при этом указанный патоген выбран из:

коронавируса, вируса иммунодефицита человека ВИЧ-1, вируса простого герпеса человека, цитомегаловируса, ротавируса, Вируса ЭБ, вируса ветряной оспы, вируса гепатита, респираторно-синцитиального вируса, вируса парагиппа, вируса кори, вируса эпидемического паротита, папилломавируса человека, флавивируса или вируса гриппа, Neisseria, Moraxella, Bordetella, Mycobacterium, включая Mycobacterium tuberculosis, Escherichia, включая энтеротоксигенную Escherichia coli; Salmonella, Listeria, Helicobacter, Staphylococcus, включая Staphylococcus aureus, Staphylococcus epidermidis; Borrelia, Chlamydia, включая Chlamydia trachomatis, Chlamydia pneumoniae; Plasmodium, включая Plasmodium falciparum; Toxoplasma, Candida;

предпочтительно белок/пептид ассоциирован с инвазией указанного патогена в хозяина;

более предпочтительно указанные выше патогены являются вирусами;

более предпочтительно указанные выше вирусы выбраны из вирусов Coronaviridae,

Paramyxoviridae, Orthomyxoviridae, Filoviridae или Flaviviridae, и

при этом опухоль выбрана из следующего:

В-крупноклеточная диффузная лимфома, фолликулярная лимфома, другие лимфомы, лейкемия, множественная миелома, мезотелиома, рак желудка, злокачественная рабдомиома, гепатоцеллюлярная карцинома, рак предстательной железы, рак молочной железы, рак желчного протока и желчного пузыря, рак мочевого пузыря, опухоль головного мозга, включая нейробластомы, опухоль оболочки нерва, глиома, глиобластома и астроцитома, рак шейки матки, рак толстой кишки, меланома, рак эндометрия, рак пищевода, рак головы и шеи, рак легких, рак носоглотки, рак яичников, рак поджелудочной железы, почечно-клеточный рак, рак прямой кишки, рак щитовидной железы, опухоль паращитовидной железы, опухоль матки и саркома мягких тканей.

В конкретном варианте осуществления настоящего изобретения, белковый/пептидный антиген представляет собой белок/пептид, содержащий вирусный антиген Coronaviridae; предпочтительно спайк-белок коронавируса; более предпочтительно субъединица S1 спайк-белка коронавируса; более предпочтительно участок RBD рецептора связывания спайк-белка коронавируса; или фрагмент или вариант с иммуногенностью всех перечисленных выше белковых/пептидных антигенов.

В конкретном варианте осуществления настоящего изобретения, коронавирус представляет собой SARS-CoV-2 или ближневосточный респираторный синдром коронавируса.

В конкретном варианте осуществления настоящего изобретения, белковый/пептидный антиген представляет собой химерный белок указанного ранее антигена с другим белком или пептидом.

Предпочтительно, указанный химерный белок выбран из SARS-CoV-2 RBD-mFc; или SARS-CoV-2 RBD-his; или MERS-COV RBD-his; и

Fc представляет собой предпочтительно Fc фрагмент IgG, более предпочтительно Fc фрагмент IgG человека или мыши.

В конкретном варианте осуществления настоящего изобретения, белковый/пептидный антиген включает последовательность, приведенную в любом из SEQ ID NO: 1, SEQ ID NO: 2, SEQ ID NO: 3.

В конкретном варианте осуществления настоящего изобретения, конъюгат глико-белкового/пептидного антигена имеет молекулярную массу 400-14000 кДа.

В конкретном варианте осуществления настоящего изобретения, белковый/пептидный антиген представляет собой белок/пептид, содержащий вирусный антиген Paramyxoviridae;

предпочтительно область связывания рецептора гликопротеина парамиксовируса; предпочтительно гликопротеин F, гликопротеин G парамиксовируса; или фрагмент или вариант с иммуногенностью всех перечисленных выше белковых/пептидных антигенов.

В конкретном варианте осуществления настоящего изобретения, вирус Paramyxoviridae представляет собой респираторно-синцитиальный вирус человека.

В конкретном варианте осуществления настоящего изобретения, белковый/пептидный антиген представляет собой химерный белок упомянутого ранее антигена с другим белком или пептидом; предпочтительно химерный белок представляет собой RSV-gpG-his.

В конкретном варианте осуществления настоящего изобретения белковый/пептидный антиген включает последовательность, приведенную в SEQ ID NO: 4 и/или SEQ ID NO: 12.

В конкретном варианте осуществления настоящего изобретения, белковый/пептидный антиген представляет собой белок/пептид, содержащий вирусный антиген Orthomyxoviridae;

предпочтительно область связывания рецептора гликопротеина ортомиксовируса; предпочтительно белок гемагглютинин (НА) и/или белок нейраминидазы (NA); или фрагмент или вариант с иммуногенностью всех перечисленных выше белковых/пептидных антигенов.

В конкретном варианте осуществления настоящего изобретения, ортомиксовирус представляет собой вирус гриппа В и/или вирус гриппа A H5N1.

В конкретном варианте осуществления настоящего изобретения, белковый/пептидный антиген представляет собой химерный белок упомянутого ранее антигена с другим белком или пептидом,

предпочтительно указанный химерный белок представляет собой Flu-B-HA1-his или H5N1-HA-his.

В конкретном варианте осуществления настоящего изобретения белковый/пептидный антиген включает последовательность, приведенную в любом из SEQ ID NO: 7 и/или SEQ ID NO: 15, SEQ ID NO: 8 и/или SEQ ID NO: 16.

В конкретном варианте осуществления настоящего изобретения, белковый/пептидный антиген представляет собой белок/пептид, содержащий вирусный антиген Filovirida;

предпочтительно область связывания гликопротеинового рецептора оболочки филовируса; предпочтительно гликопротеин GP1 и/или GP2 оболочки филовируса; более предпочтительно гликопротеин GP1 оболочки филовируса;

или фрагмент или вариант с иммуногенностью всех перечисленных выше белковых/пептидных антигенов.

В конкретном варианте осуществления настоящего изобретения, филовирус представляет собой вирус Эбола.

В конкретном варианте осуществления настоящего изобретения, белковый/пептидный антиген представляет собой химерный белок указанного ранее антигена с другим белком или пептидом,

предпочтительно указанный химерный белок представляет собой Ebola-GP-Fc или Ebola-GP1-his;

при этом Fc представляет собой предпочтительно Fc фрагмент IgG, более предпочтительно Fc фрагмент IgG человека или мыши.

В конкретном варианте осуществления настоящего изобретения, белковый/пептидный антиген включает последовательности, приведенные в любом из SEQ ID NO: 9 и/или SEQ ID NO: 17, SEQ ID NO: 10 и/или SEQ ID NO: 18.

В конкретном варианте осуществления настоящего изобретения, указанный белок/антиген представляет собой белок/пептид, содержащий вирусный антиген Flaviviridae;

предпочтительно вирусный антиген Flavivirus или Hepacivirus; предпочтительно область связывания рецептора белка оболочки вируса Flavivirus; предпочтительно по меньшей мере один из структурных доменов EDI, EDII и EDIII белка оболочки вируса Flavivirus;

более предпочтительно структурный домен EDIII белка оболочки вируса Flavivirus; или предпочтительно область связывания рецептора гликопротеина оболочки вируса Hepacivirus;

предпочтительно гликопротеин Е1 и/или Е2 оболочки вируса Hepacivirus;

или фрагмент или вариант с иммуногенностью всех перечисленных выше

белковых/пептидных антигенов.

В конкретном варианте осуществления настоящего изобретения, указанный вирус Flavivirus представляет собой предпочтительно вирус Зика; указанный вирус Hepacivirus представляет собой предпочтительно вирус гепатита С.

В конкретном варианте осуществления настоящего изобретения, белковый/пептидный антиген представляет собой химерный белок упомянутого ранее антигена с другим белком или пептидом,

предпочтительно указанный химерный белок представляет собой ZIKV-E-Fc; при этом Fc представляет собой предпочтительно Fc фрагмент IgG, более предпочтительно Fc фрагмент IgG человека или мыши; или

предпочтительно указанный химерный белок представляет собой HCV-E2-his и/или HCV-E1-his.

В конкретном варианте осуществления настоящего изобретения, белковый/пептидный антиген включает последовательность, приведенную в любом из SEQ ID NO: 11 и/или SEQ ID NO: 19, SEQ ID NO: 6 и/или SEQ ID NO: 14, SEQ ID NO: 5 и/или SEQ ID NO: 13.

В конкретном варианте осуществления настоящего изобретения, глико-белковый/пептидный антиген дополнительно конъюгирован с белком-носителем.

В конкретном варианте осуществления настоящего изобретения, указанный белок-носитель представляет собой столбнячный токсоид, фрагмент С столбнячного токсоида, нетоксичный мутант столбнячного токсоида, токсоид дифтерии, CRM 197, другие нетоксичные мутанты токсоида дифтерии, предпочтительно CRM 197.

Второй аспект настоящего изобретения относится к конъюгату глико-белкового/пептидного антигена с повышенной иммуногенностью по сравнению с неконъюгированным белковым/пептидным антигеном.

В конкретном варианте осуществления настоящего изобретения, сахарид выбран из полисахарида, олигосахарида или моносахарида;

предпочтительно капсульного полисахарида Neisseria encephalitis, капсульного полисахарида Haemophilus influenzae b, капсульного полисахарида Streptococcus pneumoniae, капсульного полисахарида Staphylococcus aureus группы В, декстрана, маннана, крахмала, инулина, пектина, карбоксиметилкрахмала, хитозана и их производных;

более предпочтительно капсульного полисахарида Streptococcus pneumoniae;

наиболее предпочтительно капсульного полисахарида Streptococcus pneumoniae серотипа 14, капсульного полисахарида Streptococcus pneumoniae серотипа 6В и капсульного полисахарида Streptococcus pneumoniae серотипа 7F; при этом белковый/пептидный антиген выбран из ассоциированного с патогеном белкового/пептидного антигена или ассоциированного с опухолью белкового/пептидного антигена,

при этом указанный патоген выбран из:

коронавируса, вируса иммунодефицита человека ВИЧ-1, вируса простого герпеса человека, цитомегаловируса, ротавируса, Вируса ЭБ, вируса ветряной оспы, вируса гепатита, респираторно-синцитиального вируса, вируса парагиппа, вируса кори, вируса эпидемического паротита, папилломавируса человека, флавивируса или вируса гриппа, Neisseria, Moraxella, Bordetella, Mycobacterium, включая Mycobacterium tuberculosis, Escherichia, включая энтеротоксигенную Escherichia coli; Salmonella, Listeria, Helicobacter, Staphylococcus, включая Staphylococcus aureus, Staphylococcus epidermidis; Borrelia, Chlamydia, включая Chlamydia trachomatis, Chlamydia pneumoniae; Plasmodium, включая Plasmodium falciparum; Toxoplasma, Candida;

предпочтительно белок/пептид ассоциирован с инвазией указанного патогена в хозяина; более предпочтительно указанным выше патогеном является вирус;

более предпочтительно указанный выше вирус выбран из вирусов Coronaviridae, Paramyxoviridae, Orthomyxoviridae, Filoviridae или Flaviviridae, и при этом опухоль выбрана из следующего:

В-крупноклеточная диффузная лимфома, фолликулярная лимфома, другие лимфомы, лейкемия, множественная миелома, мезотелиома, рак желудка, злокачественная рабдомиома, гепатоцеллюлярная карцинома, рак предстательной железы, рак молочной железы, рак желчного протока и желчного пузыря, рак мочевого пузыря, опухоль головного мозга, включая нейробластомы, опухоль оболочки нерва, глиома, глиобластома и астроцитома, рак шейки матки, рак толстой кишки, меланома, рак эндометрия, рак пищевода, рак головы и шеи, рак легких, рак носоглотки, рак яичников, рак поджелудочной железы, почечно-клеточный рак, рак прямой кишки, рак щитовидной железы, опухоль паращитовидной железы, опухоль матки и саркома мягких тканей.

В конкретном варианте осуществления настоящего изобретения, белковый/пептидный антиген представляет собой белок/пептид, содержащий вирусный антиген Coronaviridae; предпочтительно спайк-белок коронавируса; более предпочтительно субъединицу S1 спайк-белка коронавируса; более предпочтительно участок RBD рецептора связывания спайк-белка коронавируса; или фрагмент или вариант с иммуногенностью всех перечисленных выше белковых/пептидных антигенов.

В конкретном варианте осуществления настоящего изобретения, коронавирус представляет собой SARS-CoV-2 или ближневосточный респираторный синдром коронавируса.

В конкретном варианте осуществления настоящего изобретения, белковый/пептидный антиген представляет собой химерный белок указанного ранее антигена с другим белком или пептидом.

Предпочтительно, химерный белок выбран из SARS-CoV-2 RBD-mFc; или SARS-CoV-2 RBD-his; или MERS-COV RBD-his; и

Fc представляет собой предпочтительно Fc фрагмент IgG, более предпочтительно Fc фрагмент IgG человека или мыши.

В конкретном варианте осуществления настоящего изобретения, белковый/пептидный антиген включает последовательность, приведенную в любом из SEQ ID NO: 1, SEQ ID NO: 2, SEQ ID NO: 3.

В конкретном варианте осуществления настоящего изобретения, белковый/пептидный антиген представляет собой белок/пептид, содержащий антиген, содержащий Paramyxoviridae;

предпочтительно область связывания рецептора гликопротеина парамиксовируса; предпочтительно гликопротеин F, гликопротеин G парамиксовируса; или фрагмент или вариант с иммуногенностью всех перечисленных выше белковых/пептидных антигенов.

В конкретном варианте осуществления настоящего изобретения, парамиксовирус представляет собой респираторно-синцитиальный вирус человека.

В конкретном варианте осуществления настоящего изобретения, белковый/пептидный антиген представляет собой химерный белок указанного ранее антигена с другим белком или пептидом,

предпочтительно указанный химерный белок представляет собой RSV-gpG-his.

В конкретном варианте осуществления настоящего изобретения, белковый/пептидный антиген включает последовательность, приведенную в SEQ ID NO: 4 и/или SEQ ID NO: 12.

В конкретном варианте осуществления настоящего изобретения, белковый/пептидный антиген включает антиген, содержащий Orthomyxoviridae;

предпочтительно область связывания рецептора гликопротеина ортомиксовируса; предпочтительно белок гемагглютинин (НА) и/или белок нейраминидазы (NA);

или фрагмент или вариант с иммуногенностью всех перечисленных выше белковых/пептидных антигенов.

В конкретном варианте осуществления настоящего изобретения, ортомиксовирус представляет собой вирус гриппа В и/или вирус гриппа A H5N1.

В конкретном варианте осуществления настоящего изобретения, белковый/пептидный антиген представляет собой химерный белок указанного ранее антигена с другим белком или пептидом;

предпочтительно указанный химерный белок представляет собой Flu-B-HA1-his или H5N1-HA-his.

В конкретном варианте осуществления настоящего изобретения, белковый/пептидный антиген включает последовательность, приведенную в любом из SEQ ID NO:7 и/или SEQ ID NO: 15, SEQ ID NO: 8 и/или SEQ ID NO: 16.

В конкретном варианте осуществления настоящего изобретения, белковый/пептидный антиген включает антиген, содержащий Filoviridae;

предпочтительно область связывания гликопротеинового рецептора оболочки филовируса; предпочтительно гликопротеин GP1 и/или GP2 оболочки филовируса; более предпочтительно гликопротеин GP1 оболочки филовируса;

или фрагмент или вариант с иммуногенностью всех перечисленных выше белковых/пептидных антигенов.

В конкретном варианте осуществления настоящего изобретения, филовирус представляет собой вирус Эбола.

В конкретном варианте осуществления настоящего изобретения, белковый/пептидный антиген представляет собой химерный белок указанного ранее антигена с другим белком или пептидом,

предпочтительно указанный химерный белок представляет собой Ebola-GP-Fc или Ebola-GP1-his;

при этом Fc представляет собой предпочтительно Fc фрагмент IgG, более предпочтительно Fc фрагмент IgG человека или мыши.

В конкретном варианте реализации настоящего изобретения, белковый/пептидный антиген включает последовательность, приведенную в любом из SEQ ID NO: 9 и/или SEQ ID NO: 17, SEQ ID NO: 10 и/или SEQ ID NO: 18.

В конкретном варианте осуществления настоящего изобретения, белковый/пептидный антиген включает антиген, содержащий Flaviviridae; предпочтительно антиген вируса Flavivirus или Hepacivirus; предпочтительно область связывания рецептора белка оболочки вируса Flavivirus; предпочтительно по меньшей мере один из структурных доменов EDI, EDII и EDIII белка оболочки вируса Flavivirus;

более предпочтительно структурный домен EDIII белка оболочки вируса Flavivirus; или предпочтительно область связывания рецептора гликопротеина оболочки вируса Hepacivirus;

предпочтительно гликопротеин Е1 и/или Е2 оболочки вируса Hepacivirus;

или фрагмент или вариант с иммуногенностью всех перечисленных выше

белковых/пептидных антигенов.

В конкретном варианте осуществления настоящего изобретения, вирус Flavivirus представляет собой предпочтительно Вирус Зика; или вирус Hepacivirus представляет собой предпочтительно вирус гепатита С.

В конкретном варианте осуществления настоящего изобретения, белковый/пептидный антиген представляет собой химерный белок упомянутого ранее антигена с другим белком или пептидом;

предпочтительно указанный химерный белок представляет собой ZIKV-E-Fc; при этом Fc представляет собой предпочтительно Fc фрагмент IgG, более предпочтительно Fc фрагмент IgG человека или мыши; или

предпочтительно указанный химерный белок представляет собой HCV-E2-his и/или HCV-E1-his.

В конкретном варианте осуществления настоящего изобретения, белковый/пептидный антиген включает любую из последовательностей, приведенных в SEQ ID NO: 11 и/или SEQ ID NO: 19, SEQ ID NO: 6 и/или SEQ ID NO: 14, SEQ ID NO: 5 и/или SEQ ID NO: 13.

В конкретном варианте осуществления настоящего изобретения, конъюгат глико-белкового/пептидного антигена имеет молекулярную массу 400-14000 кДа.

В конкретном варианте осуществления настоящего изобретения, глико-белковый/пептидный антиген дополнительно конъюгирован с белком-носителем.

В конкретном варианте осуществления настоящего изобретения, указанный белок-носитель представляет собой столбнячный токсоид, фрагмент С столбнячного токсоида, нетоксичный мутант столбнячного токсоида, токсоид дифтерии, CRM 197, другие нетоксичные мутанты токсоида дифтерии, предпочтительно CRM 197.

Третий аспект настоящего изобретения относится к иммуногенной композиции, содержащей указанный выше конъюгат глико-белкового/пептидного антигена, иммунные адъюванты и вспомогательные вещества.

В конкретном варианте осуществления настоящего изобретения, адъювант выбран из адъюванта алюминия, эмульсионного адъюванта масло в воде, MF59, QS-21 и липидного монофосфата А.

Четвертый аспект настоящего изобретения относится к применению конъюгата глико-белкового/пептидного антигена или иммуногенной композиции для предотвращения или лечения заболеваний, вызванных ассоциированными с ранее описанным патогеном белкового/пептидного антигена или ассоциированным с опухолью белком/пептидом, предпочтительно указанный патоген представляет собой коронавирус, более предпочтительно SARS-CoV-2 и/или MERS-CoV; парамиксовирус, более предпочтительно респираторно-синцитиальный вирус человека; ортомиксовирус, более предпочтительно вирус гриппа В и/или вирус гриппа A H5N1; филовирусы, более предпочтительно вирус Эбола; флавивирусы, предпочтительно вирус Зика; или вирусы гепатита С.

Пятый аспект настоящего изобретения относится к применению конъюгата глико-белкового/пептидного антигена или иммуногенной композиции для получения вакцин или лекарственных препаратов для профилактики и лечения заболеваний, вызванных ассоциированными с патогеном белковыми/пептидными антигенами или ассоциированным с опухолью ранее описанным белком/пептидом, предпочтительно указанный патоген представляет собой

коронавирус, более предпочтительно SARS-CoV-2 и/или MERS-CoV; парамиксовирус, более предпочтительно респираторно-синцитиальный вирус человека; ортомиксовирус, более предпочтительно вирус гриппа В и/или вирус гриппа A H5N1;

филовирус, более предпочтительно вирус Эбола;

флавивирус, более предпочтительно вирус Зика; или вирус гепатита С.

КРАТКОЕ ОПИСАНИЕ ФИГУР

На Фиг. 1 изображены титры антитела против RBD SARS-COV-2 в сыворотке мыши, иммунизированной иммунной комбинацией с использованием SARS-COV-2 RBD-mFc в качестве антигена. Значения представляют собой поглощение, определенное при 8000-кратном разведении сыворотки.

На Фиг. 2 приведено сравнение различных адъювантов с антигенным конъюгатом SARS-COV-2 RBD-his-PS14 при 32,000-кратном разведении и дозе иммунизации 3 мкг на мышь.

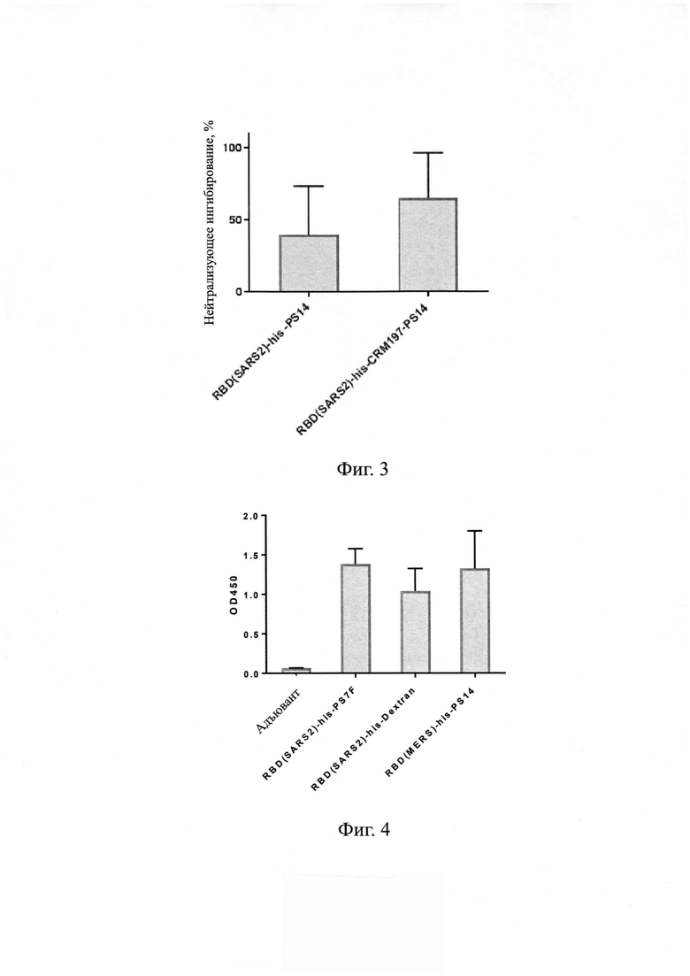
На Фиг. 3 изображен конъюгат белка RBD SARS-COV-2 и полисахарида PS14, а также сравнение нейтрализующей активности сыворотки иммунных комбинаций SARS-COV-2 RBD и CRM 197 одновременно конъюгированных с PS14 в качестве антигена в иммунизированной мыши при 1500-кратном разведении сыворотки и дозе иммунизации 3 мкг на мышь.

На Фиг. 4 приведены иммунологические результаты PS7F, PS14 и декстрана в качестве конъюгатного агента для конъюгата.

ПОДРОБНОЕ ОПИСАНИЕ

Определения

Если не указано иное, все используемые здесь технические и научные термины имеют значения, обычно понятные специалистам в данной области техники, к которой относится настоящее изобретение. Для целей настоящего изобретения дополнительно определяются следующие термины.

При использовании здесь и в прилагаемой формуле формы единственного числа «один», «любой», «другой» и «указанный» включают обозначение объекта во множественном числе, если контекст явно не указывает иное.

Термины «включает», «включают» относятся к включению конкретных компонентов без исключения каких-либо других компонентов. Термины, такие как «состоящий по существу из...», допускают включение других компонентов или шагов, не нарушающих новизну или существенный характер настоящего изобретения, т.е. исключают другие не перечисленные компоненты или этапы, нарушающие новизну или суть настоящего изобретения. Термин «состоящий из...» означает включение определенных компонентов или группы компонентов и исключение всех других компонентов. В этом описании и сопутствующей формуле изобретения фраза «при этом белковый/пептидный антиген представляет собой белок/пептид, содержащий X» означает, что указанная последовательность аминокислот белкового/пептидного антигена включает последовательность X белка/пептида.

Термин «антиген» означает экзогенное вещество, которое распознается (специфически связывается) антителом или Т-клеточным рецептором, но не вызывает достоверного иммунного ответа. Экзогенные вещества, вызывающие специфический иммунитет, называются «иммуногенными антигенами» или «иммуногенами». «Полуантиген» представляет собой антиген, который сам по себе не может вызывать иммунный ответ (хотя комбинация нескольких молекул полуантигена или комбинация полуантигена и крупномолекулярного носителя может вызывать иммунный ответ).

«Гуморальный иммунный ответ» представляет собой опосредованный антителом иммунный ответ и включает введение и продукцию антител, которые распознают и связывают антигены в иммуногенной композиции настоящего изобретения с определенной аффинностью. «Клеточно-опосредованный иммунный ответ» представляет собой иммунный ответ, опосредованный Т-клетками и/или другими лейкоцитами, что вызывается предоставлением антигенных эпитопов, ассоциированных с молекулами класса I или II главного комплекса гистосовместимости (ГКГС), CD1 или другими атипичными ГКГС-подобными молекулами.

Термин «сахарид» может содержать ссылку на полисахариды, олигосахариды или моносахариды. Полисахариды могут быть выделены из организма, такого как бактерия, и могут быть обнаружены природные полисахариды, необязательно имеющие размер определенный с помощью микрофлюидных методов. Изменение размера полисахарида уменьшает вязкость образца полисахарида и/или улучшает фильтруемость конъюгируемого продукта. Олигосахариды представляют собой гидролизованные полисахариды с небольшим количеством повторяющихся звеньев (обычно от 5 до 30 повторяющихся звеньев). Полисахариды также могут быть синтезированы химическим путем.

Термин «конъюгат» используется в данном описании и прилагаемой формуле изобретения для обозначения белка/пептида, ковалентно конъюгированного с сахаридом. Глико-белок/пептидные конъюгаты согласно настоящему изобретению и иммуногенные композиции, содержащие их, могут содержать определенное количество свободных сахаридов, белков/пептидов.

В настоящем тексте «конъюгация» относится к указанному способу, посредством которого сахарид, такой как бактериальный капсульный полисахарид, ковалентно связан с белком/пептидом.

Термин «иммуногенная композиция» относится к любой фармацевтической композиции, содержащей антиген, такой как микроорганизм или его компонент, который может применяться для получения иммунного ответа у индивидуума.

Термин «носитель» может обозначать разбавитель, адъювант, вспомогательное вещество или медиатор, который вводят с указанной фармацевтической композицией. Вода, физиологические растворы и водные растворы декстрозы и глицерина могут рассматриваться как жидкие носители, особенно для растворов для инъекций.

В настоящем тексте «иммуногенность» означает способность антигена (или эпитопа антигена), такого как участок связывания спайк-белка рецептора коронавируса, или его гликоконъюгата или иммуногенной композиции, вызывать в хозяине (например, в млекопитающем) гуморальный или клеточно-опосредованный иммунный ответ или оба указанных ответа.

«Защитный» иммунный ответ представляет собой способность иммуногенной композиции вызывать гуморальный или клеточно-опосредованный иммунный ответ или и то, и другое для защиты индивидуума от инфекции. Обеспечиваемая защита не обязательно должна быть абсолютной, т.е. она не обязательно должна полностью предотвращать или искоренять инфекцию, пока имеется статистически значимое улучшение по сравнению с контрольной группой индивидуумов (например, инфицированных животных, которым не вводили вакцину или иммуногенную композицию). Защита может ограничиваться уменьшением тяжести симптомов инфекции или быстроты приступов.

Термины «иммуногенное количество» и «иммуноэффективное количество» используются в настоящем документе взаимозаменяемо и означают, что антиген или иммуногенная композиция достаточны для запуска иммунного ответа (клеточного (Т-клетки) или гуморального (В-клетки или антитело) ответа или их обоих, измеренных с помощью стандартных анализов, известных специалистам в данной области техники.

Эффективность антигена как иммуногена можно измерить, например, с помощью анализа пролиферации, анализа цитолиза или путем измерения уровня активности В-клеток.

Способ согласно настоящему изобретению для улучшения иммуногенности белковых/пептидных антигенов

Настоящее изобретение представляет собой новаторское изобретение, в котором изобретатели обнаруживают, что иммуногенность белкового/пептидного антигена улучшается посредством конъюгации белкового/пептидного антигена с сахаридом с образованием конъюгата глико-белкового/пептидного антигена.

До настоящего изобретения ни в одном исследовании не сообщалось об увеличении иммуногенности белков/пептидного антигена в глико-белковом/пептидном конъюгате антигена. Напротив, как упоминалось в разделе «Уровень техники», в предыдущих исследованиях указывалось лишь о сохранении иммуногенности белкового/пептидного антигена в конъюгатах (US 5192540 A / US 9296795 B) или что эпитопы белкового/пептидного антигена не меняются при конъюгации (US 9296795 B). Эти сведения противоположны целям настоящего изобретения.

Глико-белковые/пептидные конъюгаты антигенов согласно настоящему изобретению 1. Вирусы Coronaviridae в качестве антигенов

Семейство Coronaviridae включает подсемейства Orthocoronavirinae и Letovirinae.

Род Betacoronavirus подсемейства Orthocoronaviridae содержит хорошо известные коронавирус, вызывающий тяжелый острый респираторный синдром, (SARS-CoV), коронавирус, вызывающий ближневосточный респираторный синдром, (MERS-CoV), и коронавирус 2, вызывающий тяжелый острый респираторный синдром, (SARS-CoV-2). Эти три вируса опосредуют вирусную инвазию в первую очередь за счет связывания спайк-белка (белка S) с рецепторами клетки-хозяина и определяют вирусные ткани или тропизм хозяина. Рецепторным белком клетки-хозяина для SARS-CoV-2 является ангиотензинпревращающий фермент 2 (АСЕ2). Спайк-белок (белок S) связывается с рецептором АСЕ2 и расщепляется протеазой хозяина на полипептид S1, содержащий рецептор, связывающий домен (SARS-CoV-2 RBD), и полипептид S2, ответственный за опосредование слияния вируса с клеточной мембраной, и таким образом вторгается в хозяина.

В одном варианте реализации настоящего изобретения, спайк-белок коронавируса SARS-CoV-2 (S-белок SARS-CoV-2), его внеклеточный участок, субъединицу S1 или участок, связывающий рецептор, используют в качестве антигенов.

В одном варианте реализации настоящего изобретения, спайк-белок коронавируса ближневосточного респираторного синдрома выбирают в качестве антигена, например, его внеклеточный участок, субъединицу S1 или участок, связывающий рецептор, используют в качестве антигена.

2. Вирусы Paramyxoviridae в качестве антигенов

Семейство Paramyxoviridae включает два подсемейства, Paramyxivirinae и Pneumovirinae. Респираторно-синцитиальный вирус человека (RSV) является одним из респираторных вирусов рода Respirovirus в подсемействе Paramyxivirinae. RSV кодирует два основных трансмембранных поверхностных гликопротеина, гликопротеин G (адсорбционный белок) и гликопротеин F (белок слияния). Гликопротеин G опосредует связывание вируса с клеточными рецепторами, в то время как гликопротеин F способствует слиянию вируса с клеточной мембраной, позволяя вирусным рибонуклеопротеинам проникать в цитоплазму (Lopez и др. (1998) /. Virology 72:6922-6928).

В одном варианте реализации настоящего изобретения, гликопротеины оболочки RSV выбирают в качестве антигенов. Могут применяться такие гликопротеин оболочки RSV человека, как гликопротеин F или гликопротеин G.

3. Вирусы Orthomyxoviridae в качестве антигенов

Семейство Orthomyxoviridae включает Influenzavirus A, Influenzavirus В, Influenzavirus С и другие роды.

Инфекции вирусов гриппа А, В и С в первую очередь полагаются на два оболочечных протеогликана: гемагтлютинин (НА) и нейраминидазу (NA), которые отвечают за прикрепление вируса и инвазию вирусных частиц в клетки. Инфекции вируса гриппа запускаются присоединением белка гемагглютинина (HА) к клеточным рецепторам, содержащим сиаловую кислоту (гликопротеины и гликолипиды) на поверхности клетки. Белок нейраминидаза (NA) опосредует указанный процессинг рецептора сиаловой кислоты, а вирусная инвазия клеток зависит от НА-зависимого рецептор-опосредованного цитокинеза (CN 103865892 B).

В одном варианте реализации настоящего изобретения, белок гемагглютинина (НА) вируса гриппа A H5N1 используют в качестве антиген, при этом белок гемагглютинина (НА1 субъединицу) вируса гриппа В также может быть использован в качестве антигена.

4. Вирусы Filoviridae в качестве антигенов

Filoviridae представлены эболавирусами рода Ebolavirus и марбургвирусами рода Marburgvirus.

Единственным белком, присутствующим на поверхности вируса Эбола, является гликопротеин (GP). Тример GP1,2 образует поверхностный шип вируса и состоит из двух субъединиц, GP1 и GP2, сцепленных дисульфидными связями (Volchkova, УАидр., (1998), Virology 250:408-414; Falzarano, D. и дp.(2006) Chembiochem 7: 1605-161 1). Известно, что GP1 опосредует прикрепление вируса к клеткам-хозяевам, a GP2 участвует в слиянии мембран (Sanchez, А. и др., (1996), Proc Natl Acad Sci USA 93:3602-3607; Alazard-Dany, N. и др., (2006), J. Gen. Virol. 87: 1247- 1257).

В одном варианте реализации настоящего изобретения, гликопротеин (GP) вируса Эбола выбирают в качестве антигена, такого как внеклеточный структурный домен GP, субъединица белков GP (GP1 и/или GP2).

5. Вирусы Flaviviridae в качестве антигенов

Семейство вирусов Flaviviridae главным образом включает роды Flavivirus, Pestivirus, Pegivirus и Hepacivirus, при этом Flaviviridae включают вирус Зика (ZHCV), лихорадки денге (DV), вирус Западного Нила, вирус японского энцефалита и вирус желтой лихорадки. Hepacivirus включает вирус гепатита С (HCV).

Белок оболочки флавивируса играет важную роль в заражении вирусом клетки-хозяина, опосредуя проникновение вируса в клетку-хозяина. Он состоит из трех отдельных доменов структурной оболочки I, II и III (EDI, EDII и EDIII). EDI представляет собой структурный центральный домен белка оболочки, который стабилизирует общую ориентацию белка, а сайты гликозилирования в EDI связаны с продукцией вируса, чувствительностью к рН и нейроинвазивностью. EDII играет важную роль в слиянии мембран из-за иммунологических преимуществ эпитопов петли слияния и димерных эпитопов оболочки. Дополнительно EDIII представляет собой основную мишень для нейтрализующих антител (Xingcui Zhang и др., (2017) Viruses. 2017 Nov; 9(11): 338. Structures and Functions of the Envelope Glycoprotein in Flavivirus Infections).

Белок оболочки вируса Зика ("Е" или "ЕР") состоит из трех отдельных структурных доменов. Структурный домен Е I (E-DI) - это центральный структурный домен, который организует всю структуру белка Е. Структурный домен Е II (E-DII) образован двумя расширенными петлями, которые выступают из E-DI и располагаются в карманах на домене E-DI и структурном домене Е III (E-DIII). E-DIII представляет собой иммуноглобулин-подобный структурный домен, который образует небольшие выступы на поверхности гладких, сферических, зрелых вирусных частиц и, как полагают, взаимодействует с клеточными рецепторами на клетках-мишенях (CN109996560A).

РНК-геном HCV кодирует один мультимерный белок, расщепляющийся на три структурных белка (кор, гликопротеины Е1 и Е2) и семь неструктурных белков (р7, NS2, NS3, NS4A, NS4B, NS5A и NS5B) при трансляции или после трансляции. Белки оболочки, гликопротеины Е1 и Е2, образуют гетеродимеры и составляют вирусные белки оболочки, которые играют важную роль в опосредовании проникновения вируса и морфогенезе, когда вирус проникает в клетку-хозяина. Протеогликаны оболочки вируса гепатита С связываются со специфическими белками на поверхности гепатоцита-хозяина, чтобы инициировать процесс проникновения. В этом процессе участвует большое количество рецепторов/корецепторов хозяина. При этом Е2 является основным протеогликаном оболочки HCV и напрямую взаимодействует с рецептором/корецептором. Долгое время считалось, что Е1 не взаимодействует напрямую с рецептором хозяина во время этого процесса, а скорее вызывает слияние мембран вместе с Е2, поддерживая функциональную конформацию Е2, необходимую для связывания рецептора (Yimin, Tong. и др., (2018) Front Immunol. 2018; 9:1411. Role of Hepatitis С Viral Envelope Glycoprotein E1 in Virus Entry and Assembly).

В одном варианте реализации настоящего изобретения, белок оболочки вируса Зика Е-DIII выбирают в качестве антигена.

В одном варианте реализации настоящего изобретения, гликопротеины Е1 и/или Е2 оболочки вируса гепатита С выбирают в качестве антигенов.

Вирусные антигены, описанные выше в этой главе, могут быть получены экстракцией природных патогенов или путем генетической рекомбинации. Их модифицированная версия, например, их иммуногенные фрагменты или их варианты, а также, например, химерные белки с метками для очистки или с фрагментами антитела Fc, могут применяться в настоящем изобретении.

Полисахариды могут быть бактериальными полисахаридами, такими как обыкновенный капсульный полисахарид Neisseria encephalitis, капсульный полисахарид Haemophilus influenzae b, капсульный полисахарид Streptococcus pneumoniae, капсульный полисахарид группы В Staphylococcus aureus, а также декстран и маннан и так далее. Полисахариды также могут быть полисахаридами растительного происхождения, такими как крахмал, инулин, пектин и т.д., или производными химически модифицированных полисахаридов, таких как карбоксиметилкрахмал. Полисахариды также могут быть полисахаридами животного происхождения, такими как хитозан и его производные.

Указанный способ конъюгации полисахарида с белком заключается в следующем: в результате химической реакции полисахарид становится носителем реакционно-активной группы. Затем активные группы реагируют с химически активными группами белковой молекулы, такими как амино, карбоксильные, сульфгидрильные группы, имидазольное кольцо гистидина, индольное кольцо триптофана, фенильное кольцо тирозина, фенильное кольцо фенилаланина, гидроксильная группа серина, глутамин и аспарагин, с образованием ковалентных связей.

Один из методов конъюгации полисахаридов с белковыми молекулами заключается в окислении полисахарида перйодатом натрия с образованием альдегидной группы полисахарида, которая реагирует с аминогруппой белковой молекулы с образованием основания Шиффа, которое восстанавливается до стабильной одинарной связи в присутствии восстанавливающих агентов. Таким образом, полисахарид образует ковалентную связь с молекулой белка. В реакционную систему можно добавить восстановитель, такой как цианоборгидрид натрия.

Другой метод конъюгации полисахаридов с белковыми молекулами представляет собой реакцию полисахарида с цианогенбромидом или тетрафторборатом 1-циано-4-диметиламинопиридина с образованием реакционноспособного цианатного эфира. Цианатная группа реагирует с аминогруппой на поверхности белка с образованием ковалентной связи. Активированный полисахарид также может сначала реагировать с линкерным плечом, таким как гександиамин, гександигидразид и т.д. Затем продукт реагирует с белком в присутствии конденсирующего агента с образованием ковалентного линкера.

Полисахариды также могут активироваться другими химическими реагентами и затем реагировать с белками с образованием конъюгатов, таких как эпихлоргидрин, триазин, диазин, дивинилсульфон и другие реагенты, которые хорошо известны в данной области техники.

Для повышения иммуногенности конъюгата глико-белкового/пептидного антигена согласно настоящему изобретению в реакцию сахарида с белковым/пептидным конъюгатом антигена может быть дополнительно добавлен белок-носитель с образованием конъюгата глико-белкового/пептидного антигена и белка-носителя. Указанный белок-носитель может представлять собой столбнячный токсоид, фрагмент С столбнячного токсоида, нетоксичный мутант столбнячного токсоида, дифтерийный токсоид, CRM 197, другие нетоксичные мутанты токсоида дифтерии, предпочтительно CRM 197, которые обычно используются в вакцинной промышленности.

Иммуногенные композиции согласно настоящему изобретению

В одном варианте реализации иммуногенная композиция согласно настоящему изобретению дополнительно включает по меньшей мере одно из следующего: адъювант, буфер, криопротектор, соль, двухвалентный катион, неионогенный детергент, ингибитор свободнорадикального окисления, разбавитель или носитель. В одном варианте реализации адъювант в иммуногенной композиции согласно настоящему изобретению представляет собой адъювант на основе алюминия. В одном из вариантов реализации адъювант представляет собой адъювант на основе алюминия, выбранный из фосфата алюминия, сульфата алюминия и гидроксида алюминия. В одном из вариантов реализации адъювантом является фосфат алюминия.

Адъювант представляет собой вещество, усиливающее иммунный ответ при введении вместе с иммуногеном или антигеном. Композиция, используемая в настоящем изобретении, может содержать или не содержать вакцинный адъювант. Адъюванты, которые могут быть включены в композицию согласно настоящему изобретению, включают масляную эмульсию, включая сквален-водную эмульсию, например, MF59; полный адъювант Фрейнда (CFA) и неполный адъювант Фрейнда (IFA); препараты сапонинов; сочетание сапонина и холестерина с образованием уникальных частиц, называемых иммуностимулирующими комплексами (ISCOM); виросомы и вирусоподобные частицы, но не ограничиваются ими. Вид используемого адъюванта будет зависеть от индивидуума, которому вводят иммуногенную композицию, от предписанного пути и частоты введения.

Иммуногенная композиция может необязательно включать фармацевтически приемлемый носитель. Фармацевтически приемлемые носители включают носители, приемлемые для животных (включая человека, а также млекопитающих, кроме человека), как задокументировано или должно быть задокументировано в национальных фармакопеях. Термин «носитель» может обозначать разбавитель, адъювант, вспомогательное вещество или среду, которая вводится с указанной фармацевтической композицией. Вода, физиологические растворы, а также водные растворы декстрозы и глицерина могут использоваться в качестве жидких носителей, особенно для растворов для инъекций.

Иммуногенная композиция согласно настоящему изобретению может также включать один или более дополнительных иммуномодуляторов, представляющих собой вещества, которые нарушают или изменяют иммунную систему так, что наблюдается повышающая или понижающая регуляция гуморального и/или клеточно-опосредованного иммунитета. В одном варианте реализации обеспечивается активация гуморального и/или клеточно-опосредованного потенциала (плеч) иммунной системы. Это включает, например, адъюванты или цитокины.

Пути введения иммуногенной композиции согласно настоящему изобретению

Иммуногенная композиция согласно настоящему изобретению для терапевтического или профилактического лечения может быть введена внутримышечно, внутрибрюшинно, внутрикожно или подкожно; или через слизистые оболочки в ротовой/пищеводный, респираторный, мочеполовой тракты. Интраназальное введение вакцины предпочтительно для лечения некоторых заболеваний, таких как, предпочтительно, пневмония или средний отит. Хотя вакцину согласно настоящему изобретению можно вводить в виде однократной дозы, ее компоненты также можно вводить одновременно или в разное время. В дополнение к одному пути введения могут применяться два разных пути введения.

Оптимальное количество компонента для конкретной иммуногенной композиции может быть определено стандартными исследованиями, включающими наблюдение соответствующего иммунного ответа у индивидуумов. После первоначальной вакцинации индивидуумы могут получить одну или несколько бустерных иммунизаций с адекватными временными интервалами.

Применения иммуногенной композиции согласно настоящему изобретению

Белковые/пептидные антигеннные конъюгаты и иммуногенные композиции согласно настоящему изобретению могут предотвращать или лечить заболевания, вызванные возбудителями, такими как коронавирусы, парамиксовирусы, ортомиксовирусы, филовирусы и флавивирусы, и, в частности, вирусы SARS-CoV-2 и/или MERS-CoV, респираторно-синцитиальный вирус человека, вирус гриппа В, вирус гриппа A H5N1, вирус Эбола, вирус Зика и/или вирус гепатита С.Аббревиатуры согласно настоящему изобретению

SARS-COV-2 RBD-mFc: химерный белок участка связывания рецептора спайк-белка коронавируса SARS-CoV-2 и Fc мыши;

SARS-COV-2 RBD-his: участок связывания рецептора спайк-белка коронавируса SARS-CoV-2 с меткой из 6 гистидинов;

MERS-COV RBD-his: участок связывания рецептора спайк-белка коронавируса ближневосточного респираторного синдрома с меткой из 6 гистидинов;

RSV-gpG: гликопротеин G респираторно-синцитиального вируса человека;

HCV-E1: гликопротеин Е1 оболочки вируса гепатита С;

HCV-E2: белок Е2 оболочки вируса гепатита С;

flu-B-HA1: белок гемагглютинина гриппа В (субъединица НА1);

H5N1-HA: гемагглютинин гриппа A H5N1;

Ebola-GP: гликопротеин (домен, связывающий рецептор) вируса Эбола;

Ebola-GP1: гликопротеин GP1 вируса Эбола;

ZIKV-E: белок оболочки вируса Зика (домен III);

PS14: капсульный полисахарид Streptococcus pneumoniae серотипа 14;

PS7F: капсульный полисахарид Streptococcus pneumoniae серотипа 7F;

Алюминий: адъювант алюминия, в данном случае адъювант фосфата алюминия.

Пример 1: Получение капсульного полисахарида Streptococcus pneumoniae серотипа 14 (PS14)h7F(PS7F)

Использовали клетки Streptococcus pneumoniae серотипа 14 АТСС 6314 и Streptococcus pneumoniae серотипа 7F АТСС 10351.

0,5 мл законсервированных в глицерине клеток Streptococcus pneumoniae добавляли к 500 мл среды Геприха (V.M. Goncalves, Optimization of medium and cultivation conditions for capsular polysaccharide production by Streptococcus pneumoniae serotype 23F, AllpMicrobiolBiotechnol (2002) 59:713-717) при 37°C на шейкере при 150 об/мин в течение 10-16 ч и культивирование останавливали, когда ODeoo становилось выше 1,0. Добавляли 0,6 г дезоксихолата натрия, хорошо перемешивали и оставляли на 2 ч или более, чтобы обеспечить полный лизис бактерий. Центрифугировали при 14000 g в течение 30 минут, удаляли супернатант и концентрировали ультрафильтрацией с 100 кДа до одной десятой исходного объема, примерно 400 мл. В концентрат постепенно добавляли 36% уксусную кислоту и доводили рН до 3,5. Оставляли на 2 ч, центрифугировали при 14000 g в течение 30 минут, удаляли 390 мл супернатанта и смешивали со 130 мл безводного этанола и оставляли на ночь. На следующий день супернатант центрифугировали при 14000 g в течение 30 минут, добавляли в супернатант 780 мл безводного этанола и оставляли на ночь. На следующий день супернатант отбрасывали после 30-минутного центрифугирования при 14000 g. 300 мл 75% этанола добавляли к осадку, осадок суспендировали и снова центрифугировали при 14000 g в течение 30 минут. Супернатант отбрасывали, а осадок растворяли в 10 мл воды, чтобы концентрация полисахарида в растворе превышала 10 мг/мл. Полученный раствор представляет собой раствор капсульного полисахарида Streptococcus pneumoniae.

Пример 2: Гидролиз, активация полисахаридов с высокой и низкой степенью активации

Полисахаридом был капсульный полисахарид Streptococcus pneumoniae серотипа 14 (PS 14) и 7F (PS7F), полученный в Примере 1 или декстран (декстран, Sigma, 00894, далее такой же).

2.1 Гидролиз полисахарида.

10 мл очищенного капсульного полисахарида концентрации 10 мг/мл добавляли к 0,86 мл 36% уксусной кислоты, конечная концентрация уксусной кислоты в растворе составляла 500 мМ. После выдерживания в водяной бане при 90°С в течение 2 ч. добавляли 1 М NaOH для нейтрализации до рН 6-7, в результате чего получали образец гидролизованного полисахарида.

Молекулярную массу полисахарида PS14 определяли путем ВЭЖХ-MALS и установили, что она составляет от примерно 500 кДа и от примерно 300 кДа после гидролиза.

Молекулярная масса капсульного полисахарида PS7F составляла примерно 700 кДа и его не гидролизовали.

Декстран не гидролизовали.

2.2 Полисахариды высокой степени активации.

100 мг перйодата натрия добавляли к 10 мл раствора полисахарида концентрации 10 мг/мл, хорошо перемешивали и оставляли реагировать в течение 1 ч в темноте. Брали колонку для центрифужной хроматографии, содержащую 5 мл упаковки Sephadex G 25, и добавляли 10 мл буфера Na2HP04 концентрации 50 мМ, рН=7,0. Буфер протекал через колонку под действием силы тяжести. Затем колонку помещали в центрифугу и центрифугировали в течение 2 мин при 1000 g. После этого пробирку для сбора заменяли на свежую и на центрифужную колонку наносили 1 мл раствора полисахарида, окисленного перйодатом натрия, снова центрифугировали при 1000 g в течение 2 мин. Собранный элюат из колонки представлял собой раствор активированного полисахарида высокой степени активации.

2.3 Полисахариды низкой степени активации.

30 мг перйодата натрия добавляли к 10 мл раствора полисахарида с концентрацией 10 мг/мл и хорошо перемешивали. Брали колонку для центробежной хроматографии, содержащую 5 мл упаковки Sephadex G 25, и добавляли 10 мл буфера Na2HPO4 концентрации 50 мМ, рН=7,0. Затем колонку помещали в центрифугу и центрифугировали в течение 2 мин при 1000 g. После этого пробирку для сбора заменяли на свежую и на центрифужную колонку наносили 1 мл раствора полисахарида, окисленного перйодатом натрия, снова центрифугировали при 1000 g в течение 2 мин. Собранный элюат из колонки представлял собой раствор активированного полисахарида низкой степени активации.

Пример 3: Белковый/пептидный антиген, конъюгированный с полисахаридом

Использованным белковым/пептидным антигеном был участок связывания рецептора спайк-белка коронавируса, а полисахаридом был капсульный полисахарид Streptococcus pneumoniae или декстран. Конкретные компоненты, количества и объемы приведены в Таблице 1.

1. Буфер замены для рецептора спайк-белка коронавируса: брали 5 мг рецептора спайк-белка коронавируса и заменяли 50 мМ буфером Na2HPO4, рН 7,0, с использованием пробирки для ультрафильтрации молекулярной массы 30 000, и конечная концентрация замененного белка должна была быть ≥10 мг/мл.

2. Конъюгация рецептора спайк-белка коронавируса и полисахарида: 3 мг рецептора спайк-белка коронавируса добавляли к активированному капсульному полисахариду Streptococcus pneumoniae или декстрану в соответствии с Таблицей 1 и добавляли 50 мМ буфера Na2HPO4, рН 7,0, в конечном объеме, показанном в Таблице 1. Раствор боргидрида натрия концентрации 10 мг/мл добавляли в реакционный раствор (0,15 мл на 0,6 мл реакционной системы и 0,375 мл на 1,5 мл реакционной системы) и реакцию проводили в течение 2 ч при температуре окружающей среды. Затем конъюгат асептически фильтровали через ультрафильтрационную пробирку для молекулярной массы мощностью 100000 с 10-кратной заменой фосфатно-солевого буфера до конечного объема ультрафильтрации менее 2 мл. Для асептической фильтрации и закрепления образцов использовали фильтры 0,22 мкм и хранили их при 4°С.

3. Определение молекулярной массы конъюгата с использованием ВЭЖХ-MALLS. Результаты приведены в Таблице 1.

Таблица 1. Условия реакции для нескольких конъюгатов и молекулярные массы продуктов реакции

Пример 4. Белковый/пептидный антиген и белок-носитель, конъюгированные с полисахаридом

В качестве белкового/пептидного антигена использовали SARS-COV-2 RBD, участок связывания рецептора спайк-белка коронавируса, вектором белка был CRM 197, а полисахаридом был капсульный полисахарид Streptococcus pneumoniae. Компоненты композиции, количество и объем показаны в Таблице 2.

CRM 197 представляет собой вариант дифтерийного токсина (Geert J. Scheme, Efficient CRM197-mediated drug targeting to monocytes, Journal of Controlled Release 158 (2012) 139 -147). Участок связывания рецептора спайк-белка коронавируса и CRM197 совместно конъюгировали с капсульным полисахаридом Streptococcus pneumoniae серотипа 14. Активацию полисахарида осуществляли как описано в Примере 2.2. Брали 1,5 мг полисахарида, 2,7 мг белка участка связывания рецептора спайк-белка коронавируса и 0,3 мг CRM 197, и конъюгировали в соответствии с той же процедурой, что и в Примере 3. Условия реакции конъюгирования и молекулярные массы ее продуктов показаны в Таблице 2.

Пример 5. Иммуногенность конъюгатов участка связывания рецептора спайк-белка коронавируса и полисахаридов

Использовали конъюгаты участка связывания рецептора спайк-белка коронавируса и полисахаридов, показанные в Таблицах 3-6.

5.1 Получение иммуногенной композиции

Иммуногенные композиции получали с использованием белка участка связывания рецептора спайк-белка коронавируса или конъюгатов, полученных в Примерах 3 или 4 в качестве антигенов.

5.1.1 Получение адъюванта MF59

Готовили 200 мл 10 мМ раствора цитрат натрия (рН 6,5, доводили HCl), добавляли 1 мл Твин 80 (Nanjing Well Pharmaceutical Co., LTD) и хорошо перемешивали до растворения. Брали 10 мл сквалена (Merck) и добавляли 1 мл Span 85 (Zhaoqing Chaoneng Industrial Co., Ltd.) и хорошо перемешивали до растворения. Два предыдущих раствора смешивали и гомогенизировали 3 раза с использованием гомогенизатора высокого давления (АН-PILOTATS), установленного на 800 бар, в результате чего получали гомогенную эмульсию в качестве адъюванта MF59.

5.1.2 Получение адъюванта MF59, содержащего монофосфатидиллипид A (MPL)

10 мг MPL (MERCK L6895) диспергировали в 10 мл натрий-цитратного буфера (10 мМ, рН 6,5). Дополнительные 4 мл адъюванта MF59 добавляли к 1 мл дисперсии MPL и перемешивали, в результате чего получали адъювантМР59, содержащий MPL.

5.1.3 Получение иммуногенной композиции с адъювантом алюминия

Антиген разбавляли до 0,02 мг/мл или 0,06 мг/мл (в отношении пептида/белка, здесь и далее) фосфатно-солевым буфером, а адъювант алюминия (Beijing Nuoning Biotechnology Co., Ltd.) разбавляли до 1 мг/мл фосфатно-солевым буфером. Разбавленные антиген и адъювант алюминия смешивали в равных объемах. Концентрация белка антигена в этой иммуногенной композиции составляла 0,01 мг/мл или 0,03 мг/мл, соответственно.

5.1.4 Получение иммуногенной композиции с адъювантом MF59

Антиген разбавляли фосфатно-солевым буфером до 0,02 мг/мл или 0,06 мг/мл, соответственно, и разбавленный антиген смешивали с равным объемом адъюванта MF59. Концентрация белка антигена в этой иммунной композиции составляла 0,01 мг/мл или 0,03 мг/мл, соответственно.

5.1.5 Получение иммуногенной композиции с адъювантом MF59, содержащей MPL Антиген разбавляли фосфатно-солевым буфером до 0,02 мг/мл или 0,06 мг/мл, соответственно, и разбавленный антиген смешивали с равным объемом адъюванта MF59, содержащего MPL. Концентрация белка антигена в этой иммунной композиции составляла 0,01 мг/мл или 0,03 мг/мл, соответственно.

5.1.6 Получение иммуногенной композиции со смесью адъюванта MF59 и адъюванта алюминия

1,5 мл адъюванта алюминия и 1,5 мл адъюванта MF59 смешивали, а затем добавляли 0,18 мл антигена концентрации 1 мг/мл. Концентрация белка антигена в этой иммунной композиции составляла 0,03 мг/мл.

5.2 Иммунизированные мыши

Выбирали мышей Balb/c возраста 4-6 недель и проводили им инъекцию внутрибрюшинно 0,1 мл иммунной композиции при концентрации 0,01 мг/мл или 0,03 мг/мл, описанной в Пример 5.1, и иммунизировали на 14 и 28 сутки, соответственно. Кровь брали из орбит на 7, 21 и 35 сутки для определения титров антител в сыворотке и титра нейтрализации.

5.3 Анализ активности сыворотки

5.3.1 Анализ активности сыворотки, когда антигеном был SARS-COV-2 RBD или его химерный белок

Белок SARS-COV-2 RBD-mFc концентрации 5 мкг/мл (SinoCelltech Ltd., весь текст) использовали для нанесения на 96-луночный планшет в количестве 100 мкл на лунку в течение 2 ч при комнатной температуре, планшет промывали и покрывали 2% БСА в течение 1 ч при комнатной температуре, использовали CD155(D1)-mFc (SinoCelltech Ltd., весь текст) как независимый контроль в том же количестве. Исследуемые сыворотки (полученные в Примере 5.2) разбавляли до различных степеней разведения (точные разведения варьировались в зависимости от времени, установленного для иммунологического сбора, например, 1000х, 8000х, 16000х, 32000х разведения) с использованием фосфатно-солевого буфера, содержащего 0,1% бычьего сывороточного альбумина (БСА), и сыворотки мышей, иммунизированных SARS-COV-2 RBD-mFc, использовали в качестве положительного контроля, сыворотку мыши от неродственной иммунной мишени (сыворотка против CD70, Beijing Sino Biological, Inc.) использовали в качестве отрицательного контроля, к исследуемым сывороткам в одно и то же время добавляли при различных разведениях вторичное антитело IgG козы против F(ab)2/HRP мыши (Beijing Sino Biological, Inc.) для детекции в количестве 100 мкл на лунку. Значение OD450 при определенном уровне разведения указывает на титр антитела.

5.3.2 Анализ активности сыворотки, когда антигеном был MERS-COV RBD или его химерный белок

При анализе иммунной сыворотки MERS-COV RBD-his планшет покрывали MERS-COV RBD-his (Beijing Sino Biological, Inc., 40071-V08B1) без положительного или отрицательного контроля. Другие стадии были такими же, что и в разделе 5.3.1.

5.3.3 Результаты анализа активности сыворотки

Результаты анализа активности сыворотки показаны в Таблицах 3-5 и на Фиг. 1-4.

Эффективность комбинации адъюванта алюминия для иммунизации показана в Таблице 3 для мышей, иммунизированных в течение 35 суток, для сыворотки 8000-кратного разведения.

Результаты активности сыворотки после иммуногенной композиции SARS-COV-2 RBD-his-PS14 алюминий/МР59/МР59-алюминий/адъювант MF59-MPL на 35 сутки при 32,000х разведении показаны в Таблице 4.

Активность сыворотки после применения иммуногенной композиции с адъювантом MF59 у мышей, иммунизированных на 21 сутки, при 8000х разведении сыворотки показана в Таблице 5.

5.4. Анализ нейтрализующей активности

Образец сыворотки мыши, полученный в Примере 5.2, эмпирически разводили в определенное количество раз (например, 500-кратное разведение) и смешивали с псевдовирусом 2019-nCoV PSV (China Academy of Food and Drug Administration) в равных объемах, использовали в остальном тот же образец без сыворотки в качестве положительного контроля и в остальном тот же образец без псевдовируса в качестве положительного контроля, и инкубировали при 37°С в течение 1 ч перед одновременным заражением клеток Vero Е6 или клеток 293FT/ACE2 (SinoCelltech Ltd.). Клетки инкубировали при 37°С в атмосфере 5% СО2 в течение примерно 20-28 ч после инфицирования и значения RLU измеряли на микропланшетном детекторе люминесценции. Нейтрализующую степень ингибирования рассчитывали в соответствии с уравнением Нейтрализующее ингибирование % = (lg(RLU положительного контроля) -lg(RLU o6pa34a))/(lg(RLU положительного контроля) - lg(RLU отрицательного контроля)) × 100%.

Результаты нейтрализующей активности сывороток мышей, иммунизированных различными иммуногенными композициями, представлены в Таблице 6 и на Фиг. 3.

Пример 6. Усиление иммуногенности некоторых вирусных антигенов полисахаридами

Несколько вирусных антигенов, показанных в Таблице 7 (все из Beijing Sino Biological, Inc.), были выбраны и конъюгированы с полисахаридом PS14 в несколько стадий.

Полисахарид Streptococcus pneumoniae серотипа 14 (PS 14) был получен в соответствии с Примером 1 и активирован в соответствии со стадиями из Примера 2.2, где количество добавляемого перйодата натрия регулировали в соответствии с Таблицей 8. PS14 конъюгировали с белком-носителем CRM 197 в соответствии с этапами Примера 3, с соотношением белка и полисахарида для конъюгации, как показано в Таблице 8. Приготовили иммуногенную композицию, содержащую адъювант алюминия, согласно Примеру 5.1.3. Мышей иммунизировали согласно Примеру 5.2 в дозе 3 мкг антигена на мышь.

Активность иммунной сыворотки анализировали с использованием соответствующего антигенного покрытия без положительных и отрицательных контролей, а процедура была точно такой же, как в 5.3.1.

Активность различных антигенных конъюгатов в иммуносыворотке показана в Таблице 8. Можно видеть, что для большинства антигенов наблюдается значительное увеличение иммуногенности после конъюгации с полисахаридами.

Антигены, использованные в Таблице 8, задокументированы в Таблице 7, где His-tag не показан.

Согласно приведенным выше данным, иммуногенность белковых антигенов существенно повышалась при их конъюгировании с капсульным полисахаридом Streptococcus pneumoniae. При использовании адъюванта алюминия антигенная активность иммунной сыворотки конъюгата достигала 2,3-кратной исходной активности. Нейтрализующая активность конъюгата также была существенно выше, чем у соответствующих белков. По сравнению с адъювантом алюминия, адъювант MF59, MF59, смешанный с адъювантом алюминия, и адъювант MF59, содержащий адъювант MPL, еще больше улучшают иммунный эффект конъюгата. Иммунологический эффект был сходным при использовании конъюгата с капсульным полисахаридом Streptococcus pneumoniae серотипа 14, капсульным полисахаридом Streptococcus pneumoniae серотипа 7F и декстраном.

--->

ПЕРЕЧЕНЬ ПОСЛЕДОВАТЕЛЬНОСТЕЙ

<110> СиноСеллТех Лтд.

<120> СПОСОБ ПОВЫШЕНИЯ ИММУНОГЕННОСТИ БЕЛКОВОГО/ПЕПТИДНОГО АНТИГЕНА

<130> PCT69222SXB

<160> 19

<170> PatentIn version 3.3

<210> 1

<211> 223

<212> PRT

<213> Искусственная последовательность

<220>

<223> Последовательность синтезирована искусственно.

<400> 1

Arg Val Gln Pro Thr Glu Ser Ile Val Arg Phe Pro Asn Ile Thr Asn

1 5 10 15

Leu Cys Pro Phe Gly Glu Val Phe Asn Ala Thr Arg Phe Ala Ser Val

20 25 30

Tyr Ala Trp Asn Arg Lys Arg Ile Ser Asn Cys Val Ala Asp Tyr Ser

35 40 45

Val Leu Tyr Asn Ser Ala Ser Phe Ser Thr Phe Lys Cys Tyr Gly Val

50 55 60

Ser Pro Thr Lys Leu Asn Asp Leu Cys Phe Thr Asn Val Tyr Ala Asp

65 70 75 80

Ser Phe Val Ile Arg Gly Asp Glu Val Arg Gln Ile Ala Pro Gly Gln

85 90 95

Thr Gly Lys Ile Ala Asp Tyr Asn Tyr Lys Leu Pro Asp Asp Phe Thr

100 105 110

Gly Cys Val Ile Ala Trp Asn Ser Asn Asn Leu Asp Ser Lys Val Gly

115 120 125

Gly Asn Tyr Asn Tyr Leu Tyr Arg Leu Phe Arg Lys Ser Asn Leu Lys

130 135 140

Pro Phe Glu Arg Asp Ile Ser Thr Glu Ile Tyr Gln Ala Gly Ser Thr

145 150 155 160

Pro Cys Asn Gly Val Glu Gly Phe Asn Cys Tyr Phe Pro Leu Gln Ser

165 170 175

Tyr Gly Phe Gln Pro Thr Asn Gly Val Gly Tyr Gln Pro Tyr Arg Val

180 185 190

Val Val Leu Ser Phe Glu Leu Leu His Ala Pro Ala Thr Val Cys Gly

195 200 205

Pro Lys Lys Ser Thr Asn Leu Val Lys Asn Lys Cys Val Asn Phe

210 215 220

<210> 2

<211> 234

<212> PRT

<213> Искусственная последовательность

<220>

<223> Последовательность синтезирована искусственно.

<400> 2

Arg Val Gln Pro Thr Glu Ser Ile Val Arg Phe Pro Asn Ile Thr Asn

1 5 10 15

Leu Cys Pro Phe Gly Glu Val Phe Asn Ala Thr Arg Phe Ala Ser Val

20 25 30

Tyr Ala Trp Asn Arg Lys Arg Ile Ser Asn Cys Val Ala Asp Tyr Ser

35 40 45

Val Leu Tyr Asn Ser Ala Ser Phe Ser Thr Phe Lys Cys Tyr Gly Val

50 55 60

Ser Pro Thr Lys Leu Asn Asp Leu Cys Phe Thr Asn Val Tyr Ala Asp

65 70 75 80

Ser Phe Val Ile Arg Gly Asp Glu Val Arg Gln Ile Ala Pro Gly Gln

85 90 95

Thr Gly Lys Ile Ala Asp Tyr Asn Tyr Lys Leu Pro Asp Asp Phe Thr

100 105 110

Gly Cys Val Ile Ala Trp Asn Ser Asn Asn Leu Asp Ser Lys Val Gly

115 120 125

Gly Asn Tyr Asn Tyr Leu Tyr Arg Leu Phe Arg Lys Ser Asn Leu Lys

130 135 140

Pro Phe Glu Arg Asp Ile Ser Thr Glu Ile Tyr Gln Ala Gly Ser Thr

145 150 155 160

Pro Cys Asn Gly Val Glu Gly Phe Asn Cys Tyr Phe Pro Leu Gln Ser

165 170 175

Tyr Gly Phe Gln Pro Thr Asn Gly Val Gly Tyr Gln Pro Tyr Arg Val

180 185 190

Val Val Leu Ser Phe Glu Leu Leu His Ala Pro Ala Thr Val Cys Gly

195 200 205

Pro Lys Lys Ser Thr Asn Leu Val Lys Asn Lys Cys Val Asn Phe Ala

210 215 220

His His His His His His His His His His

225 230

<210> 3

<211> 457

<212> PRT

<213> Искусственная последовательность

<220>

<223> Последовательность синтезирована искусственно.

<400> 3

Arg Val Gln Pro Thr Glu Ser Ile Val Arg Phe Pro Asn Ile Thr Asn

1 5 10 15

Leu Cys Pro Phe Gly Glu Val Phe Asn Ala Thr Arg Phe Ala Ser Val

20 25 30

Tyr Ala Trp Asn Arg Lys Arg Ile Ser Asn Cys Val Ala Asp Tyr Ser

35 40 45

Val Leu Tyr Asn Ser Ala Ser Phe Ser Thr Phe Lys Cys Tyr Gly Val

50 55 60

Ser Pro Thr Lys Leu Asn Asp Leu Cys Phe Thr Asn Val Tyr Ala Asp

65 70 75 80

Ser Phe Val Ile Arg Gly Asp Glu Val Arg Gln Ile Ala Pro Gly Gln

85 90 95

Thr Gly Lys Ile Ala Asp Tyr Asn Tyr Lys Leu Pro Asp Asp Phe Thr

100 105 110

Gly Cys Val Ile Ala Trp Asn Ser Asn Asn Leu Asp Ser Lys Val Gly

115 120 125

Gly Asn Tyr Asn Tyr Leu Tyr Arg Leu Phe Arg Lys Ser Asn Leu Lys

130 135 140

Pro Phe Glu Arg Asp Ile Ser Thr Glu Ile Tyr Gln Ala Gly Ser Thr

145 150 155 160

Pro Cys Asn Gly Val Glu Gly Phe Asn Cys Tyr Phe Pro Leu Gln Ser

165 170 175

Tyr Gly Phe Gln Pro Thr Asn Gly Val Gly Tyr Gln Pro Tyr Arg Val

180 185 190

Val Val Leu Ser Phe Glu Leu Leu His Ala Pro Ala Thr Val Cys Gly

195 200 205

Pro Lys Lys Ser Thr Asn Leu Val Lys Asn Lys Cys Val Asn Phe Ala

210 215 220

Asp Asp Asp Asp Lys Ala Val Pro Arg Asp Ser Gly Cys Lys Pro Cys

225 230 235 240

Ile Cys Thr Val Pro Glu Val Ser Ser Val Phe Ile Phe Pro Pro Lys

245 250 255

Pro Lys Asp Val Leu Thr Ile Thr Leu Thr Pro Lys Val Thr Cys Val

260 265 270

Val Val Asp Ile Ser Lys Asp Asp Pro Glu Val Gln Phe Ser Trp Phe

275 280 285

Val Asp Asp Val Glu Val His Thr Ala Gln Thr Gln Pro Arg Glu Glu

290 295 300

Gln Phe Asn Ser Thr Phe Arg Ser Val Ser Glu Leu Pro Ile Met His

305 310 315 320

Gln Asp Trp Leu Asn Gly Lys Glu Phe Lys Cys Arg Val Asn Ser Ala

325 330 335

Ala Phe Pro Ala Pro Ile Glu Lys Thr Ile Ser Lys Thr Lys Gly Arg

340 345 350

Pro Lys Ala Pro Gln Val Tyr Thr Ile Pro Pro Pro Lys Glu Gln Met

355 360 365

Ala Lys Asp Lys Val Ser Leu Thr Cys Met Ile Thr Asp Phe Phe Pro

370 375 380

Glu Asp Ile Thr Val Glu Trp Gln Trp Asn Gly Gln Pro Ala Glu Asn

385 390 395 400

Tyr Lys Asn Thr Gln Pro Ile Met Asp Thr Asp Gly Ser Tyr Phe Val

405 410 415

Tyr Ser Lys Leu Asn Val Gln Lys Ser Asn Trp Glu Ala Gly Asn Thr

420 425 430

Phe Thr Cys Ser Val Leu His Glu Gly Leu His Asn His His Thr Glu

435 440 445

Lys Ser Leu Ser His Ser Pro Gly Lys

450 455

<210> 4

<211> 232

<212> PRT

<213> Искусственная последовательность

<220>

<223> Последовательность синтезирована искусственно.

<400> 4

Asn His Lys Val Thr Ser Thr Thr Thr Ile Ile Gln Asp Ala Thr Ser

1 5 10 15

Gln Ile Lys Asn Thr Thr Pro Thr Tyr Leu Thr Gln Ser Pro Gln Leu

20 25 30

Gly Ile Ser Pro Ser Asn Pro Ser Glu Ile Thr Ser Gln Ile Thr Thr

35 40 45

Ile Leu Ala Ser Thr Thr Pro Gly Val Lys Ser Thr Leu Gln Ser Thr

50 55 60

Thr Val Gly Thr Lys Asn Thr Thr Thr Thr Gln Ala Gln Pro Ser Lys

65 70 75 80

Pro Thr Thr Lys Gln Arg Gln Asn Lys Pro Pro Ser Lys Pro Asn Asn

85 90 95

Asp Phe His Phe Glu Val Phe Asn Phe Val Pro Cys Ser Ile Cys Ser

100 105 110

Asn Asn Pro Thr Cys Trp Ala Ile Cys Lys Arg Ile Pro Asn Lys Lys

115 120 125

Pro Gly Lys Lys Thr Thr Thr Lys Pro Thr Glu Glu Pro Thr Phe Lys

130 135 140

Thr Ala Lys Glu Asp Pro Lys Pro Gln Thr Thr Gly Ser Gly Glu Val

145 150 155 160

Pro Thr Thr Lys Pro Thr Gly Glu Pro Thr Ile Asn Thr Thr Lys Thr

165 170 175

Asn Ile Thr Thr Thr Leu Leu Thr Ser Asn Thr Thr Arg Asn Pro Glu

180 185 190

Leu Thr Ser Gln Met Glu Thr Phe His Ser Thr Ser Ser Glu Gly Asn

195 200 205

Pro Ser Pro Ser Gln Val Ser Ile Thr Ser Glu Tyr Leu Ser Gln Pro

210 215 220

Ser Ser Pro Pro Asn Thr Pro Arg

225 230

<210> 5

<211> 158

<212> PRT

<213> Искусственная последовательность

<220>

<223> Последовательность синтезирована искусственно.

<400> 5

Ala Leu Glu Val Leu Phe Gln Gly Pro Tyr Glu Val Arg Asn Val Ser

1 5 10 15

Gly Ile Tyr His Val Thr Asn Asp Cys Ser Asn Ser Ser Ile Val Tyr

20 25 30

Glu Ala Ala Asp Val Ile Met His Thr Pro Gly Cys Val Pro Cys Val

35 40 45

Arg Glu Gly Asn Ser Ser Arg Cys Trp Val Ala Leu Thr Pro Thr Leu

50 55 60

Ala Ala Arg Asn Ala Ser Val Pro Thr Thr Thr Ile Arg Arg His Val

65 70 75 80

Asp Leu Leu Val Gly Thr Ala Ala Phe Cys Ser Ala Met Tyr Val Gly

85 90 95

Asp Leu Cys Gly Ser Ile Phe Leu Val Ser Gln Leu Phe Thr Phe Ser

100 105 110

Pro Arg Arg His Glu Thr Val Gln Asp Cys Asn Cys Ser Ile Tyr Pro

115 120 125

Gly His Val Ser Gly His Arg Met Ala Trp Asp Met Met Met Asn Trp

130 135 140

Ser Pro Thr Thr Ala Leu Val Val Ser Gln Leu Leu Arg Ile

145 150 155

<210> 6

<211> 278

<212> PRT

<213> Искусственная последовательность

<220>

<223> Последовательность синтезирована искусственно.

<400> 6

Glu Thr His Thr Thr Gly Arg Val Ala Gly His Thr Thr Ser Gly Phe

1 5 10 15

Thr Ser Leu Phe Ser Ser Gly Ala Ser Gln Lys Ile Gln Leu Val Asn

20 25 30

Thr Asn Gly Ser Trp His Ile Asn Arg Thr Ala Leu Asn Cys Asn Asp

35 40 45

Ser Leu Gln Thr Gly Phe Phe Ala Ala Leu Phe Tyr Ala His Lys Phe

50 55 60

Asn Ser Ser Gly Cys Pro Glu Arg Met Ala Ser Cys Arg Pro Ile Asp

65 70 75 80

Trp Phe Ala Gln Gly Trp Gly Pro Ile Thr Tyr Thr Lys Pro Asn Ser

85 90 95

Ser Asp Gln Arg Pro Tyr Cys Trp His Tyr Ala Pro Arg Pro Cys Gly

100 105 110

Val Val Pro Ala Ser Gln Val Cys Gly Pro Val Tyr Cys Phe Thr Pro

115 120 125

Ser Pro Val Val Val Gly Thr Thr Asp Arg Ser Gly Val Pro Thr Tyr

130 135 140

Ser Trp Gly Glu Asn Glu Thr Asp Met Met Leu Leu Asn Asn Thr Arg

145 150 155 160

Pro Pro Gln Gly Asn Trp Phe Gly Cys Thr Trp Met Asn Ser Thr Gly

165 170 175

Phe Thr Lys Thr Cys Gly Gly Pro Pro Cys Asn Ile Gly Gly Val Gly

180 185 190

Asn Arg Thr Leu Ile Cys Pro Thr Asp Cys Phe Arg Lys His Pro Glu

195 200 205

Ala Thr Tyr Thr Lys Cys Gly Ser Gly Pro Trp Leu Thr Pro Arg Cys

210 215 220

Leu Val Asp Tyr Pro Tyr Arg Leu Trp His Tyr Pro Cys Thr Leu Asn

225 230 235 240

Phe Ser Ile Phe Lys Val Arg Met Tyr Val Gly Gly Val Glu His Arg

245 250 255

Leu Asn Ala Ala Cys Asn Trp Thr Arg Gly Glu Arg Cys Asn Leu Glu

260 265 270

Asp Arg Asp Arg Ser Glu

275

<210> 7

<211> 347

<212> PRT

<213> Искусственная последовательность

<220>

<223> Последовательность синтезирована искусственно.

<400> 7

Asp Arg Ile Cys Thr Gly Ile Thr Ser Ser Asn Ser Pro His Val Val

1 5 10 15

Lys Thr Ala Thr Gln Gly Glu Val Asn Val Thr Gly Val Ile Pro Leu

20 25 30

Thr Thr Thr Pro Thr Lys Ser His Phe Ala Asn Leu Lys Gly Thr Glu

35 40 45

Thr Arg Gly Lys Leu Cys Pro Lys Cys Leu Asn Cys Thr Asp Leu Asp

50 55 60

Val Ala Leu Gly Arg Pro Lys Cys Thr Gly Lys Ile Pro Ser Ala Arg

65 70 75 80

Val Ser Ile Leu His Glu Val Arg Pro Val Thr Ser Gly Cys Phe Pro

85 90 95

Ile Met His Asp Arg Thr Lys Ile Arg Gln Leu Pro Asn Leu Leu Arg

100 105 110

Gly Tyr Glu His Ile Arg Leu Ser Thr His Asn Val Ile Asn Ala Glu

115 120 125

Asn Ala Pro Gly Gly Pro Tyr Lys Ile Gly Thr Ser Gly Ser Cys Pro

130 135 140

Asn Ile Thr Asn Gly Asn Gly Phe Phe Ala Thr Met Ala Trp Ala Val

145 150 155 160

Pro Lys Asn Asp Lys Asn Lys Thr Ala Thr Asn Pro Leu Thr Ile Glu

165 170 175

Val Pro Tyr Ile Cys Thr Glu Gly Glu Asp Gln Ile Thr Val Trp Gly

180 185 190

Phe His Ser Asp Asn Glu Thr Gln Met Ala Lys Leu Tyr Gly Asp Ser

195 200 205

Lys Pro Gln Lys Phe Thr Ser Ser Ala Asn Gly Val Thr Thr His Tyr

210 215 220

Val Ser Gln Ile Gly Gly Phe Pro Asn Gln Thr Glu Asp Gly Gly Leu

225 230 235 240

Pro Gln Ser Gly Arg Ile Val Val Asp Tyr Met Val Gln Lys Ser Gly

245 250 255

Lys Thr Gly Thr Ile Thr Tyr Gln Arg Gly Ile Leu Leu Pro Gln Lys

260 265 270

Val Trp Cys Ala Ser Gly Arg Ser Lys Val Ile Lys Gly Ser Leu Pro

275 280 285

Leu Ile Gly Glu Ala Asp Cys Leu His Glu Lys Tyr Gly Gly Leu Asn

290 295 300

Lys Ser Lys Pro Tyr Tyr Thr Gly Glu His Ala Lys Ala Ile Gly Asn

305 310 315 320

Cys Pro Ile Trp Val Lys Thr Pro Leu Lys Leu Ala Asn Gly Thr Lys

325 330 335

Tyr Arg Pro Pro Ala Lys Leu Leu Lys Glu Arg

340 345

<210> 8

<211> 511

<212> PRT

<213> Искусственная последовательность

<220>

<223> Последовательность синтезирована искусственно.

<400> 8

Asp Gln Ile Cys Ile Gly Tyr His Ala Asn Asn Ser Thr Glu Gln Val

1 5 10 15

Asp Thr Ile Met Glu Lys Asn Val Thr Val Thr His Ala Gln Asp Ile

20 25 30

Leu Glu Lys Thr His Asn Gly Lys Leu Cys Asp Leu Asp Gly Val Lys

35 40 45

Pro Leu Ile Leu Arg Asp Cys Ser Val Ala Gly Trp Leu Leu Gly Asn

50 55 60

Pro Met Cys Asp Glu Phe Ile Asn Val Pro Glu Trp Ser Tyr Ile Val

65 70 75 80

Glu Lys Ala Asn Pro Ala Asn Asp Leu Cys Tyr Pro Gly Asn Phe Asn

85 90 95

Asp Tyr Glu Glu Leu Lys His Leu Leu Ser Arg Ile Asn His Phe Glu

100 105 110

Lys Ile Gln Ile Ile Pro Lys Ser Ser Trp Ser Asp His Glu Ala Ser

115 120 125

Ser Gly Val Ser Ser Ala Cys Pro Tyr Gln Gly Thr Pro Ser Phe Phe

130 135 140

Arg Asn Val Val Trp Leu Ile Lys Lys Asn Asn Thr Tyr Pro Thr Ile

145 150 155 160

Lys Arg Ser Tyr Asn Asn Thr Asn Gln Glu Asp Leu Leu Ile Leu Trp

165 170 175

Gly Ile His His Ser Asn Asp Ala Ala Glu Gln Thr Lys Leu Tyr Gln

180 185 190

Asn Pro Thr Thr Tyr Ile Ser Val Gly Thr Ser Thr Leu Asn Gln Arg

195 200 205

Leu Val Pro Lys Ile Ala Thr Arg Ser Lys Val Asn Gly Gln Ser Gly

210 215 220

Arg Met Asp Phe Phe Trp Thr Ile Leu Lys Pro Asn Asp Ala Ile Asn

225 230 235 240

Phe Glu Ser Asn Gly Asn Phe Ile Ala Pro Glu Tyr Ala Tyr Lys Ile

245 250 255

Val Lys Lys Gly Asp Ser Ala Ile Val Lys Ser Glu Val Glu Tyr Gly

260 265 270

Asn Cys Asn Thr Lys Cys Gln Thr Pro Ile Gly Ala Ile Asn Ser Ser

275 280 285

Met Pro Phe His Asn Ile His Pro Leu Thr Ile Gly Glu Cys Pro Lys

290 295 300

Tyr Val Lys Ser Asn Lys Leu Val Leu Ala Thr Gly Leu Arg Asn Ser

305 310 315 320

Pro Leu Thr Glu Thr Arg Gly Leu Phe Gly Ala Ile Ala Gly Phe Ile

325 330 335

Glu Gly Gly Trp Gln Gly Met Val Asp Gly Trp Tyr Gly Tyr His His

340 345 350

Ser Asn Glu Gln Gly Ser Gly Tyr Ala Ala Asp Lys Glu Ser Thr Gln

355 360 365

Lys Ala Ile Asp Gly Val Thr Asn Lys Val Asn Ser Ile Ile Asp Lys

370 375 380

Met Asn Thr Gln Phe Glu Ala Val Gly Arg Glu Phe Asn Asn Leu Glu

385 390 395 400

Arg Arg Ile Glu Asn Leu Asn Lys Lys Met Glu Asp Gly Phe Leu Asp

405 410 415

Val Trp Thr Tyr Asn Ala Glu Leu Leu Val Leu Met Glu Asn Glu Arg

420 425 430

Thr Leu Asp Phe His Asp Ser Asn Val Lys Asn Leu Tyr Asp Lys Val

435 440 445

Arg Leu Gln Leu Arg Asp Asn Ala Lys Glu Leu Gly Asn Gly Cys Phe

450 455 460

Glu Phe Tyr His Lys Cys Asp Asn Glu Cys Met Glu Ser Val Arg Asn

465 470 475 480

Gly Thr Tyr Asp Tyr Pro Gln Tyr Ser Glu Glu Ala Arg Leu Lys Arg

485 490 495

Glu Glu Ile Ser Gly Val Lys Leu Glu Ser Ile Gly Thr Tyr Gln

500 505 510

<210> 9

<211> 276

<212> PRT

<213> Искусственная последовательность

<220>

<223> Последовательность синтезирована искусственно.

<400> 9

Ile Pro Leu Gly Val Val His Asn Asn Thr Leu Gln Val Ser Asp Ile

1 5 10 15

Asp Lys Leu Val Cys Arg Asp Lys Leu Ser Ser Thr Ser Gln Leu Lys

20 25 30

Ser Val Gly Leu Asn Leu Glu Gly Asn Gly Val Ala Thr Asp Val Pro

35 40 45

Thr Ala Thr Lys Arg Trp Gly Phe Arg Ala Gly Val Pro Pro Lys Val

50 55 60

Val Asn Tyr Glu Ala Gly Glu Trp Ala Glu Asn Cys Tyr Asn Leu Asp

65 70 75 80

Ile Lys Lys Ala Asp Gly Ser Glu Cys Leu Pro Glu Ala Pro Glu Gly

85 90 95

Val Arg Gly Phe Pro Arg Cys Arg Tyr Val His Lys Val Ser Gly Thr

100 105 110

Gly Pro Cys Pro Glu Gly Tyr Ala Phe His Lys Glu Gly Ala Phe Phe

115 120 125

Leu Tyr Asp Arg Leu Ala Ser Thr Ile Ile Tyr Arg Ser Thr Thr Phe

130 135 140

Ser Glu Gly Val Val Ala Phe Leu Ile Leu Pro Glu Thr Lys Lys Asp

145 150 155 160

Phe Phe Gln Ser Pro Pro Leu His Glu Pro Ala Asn Met Thr Thr Asp

165 170 175

Pro Ser Ser Tyr Tyr His Thr Val Thr Leu Asn Tyr Val Ala Asp Asn

180 185 190

Phe Gly Thr Asn Met Thr Asn Phe Leu Phe Gln Val Asp His Leu Thr

195 200 205

Tyr Val Gln Leu Glu Pro Arg Phe Thr Pro Gln Phe Leu Val Gln Leu

210 215 220

Asn Glu Thr Ile Tyr Thr Asn Gly Arg Arg Ser Asn Thr Thr Gly Thr

225 230 235 240

Leu Ile Trp Lys Val Asn Pro Thr Val Asp Thr Gly Val Gly Glu Trp

245 250 255

Ala Phe Trp Glu Asn Lys Lys Asn Phe Thr Lys Thr Leu Ser Ser Glu

260 265 270

Glu Leu Ser Val

275

<210> 10

<211> 469

<212> PRT

<213> Искусственная последовательность

<220>

<223> Последовательность синтезирована искусственно.

<400> 10

Met Pro Leu Gly Val Val Thr Asn Ser Thr Leu Glu Val Thr Glu Ile

1 5 10 15

Asp Gln Leu Val Cys Lys Asp His Leu Ala Ser Thr Asp Gln Leu Lys

20 25 30

Ser Val Gly Leu Asn Leu Glu Gly Ser Gly Val Ser Thr Asp Ile Pro

35 40 45

Ser Ala Thr Lys Arg Trp Gly Phe Arg Ser Gly Val Pro Pro Lys Val

50 55 60

Val Ser Tyr Glu Ala Gly Glu Trp Ala Glu Asn Cys Tyr Asn Leu Glu

65 70 75 80

Ile Lys Lys Pro Asp Gly Ser Glu Cys Leu Pro Pro Pro Pro Asp Gly

85 90 95

Val Arg Gly Phe Pro Arg Cys Arg Tyr Val His Lys Ala Gln Gly Thr

100 105 110

Gly Pro Cys Pro Gly Asp Tyr Ala Phe His Lys Asp Gly Ala Phe Phe

115 120 125

Leu Tyr Asp Arg Leu Ala Ser Thr Val Ile Tyr Arg Gly Val Asn Phe

130 135 140

Ala Glu Gly Val Ile Ala Phe Leu Ile Leu Ala Lys Pro Lys Glu Thr

145 150 155 160

Phe Leu Gln Ser Pro Pro Ile Arg Glu Ala Val Asn Tyr Thr Glu Asn

165 170 175

Thr Ser Ser Tyr Tyr Ala Thr Ser Tyr Leu Glu Tyr Glu Ile Glu Asn

180 185 190

Phe Gly Ala Gln His Ser Thr Thr Leu Phe Lys Ile Asp Asn Asn Thr

195 200 205

Phe Val Arg Leu Asp Arg Pro His Thr Pro Gln Phe Leu Phe Gln Leu

210 215 220

Asn Asp Thr Ile His Leu His Gln Gln Leu Ser Asn Thr Thr Gly Arg

225 230 235 240

Leu Ile Trp Thr Leu Asp Ala Asn Ile Asn Ala Asp Ile Gly Glu Trp

245 250 255

Ala Phe Trp Glu Asn Lys Lys Asn Leu Ser Glu Gln Leu Arg Gly Glu

260 265 270

Glu Leu Ser Phe Glu Ala Leu Ser Leu Asn Glu Thr Glu Asp Asp Asp

275 280 285

Ala Ala Ser Ser Arg Ile Thr Lys Gly Arg Ile Ser Asp Arg Ala Thr

290 295 300

Arg Lys Tyr Ser Asp Leu Val Pro Lys Asn Ser Pro Gly Met Val Pro

305 310 315 320

Leu His Ile Pro Glu Gly Glu Thr Thr Leu Pro Ser Gln Asn Ser Thr

325 330 335

Glu Gly Arg Arg Val Gly Val Asn Thr Gln Glu Thr Ile Thr Glu Thr

340 345 350

Ala Ala Thr Ile Ile Gly Thr Asn Gly Asn His Met Gln Ile Ser Thr

355 360 365

Ile Gly Ile Arg Pro Ser Ser Ser Gln Ile Pro Ser Ser Ser Pro Thr

370 375 380

Thr Ala Pro Ser Pro Glu Ala Gln Thr Pro Thr Thr His Thr Ser Gly

385 390 395 400

Pro Ser Val Met Ala Thr Glu Glu Pro Thr Thr Pro Pro Gly Ser Ser

405 410 415

Pro Gly Pro Thr Thr Glu Ala Pro Thr Leu Thr Thr Pro Glu Asn Ile

420 425 430

Thr Thr Ala Val Lys Thr Val Leu Pro Gln Glu Ser Thr Ser Asn Gly

435 440 445

Leu Ile Thr Ser Thr Val Thr Gly Ile Leu Gly Ser Leu Gly Leu Arg

450 455 460

Lys Arg Ser Arg Arg

465

<210> 11

<211> 107

<212> PRT

<213> Искусственная последовательность

<220>

<223> Последовательность синтезирована искусственно.

<400> 11

Val Ser Tyr Ser Leu Cys Thr Ala Ala Phe Thr Phe Thr Lys Ile Pro

1 5 10 15

Ala Glu Thr Leu His Gly Thr Val Thr Val Glu Val Gln Tyr Ala Gly

20 25 30

Thr Asp Gly Pro Cys Lys Val Pro Ala Gln Met Ala Val Asp Met Gln

35 40 45

Thr Leu Thr Pro Val Gly Arg Leu Ile Thr Ala Asn Pro Val Ile Thr

50 55 60

Glu Ser Thr Glu Asn Ser Lys Met Met Leu Glu Leu Asp Pro Pro Phe

65 70 75 80

Gly Asp Ser Tyr Ile Val Ile Gly Val Gly Glu Lys Lys Ile Thr His

85 90 95

His Trp His Arg Ser Gly Ser Thr Ile Gly Lys

100 105

<210> 12

<211> 243

<212> PRT

<213> Искусственная последовательность

<220>

<223> Последовательность синтезирована искусственно.

<400> 12

Asn His Lys Val Thr Ser Thr Thr Thr Ile Ile Gln Asp Ala Thr Ser

1 5 10 15

Gln Ile Lys Asn Thr Thr Pro Thr Tyr Leu Thr Gln Ser Pro Gln Leu

20 25 30

Gly Ile Ser Pro Ser Asn Pro Ser Glu Ile Thr Ser Gln Ile Thr Thr

35 40 45

Ile Leu Ala Ser Thr Thr Pro Gly Val Lys Ser Thr Leu Gln Ser Thr

50 55 60

Thr Val Gly Thr Lys Asn Thr Thr Thr Thr Gln Ala Gln Pro Ser Lys

65 70 75 80

Pro Thr Thr Lys Gln Arg Gln Asn Lys Pro Pro Ser Lys Pro Asn Asn

85 90 95

Asp Phe His Phe Glu Val Phe Asn Phe Val Pro Cys Ser Ile Cys Ser

100 105 110

Asn Asn Pro Thr Cys Trp Ala Ile Cys Lys Arg Ile Pro Asn Lys Lys

115 120 125

Pro Gly Lys Lys Thr Thr Thr Lys Pro Thr Glu Glu Pro Thr Phe Lys

130 135 140

Thr Ala Lys Glu Asp Pro Lys Pro Gln Thr Thr Gly Ser Gly Glu Val

145 150 155 160

Pro Thr Thr Lys Pro Thr Gly Glu Pro Thr Ile Asn Thr Thr Lys Thr

165 170 175

Asn Ile Thr Thr Thr Leu Leu Thr Ser Asn Thr Thr Arg Asn Pro Glu

180 185 190

Leu Thr Ser Gln Met Glu Thr Phe His Ser Thr Ser Ser Glu Gly Asn

195 200 205

Pro Ser Pro Ser Gln Val Ser Ile Thr Ser Glu Tyr Leu Ser Gln Pro

210 215 220

Ser Ser Pro Pro Asn Thr Pro Arg Ala His His His His His His His

225 230 235 240

His His His

<210> 13

<211> 168

<212> PRT

<213> Искусственная последовательность

<220>

<223> Последовательность синтезирована искусственно.

<400> 13

His His His His His His His His His His Ala Leu Glu Val Leu Phe

1 5 10 15

Gln Gly Pro Tyr Glu Val Arg Asn Val Ser Gly Ile Tyr His Val Thr

20 25 30

Asn Asp Cys Ser Asn Ser Ser Ile Val Tyr Glu Ala Ala Asp Val Ile

35 40 45

Met His Thr Pro Gly Cys Val Pro Cys Val Arg Glu Gly Asn Ser Ser

50 55 60

Arg Cys Trp Val Ala Leu Thr Pro Thr Leu Ala Ala Arg Asn Ala Ser

65 70 75 80

Val Pro Thr Thr Thr Ile Arg Arg His Val Asp Leu Leu Val Gly Thr

85 90 95

Ala Ala Phe Cys Ser Ala Met Tyr Val Gly Asp Leu Cys Gly Ser Ile

100 105 110

Phe Leu Val Ser Gln Leu Phe Thr Phe Ser Pro Arg Arg His Glu Thr

115 120 125

Val Gln Asp Cys Asn Cys Ser Ile Tyr Pro Gly His Val Ser Gly His

130 135 140

Arg Met Ala Trp Asp Met Met Met Asn Trp Ser Pro Thr Thr Ala Leu

145 150 155 160

Val Val Ser Gln Leu Leu Arg Ile

165

<210> 14

<211> 289

<212> PRT

<213> Искусственная последовательность

<220>

<223> Последовательность синтезирована искусственно.

<400> 14

Glu Thr His Thr Thr Gly Arg Val Ala Gly His Thr Thr Ser Gly Phe

1 5 10 15

Thr Ser Leu Phe Ser Ser Gly Ala Ser Gln Lys Ile Gln Leu Val Asn

20 25 30

Thr Asn Gly Ser Trp His Ile Asn Arg Thr Ala Leu Asn Cys Asn Asp

35 40 45

Ser Leu Gln Thr Gly Phe Phe Ala Ala Leu Phe Tyr Ala His Lys Phe

50 55 60

Asn Ser Ser Gly Cys Pro Glu Arg Met Ala Ser Cys Arg Pro Ile Asp

65 70 75 80

Trp Phe Ala Gln Gly Trp Gly Pro Ile Thr Tyr Thr Lys Pro Asn Ser

85 90 95

Ser Asp Gln Arg Pro Tyr Cys Trp His Tyr Ala Pro Arg Pro Cys Gly

100 105 110

Val Val Pro Ala Ser Gln Val Cys Gly Pro Val Tyr Cys Phe Thr Pro

115 120 125

Ser Pro Val Val Val Gly Thr Thr Asp Arg Ser Gly Val Pro Thr Tyr

130 135 140

Ser Trp Gly Glu Asn Glu Thr Asp Met Met Leu Leu Asn Asn Thr Arg

145 150 155 160

Pro Pro Gln Gly Asn Trp Phe Gly Cys Thr Trp Met Asn Ser Thr Gly

165 170 175

Phe Thr Lys Thr Cys Gly Gly Pro Pro Cys Asn Ile Gly Gly Val Gly

180 185 190

Asn Arg Thr Leu Ile Cys Pro Thr Asp Cys Phe Arg Lys His Pro Glu

195 200 205

Ala Thr Tyr Thr Lys Cys Gly Ser Gly Pro Trp Leu Thr Pro Arg Cys

210 215 220

Leu Val Asp Tyr Pro Tyr Arg Leu Trp His Tyr Pro Cys Thr Leu Asn

225 230 235 240

Phe Ser Ile Phe Lys Val Arg Met Tyr Val Gly Gly Val Glu His Arg

245 250 255

Leu Asn Ala Ala Cys Asn Trp Thr Arg Gly Glu Arg Cys Asn Leu Glu

260 265 270

Asp Arg Asp Arg Ser Glu Ala His His His His His His His His His

275 280 285

His

<210> 15

<211> 358

<212> PRT

<213> Искусственная последовательность

<220>

<223> Последовательность синтезирована искусственно.

<400> 15

Asp Arg Ile Cys Thr Gly Ile Thr Ser Ser Asn Ser Pro His Val Val

1 5 10 15

Lys Thr Ala Thr Gln Gly Glu Val Asn Val Thr Gly Val Ile Pro Leu

20 25 30

Thr Thr Thr Pro Thr Lys Ser His Phe Ala Asn Leu Lys Gly Thr Glu

35 40 45

Thr Arg Gly Lys Leu Cys Pro Lys Cys Leu Asn Cys Thr Asp Leu Asp

50 55 60

Val Ala Leu Gly Arg Pro Lys Cys Thr Gly Lys Ile Pro Ser Ala Arg

65 70 75 80

Val Ser Ile Leu His Glu Val Arg Pro Val Thr Ser Gly Cys Phe Pro

85 90 95

Ile Met His Asp Arg Thr Lys Ile Arg Gln Leu Pro Asn Leu Leu Arg

100 105 110

Gly Tyr Glu His Ile Arg Leu Ser Thr His Asn Val Ile Asn Ala Glu

115 120 125

Asn Ala Pro Gly Gly Pro Tyr Lys Ile Gly Thr Ser Gly Ser Cys Pro

130 135 140

Asn Ile Thr Asn Gly Asn Gly Phe Phe Ala Thr Met Ala Trp Ala Val

145 150 155 160

Pro Lys Asn Asp Lys Asn Lys Thr Ala Thr Asn Pro Leu Thr Ile Glu

165 170 175

Val Pro Tyr Ile Cys Thr Glu Gly Glu Asp Gln Ile Thr Val Trp Gly

180 185 190

Phe His Ser Asp Asn Glu Thr Gln Met Ala Lys Leu Tyr Gly Asp Ser

195 200 205

Lys Pro Gln Lys Phe Thr Ser Ser Ala Asn Gly Val Thr Thr His Tyr

210 215 220

Val Ser Gln Ile Gly Gly Phe Pro Asn Gln Thr Glu Asp Gly Gly Leu

225 230 235 240

Pro Gln Ser Gly Arg Ile Val Val Asp Tyr Met Val Gln Lys Ser Gly

245 250 255

Lys Thr Gly Thr Ile Thr Tyr Gln Arg Gly Ile Leu Leu Pro Gln Lys

260 265 270

Val Trp Cys Ala Ser Gly Arg Ser Lys Val Ile Lys Gly Ser Leu Pro

275 280 285

Leu Ile Gly Glu Ala Asp Cys Leu His Glu Lys Tyr Gly Gly Leu Asn

290 295 300

Lys Ser Lys Pro Tyr Tyr Thr Gly Glu His Ala Lys Ala Ile Gly Asn

305 310 315 320

Cys Pro Ile Trp Val Lys Thr Pro Leu Lys Leu Ala Asn Gly Thr Lys

325 330 335

Tyr Arg Pro Pro Ala Lys Leu Leu Lys Glu Arg Ala His His His His

340 345 350

His His His His His His

355

<210> 16

<211> 522

<212> PRT

<213> Искусственная последовательность

<220>

<223> Последовательность синтезирована искусственно.

<400> 16

Asp Gln Ile Cys Ile Gly Tyr His Ala Asn Asn Ser Thr Glu Gln Val

1 5 10 15

Asp Thr Ile Met Glu Lys Asn Val Thr Val Thr His Ala Gln Asp Ile

20 25 30

Leu Glu Lys Thr His Asn Gly Lys Leu Cys Asp Leu Asp Gly Val Lys

35 40 45

Pro Leu Ile Leu Arg Asp Cys Ser Val Ala Gly Trp Leu Leu Gly Asn

50 55 60

Pro Met Cys Asp Glu Phe Ile Asn Val Pro Glu Trp Ser Tyr Ile Val

65 70 75 80

Glu Lys Ala Asn Pro Ala Asn Asp Leu Cys Tyr Pro Gly Asn Phe Asn

85 90 95

Asp Tyr Glu Glu Leu Lys His Leu Leu Ser Arg Ile Asn His Phe Glu

100 105 110

Lys Ile Gln Ile Ile Pro Lys Ser Ser Trp Ser Asp His Glu Ala Ser

115 120 125

Ser Gly Val Ser Ser Ala Cys Pro Tyr Gln Gly Thr Pro Ser Phe Phe

130 135 140

Arg Asn Val Val Trp Leu Ile Lys Lys Asn Asn Thr Tyr Pro Thr Ile

145 150 155 160

Lys Arg Ser Tyr Asn Asn Thr Asn Gln Glu Asp Leu Leu Ile Leu Trp

165 170 175

Gly Ile His His Ser Asn Asp Ala Ala Glu Gln Thr Lys Leu Tyr Gln

180 185 190

Asn Pro Thr Thr Tyr Ile Ser Val Gly Thr Ser Thr Leu Asn Gln Arg

195 200 205

Leu Val Pro Lys Ile Ala Thr Arg Ser Lys Val Asn Gly Gln Ser Gly

210 215 220

Arg Met Asp Phe Phe Trp Thr Ile Leu Lys Pro Asn Asp Ala Ile Asn

225 230 235 240

Phe Glu Ser Asn Gly Asn Phe Ile Ala Pro Glu Tyr Ala Tyr Lys Ile

245 250 255

Val Lys Lys Gly Asp Ser Ala Ile Val Lys Ser Glu Val Glu Tyr Gly

260 265 270

Asn Cys Asn Thr Lys Cys Gln Thr Pro Ile Gly Ala Ile Asn Ser Ser

275 280 285

Met Pro Phe His Asn Ile His Pro Leu Thr Ile Gly Glu Cys Pro Lys

290 295 300

Tyr Val Lys Ser Asn Lys Leu Val Leu Ala Thr Gly Leu Arg Asn Ser

305 310 315 320

Pro Leu Thr Glu Thr Arg Gly Leu Phe Gly Ala Ile Ala Gly Phe Ile

325 330 335

Glu Gly Gly Trp Gln Gly Met Val Asp Gly Trp Tyr Gly Tyr His His

340 345 350

Ser Asn Glu Gln Gly Ser Gly Tyr Ala Ala Asp Lys Glu Ser Thr Gln

355 360 365

Lys Ala Ile Asp Gly Val Thr Asn Lys Val Asn Ser Ile Ile Asp Lys

370 375 380

Met Asn Thr Gln Phe Glu Ala Val Gly Arg Glu Phe Asn Asn Leu Glu

385 390 395 400

Arg Arg Ile Glu Asn Leu Asn Lys Lys Met Glu Asp Gly Phe Leu Asp

405 410 415

Val Trp Thr Tyr Asn Ala Glu Leu Leu Val Leu Met Glu Asn Glu Arg

420 425 430

Thr Leu Asp Phe His Asp Ser Asn Val Lys Asn Leu Tyr Asp Lys Val

435 440 445

Arg Leu Gln Leu Arg Asp Asn Ala Lys Glu Leu Gly Asn Gly Cys Phe

450 455 460

Glu Phe Tyr His Lys Cys Asp Asn Glu Cys Met Glu Ser Val Arg Asn

465 470 475 480

Gly Thr Tyr Asp Tyr Pro Gln Tyr Ser Glu Glu Ala Arg Leu Lys Arg

485 490 495

Glu Glu Ile Ser Gly Val Lys Leu Glu Ser Ile Gly Thr Tyr Gln Ala

500 505 510

His His His His His His His His His His

515 520

<210> 17

<211> 514

<212> PRT

<213> Искусственная последовательность

<220>

<223> Последовательность синтезирована искусственно.

<400> 17

Ile Pro Leu Gly Val Val His Asn Asn Thr Leu Gln Val Ser Asp Ile

1 5 10 15

Asp Lys Leu Val Cys Arg Asp Lys Leu Ser Ser Thr Ser Gln Leu Lys

20 25 30

Ser Val Gly Leu Asn Leu Glu Gly Asn Gly Val Ala Thr Asp Val Pro

35 40 45

Thr Ala Thr Lys Arg Trp Gly Phe Arg Ala Gly Val Pro Pro Lys Val

50 55 60

Val Asn Tyr Glu Ala Gly Glu Trp Ala Glu Asn Cys Tyr Asn Leu Asp

65 70 75 80

Ile Lys Lys Ala Asp Gly Ser Glu Cys Leu Pro Glu Ala Pro Glu Gly

85 90 95

Val Arg Gly Phe Pro Arg Cys Arg Tyr Val His Lys Val Ser Gly Thr

100 105 110

Gly Pro Cys Pro Glu Gly Tyr Ala Phe His Lys Glu Gly Ala Phe Phe

115 120 125

Leu Tyr Asp Arg Leu Ala Ser Thr Ile Ile Tyr Arg Ser Thr Thr Phe

130 135 140

Ser Glu Gly Val Val Ala Phe Leu Ile Leu Pro Glu Thr Lys Lys Asp

145 150 155 160

Phe Phe Gln Ser Pro Pro Leu His Glu Pro Ala Asn Met Thr Thr Asp

165 170 175

Pro Ser Ser Tyr Tyr His Thr Val Thr Leu Asn Tyr Val Ala Asp Asn

180 185 190

Phe Gly Thr Asn Met Thr Asn Phe Leu Phe Gln Val Asp His Leu Thr

195 200 205

Tyr Val Gln Leu Glu Pro Arg Phe Thr Pro Gln Phe Leu Val Gln Leu

210 215 220

Asn Glu Thr Ile Tyr Thr Asn Gly Arg Arg Ser Asn Thr Thr Gly Thr

225 230 235 240

Leu Ile Trp Lys Val Asn Pro Thr Val Asp Thr Gly Val Gly Glu Trp

245 250 255

Ala Phe Trp Glu Asn Lys Lys Asn Phe Thr Lys Thr Leu Ser Ser Glu

260 265 270

Glu Leu Ser Val Ala Asp Asp Asp Asp Lys Glu Pro Lys Ser Ser Asp

275 280 285

Lys Thr His Thr Cys Pro Pro Cys Pro Ala Pro Glu Leu Leu Gly Gly

290 295 300

Pro Ser Val Phe Leu Phe Pro Pro Lys Pro Lys Asp Thr Leu Met Ile

305 310 315 320

Ser Arg Thr Pro Glu Val Thr Cys Val Val Val Asp Val Ser His Glu

325 330 335

Asp Pro Glu Val Lys Phe Asn Trp Tyr Val Asp Gly Val Glu Val His

340 345 350

Asn Ala Lys Thr Lys Pro Arg Glu Glu Gln Tyr Asn Ser Thr Tyr Arg

355 360 365

Val Val Ser Val Leu Thr Val Leu His Gln Asp Trp Leu Asn Gly Lys

370 375 380

Glu Tyr Lys Cys Lys Val Ser Asn Lys Ala Leu Pro Ala Pro Ile Glu

385 390 395 400

Lys Thr Ile Ser Lys Ala Lys Gly Gln Pro Arg Glu Pro Gln Val Tyr

405 410 415

Thr Leu Pro Pro Ser Arg Asp Glu Leu Thr Lys Asn Gln Val Ser Leu

420 425 430

Thr Cys Leu Val Lys Gly Phe Tyr Pro Ser Asp Ile Ala Val Glu Trp

435 440 445

Glu Ser Asn Gly Gln Pro Glu Asn Asn Tyr Lys Thr Thr Pro Pro Val

450 455 460

Leu Asp Ser Asp Gly Ser Phe Phe Leu Tyr Ser Lys Leu Thr Val Asp

465 470 475 480

Lys Ser Arg Trp Gln Gln Gly Asn Val Phe Ser Cys Ser Val Met His

485 490 495

Glu Ala Leu His Asn His Tyr Thr Gln Lys Ser Leu Ser Leu Ser Pro

500 505 510

Gly Lys

<210> 18

<211> 480

<212> PRT

<213> Искусственная последовательность

<220>

<223> Последовательность синтезирована искусственно.

<400> 18

Met Pro Leu Gly Val Val Thr Asn Ser Thr Leu Glu Val Thr Glu Ile

1 5 10 15

Asp Gln Leu Val Cys Lys Asp His Leu Ala Ser Thr Asp Gln Leu Lys

20 25 30

Ser Val Gly Leu Asn Leu Glu Gly Ser Gly Val Ser Thr Asp Ile Pro

35 40 45

Ser Ala Thr Lys Arg Trp Gly Phe Arg Ser Gly Val Pro Pro Lys Val

50 55 60

Val Ser Tyr Glu Ala Gly Glu Trp Ala Glu Asn Cys Tyr Asn Leu Glu

65 70 75 80

Ile Lys Lys Pro Asp Gly Ser Glu Cys Leu Pro Pro Pro Pro Asp Gly

85 90 95

Val Arg Gly Phe Pro Arg Cys Arg Tyr Val His Lys Ala Gln Gly Thr

100 105 110

Gly Pro Cys Pro Gly Asp Tyr Ala Phe His Lys Asp Gly Ala Phe Phe

115 120 125

Leu Tyr Asp Arg Leu Ala Ser Thr Val Ile Tyr Arg Gly Val Asn Phe

130 135 140

Ala Glu Gly Val Ile Ala Phe Leu Ile Leu Ala Lys Pro Lys Glu Thr

145 150 155 160

Phe Leu Gln Ser Pro Pro Ile Arg Glu Ala Val Asn Tyr Thr Glu Asn

165 170 175

Thr Ser Ser Tyr Tyr Ala Thr Ser Tyr Leu Glu Tyr Glu Ile Glu Asn

180 185 190

Phe Gly Ala Gln His Ser Thr Thr Leu Phe Lys Ile Asp Asn Asn Thr

195 200 205

Phe Val Arg Leu Asp Arg Pro His Thr Pro Gln Phe Leu Phe Gln Leu

210 215 220

Asn Asp Thr Ile His Leu His Gln Gln Leu Ser Asn Thr Thr Gly Arg

225 230 235 240

Leu Ile Trp Thr Leu Asp Ala Asn Ile Asn Ala Asp Ile Gly Glu Trp

245 250 255

Ala Phe Trp Glu Asn Lys Lys Asn Leu Ser Glu Gln Leu Arg Gly Glu

260 265 270

Glu Leu Ser Phe Glu Ala Leu Ser Leu Asn Glu Thr Glu Asp Asp Asp

275 280 285

Ala Ala Ser Ser Arg Ile Thr Lys Gly Arg Ile Ser Asp Arg Ala Thr

290 295 300

Arg Lys Tyr Ser Asp Leu Val Pro Lys Asn Ser Pro Gly Met Val Pro

305 310 315 320

Leu His Ile Pro Glu Gly Glu Thr Thr Leu Pro Ser Gln Asn Ser Thr

325 330 335

Glu Gly Arg Arg Val Gly Val Asn Thr Gln Glu Thr Ile Thr Glu Thr

340 345 350

Ala Ala Thr Ile Ile Gly Thr Asn Gly Asn His Met Gln Ile Ser Thr

355 360 365

Ile Gly Ile Arg Pro Ser Ser Ser Gln Ile Pro Ser Ser Ser Pro Thr

370 375 380

Thr Ala Pro Ser Pro Glu Ala Gln Thr Pro Thr Thr His Thr Ser Gly

385 390 395 400

Pro Ser Val Met Ala Thr Glu Glu Pro Thr Thr Pro Pro Gly Ser Ser

405 410 415

Pro Gly Pro Thr Thr Glu Ala Pro Thr Leu Thr Thr Pro Glu Asn Ile

420 425 430

Thr Thr Ala Val Lys Thr Val Leu Pro Gln Glu Ser Thr Ser Asn Gly

435 440 445

Leu Ile Thr Ser Thr Val Thr Gly Ile Leu Gly Ser Leu Gly Leu Arg

450 455 460

Lys Arg Ser Arg Arg Ala His His His His His His His His His His

465 470 475 480

<210> 19

<211> 345

<212> PRT

<213> Искусственная последовательность

<220>

<223> Последовательность синтезирована искусственно.

<400> 19

Val Ser Tyr Ser Leu Cys Thr Ala Ala Phe Thr Phe Thr Lys Ile Pro

1 5 10 15

Ala Glu Thr Leu His Gly Thr Val Thr Val Glu Val Gln Tyr Ala Gly

20 25 30

Thr Asp Gly Pro Cys Lys Val Pro Ala Gln Met Ala Val Asp Met Gln

35 40 45

Thr Leu Thr Pro Val Gly Arg Leu Ile Thr Ala Asn Pro Val Ile Thr

50 55 60

Glu Ser Thr Glu Asn Ser Lys Met Met Leu Glu Leu Asp Pro Pro Phe

65 70 75 80

Gly Asp Ser Tyr Ile Val Ile Gly Val Gly Glu Lys Lys Ile Thr His

85 90 95

His Trp His Arg Ser Gly Ser Thr Ile Gly Lys Ala Asp Asp Asp Asp

100 105 110

Lys Glu Pro Lys Ser Ser Asp Lys Thr His Thr Cys Pro Pro Cys Pro

115 120 125

Ala Pro Glu Leu Leu Gly Gly Pro Ser Val Phe Leu Phe Pro Pro Lys

130 135 140

Pro Lys Asp Thr Leu Met Ile Ser Arg Thr Pro Glu Val Thr Cys Val

145 150 155 160

Val Val Asp Val Ser His Glu Asp Pro Glu Val Lys Phe Asn Trp Tyr

165 170 175

Val Asp Gly Val Glu Val His Asn Ala Lys Thr Lys Pro Arg Glu Glu

180 185 190

Gln Tyr Asn Ser Thr Tyr Arg Val Val Ser Val Leu Thr Val Leu His

195 200 205

Gln Asp Trp Leu Asn Gly Lys Glu Tyr Lys Cys Lys Val Ser Asn Lys

210 215 220

Ala Leu Pro Ala Pro Ile Glu Lys Thr Ile Ser Lys Ala Lys Gly Gln

225 230 235 240

Pro Arg Glu Pro Gln Val Tyr Thr Leu Pro Pro Ser Arg Asp Glu Leu

245 250 255

Thr Lys Asn Gln Val Ser Leu Thr Cys Leu Val Lys Gly Phe Tyr Pro

260 265 270

Ser Asp Ile Ala Val Glu Trp Glu Ser Asn Gly Gln Pro Glu Asn Asn

275 280 285

Tyr Lys Thr Thr Pro Pro Val Leu Asp Ser Asp Gly Ser Phe Phe Leu

290 295 300

Tyr Ser Lys Leu Thr Val Asp Lys Ser Arg Trp Gln Gln Gly Asn Val

305 310 315 320

Phe Ser Cys Ser Val Met His Glu Ala Leu His Asn His Tyr Thr Gln

325 330 335

Lys Ser Leu Ser Leu Ser Pro Gly Lys

340 345

<---

Похожие патенты RU2830627C1

название год авторы номер документа
СТАБИЛИЗИРОВАННЫЕ БЕЛКИ F RSV И ИХ ПРИМЕНЕНИЯ 2019
  • Чжан, Лань
  • Фридман, Артур
  • Дурр, Эберхард
  • Бетт, Эндрю
RU2795459C2
МОДИФИЦИРОВАННАЯ J-ЦЕПЬ 2015
  • Кейт Брюс
  • Преста Леонард Джордж
  • Чжан Фэнь
  • Балига Рамеш
RU2761118C2
ВАКЦИНА ПРОТИВ ВИРУСА ЛЕЙКОЗА КОШАЧЬИХ 2018
  • Тарпи, Иан
RU2784533C2
СУБЪЕДИНИЧНАЯ ВАКЦИНА ДЛЯ ЛЕЧЕНИЯ ИЛИ ПРЕДОТВРАЩЕНИЯ ИНФЕКЦИИ ДЫХАТЕЛЬНЫХ ПУТЕЙ 2020
  • Перуджи, Фабьен
  • Швамборн, Клаус
  • Шюлер, Вольфганг
  • Лундберг, Урбан
  • Майнке, Андреас
RU2811991C2
ВАКЦИНА ПРОТИВ КОШАЧЬЕГО КАЛИЦИВИРУСА 2018
  • Тарпи, Иан
RU2792898C2
МУТАНТЫ FIMH E. COLI И ИХ ПРИМЕНЕНИЕ 2021
  • Чэ, Е
  • Чорро, Лоран Оливер
  • Дональд, Роберт Джордж Конрад
  • Гриффор, Мэттью Кертис
  • Силмон Де Монерри, Натали Клэр
RU2831010C1
АНТИТЕЛО К TIGIT И ЕГО ИСПОЛЬЗОВАНИЕ 2019
  • Ши, Синьчжэнь
  • Чжан, Пань
  • Лю, Цзюньцзянь
RU2786434C2
САМОСОБИРАЮЩИЕСЯ НАНОСТРУКТУРНЫЕ ВАКЦИНЫ 2019
  • Кинг, Нил
  • Бейкер, Дэвид
  • Стюарт, Ланс
  • Фиала, Брук
  • Эллис, Дэниел
  • Картер, Лорен
  • Равичандран, Рашми
  • Уэда, Джордж
  • Фальяс, Хорхе
  • Наттерманн, Уна
RU2811439C2
СЛИТЫЙ БЕЛОК НА ОСНОВЕ АНТИТЕЛА К ЕТА И TGF-β TRAP, СОДЕРЖАЩАЯ ЕГО ФАРМАЦЕВТИЧЕСКАЯ КОМПОЗИЦИЯ И ИХ ПРИМЕНЕНИЕ 2020
  • Чжан, Чэн
  • Яо, Ченьцзянь
  • Чжан, Хуа
  • Ван, Сяофын
  • Цзин, Шуцян
RU2832190C2
МУТАНТНЫЙ БЕЛОК F RSV И ЕГО ПРИМЕНЕНИЕ 2020
  • Хогири, Томохару
  • Кисида, Хироюки
  • Такедоми, Кеи
  • Брандуарди, Давиде
  • Олоо, Элиуд
  • Фефан, Эрик
  • Итихара, Осаму
RU2807742C1

Иллюстрации к изобретению RU 2 830 627 C1

Реферат патента 2024 года СПОСОБ ПОВЫШЕНИЯ ИММУНОГЕННОСТИ БЕЛКОВОГО/ПЕПТИДНОГО АНТИГЕНА

Изобретение относится к области биохимии, в частности к способу повышения иммуногенности белкового/пептидного антигена. Раскрыты конъюгат для применения в указанном способе, иммуногенная композиция, содержащая указанный конъюгат. Также раскрыто применение указанного конъюгата для повышения иммуногенности. Изобретение позволяет эффективно повышать иммуногенность. 5 н. и 53 з.п. ф-лы, 4 ил., 8 табл., 6 пр.

Формула изобретения RU 2 830 627 C1

1. Способ повышения иммуногенности белкового/пептидного антигена, включающий образование глико-белкового/пептидного конъюгата антигена посредством конъюгирования белкового/пептидного антигена с сахаридом, отличающийся тем, что указанным сахаридом является капсульный полисахарид Streptococcus pneumoniae;

при этом белковый/пептидный антиген выбран из ассоциированного с патогеном белкового/пептидного антигена, при этом указанный патоген выбран из:

коронавируса, вируса иммунодефицита человека ВИЧ-1, вируса простого герпеса человека, цитомегаловируса, ротавируса, вируса ЭБ, вируса ветряной оспы, вируса гепатита, респираторно-синцитиального вируса, вируса парагиппа, вируса кори, вируса эпидемического паротита, папилломавируса человека, флавивируса или вируса гриппа, Neisseria, Moraxella, Bordetella, Mycobacterium, включая Mycobacterium tuberculosis, Escherichia, включая энтеротоксигенную Escherichia coli; Salmonella, Listeria, Helicobacter, Staphylococcus, включая Staphylococcus aureus, Staphylococcus epidermidis; Borrelia, Chlamydia, включая Chlamydia trachomatis, Chlamydia pneumoniae; Plasmodium, включая Plasmodium falciparum; Toxoplasma, Candida.

2. Способ по п. 1, отличающийся тем, что указанный капсульный полисахарид выбран из капсульного полисахарида Streptococcus pneumoniae серотипа 14, капсульного полисахарида Streptococcus pneumoniae серотипа 6В и капсульного полисахарида Streptococcus pneumoniae серотипа 7F.

3. Способ по п. 1, отличающийся тем, что указанный белковый/пептидный антиген выбран из белка/пептида, ассоциированного с инвазией указанного патогена в хозяина.

4. Способ по п. 3, отличающийся тем, что указанным выше патогеном является вирус, выбранный из вирусов Coronaviridae, Paramyxoviridae, Orthomyxoviridae, Filoviridae или Flaviviridae.

5. Способ по п. 1, отличающийся тем, что белковый/пептидный антиген представляет собой белок/пептид, содержащий вирусный антиген Coronaviridae, предпочтительно спайк-белок коронавируса;

более предпочтительно субъединицу S1 спайк-белка коронавируса;

более предпочтительно участок RBD рецептора связывания спайк-белка коронавируса; или фрагмент или вариант с иммуногенностью всех перечисленных выше белковых/пептидных антигенов.

6. Способ по п. 5, отличающийся тем, что коронавирус представляет собой SARS-CoV-2 или ближневосточный респираторный синдром коронавируса.

7. Способ по п. 5 или 6, отличающийся тем, что белковый/пептидный антиген представляет собой химерный белок антигена, описанного в п. 5 или 6, с другим белком или пептидом, предпочтительно химерный белок выбран из SARS-CoV-2 RBD-mFc; SARS-CoV-2 RBD-his; или MERS-COV RBD-his; и

Fc фрагмент представляет собой предпочтительно Fc фрагмент IgG, более предпочтительно Fc фрагмент IgG человека или мыши.

8. Способ по п. 6 или 7, отличающийся тем, что белковый/пептидный антиген включает последовательность, приведённую в любом из SEQ ID NO:1, SEQ ID NO:2, SEQ ID NO:3.

9. Способ по любому из пп. 1-8, отличающийся тем, что молекулярная масса конъюгата составляет 400-14000 кДа.

10. Способ по п. 1, отличающийся тем, что белковый/пептидный антиген представляет собой белок/пептид, содержащий вирусный антиген Paramyxoviridae; предпочтительно область связывания рецептора гликопротеина парамиксовируса; предпочтительно гликопротеин F и/или гликопротеин G парамиксовируса;

или фрагмент или вариант с иммуногенностью всех перечисленных выше белковых/пептидных антигенов.

11. Способ по п. 10, отличающийся тем, что парамиксовирус представляет собой респираторно-синцитиальный вирус человека.

12. Способ по п. 10 или 11, отличающийся тем, что белковый/пептидный антиген представляет собой химерный белок антигена, указанного в п. 10 или 11, с другим белком или пептидом,

предпочтительно указанный химерный белок представляет собой RSV-gpG-his.

13. Способ по п. 11 или 12, отличающийся тем, что белковый/пептидный антиген включает последовательность, приведённую в SEQ ID NO:4 и/или SEQ ID NO:12.

14. Способ по п. 1, отличающийся тем, что белковый/пептидный антиген представляет собой белок/пептид, содержащий вирусный антиген Orthomyxoviridae; предпочтительно область связывания рецептора гликопротеина ортомиксовируса; предпочтительно белок гемагглютинин (НА) и/или белок нейраминидазы (NA);

или фрагмент или вариант с иммуногенностью всех перечисленных выше белковых/пептидных антигенов.

15. Способ по п. 14, отличающийся тем, что ортомиксовирус представляет собой вирус гриппа В и/или вирус гриппа A H5N1.

16. Способ по п. 14 или 15, отличающийся тем, что белковый/пептидный антиген представляет собой химерный белок антигена, описанного в п. 14 или 15, с другим белком или пептидом,

предпочтительно указанный химерный белок представляет собой Flu-B-HA1-his или H5N1-HA-his.

17. Способ по п. 15 или 16, отличающийся тем, что белковый/пептидный антиген включает последовательность, приведённую в любом из SEQ ID NO:7 и/или SEQ ID NO:15, SEQ ID NO:8 и/или SEQ ID NO:16.

18. Способ по п. 1, отличающийся тем, что белковый/пептидный антиген представляет собой белок/пептид, содержащий вирусный антиген Filoviridae;

предпочтительно область связывания гликопротеинового рецептора оболочки филовируса; предпочтительно гликопротеин GP1 и/или GP2 оболочки филовируса; более предпочтительно гликопротеин GP1 оболочки филовируса;

или фрагмент или вариант с иммуногенностью всех указанных выше белковых/пептидных антигенов.

19. Способ по п. 18, отличающийся тем, что филовирус представляет собой вирус Эбола.

20. Способ по п. 18 или 19, отличающийся тем, что белковый/пептидный антиген представляет собой химерный белок антигена, описанного в п. 18 или 19, с другим белком или пептидом, предпочтительно указанный химерный белок представляет собой Ebola-GP-Fc или Ebola-GP1-his; при этом Fc представляет собой предпочтительно Fc фрагмент IgG, более предпочтительно Fc фрагмент IgG человека или мыши.

21. Способ по п. 19 или 20, отличающийся тем, что белковый/пептидный антиген включает последовательность, приведённую в любом из SEQ ID NO:9 и/или SEQ ID NO:17, SEQ ID NO:10 и/или SEQ ID NO:18.

22. Способ по п. 1, отличающийся тем, что белковый/пептидный антиген представляет собой белок/пептид, содержащий вирусный антиген Flaviviridae;

предпочтительно вирусный антиген Flavivirus или Hepacivirus; предпочтительно область связывания рецептора белка оболочки вируса Flavivirus; предпочтительно по меньшей мере один из структурных доменов EDI, EDII и EDIII белка оболочки вируса Flavivirus;

более предпочтительно структурный домен EDIII белка оболочки вируса Flavivirus, или предпочтительно область связывания рецептора гликопротеина оболочки вируса Hepacivirus,

предпочтительно гликопротеин Е1 и/или Е2 оболочки вируса Hepacivirus,

или фрагмент или вариант с иммуногенностью всех перечисленных выше

белковых/пептидных антигенов.

23. Способ по п. 22, отличающийся тем, что вирус Flavivirus представляет собой предпочтительно вирус Зика;

при этом вирус Hepacivirus представляет собой предпочтительно вирус гепатита С.

24. Способ по п. 22 или 23, отличающийся тем, что белковый/пептидный антиген представляет собой химерный белок антигена, описанного в п. 22 или 23, с другим белком или пептидом,

предпочтительно указанный химерный белок представляет собой ZIKV-E-Fc;

при этом Fc представляет собой предпочтительно Fc фрагмент IgG, более предпочтительно Fc фрагмент IgG человека или мыши; или предпочтительно указанный химерный белок представляет собой HCV-E2-his и/или HCV-E1-his.

25. Способ по п. 23 или 24, отличающийся тем, что белковый/пептидный антиген включает последовательность, приведённую в любом из SEQ ID NO:11 и/или SEQ ID NO:19, SEQ ID NO:6 и/или SEQ ID NO:14, SEQ ID NO:5 и/или SEQ ID NO:13.

26. Способ по любому из пп. 1-25, отличающийся тем, что глико-белковый/пептидный антиген дополнительно конъюгирован с белком-носителем.

27. Способ по п. 26, отличающийся тем, что указанный белок-носитель представляет собой столбнячный токсоид, фрагмент С столбнячного токсоида, нетоксичный мутант столбнячного токсоида, токсоид дифтерии, CRM 197, другие нетоксичные мутанты токсоида дифтерии, предпочтительно CRM197.

28. Конъюгат глико-белкового/пептидного антигена, полученный способом по п. 1, для усиления иммуногенности вирусных агентов, состоящий из капсульного полисахарида Streptococcus pneumoniae, ковалентно связанного с белковым/пептидным антигеном, охарактеризованным в п. 1.

29. Конъюгат по п. 28, отличающийся тем, что сахарид выбран из полисахарида, олигосахарида или моносахарида;

предпочтительно капсульного полисахарида Neisseria encephalitis, капсульного полисахарида Haemophilus influenzae b, капсульного полисахарида Streptococcus pneumoniae, капсульного полисахарида Staphylococcus aureus группы В, декстрана, маннана, крахмала, инулина, пектина, карбоксиметилкрахмала, хитозана и их производных; более предпочтительно капсульного полисахарида Streptococcus pneumoniae; наиболее предпочтительно капсульного полисахарида Streptococcus pneumoniae серотипа 14, капсульного полисахарида Streptococcus pneumoniae серотипа 6В и капсульного полисахарида Streptococcus pneumoniae серотипа 7F,

при этом белковый/пептидный антиген выбран из ассоциированного с патогеном белкового/пептидного антигена, при этом указанный патоген выбран из:

коронавируса, вируса иммунодефицита человека ВИЧ-1, вируса простого герпеса человека, цитомегаловируса, ротавируса, вируса ЭБ, вируса ветряной оспы, вируса гепатита, респираторно-синцитиального вируса, вируса парагиппа, вируса кори, вируса эпидемического паротита, папилломавируса человека, флавивируса или вируса гриппа, Neisseria, Moraxella, Bordetella, Mycobacterium, включая Mycobacterium tuberculosis, Escherichia, включая энтеротоксигенную Escherichia coli, Salmonella, Listeria, Helicobacter, Staphylococcus, включая Staphylococcus aureus, Staphylococcus epidermidis, Borrelia, Chlamydia, включая Chlamydia trachomatis, Chlamydia pneumoniae; Plasmodium, включая Plasmodium falciparum; Toxoplasma, Candida;

предпочтительно белок/пептид ассоциирован с инвазией указанного патогена в хозяина; более предпочтительно указанным выше патогеном является вирус;

более предпочтительно указанный выше вирус выбран из вирусов Coronaviridae, Paramyxoviridae, Orthomyxoviridae, Filoviridae или Flaviviridae.

30. Конъюгат по п. 28 или 29, отличающийся тем, что белковый/пептидный антиген представляет собой белок/пептид, содержащий вирусные антигены Coronaviridae;

предпочтительно спайк-белок коронавируса;

более предпочтительно субъединицу S1 спайк-белка коронавируса;

более предпочтительно участок RBD рецептора связывания спайк-белка коронавируса;

или фрагмент или вариант с иммуногенностью всех перечисленных выше белковых/пептидных антигенов.

31. Конъюгат по п. 30, отличающийся тем, что коронавирус представляет собой SARS-CoV-2 или ближневосточный респираторный синдром коронавируса.

32. Конъюгат по п. 30 или 31, отличающийся тем, что белковый/пептидный антиген представляет собой химерный белок антигена, описанного в п. 30 или 31, с другим белком или пептидом,

предпочтительно химерный белок выбран из SARS-CoV-2 RBD-mFc; SARS-CoV-2 RBD-his; или MERS-COV RBD-his; и

Fc фрагмент представляет собой предпочтительно Fc фрагмент IgG, более предпочтительно Fc фрагмент IgG человека или мыши.

33. Конъюгат по п. 31 или 32, отличающийся тем, что белковый/пептидный антиген включает последовательность, приведённую в любом из SEQ ID NO:1, SEQ ID NO:2, SEQ ID NO:3.

34. Конъюгат по п. 28 или 29, отличающийся тем, что белковый/пептидный антиген представляет собой белок/пептид, содержащий вирусный антиген Paramyxoviridae; предпочтительно область связывания рецептора гликопротеина парамиксовируса; предпочтительно гликопротеин F, гликопротеин G парамиксовируса;

или фрагмент или вариант с иммуногенностью всех перечисленных выше белковых/пептидных антигенов.

35. Конъюгат по п. 34, отличающийся тем, что парамиксовирус представляет собой респираторно-синцитиальный вирус человека.

36. Конъюгат по п. 34 или 35, отличающийся тем, что белковый/пептидный антиген представляет собой химерный белок антигена, описанного в п. 34 или 35, с другим белком или пептидом,

предпочтительно указанный химерный белок представляет собой RSV-gpG-his.

37. Конъюгат по п. 35 или 36, отличающийся тем, что белковый/пептидный антиген включает последовательность, приведённую в SEQ ID NO:4 и/или SEQ ID NO:12.

38. Конъюгат по п. 28 или 29, отличающийся тем, что белковый/пептидный антиген представляет собой белок/пептид, содержащий вирусный антиген Orthomyxoviridae; предпочтительно область связывания рецептора гликопротеина ортомиксовируса; предпочтительно белок гемагглютинин (НА) и/или белок нейраминидазы (NA);

или фрагмент или вариант с иммуногенностью всех перечисленных выше белковых/пептидных антигенов.

39. Конъюгат по п. 38, отличающийся тем, что ортомиксовирус представляет собой вирус гриппа В и/или вирус гриппа A H5N1.

40. Конъюгат по п. 38 или 39, отличающийся тем, что белковый/пептидный антиген представляет собой химерный белок антигена, описанного в п. 38 или 39, с другим белком или пептидом,

предпочтительно указанный химерный белок представляет собой Flu-B-HAl-his или H5N1- HA-his.

41. Конъюгат по п. 39 или 40, отличающийся тем, что белковый/пептидный антиген включает последовательность, приведённую в любом из SEQ ID NO:7 и/или SEQ ID NO:15,

SEQ ID NO:8 и/или SEQ ID NO:16.

42. Конъюгат по п. 28 или 29, отличающийся тем, что белковый/пептидный антиген представляет собой белок/пептид, содержащий вирусный антиген Filovirida; предпочтительно область связывания гликопротеинового рецептора оболочки филовируса; предпочтительно гликопротеин GP1 и/или GP2 оболочки филовируса;

более предпочтительно гликопротеин GP1 оболочки филовируса;

или фрагмент или вариант с иммуногенностью всех перечисленных выше белковых/пептидных антигенов.

43. Конъюгат по п. 42, отличающийся тем, что филовирус представляет собой вирус Эбола.

44. Конъюгат по п. 42 или 43, отличающийся тем, что белковый/пептидный антиген представляет собой химерный белок антигена, описанного в п. 42 или 43, с другим белком или пептидом,

предпочтительно указанный химерный белок представляет собой Ebola-GP-Fc или Ebola-GP1-his,

при этом Fc представляет собой предпочтительно Fc фрагмент IgG, более предпочтительно Fc фрагмент IgG человека или мыши.

45. Конъюгат по п. 43 или 44, отличающийся тем, что белковый/пептидный антиген включает последовательность, приведённую в любом из SEQ ID NO:9 и/или SEQ ID NO:17, SEQ ID NO:10 и/или SEQ ID NO:18.

46. Конъюгат по п. 28 или 29, отличающийся тем, что указанный белок/антиген представляет собой белок/пептид, содержащий вирусный антиген Flaviviridae, предпочтительно вирусный антиген Flavivirus или Hepacivirus;

предпочтительно область связывания рецептора белка оболочки вируса Flavivirus; предпочтительно по меньшей мере один из структурных доменов EDI, EDII и EDIII белка оболочки вируса Flavivirus;

более предпочтительно структурный домен EDIII белка оболочки вируса Flavivirus; или предпочтительно область связывания рецептора гликопротеина оболочки вируса Hepacivirus;

предпочтительно гликопротеин Е1 и/или Е2 оболочки вируса Hepacivirus;

или фрагмент или вариант с иммуногенностью всех перечисленных выше белковых/пептидных антигенов.

47. Конъюгат по п. 46, отличающийся тем, что вирус Flavivirus представляет собой предпочтительно вирус Зика;

а вирус Hepacivirus представляет собой предпочтительно вирус гепатита С.

48. Конъюгат по п. 46 или 47, отличающийся тем, что белковый/пептидный антиген представляет собой химерный белок антигена, описанного в п. 46 или 47, с другим белком или пептидом,

предпочтительно указанный химерный белок представляет собой ZIKV-E-Fc;

при этом Fc представляет собой предпочтительно Fc фрагмент IgG, более предпочтительно Fc фрагмент IgG человека или мыши; или предпочтительно указанный химерный белок представляет собой HCV-E2-his и/или HCV- El-his.

49. Конъюгат по п. 47 или 48, отличающийся тем, что белковый/пептидный антиген включает последовательность, приведённую в любом из SEQ ID NO: 11 и/или SEQ ID NO: 19, SEQ ID NO:6 и/или SEQ ID NO:14, SEQ ID NO:5 и/или SEQ ID NO:13.

50. Конъюгат по любому из пп. 28-49, отличающийся тем, что молекулярная масса указанного конъюгата составляет 400-14000 кДа.

51. Конъюгат глико-белкового/пептидного антигена по любому из пп. 28-50, отличающийся тем, что указанный глико-белковый/пептидный антиген дополнительно конъюгирован с белком-носителем.

52. Конъюгат глико-белкового/пептидного антигена по п. 51, отличающийся тем, что указанный белок-носитель представляет собой столбнячный токсоид, фрагмент С столбнячного токсоида, нетоксичный мутант столбнячного токсоида, токсоид дифтерии, CRM197, другие нетоксичные мутанты токсоида дифтерии, предпочтительно CRM197.

53. Иммуногенная композиция для усиления иммуногенности вирусных агентов, содержащая конъюгат глико-белкового/пептидного антигена по любому из пп. 28-52, иммунный адъювант и вспомогательное вещество.

54. Иммуногенная композиция по п. 53, отличающаяся тем, что адъювант выбран из адъюванта алюминия, эмульсионного адъюванта масло в воде, MF59, QS-21 и липидного монофосфата А.

55. Применение конъюгата глико-белкового/пептидного антигена по любому из пп. 28-52 или иммуногенной композиции по п. 53 или 54 для предотвращения или лечения заболевания, вызванного ассоциированным с патогеном белковым/пептидным антигеном, описанным в п. 29, отличающееся тем, что указанным конъюгированным полисахаридом является капсульный полисахарид Streptococcus pneumoniae серотипа 14.

56. Применение по п. 55, отличающееся тем, что указанный патоген представляет собой коронавирус, предпочтительно SARS-СоV-2 и/или MERS-CoV;

парамиксовирус, предпочтительно респираторно-синцитиальный вирус человека; ортомиксовирус, предпочтительно вирус гриппа В и/или вирус гриппа A H5N1; филовирус, предпочтительно вирус Эбола; флавивирус, предпочтительно вирус Зика; или вирус гепатита С.

57. Применение конъюгата глико-белкового/пептидного антигена по любому из пп. 28-52 или иммуногенной композиции по п. 53 или 54 для получения вакцины или лекарственного средства для предотвращения или лечения заболевания, вызванного ассоциированным с патогеном белковым/пептидным антигеном, описанным в п. 29, отличающееся тем, что указанным конъюгированным полисахаридом является капсульный полисахарид Streptococcus pneumoniae серотипа 14.

58. Применение по п. 57, отличающееся тем, что указанный патоген представляет собой коронавирус, предпочтительно SARS-CoV-2 и/или MERS-CoV;

парамиксовирус, предпочтительно респираторно-синцитиальный вирус человека; ортомиксовирус, предпочтительно вирус гриппа В и/или вирус гриппа A H5N1; филовирус, предпочтительно вирус Эбола; флавивирус, предпочтительно вирус Зика; или вирус гепатита С.

Документы, цитированные в отчете о поиске Патент 2024 года RU2830627C1

WO 9955715 A2, 04.11.1999
CN 108289938 A, 17.07.2018
КОМБИНИРОВАННЫЕ ВАКЦИНЫ С АНТИГЕНОМ КОКЛЮША ЦЕЛЬНЫХ КЛЕТОК 2006
  • Конторни Марио
  • Маннуччи Донателла
RU2420315C2

RU 2 830 627 C1

Авторы

Шие Лианзы

Чжан Янчжин

Чжан Джиандон

Даты

2024-11-25Публикация

2021-04-29Подача